Постановление Правительства РФ от 18.11.2011 N 947

"О внесении изменений в постановление Правительства Российской Федерации от 9 февраля 2010 г. N 64"
Редакция от 18.11.2011 — Документ утратил силу, см. «Постановление Правительства РФ от 26.12.2014 N 1517»

ПРАВИТЕЛЬСТВО РОССИЙСКОЙ ФЕДЕРАЦИИ

ПОСТАНОВЛЕНИЕ
от 18 ноября 2011 г. N 947

О ВНЕСЕНИИ ИЗМЕНЕНИЙ В ПОСТАНОВЛЕНИЕ ПРАВИТЕЛЬСТВА РОССИЙСКОЙ ФЕДЕРАЦИИ ОТ 9 ФЕВРАЛЯ 2010 Г. N 64

Правительство Российской Федерации постановляет:

Утвердить прилагаемые изменения, которые вносятся в Постановление Правительства Российской Федерации от 9 февраля 2010 г. N 64 "О выплате денежного поощрения лучшим учителям" (Собрание законодательства Российской Федерации, 2010, N 7, ст. 763; N 38, ст. 4825; 2011, N 2, ст. 378).

Председатель Правительства
Российской Федерации
В.ПУТИН

УТВЕРЖДЕНЫ
Постановлением Правительства
Российской Федерации
от 18 ноября 2011 г. N 947

ИЗМЕНЕНИЯ, КОТОРЫЕ ВНОСЯТСЯ В ПОСТАНОВЛЕНИЕ ПРАВИТЕЛЬСТВА РОССИЙСКОЙ ФЕДЕРАЦИИ ОТ 9 ФЕВРАЛЯ 2010 Г. N 64

1. Абзац второй пункта 2 после слова "Правила" дополнить словами "распределения и".

2. В Правилах предоставления субсидий из федерального бюджета бюджетам субъектов Российской Федерации на выплату денежного поощрения лучшим учителям, утвержденных указанным Постановлением:

а) наименование после слова "Правила" дополнить словами "распределения и";

б) пункт 1 после слова "условия" дополнить словами "распределения и";

в) дополнить пунктом 4(1) следующего содержания:

"4(1). Распределение субсидий между бюджетами субъектов Российской Федерации утверждается распоряжением Правительства Российской Федерации.";

г) пункт 5 изложить в следующей редакции:

"5. Условиями предоставления субсидии являются:

а) наличие нормативного правового акта, устанавливающего расходное обязательство субъекта Российской Федерации по выплате денежного поощрения на текущий финансовый год;

б) наличие в бюджете субъекта Российской Федерации бюджетных ассигнований на исполнение расходного обязательства субъекта Российской Федерации по выплате денежного поощрения;

в) обязательство субъекта Российской Федерации по обеспечению соответствия значений показателей, устанавливаемых региональными (муниципальными) программами, иными нормативными правовыми актами субъекта Российской Федерации и органов местного самоуправления, значениям показателей результативности предоставления субсидии, установленным соглашением между Министерством образования и науки Российской Федерации и высшим исполнительным органом государственной власти субъекта Российской Федерации о предоставлении субсидий (далее - соглашение).";

д) абзац второй пункта 6 изложить в следующей редакции:

"Субсидии предоставляются на основании соглашения.";

е) пункт 7 изложить в следующей редакции:

"7. Соглашение должно содержать следующие положения:

а) целевое назначение субсидии;

б) наличие нормативного правового акта субъекта Российской Федерации, устанавливающего расходное обязательство субъекта Российской Федерации, на исполнение которого предоставляется субсидия;

в) осуществление контроля за соблюдением субъектом Российской Федерации условий, установленных при предоставлении субсидии;

г) сроки и порядок представления отчетности об осуществлении расходов бюджета субъекта Российской Федерации, источником финансового обеспечения которых является субсидия;

д) значения показателей результативности предоставления субсидии;

е) последствия недостижения субъектом Российской Федерации установленных значений показателей результативности предоставления субсидии;

ж) размер предоставляемой субсидии, условия предоставления и расходования субсидии;

з) сведения о размере финансового обеспечения за счет средств бюджета субъекта Российской Федерации расходного обязательства субъекта Российской Федерации, на исполнение которого предоставляется субсидия.";

ж) абзац седьмой пункта 8 изложить в следующей редакции:

"Уровень софинансирования расходного обязательства субъекта Российской Федерации не может быть установлен выше 95 процентов и ниже 5 процентов расходного обязательства.";

з) пункт 9 изложить в следующей редакции:

"9. Оценка эффективности использования субъектом Российской Федерации субсидии осуществляется Министерством образования и науки Российской Федерации на основании сравнения фактически достигнутых субъектом Российской Федерации и установленных соглашением значений следующих показателей результативности предоставления субсидии:

а) количество лучших учителей, которым выплачено денежное поощрение;

б) доля выпускников государственных (муниципальных) общеобразовательных учреждений, не получивших аттестат о среднем (полном) общем образовании.";

и) абзац первый пункта 11 изложить в следующей редакции:

"11. При установлении Министерством образования и науки Российской Федерации нарушений условий предоставления субсидии или отсутствии у субъектов Российской Федерации потребности в субсидии Министерство финансов Российской Федерации вправе в установленном порядке принять решение о приостановлении (сокращении) предоставления субсидии на основании предложений Министерства образования и науки Российской Федерации, представляемых в Министерство финансов Российской Федерации.";

к) дополнить пунктами 11(1) - 11(3) следующего содержания:

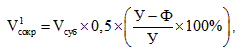
"11(1). В случае если в отчетном финансовом году субъектом Российской Федерации не достигнуто установленное соглашением значение показателя результативности предоставления субсидии, указанного в подпункте "а" пункта 9 настоящих Правил, субсидия, предусмотренная бюджету субъекта Российской Федерации на текущий финансовый год, подлежит сокращению в размере, определяемом по формуле:

где:

V(1)_сокр - размер сокращения субсидии, предусмотренный бюджету субъекта Российской Федерации на текущий финансовый год;

V_суб - размер субсидии, предусмотренный бюджету субъекта Российской Федерации на текущий финансовый год;

У - значение показателя результативности предоставления субсидии, установленное соглашением;

Ф - значение показателя результативности предоставления субсидии, фактически достигнутое субъектом Российской Федерации.

11(2). В случае если в отчетном финансовом году субъектом Российской Федерации превышено установленное соглашением значение показателя результативности предоставления субсидии, указанного в подпункте "б" пункта 9 настоящих Правил, субсидия, предусмотренная бюджету субъекта Российской Федерации на текущий финансовый год, подлежит сокращению в размере, определяемом по формуле:

11(3). Предельный размер сокращения субсидии составляет 20 процентов субсидии, предусмотренной бюджету субъекта Российской Федерации на текущий финансовый год.

Высвобождающиеся в этом случае средства на основании предложений Министерства образования и науки Российской Федерации об увеличении субсидий бюджетам субъектов Российской Федерации, обеспечивших лучшие значения показателей результативности предоставления субсидии, могут быть перераспределены между другими субъектами Российской Федерации, имеющими право на их получение.

При этом в распределение субсидий между бюджетами субъектов Российской Федерации, утвержденное распоряжением Правительства Российской Федерации, вносятся соответствующие изменения.".