Постановление Правительства РФ от 18.11.2011 N 946

"О внесении изменений в постановление Правительства Российской Федерации от 31 декабря 2010 г. N 1238"
Редакция от 18.11.2011 — Документ утратил силу, см. «Постановление Правительства РФ от 18.03.2015 N 246»

ПРАВИТЕЛЬСТВО РОССИЙСКОЙ ФЕДЕРАЦИИ

ПОСТАНОВЛЕНИЕ
от 18 ноября 2011 г. N 946

О ВНЕСЕНИИ ИЗМЕНЕНИЙ В ПОСТАНОВЛЕНИЕ ПРАВИТЕЛЬСТВА РОССИЙСКОЙ ФЕДЕРАЦИИ ОТ 31 ДЕКАБРЯ 2010 Г. N 1238

Правительство Российской Федерации постановляет:

Утвердить прилагаемые изменения, которые вносятся в Постановление Правительства Российской Федерации от 31 декабря 2010 г. N 1238 "О порядке предоставления субсидий из федерального бюджета бюджетам субъектов Российской Федерации на выплату денежного вознаграждения за выполнение функций классного руководителя педагогическим работникам государственных образовательных учреждений субъектов Российской Федерации и муниципальных образовательных учреждений" (Собрание законодательства Российской Федерации, 2011, N 2, ст. 399).

Председатель Правительства
Российской Федерации
В.ПУТИН

УТВЕРЖДЕНЫ
Постановлением Правительства
Российской Федерации
от 18 ноября 2011 г. N 946

ИЗМЕНЕНИЯ, КОТОРЫЕ ВНОСЯТСЯ В ПОСТАНОВЛЕНИЕ ПРАВИТЕЛЬСТВА РОССИЙСКОЙ ФЕДЕРАЦИИ ОТ 31 ДЕКАБРЯ 2010 Г. N 1238

1. Наименование после слова "порядке" дополнить словами "распределения и".

2. Абзац второй пункта 1 после слова "Правила" дополнить словами "распределения и".

3. В Правилах предоставления субсидий из федерального бюджета бюджетам субъектов Российской Федерации на выплату денежного вознаграждения за выполнение функций классного руководителя педагогическим работникам государственных образовательных учреждений субъектов Российской Федерации и муниципальных образовательных учреждений, утвержденных указанным Постановлением:

а) наименование после слова "Правила" дополнить словами "распределения и";

б) пункт 1 после слова "порядок" дополнить словами "распределения и";

в) пункт 2 изложить в следующей редакции:

"2. Условиями предоставления субсидий являются:

а) наличие нормативного правового акта, устанавливающего расходное обязательство субъекта Российской Федерации на выплату вознаграждения на текущий финансовый год;

б) наличие в бюджете субъекта Российской Федерации бюджетных ассигнований на исполнение расходного обязательства субъекта Российской Федерации на выплату вознаграждения;

в) обязательство субъекта Российской Федерации по обеспечению соответствия значений показателей, устанавливаемых региональными (муниципальными) программами, иными нормативными правовыми актами субъекта Российской Федерации и органов местного самоуправления, значениям показателей результативности предоставления субсидии, установленным соглашением между Министерством образования и науки Российской Федерации и высшим исполнительным органом государственной власти субъекта Российской Федерации о предоставлении субсидии (далее - соглашение).";

г) дополнить пунктом 4(1) следующего содержания:

"4(1). Распределение субсидий между бюджетами субъектов Российской Федерации утверждается распоряжением Правительства Российской Федерации.";

д) пункты 6 - 8 изложить в следующей редакции:

"6. Соглашение должно содержать следующие положения:

а) целевое назначение субсидии;

б) наличие нормативного правового акта субъекта Российской Федерации, устанавливающего расходное обязательство субъекта Российской Федерации, на исполнение которого предоставляется субсидия;

в) осуществление контроля за соблюдением субъектом Российской Федерации условий, установленных при предоставлении субсидии;

г) сроки и порядок представления отчетности об осуществлении расходов бюджета субъекта Российской Федерации, источником финансового обеспечения которых является субсидия;

д) значения показателей результативности предоставления субсидии;

е) последствия недостижения субъектом Российской Федерации установленных значений показателей результативности предоставления субсидии;

ж) размер предоставляемой субсидии, условия предоставления и расходования субсидии;

з) сведения о размере финансового обеспечения за счет средств бюджета субъекта Российской Федерации расходного обязательства субъекта Российской Федерации, на исполнение которого предоставляется субсидия.

7. Размер уровня софинансирования расходного обязательства субъекта Российской Федерации за счет субсидии в текущем финансовом году определяется по формуле:

где:

0,5 - средний уровень софинансирования расходного обязательства субъекта Российской Федерации за счет субсидии;

РБО_i - уровень расчетной бюджетной обеспеченности субъекта Российской Федерации на соответствующий финансовый год, рассчитанный в соответствии с методикой распределения дотаций на выравнивание бюджетной обеспеченности субъектов Российской Федерации, утвержденной Постановлением Правительства Российской Федерации от 22 ноября 2004 г. N 670 "О распределении дотаций на выравнивание бюджетной обеспеченности субъектов Российской Федерации".

8. Уровень софинансирования расходного обязательства субъекта Российской Федерации не может быть установлен выше 95 процентов и ниже 5 процентов расходного обязательства.";

е) пункт 9 признать утратившим силу;

ж) пункт 10 изложить в следующей редакции:

"10. Оценка эффективности использования субъектом Российской Федерации субсидии осуществляется Министерством образования и науки Российской Федерации на основании сравнения фактически достигнутых субъектом Российской Федерации и установленных соглашением значений следующих показателей результативности предоставления субсидии:

а) количество педагогических работников, получающих вознаграждение;

б) средний размер выплаченного вознаграждения;

в) количество детей школьного возраста, не обучающихся в образовательных учреждениях;

г) доля несовершеннолетних, совершивших преступления, в общем числе лиц, совершивших преступления;

д) доля стимулирующих выплат в фонде оплаты труда образовательных учреждений.";

з) в пункте 14 слова ", в том числе недостижения субъектами Российской Федерации значений показателей эффективности, предусмотренных пунктом 10 настоящих Правил," исключить;

и) дополнить пунктами 14(1) - 14(3) следующего содержания:

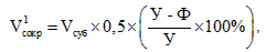
"14(1). В случае если в отчетном финансовом году субъектом Российской Федерации не достигнуто установленное соглашением значение одного из показателей результативности предоставления субсидии, указанных в подпунктах "а", "б" и "д" пункта 10 настоящих Правил, субсидия, предусмотренная бюджету субъекта Российской Федерации на текущий финансовый год, подлежит сокращению в размере, определяемом по формуле:

где:

V_суб - размер субсидии, предусмотренный бюджету субъекта Российской Федерации на текущий финансовый год;

У - значение показателя результативности предоставления субсидии, установленное соглашением;

Ф - значение показателя результативности предоставления субсидии, фактически достигнутое субъектом Российской Федерации.

14(2). В случае если в отчетном финансовом году субъектом Российской Федерации превышено установленное соглашением значение одного из показателей результативности предоставления субсидии, указанных в подпунктах "в" и "г" пункта 10 настоящих Правил, субсидия, предусмотренная бюджету субъекта Российской Федерации на текущий финансовый год, подлежит сокращению в размере, определяемом по формуле:

14(3). Предельный размер сокращения субсидии составляет 20 процентов субсидии, предусмотренной бюджету субъекта Российской Федерации на текущий финансовый год.

Предложения о сокращении объемов предоставляемых субсидий вносятся в Министерство финансов Российской Федерации Министерством образования и науки Российской Федерации.

Высвобождающиеся в этом случае средства на основании предложений Министерства образования и науки Российской Федерации об увеличении субсидий бюджетам субъектов Российской Федерации, обеспечивших лучшие значения показателей результативности предоставления субсидий, могут быть перераспределены между другими субъектами Российской Федерации, имеющими право на их получение.

При этом в распределение субсидий между бюджетами субъектов Российской Федерации, утвержденное распоряжением Правительства Российской Федерации, вносятся соответствующие изменения.".