Постановление Правительства РФ от 09.02.2010 N 64

"О выплате денежного поощрения лучшим учителям"
Редакция от 18.11.2011 — Документ утратил силу, см. «Постановление Правительства РФ от 26.12.2014 N 1517»
Показать изменения

ПРАВИТЕЛЬСТВО РОССИЙСКОЙ ФЕДЕРАЦИИ

ПОСТАНОВЛЕНИЕ
от 9 февраля 2010 г. N 64

О ВЫПЛАТЕ ДЕНЕЖНОГО ПООЩРЕНИЯ ЛУЧШИМ УЧИТЕЛЯМ

(в ред. Постановлений Правительства РФ от 08.09.2010 N 702, от 31.12.2010 N 1213, от 18.11.2011 N 947)

В соответствии с Указом Президента Российской Федерации от 28 января 2010 г. N 117 "О денежном поощрении лучших учителей" Правительство Российской Федерации постановляет:

1. Установить, что выплата денежного поощрения лучшим учителям осуществляется органами исполнительной власти субъектов Российской Федерации за счет субсидий, предоставляемых из федерального бюджета бюджетам субъектов Российской Федерации, по результатам конкурса, правила проведения которого устанавливаются Министерством образования и науки Российской Федерации.

2. Утвердить прилагаемые:

Правила распределения и предоставления субсидий из федерального бюджета бюджетам субъектов Российской Федерации на выплату денежного поощрения лучшим учителям; (в ред. Постановлений Правительства РФ от 31.12.2010 N 1213, от 18.11.2011 N 947)

распределение субсидий из федерального бюджета бюджетам субъектов Российской Федерации на выплату денежного поощрения лучшим учителям на 2010 год.

3. Министерству образования и науки Российской Федерации в 2-месячный срок утвердить:

форму соглашения между Министерством образования и науки Российской Федерации и высшим исполнительным органом государственной власти субъекта Российской Федерации о предоставлении субсидии из федерального бюджета бюджету субъекта Российской Федерации на выплату денежного поощрения лучшим учителям; (в ред. Постановления Правительства РФ от 08.09.2010 N 702)

форму отчета об осуществлении расходов бюджета субъекта Российской Федерации, источником финансового обеспечения которых является субсидия, предоставляемая из федерального бюджета бюджету субъекта Российской Федерации на выплату денежного поощрения лучшим учителям.

Председатель Правительства
Российской Федерации
В.ПУТИН

УТВЕРЖДЕНЫ
постановлением Правительства
Российской Федерации
от 9 февраля 2010 г. N 64

ПРАВИЛА
РАСПРЕДЕЛЕНИЯ И ПРЕДОСТАВЛЕНИЯ СУБСИДИЙ ИЗ ФЕДЕРАЛЬНОГО БЮДЖЕТА БЮДЖЕТАМ СУБЪЕКТОВ РОССИЙСКОЙ ФЕДЕРАЦИИ НА ВЫПЛАТУ ДЕНЕЖНОГО ПООЩРЕНИЯ ЛУЧШИМ УЧИТЕЛЯМ

(в ред. Постановлений Правительства РФ от 08.09.2010 N 702, от 31.12.2010 N 1213, от 18.11.2011 N 947)

1. Настоящие Правила определяют порядок и условия распределения и предоставления субсидий из федерального бюджета бюджетам субъектов Российской Федерации на выплату денежного поощрения лучшим учителям (далее соответственно - денежное поощрение, субсидии). (в ред. Постановлений Правительства РФ от 31.12.2010 N 1213, от 18.11.2011 N 947)

2. Министерство образования и науки Российской Федерации ежегодно при формировании проекта федерального бюджета на соответствующий финансовый год определяет количество денежных поощрений для субъектов Российской Федерации.

3. Количество денежных поощрений для каждого субъекта Российской Федерации определяется по формуле:

N_k =   1000 х (2S_k = G_k )   ,
  2S = G  

где:

N - количество денежных поощрений для субъекта Российской k Федерации, выраженное целым числом. При этом указанный показатель не может быть менее 1 на субъект Российской Федерации;

1000 - количество ежегодно устанавливаемых в Российской Федерации денежных поощрений;

S - количество обучающихся в образовательных учреждениях, реализующих общеобразовательные программы начального, общего, основного общего и среднего (полного) общего образования (далее - образовательные учреждения), расположенных в сельской местности, в целом по Российской Федерации;

G - количество обучающихся в образовательных учреждениях, расположенных в городской местности, в целом по Российской Федерации;

S - количество обучающихся в образовательных учреждениях, k расположенных в сельской местности, по субъекту Российской Федерации;

G - количество обучающихся в образовательных учреждениях, k расположенных в городской местности, по субъекту Российской Федерации.

4. Размер субсидии определяется по формуле:

C_k = N_k х 200000,

где:

C_k - размер субсидии;

N_k - количество денежных поощрений для субъекта Российской Федерации;

200000 - размер денежного поощрения в рублях.

4(1). Распределение субсидий между бюджетами субъектов Российской Федерации утверждается распоряжением Правительства Российской Федерации. (в ред. Постановления Правительства РФ от 18.11.2011 N 947)

5. Условиями предоставления субсидии являются: (в ред. Постановления Правительства РФ от 18.11.2011 N 947)

а) наличие нормативного правового акта, устанавливающего расходное обязательство субъекта Российской Федерации по выплате денежного поощрения на текущий финансовый год; (в ред. Постановления Правительства РФ от 18.11.2011 N 947)

б) наличие в бюджете субъекта Российской Федерации бюджетных ассигнований на исполнение расходного обязательства субъекта Российской Федерации по выплате денежного поощрения; (в ред. Постановления Правительства РФ от 18.11.2011 N 947)

в) обязательство субъекта Российской Федерации по обеспечению соответствия значений показателей, устанавливаемых региональными (муниципальными) программами, иными нормативными правовыми актами субъекта Российской Федерации и органов местного самоуправления, значениям показателей результативности предоставления субсидии, установленным соглашением между Министерством образования и науки Российской Федерации и высшим исполнительным органом государственной власти субъекта Российской Федерации о предоставлении субсидий (далее - соглашение). (в ред. Постановления Правительства РФ от 18.11.2011 N 947)

6. Субсидии предоставляются бюджету субъекта Российской Федерации в пределах бюджетных ассигнований, предусмотренных в федеральном законе о федеральном бюджете на соответствующий финансовый год и плановый период, и лимитов бюджетных обязательств, утвержденных в установленном порядке Министерству образования и науки Российской Федерации на цели, указанные в пункте 1 настоящих Правил. (в ред. Постановления Правительства РФ от 31.12.2010 N 1213)

Субсидии предоставляются на основании соглашения. (в ред. Постановления Правительства РФ от 18.11.2011 N 947)

7. Соглашение должно содержать следующие положения: (в ред. Постановления Правительства РФ от 18.11.2011 N 947)

а) целевое назначение субсидии; (в ред. Постановления Правительства РФ от 18.11.2011 N 947)

б) наличие нормативного правового акта субъекта Российской Федерации, устанавливающего расходное обязательство субъекта Российской Федерации, на исполнение которого предоставляется субсидия; (в ред. Постановления Правительства РФ от 18.11.2011 N 947)

в) осуществление контроля за соблюдением субъектом Российской Федерации условий, установленных при предоставлении субсидии; (в ред. Постановления Правительства РФ от 18.11.2011 N 947)

г) сроки и порядок представления отчетности об осуществлении расходов бюджета субъекта Российской Федерации, источником финансового обеспечения которых является субсидия; (в ред. Постановления Правительства РФ от 18.11.2011 N 947)

д) значения показателей результативности предоставления субсидии; (в ред. Постановления Правительства РФ от 18.11.2011 N 947)

е) последствия недостижения субъектом Российской Федерации установленных значений показателей результативности предоставления субсидии; (в ред. Постановления Правительства РФ от 18.11.2011 N 947)

ж) размер предоставляемой субсидии, условия предоставления и расходования субсидии; (в ред. Постановления Правительства РФ от 18.11.2011 N 947)

з) сведения о размере финансового обеспечения за счет средств бюджета субъекта Российской Федерации расходного обязательства субъекта Российской Федерации, на исполнение которого предоставляется субсидия. (в ред. Постановления Правительства РФ от 18.11.2011 N 947)

8. Уровень софинансирования расходного обязательства субъекта Российской Федерации за счет субсидии определяется по следующей формуле:

У_i = 0,5 ,
РБО_i

где:

У_i - уровень софинансирования расходного обязательства субъекта Российской Федерации за счет субсидии;

РБО_i - уровень расчетной бюджетной обеспеченности субъекта Российской Федерации на соответствующий финансовый год, рассчитанный в соответствии с методикой распределения дотаций на выравнивание бюджетной обеспеченности субъектов Российской Федерации, утвержденной постановлением Правительства Российской Федерации от 22 ноября 2004 г. N 670;

0,5 - средний уровень софинансирования расходного обязательства субъекта Российской Федерации за счет субсидии.

Уровень софинансирования расходного обязательства субъекта Российской Федерации не может быть установлен выше 95 процентов и ниже 5 процентов расходного обязательства. (в ред. Постановления Правительства РФ от 18.11.2011 N 947)

9. Оценка эффективности использования субъектом Российской Федерации субсидии осуществляется Министерством образования и науки Российской Федерации на основании сравнения фактически достигнутых субъектом Российской Федерации и установленных соглашением значений следующих показателей результативности предоставления субсидии: (в ред. Постановления Правительства РФ от 18.11.2011 N 947)

а) количество лучших учителей, которым выплачено денежное поощрение; (в ред. Постановления Правительства РФ от 18.11.2011 N 947)

б) доля выпускников государственных (муниципальных) общеобразовательных учреждений, не получивших аттестат о среднем (полном) общем образовании. (в ред. Постановления Правительства РФ от 18.11.2011 N 947)

10. Уполномоченные органы исполнительной власти субъектов Российской Федерации не позднее 15 ноября представляют в Министерство образования и науки Российской Федерации отчет об осуществлении расходов бюджетов субъектов Российской Федерации, источником финансового обеспечения которых являются субсидии, по форме, утверждаемой Министерством образования и науки Российской Федерации. (в ред. Постановления Правительства РФ от 08.09.2010 N 702)

10(1). Перечисление субсидий осуществляется на счета территориальных органов Федерального казначейства, открытые для учета поступлений и их распределения между бюджетами бюджетной системы Российской Федерации, для последующего перечисления в установленном порядке в бюджеты субъектов Российской Федерации. (в ред. Постановления Правительства РФ от 31.12.2010 N 1213)

10(2). Операции по кассовым расходам бюджетов субъектов Российской Федерации, источником финансового обеспечения которых являются субсидии, в том числе их остатки, не использованные на 1 января текущего финансового года, осуществляются с учетом особенностей, установленных федеральным законом о федеральном бюджете на текущий финансовый год и плановый период. (в ред. Постановления Правительства РФ от 31.12.2010 N 1213)

Перечисление субсидий осуществляется в соответствии с условиями соглашения. (в ред. Постановления Правительства РФ от 31.12.2010 N 1213)

Информация об объемах и о сроках перечисления субсидий учитывается Министерством образования и науки Российской Федерации при формировании прогноза кассовых выплат из федерального бюджета, необходимого для составления в установленном порядке кассового плана исполнения федерального бюджета. (в ред. Постановления Правительства РФ от 31.12.2010 N 1213)

11. При установлении Министерством образования и науки Российской Федерации нарушений условий предоставления субсидии или отсутствии у субъектов Российской Федерации потребности в субсидии Министерство финансов Российской Федерации вправе в установленном порядке принять решение о приостановлении (сокращении) предоставления субсидии на основании предложений Министерства образования и науки Российской Федерации, представляемых в Министерство финансов Российской Федерации. (в ред. Постановления Правительства РФ от 18.11.2011 N 947)

В случае осуществления расходов бюджета субъекта Российской Федерации, источником финансового обеспечения которых является субсидия, не по целевому назначению соответствующие средства взыскиваются в доход федерального бюджета в порядке, установленном бюджетным законодательством Российской Федерации.

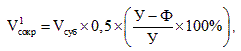
11(1). В случае если в отчетном финансовом году субъектом Российской Федерации не достигнуто установленное соглашением значение показателя результативности предоставления субсидии, указанного в подпункте "а" пункта 9 настоящих Правил, субсидия, предусмотренная бюджету субъекта Российской Федерации на текущий финансовый год, подлежит сокращению в размере, определяемом по формуле: (в ред. Постановления Правительства РФ от 18.11.2011 N 947)

(в ред. Постановления Правительства РФ от 18.11.2011 N 947)

где:

V(1)_сокр - размер сокращения субсидии, предусмотренный бюджету субъекта Российской Федерации на текущий финансовый год; (в ред. Постановления Правительства РФ от 18.11.2011 N 947)

V_суб - размер субсидии, предусмотренный бюджету субъекта Российской Федерации на текущий финансовый год; (в ред. Постановления Правительства РФ от 18.11.2011 N 947)

У - значение показателя результативности предоставления субсидии, установленное соглашением; (в ред. Постановления Правительства РФ от 18.11.2011 N 947)

Ф - значение показателя результативности предоставления субсидии, фактически достигнутое субъектом Российской Федерации. (в ред. Постановления Правительства РФ от 18.11.2011 N 947)

11(2). В случае если в отчетном финансовом году субъектом Российской Федерации превышено установленное соглашением значение показателя результативности предоставления субсидии, указанного в подпункте "б" пункта 9 настоящих Правил, субсидия, предусмотренная бюджету субъекта Российской Федерации на текущий финансовый год, подлежит сокращению в размере, определяемом по формуле: (в ред. Постановления Правительства РФ от 18.11.2011 N 947)

(в ред. Постановления Правительства РФ от 18.11.2011 N 947)

11(3). Предельный размер сокращения субсидии составляет 20 процентов субсидии, предусмотренной бюджету субъекта Российской Федерации на текущий финансовый год. (в ред. Постановления Правительства РФ от 18.11.2011 N 947)

Высвобождающиеся в этом случае средства на основании предложений Министерства образования и науки Российской Федерации об увеличении субсидий бюджетам субъектов Российской Федерации, обеспечивших лучшие значения показателей результативности предоставления субсидии, могут быть перераспределены между другими субъектами Российской Федерации, имеющими право на их получение. (в ред. Постановления Правительства РФ от 18.11.2011 N 947)

При этом в распределение субсидий между бюджетами субъектов Российской Федерации, утвержденное распоряжением Правительства Российской Федерации, вносятся соответствующие изменения. (в ред. Постановления Правительства РФ от 18.11.2011 N 947)

12. При установлении факта нарушения субъектом Российской Федерации условий, предусмотренных настоящими Правилами и соглашением, к субъекту Российской Федерации применяются меры, установленные бюджетным законодательством Российской Федерации.

12(1). Не использованный на 1 января текущего финансового года остаток субсидий подлежит возврату в федеральный бюджет органами государственной власти субъектов Российской Федерации, за которыми в соответствии с законодательными и иными нормативными правовыми актами закреплены источники доходов бюджета субъекта Российской Федерации по возврату остатков субсидий, в соответствии с требованиями, установленными Бюджетным кодексом Российской Федерации и федеральным законом о федеральном бюджете на текущий финансовый год и плановый период. (в ред. Постановления Правительства РФ от 31.12.2010 N 1213)

В соответствии с решением Министерства образования и науки Российской Федерации о наличии потребности в не использованных в текущем финансовом году остатках субсидий средства в объеме, не превышающем указанные остатки, подлежат перечислению в очередном финансовом году из федерального бюджета в бюджеты субъектов Российской Федерации в целях финансового обеспечения расходов бюджетов субъектов Российской Федерации, соответствующих условиям предоставления субсидий. (в ред. Постановления Правительства РФ от 31.12.2010 N 1213)

В случае если неиспользованный остаток субсидий не перечислен в доход федерального бюджета, указанные средства подлежат взысканию в доход федерального бюджета в порядке, установленном Министерством финансов Российской Федерации. (в ред. Постановления Правительства РФ от 31.12.2010 N 1213)

13. Ответственность за достоверность отчетов, представляемых в Министерство образования и науки Российской Федерации в соответствии с пунктом 10 настоящих Правил, возлагается на уполномоченные органы исполнительной власти субъектов Российской Федерации. 14. Контроль за соблюдением субъектами Российской Федерации условий предоставления субсидий осуществляется Министерством образования и науки Российской Федерации и Федеральной службой финансово-бюджетного надзора. (в ред. Постановления Правительства РФ от 08.09.2010 N 702)

УТВЕРЖДЕНО
постановлением Правительства
Российской Федерации
от 9 февраля 2010 г. N 64

РАСПРЕДЕЛЕНИЕ СУБСИДИЙ ИЗ ФЕДЕРАЛЬНОГО БЮДЖЕТА БЮДЖЕТАМ СУБЪЕКТОВ РОССИЙСКОЙ ФЕДЕРАЦИИ НА ВЫПЛАТУ ДЕНЕЖНОГО ПООЩРЕНИЯ ЛУЧШИМ УЧИТЕЛЯМ НА 2010 ГОД

Наименование субъекта Российской Федерации Размер субсидии на 2010 год (тыс. рублей)
Республика Адыгея 800
Республика Алтай 600
Республика Башкортостан 7400
Республика Бурятия 2000
Республика Дагестан 7400
Республика Ингушетия 1400
Кабардино-Балкарская Республика 1600
Республика Калмыкия 600
Карачаево-Черкесская Республика 800
Республика Карелия 1000
Республика Коми 1400
Республика Марий Эл 1000
Республика Мордовия 1200
Республика Саха (Якутия) 2400
Республика Северная Осетия - Алания 1200
Республика Татарстан 5800
Республика Тыва 1000
Удмуртская Республика 2400
Республика Хакасия 1000
Чеченская Республика 4000
Чувашская Республика 2200
Алтайский край 4000
Забайкальский край 2200
Камчатский край 400
Краснодарский край 8400
Красноярский край 4200
Пермский край 4000
Приморский край 2800
Ставропольский край 4600
Хабаровский край 1800
Амурская область 1400
Архангельская область 1800
Астраханская область 1600
Белгородская область 2000
Брянская область 1800
Владимирская область 1600
Волгоградская область 3400
Вологодская область 1600
Воронежская область 3200
Ивановская область 1200
Иркутская область 3800
Калининградская область 1200
Калужская область 1200
Кемеровская область 3600
Кировская область 1800
Костромская область 1000
Курганская область 1600
Курская область 1600
Ленинградская область 1800
Липецкая область 1600
Магаданская область 200
Московская область 7800
Мурманская область 1000
Нижегородская область 4000
Новгородская область 800
Новосибирская область 3600
Омская область 3200
Оренбургская область 3600
Орловская область 1000
Пензенская область 1800
Псковская область 800
Ростовская область 6000
Рязанская область 1400
Самарская область 4000
Саратовская область 3400
Сахалинская область 600
Свердловская область 5200
Смоленская область 1200
Тамбовская область 1600
Тверская область 1600
Томская область 1600
Тульская область 1600
Тюменская область 2200
Ульяновская область 1800
Челябинская область 4400
Ярославская область 1400
Город Москва 8200
Город Санкт-Петербург 4000
Еврейская автономная область 200
Ханты-Мансийский автономный округ - Югра 2200
Чукотский автономный округ 200
Ямало-Ненецкий автономный округ 1000
Всего 200000