Информационное письмо ФСФР РФ от 22.12.2011 N 11-ДП-12/36717

"Об условиях и форматах представления страховыми организациями годовой бухгалтерской отчетности и отчетности в порядке надзора за 2011 год в виде электронного документа, а также о контрольных соотношениях показателей отчетности"

ФЕДЕРАЛЬНАЯ СЛУЖБА ПО ФИНАНСОВЫМ РЫНКАМ

ИНФОРМАЦИОННОЕ ПИСЬМО
от 22 декабря 2011 г. N 11-ДП-12/36717

ОБ УСЛОВИЯХ И ФОРМАТАХ ПРЕДСТАВЛЕНИЯ СТРАХОВЫМИ ОРГАНИЗАЦИЯМИ ГОДОВОЙ БУХГАЛТЕРСКОЙ ОТЧЕТНОСТИ И ОТЧЕТНОСТИ В ПОРЯДКЕ НАДЗОРА ЗА 2011 ГОД В ВИДЕ ЭЛЕКТРОННОГО ДОКУМЕНТА, А ТАКЖЕ О КОНТРОЛЬНЫХ СООТНОШЕНИЯХ ПОКАЗАТЕЛЕЙ ОТЧЕТНОСТИ

Во исполнение пункта 4 статьи 28 Закона Российской Федерации от 27 ноября 1992 г. N 4015-1 "Об организации страхового дела в Российской Федерации" и в соответствии с приказом Министерства финансов Российской Федерации от 11 мая 2010 г. N 41н "О формах бухгалтерской отчетности страховых организаций и отчетности, представляемой в порядке надзора" до сведения страховых организаций доводятся:

условия и форматы представления страховыми организациями годовой бухгалтерской отчетности и отчетности в порядке надзора в виде электронного документа (приложение N 1 к настоящему информационному письму);

контрольные соотношения показателей годовой бухгалтерской отчетности и отчетности в порядке надзора (приложение N 2 к настоящему информационному письму).

Д.В. ПАНКИН

Приложение N 1
к информационному письму
Федеральной службы
по финансовым рынкам
от 22.12.2011 N 11-ДП-12/36717

УСЛОВИЯ И ФОРМАТЫ ПРЕДСТАВЛЕНИЯ СТРАХОВЫМИ ОРГАНИЗАЦИЯМИ ГОДОВОЙ БУХГАЛТЕРСКОЙ ОТЧЕТНОСТИ И ОТЧЕТНОСТИ В ПОРЯДКЕ НАДЗОРА В ВИДЕ ЭЛЕКТРОННОГО ДОКУМЕНТА

1. Общие положения

Страховые организации представляют годовую бухгалтерскую отчетность и отчетность в порядке надзора (далее - годовая отчетность) в виде xml-файлов, обеспечивающих считывание и контроль показателей отчетности.

Годовая отчетность представляется на сменных носителях информации (два компакт-диска (CD-R)), которые после записи информации должны быть закрыты.

Два компакт-диска должны содержать одинаковую информацию.

При представлении годовой отчетности на сменных носителях информации страховыми организациями должны быть обеспечены следующие условия:

- идентичность информации, представляемой страховой организацией в виде электронной записи на сменных носителях информации и на бумажном оригинале;

- соблюдение контрольных соотношений показателей годовой бухгалтерской отчетности и отчетности в порядке надзора (приложение N 2 к информационному письму).

Годовая отчетность представляется в виде набора xml-файлов, содержащих данные по формам отчетности, описание страховой организации, сведения из аудиторского заключения и перечень файлов с информацией из пояснительной записки и аудиторским заключением; файлов, содержащих информацию из пояснительной записки и аудиторское заключение; файла tests_comments.xml, содержащего пояснения к протоколу проверки контрольных соотношений показателей годовой отчетности (далее - протокол проверки).

В наборе обязательно должен присутствовать xml-файл с именем 0.xml, содержащий описание страховой организации, сведения из аудиторского заключения и перечень файлов, в которых представляется информация из пояснительной записки и аудиторское заключение.

Файлы, содержащие данные по формам отчетности, представляются в случае необходимости составления форм отчетности в соответствии с приказом Министерства финансов Российской Федерации от 11 мая 2010 г. N 41н "О формах бухгалтерской отчетности страховых организаций и отчетности, представляемой в порядке надзора".

Файл tests_comments.xml, содержащий пояснения к протоколу проверки, представляется в случае, если протокол проверки содержит контрольные соотношения, которые не выполнены либо в которых требуется дать пояснения, расшифровку или представить какую-либо информацию в пояснительной записке.

На каждую форму отчетности оформляется отдельный xml-файл с именем формы и расширением xml: 1.xml, 7.xml, 7a.xml и т.д. Если название формы содержит помимо цифр буквенный символ "a", то следует использовать строчный латинский символ: a.

На каждый раздел пояснительной записки представляется файл одного из видов: текстовый файл в кодировке "Windows-1251" с расширением "txt", документ Microsoft Word с расширением "doc" или "rtf", документ Microsoft Excel с расширением "xls".

Файл, содержащий полный текст пояснительной записки, представляется в виде документа Microsoft Word с расширением "doc" или "rtf".

Файл, содержащий цифровую копию бумажного оригинала аудиторского заключения, представляется в виде графического документа в формате JPEG.

Имена файлов пояснительной записки и аудиторского заключения должны состоять исключительно из латинских букв, цифр и знаков подчеркивания ("_").

Каждый xml-файл, содержащий данные по формам отчетности, должен иметь следующую структуру:

<?xml version="1.0" encoding="Encoding"?>
<company id="CompanyId" kind="acc" period="Period">
  ...
</company>

, где Encoding - условное обозначение кодировки, используемой в текстовом файле.

Для файлов MS Windows 2000/XP/Vista/7: windows-1251,

для файлов MS DOS: cp866,

для файлов Linux: koi8-r;

CompanyId - регистрационный номер страховой организации по единому государственному реестру субъектов страхового дела;

Period - последний календарный день отчетного периода в формате DD.MM.YYYY.

Запись вида <xxx> в дальнейшем будет называться открывающимся, а </xxx> - закрывающимся тэгом xxx. Объявление тэга не должно содержать пробелов и символов табуляции. Текстовый блок между открывающимся <xxx> и закрывающимся </xxx> тэгом будет называться секцией xxx.

Таким образом, каждый xml-файл состоит из заголовка и единственной секции company. Секция company должна содержать информацию, специфичную для конкретного файла. В дальнейшем эта информация будет обозначаться как тело файла.

2. Файл, содержащий описание страховой организации, сведения из аудиторского заключения и перечень файлов пояснительной записки и аудиторского заключения (0.xml)

Тело файла 0.xml должно состоять из одной или нескольких секций attributes, одной секции general и одной секции explanation:

<attributes date="StartDate">
  <attr1>Value 1</attr1>
  <attr2>
    <subattr1>Value</subattr1>
    <subattr2>Value</subattr2>
  </attr2>
    ...
<attrN>Value N</attrN>
</attributes>
<attributes date="StartDate">
  ...
</attributes>
<general>
  ...
</general>
<explanation>
  ...
</explanation>

StartDate - дата, начиная с которой перечисленные в секции атрибуты имеют актуальные значения.

Первая секция attributes должна иметь дату начала отчетного года и описывать все атрибуты страховой организации, перечисленные в Таблице 1.

Дополнительные секции attributes требуются лишь в случае, если за отчетный период какие-либо атрибуты страховой организации менялись.

Например, если за отчетный период поменялось наименование страховой организации, то в теле файла должна присутствовать дополнительная секция attributes:

<attributes date="01.01.2011">
  <name> Общество с ограниченной ответственностью  
    "Перестраховочная компания "Защита Ре"</name>  
  <inn>7712345678</inn>  
  ...    
</attributes>      
       
<attributes date="17.05.2011">
  <name> Общество с ограниченной ответственностью  
    "Перестраховочная компания "Надежное  
    перестрахование"</name>  
  <inn>7712345678</inn>  
  ...    
</attributes>      

Внутри секции attributes перечисляются следующие атрибуты страховой организации (названия тэгов пишутся исключительно строчными латинскими буквами):

Таблица 1

Тэг Вложенный тэг Значение
name Полное наименование страховой организации
shortname Краткое наименование страховой организации
inn Идентификационный номер налогоплательщика (ИНН)
legal_entity_form Организационно-правовая форма
property_form Форма собственности
okopf Код по ОКОПФ
okfs Код по ОКФС
okpo Код по ОКПО
okved Код по ОКВЭД
address Юридический адрес
phone Номер телефона
kinds Виды страхования
life Страхование жизни
exceptlife Страхование иное, чем страхование жизни
medical Обязательное медицинское страхование
avto Обязательное страхование гражданской ответственности владельцев транспортных средств
reinsurance_in Перестрахование принятое
reinsurance_out Перестрахование переданное

Пояснения к заполнению Таблицы 1

ПОЛНОЕ НАИМЕНОВАНИЕ СТРАХОВОЙ ОРГАНИЗАЦИИ - указывается полное наименование юридического лица в соответствии с учредительными документами, зарегистрированными в установленном порядке.

КРАТКОЕ НАИМЕНОВАНИЕ СТРАХОВОЙ ОРГАНИЗАЦИИ - указывается сокращенное фирменное наименование страховой организации в соответствии с учредительными документами, зарегистрированными в установленном порядке.

ИДЕНТИФИКАЦИОННЫЙ НОМЕР НАЛОГОПЛАТЕЛЬЩИКА (ИНН) - указывается идентификационный номер налогоплательщика, присвоенный страховой организации налоговым органом Российской Федерации.

ОРГАНИЗАЦИОННО-ПРАВОВАЯ ФОРМА - указывается организационно-правовая форма страховой организации согласно Общероссийскому классификатору организационно-правовых форм (ОКОПФ).

ФОРМА СОБСТВЕННОСТИ - указывается форма собственности страховой организации согласно Общероссийскому классификатору форм собственности (ОКФС).

КОД ПО ОКОПФ - указывается код организационно-правовой формы страховой организации по Общероссийскому классификатору организационно-правовых форм (ОКОПФ), присвоенный страховой организации.

КОД ПО ОКФС - указывается код формы собственности страховой организации по Общероссийскому классификатору форм собственности (ОКФС), присвоенный страховой организации.

КОД ПО ОКПО - указывается код по Общероссийскому классификатору предприятий и организаций (ОКПО), присвоенный страховой организации.

Код по ОКВЭД - указывается код вида деятельности страховой организации по Общероссийскому классификатору видов экономической деятельности (ОКВЭД).

При заполнении кода вида деятельности по ОКВЭД проставляются первые два знака кодового обозначения вида деятельности, соответствующие классификационному признаку "сфера деятельности" (класс).

Если в отчетном периоде страховая организация:

а) имела лицензию на осуществление видов страхования, предусмотренных подпунктами 1 - 3 пункта 1 статьи 32.9 Закона Российской Федерации от 27 ноября 1992 г. N 4015-1 "Об организации страхового дела в Российской Федерации", то поле СТРАХОВАНИЕ ЖИЗНИ принимает значение 1, в противном случае - 0;

б) имела лицензию на осуществление видов страхования, предусмотренных подпунктами 4 - 23 пункта 1 статьи 32.9 Закона Российской Федерации от 27 ноября 1992 г. N 4015-1 "Об организации страхового дела в Российской Федерации" (кроме указанных в подпунктах "в" и "г" настоящего пункта), то поле СТРАХОВАНИЕ ИНОЕ, ЧЕМ СТРАХОВАНИЕ ЖИЗНИ принимает значение 1, в противном случае - 0;

в) имела лицензию на осуществление вида страхования, предусмотренного подпунктом 5 пункта 1 статьи 32.9 Закона Российской Федерации от 27 ноября 1992 г. N 4015-1 "Об организации страхового дела в Российской Федерации" (медицинское страхование) и осуществляемого по Правилам обязательного медицинского страхования, то поле ОБЯЗАТЕЛЬНОЕ МЕДИЦИНСКОЕ СТРАХОВАНИЕ принимает значение 1, в противном случае - 0;

г) имела лицензию на осуществление вида страхования, предусмотренного подпунктом 14 пункта 1 статьи 32.9 Закона Российской Федерации от 27 ноября 1992 г. N 4015-1 "Об организации страхового дела в Российской Федерации" (страхование гражданской ответственности владельцев автотранспортных средств) и осуществляемого по Правилам обязательного страхования гражданской ответственности владельцев транспортных средств, то поле ОБЯЗАТЕЛЬНОЕ СТРАХОВАНИЕ ГРАЖДАНСКОЙ ОТВЕТСТВЕННОСТИ ВЛАДЕЛЬЦЕВ ТРАНСПОРТНЫХ СРЕДСТВ принимает значение 1, в противном случае - 0;

д) имела лицензию на осуществление перестрахования, то поле ПЕРЕСТРАХОВАНИЕ ПРИНЯТОЕ принимает значение 1, в противном случае - 0;

е) передавала в перестрахование риски или производила расчеты по договорам, переданным в перестрахование в предыдущие периоды, то поле ПЕРЕСТРАХОВАНИЕ ПЕРЕДАННОЕ принимает значение 1, в противном случае - 0.

Внутри секции general указываются следующие атрибуты страховой организации и сведения из аудиторского заключения, которые имеют смысл лишь для отчетности в целом:

Таблица 2

Тэг Вложенный тэг Значение
account confirmation_date Дата утверждения отчетности
sign_date Дата подписания отчетности
head Руководитель страховой организации
name Фамилия, имя, отчество
position Должность
accountant Главный бухгалтер
name Фамилия, имя, отчество
auditor Сведения из аудиторского заключения
firm Аудиторская организация
name_SRO_firm Наименование саморегулируемой организации аудиторов
reg_record_no_firm Основной регистрационный номер записи (ОРНЗ)
name Имя аудитора
conclusion_date Дата аудиторского заключения
type Тип аудиторского заключения

Пояснения к заполнению Таблицы 2

ДАТА УТВЕРЖДЕНИЯ ОТЧЕТНОСТИ - указывается дата утверждения годовой бухгалтерской отчетности годовым общим собранием акционеров (участников) или собственником имущества страховой организации (формат даты DD.MM.YYYY).

ДАТА ПОДПИСАНИЯ ОТЧЕТНОСТИ - указывается дата подписания бумажного оригинала годовой отчетности руководителем страховой организации (формат даты DD.MM.YYYY).

АУДИТОРСКАЯ ОРГАНИЗАЦИЯ - указывается наименование аудиторской организации - члена саморегулируемой организации аудиторов, выдавшей аудиторское заключение.

НАИМЕНОВАНИЕ САМОРЕГУЛИРУЕМОЙ ОРГАНИЗАЦИИ АУДИТОРОВ - указывается наименование саморегулируемой организации аудиторов, членом которой является аудиторская организация, выдавшая аудиторское заключение.

ОСНОВНОЙ РЕГИСТРАЦИОННЫЙ НОМЕР ЗАПИСИ (ОРНЗ) - указывается регистрационный номер записи аудиторской организации - члена саморегулируемой организации аудиторов, выдавшей аудиторское заключение, в реестре аудиторов и аудиторских организаций саморегулируемой организации аудиторов.

ИМЯ АУДИТОРА - указывается фамилия и инициалы лица, подписавшего аудиторское заключение (руководителя аудиторской организации или уполномоченного им лица, имеющего квалификационный аттестат аудитора).

ДАТА АУДИТОРСКОГО ЗАКЛЮЧЕНИЯ - указывается дата аудиторского заключения в формате DD.MM.YYYY.

ТИП АУДИТОРСКОГО ЗАКЛЮЧЕНИЯ - указывается форма выраженного в аудиторском заключении мнения аудитора: немодифицированное мнение; мнение с оговоркой; отрицательное мнение; отказ от выражения мнения.

Внутри секции explanation перечисляются имена файлов пояснительной записки и аудиторского заключения согласно предусмотренным в Таблице 3 кодам разделов:

Таблица 3

Код раздела Наименование раздела Содержание
1 Аудиторское заключение
2 Полный текст пояснительной записки
3 Общие сведения Юридический адрес страховой организации; состав (фамилии и должности) членов исполнительных и контрольных органов организации
4 Сведения о выпущенных акциях Если код по ОКОПФ = 47 или 67, то требуется указать данные о количестве акций, выпущенных акционерным обществом и полностью оплаченных; количестве акций, выпущенных, но не оплаченных или оплаченных частично; номинальной стоимости акций, находящихся в собственности акционерного общества, ее дочерних и зависимых обществ.
5 Характеристика деятельности страховой организации Характеристика деятельности страховой организации (страховой, инвестиционной и финансовой деятельности по размещению средств страховых резервов и капитала), основные показатели деятельности и факторы, повлиявшие в отчетном году на финансовые результаты деятельности страховой организации, т.е. соответствующая информация, полезная для получения более полной и объективной картины о финансовом положении страховой организации, финансовых результатах деятельности страховой организации за отчетный год и изменениях в ее финансовом положении
6 Информация по сегментам Страховые премии (взносы) по страхованию (перестрахованию принятому) - всего следует раскрывать по географическим рынкам оказания страховых услуг (в разрезе субъектов Российской Федерации).
7 Решения по итогам рассмотрения годовой бухгалтерской отчетности Решения по итогам рассмотрения годовой отчетности и распределение чистой прибыли за отчетный год
8 События после отчетной даты Краткое описание характера события после отчетной даты и оценка его последствий в денежном выражении в соответствии с Положением по бухгалтерскому учету "События после отчетной даты" (ПБУ 7/98)
9 Информация об оценочных обязательствах, условных обязательствах и условных активах Информация об оценочных обязательствах, условных обязательствах и условных активах в соответствии с Положением по бухгалтерскому учету "Оценочные обязательства, условные обязательства и условные активы" (ПБУ 8/2010)
10 Информация о связанных сторонах Информация о связанных сторонах в соответствии с Положением по бухгалтерскому учету "Информация о связанных сторонах" (ПБУ 11/2008)
11 Методы расчета страховых резервов Если стр. 510, гр. 4 или стр. 520, гр. 4 формы N 1-страховщик 0, то раскрывается состав, порядок (методы) расчета страховых резервов, использованный при формировании соответствующих показателей бухгалтерской отчетности
12 Финансовые вложения Информация о финансовых вложениях в соответствии с Положением по бухгалтерскому учету "Учет финансовых вложений" (ПБУ 19/02)
13 Займы и кредиты Если стр. 615, гр. 4 или стр. 625, гр. 4 формы N 1-страховщик 0, то раскрывается информация об обязательствах по займам (кредитам) в соответствии с Положением по бухгалтерскому учету "Учет расходов по займам и кредитам" (ПБУ 15/2008)
14 Недвижимое имущество Характеристика недвижимого имущества страховой организации, в том числе приобретенного в порядке размещения средств страховых резервов, с указанием вида имущества, места нахождения, целей использования (для офиса страховой организации и ее структурных подразделений, сдачи в аренду и т.п.), а также объектов недвижимости, находящихся в процессе государственной регистрации
15 Информация о существенных ошибках Информация в отношении существенных ошибок предшествующих отчетных периодов, исправленных в отчетном периоде, в соответствии с Положением по бухгалтерскому учету "Исправление ошибок в бухгалтерском учете и отчетности" (ПБУ 22/2010)
16 Прочие доходы и расходы, кроме доходов и расходов, связанных с инвестициями 1. Если стр. 210, гр. 3 формы N 2-страховщик 0, то требуется дать расшифровку в пояснительной записке.
2. Если стр. 220, гр. 3 формы N 2-страховщик 0, то требуется дать расшифровку в пояснительной записке.
3. Если стр. 210, гр. 3 формы N 2а-страховщик 0, то требуется дать расшифровку в пояснительной записке.
4. Если стр. 220, гр. 3 формы N 2а-страховщик 0, то требуется дать расшифровку в пояснительной записке.
17 Прибыль (убыток) на акцию Если код по ОКОПФ = 47 или 67, то требуется привести информацию о базовой прибыли (убытке) на акцию и разводненной прибыли (убытке) на акцию в соответствии с Методическими рекомендациями по раскрытию информации о прибыли, приходящейся на одну акцию, утвержденными приказом Министерства финансов Российской Федерации от 21 марта 2000 г. N 29н
18 Использование средств фонда (резерва) предупредительных мероприятий Если стр. 010, гр. 5 формы N 9-страховщик 0, то требуется указать сведения об использовании средств фонда (резерва) предупредительных мероприятий, расшифровку профинансированных мероприятий и эффекта вложения средств в те или иные мероприятия
19 Государственная помощь Информация в отношении государственной помощи в соответствии с Положением по бухгалтерскому учету "Учет государственной помощи" (ПБУ 13/2000)
20 Информация по прекращаемой деятельности Информация по прекращаемой деятельности в соответствии с Положением по бухгалтерскому учету "Информация по прекращаемой деятельности" (ПБУ 16/02)
21 Пояснения непредставления отчетности в порядке надзора в полном объеме Если в соответствии с п. 14 Инструкции об объеме форм отчетности, представляемой в порядке надзора, порядке ее составления и представления (Приложение N 5 к приказу Министерства финансов Российской Федерации от 11 мая 2010 г. N 41н "О формах бухгалтерской отчетности страховых организаций и отчетности, представляемой в порядке надзора") представлены не все формы отчетности в порядке надзора или не все разделы этих форм, то требуется пояснить причины не представления или представления не в полном объеме форм отчетности
22 Информация о выявленных расхождениях в полных наименованиях юридических лиц с данными реестров Пояснение причин выявленных расхождений в полных наименованиях юридических лиц, содержащихся в первичных учетных документах и в едином государственном реестре юридических лиц, едином государственном реестре субъектов страхового дела
Информация к Отчету о размещении средств страховых резервов (форма N 7-страховщик) и Отчету о составе активов, принимаемых для покрытия собственных средств (форма N 14-страховщик)
23 Информация о мерах по устранению нарушений, возникших по обстоятельствам, не зависящим от действий страховой организации Если пятнадцатый разряд кода ценной бумаги (Х15) = 2, десятый разряд банковского вклада, доли перестраховщиков, управляющей компании (доверительного управляющего), (Х10) = 2, то требуется раскрыть информацию о мерах, принятых страховой организацией по устранению нарушений, возникших по обстоятельствам, не зависящим от действий страховой организации
24 Информация об активах, расположенных за пределами Российской Федерации Если в форме N 7-страховщик второй разряд кода ценной бумаги, банковского вклада, доли перестраховщиков, депо премий, дебиторской задолженности, денежных средств, займа страхователям по договорам страхования жизни (Х2) = 2 или 3, либо в форме N 14-страховщик второй разряд кода ценной бумаги, банковского вклада, дебиторской задолженности, денежных средств, займа страхователям по договорам страхования жизни (Х2)=4 или 5 или 6 или 7 или 8 или 9, то требуется раскрыть информацию о наименовании юридического лица (банка, в котором страховая организация имеет денежные средства на счетах или вклады, перестраховщика, перестрахователя), являющегося нерезидентом Российской Федерации; наименовании активов (денежные средства на счетах и вклады в банке, дебиторская задолженность и требования, возникшие в результате операций перестрахования, депо премий у перестрахователей); номере лицензии (разрешения) на осуществление банковских операций, операций перестрахования соответственно для каждого банка, перестраховщика и перестрахователя, наименовании уполномоченного органа, выдавшего лицензию (разрешение)
25 Информация к ипотечным сертификатам участия Если третий разряд кода ценной бумаги (Х3) = 8, то требуется раскрыть информацию о полном фирменном наименовании регистратора, осуществляющего ведение реестра владельцев ипотечных сертификатов участия
26 Информация к инвестиционным паям Если третий разряд кода ценной бумаги (Х3) = 5, то требуется раскрыть информацию о регистрационном номере и дате регистрации правил доверительного управления паевым инвестиционным фондом.
27 Информация к сертификатам долевого участия Если третий разряд кода сертификата долевого участи (Х3) = 1, то требуется раскрыть информацию о составе портфеля инвестиций, сформированного в соответствии с инвестиционной декларацией, с указанием наименования общего фонда банковского управления
Информация к Отчету о страховых резервах (форма N 8-страховщик)
28 Информация к подразделу 2.3.11 Если хотя бы одна из строк 230 - 290, гр. 5 0, то требуется раскрыть информацию о методе распределения косвенных расходов по учетным группам

Секция explanation состоит из нескольких подсекций part, в каждой из которых перечисляются все файлы, содержащие информацию из пояснительной записки и аудиторское заключение, в обрамлении тэгов <expfile> и </expfile>.

<explanation>
  <part id="PartId">
    <expfile>main.doc</expfile>
    <expfile>tables.xls</expfile>
  </part>
  ...
  <part id="3">
  <expfile>income.doc</expfile>
  <expfile>income.xls</expfile>
  </part>
</explanation>

, где PartId - код раздела согласно Таблице 3.

Количество подсекций part должно совпадать с количеством предусмотренных Таблицей 3 разделов.

Пример файла 0.xml страховой организации, имеющей лицензию на осуществление вида страхования, предусмотренного подпунктом 5 пункта 1 статьи 32.9 Закона Российской Федерации от 27 ноября 1992 г. N 4015-1 "Об организации страхового дела в Российской Федерации" (медицинское страхование) и осуществляемого по Правилам обязательного медицинского страхования, представляемого в составе годовой отчетности за 2011 год

<?xml version="1.0" encoding="windows-1251"?>
<company id="9993" kind="acc" period="31.12.2011">
  <attributes date="01.01.2011">
    <name> Общество с ограниченной ответственностью
      "Страховая организация "Гарантия"</name>
    <shortname>ООО "СО "Гарантия"</shortname>
    <inn>7800210032</inn>
    <legal_entity_form> Общество с ограниченной
      ответственностью</legal_entity_form>
    <property_form>частная</property_form>
    <okopf>65</okopf>
    <okfs>16</okfs>
    <okpo>29024785</okpo>
    <okved>66</okved>
    <address> г. Санкт-Петербург, Невский проспект,
      д. 11</address>
    <phone>(812)555-20-13</phone>
    <kinds>
      <life>0</life>
      <exceptlife>0</exceptlife>
      <medical>1</medical>
      <avto>0</avto>
      <reinsurance_in>0</reinsurance_in>
      <reinsurance_out>0</reinsurance_out>
    </kinds>
  </attributes>
  <general>
    <account>
      <sign_date>29.03.2012</sign_date>
      <confirmation_date>30.03.2012
      </confirmation_date>  
  </account>
  <head>
    <name> Борисенко Игорь Николаевич</name>
    <position> Генеральный директор</position>
  </head>
  <accountant>
    <name> Павлова Елена Игоревна</name>
  </accountant>
  <auditor>
    <firm> ООО "Аудиторская компания "Альфа"</firm>
    <name_SRO_firm> НП "Ассоциация
      аудиторов"</name_SRO_firm>
    <reg_record_no_firm>10304010287
      </reg_record_no_firm>
    <name> Иванов Б.П.</name>
    <conclusion_date>29.03.2012</conclusion_date>
  </auditor>
  </general>
  <explanation>
  <part id="1">  
    <expfile>audit_report.jpg</expfile>
  </part>  
  <part id="5">  
    <expfile>child.xls</expfile>
    <expfile>dependent.xls</expfile>
  </part>  
  ...  
</explanation>
</company>

3. Файл, содержащий данные по форме отчетности

Тело файла, содержащее данные по форме отчетности, должно состоять из единственной секции form и иметь следующую структуру:

<form id="FormId">
  <table id="xxx">
  ...
  </table>
  ...
  <list id="xxx">
  ...
  </list>
  ...
  <markedtable id="xxx" Attr1="Val1" ... AttrN="ValN">
  ...
  </markedtable>
  ...
  <markedlist id="xxx" Attr1="Val1" ... AttrN="ValN">
  ...
  </markedlist>
</form>

, где FormId - имя формы (1, 2, 7а и т.д.).

Секция form состоит из нескольких секций table, list, markedtable и markedlist.

Каждая секция table описывает одну таблицу из формы, а list - один список из формы отчетности. Отличие таблиц от списков в том, что таблицы имеют фиксированное количество строк, каждая из которых имеет свой код. Количество строк в списках переменное, поэтому код строки в списках не используется.

Для описания раздела 2 и Справки к разделу 2 Отчета о платежеспособности (форма N 6-страховщик), подразделов 19.1.1 и 19.2.1 Отчета о размещении средств страховых резервов (форма N 7-страховщик), подразделов 2.2, 2.2.1, 2.3.1 - 2.3.11, 2.3.12 и 2.3.13 Отчета о страховых резервах (форма N 8-страховщик), содержащих переменное число таблиц (в зависимости от количества видов страхования, управляющих компаний (доверительных управляющих), учетных групп), служат секции markedtable.

Для описания подразделов 2.2, 2.2.1, 3.2, 3.2.1, 4.2, 4.2.1, 6.2, 6.2.1 и 10.2 Отчета о размещении средств страховых резервов (форма N 7-страховщик), содержащих переменное число списков (в зависимости от количества управляющих компаний (доверительных управляющих)), служат секции markedlist.

Порядок нумерации таблиц и списков в формах отчетности представлен в Таблице 4.

Таблица 4

Форма отчетности Раздел Тип Номер
Бухгалтерский баланс страховой организации
(форма N 1-страховщик)
Основная таблица Тбл 1
Справка о наличии ценностей, учитываемых на забалансовых счетах Тбл 1r
Отчет о прибылях и убытках страховой организации
(форма N 2-страховщик)
Основная таблица Тбл 1
Расшифровка отдельных прибылей и убытков Тбл 1d
Отчет о прибылях и убытках страховой медицинской организации по обязательному медицинскому страхованию
(форма N 2а-страховщик)
Основная таблица Тбл 1
Расшифровка отдельных прибылей и убытков Тбл 1d
Отчет об изменениях капитала страховой организации
(форма N 3-страховщик)
Основная таблица Тбл 1
Справки Тбл 1r
Отчет о движении денежных средств страховой организации
(форма N 4-страховщик)
Основная таблица Тбл 1
Отчет о движении денежных средств страховой медицинской организации по обязательному медицинскому страхованию
(форма N 4а-страховщик)
Основная таблица Тбл 1
Приложение к Бухгалтерскому балансу и Отчету о прибылях и убытках страховой организации
(форма N 5-страховщик)
Нематериальные активы Тбл 1
Основные средства Тбл 2
Финансовые вложения Тбл 3
Дебиторская и кредиторская задолженность Тбл 4
Расходы страховой организации по элементам затрат Тбл 5
Обеспечения Тбл 6
Отчет о платежеспособности
(форма N 6-страховщик)
Расчет соотношения между фактическим и нормативным размерами маржи платежеспособности Тбл 1
Справка к подразделу IV Тбл 1r
Расчет нормативного размера маржи платежеспособности по виду обязательного страхования с согласованными величинами процентов, используемыми при расчете первого и второго показателей М. Тбл 2
Справка к разделу 2 М. Тбл 2r
Отчет о размещении средств страховых резервов
(форма N 7-страховщик)
Страховые резервы и активы, принимаемые для их покрытия Тбл 1,
1.1,
1.2
Федеральные государственные ценные бумаги Сп 2,
2.1,
2.1.1
М. Сп 2.2,
2.2.1
Государственные ценные бумаги субъектов Российской Федерации и муниципальные ценные бумаги Сп 3,
3.1,
3.1.1
М. Сп 3.2,
3.2.1
Иные облигации, кроме облигаций, отраженных в разделах 2 и 3 Сп 4,
4.1,
4.1.1
М. Сп 4.2,
4.2.1
Векселя организаций, в том числе банков Сп 5,
5.1
Акции Сп 6,
6.1,
6.1.1
М. Сп 6.2,
6.2.1
Ипотечные сертификаты участия Сп 7,
7.1
Инвестиционные паи паевых инвестиционных фондов Сп 8,
8.1
Долевое участие в общих фондах банковского управления (ОФБУ) Сп 9
Недвижимое имущество Сп 10,
10.1
М. Сп 10.2
Банковские вклады (депозиты), в том числе удостоверенные депозитными сертификатами Сп 11,
11.1
Доля перестраховщиков в страховых резервах Сп 12,
12.1
Депо премий у перестрахователей Сп 13
Дебиторская задолженность Сп 14
Денежные средства Сп 15
Слитки золота, серебра, платины и палладия, а также памятные монеты Российской Федерации из драгоценных металлов Сп 16
Займы страхователям по договорам страхования жизни Сп 17
Управляющие компании (доверительные управляющие), у которых возникли обстоятельства, не зависящие от действий страховщика, повлекшие нарушения, устраняемые в соответствии с пунктом 14 Правил размещения страховщиками средств страховых резервов Сп 18
Результаты размещения средств страховых резервов по страхованию жизни, кроме резервов, отраженных в подразделе 19.1.1 Тбл 19.1
Результаты размещения средств страховых резервов по видам активов по страхованию жизни в доверительном управлении и вознаграждение управляющей компании (доверительного управляющего) М. Тбл 19.1.1
Результаты размещения средств страховых резервов по страхованию иному, чем страхование жизни, кроме результатов, отраженных в подразделе 19.2.1 Тбл 19.2
Результаты размещения средств страховых резервов по видам активов по страхованию иному, чем страхование жизни, в доверительном управлении и вознаграждение управляющей компании (доверительного управляющего) М. Тбл 19.2.1
Отчет о размещении средств страховых резервов по обязательному медицинскому страхованию
(форма N 7а-страховщик)
Страховые резервы по обязательному медицинскому страхованию и активы, принимаемые для их покрытия Тбл 1
Федеральные государственные ценные бумаги Сп 2
Государственные ценные бумаги субъектов Российской Федерации и муниципальные ценные бумаги Сп 3
Облигации и акции Сп 4.1
Векселя банков Сп 4.2
Инвестиционные паи паевых инвестиционных фондов Сп 4.3
Банковские вклады (депозиты), в том числе удостоверенные депозитными сертификатами Сп 5
Денежные средства Сп 6
Результаты размещения средств страховых резервов по обязательному медицинскому страхованию Тбл 7
Отчет о страховых резервах
(форма N 8-страховщик)
Страховые резервы по страхованию жизни - всего Тбл 1
Математический резерв Тбл 1.1
Расчет уровня цильмеризации Тбл 1.1.1
Резерв выплат по заявленным, но неурегулированным страховым случаям Тбл 1.2
Расчет изменения величины резерва выплат по заявленным, но неурегулированным страховым случаям Тбл 1.2.1
Резерв расходов на обслуживание страховых обязательств Тбл 1.3
Резерв дополнительных выплат (страховых бонусов) Тбл 1.4
Справочно Тбл 1.4r
Выравнивающий резерв Тбл 1.5
Страховые резервы по страхованию иному, чем страхование жизни - всего Тбл 2
Резервы убытков по страхованию иному, чем страхование жизни, рассчитанные актуарными методами, согласованными с Федеральной службой страхового надзора - всего Тбл 2.1
Страховые резервы по страхованию иному, чем страхование жизни по учетной группе М. Тбл 2.2
Страховые резервы по страхованию иному, чем страхование жизни по учетной группе 13.1 "обязательное страхование (сострахование) гражданской ответственности владельцев транспортных средств" Тбл 2.2а
Резервы убытков по страхованию иному, чем страхование жизни, рассчитанные актуарными методами, согласованными с Федеральной службой страхового надзора по учетной группе М. Тбл 2.2.1
Резерв незаработанной премии с разбивкой по кварталам и годам начисления страховой премии, страховые премии и заработанная страховая премия по договорам страхования, сострахования и принятым в перестрахование по учетной группе М. Тбл 2.3.1
Доля перестраховщиков в резерве незаработанной премии с разбивкой по кварталам и годам начисления страховой премии по договорам перестрахования, страховые премии и доля перестраховщиков в заработанной премии по договорам, переданным в перестрахование по учетной группе М. Тбл 2.3.2
Заявленные, но неурегулированные убытки по страховым случаям по договорам страхования, сострахования и договорам, принятым в перестрахование, с разбивкой по кварталам и годам наступления страхового случая и заявления о нем по учетной группе М. Тбл 2.3.3
Страховые премии, подлежащие возврату страхователям, перестрахователям в связи с досрочным прекращением (изменением условий) договоров страхования, сострахования и договоров, принятых в перестрахование, с разбивкой по кварталам и годам досрочного прекращения (изменения условий) договоров и заявления о нем по учетной группе М. Тбл 2.3.4
Доля перестраховщиков в заявленных, но неурегулированных убытках по страховым случаям по договорам страхования, сострахования и договорам, принятым в перестрахование, с разбивкой по кварталам и годам наступления страхового случая и заявления о нем по учетной группе М. Тбл 2.3.5
Доля перестраховщиков в страховых премиях, подлежащих возврату страхователям, перестрахователям в связи с досрочным прекращением (изменением условий) договоров страхования, сострахования и договоров, принятых в перестрахование, с разбивкой по кварталам и годам досрочного прекращения (изменения условий) договоров и заявления о нем по учетной группе М. Тбл 2.3.6
Оплаченные убытки (страховые выплаты) по договорам страхования, сострахования и договорам, принятым в перестрахование, с разбивкой по кварталам и годам наступления страхового случая и оплаты (развития) убытков (нарастающим итогом) по учетной группе М. Тбл 2.3.7
Доля перестраховщиков в оплаченных убытках (страховых выплатах) по договорам страхования, сострахования и договорам, принятым в перестрахование, с разбивкой по кварталам и годам наступления страхового случая и оплаты (развития) убытков (нарастающим итогом) по учетной группе М. Тбл 2.3.8
Страховые премии, возвращенные страхователям, перестрахователям, в связи с досрочным прекращением (изменением условий) договоров страхования, сострахования и договоров, принятых в перестрахование, с разбивкой по кварталам и годам досрочного прекращения (изменения условий) договоров и возврата страховых премий (нарастающим итогом) по учетной группе М. Тбл 2.3.9
Доля перестраховщиков в страховых премиях, возвращенных страхователям, перестрахователям, в связи с досрочным прекращением (изменением условий) договоров страхования, сострахования и договоров, принятых в перестрахование, с разбивкой по кварталам и годам досрочного прекращения (изменения условий) договоров и возврата страховых премий (нарастающим итогом) по учетной группе М. Тбл 2.3.10
Доходы, расходы, финансовый результат и другие показатели по договорам страхования, сострахования и договорам, принятым в перестрахование по учетной группе М. Тбл 2.3.11
Доходы, расходы, финансовый результат и другие показатели по договорам страхования, сострахования и договорам, принятым в перестрахование по учетной группе 13.1 "обязательное страхование (сострахование) гражданской ответственности владельцев транспортных средств" Тбл 2.3.11а
Дебиторская и кредиторская задолженность по учетной группе М. Тбл 2.3.12
Начисленные и полученные суммы по суброгационным и регрессным требованиям по учетной группе М. Тбл 2.3.13
Отчет об использовании средств фонда (резерва) предупредительных мероприятий
(форма N 9-страховщик)
Движение средств фонда (резерва) предупредительных мероприятий Тбл 1
Направления использования средств фонда (резерва) предупредительных мероприятий Тбл 2
Направления использования средств резерва финансирования предупредительных мероприятий по обязательному медицинскому страхованию Тбл 3
Отчет об операциях перестрахования
(форма N 10-страховщик)
Операции перестрахования - всего Тбл 1
Страховые премии (взносы), переданные перестраховщикам Сп 2.1
Доля перестраховщиков в выплатах по договорам страхования и резервах убытков Сп 2.2
Кредиторская и дебиторская задолженность перестраховщиков Сп 2.3
Страховые премии (взносы) по договорам, принятым в перестрахование Сп 3.1
Выплаты и резервы убытков Сп 3.2
Дебиторская и кредиторская задолженность перестрахователей Сп 3.3
Информация по операционному сегменту
(форма N 11-страховщик)
Результат от операций по страхованию иному, чем страхование жизни, по договорам страхования, сострахования Тбл 1
Сп 1.110,
1.120,
1.130,
1.160,
1.180
Результат от операций по страхованию иному, чем страхование жизни по договорам, принятым в перестрахование Тбл 2
Сп 2.110,
2.120,
2.130,
2.160,
2.180
Результат от операций по страхованию иному, чем страхование жизни по договорам страхования, сострахования и по договорам, принятым в перестрахование - нетто перестрахование Тбл 3
Сп 3.110,
3.120,
3.130,
3.160,
3.180
Информация о дочерних и зависимых обществах
(форма N 12-страховщик)
Информация о дочерних обществах. Страховые организации Сп 1.1
Информация о дочерних обществах. Общества, не являющиеся страховыми организациями Сп 1.2
Информация о зависимых обществах. Страховые организации Сп 2.1
Информация о зависимых обществах. Общества, не являющиеся страховыми организациями Сп 2.2
Информация о филиалах и представительствах
(форма N 13-страховщик)
Филиалы Сп 1
Представительства Сп 2
Отчет о составе активов, принимаемых для покрытия собственных средств
(форма N 14-страховщик)
Собственные средства страховой организации и активы, принимаемые для их покрытия Тбл 1,
1.1,
1.2
Федеральные государственные ценные бумаги Сп 2,
2.1
Государственные ценные бумаги субъектов Российской Федерации и муниципальные ценные бумаги Сп 3,
3.1
Иные облигации, кроме облигаций, отраженных в разделах 2 и 3 Сп 4,
4.1
Векселя организаций, в том числе банков Сп 5,
5.1
Акции Сп 6,
6.1
Ипотечные сертификаты участия Сп 7,
7.1
Инвестиционные паи паевых инвестиционных фондов Сп 8,
8.1
Долевое участие в общих фондах банковского управления (ОФБУ) Сп 9
Недвижимое имущество Сп 10
Банковские вклады (депозиты), в том числе удостоверенные депозитными сертификатами Сп 11,
11.1
Активы, необходимые для осуществления финансово-хозяйственной деятельности, за исключением недвижимого имущества Сп 12
Объекты интеллектуальной собственности и иные активы, кроме активов, отраженных по строкам 020 - 188 раздела 1 Сп 13
Дебиторская задолженность Сп 14
Денежные средства Сп 15
Слитки золота, серебра, платины и палладия, а также памятные монеты Российской Федерации из драгоценных металлов Сп 16
Займы предоставленные Сп 17
Результаты размещения собственных средств страховой организации в размере наибольшего из двух показателей указанных в пункте 7 Требований, предъявляемых к составу и структуре активов, принимаемых для покрытия собственных средств страховщика Тбл 19.1
Результаты размещения собственных средств страховой организации в размере, превышающем наибольший из двух показателей, указанных в пункте 7 Требований, предъявляемых к составу и структуре активов, принимаемых для покрытия собственных средств страховщика Тбл 19.2

Структура секции table имеет вид:

<table id="xxx">
  <line id="LineCode">
    <col id="ColNo">Val</col>
    <col id="ColNo">Val</col>
    <col id="ColNo">Val</col>
  </line>
  <line id="20">
    <col id="2">Val</col>
    <col id="3">Val</col>
    <col id="4">Val</col>
  </line>
</table>

, где LineCode - код строки таблицы;

ColNo - номер колонки.

Структура секции list имеет вид:

<list id="xxx">
  <item>
    <col id="ColNo">Val</col>
    <col id="ColNo">Val</col>
    <col id="ColNo">Val</col>
  </item>
  <item>
    <col id="1">Val</col>
    <col id="2">Val</col>
    <col id="3">Val</col>
  </item>
  <summary>
    <col id="2">SummaryVal</col>
    <col id="3">SummaryVal</col>
  </summary>
</list>

, где ColNo - номер колонки.

Список содержит несколько секций item, описывающих элементы списка, и одну секцию summary, в которую помещается суммарная информация по всем числовым колонкам списка.

Структура секции markedtable имеет вид:

<markedtable id="xxx" Attr1="Val1" ... AttrN="ValN">
  <line id="LineCode">
    <col id="ColNo">Val</col>
    <col id="ColNo">Val</col>
    <col id="ColNo">Val</col>
  </line>
  <line id="20">
    <col id="3">Val</col>
    <col id="4">Val</col>
  </line>
</markedtable>

, где xxx - номер таблицы;

LineCode - код строки таблицы;

ColNo - номер колонки.

Для формы N 6-страховщик:

Attr1 - insurance_type

Val1 - Вид обязательного страхования

Attr2 - date_fssn_letter

Val2 - Дата письма Федеральной службы страхового надзора (Федеральной

службы по финансовым рынкам)

Attr3 - nom_fssn_letter

Val3 - Номер письма Федеральной службы страхового надзора (Федеральной

службы по финансовым рынкам)

Для подразделов 19.1.1 и 19.2.1 формы N 7-страховщик:

Attr1 - eng_name

Val1 - Наименование управляющей компании (доверительного управляющего)

на английском языке

Attr2 - rus_name

Val2 - Наименование управляющей компании (доверительного управляющего)

на русском языке

Attr3 - inn

Val3 - ИНН управляющей компании (доверительного управляющего)

Attr4 - agency_inn

Val4 - ИНН рейтингового агентства

Attr5 - code

Val5 - Код управляющей компании (доверительного управляющего)

Для формы N 8-страховщик:

Attr1 - group_code

Val1 - Номер учетной группы

Attr2 - group_name

Val2 - Наименование учетной группы

Структура секции markedlist имеет вид:

<markedlist id="xxx" Attr1="Val1" ... AttrN="ValN">
  <item>
    <col id="ColNo">Val</col>
    <col id="ColNo">Val</col>
    <col id="ColNo">Val</col>
  </item>
  <item>
    <col id="1">Val</col>
    <col id="2">Val</col>.
    <col id="3">Val</col>
  </item>
  <summary>
    <col id="2">SummaryVal</col>
    <col id="3">SummaryVal</col>
  </summary>
</markedlist>

, где ColNo - номер колонки.

Маркированный список содержит несколько секций item, описывающих элементы списка, и одну секцию summary, в которую помещается суммарная информация по всем числовым колонкам списка.

Для подразделов 2.2, 2.2.1, 3.2, 3.2.1, 4.2, 4.2.1, 6.2, 6.2.1 и 10.2 формы N 7-страховщик

Attr1 - eng_name

Val1 - Наименование управляющей компании (для подраздела 10.2 -

наименование доверительного управляющего) на английском языке

Attr2 - rus_name

Val2 - Наименование управляющей компании (для подраздела 10.2 -

наименование доверительного управляющего) на русском языке

Attr3 - inn

Val3 - ИНН управляющей компании (для подраздела 10.2 - ИНН

доверительного управляющего)

Attr4 - agency_inn

Val4 - ИНН рейтингового агентства

Attr5 - code

Val5 - Код управляющей компании (для подраздела 10.2 - код

доверительного управляющего)

Информация по строке "Всего по разделу xxx" разделов 2, 3, 4, 6 и 10 формы N 7-страховщик показывается в виде итоговой строки списка с идентификатором, соответствующим номеру раздела:

<list id="xxx">
  <summary>
    <col id="2">SummaryVal</col>
    <col id="3">SummaryVal</col>
  </summary>
</list>

При формировании файлов форм вручную следует придерживаться следующих требований:

- Если какие-либо клетки таблиц или списков не содержат значения, не заполняются, то соответствующие секции в файл помещать необязательно. Не помещается в файл информация для граф 1 и 2 тех таблиц, для которых в образцах форм в этих графах содержится развернутое наименование строки и код строки соответственно.

- Все суммы в файлах должны быть указаны в тысячах рублей, даты в формате DD.MM.YYYY.

- Отрицательные числа в файлах записываются со знаком минус. Пробелы и иные символы, кроме десятичной точки, в числах не допускаются.

- Коды строк записываются без лидирующего нуля, как целые числа.

- При вводе текстовых значений, таких как наименования банков, организаций и т.п., следует избегать использования символов: "&", "<", ">". В случае необходимости их можно заменить последовательностями: "&amp;", "&lt;", "&gt;" соответственно.

- В графах "Наименование управляющей компании на английском языке" и "Наименование управляющей компании на русском языке" в подразделах 2.2, 2.2.1, 3.2, 3.2.1, 4.2, 4.2.1, 6.2, 6.2.1, "Наименование доверительного управляющего на английском языке" и "Наименование доверительного управляющего на русском языке" в подразделе 10.2, "Наименование управляющей компании (доверительного управляющего) на английском языке" и "Наименование управляющей компании (доверительного управляющего) на русском языке" в подразделах 19.1.1 и 19.2.1 формы N 7-страховщик следует избегать использования двойных кавычек. В случае необходимости их следует заменять последовательностью "&quot;".

Пример файла формы N 7-страховщик

ОТЧЕТ О РАЗМЕЩЕНИИ СРЕДСТВ СТРАХОВЫХ РЕЗЕРВОВ

Страховая организация ______________________________________________________________________________________________________________________________________________________________

Регистрационный номер страховщика Число Месяц Год Единица измерения
Форма_N 7-страховщик 9992 31 12 2011 тыс. руб.

1. Страховые резервы и активы, принимаемые для их покрытия

Наименование показателя Код строки На начало отчетного года На конец отчетного периода
всего из них в доверительном управлении всего из них в доверительном управлении
1 2 3 4 5 6
Страховые резервы
Страховые резервы - всего 010 40214164 х 54051064 х
в том числе: -
резервы по страхованию жизни 011 - х х
резервы по видам страхования иным, чем страхование жизни 012 40214164 х 54051064 х
из них:
резерв заявленных, но неурегулированных убытков 013 6652015 х 12340800 х
резерв незаработанной премии 014 18634397 х 26529564 х
из него:
резерв незаработанной премии по договорам обязательного государственного страхования 015 - х - х
...

...

4. Иные облигации, кроме облигаций, отраженных в разделах 2 и 3

4.1. Иные облигации, кроме облигаций, отраженных в подразделах 2.1, 3.1, 4.2

Номер п/п ИНН эмитента Государственный регистрационный номер Наименование эмитента ИНН организатора торговли на рынке ценных бумаг, ИНН российского рейтингового агентства Код ценной бумаги На начало отчетного года На конец отчетного периода
на английском языке на русском языке количество, штук стоимость по балансу количество, штук стоимость по балансу
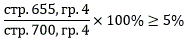
1 2 3 4 5 6 7 8 9 10 11
1 5504036333 4-04-00146-А Open joint stock company "Gazprom Neft" Открытое акционерное общество "Газпромнефть" - 211371224202020411 30000 339432 30000 351924
...
Итого х х х х х х х 722849 х 5049103

...

4.2. Иные облигации, кроме облигаций, отраженных в подразделах 2.2 и 3.2, в доверительном управлении управляющей компании

Наименование управляющей компании ИНН управляющей компании ИНН российского рейтингового агентства Код управляющей компании
на английском языке на русском языке
- Закрытое акционерное общество "Лидер" (Компания по управлению активами пенсионного фонда) 5018026672 - 1151012000001
-
Номер п/п ИНН эмитента Государственный регистрационный номер Наименование эмитента ИНН организатора торговли на рынке ценных бумаг, ИНН российского рейтингового агентства Код ценной бумаги На начало отчетного года На конец отчетного периода
на английском языке на русском языке количество, штук стоимость по балансу количество, штук стоимость по балансу
1 2 3 4 5 6 7 8 9 10 11
1 7705035012 4-03-00085-А - Открытое акционерное общество энергетики и электрификации "Мосэнерго" 7702077840 211371224201001001 30000 29802 45000 44358
...
                     
Итого х х х х х х х 4007894 х 4250679
...                    
Всего по разделу 4 х х х х х х х 4730743 х 9299782
                     
                     

...

6. Акции

6.1. Акции, кроме акций, отраженных в подразделе 6.2

Номер п/п ИНН эмитента Государственный регистрационный номер Наименование эмитента ИНН организатора торговли на рынке ценных бумаг, ИНН российского рейтингового агентства Код ценной бумаги На начало отчетного года На конец отчетного периода
на английском языке на русском языке количество, штук стоимость по балансу количество, штук стоимость по балансу
1 2 3 4 5 6 7 8 9 10 11
1 7708007767 1-01-00077-A - Открытое акционерное общество "Нефтяная компания Лукойл" 7702077840 213372425001001001 9024 15271 4524 6946
...                    
                     
Итого х х х х х х х 5919897 х 6351259

...

6.2. Акции в доверительном управлении управляющей компании

Наименование управляющей компании ИНН управляющей компании ИНН российского рейтингового агентства Код управляющей компании  
на английском языке на русском языке
 
 
Номер п/п ИНН эмитента Государственный регистрационный номер Наименование эмитента ИНН организатора торговли на рынке ценных бумаг, ИНН российского рейтингового агентства Код ценной бумаги На начало отчетного года На конец отчетного периода
на английском языке на русском языке количество, штук стоимость по балансу количество, штук стоимость по балансу
1 2 3 4 5 6 7 8 9 10 11
                     
...                    
Итого                    
...                    
Всего по разделу 6 х х х х х х х 5919897 х 6351259

...

<?xml version="1.0" encoding="windows-1251"?>
<company id="9992" kind="acc" period="31.12.2011">
  <form id="7">
    <table id="1">
      <line id="10">
        <col id="3">40214164</col>
        <col id="5">54051064</col>
      </line>
      <line id="12">
        <col id="3">40214164</col>.
        <col id="5">54051064</col>
      </line>
      <line id="13">
        <col id="3">6652015</col>
        <col id="5">12340800</col>
      </line>
      <line id="14">
        <col id="3">18634397</col>
        <col id="5">26529564</col>
      </line>
      ...
    </table>
    ...
    <list id="4.1">
      <item>
        <col id="1">1</col>
        <col id="2">5504036333</col>
        <col id="3">4-04-00146-А</col>
        <col id="4">Open joint stock company "Gazprom Neft"</col>
        <col id="5">Открытое акционерное общество
        "Газпромнефть"</col>
        <col id="7">211371224202020411</col>
        <col id="8">30000</col>
        <col id="9">339432</col>
        <col id="10">30000</col>
        <col id="11">351924</col>
      </item>
      <summary>
        <col id="9">722849</col>
        <col id="11">5049103</col>
      </summary>
    <list>
    <markedlist id="4.2" rus_name="Закрытое акционерное общество
    &quot;Лидер&quot; (Компания по управлению активами пенсионного
    фонда)" inn="5018026672" code="1151012000001">
      <item>
        <col id="1">1</col>
        <col id="2">7705035012</col>
        <col id="3">4-03-00085-A</col>
        <col id="5">Открытое акционерное общество энергетики и
        электрификации "Мосэнерго"</col>
        <col id="6">7702077840</col>
        <col id="7">211371224201001001</col>
        <col id="8">30000</col>
        <col id="9">29802</col>
        <col id="10">45000</col>
        <col id="11">44358</col>
      </item>
      <summary>
        <col id="9">4007894</col>
        <col id="11">4250679</col>
      </summary>
    </markedlist>
    <list id="4">
      <summary>
        <col id="9">4730743</col>
        <col id="11">9299782</col>
      </summary>
    </list>
    <list id="6.1">
      <item>
        <col id="1">1</col>
        <col id="2">7708007767</col>
        <col id="3">1-01-00077-A</col>
        <col id="5">Открытое акционерное общество "Нефтяная
        компания Лукойл"</col>
        <col id="6">7702077840</col>
        <col id="7">213372425001001001</col>
        <col id="8">9024</col>
        <col id="9">15271</col>
        <col id="10">4524</col>
        <col id="11">6946</col>
      </item>
        <col id="9">5919897</col>
        <col id="11">6351259</col>
      </summary>
    </list>
    <list id="6">
      </summary>
        <col id="9">5919897</col>
        <col id="11">6351259</col>
      </summary>
    </list>
    ...
  </form>
</company>

Пример файла формы N 11-страховщик

ИНФОРМАЦИЯ ПО ОПЕРАЦИОННОМУ СЕГМЕНТУ

Страховая организация ______________________________________________________________________________________________________________________________________________________________

  Регистрационный номер страховщика Число Месяц Год Единица измерения
  Форма N 11-страховщик 9992 31 12 2011 тыс. руб.

1. Результат от операций по страхованию иному, чем страхование жизни, по договорам страхования, сострахования

Наименование показателя Код строки Код вида страхования Страховые премии Резерв незаработанной премии Заработанная страховая премия (гр. 4 + гр. 5 - гр. 6) Выплаты Резервы убытков Состоявшиеся убытки (гр .8 - гр .9 + гр. 10) Изменение других страховых резервов Отчисления от страховых премий Расходы на ведение страховых операций Результат от операций страхования Коэффициент убыточности, % (гр. 11 х 100 / гр. 7)
на начало года на конец отчетного периода на начало года на конец отчетного периода
1 2 3 4 5 6 7 8 9 10 11 12 13 14 15 16
Добровольное страхование
Личное страхование (кроме страхования жизни) - всего: 110 х 65788 20947 29052 57683 (28445) 5559 5281 (28167) - ( - ) (18468) 11048 48.83
из него:
Страхование от несчастных случаев и болезней - всего 22110 20435 9998 10256 20177 (6365) 1902 2633 (7096) - ( - ) (7074) 6007 35.17
граждан, выезжающих за рубеж 22111 13660 7656 8402 12914 (3754) 1520 1638 (3872) - ( - ) (5164) 3878 29.98
иных граждан 22115 6775 2342 1854 7263 (2611) 382 995 (3224) - ( - ) (1910) 2129 44.39
страхование участников спортивных мероприятий от несчастных случаев 22115 6710 2340 1850 7200 (2611) 382 995 (3224) - ( - ) (1895) 2081 44.78
Медицинское страхование 22120 45353 10949 18796 37506 (22080) 3657 2648 (21071) - ( - ) (11394) 5041 56.18
...

2. Результат от операций по страхованию иному, чем страхование жизни по договорам, принятым в перестрахование

Наименование показателя Код строки Код вида страхования Страховые премии Резерв незаработанной премии Заработанная страховая премия (гр. 4 + гр. 5 - гр. 6) Выплаты Резервы убытков Состоявшиеся убытки (гр. 8 - гр. 9 + гр. 10) Изменение других страховых резервов Расходы на ведение страховых операций Результат от операций страхования Коэффициент убыточности, % (гр. 11 х 100 / гр. 7)
на начало года на конец отчетного периода на начало года на конец отчетного периода
1 2 3 4 5 6 7 8 9 10 11 12 13 14 15
Добровольное страхование
Личное страхование (кроме страхования жизни) - всего: 110 х 8570 4336 4831 8075 (1656) 1174 40 (522) - (2792) 4761 6.46
из него:
Страхование от несчастных случаев и болезней - всего 60108 8570 4336 4831 8075 (1656) 1174 40 (522) - (2792) 4761 6.46
пассажиров 60110 7117 2775 3981 5911 (1431) 964 38 (505) - (2684) 2722 8.54
...

3. Результат от операций по страхованию иному, чем страхование жизни по договорам страхования, сострахования и по договорам, принятым в перестрахование - нетто перестрахование

Наименование показателя Код строки Код вида страхования Страховые премии - нетто перестрахование Резерв незаработанной премии - нетто перестрахование Заработанная страховая премия - нетто перестрахование (гр. 4 + гр. 5 - гр. 6) Выплаты - нетто перестрахование Резервы убытков - нетто перестрахование Состоявшиеся убытки - нетто перестрахование (гр. 8 - гр. 9 + гр. 10) Изменение других страховых резервов Отчисления от страховых премий Расходы на ведение страховых операций - нетто перестрахование Результат от операций страхования - нетто перестрахование Коэффициент убыточности, % (гр. 11 х 100 / гр. 7)
на начало года на конец отчетного периода на начало года на конец отчетного периода
1 2 3 4 5 6 7 8 9 10 11 12 13 14 15 16
Добровольное страхование
Личное страхование (кроме страхования жизни) - всего: 110 х 60249 23195 25248 58196 (24673) 6733 5321 (23261) - ( - ) (21260) 13675 39.97
из него:
Страхование от несчастных случаев и болезней - всего 22110 29005 14334 15087 28252 (8021) 3076 2673 (7618) - ( - ) (9866) 10768 26.96
граждан, выезжающих за рубеж 22111 13660 7656 8402 12914 (3754) 1520 1638 (3872) - ( - ) (5164) 3878 29. 98
иных граждан 22115 6775 2342 1854 7263 (2611) 382 995 (3224) - ( - ) (1910) 2129 44.39
страхование участников спортивных мероприятий от несчастных случаев 22115 6710 2340 1850 7200 (2611) 382 995 (3224) - ( - ) (1895) 2081 44.78
пассажиров 60110 7117 2775 3981 5911 (1431) 964 38 (505) - ( - ) (2684) 2722 8.54
Медицинское страхование 22120 31244 8861 10161 29944 (16652) 3657 2648 (15643) - ( - ) (11394) 2907 52.24
...

...

<?xml version="1.0" encoding="windows-1251"?>
<company id="9992" kind="acc" period="31.12.2011">
  <form id="11">
    <table id="1">
      <line id="110">
        <col id="4">65788</col>
        <col id="5">20947</col>
        <col id="6">29052</col>
        <col id="7">57683</col>
        <col id="8">28445</col>
        <col id="9">5559</col>
        <col id="10">5281</col>
        <col id="11">28167</col>
        <col id="14">18468</col>
        <col id="15">11048</col>
        <col id="16">48.83</col>
      </line>
      ...
    </table>
    <table id="2">
      <line id="110">
        <col id="4">8570</col>
        <col id="5">4336</col>
        <col id="6">4831</col>
        <col id="7">8075</col>
        <col id="8">1656</col>
        <col id="9">1174</col>
        <col id="10">40</col>
        <col id="11">522</col>
        <col id="13">2792</col>
        <col id="14">4761</col>
        <col id="15">6.46</col>
      </line>
      ...
    </table>
    <table id="3">
      <line id="110">
        <col id="4">60249</col>
        <col id="5">23195</col>
        <col id="6">25248</col>
        <col id="7">58196</col>
        <col id="8">24673</col>
        <col id="9">6733</col>
        <col id="10">5321</col>
        <col id="11">23261</col>
        <col id="14">21260</col>
        <col id="15">13675</col>
        <col id="16">39.97</col>
      </line>
      ...
    </table>
    <list id="1.110">
      <item>
        <col id="1">Страхование от несчастных
        случаев и болезней - всего</col>
        <col id="3">22110</col>
        <col id="4">20435</col>
        <col id="5">9998</col>
        <col id="6">10256</col>
        <col id="7">20177</col>
        <col id="8">6365</col>
        <col id="9">1902</col>
        <col id="10">2633</col>
        <col id="11">7096</col>
        <col id="14">7074</col>
        <col id="15">6007</col>
        <col id="16">35.17</col>
      </item>
      <item>
        <col id="1">граждан, выезжающих за рубеж</col>
        <col id="3">22111</col>
        <col id="4">13660</col>
        <col id="5">7656</col>
        <col id="6">8402</col>
        <col id="7">12914</col>
        <col id="8">3754</col>
        <col id="9">1520</col>
        <col id="10">1638</col>
        <col id="11">3872</col>
        <col id="14">5164</col>
        <col id="15">3878</col>
        <col id="16">29.98</col>
      </item>
      <item>
        <col id="1">иных граждан</col>
        <col id="3">22115</col>
        <col id="4">6775</col>
        <col id="5">2342</col>
        <col id="6">1854</col>
        <col id="7">7263</col>
        <col id="8">2611</col>
        <col id="9">382</col>
        <col id="10">995</col>
        <col id="11">3224</col>
        <col id="14">1910</col>
        <col id="15">2129</col>
        <col id="16">44.39</col>
      </item>
      <item>
        <col id="1">страхование участников спортивных мероприятий
        от несчастных случаев</col>
        <col id="3">22115</col>
        <col id="4">6710</col>
        <col id="5">2340</col>
        <col id="6">1850</col>
        <col id="7">7200</col>
        <col id="8">2611</col>
        <col id="9">382</col>
        <col id="10">995</col>
        <col id="11">3224</col>
        <col id="14">1895</col>
        <col id="15">2081</col>
        <col id="16">44.78</col>
      </item>
      <item>
        <col id="1">Медицинское страхование</col>
        <col id="3">22120</col>
        <col id="4">45353</col>
        <col id="5">10949</col>
        <col id="6">18796</col>
        <col id="7">37506</col>
        <col id="8">22080</col>
        <col id="9">3657</col>
        <col id="10">2648</col>
        <col id="11">21071</col>
        <col id="14">11394</col>
        <col id="15">5041</col>
        <col id="16">56.18</col>
      </item>
    </list>
    ...    
    <list id="2.110">
      <item>
        <col id="1">Страхование от несчастных случаев и болезней -
        всего</col>
        <col id="3">60108</col>
        <col id="4">8570</col>
        <col id="5">4336</col>
        <col id="6">4831</col>
        <col id="7">8075</col>
        <col id="8">1656</col>
        <col id="9">1174</col>
        <col id="10">40</col>
        <col id="11">522</col>
        <col id="13">2792</col>
        <col id="14">4761</col>
        <col id="15">6.46</col>
      </item>
      <item>
        <col id="1">пассажиров</col>
        <col id="3">60110</col>
        <col id="4">7117</col>
        <col id="5">2775</col>
        <col id="6">3981</col>
        <col id="7">5911</col>
        <col id="8">1431</col>
        <col id="9">964</col>
        <col id="10">38</col>
        <col id="11">505</col>
        <col id="13">2684</col>
        <col id="14">2722</col>
        <col id="15">8.54</col>
      </item>
    </list>
    ...
    <list id="3.110">
      <item>
        <col id="1">Страхование от несчастных случаев и болезней -
        всего</col>
        <col id="3">22110</col>
        <col id="4">29005</col>
        <col id="5">14334</col>
        <col id="6">15087</col>
        <col id="7">28252</col>
        <col id="8">8021</col>
        <col id="9">3076</col>
        <col id="10">2673</col>
        <col id="11">7618</col>
        <col id="14">9866</col>
        <col id="15">10768</col>
        <col id="16">26.96</col>
      </item>
      <item>
        <col id="1">граждан, выезжающих за рубеж</col>
        <col id="3">22111</col>
        <col id="4">13660</col>
        <col id="5">7656</col>
        <col id="6">8402</col>
        <col id="7">12914</col>
        <col id="8">3754</col>
        <col id="9">1520</col>
        <col id="10">1638</col>
        <col id="11">3872</col>
        <col id="14">5164</col>
        <col id="15">3878</col>
        <col id="16">29.98</col>
      </item>
      <item>
        <col id="1">иных граждан</col>
        <col id="3">22115</col>
        <col id="4">6775</col>
        <col id="5">2342</col>
        <col id="6">1854</col>
        <col id="7">7263</col>
        <col id="8">2611</col>
        <col id="9">382</col>
        <col id="11">3224</col>
        <col id="14">1910</col>
        <col id="15">2129</col>
        <col id="16">44.39</col>
      </item>
      <item>
        <col id="1">страхование участников спортивных мероприятий
        от несчастных случаев</col>
        <col id="3">22115</col>
        <col id="4">6710</col>
        <col id="5">2340</col>
        <col id="6">1850</col>
        <col id="7">7200</col>
        <col id="8">2611</col>
        <col id="9">382</col>
        <col id="10">995</col>
        <col id="11">3224</col>
        <col id="14">1895</col>
        <col id="15">2081</col>
        <col id="16">44.78</col>
      </item>
      <item>
        <col id="1">пассажиров</col>
        <col id="3">60110</col>
        <col id="4">7117</col>
        <col id="5">2775</col>
        <col id="6">3981</col>
        <col id="7">5911</col>
        <col id="8">1431</col>
        <col id="9">964</col>
        <col id="10">38</col>
        <col id="11">505</col>
        <col id="14">2684</col>
        <col id="15">2722</col>
        <col id="16">8.54</col>
      </item>
      <item>
        <col id="1">Медицинское страхование</col>
        <col id="3">22120</col>
        <col id="4">31244</col>
        <col id="5">8861</col>
        <col id="6">10161</col>
        <col id="7">29944</col>
        <col id="8">16652</col>
        <col id="9">3657</col>
        <col id="10">2648</col>
        <col id="11">15643</col>
        <col id="14">11394</col>
        <col id="15">2907</col>
        <col id="16">52.24</col>
      </item>
    </list>  
    ...  
  </form>
</company>

4. Файл, содержащий пояснения к протоколу проверки

Тело файла tests_comments.xml должно состоять из одной или нескольких секций kind, содержащих пояснения к протоколу проверки:

<kind id="KindId">
  <test_comment form="FormId" part="PartId" relno="Relno">

Текст пояснения

</test_comment>
  ...
</kind>  

, где KindId - вид соотношения. Может принимать следующие значения:

1 - соотношение, которое не выполнено,

2 - соотношение, требующее пояснения,

3 - структурное соотношение активов и резервов,

4 - коды активов,

5 - результат дополнительной проверки;

FormId - идентификатор формы;

PartId - идентификатор раздела согласно таблице, описывающей нумерацию таблиц и списков;

Relno - номер соотношения согласно протоколу проверки;

Текст пояснения - произвольный текст, поясняющий конкретное соотношение. В тексте следует избегать использования символов: "&", "<", ">". В случае необходимости их можно заменить последовательностями: "&amp;", "&lt;" и "&gt;" соответственно.

Внутри секции kind содержатся вложенные подсекции test_comment, содержащие привязку к конкретному соотношению и текст пояснения. Количество вложенных подсекций должно совпадать с количеством соотношений, которые не выполнены либо в которых требуется дать разъяснение в пояснительной записке.

Пример протокола проверки

Протокол проверки контрольных соотношений
ГБО-2011

Регистрационный номер 9992
Наименование организации Ульяновские камыши
Проверен отчет на дату 31.12.2011
Дата проверки 15.06.2012

Нарушения в соотношениях

Все соотношения выполнены

Соотношения, требующие пояснений

Форма N 2
Раздел Соотн. Требуется пояснить
в графе разница код строки
1 40 Если (стр. (180 - 181 - 182 - 183), гр. 3) / (стр. 180, гр. 3) * 100% 5%, то требуется дать расшифровку в пояснительной записке
3 86.5 180

Структурные соотношения активов и резервов

Все соотношения выполнены

Коды активов

Все соотношения выполнены

Результаты дополнительной проверки

Все соотношения выполнены

Пример файла tests_comments.xml

<?xml version="1.0" encoding="windows-1251"?>
<company id="9992" kind="acc" period="31.12.2011">
  <kind id="2">
    <test_comment form="2" part="1" relno="40">
    Доходы от участия в ЗАО "Первое" составили
    50000 тыс. рублей, от участия в ЗАО "Второе"
    составили 150000 тыс. рублей. Итого по стр. 182
    = 200000 тыс. рублей.
    </test_comment>
  </kind>  
</company>    

Приложение N 2
к информационному письму
Федеральной службы
по финансовым рынкам
от 22.12.2011 N 11-ДП-12/36717

КОНТРОЛЬНЫЕ СООТНОШЕНИЯ ПОКАЗАТЕЛЕЙ ГОДОВОЙ БУХГАЛТЕРСКОЙ ОТЧЕТНОСТИ И ОТЧЕТНОСТИ В ПОРЯДКЕ НАДЗОРА

I. Порядок взаимоувязки показателей годовой бухгалтерской отчетности и отчетности в порядке надзора

1. Общие требования

В годовой бухгалтерской отчетности и отчетности в порядке надзора (далее - годовая отчетность) необходимо обеспечить соблюдение следующих контрольных соотношений показателей форм годовой отчетности.

Показатели каждой строки и каждой графы всех форм годовой отчетности должны быть больше или равны нулю, иначе дать разъяснение в пояснительной записке. Если показатель должен вычитаться при исчислении соответствующих данных (промежуточных, итоговых и пр.) или имеет отрицательное значение, то в годовой отчетности этот показатель показывается в круглых скобках.

Файл, содержащий описание страховой организации, сведения из аудиторского заключения и перечень файлов пояснительной записки и аудиторского заключения (0.xml)

В секции attributes в обязательном порядке заполняются все атрибуты страховой организации, перечисленные в Таблице 1 приложения N 1 к информационному письму (кроме краткого наименования страховой организации).

В секции general в обязательном порядке заполняются все атрибуты страховой организации, перечисленные в Таблице 2 приложения N 1 к информационному письму.

В секции attributes поле ПЕРЕСТРАХОВАНИЕ ПЕРЕДАННОЕ принимает значение 1, если в форме N 2-страховщик стр. 012, гр. 3 0 или стр. 032, гр. 3 0 или стр. 082, гр. 3 0 или стр. 112, гр. 3 0 или в форме N 1-страховщик стр. 160, гр. 4 0 или стр. 165, гр. 4 0, иначе поле ПЕРЕСТРАХОВАНИЕ ПЕРЕДАННОЕ принимает значение 0.

Если код по ОКОПФ = 47 или 67, то в файле пояснительной записки:

с кодом раздела 4 необходимо указать данные о количестве акций, выпущенных акционерным обществом и полностью оплаченных; количестве акций, выпущенных, но не оплаченных или оплаченных частично; номинальной стоимости акций, находящихся в собственности акционерного общества, ее дочерних и зависимых обществ;

с кодом раздела 17 необходимо привести информацию о базовой прибыли (убытке) на акцию и разводненной прибыли (убытке) на акцию в соответствии с Методическими рекомендациями по раскрытию информации о прибыли, приходящейся на одну акцию, утвержденными приказом Министерства финансов Российской Федерации от 21 марта 2000 г. N 29н.

2. Бухгалтерский баланс страховой организации (форма N 1-страховщик)

Раздел I "Активы"

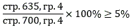
1. Стр. 120, гр. 3, 4 = сумма показателей строк 121, 122, 130, 140, гр. 3, 4.

2. Стр. 130, гр. 3, 4 = сумма показателей строк 131, 132, 133, 134, 135, 136, гр. 3, 4.

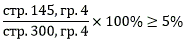
3. Стр. 140, гр. 3, 4 = сумма показателей строк 141, 142, 145, гр. 3, 4.

4. Если , то требуется дать расшифровку в пояснительной записке.

5. Стр. 160, гр. 3, 4 = сумма показателей строк 161, 162, 163, гр. 3, 4.

6. Стр. 165, гр. 3, 4 = сумма показателей строк 166, 167 гр. 3, 4.

7. Стр. 170, гр. 3, 4 = сумма показателей строк 171, 172, 175, гр. 3, 4.

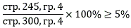
8. Если , то требуется дать расшифровку в пояснительной записке.

9. Стр. 240, гр. 3, 4 = сумма показателей строк 241, 242, 245, гр. 3, 4.

10. Если , то требуется дать расшифровку в пояснительной записке.

11. Если , то требуется дать расшифровку в пояснительной записке.

12. Стр. 290, гр. 3, 4 = сумма показателей строк 110, 120, 150, 160, 165, 170, 180, 185, 190, 200, 210, 220, 230, 240, 250, 260, 270, гр. 3, 4.

13. Стр. 290, гр. 3, 4 = стр. 300, гр. 3, 4.

Раздел II "Капитал и резервы"

14. Если стр. 410, гр. 4 стр. 410, гр. 3, то в пояснительной записке требуется указать дату регистрации соответствующих изменений в учредительные документы, дату и номер документа, уведомляющего Федеральную службу по финансовым рынкам об изменении размера уставного капитала.

15. Стр. 430, гр. 3, 4 = сумма показателей строк 431, 432, гр. 3, 4.

16. Стр. 490, гр. 3, 4 = стр. (410 - 415 + 420 + 430 + 470 + 475), гр. 3, 4.

17. Если стр. 475, гр. 3, 4 0, то гр. 1 0, стр. 475.

Раздел III "Страховые резервы"

18. Стр. 510, гр. 3, 4 = сумма показателей строк 511, 512, 513, 515, гр. 3, 4.

19. Стр. 510, гр. 4 стр. 160, гр. 4, иначе дать разъяснение в пояснительной записке.

20. Стр. 520, гр. 3, 4 = сумма показателей строк 521, 522, 523, гр. 3, 4.

21. Стр. 520, гр. 4 стр. 165, гр. 4, иначе дать разъяснение в пояснительной записке.

22. Стр. 590, гр. 3, 4 = стр. (510 + 520 + 550), гр. 3, 4.

23. Если стр. 510, гр. 4 0 или стр. 520, гр. 4 0, то в файле пояснительной записки с кодом раздела 11 раскрывается состав, порядок (методы) расчета страховых резервов, использованный при формировании соответствующих показателей бухгалтерской отчетности.

Раздел IV "Обязательства"

24. Стр. 630, гр. 3, 4 = сумма показателей строк 631, 632, 634, 635, гр. 3, 4.

25. Если , то требуется дать расшифровку в пояснительной записке.

26. Стр. 650, гр. 3, 4 = сумма показателей строк 651, 652, 653, 654, 655, гр. 3, 4.

27. Если , то требуется дать расшифровку в пояснительной записке.

28. Если, то требуется дать расшифровку в пояснительной записке.

29. Стр. 690, гр. 3, 4 = сумма показателей строк 610, 615, 620, 625, 630, 640, 650, 660, 665, 670, 675, 680, гр. 3, 4.

30. Стр. 700, гр. 3, 4 = сумма показателей строк 490, 590, 690, гр. 3, 4.

31. Стр. 700, гр. 3, 4 = стр. 300, гр. 3, 4.

32. Если стр. 615, гр. 4 0 или стр. 625, гр. 4 0, то в файле пояснительной записки с кодом раздела 13 раскрывается информация об обязательствах по займам (кредитам) в соответствии с Положением по бухгалтерскому учету "Учет расходов по займам и кредитам" (ПБУ 15/2008).

3. Отчет о прибылях и убытках страховой организации (форма N 2-страховщик)

Раздел I "Страхование жизни"

1. Стр. 010, гр. 3, 4 = стр. (011 - 012), гр. 3, 4.

2. Если стр. 012, гр. 3 > стр. 011, гр. 3, то дать разъяснение в пояснительной записке.

3. Стр. 020, гр. 3, 4 сумма показателей строк 021, 022, 023, гр. 3, 4.

4. Если , то требуется дать расшифровку в пояснительной записке.

5. Стр. 030, гр. 3, 4 = стр. (031 - 032 + 033), гр. 3, 4.

6. Если стр. 032, гр. 3 > стр. 031, гр. 3, то дать разъяснение в пояснительной записке.

7. Стр. 040, гр. 3, 4 = стр. (041 + 042 + 043 + 044 + 045 + 046 + 047), гр. 3, 4.

8. Стр. 041, гр. 3 = форма N 1-страховщик, стр. 511, гр. 3 - стр. 511, гр. 4.

9. Стр. 042, гр. 3 = форма N 1-страховщик, стр. 161, гр. 4 - стр. 161, гр. 3.

10. Стр. 043, гр. 3 = форма N 1-страховщик, стр. 512, гр. 3 - стр. 512, гр. 4.

11. Стр. 044, гр. 3 = форма N 1-страховщик, стр. 162, гр. 4 - стр. 162, гр. 3.

12. Стр. 045, гр. 3 = форма N 1-страховщик, стр. 513, гр. 3 - стр. 513, гр. 4.

13. Стр. 046, гр. 3 = форма N 1-страховщик, стр. 515, гр. 3 - стр. 515, гр. 4.

14. Стр. 047, гр. 3 = форма N 1-страховщик, стр. 163, гр. 4 - стр. 163, гр. 3.

15. Стр. 050, гр. 3, 4 = стр. (051 + 052 - 055), гр. 3, 4.

16. Стр. 060, гр. 3, 4 стр. 061, гр. 3, 4.

17. Если , то требуется дать расшифровку в пояснительной записке.

18. Стр. 070, гр. 3, 4 = стр. (010 + 020 - 030 + 040 - 051 - 052 + 055 - 060), гр. 3, 4.

19. Если стр. 070, гр. 3 < 0, то дать разъяснение в пояснительной записке.

20. Стр. 041, 042, 043, 044, 045, 046, 047, гр. 4 = 0 <*>.

<*> Только для годовой отчетности за 2011 год.

Раздел II "Страхование иное, чем страхование жизни"

21. Стр. 080, гр. 3, 4 = стр. (081 - 082), гр. 3, 4.

22. Если стр. 082, гр. 3 > стр. 081, гр. 3, то дать разъяснение в пояснительной записке.

23. Стр. 090, гр. 3, 4 = стр. (091 + 092), гр. 3, 4.

24. Стр. 091, гр. 3 = форма N 1-страховщик, стр. 521, гр. 3 - стр. 521, гр. 4.

25. Стр. 092, гр. 3 = форма N 1-страховщик, стр. 166, гр. 4 - стр. 166, гр. 3.

26. Стр. 100, гр. 3, 4 = стр. (110 - 120), гр. 3, 4.

27. Стр. 110, гр. 3, 4 = стр. (111 - 112), гр. 3, 4.

28. Если стр. 112, гр. 3 > стр. 111, гр. 3, то дать разъяснение в пояснительной записке.

29. Стр. 120, гр. 3, 4 = стр. (121 + 122), гр. 3, 4.

30. Стр. 121, гр. 3 = форма N 1-страховщик, стр. 522, гр. 3 - стр. 522, гр. 4.

31. Стр. 122, гр. 3 = форма N 1-страховщик, стр. 167, гр. 4 - стр. 167, гр. 3.

32. Стр. 130, гр. 3 = форма N 1-страховщик, стр. 523, гр. 3 - стр. 523, гр. 4.

33. Стр. 150, гр. 3, 4 = стр. (151 + 152 + 153), гр. 3, 4.

34. Стр. 160, гр. 3, 4 = стр. (161 + 162 - 165), гр. 3, 4.

35. Если в файле описания страховой организации поле "Перестрахование принятое" = 1, поле "Страхование жизни", поле "Страхование иное, чем страхование жизни", "Обязательное страхование гражданской ответственности владельцев транспортных средств" = 0, то стр. 051, 161, гр. 3 = 0, иначе дать разъяснение в пояснительной записке.

36. Стр. 170, гр. 3, 4 = стр. (080 + 090 - 110 + 120 + 130 - 150 - 161 - 162 + 165 + 166), гр. 3, 4.

37. Если стр. 170, гр. 3 < 0, то дать разъяснение в пояснительной записке.

38. Если стр. 166, гр. 3, 4 0, то гр. 1 0, стр. 166.

Раздел III "Прочие доходы и расходы, не отнесенные в разделы I и II"

39. Стр. 180, гр. 3, 4 сумма показателей строк 181, 182, 183, гр. 3, 4.

40. Если , требуется дать расшифровку в пояснительной записке.

41. Стр. 190, гр. 3, 4 стр. 191, гр. 3, 4.

42. Если , то требуется дать расшифровку в пояснительной записке.

43. Стр. 210, гр. 3, 4 стр. 211, гр. 3, 4.

44. Стр. 220, гр. 3, 4 стр. 221, гр. 3, 4.

45. Стр. 250, гр. 3, 4 = стр. (070 + 170 + 180 - 190 - 200 + 210 - 220), гр. 3, 4.

46. Стр. 300, гр. 3, 4 = стр. (250 + 260 + 270 - 280 + 290), гр. 3, 4.

47. Если стр. 290, гр. 3, 4 0, то гр. 1 0, стр. 290.

48. Если стр. 370, гр. 3, 4 0, то гр. 1 0, стр. 370.

49. Если стр. 210, гр. 3 0 или стр. 220, гр. 3 0, то в файле пояснительной записки с кодом раздела 16 необходимо указать расшифровку соответственно прочих доходов, кроме доходов, связанных с инвестициями, или прочих расходов, кроме расходов, связанных с инвестициями.

4. Отчет о прибылях и убытках страховой медицинской организации по обязательному медицинскому страхованию (форма N 2а-страховщик)

Раздел I "Обязательное медицинское страхование"

1. Стр. 010, гр. 3, 4 стр. 011, гр. 3, 4

2. Стр. 020, гр. 3, 4 = стр. (021 + 022 + 023), гр. 3, 4.

3. Сумма показателей строк 040, 050, гр. 3 = форма N 1-страховщик, стр. 550, гр. 3 - стр. 550, гр. 4.

4. Стр. 100, гр. 3, 4 = стр. (010 + 020 - 030 + 040 + 050 - 060 - 070 + 080 - 090), гр. 3, 4.

5. Если стр. 100, гр. 3 < 0, то требуется дать разъяснение в пояснительной записке.

Раздел II "Прочие доходы и расходы"

6. Стр. 110, гр. 3, 4 стр. (111 + 113), гр. 3, 4.

7. Если , то требуется дать расшифровку в пояснительной записке.

8. Стр. 120, гр. 3, 4 стр. 121, гр. 3, 4.

9. Если, то требуется дать расшифровку в пояснительной записке.

10. Стр. 130, гр. 3, 4 = стр. 020, гр. 3, 4.

11. Стр. 140, гр. 3, 4 = стр. (110 - 120 - 130), гр. 3, 4.

Если в файле описания страховой организации поле "Обязательное медицинское страхование" = 1 и поле "Страхование иное, чем страхование жизни" = 0, то применяются контрольные соотношения 12 - 19:

12. Стр. 180, гр. 3, 4 стр. (181 + 182 + 183), гр. 3, 4;

13. Если , то требуется дать расшифровку в пояснительной записке;

14. Стр. 190, гр. 3, 4 стр. 191, гр. 3, 4;

15. Если , то требуется дать расшифровку в пояснительной записке;

16. Стр. 210, гр. 3, 4 стр. 211, гр. 3, 4;

17. Стр. 220, гр. 3, 4 стр. 221, гр. 3, 4;

18. Стр. 250, гр. 3, 4 = стр. (100 + 140 + 180 - 190 + 210 - 220), гр. 3, 4;

19. Стр. 300, гр. 3, 4 = стр. (250 + 260 + 270 - 280 + 290), гр. 3, 4.

Если в файле описания страховой организации поле "Обязательное медицинское страхование" = 1 и поле "Страхование иное, чем страхование жизни" = 1, то применяются контрольные соотношения 20 - 24:

20. Стр. 180, 181, 182, 183, 190, 191, 210, 211, 220, 221, 250, 260, 270, 280, 290, 300, 301, 305, 306, гр. 3, 4 = 0;

21. Если результат расчета стр. (010 + 020 - 030 + 040 + 050 - 060 - 070 + 080 - 090), гр. 3, 4 отрицательный, то его абсолютная величина форма N 2-страховщик, стр. 220, гр. 3, 4;

22. Если стр. 100, гр. 3, 4 0, то стр. 100, гр. 3, 4 форма N 2-страховщик, стр. 210, гр. 3, 4;

23. Стр. (110 - 130), гр. 3, 4 форма N 2-страховщик, стр. 180, гр. 3, 4;

24. Стр. 120, гр. 3, 4 форма N 2-страховщик, стр. 190, гр. 3, 4.

25. Если стр. 290, гр. 3, 4 0, то гр. 1 0, стр. 290.

26. Если стр. 370, гр. 3, 4, 5, 6 0, то гр. 1 0, стр. 370.

27. Если стр. 210, гр. 3 0 или стр. 220, гр. 3 0, то в файле пояснительной записки с кодом раздела 16 необходимо указать расшифровку соответственно прочих доходов, кроме доходов, связанных с инвестициями, или прочих расходов, кроме расходов, связанных с инвестициями.

5. Отчет об изменениях капитала страховой организации (форма N 3-страховщик)

Раздел I "Изменения капитала"

1. Стр. 010, гр. 7 = стр. 010, гр. (3 + 4 + 5 + 6).

2. Стр. 020, гр. 7 = стр. 020, гр. 6.

3. Стр. 030, гр. 7 = стр. 030, гр. (4 + 6).

4. Стр. 040, гр. 7 = стр. 040, гр. (4 + 5 + 6).

5. Стр. 050, гр. 7 = стр. 050, гр. (3 + 4 + 5 + 6).

6. Стр. 050, гр. 3 = гр. 3, стр. 010.

7. Стр. 050, гр. 4 = гр. 4, стр. (010 + 030 + 040).

8. Стр. 050, гр. 5 = гр. 5, стр. (010 + 040).

9. Стр. 050, гр. 6, 7 = гр. 6, 7, стр. (010 + 020 + 030 + 040).

10. Стр. 060, гр. 7 = стр. 060, гр. 4.

11. Стр. 070, гр. 7 = стр. 070, гр. 6.

12. Стр. 080, гр. 7 = стр. 080, гр. 6.

13. Стр. 090, гр. 7 = стр. 090, гр. (5 - 6).

14. Стр. 100, гр. 7 = стр. 100, гр. (3 + 4).

15. Стр. 110, гр. 7 = стр. 110, гр. 3.

16. Стр. 120, гр. 7 = стр. 120, гр. (3 + 6).

17. Стр. 125, гр. 7 = стр. 125, гр. (3 + 4 + 5 + 6).

18. Стр. 130, гр. 7 = стр. 130, гр. 3.

19. Стр. 140, гр. 7 = стр. 140, гр. 3.

20. Стр. 150, гр. 7 = стр. 150, гр. (3 + 6).

21. Стр. 160, гр. 7 = стр. 160, гр. (3 + 4 + 5 + 6).

22. Стр. 210, гр. 7 = стр. 210, гр. (3 + 4 + 5 + 6).

23. Стр. 210, гр. 3 = гр. 3, стр. (050 + 100 + 110 + 120 + 125 - 130 - 140 - 150 - 160).

24. Стр. 210, гр. 4 = гр. 4, стр. (050 + 060 + 100 + 125 - 160).

25. Стр. 210, гр. 5 = гр. 5, стр. (050 + 090 + 125 - 160).

26. Стр. 210, гр. 6 = гр. 6, стр. (050 + 070 - 080 - 090 + 120 + 125 - 150 - 160).

27. Стр. 210, гр. 7 = гр. 7, стр. (050 + 060 + 070 - 080 + 090 + 100 + 110 + 120 + 125 - 130 - 140 - 150 - 160).

28. Стр. 220, гр. 7 = стр. 220, гр. 6.

29. Стр. 230, гр. 7 = стр. 230, гр. (4 + 6).

30. Стр. 240, гр. 7 = стр. 240, гр. (4 + 5 + 6).

31. Стр. 250, гр. 7 = стр. 250, гр. (3 + 4 + 5 + 6).

32. Стр. 250, гр. 3 = гр. 3, стр. 210.

33. Стр. 250, гр. 4 = гр. 4, стр. (210 + 230 + 240).

34. Стр. 250, гр. 5 = гр. 5, стр. (210 + 240).

35. Стр. 250, гр. 6, 7 = гр. 6, 7, стр. (210 + 220 + 230 + 240).

36. Стр. 260, гр. 7 = стр. 260, гр. 4.

37. Стр. 270, гр. 7 = стр. 270, гр. 6.

38. Стр. 300, гр. 7 = стр. 300, гр. (3 + 4).

39. Стр. 310, гр. 7 = стр. 310, гр. 3.

40. Стр. 320, гр. 7 = стр. 320, гр. (3 + 6).

41. Стр. 325, гр. 7 = стр. 325, гр. (3 + 4 + 5 + 6).

42. Стр. 330, гр. 7 = стр. 330, гр. 3.

43. Стр. 340, гр. 7 = стр. 340, гр. 3.

44. Стр. 350, гр. 7 = стр. 350, гр. (3 + 6).

45. Если стр. 360, гр. 3 0 или гр. 4 0 или гр. 5 0 или гр. 6 0, то требуется дать расшифровку в пояснительной записке.

46. Стр. 360, гр. 7 = стр. 360, гр. (3 + 4 + 5 + 6).

47. Стр. 410, гр. 7 = стр. 410, гр. (3 + 4 + 5 + 6).

48. Стр. 410, гр. 3 = гр. 3, стр. (250 + 300 + 310 + 320 + 325 - 330 - 340 - 350 - 360).

49. Стр. 410, гр. 4 = гр. 4, стр. (250 + 260 + 300 + 325 - 360).

50. Стр. 410, гр. 5 = гр. 5, стр. (250 + 290 + 325 - 360).

51. Стр. 410, гр. 6 = гр. 6, стр. (250 + 270 - 280 - 290 + 320 + 325 - 350 - 360).

52. Стр. 410, гр. 7 = гр. 7, стр. (250 + 260 + 270 - 280 + 290 + 300 + 310 + 320 + 325 - 330 - 340 - 350 - 360).

53. Стр. 250, гр. 3 = форма N 1-страховщик, стр. 410, гр. 3.

54. Стр. 250, гр. 4 = форма N 1-страховщик, стр. 420, гр. 3.

55. Стр. 250, гр. 5 = форма N 1-страховщик, стр. 430, гр. 3.

56. Стр. 250, гр. 6 = форма N 1-страховщик, стр. 470, гр. 3.

57. Стр. 410, гр. 3 = форма N 1-страховщик, стр. 410, гр. 4.

58. Стр. 410, гр. 4 = форма N 1-страховщик, стр. 420, гр. 4.

59. Стр. 410, гр. 5 = форма N 1-страховщик, стр. 430, гр. 4.

60. Стр. 410, гр. 6 = форма N 1-страховщик, стр. 470, гр. 4, иначе дать разъяснение в пояснительной записке.

Если в файле описания страховой организации поле "Страхование жизни" = 1 или поле "Страхование иное, чем страхование жизни" = 1 или поле "Обязательное страхование гражданской ответственности владельцев транспортных средств" = 1 или поле "Перестрахование принятое" = 1, то применяются контрольные соотношения 61, 62:

61. Стр. 070, гр. 6 = форма N 2-страховщик, стр. 300, гр. 4;

62. Стр. 270, гр. 6 = форма N 2-страховщик, стр. 300, гр. 3.

Если в файле описания страховой организации поле "Обязательное медицинское страхование" = 1 и поле "Страхование иное, чем страхование жизни" = 0, то применяются контрольные соотношения 63, 64:

63. Стр. 070, гр. 6 = форма N 2а-страховщик, стр. 300, гр. 4;

64. Стр. 270, гр. 6 = форма N 2а-страховщик, стр. 300, гр. 3.

65. Если стр. 040, гр. 4, 5, 6, 7 0, то гр. 1 0, стр. 040.

66. Если стр. 125, гр. 3, 4, 5, 6, 7 0, то гр. 1 0, стр. 125.

67. Если стр. 160, гр. 3, 4, 5, 6, 7 0, то гр. 1 0, стр. 160.

68. Если стр. 240, гр. 4, 5, 6, 7 0, то гр. 1 0, стр. 240.

69. Если стр. 325, гр. 3, 4, 5, 6, 7 0, то гр. 1 0, стр. 325.

70. Если стр. 360, гр. 3, 4, 5, 6, 7 0, то гр. 1 0, стр. 360.

Раздел II "Резервы"

71. Показатели каждой строки раздела II проверяются: гр. 6 = гр. 3 + гр. 4 - гр. 5.

Раздел "СПРАВКИ"

72. Стр. 810, гр. 3 = форма N 1-страховщик, стр. (290 - 590 - 690), гр. 3 - форма N 5-страховщик, стр. 431, гр. 3.

73. Стр. 810, гр. 4 = форма N 1-страховщик, стр. (290 - 590 - 690), гр. 4 - форма N 5-страховщик, стр. 431, гр. 4.

74. Если стр. 821, гр. 3, 4, 5, 6 0, то гр. 1 0, стр. 821.

75. Если стр. 822, гр. 3, 4, 5, 6 0, то гр. 1 0, стр. 822.

76. Если стр. 823, гр. 3, 4, 5, 6 0, то гр. 1 0, стр. 823.

77. Если стр. 831, гр. 3, 4, 5, 6 0, то гр. 1 0, стр. 831.

78. Если стр. 832, гр. 3, 4, 5, 6 0, то гр. 1 0, стр. 832.

79. Если стр. 833, гр. 3, 4, 5, 6 0, то гр. 1 0, стр. 833.

6. Отчет о движении денежных средств страховой организации (форма N 4-страховщик)

1. Стр. 210, гр. 3, 4 = стр. (020 + 030 + 040 + 050 + 060 + 065 + 066 + 070 - 080 - 090 - 100 - 110 - 120 - 130 - 140 - 150 - 160 - 170 - 180 - 185 - 190 - 195 - 200), гр. 3, 4.

2. Стр. 350, гр. 3, 4 = стр. (220 + 230 + 240 + 250 + 260 + 270 + 280 - 290 - 300 - 310 - 320 - 330 - 340), гр. 3, 4.

3. Стр. 440, гр. 3, 4 = стр. (360 + 370 + 380 + 390 - 400 - 410 - 420 - 430), гр. 3, 4.

4. Стр. 450, гр. 3, 4 = стр. (210 + 350 + 440), гр. 3, 4.

5. Если в файле описания страховой организации поле "Обязательное медицинское страхование" = 0, то стр. 460, гр. 3 = форма N 1-страховщик, стр. 260, гр. 4, иначе дать разъяснение в пояснительной записке.

6. Если стр. 060, гр. 3, 4 0, то гр. 1 0, стр. 060.

7. Если стр. 065, гр. 3, 4 0, то гр. 1 0, стр. 065.

8. Если стр. 066, гр. 3, 4 0, то гр. 1 0, стр. 066.

9. Если стр. 190, гр. 3, 4 0, то гр. 1 0, стр. 190.

10. Если стр. 195, гр. 3, 4 0, то гр. 1 0, стр. 195.

11. Если стр. 270, гр. 3, 4 0, то гр. 1 0, стр. 270.

12. Если стр. 280, гр. 3, 4 0, то гр. 1 0, стр. 280.

13. Если стр. 330, гр. 3, 4 0, то гр. 1 0, стр. 330.

14. Если стр. 340, гр. 3, 4 0, то гр. 1 0, стр. 340.

15. Если стр. 380, гр. 3, 4 0, то гр. 1 0, стр. 380.

16. Если стр. 390, гр. 3, 4 0, то гр. 1 0, стр. 390.

17. Если стр. 420, гр. 3, 4 0, то гр. 1 0, стр. 420.

18. Если стр. 430, гр. 3, 4 0, то гр. 1 0, стр. 430.

7. Отчет о движении денежных средств страховой медицинской организации по обязательному медицинскому страхованию (форма N 4а-страховщик)

1. Стр. 021, гр. 3, 4 стр. 020, гр. 3, 4.

2. Стр. 210, гр. 3, 4 = стр. (020 + 040 + 060 + 070 + 080 - 090 - 100 - 120 - 130 - 140 - 150 - 160 - 170 - 180 - 190 - 200), гр. 3, 4.

3. Стр. 350, гр. 3, 4 = стр. (220 + 230 + 240 + 250 + 260 + 270 + 280 - 290 - 300 - 310 - 320 - 330 - 340), гр. 3, 4.

4. Стр. 440, гр. 3, 4 = стр. (360 + 370 + 380 + 390 - 400 - 410 - 420 - 430), гр. 3, 4.

5. Стр. 450, гр. 3, 4 = стр. (210 + 350 + 440), гр. 3, 4.

6. Если в файле описания страховой организации поле "Обязательное медицинское страхование" = 1 и поле "Страхование иное, чем страхование жизни" = 0, то стр. 460, гр. 3 = форма N 1-страховщик, стр. 260, гр. 4, иначе дать разъяснение в пояснительной записке.

7. Если в файле описания страховой организации поле "Обязательное медицинское страхование" = 1 и поле "Страхование иное, чем страхование жизни" = 1, то стр. 460, гр. 3 + форма N 4-страховщик, стр. 460, гр. 3 = форма N 1-страховщик, стр. 260, гр. 4, иначе дать разъяснение в пояснительной записке.

8. Если стр. 040, гр. 3, 4 0, то гр. 1 0, стр. 040.

9. Если стр. 060, гр. 3, 4 0, то гр. 1 0, стр. 060.

10. Если стр. 070, гр. 3, 4 0, то гр. 1 0, стр. 070.

11. Если стр. 180, гр. 3, 4 0, то гр. 1 0, стр. 180.

12. Если стр. 190, гр. 3, 4 0, то гр. 1 0, стр. 190.

13. Если стр. 270, гр. 3, 4 0, то гр. 1 0, стр. 270.

14. Если стр. 280, гр. 3, 4 0, то гр. 1 0, стр. 280.

15. Если стр. 330, гр. 3, 4 0, то гр. 1 0, стр. 330.

16. Если стр. 340, гр. 3, 4 0, то гр. 1 0, стр. 340.

17. Если стр. 380, гр. 3, 4 0, то гр. 1 0, стр. 380.

18. Если стр. 390, гр. 3, 4 0, то гр. 1 0, стр. 390.

19. Если стр. 420, гр. 3, 4 0, то гр. 1 0, стр. 420.

20. Если стр. 430, гр. 3, 4 0, то гр. 1 0, стр. 430.

8. Приложение к Бухгалтерскому балансу и Отчету о прибылях и убытках страховой организации (форма N 5-страховщик)

Раздел 1 "Нематериальные активы"

1. Показатели строк 110, 111, 112, 120, 130, 140, 150 проверяются: гр. 6 = гр. 3 + гр. 4 - гр. 5.

2. Стр. 110, гр. 3, 4, 5, 6 = стр. (111 + 112), гр. 3, 4, 5, 6.

3. Стр. (110 + 120 + 130 + 140 + 150), гр. 3 - стр. 160, гр. 3 = форма N 1-страховщик, стр. 110, гр. 3.

4. Стр. (110 + 120 + 130 + 140 + 150), гр. 6 - стр. 160, гр. 4 = форма N 1-страховщик, стр. 110, гр. 4.

5. Стр. 160, гр. 3, 4 = стр. (161 + 162 + 163 + 164), гр. 3, 4.

6. Если стр. 120, гр. 3, 4, 5, 6 0, то гр. 1 0, стр. 120.

7. Если стр. 140, гр. 3, 4, 5, 6 0, то гр. 1 0, стр. 140.

8. Если стр. 161, гр. 3, 4 0, то гр. 1 0, стр. 161.

9. Если стр. 162, гр. 3, 4 0, то гр. 1 0, стр. 162.

10. Если стр. 163, гр. 3, 4 0, то гр. 1 0, стр. 163.

11. Если стр. 164, гр. 3, 4 0, то гр. 1 0, стр. 164.

Раздел 2 "Основные средства"

1. Показатели строк 210, 215, 220, 225, 230, 235, 240, 245 проверяются: гр. 6 = гр. 3 + гр. 4 - гр. 5.

2. Стр. 245, гр. 3, 4, 5, 6 = сумма показателей строк 210, 215, 220, 225, 230, 235, 240, гр. 3, 4, 5, 6.

3. Стр. 250, гр. 3, 4 = сумма показателей строк 251, 253, 254, 255, гр. 3, 4.

4. Стр. 260, гр. 3, 4 = сумма показателей строк 261, 263, 264, 265, гр. 3, 4.

5. Стр. 275, гр. 3, 4 = сумма показателей строк 276, 277, 278, гр. 3, 4.

6. Стр. 280, гр. 3, 4 = сумма показателей строк 281, 283, гр. 3, 4.

7. Стр. 245, гр. 3 - стр. 250, гр. 3 = форма N 1-страховщик, стр. (121 + 122 + 210), гр. 3.

8. Стр. 245, гр. 6 - стр. 250, гр. 4 = форма N 1-страховщик, стр. (121 + 122 + 210), гр. 4.

9. Если стр. 264, гр. 3, 4 0, то гр. 1 0, стр. 264.

10. Если стр. 265, гр. 3, 4 0, то гр. 1 0, стр. 265.

11. Если стр. 276, гр. 3, 4 0, то гр. 1 0, стр. 276.

12. Если стр. 277, гр. 3, 4 0, то гр. 1 0, стр. 277.

13. Если стр. 278, гр. 3, 4 0, то гр. 1 0, стр. 278.

Раздел 3 "Финансовые вложения"

1. Стр. 310, гр. 3, 4, 5, 6 = сумма показателей строк 311, 312, 313, 314, 315, гр. 3, 4, 5, 6.

2. Стр. 320, гр. 3, 4, 5, 6 = сумма показателей строк 321, 322, 323, 324, 325, гр. 3, 4, 5, 6.

3. Стр. 345, гр. 3, 4, 5, 6 = сумма показателей строк 310, 320, 330, 335, 337, 340, гр. 3, 4, 5, 6.

4. Стр. 311, гр. (3 + 5), (4 + 6) форма N 1-страховщик, стр. 131, гр. 3, 4.

5. Сумма показателей строк 312, 313, 314, гр. (3 + 5), (4 + 6) форма N 1-страховщик, стр. 132, гр. 3, 4.

6. Стр. 315, гр. (3 + 5), (4 + 6) форма N 1-страховщик, стр. 133, гр. 3, 4.

7. Стр. 321, гр. (3 + 5), (4 + 6) форма N 1-страховщик, стр. 134, гр. 3, 4.

8. Сумма показателей строк 322, 323, 324, гр. (3 + 5), (4 + 6) форма N 1-страховщик, стр. 135, гр. 3, 4.

9. Стр. 325, гр. (3 + 5), (4 + 6) форма N 1-страховщик, стр. 136, гр. 3, 4.

10. Стр. 330, гр. (3 + 5), (4 + 6) форма N 1-страховщик, стр. 141, гр. 3, 4.

11. Стр. 335, гр. (3 + 5), (4 + 6) форма N 1-страховщик, стр. 142, гр. 3, 4.

12. Стр. 350, гр. 3, 4, 5, 6 = сумма показателей строк 351, 352, гр. 3, 4, 5, 6.

13. Стр. 360, гр. 3, 4, 5, 6 = сумма показателей строк 361, 362, гр. 3, 4, 5, 6.

14. Стр. 385, гр. 3, 4, 5, 6 = сумма показателей строк 350, 360, 370, 377, 380, гр. 3, 4, 5, 6.

15. Стр. 351, гр. 3, 4, 5, 6 стр. 311, гр. 3, 4, 5, 6.

16. Стр. 352, гр. 3, 4, 5, 6 стр. 312, гр. 3, 4, 5, 6.

17. Стр. 361, гр. 3, 4, 5, 6 стр. 321, гр. 3, 4, 5, 6.

18. Стр. 362, гр. 3, 4, 5, 6 стр. 322, гр. 3, 4, 5, 6.

19. Стр. 370, гр. 3, 4, 5, 6 стр. 330, гр. 3, 4, 5, 6.

20. Стр. 377, гр. 3, 4, 5, 6 стр. 337, гр. 3, 4, 5, 6.

21. Стр. 380, гр. 3, 4, 5, 6 стр. 340, гр. 3, 4, 5, 6.

Раздел 4 "Дебиторская и кредиторская задолженность"

1. Стр. 410, гр. 3, 4 сумма показателей строк 411, 412, гр. 3, 4.

2. Стр. 410, гр. 3, 4 форма N 1-страховщик, стр. 170, гр. 3, 4.

3. Стр. 415, гр. 3, 4 стр. 410, гр. 3, 4.

4. Стр. 420, гр. 3, 4 стр. 421, гр. 3, 4.

5. Стр. 420, гр. 3, 4 форма N 1-страховщик, стр. 180, гр. 3, 4.

6. Стр. 425, гр. 3, 4 = сумма показателей строк 426, 427, 428, 429, гр. 3, 4.

7. Стр. 425, гр. 3, 4 форма N 1-страховщик, стр. 185, гр. 3, 4.

8. Стр. 430, гр. 3, 4 = сумма показателей строк 431, 432, 437, 439, гр. 3, 4.

9. Стр. 430, гр. 3, 4 форма N 1-страховщик, стр. 200, гр. 3, 4.

10. Стр. 440, гр. 3, 4 = сумма показателей строк 441, 442, 447, гр. 3, 4.

11. Стр. 440, гр. 3, 4 форма N 1-страховщик, стр. 190, гр. 3, 4.

12. Стр. 448, гр. 3, 4 сумма показателей строк 430, 440, гр. 3, 4.

13. Стр. 449, гр. 3, 4 = сумма показателей строк 410, 420, 425, 430, 440, гр. 3, 4.

14. Стр. 450, гр. 3, 4 = форма N 1-страховщик, стр. 630, гр. 3, 4.

15. Стр. 455, гр. 3, 4 = форма N 1-страховщик, стр. 634, гр. 3, 4.

16. Стр. 456, гр. 3, 4 стр. 455, гр. 3, 4.

17. Стр. 460, гр. 3, 4 = форма N 1-страховщик, стр. 640, гр. 3, 4.

18. Стр. 465, гр. 3, 4 = сумма показателей строк 466, 467, 468, 469, гр. 3, 4.

19. Стр. 465, гр. 3, 4 = форма N 1-страховщик, стр. 654, гр. 3, 4.

20. Стр. 470, гр. 3, 4 = сумма показателей строк 471, 472, 473, 474, 475, 476, 477, 478, гр. 3, 4.

21. Стр. (475 + 476), гр. 3, 4 = форма N 1-страховщик, стр. 625, гр. 3, 4.

22. Стр. 480, гр. 3, 4 = сумма показателей строк 481, 482, 483, 488, гр. 3, 4.

23. Стр. (481 + 482), гр. 3, 4 = форма N 1-страховщик, стр. 615, гр. 3, 4.

24. Стр. 489, гр. 3, 4 = сумма показателей строк 450, 460, 465, 470, 480, гр. 3, 4.

25. Стр. (465 + 470 + 480), гр. 3, 4 форма N 1-страховщик, стр. (615 + 625 + 650), гр. 3, 4.

26. Если стр. 437, гр. 3, 4 0, то гр. 1 0, стр. 437.

27. Если стр. 441, гр. 3, 4 0, то гр. 1 0, стр. 441.

28. Если стр. 442, гр. 3, 4 0, то гр. 1 0, стр. 442.

29. Если стр. 472, гр. 3, 4 0, то гр. 1 0, стр. 472.

30. Если стр. 477, гр. 3, 4 0, то гр. 1 0, стр. 477.

31. Если стр. 483, гр. 3, 4 0, то гр. 1 0, стр. 483.

Раздел 5 "Расходы страховой организации по элементам затрат"

1. Стр. 560, гр. 3, 4 = сумма показателей строк 510, 520, 530, 540, 550, гр. 3, 4.

2. Стр. 580, гр. 3 = форма N 1-страховщик, стр. 242, гр. 4 - стр. 242, гр. 3.

3. Стр. 590, гр. 3 = форма N 1-страховщик, стр. 670, гр. 4 - стр. 670, гр. 3.

Раздел 6 "Обеспечения"

1. Стр. 610, гр. 3, 4 = форма N 1-страховщик, стр. 950, гр. 3, 4.

2. Стр. 610, гр. 3, 4 стр. 611, гр. 3, 4.

3. Стр. 620, гр. 3, 4 = стр. (621 + 622 + 623), гр. 3, 4.

4. Стр. 650, гр. 3, 4 = форма N 1-страховщик, стр. 960, гр. 3, 4.

5. Стр. 650, гр. 3, 4 стр. 651, гр. 3, 4.

6. Стр. 660, гр. 3, 4 = стр. (661 + 662 + 663), гр. 3, 4.

7. Если стр. 630, гр. 3, 4 0, то гр. 1 0, стр. 630.

8. Если стр. 640, гр. 3, 4 0, то гр. 1 0, стр. 640.

9. Если стр. 670, гр. 3, 4 0, то гр. 1 0, стр. 670.

10. Если стр. 680, гр. 3, 4 0, то гр. 1 0, стр. 680.

9. Отчет о платежеспособности (форма N 6-страховщик)

Раздел 1 "Расчет соотношения между фактическим и нормативным размерами маржи платежеспособности"

1. Стр. 001, гр. 3, 4 = стр. 022, гр. 3, 4.

2. Стр. 002, гр. 3, 4 = стр. 034, гр. 3, 4.

3. Стр. 003, гр. 3, 4 = сумма показателей строк 042, 004, 005, 006, гр. 3, 4.

4. Если в файле описания страховой организации поле "Страхование жизни" = 1, поле "Перестрахование принятое" = 0, сумма показателей строк 002, 003, гр. 3, 4 60000, то стр. 007, гр. 3, 4 = 60000.

5. Если в файле описания страховой организации поле "Страхование жизни" = 1, "Перестрахование принятое" = 0, сумма показателей строк 002, 003, гр. 3, 4 > 60000, то стр. 007, гр. 3, 4 = сумма показателей строк 002, 003, гр. 3, 4.

6. Если в файле описания страховой организации поле "Страхование иное, чем страхование жизни" = 1, поле "Страхование жизни" = 0, поле "Перестрахование принятое" = 0, сумма показателей строк 002, 003 гр. 3, 4 30000, то строка 007, гр. 3, 4 = 30000.

7. Если в файле описания страховой организации поле "Страхование иное, чем страхование жизни" = 1, поле "Страхование жизни" = 0, поле "Перестрахование принятое" = 0, сумма показателей строк 002, 003 гр. 3, 4 > 30000, то строка 007, гр. 3, 4 = сумма показателей строк 002, 003, гр. 3, 4.

8. Если в файле описания страховой организации поле "Обязательное медицинское страхование" = 1, поле "Страхование иное, чем страхование жизни" = 1, сумма показателей строк 002, 003, гр. 3, 4 30000, то строка 007, гр. 3, 4 = 30000.

9. Если в файле описания страховой организации поле "Обязательное медицинское страхование" = 1, поле "Страхование иное, чем страхование жизни" = 1, сумма показателей строк 002, 003, гр. 3, 4 > 30000, то строка 007, гр. 3, 4 = сумма показателей строк 002, 003, гр. 3, 4.

10. Если в файле описания страховой организации поле "Перестрахование принятое" = 1, сумма показателей строк 002, 003, гр. 3, 4 120000, то стр. 007, гр. 3, 4 = 120000.

11. Если в файле описания страховой организации поле "Перестрахование принятое" = 1, сумма показателей строк 002, 003, гр. 3, 4 > 120000, то стр. 007, гр. 3, 4 = сумма показателей строк 002, 003, гр. 3, 4.

12. Стр. 008, гр. 3, 4 = стр. (001 - 007), гр. 3, 4.

13. Если стр. 008, гр. 4 < стр. 007, гр. 4 x 0,3, то требуется представить план оздоровления финансового положения.

14. Стр. 011, гр. 3, 4 = форма N 1-страховщик, стр. 410, гр. 3, 4.

15. Стр. 012, гр. 3, 4 = форма N 1-страховщик, стр. 420, гр. 3, 4.

16. Стр. 013, гр. 3, 4 = форма N 1-страховщик, стр. 430, гр. 3, 4.

17. Стр. (014 - 016), гр. 3, 4 = форма N 1-страховщик, стр. 470, гр. 3, 4.

18. Стр. 015, гр. 3, 4 = сумма показателей строк 011, 012, 013, 014, гр. 3, 4.

19. Стр. 017, гр. 3, 4 = форма N 5-страховщик, стр. 431, гр. 3, 4.

20. Стр. 018, гр. 3, 4 = форма N 1-страховщик, стр. 415, гр. 3, 4.

21. Стр. 019, гр. 3, 4 = форма N 1-страховщик стр. 110, гр. 3, 4.

22. Стр. 021, гр. 3, 4 = сумма показателей строк 016, 017, 018, 019, 020, гр. 3, 4.

23. Стр. 022, гр. 3, 4 = стр. (015 - 021), гр. 3, 4.

24. Стр. 031, гр. 3, 4 = форма N 1-страховщик, стр. 510, гр. 3, 4.

25. Стр. 032, гр. 3, 4 = форма N 1-страховщик, стр. 160, гр. 3, 4.

стр. (031 - 032), гр. 3, 4

26. Если стр. 031, гр. 3, 4 0 и > 0,85, то стр. 033, гр. 3, 4 = , с точностью до двух знаков после десятичной точки.

27. Если стр. 031, гр. 3, 4 0 и 0 0,85, то стр. 033, гр. 3, 4 = 0,85.

28. Стр. 034, гр. 3, 4 = 0,05 x стр. 031, гр. 3, 4 x стр. 033, гр. 3, 4.

29. Если стр. 055, гр. 3, 4 стр. 068, гр. 3, 4, то стр. 041, гр. 3, 4 = стр. 068, гр. 3, 4.

30. Если стр. 055, гр. 3, 4 > стр. 068, гр. 3, 4, то стр. 041, гр. 3, 4 = стр. 055, гр. 3, 4.

31. Стр. 042, гр. 3, 4 = произведение данных строк 083 и 041, гр. 3, 4.

32. Стр. 055, гр. 3, 4 = (0,16 x (стр. 051 - 052 - 054)), гр. 3, 4.

стр. (061 - 062 - 063 + 064 - 065 + 066), гр. 3, 4

33. Стр. 067, гр. 3, 4 = .

34. Стр. 068, гр. 3, 4 = 0,23 x стр. 067, гр. 3, 4.

35. Стр. 076, гр. 3, 4 = стр. (071 - 072 + 073 - 074 + 075), гр. 3, 4.

36. Стр. 082, гр. 3, 4 = стр. (077 - 078 + 079 - 080 + 081), гр. 3, 4.

37. Если стр. 071, гр. 3, 4 = 0, то стр. 083, гр. 3, 4 = 1.

стр. (076 - 082), гр. 3, 4

38. Если стр. 071, гр. 3, 4 0 и 0,5 0,1, то стр. 083, гр. 3, 4 = , с точностью до двух знаков после десятичной точки.

39. Если стр. 071, гр. 3, 4 0 и < 0,5, то стр. 083, гр. 3, 4 = 0,5.

40. Если > 1, то стр. 083, гр. 3, 4 = 1.

Если строки 004, 005, 006, гр. 3, 4 = 0, то применяются контрольные соотношения 41 - 52:

41. Стр. 051, гр. 3, 4 = форма N 2-страховщик, стр. 081, гр. 4, 3;

42. Стр. 054, гр. 3, 4 = форма N 2-страховщик, стр. 150, гр. 4, 3;

43. Стр. 071, гр. 3, 4 = форма N 2-страховщик, стр. 111, гр. 4, 3;

44. Стр. 072, гр. 3, 4 = форма N 8-страховщик, раздел 2, стр. 040, гр. 3, 4;

45. Стр. 073, гр. 3, 4 = форма N 8-страховщик, раздел 2, стр. 040, гр. 4, 5;

46. Стр. 074, гр. 3, 4 = форма N 8-страховщик, раздел 2, стр. 050, гр. 3, 4;

47. Стр. 075, гр. 3, 4 = форма N 8-страховщик, раздел 2, стр. 050, гр. 4, 5;

48. Стр. 077, гр. 3, 4 = форма N 2-страховщик, стр. 112, гр. 4, 3;

49. Стр. 078, гр. 3, 4 = форма N 8-страховщик, раздел 2, стр. 070, гр. 3, 4;

50. Стр. 079, гр. 3, 4 = форма N 8-страховщик, раздел 2, стр. 070, гр. 4, 5;

51. Стр. 080, гр. 3, 4 = форма N 8-страховщик, раздел 2, стр. 080, гр. 3, 4;

52. Стр. 081, гр. 3, 4 = форма N 8-страховщик, раздел 2, стр. 080, гр. 4, 5.

53. Если стр. 004, гр. 3, 4 0, то гр. 1 0, стр. 004.

54. Если стр. 005, гр. 3, 4 0, то гр. 1 0, стр. 005.

55. Если стр. 006, гр. 3, 4 0, то гр. 1 0, стр. 006.

Справка к подразделу IV

1. Гр. 4 строк 110, 115, 125, 130, 135, 140, 145, 150, 155, 160, 165, 170, 175, 180 = гр. 5 строк 110, 115, 125, 130, 135, 140, 145, 150, 155, 160, 165, 170, 175, 180.

2. Гр. 7 строк 130, 135, 140, 145, 150, 155 = гр. 8 строк 130, 135, 140, 145, 150, 155.

3. Стр. 110, гр. 3, 4 = стр. 051, гр. 4, 3.

4. Стр. 115, гр. 3, 4 = стр. 052, гр. 4, 3.

5. Стр. 125, гр. 3, 4 = стр. 054, гр. 4, 3.

6. Стр. 130, гр. (3 + 4 + 6, 4 + 6 + 7) = стр. 061, гр. 4, 3, если стр. 061, гр. 4, 3 0.

7. Стр. 135, гр. (3 + 4 + 6, 4 + 6 + 7) = стр. 062, гр. 4, 3, если стр. 062, гр. 4, 3 0.

8. Стр. 140, гр. 3, 4 = стр. 072, гр. 4, 3.

9. Стр. 140, гр. 6, 7 = стр. 063, гр. 4, 3, если стр. 063, гр. 4, 3 0.

10. Стр. 145, гр. 3, 4 = стр. 064, гр. 4, 3, если стр. 064, гр. 4, 3 0.

11. Стр. 145, гр. 3, 4 = стр. 073, гр. 4, 3.

12. Стр. 150, гр. 3, 4 = стр. 074, гр. 4, 3.

13. Стр. 150, гр. 6, 7 = стр. 065, гр. 4, 3, если стр. 065, гр. 4, 3 0.

14. Стр. 155, гр. 3, 4 = стр. 066, гр. 4, 3, если стр. 066, гр. 4, 3 0.

15. Стр. 155, гр. 3, 4 = стр. 075, гр. 4, 3.

16. Стр. 160, гр. 3, 4 = стр. 077, гр. 4, 3.

17. Стр. 165, гр. 3, 4 = стр. 078, гр. 4, 3.

18. Стр. 170, гр. 3, 4 = стр. 079, гр. 4, 3.

19. Стр. 175, гр. 3, 4 = стр. 080, гр. 4, 3.

20. Стр. 180, гр. 3, 4 = стр. 081, гр. 4, 3.

Раздел 2 "Расчет нормативного размера маржи платежеспособности по виду обязательного страхования с согласованными величинами процентов, используемыми при расчете первого и второго показателей"

1. Если стр. 216, гр. 3, 4 стр. 228, гр. 3, 4, то стр. 201, гр. 3, 4 = стр. 228, гр. 3, 4.

2. Если стр. 216, гр. 3, 4 > стр. 228, гр. 3, 4, то стр. 201, гр. 3, 4 = стр. 216, гр. 3, 4.

3. Стр. 202, гр. 3, 4 = произведение данных строк 243 и 201, гр. 3, 4.

4. Стр. 215, гр. 3, 4 = стр. (211 - 212 - 214), гр. 3, 4.

стр. 215, гр. 3, 4 x стр. 203, гр. 3, 4

5. Стр. 216, гр. 3, 4 = .

6. Стр. 227, гр. 3, 4 = .

7. Стр. 228, гр. 3, 4 = .

8. Стр. 236, гр. 3, 4 = стр. (231 - 232 + 233 - 234 + 235), гр. 3, 4.

9. Стр. 242, гр. 3, 4 = стр. (237 - 238 + 239 - 240 + 241), гр. 3, 4.

10. Если стр. 231, гр. 3, 4 = 0, то стр. 243, гр. 3, 4 = 1.

11. Если стр. 231, гр. 3, 4 0 и 0,5 1, то стр. 243, гр. 3, 4 = , с точностью до двух знаков после десятичной точки.

12. Если стр. 231, гр. 3, 4 0 и < 0,5, то стр. 243, гр. 3, 4 = 0,5.

13. Если > 1, то стр. 243, гр. 3, 4 = 1.

14. Стр. 203, 204, гр. 3, 4, с точностью до двух знаков после десятичной точки.

Справка к разделу 2

1. Гр. 4 строк 310, 315, 325, 330, 335, 340, 345, 350, 355, 360, 365, 370, 375, 380 = гр. 5 строк 310, 315, 325, 330, 335, 340, 345, 350, 355, 360, 365, 370, 375, 380.

2. Гр. 7 строк 330, 335, 340, 345, 350, 355 = гр. 8 строк 330, 335, 340, 345, 350, 355.

3. Стр. 310, гр. 3, 4 = стр. 211, гр. 4, 3.

4. Стр. 315, гр. 3, 4 = стр. 212, гр. 4, 3.

5. Стр. 325, гр. 3, 4 = стр. 214, гр. 4, 3.

6. Стр. 330, гр. (3 + 4 + 6, 4 + 6 + 7) = стр. 221, гр. 4, 3, если стр. 221, гр. 4, 3 0.

7. Стр. 335, гр. (3 + 4 + 6, 4 + 6 + 7) = стр. 222, гр. 4, 3, если стр. 222, гр. 4, 3 0.

8. Стр. 340, гр. 3, 4 = стр. 232, гр. 4, 3.

9. Стр. 340, гр. 6, 7 = стр. 223, гр. 4, 3, если стр. 223, гр. 4, 3 0.

10. Стр. 345, гр. 3, 4 = стр. 224, гр. 4, 3, если стр. 224, гр. 4, 3 0.

11. Стр. 345, гр. 3, 4 = стр. 233, гр. 4, 3.

12. Стр. 350, гр. 3, 4 = стр. 234, гр. 4, 3.

13. Стр. 350, гр. 6, 7 = стр. 225, гр. 4, 3, если стр. 225, гр. 4, 3 0.

14. Стр. 355, гр. 3, 4 = стр. 226, гр. 4, 3, если стр. 226, гр. 4, 3 0.

15. Стр. 355, гр. 3, 4 = стр. 235, гр. 4, 3.

16. Стр. 360, гр. 3, 4 = стр. 237, гр. 4, 3.

17. Стр. 365, гр. 3, 4 = стр. 238, гр. 4, 3.

18. Стр. 370, гр. 3, 4 = стр. 239, гр. 4, 3.

19. Стр. 375, гр. 3, 4 = стр. 240, гр. 4, 3.

20. Стр. 380, гр. 3, 4 = стр. 241, гр. 4, 3.

Если в разделе 1 "Расчет соотношения между фактическим и нормативным размерами маржи платежеспособности" строки 004, 005, 006, гр. 3, 4 0, то применяются контрольные соотношения 21 - 40:

21. Сумма стр. 211, гр. 3, 4 всех разделов 2 = форма N 2-страховщик, стр. 081, гр. 4, 3 - форма N 6-страховщик, стр. 051, гр. 3, 4;

22. Сумма стр. 214, гр. 3, 4 всех разделов 2 = форма N 2-страховщик, стр. 150, гр. 4, 3 - форма N 6-страховщик, стр. 054, гр. 3, 4;

23. Сумма стр. 231, гр. 3, 4 всех разделов 2 = форма N 2-страховщик, стр. 111, гр. 4, 3 - форма N 6-страховщик, стр. 071, гр. 3, 4;

24. Сумма стр. 232, гр. 3, 4 всех разделов 2 = форма N 8-страховщик, раздел 2, стр. 040, гр. 3, 4 - форма N 6-страховщик, стр. 072, гр. 3, 4;

25. Сумма стр. 233, гр. 3, 4 всех разделов 2 = форма N 8-страховщик, раздел 2, стр. 040, гр. 4, 5 - форма N 6-страховщик, стр. 073, гр. 3, 4;

26. Сумма стр. 234, гр. 3, 4 всех разделов 2 = форма N 8-страховщик, раздел 2, стр. 050, гр. 3, 4 - форма N 6-страховщик, стр. 074, гр. 3, 4;

27. Сумма стр. 235, гр. 3, 4 всех разделов 2 = форма N 8-страховщик, раздел 2, стр. 050, гр. 4, 5 - форма N 6-страховщик, стр. 075, гр. 3, 4;

28. Сумма стр. 237, гр. 3, 4 всех разделов 2 = форма N 2-страховщик, стр. 112, гр. 4, 3 - форма N 6-страховщик, стр. 077, гр. 3, 4;

29. Сумма стр. 238, гр. 3, 4 всех разделов 2 = форма N 8-страховщик, раздел 2, стр. 070, гр. 3, 4 - форма N 6-страховщик, стр. 078, гр. 3, 4;

30. Сумма стр. 239, гр. 3, 4 всех разделов 2 = форма N 8-страховщик, раздел 2, стр. 070, гр. 4, 5 - форма N 6-страховщик, стр. 079, гр. 3, 4;

31. Сумма стр. 240, гр. 3, 4 всех разделов 2 = форма N 8-страховщик, раздел 2, стр. 080, гр. 3, 4 - форма N 6-страховщик, стр. 080, гр. 3, 4;

32. Сумма стр. 241, гр. 3, 4 всех разделов 2 = форма N 8-страховщик, раздел 2, стр. 080, гр. 4, 5 - форма N 6-страховщик, стр. 081, гр. 3, 4;

33. Сумма стр. 310, гр. 3, 4 всех разделов "Справка к разделу 2" = форма N 2-страховщик, стр. 081, гр. 4, 3 - форма N 6-страховщик, стр. 110, гр. 3, 4;

34. Сумма стр. 325, гр. 3, 4 всех разделов "Справка к разделу 2" = форма N 2-страховщик, стр. 150, гр. 4, 3 - форма N 6-страховщик, стр. 125, гр. 3, 4;

35. Сумма стр. 330, гр. 3, 4 всех разделов "Справка к разделу 2" = форма N 2-страховщик, стр. 111, гр. 4, 3 - форма N 6-страховщик, стр. 130, гр. 3, 4;

36. Сумма стр. 360, гр. 3, 4 всех разделов "Справка к разделу 2" = форма N 2-страховщик, стр. 112, гр. 4, 3 - форма N 6-страховщик, стр. 160, гр. 3, 4;

37. Сумма стр. (340 + 350), гр. 3 всех разделов "Справка к разделу 2" = форма N 1-страховщик, стр. 522, гр. 3 - форма N 6-страховщик, стр. (140 + 150), гр. 3;

38. Сумма стр. (345 + 355), гр. 3 всех разделов "Справка к разделу 2" = форма N 1-страховщик, стр. 522, гр. 4 - форма N 6-страховщик, стр. (145 + 155), гр. 3;

39. Сумма стр. (365 + 375), гр. 3 всех разделов "Справка к разделу 2" = форма N 1-страховщик, стр. 167, гр. 3 - форма N 6-страховщик, стр. (165 + 175), гр. 3;

40. Сумма стр. (370 + 380), гр. 3 всех разделов "Справка к разделу 2" = форма N 1-страховщик, стр. 167, гр. 4 - форма N 6-страховщик, стр. (170 + 180), гр. 3.

10. Отчет о размещении средств страховых резервов (форма N 7-страховщик)

Соотношения по взаимоувязке показателей

Раздел 1 "Страховые резервы и активы, принимаемые для их покрытия"

1. Стр. 010, гр. 3, 5 = сумма показателей строк 011, 012, гр. 3, 5.

2. Стр. 011, гр. 3, 5 = форма N 1-страховщик, стр. 510, гр. 3, 4.

3. Стр. 012, гр. 3, 5 = форма N 1-страховщик, стр. 520, гр. 3, 4.

4. Стр. 013, гр. 3, 5 = форма N 8-страховщик, раздел 2, стр. 040, гр. 4, 5.

5. Стр. 013, гр. 3, 5 стр. 012, гр. 3, 5.

6. Стр. 014, гр. 3, 5 = форма N 8-страховщик, раздел 2, стр. 010, гр. 4, 5.

7. Стр. 014, гр. 3, 5 стр. 012, гр. 3, 5.

8. Стр. 015, гр. 3, 5 форма N 8-страховщик, подраздел 2.2, учетная группа 1, стр. 010, гр. 4, 5.

9. Стр. 015, гр. 3, 5 стр. 014, гр. 3, 5.

10. Стр. 016, гр. 3, 5 форма N 8-страховщик, подраздел 2.2, сумма показателей строк 010, 030, 090, 100 по учетным группам 5, 6, 7, 14, 15, 18, гр. 4, 5.

11. Стр. 017, гр. 3, 5 форма N 8-страховщик, подраздел 2.2, сумма стр. 040 по учетным группам 5, 6, 7, 15, 14, 18, гр. 4, 5.

12. Стр. 018, гр. 3, 5 = форма N 8-страховщик, подраздел 2.2, учетная группа 13.1, стр. 090, гр. 4, 5.

13. Стр. 020, гр. 3, 4, 5, 6 = сумма показателей строк 021, 022, 023, 030, 031, 032, 033, гр. 3, 4, 5, 6.

14. Стр. 021, гр. 3, 5 = сумма вложений в облигации в разделе 2, гр. 5, 7, второй, третий и пятый разряды кода которых (гр. 3 раздела 2) X2 = 1, X3 = 1, X5 = 1.

15. Стр. 021, гр. 4, 6 = сумма вложений в облигации всех подразделов 2.2, гр. 5, 7, второй, третий и пятый разряды кода которых (гр. 3 подраздела 2.2) X2 = 1, X3 = 1, X5 = 1.

16. Стр. 022, гр. 3, 5 = сумма вложений в облигации в разделе 3, гр. 9, 11, второй, третий и пятый разряды кода ценной бумаги которых (гр. 7 раздела 3) X2 = 1, X3 = 1, X5 = 2.

17. Стр. 022, гр. 4, 6 = сумма вложений в облигации всех подразделов 3.2, гр. 9, 11, второй, третий и пятый разряды кода ценной бумаги которых (гр. 7 подраздела 3.2) X2 = 1, X3 = 1, X5 = 2.

18. Стр. 023, гр. 3, 5 = сумма вложений в облигации в разделе 3, гр. 9, 11, второй, третий и пятый разряды кода ценной бумаги которых (гр. 7 раздела 3) X2 = 1, X3 = 1, X5 = 3.

19. Стр. 023, гр. 4, 6 = сумма вложений в облигации всех подразделов 3.2, гр. 9, 11, второй, третий и пятый разряды кода ценной бумаги которых (гр. 7 подраздела 3.2) X2 = 1, X3 = 1, X5 = 3.

20. Сумма показателей строк 021, 022, 023, гр. 3, 5 форма N 1-страховщик, стр. 141, гр. 3, 4.

21. Стр. 030, гр. 3, 5 = сумма вложений в жилищные сертификаты в разделе 4, гр. 9, 11, второй, третий и пятый разряды кода ценной бумаги которых (гр. 7 раздела 4) X2 = 1, X3 = 2, X5 = 7.

22. Стр. 030, гр. 4, 6 = сумма вложений в жилищные сертификаты всех подразделов 4.2, гр. 9, 11, второй, третий и пятый разряды кода ценной бумаги которых (гр. 7 подраздела 4.2) X2 = 1, X3 = 2, X5 = 7.

23. Стр. 031, гр. 3, 5 = сумма вложений в облигации с ипотечным покрытием в разделе 4, гр. 9, 11, второй, третий и пятый разряды кода ценной бумаги которых (гр. 7 раздела 4) X2 = 1, X3 = 6, X5 = 4 или 6; X2 = 2, X3 = 6, X5 = 4 или 7.

24. Стр. 031, гр. 4, 6 = сумма вложений в облигации с ипотечным покрытием всех подразделов 4.2, гр. 9, 11, второй, третий и пятый разряды кода ценной бумаги которых (гр. 7 подраздела 4.2) X2 = 1, X3 = 6, X5 = 4 или 6; X2 = 2, X3 = 6, X5 = 4 или 7.

25. Стр. 032, гр. 3, 5 = сумма вложений в жилищные облигации с ипотечным покрытием в разделе 4, гр. 9, 11, второй, третий и пятый разряды кода ценной бумаги которых (гр. 7 раздела 4) X2 = 1, X3 = 7, X5 = 4 или 6.

26. Стр. 032, гр. 4, 6 = сумма вложений в жилищные облигации с ипотечным покрытием всех подразделов 4.2, гр. 9, 11, второй, третий и пятый разряды кода ценной бумаги которых (гр. 7 подраздела 4.2) X2 = 1, X3 = 7, X5 = 4 или 6.

27. Стр. 033, гр. 3, 5 = сумма вложений в облигации в разделе 4, гр. 9, 11, второй, третий и пятый разряды кода ценной бумаги которых (гр. 7 раздела 4) X2 = 1, X3 = 1, X5 = 4 или 7; X2 = 2 или 3, X3 = 1, X5 = 1 или 2 или 3 или 4 или 7.

28. Стр. 033, гр. 4, 6 = сумма вложений в облигации всех подразделов 4.2, гр. 9, 11, второй, третий и пятый разряды кода ценной бумаги которых (гр. 7 подраздела 4.2) X2 = 1, X3 = 1, X5 = 4 или 7; X2 = 2 или 3, X3 = 1, X5 = 1 или 2 или 3 или 4 или 7.

29. Стр. 040, гр. 3, 5 = сумма показателей строк 041, 042, гр. 3, 5.

30. Стр. 041, гр. 3, 5 = сумма вложений в векселя банков в разделе 5, гр. 11, 12, второй, третий и пятый разряды кода ценной бумаги которых (гр. 10 раздела 5) X2 = 1 или 2, X3 = 4, X5 = 4.

31. Стр. 042, гр. 3, 5 = сумма вложений в векселя организаций иных, чем банки в разделе 5, гр. 11, 12, второй, третий, пятый разряды кода ценной бумаги которых (гр. 10 раздела 5) X2 = 1 или 2, X3 = 4, X5 = 7.

32. Сумма показателей строк 030, 031, 032, 033, 040, гр. 3, 5 форма N 1-страховщик, стр. (132 + 135), гр. 3, 4.

33. Стр. 050, гр. 3, 5 = раздел 6, стр. "Всего по разделу 6", гр. 9, 11.

34. Стр. 050, гр. 4, 6 = сумма показателей стр. "Итого", гр. 9, 11 всех подразделов 6.2.

35. Стр. 050, гр. 3, 5 форма N 1-страховщик, стр. (131 + 134), гр. 3, 4.

36. Стр. 070, гр. 3, 5 = раздел 8, стр. "Итого", гр. 7, 9.

37. Стр. 070, гр. 3, 5 форма N 1-страховщик, стр. 145, гр. 3, 4.

38. Стр. 070, гр. 3, 5 форма N 5-страховщик, стр. 337, гр. (3 + 5), (4 + 6).

39. Стр. 080, гр. 3, 5 = раздел 9, стр. "Итого", гр. 7, 8.

40. Стр. 080, гр. 3, 5 форма N 1-страховщик, стр. 145, гр. 3, 4.

41. Стр. 085, гр. 3, 5 = раздел 7, стр. "Итого", гр. 6, 8.

42. Стр. 085, гр. 3, 5 форма N 1-страховщик, стр. 145, гр. 3, 4.

43. Стр. 090, гр. 3, 5 = раздел 10, стр. "Всего по разделу 10", гр. 7, 8.

44. Стр. 090, гр. 4, 6 = сумма показателей стр. "Итого", гр. 7, 8 всех подразделов 10.2.

45. Стр. 090, гр. 3, 5 форма N 1-страховщик, стр. (121 + 122 + 145 + 210 + 220), гр. 3, 4.

46. Стр. 100, гр. 3, 5 = раздел 11, стр. "Итого", гр. 7, 8.

47. Стр. 100, гр. 3, 5 форма N 1-страховщик, стр. (142 + 260), гр. 3, 4.

48. Стр. 101, гр. 3, 5 = сумма банковских вкладов в разделе 11, гр. 7, 8, пятый разряд кода банковского вклада которых (гр. 6 раздела 11) X5 = 1 или 2.

49. Стр. 101, гр. 3, 5 стр. 100, гр. 3, 5.

50. Стр. 101 гр. 3, 5 форма N 1-страховщик, стр. 142, гр. 3, 4.

51. Стр. 102, гр. 3, 5 = сумма банковских вкладов, удостоверенных депозитными сертификатами, в разделе 11, гр. 7, 8, пятый разряд кода банковского вклада которых (гр. 6 раздела 11) X5 = 1.

52. Стр. 102, гр. 3, 5 стр. 101, гр. 3, 5.

53. Стр. 102 гр. 3, 5 форма N 1-страховщик, стр. 142, гр. 3, 4.

54. Стр. 110, гр. 3, 5 = сумма дебиторской задолженности, возникшей в результате операций перестрахования в разделе 14, гр. 5, 6, третий разряд кода дебиторской задолженности которых (гр. 4 раздела 14) X3 = 7 или 8.

55. Стр. 110, гр. 3, 5 форма N 1-страховщик, стр. 180, гр. 3, 4.

56. Стр. 120, гр. 3, 5 = раздел 12, стр. "Итого", гр. 6, 7.

57. Стр. 120, гр. 3, 5 форма N 1-страховщик, стр. (160 + 165), гр. 3, 4.

58. Стр. 130, гр. 3, 5 = раздел 13, стр. "Итого", гр. 5, 6.

59. Стр. 130, гр. 3, 5 форма N 1-страховщик, стр. 150, гр. 3, 4.

60. Стр. 135, гр. 3, 5 = сумма дебиторской задолженности страхователей в разделе 14, гр. 5, 6, третий разряд кода дебиторской задолженности которых (гр. 4 раздела 14) X3 = 2 или 3.

61. Стр. 135, гр. 3, 5 форма N 1-страховщик, стр. 171, гр. 3, 4.

62. Стр. 140, гр. 3, 5 = сумма дебиторской задолженности страховых агентов в разделе 14, гр. 5, 6, третий разряд кода дебиторской задолженности которых (гр. 4 раздела 14) X3 = 5 или 6.

63. Стр. 140, гр. 3, 5 форма N 1-страховщик, стр. 172, гр. 3, 4.

64. Стр. 150, гр. 3, 5 = сумма дебиторской задолженности страховщиков в разделе 14, гр. 5, 6, третий разряд кода дебиторской задолженности которых (гр. 4 раздела 14) X3 = 4 или 9.

65. Стр. 150, гр. 3, 5 форма N 1-страховщик, стр. 175, гр. 3, 4.

66. Если в форме N 1-страховщик, стр. (185 - 634 - 654), гр. 3, 4 0, то стр. 155, гр. 3, 5 форма N 1-страховщик, стр. (185 - 634 - 654), гр. 3, 4.

67. Стр. 160, гр. 3, 5 = раздел 15, стр. "Итого", гр. (5 + 7), (6 + 8).

68. Стр. 160, гр. 3, 5 = сумма показателей строк 161, 162, 163, гр. 3, 5.

69. Стр. 160, гр. 3, 5 форма N 1-страховщик, стр. 260, гр. 3, 4.

70. Стр. 161, гр. 3, 5 = сумма денежной наличности в разделе 15, гр. (5 + 7), (6 + 8), третий разряд кода денежных средств которых (гр. 4 раздела 15) X3 = 5.

71. Стр. 161, гр. 3, 5 стр. 160, гр. 3, 5.

72. Стр. 161, гр. 3, 5 раздел 15, стр. "Итого", гр. (5 + 7), (6 + 8).

73. Стр. 162, гр. 3, 5 = сумма денежных средств на счетах в банках в разделе 15, гр. 5, 6, третий, пятый разряды кода денежных средств которых (гр. 4 раздела 15) X3 = 1 или 2 или 3, X5 = 6.

74. Стр. 162, гр. 3, 5 стр. 160, гр. 3, 5.

75. Стр. 162, гр. 3, 5 раздел 15, стр. "Итого", гр. (5 + 7), (6 + 8).

76. Стр. 163, гр. 3, 5 = сумма денежных средств на счетах в банках в разделе 15, гр. 7, 8, третий, пятый разряды кода денежных средств которых (гр. 4 раздела 15) X3 = 1 или 2 или 3, X5 = 1 или 2 или 3 или 4 или 5.

77. Стр. 163, гр. 3, 5 стр. 160, гр. 3, 5.

78. Стр. 163, гр. 3, 5 раздел 15, стр. "Итого", гр. (5 + 7), (6 + 8).

79. Стр. 170, гр. 3, 5 = сумма вложений в слитки золота и серебра в разделе 16, гр. 5, 6, третий и четвертый разряды кода слитков которых (гр. 4 раздела 16) X3 = 9, X4 = 4 или 5.

80. Стр. 170, гр. 3, 5 форма N 1-страховщик, стр. 270, гр. 3, 4.

81. Стр. 171, гр. 3, 5 = сумма вложений в слитки платины и палладия, памятные монеты Российской Федерации из драгоценных металлов в разделе 16, гр. 5, 6, третий и четвертый разряды кода слитков которых (гр. 4 раздела 16) X3 = 9, X4 = 6 или 7 или 8.

82. Стр. 171, гр. 3, 5 форма N 1-страховщик, стр. 270, гр. 3, 4.

83. Стр. (170 + 171), гр. 3, 5 = раздел 16, стр. "Итого", гр. 5, 6.

84. Стр. 180, гр. 3, 5 = раздел 17, стр. "Итого", гр. 5, 6.

85. Стр. 180, гр. 3, 5 форма N 1-страховщик, стр. 145, гр. 3, 4.

86. Стр. 190, гр. 3, 5 = сумма показателей строк 020, 040, 050, 070, 080, 085, 090, 100, 110, 120, 130, 135, 140, 150, 155, 160, 170, 171, 180, гр. 3, 5.

87. Стр. 190, гр. 4, 6 = сумма показателей строк 020, 050, 090, гр. 4, 6.

88. Стр. 190, гр. 3, 4, 5, 6 = сумма показателей строк 191, 192, гр. 3, 4, 5, 6.

89. Стр. 191, гр. 3, 5 = сумма вложений в активы в разделе 1, стр. 155, гр. 3, 5; разделах 2, гр. 5, 7; 3, гр. 9, 11; 4, гр. 9, 11; 5, гр. 11, 12; 6, гр. 9, 11; 7, гр. 6, 8; 8, гр. 7, 9; 9, гр. 7, 8; 10, гр. 7, 8; 11, гр. 7, 8; 12, гр. 6, 7; 13, гр. 5, 6; 14, гр. 5, 6; 15, гр. (5 + 7), (6 + 8); 16, гр. 5, 6; 17, гр. 5, 6, второй разряд кода которых (гр. 2 раздела 17, гр. 3 раздела 2, гр. 4 разделов 7, 13, 14, 15, 16, гр. 5 разделов 8, 12, гр. 6 разделов 9, 10, 11, гр. 7 разделов 3, 4, 6, гр. 10 раздела 5), X2 = 1.

90. Стр. 191, гр. 4, 6 = сумма вложений в активы в подразделах 2.2, гр. 5, 7; 3.2, гр. 9, 11; 4.2, гр. 9, 11; 6.2, гр. 9, 11; 10.2 гр. 7, 8, второй разряд кода которых (гр. 3 подраздела 2.2, гр. 6 подраздела 10.2, гр. 7 подразделов 3.2, 4.2, 6.2) X2 = 1 (по каждой управляющей компании).

91. Стр. 192, гр. 3, 5 = сумма вложений в активы в разделах 4, гр. 9, 11; 5, гр. 11, 12; 6, гр. 9, 11; 10, гр. 7, 8; 11, гр. 7, 8; 12, гр. 6, 7; 13, гр. 5, 6; 14, гр. 5, 6; 15, гр. (5 + 7), (6 + 8); 17, гр. 5, 6, второй разряд кода которых (гр. 2 раздела 17, гр. 4 разделов 13, 14, 15, гр. 5 раздела 12; гр. 6 разделов 10, 11; гр. 7 разделов 4, 6, гр. 10 раздела 5) X2 = 2 или 3.

92. Стр. 192, гр. 4, 6 = сумма вложений в активы в подразделах 4.2, гр. 9, 11; 6.2, гр. 9, 11, 10.2, гр. 7, 8, второй разряд кода которых (гр. 6 подраздела 10.2, гр. 7 подразделов 4.2, 6.2) X2 = 2 или 3 (по каждой управляющей компании).

93. Стр. 190, гр. 3, 5 форма N 1-страховщик, стр. (300 - 615 - 625 - 960), гр. 3, 4.

94. Стр. 155, гр. 3, 5 стр. 018, гр. 3, 5.

Если в любом из подразделов 2.1.1, 2.2.1, 3.1.1, 3.2.1, 4.1.1, 4.2.1, 5.1, 6.1.1, 6.2.1, 7.1, 8.1, 11.1, 12.1 заполнена хотя бы одна строка, то применяются контрольные соотношения 95 - 129:

95. Стр. 020, гр. 3, 4, 5, 6 = подраздел 1.1, стр. 020, гр. 3, 4, 5, 6 + подраздел 1.2, стр. 020, гр. 3, 4, 5, 6;

96. Стр. 021, гр. 3, 4, 5, 6 = подраздел 1.1, стр. 021, гр. 3, 4, 5, 6 + подраздел 1.2, стр. 021, гр. 3, 4, 5, 6;

97. Стр. 022, гр. 3, 4, 5, 6 = подраздел 1.1, стр. 022, гр. 3, 4, 5, 6 + подраздел 1.2, стр. 022, гр. 3, 4, 5, 6;

98. Стр. 023, гр. 3, 4, 5, 6 = подраздел 1.1, стр. 023, гр. 3, 4, 5, 6 + подраздел 1.2, стр. 023, гр. 3, 4, 5, 6;

99. Стр. 030, гр. 3, 4, 5, 6 = подраздел 1.1, стр. 030, гр. 3, 4, 5, 6;

100. Стр. 031, гр. 3, 4, 5, 6 = подраздел 1.1, стр. 031, гр. 3, 4, 5, 6 + подраздел 1.2, стр. 031, гр. 3, 4, 5, 6;

101. Стр. 032, гр. 3, 4, 5, 6 = подраздел 1.1, стр. 032, гр. 3, 4, 5, 6 + подраздел 1.2, стр. 032, гр. 3, 4, 5, 6;

102. Стр. 033, гр. 3, 4, 5, 6 = подраздел 1.1, стр. 033, гр. 3, 4, 5, 6 + подраздел 1.2, стр. 033, гр. 3, 4, 5, 6;

103. Стр. 040, гр. 3, 5 = подраздел 1.1, стр. 040, гр. 3, 5 + подраздел 1.2, стр. 040, гр. 3, 5;

104. Стр. 041, гр. 3, 5 = подраздел 1.1, стр. 041, гр. 3, 5 + подраздел 1.2, стр. 041, гр. 3, 5;

105. Стр. 042, гр. 3, 5 = подраздел 1.1, стр. 042, гр. 3, 5 + подраздел 1.2, стр. 042, гр. 3, 5;

106. Стр. 050, гр. 3, 4, 5, 6 = подраздел 1.1, стр. 050, гр. 3, 4, 5, 6 + подраздел 1.2, стр. 050, гр. 3, 4, 5, 6;

107. Стр. 070, гр. 3, 5 = подраздел 1.1, стр. 070, гр. 3, 5 + подраздел 1.2, стр. 070, гр. 3, 5;

108. Стр. 080, гр. 3, 5 = подраздел 1.1, стр. 080, гр. 3, 5;

109. Стр. 085, гр. 3, 5 = подраздел 1.1, стр. 085, гр. 3, 5 + подраздел 1.2, стр. 085, гр. 3, 5;

110. Стр. 090, гр. 3, 4, 5, 6 = подраздел 1.1, стр. 090, гр. 3, 4, 5, 6;

111. Стр. 100, гр. 3, 5 = подраздел 1.1, стр. 100, гр. 3, 5 + подраздел 1.2, стр. 100, гр. 3, 5;

112. Стр. 101, гр. 3, 5 = подраздел 1.1, стр. 101, гр. 3, 5 + подраздел 1.2, стр. 101, гр. 3, 5;

113. Стр. 102, гр. 3, 5 = подраздел 1.1, стр. 102, гр. 3, 5 + подраздел 1.2, стр. 102, гр. 3, 5;

114. Стр. 110, гр. 3, 5 = подраздел 1.1, стр. 110, гр. 3, 5;

115. Стр. 120, гр. 3, 5 = подраздел 1.1, стр. 120, гр. 3, 5 + подраздел 1.2, стр. 120, гр. 3, 5;

116. Стр. 130, гр. 3, 5 = подраздел 1.1, стр. 130, гр. 3, 5;

117. Стр. 135, гр. 3, 5 = подраздел 1.1, стр. 135, гр. 3, 5;

118. Стр. 140, гр. 3, 5 = подраздел 1.1, стр. 140, гр. 3, 5;

119. Стр. 150, гр. 3, 5 = подраздел 1.1, стр. 150, гр. 3, 5;

120. Стр. 155, гр. 3, 5 = подраздел 1.1, стр. 155, гр. 3, 5;

121. Стр. 160, гр. 3, 5 = подраздел 1.1, стр. 160, гр. 3, 5;

122. Стр. 161, гр. 3, 5 = подраздел 1.1, стр. 161, гр. 3, 5;

123. Стр. 162, гр. 3, 5 = подраздел 1.1, стр. 162, гр. 3, 5;

124. Стр. 163, гр. 3, 5 = подраздел 1.1, стр. 163, гр. 3, 5;

125. Стр. 170, гр. 3, 5 = подраздел 1.1, стр. 170, гр. 3, 5;

126. Стр. 171, гр. 3, 5 = подраздел 1.1, стр. 171, гр. 3, 5;

127. Стр. 180, гр. 3, 5 = подраздел 1.1, стр. 180, гр. 3, 5;

128. Стр. 191, гр. 3, 4, 5, 6 = подраздел 1.1, стр. 191, гр. 3, 4, 5, 6 + подраздел 1.2, стр. 191, гр. 3, 4, 5, 6;

129. Стр. 192, гр. 3, 4, 5, 6 = подраздел 1.1, стр. 192, гр. 3, 4, 5, 6 + подраздел 1.2, стр. 192, гр. 3, 4, 5, 6.

130. Если в подразделе 1.2 все строки равны 0, то в подразделе 1.1 все строки равны 0.

Если в любом из подразделов 2.1.1, 2.2.1, 3.1.1, 3.2.1, 4.1.1, 4.2.1, 5.1, 6.1.1, 6.2.1, 7.1, 8.1, 11.1, 12.1 заполнена хотя бы одна строка, то в подразделах 1.1 и 1.2 необходимо обеспечить соблюдение следующих контрольных соотношений.

Подраздел 1.1 "Активы, удовлетворяющие требованиям Правил размещения страховщиками средств страховых резервов"

1. Стр. 020, гр. 3, 4, 5, 6 = сумма показателей строк 021, 022, 023, 030, 031, 032, 033, гр. 3, 4, 5, 6.

2. Стр. 021, гр. 3, 5 = сумма вложений в облигации в разделе 2, гр. 5, 7, второй, третий, пятый и пятнадцатый разряды кода которых (гр. 3 раздела 2) X2 = 1, X3 = 1, X5 = 1, X15 = 1.

3. Стр. 021, гр. 4, 6 = сумма вложений в облигации всех подразделов 2.2, гр. 5, 7, второй, третий, пятый и пятнадцатый разряды кода которых (гр. 3 подраздела 2.2) X2 = 1, X3 = 1, X5 = 1, X15 = 1.

4. Стр. 022, гр. 3, 5 = сумма вложений в облигации в разделе 3, гр. 9, 11, второй, третий, пятый и пятнадцатый разряды кода ценной бумаги которых (гр. 7 раздела 3) X2 = 1, X3 = 1, X5 = 2, X15 = 1.

5. Стр. 022, гр. 4, 6 = сумма вложений в облигации всех подразделов 3.2, гр. 9, 11, второй, третий, пятый и пятнадцатый разряды кода ценной бумаги которых (гр. 7 подраздела 3.2) X2 = 1, X3 = 1, X5 = 2, X15 = 1.

6. Стр. 023, гр. 3, 5 = сумма вложений в облигации в разделе 3, гр. 9, 11, второй, третий, пятый и пятнадцатый разряды кода ценной бумаги которых (гр. 7 раздела 3) X2 = 1, X3 = 1, X5 = 3, X15 = 1.

7. Стр. 023, гр. 4, 6 = сумма вложений в облигации всех подразделов 3.2, гр. 9, 11, второй, третий, пятый и пятнадцатый разряды кода ценной бумаги которых (гр. 7 подраздела 3.2) X2 = 1, X3 = 1, X5 = 3, X15 = 1.

8. Стр. 030, гр. 3, 5 = сумма вложений в жилищные сертификаты в разделе 4, гр. 9, 11, второй, третий, пятый и пятнадцатый разряды кода ценной бумаги которых (гр. 7 раздела 4) X2 = 1, X3 = 2, X5 = 7, X15 = 1.

9. Стр. 030, гр. 4, 6 = сумма вложений в жилищные сертификаты всех подразделов 4.2, гр. 9, 11, второй, третий, пятый и пятнадцатый разряды кода ценной бумаги которых (гр. 7 подраздела 4.2) X2 = 1, X3 = 2, X5 = 7, X15 = 0.

10. Стр. 031, гр. 3, 5 = сумма вложений в облигации с ипотечным покрытием в разделе 4, гр. 9, 11 второй, третий, пятый и пятнадцатый разряды кода ценной бумаги которых (гр. 7 раздела 4) X2 = 1, X3 = 6, X5 = 4 или 6, X15 = 1; X2 = 2, X3 = 6, X5 = 4 или 7, X15 = 1.

11. Стр. 031, гр. 4, 6 = сумма вложений в облигации с ипотечным покрытием всех подразделов 4.2, гр. 9, 11, второй, третий, пятый и пятнадцатый разряды кода ценной бумаги которых (гр. 7 подраздела 4.2) X2 = 1, X3 = 6, X5 = 4 или 6, X15 = 1; X2 = 2, X3 = 6, X5 = 4 или 7, X15 = 1.

12. Стр. 032, гр. 3, 5 = сумма вложений в жилищные облигации с ипотечным покрытием в разделе 4, гр. 9, 11, второй, третий, пятый и пятнадцатый разряды кода ценной бумаги которых (гр. 7 раздела 4) X2 = 1, X3 = 7, X5 = 4 или 6, X15 = 1.

13. Стр. 032, гр. 4, 6 = сумма вложений в жилищные облигации с ипотечным покрытием всех подразделов 4.2, гр. 9, 11, второй, третий, пятый и пятнадцатый разряды кода ценной бумаги которых (гр. 7 подраздела 4.2) X2 = 1, X3 = 7, X5 = 4 или 6, X15 = 1.

14. Стр. 033, гр. 3, 5 = сумма вложений в облигации в разделе 4, гр. 9, 11, второй, третий, пятый и пятнадцатый разряды кода ценной бумаги которых (гр. 7 раздела 4) X2 = 1, X3 = 1, X5 = 4 или 7, X15 = 1; X2 = 2 или 3, X3 = 1, X5 = 1 или 2 или 3 или 4 или 7, X15 = 1.

15. Стр. 033, гр. 4, 6 = сумма вложений в облигации всех подразделов 4.2, гр. 9, 11, второй, третий, пятый и пятнадцатый разряды кода ценной бумаги которых (гр. 7 подраздела 4.2) X2 = 1, X3 = 1, X5 = 4 или 7, X15 = 1; X2 = 2 или 3, X3 = 1, X5 = 1 или 2 или 3 или 4 или 7, X15 = 1.

16. Стр. 040, гр. 3, 5 = сумма показателей строк 041, 042, гр. 3, 5.

17. Стр. 041, гр. 3, 5 = сумма вложений в векселя банков в разделе 5, гр. 11, 12, второй, третий, пятый и пятнадцатый разряды кода ценной бумаги которых (гр. 10 раздела 5) X2 = 1 или 2, X3 = 4, X5 = 4, X15 = 1.

18. Стр. 042, гр. 3, 5 = сумма вложений в векселя организаций иных, чем банки, в разделе 5, гр. 11, 12, второй, третий, пятый и пятнадцатый разряды кода ценной бумаги которых (гр. 10 раздела 5) X2 = 1 или 2, X3 = 4, X5 = 7, X15 = 1.

19. Стр. 050, гр. 3, 5 = сумма вложений в акции в разделе 6, гр. 9, 11, пятнадцатый разряд кода ценной бумаги которых (гр. 7 раздела 6) X15 = 1.

20. Стр. 050, гр. 4, 6 = сумма вложений в акции всех подразделов 6.2, гр. 9, 11, пятнадцатый разряд кода ценной бумаги которых (гр. 7 подраздела 6.2) X15 = 1.

21. Стр. 070, гр. 3, 5 = сумма вложений в инвестиционные паи в разделе 8, гр. 7, 9, пятнадцатый разряд кода которых (гр. 5 раздела 8) X15 = 1.

22. Стр. 080, гр. 3, 5 = раздел 9, стр. "Итого", гр. 7, 8.

23. Стр. 085, гр. 3, 5 = раздел 7, стр. "Итого", гр. 6, 8.

24. Стр. 090, гр. 3, 5 = раздел 10, стр. "Всего по разделу 10", гр. 7, 8.

25. Стр. 090, гр. 4, 6 = сумма показателей стр. "Итого", гр. 7, 8 всех подразделов 10.2.

26. Стр. 100, гр. 3, 5 = сумма банковских вкладов в разделе 11, гр. 7, 8, десятый разряд кода банковского вклада которых (гр. 6 раздела 11) X10 = 1.

27. Стр. 101, гр. 3, 5 = сумма банковских вкладов в разделе 11, гр. 7, 8, пятый, десятый разряды кода банковского вклада которых (гр. 6 раздела 11) X5 = 1 или 2, X10 = 1.

28. Стр. 101, гр. 3, 5 стр. 100, гр. 3, 5.

29. Стр. 102, гр. 3, 5 = сумма банковских вкладов, удостоверенных депозитными сертификатами, в разделе 11, гр. 7, 8, пятый, десятый разряды кода банковского вклада которых (гр. 6 раздела 11) X5 = 1, X10 = 1.

30. Стр. 102, гр. 3, 5 стр. 101, гр. 3, 5.

31. Стр. 110, гр. 3, 5 = сумма дебиторской задолженности, возникшей в результате операций перестрахования, в разделе 14, гр. 5, 6, третий разряд кода дебиторской задолженности которых (гр. 4 раздела 14) X3 = 7 или 8.

32. Стр. 120, гр. 3, 5 = сумма доли перестраховщиков в страховых резервах в разделе 12, гр. 6, 7, десятый разряд кода доли перестраховщиков которых (гр. 5 раздела 12) X10 = 1.

33. Стр. 130, гр. 3, 5 = раздел 13, стр. "Итого", гр. 5, 6.

34. Стр. 135, гр. 3, 5 = сумма дебиторской задолженности страхователей в разделе 14, гр. 5, 6, третий разряд кода дебиторской задолженности которых (гр. 4 раздела 14) X3 = 2 или 3.

35. Стр. 140, гр. 3, 5 = сумма дебиторской задолженности страховых агентов в разделе 14, гр. 5, 6, третий разряд кода дебиторской задолженности которых (гр. 4 раздела 14) X3 = 5 или 6.

36. Стр. 150, гр. 3, 5 = сумма дебиторской задолженности страховщиков в разделе 14, гр. 5, 6, третий разряд кода дебиторской задолженности которых (гр. 4 раздела 14) X3 = 4 или 9.

37. Стр. 160, гр. 3, 5 = сумма показателей строк 161, 162, 163, гр. 3, 5.

38. Стр. 161, гр. 3, 5 = сумма денежной наличности в разделе 15, гр. (5 + 7), (6 + 8), третий разряд кода денежных средств которых (гр. 4 раздела 15) X3 = 5.

39. Стр. 161, гр. 3, 5 стр. 160, гр. 3, 5.

40. Стр. 162, гр. 3, 5 = сумма денежных средств на счетах в банках в разделе 15, гр. 5, 6, третий, пятый разряды кода денежных средств которых (гр. 4 раздела 15) X3 = 1 или 2 или 3, X5 = 6.

41. Стр. 162, гр. 3, 5 стр. 160, гр. 3, 5.

42. Стр. 163, гр. 3, 5 = сумма денежных средств на счетах в банках в разделе 15, гр. 7, 8, третий, пятый разряды кода денежных средств которых (гр. 4 раздела 15) X3 = 1 или 2 или 3, X5 = 1 или 2 или 3 или 4 или 5.

43. Стр. 163, гр. 3, 5 стр. 160, гр. 3, 5.

44. Стр. 170, гр. 3, 5 = сумма вложений в слитки золота и серебра в разделе 16, гр. 5, 6, третий и четвертый разряды кода слитков которых (гр. 4 раздела 16) X3 = 9, X4 = 4 или 5.

45. Стр. 171, гр. 3, 5 = сумма вложений в слитки платины и палладия, памятные монеты Российской Федерации из драгоценных металлов в разделе 16, гр. 5, 6, третий и четвертый разряды кода слитков которых (гр. 4 раздела 16) X3 = 9, X4 = 6 или 7 или 8.

46. Стр. 180, гр. 3, 5 = раздел 17, стр. "Итого", гр. 5, 6.

47. Стр. 190, гр. 3, 5 = сумма показателей строк 020, 040, 050, 070, 080, 085, 090, 100, 110, 120, 130, 135, 140, 150, 155, 160, 170, 171, 180, гр. 3, 5.

48. Стр. 190, гр. 4, 6 = сумма показателей строк 020, 050, 090, гр. 4, 6.

49. Стр. 190, гр. 3, 4, 5, 6 = сумма показателей строк 191, 192, гр. 3, 4, 5, 6.

50. Стр. 191, гр. 3, 5 = сумма вложений в активы в подразделе 1.1, стр. 155, гр. 3, 5; разделах 2, гр. 5, 7; 3, гр. 9, 11; 4, гр. 9, 11; 5, гр. 11, 12; 6, гр. 9, 11; 7, гр. 6, 8; 8, гр. 7, 9; 9, гр. 7, 8; 10, гр. 7, 8; 11, гр. 7, 8; 12, гр. 6, 7; 13, гр. 5, 6; 14, гр. 5, 6; 15, гр. (5 + 7), (6 + 8); 16, гр. 5, 6; 17, гр. 5, 6, второй и пятнадцатый разряды кода которых в разделах 2, 3, 4, 5, 6, 7, 8 (гр. 3 раздела 2, гр. 4 раздела 7, гр. 5 раздела 8, гр. 7 разделов 3, 4, 6, гр. 10 раздела 5), X2 = 1, X15 = 0 или 1; второй разряд кода которых в разделах 9, 10, 13, 14, 15, 16, 17 (гр. 2 раздела 17, гр. 4 разделов 13, 14, 15, 16, гр. 6 разделов 9, 10), X2 = 1; второй и десятый разряды кода которых в разделах 11, 12 (гр. 5 раздела 12, гр. 6 раздела 11), X2 = 1, X10 = 1.

51. Стр. 191, гр. 4, 6 = сумма вложений в активы в подразделах 2.2, гр. 5, 7; 3.2, гр. 9, 11; 4.2, гр. 9, 11; 6.2, гр. 9, 11; 10.2 гр. 7, 8, второй и пятнадцатый разряды кода которых в подразделах 2.2, 3.2, 4.2, 6.2 (гр. 3 подраздела 2.2, гр. 7 подразделов 3.2, 4.2, 6.2) X2 = 1, X15 = 0 или 1 (по каждой управляющей компании); второй разряд кода которых в подразделе 10.2 (гр. 6 подраздела 10.2) X2 = 1 (по каждой управляющей компании).

52. Стр. 192, гр. 3, 5 = сумма вложений в активы в разделах 4, гр. 9, 11; 5, гр. 11, 12; 6, гр. 9, 11; 10, гр. 7, 8; 11, гр. 7, 8; 12, гр. 6, 7; 13, гр. 5, 6; 14, гр. 5, 6; 15, гр. (5 + 7), (6 + 8); 17, гр. 5, 6, второй и пятнадцатый разряды кода которых в разделах 4, 5, 6 (гр. 7 разделов 4, 6, гр. 10 раздела 5) X2 = 2 или 3, X15 = 0 или 1; второй разряд кода которых в разделах 10, 13, 14, 15, 17 (гр. 2 раздела 17, гр. 4 разделов 13, 14, 15, гр. 6 раздела 10) X2 = 2 или 3; второй и десятый разряды кода которых в разделах 11, 12 (гр. 5 раздела 12, гр. 6 раздела 11) X2 = 2 или 3, X10 = 1.

53. Стр. 192, гр. 4, 6 = сумма вложений в активы в подразделах 4.2, гр. 9, 11; 6.2, гр. 9, 11, 10.2, гр. 7, 8 второй и пятнадцатый разряды кода которых в подразделах 4.2, 6.2 (гр. 7 подразделов 4.2, 6.2) X2 = 2 или 3, X15 = 0 или 1 (по каждой управляющей компании); второй разряд кода которых в подразделе 10.2 (гр. 6 подраздела 10.2) X2 = 2 или 3 (по каждой управляющей компании).

Подраздел 1.2 "Активы, по которым возникли обстоятельства, независящие от действий страховщика, повлекшие нарушения, устраняемые в соответствии с пунктом 14 Правил размещения страховщиками средств страховых резервов"

1. Стр. 020, гр. 3, 4, 5, 6 = сумма показателей строк 021, 022, 023, 031, 032, 033, гр. 3, 4, 5, 6.

2. Стр. 021, гр. 3, 5 = сумма вложений в облигации в разделе 2, гр. 5, 7, второй, третий, пятый и пятнадцатый разряды кода которых (гр. 3 раздела 2) X2 = 1, X3 = 1, X5 = 1, X15 = 2.

3. Стр. 021, гр. 4, 6 = сумма вложений в облигации всех подразделов 2.2, гр. 5, 7, второй, третий, пятый и пятнадцатый разряды кода которых (гр. 3 подраздела 2.2) X2 = 1, X3 = 1, X5 = 1, X15 = 2.

4. Стр. 022, гр. 3, 5 = сумма вложений в облигации в разделе 3, гр. 9, 11, второй, третий, пятый и пятнадцатый разряды кода ценной бумаги которых (гр. 7 раздела 3) X2 = 1, X3 = 1, X5 = 2, X15 = 2.

5. Стр. 022, гр. 4, 6 = сумма вложений в облигации всех подразделов 3.2, гр. 9, 11, второй, третий, пятый и пятнадцатый разряды кода ценной бумаги которых (гр. 7 подраздела 3.2) X2 = 1, X3 = 1, X5 = 2, X15 = 2.

6. Стр. 023, гр. 3, 5 = сумма вложений в облигации в разделе 3, гр. 9, 11, второй, третий, пятый и пятнадцатый разряды кода ценной бумаги которых (гр. 7 раздела 3) X2 = 1, X3 = 1, X5 = 3, X15 = 2.

7. Стр. 023, гр. 4, 6 = сумма вложений в облигации всех подразделов 3.2, гр. 9, 11, второй, третий, пятый и пятнадцатый разряды кода ценной бумаги которых (гр. 7 подраздела 3.2) X2 = 1, X3 = 1, X5 = 3, X15 = 2.

8. Стр. 031, гр. 3, 5 = сумма вложений в облигации с ипотечным покрытием в разделе 4, гр. 9, 11, второй, третий, пятый и пятнадцатый разряды кода ценной бумаги которых (гр. 7 раздела 4) X2 = 1, X3 = 6, X5 = 4 или 6, X15 = 2; X2 = 2, X3 = 6, X5 = 4 или 7, X15 = 2.

9. Стр. 031, гр. 4, 6 = сумма вложений в облигации с ипотечным покрытием всех подразделов 4.2, гр. 9, 11, второй, третий, пятый и пятнадцатый разряды кода ценной бумаги которых (гр. 7 подраздела 4.2) X2 = 1, X3 = 6, X5 = 4 или 6, X15 = 2; X2 = 2, X3 = 6, X5 = 4 или 7, X15 = 2.

10. Стр. 032, гр. 3, 5 = сумма вложений в жилищные облигации с ипотечным покрытием в разделе 4, гр. 9, 11, второй, третий, пятый и пятнадцатый разряды кода ценной бумаги которых (гр. 7 раздела 4) X2 = 1, X3 = 7, X5 = 4 или 6, X15 = 2.

11. Стр. 032, гр. 4, 6 = сумма вложений в жилищные облигации с ипотечным покрытием всех подразделов 4.2, гр. 9, 11, второй, третий, пятый и пятнадцатый разряды кода ценной бумаги которых (гр. 7 подраздела 4.2) X2 = 1, X3 = 7, X5 = 4 или 6, X15 = 2.

12. Стр. 033, гр. 3, 5 = сумма вложений в облигации в разделе 4, гр. 9, 11, второй, третий, пятый и пятнадцатый разряды кода ценной бумаги которых (гр. 7 раздела 4) X2 = 1, X3 = 1, X5 = 4 или 7, X15 = 2; X2 = 2 или 3, X3 = 1, X5 = 1 или 2 или 3 или 4 или 7, X15 = 2.

13. Стр. 033, гр. 4, 6 = сумма вложений в облигации всех подразделов 4.2, гр. 9, 11, второй, третий, пятый и пятнадцатый разряды кода ценной бумаги которых (гр. 7 подраздела 4.2) X2 = 1, X3 = 1, X5 = 4 или 7, X15 = 2; X2 = 2 или 3, X3 = 1, X5 = 1 или 2 или 3 или 4 или 7, X15 = 2.

14. Стр. 040, гр. 3, 5 = сумма показателей строк 041, 042, гр. 3, 5.

15. Стр. 041, гр. 3, 5 = сумма вложений в векселя банков в разделе 5, гр. 11, 12, второй, третий, пятый и пятнадцатый разряды кода ценной бумаги которых (гр. 10 раздела 5) X2 = 1 или 2, X3 = 4, X5 = 4, X15 = 2.

16. Стр. 042, гр. 3, 5 = сумма вложений векселя организаций иных, чем банки, в разделе 5, гр. 11, 12, второй, третий, пятый и пятнадцатый разряды кода ценной бумаги которых (гр. 10 раздела 5) X2 = 1 или 2, X3 = 4, X5 = 7, X15 = 2.

17. Стр. 050, гр. 3, 5 = сумма вложений в акции в разделе 6, гр. 9, 11, пятнадцатый разряд кода ценной бумаги которых (гр. 7 раздела 6) X15 = 2.

18. Стр. 050, гр. 4, 6 = сумма вложений в акции всех подразделов 6.2, гр. 9, 11, пятнадцатый разряд кода ценной бумаги которых (гр. 7 подраздела 6.2) X15 = 2.

19. Стр. 070, гр. 3, 5 = сумма вложений в инвестиционные паи в разделе 8, гр. 7, 9, пятнадцатый разряд кода которых (гр. 5 раздела 8) X15 = 2.

20. Стр. 100, гр. 3, 5 = сумма банковских вкладов в разделе 11, гр. 7, 8, десятый разряд кода банковского вклада которых (гр. 6 раздела 11) X10 = 2.

21. Стр. 101, гр. 3, 5 = сумма банковских вкладов в разделе 11, гр. 7, 8, пятый, десятый разряды кода банковского вклада которых (гр. 6 раздела 11) X5 = 1 или 2, X10 = 2.

22. Стр. 101, гр. 3, 5 стр. 100, гр. 3, 5.

23. Стр. 102, гр. 3, 5 = сумма банковских вкладов, удостоверенных депозитными сертификатами, в разделе 11, гр. 7, 8, пятый, десятый разряды кода банковского вклада которых (гр. 6 раздела 11) X5 = 1, X10 = 2.

24. Стр. 102, гр. 3, 5 стр. 101, гр. 3, 5.

25. Стр. 120, гр. 3, 5 = сумма доли перестраховщиков в страховых резервах в разделе 12, гр. 6, 7, десятый разряд кода доли перестраховщиков которых (гр. 5 раздела 12) X10 = 2.

26. Стр. 190, гр. 3, 5 = сумма показателей строк 020, 040, 050, 070, 100, 120, гр. 3, 5.

27. Стр. 190, гр. 4, 6 = сумма показателей строк 020, 050, гр. 4, 6.

28. Стр. 190, гр. 3, 4, 5, 6 = сумма показателей строк 191, 192, гр. 3, 4, 5, 6.

29. Стр. 191, гр. 3, 5 = сумма вложений в активы в разделах 2, гр. 5, 7; 3, гр. 9, 11; 4, гр. 9, 11; 5, гр. 11, 12; 6, гр. 9, 11; 8, гр. 7, 9; 11, гр. 7, 8; 12, гр. 6, 7, второй и пятнадцатый разряды кода которых в разделах 2, 3, 4, 5, 6, 8 (гр. 3 раздела 2, гр. 5 раздела 8, гр. 7 разделов 3, 4, 6, гр. 10 раздела 5) X2 = 1, X15 = 2; второй и десятый разряды кода которых в разделах 11, 12 (гр. 5 раздела 12, гр. 6 раздела 11) X2 = 1, X10 = 2.

30. Стр. 191, гр. 4, 6 = сумма вложений в активы в подразделах 2.2, гр. 5, 7; 3.2, гр. 9, 11; 4.2, гр. 9, 11; 6.2, гр. 9, 11, второй и пятнадцатый разряды кода которых (гр. 3 подраздела 2.2, гр. 7 подразделов 3.2, 4.2, 6.2) X2 = 1, X15 = 2 (по каждой управляющей компании).

31. Стр. 192, гр. 3, 5 = сумма вложений в активы в разделах 4, гр. 9, 11; 5, гр. 11, 12; 6, гр. 9, 11; 11, гр. 7, 8; 12, гр. 6, 7, второй и пятнадцатый разряды кода которых в разделах 4, 5, 6 (гр. 7 разделов 4, 6, гр. 10 раздела 5) X2 = 2 или 3, X15 = 2; второй и десятый разряды кода которых в разделах 11, 12 (гр. 5 раздела 12; гр. 6 раздела 11) X2 = 2 или 3, X10 = 2.

32. Стр. 192, гр. 4, 6 = сумма вложений в активы в подразделах 4.2, гр. 9, 11; 6.2, гр. 9, 11, второй и пятнадцатый разряды кода которых (гр. 7 подразделов 4.2, 6.2) X2 = 2 или 3, X15 = 2 (по каждой управляющей компании).

Раздел 2 "Федеральные государственные ценные бумаги"

1. Гр. 5, 7 по строке "Всего по разделу 2" = сумма показателей по стр. "Итого", гр. 5, 7 подразделов 2.1 и 2.2.

Подраздел 2.1 "Федеральные государственные ценные бумаги, кроме федеральных государственных ценных бумаг, отраженных в подразделе 2.2"

1. Если гр. 5 или гр. 7 0, то гр. 1, 2, 3 0.

2. Стр. "Итого", гр. 5, 7 = сумма показателей предыдущих строк подраздела 2.1, гр. 5, 7.

3. Стр. 1, гр. 1 = 1.

4. По каждой строке, кроме строки 1, значение графы 1 = значению графы 1 предыдущей строки + 1.

5. Гр. 4, 6 целые числа или с точностью до четвертого знака после десятичной точки.

6. Если гр. 5 0, то гр. 4 0.

7. Если гр. 7 0, то гр. 6 0.

Подраздел 2.2 "Федеральные государственные ценные бумаги в доверительном управлении управляющей компании"

1. Если гр. 5 или гр. 7 0, то гр. 1, 2, 3 0.

2. Стр. "Итого", гр. 5, 7 = сумма показателей предыдущих строк подраздела 2.2, гр. 5, 7.

3. Стр. 1, гр. 1 = 1.

4. По каждой строке, кроме строки 1, значение графы 1 = значению графы 1 предыдущей строки + 1.

5. Если четвертый разряд кода управляющей компании (графа "Код управляющей компании" подраздела 2.2) X4 = 1, то показатель графы "ИНН управляющей компании" подраздела 2.2 формы N 7-страховщик должен присутствовать в графе 1 подраздела 1.2 формы N 12-страховщик.

6. Если четвертый разряд кода управляющей компании (графа "Код управляющей компании" подраздела 2.2) X4 = 2, то показатель графы "ИНН управляющей компании" подраздела 2.2 формы N 7-страховщик должен присутствовать в графе 1 подраздела 1.2 формы N 12-страховщик.

7. Гр. 4, 6 целые числа или с точностью до четвертого знака после десятичной точки.

8. Если гр. 5 0, то гр. 4 0.

9. Если гр. 7 0, то гр. 6 0.

Подраздел 2.1.1 "Федеральные государственные ценные бумаги, кроме федеральных государственных ценных бумаг, отраженных в подразделе 2.2, у эмитента которых возникли обстоятельства, не зависящие от действий страховщика, повлекшие нарушения, устраняемые в соответствии с пунктом 14 Правил размещения страховщиками средств страховых резервов"

1. Если в подразделе 2.1 пятнадцатый разряд кода ценной бумаги (гр. 3 подраздела 2.1) X15 = 2, то показатель графы 2 подраздела 2.1 должен присутствовать в графе 1 подраздела 2.1.1.

2. Если в подразделе 2.1.1 третий разряд кода ценной бумаги, присвоенного до возникновения обстоятельств, (гр. 4 подраздела 2.1.1) X3 = 1, то срок от даты, предшествующей возникновению обстоятельств, повлекших нарушения, (гр. 2 подраздела 2.1.1) до отчетной даты 91 день.

3. Если в подразделе 2.1.1 третий разряд кода ценной бумаги, присвоенного после возникновения обстоятельств, (гр. 4 подраздела 2.1.1) X3 = 2, то срок от даты возникновения того обстоятельства, которое возникло раньше других обстоятельств, повлекших нарушение, (гр. 2 подраздела 2.1.1) до отчетной даты 90 дней.

4. В подразделе 2.1.1 по каждому активу, имеющему одинаковое значение гр. 1, дата, предшествующая возникновению обстоятельств, повлекших нарушения, (гр. 2 подраздела 2.1.1), отраженная по строке, где третий разряд кода ценной бумаги, присвоенного до возникновения обстоятельств, (гр. 4 подраздела 2.1.1) X3 = 1, < даты возникновения того обстоятельства, которое возникло раньше других обстоятельств, повлекших нарушения, (гр. 2 подраздела 2.1.1), отраженной по строке, где третий разряд кода ценной бумаги, присвоенного после возникновения обстоятельств, (гр. 4 подраздела 2.1.1) X3 = 2.

5. В подразделе 2.1.1 по каждому активу, имеющему одинаковое значение гр. 1, первый разряд кода ценной бумаги, присвоенного до возникновения обстоятельств, (гр. 4 подраздела 2.1.1) X1, отраженного по строке, где указана дата, предшествующая возникновению обстоятельств, повлекших нарушения, = первому разряду кода ценной бумаги, присвоенного после возникновения обстоятельств, (гр. 4 подраздела 2.1.1) X1, отраженному по строке, где указана дата возникновения того обстоятельства, которое возникло позже других обстоятельств, повлекших нарушения.

Подраздел 2.2.1 "Федеральные государственные ценные бумаги в доверительном управлении управляющей компании, у эмитента которых возникли обстоятельства, не зависящие от действий страховщика, повлекшие нарушения, устраняемые в соответствии с пунктом 14 Правил размещения страховщиками средств страховых резервов"

1. Если в подразделе 2.2 пятнадцатый разряд кода ценной бумаги (гр. 3 подраздела 2.2) X15 = 2, то показатель графы 2 подраздела 2.2 должен присутствовать в графе 1 подраздела 2.2.1.

2. Если в подразделе 2.2.1 третий разряд кода ценной бумаги, присвоенного до возникновения обстоятельств, (гр. 4 подраздела 2.2.1) X3 = 1, то срок от даты, предшествующей возникновению обстоятельств, повлекших нарушения, (гр. 2 подраздела 2.2.1) до отчетной даты 91 день.

3. Если в подразделе 2.2.1 третий разряд кода ценной бумаги, присвоенного после возникновения обстоятельств, (гр. 4 подраздела 2.2.1) X3 = 2, то срок от даты возникновения того обстоятельства, которое возникло раньше других обстоятельств, повлекших нарушения, (гр. 2 подраздела 2.2.1) до отчетной даты 90 дней.

4. В подразделе 2.2.1 по каждому активу, имеющему одинаковое значение гр. 1, дата, предшествующая возникновению обстоятельств, повлекших нарушения, (гр. 2 подраздела 2.2.1), отраженная по строке, где третий разряд кода ценной бумаги, присвоенного до возникновения обстоятельств, (гр. 4 подраздела 2.2.1) X3 = 1, < даты возникновения того обстоятельства, которое возникло раньше других обстоятельств, повлекших нарушение, (гр. 2 подраздела 2.2.1), отраженной по строке, где третий разряд кода ценной бумаги, присвоенного после возникновения обстоятельств, (гр. 4 подраздела 2.2.1) X3 = 2.

5. В подразделе 2.2.1 по каждому активу, имеющему одинаковое значение гр. 1, первый разряд кода ценной бумаги, присвоенного до возникновения обстоятельств, (гр. 4 подраздела 2.2.1) X1, отраженного по строке, где указана дата, предшествующая возникновению обстоятельств, повлекших нарушения, = первому разряду кода ценной бумаги, присвоенного после возникновения обстоятельств, (гр. 4 подраздела 2.2.1) X1, отраженному по строке, где указана дата возникновения того обстоятельства, которое возникло позже других обстоятельств, повлекших нарушения.

Раздел 3 "Государственные ценные бумаги субъектов Российской Федерации и муниципальные ценные бумаги"

1. Гр. 9, 11 по строке "Всего по разделу 3" = сумма показателей по стр. "Итого", гр. 9, 11 подразделов 3.1 и 3.2.

Подраздел 3.1 "Государственные ценные бумаги субъектов Российской Федерации и муниципальные ценные бумаги, кроме ценных бумаг, отраженных в подразделе 3.2"

1. Если одиннадцатый разряд кода ценной бумаги (гр. 7 подраздела 3.1) X11 = 01, то гр. 4 = 0, гр. 5, 6 0.

2. Если одиннадцатый разряд кода ценной бумаги (гр. 7 подраздела 3.1) X11 = 02, или 03, или 04, то гр. 4, 5 0, гр. 6 = 0.

3. Если одиннадцатый разряд кода ценной бумаги (гр. 7 подраздела 3.1) X11 = 07, или 08, или 10, то гр. 4 = 0, гр. 5, 6 0.

4. Если гр. 9 или гр. 11 0, то гр. 1, 2, 3, 7 0.

5. Если гр. 9 0 и одиннадцатый разряд кода ценной бумаги (гр. 7 подраздела 3.1) X11 = 01, то в форме N 5-страховщик, стр. 370, гр. (3 + 5) 0.

6. Если гр. 11 0 и одиннадцатый разряд кода ценной бумаги (гр. 7 подраздела 3.1) X11 = 01, то в форме N 5-страховщик, стр. 370, гр. (4 + 6) 0.

7. Стр. "Итого", гр. 9, 11 = сумма показателей предыдущих строк подраздела 3.1, гр. 9, 11.

8. Стр. 1, гр. 1 = 1.

9. По каждой строке, кроме строки 1, значение графы 1 = значению графы 1 предыдущей строки + 1.

10. В графе 2, 6 количество цифр = 10 цифрам.

11. Гр. 8, 10 целые числа или с точностью до четвертого знака после десятичной точки.

12. Если гр. 9 0, то гр. 8 0.

13. Если гр. 11 0, то гр. 10 0.

Подраздел 3.2 "Государственные ценные бумаги субъектов Российской Федерации и муниципальные ценные бумаги в доверительном управлении управляющей компании"

1. Если одиннадцатый разряд кода ценной бумаги (гр. 7 подраздела 3.2) X11 = 01, то гр. 4 = 0, гр. 5, 6 0.

2. Если одиннадцатый разряд кода ценной бумаги (гр. 7 подраздела 3.2) X11 = 02 или 03 или 04, то гр. 4, 5 0, гр. 6 = 0.

3. Если одиннадцатый разряд кода ценной бумаги (гр. 7 подраздела 3.2) X11 = 07 или 08 или 10, то гр. 4 = 0, гр. 5, 6 0.

4. Если гр. 9 или гр. 11 0, то гр. 1, 2, 3, 7 0.

5. Если гр. 9 0 и одиннадцатый разряд кода ценной бумаги (гр. 7 подраздела 3.2) X11 = 01, то в форме N 5-страховщик, стр. 370, гр. (3 + 5) 0.

6. Если гр. 11 0 и одиннадцатый разряд кода ценной бумаги (гр. 7 подраздела 3.2) X11 = 01, то в форме N 5-страховщик, стр. 370, гр. (4 + 6) 0.

7. Стр. "Итого", гр. 9, 11 = сумма показателей предыдущих строк подраздела 3.2, гр. 9, 11.

8. Стр. 1, гр. 1 = 1.

9. По каждой строке, кроме строки 1, значение графы 1 = значению графы 1 предыдущей строки + 1.

10. Если четвертый разряд кода управляющей компании (графа "Код управляющей компании" подраздела 3.2) X4 = 1, то показатель графы "ИНН управляющей компании" подраздела 3.2 формы N 7-страховщик должен присутствовать в графе 1 подраздела 1.2 формы N 12-страховщик.

11. Если четвертый разряд кода управляющей компании (графа "Код управляющей компании" подраздела 3.2) X4 = 2, то показатель графы "ИНН управляющей компании" подраздела 3.2 формы N 7-страховщик должен присутствовать в графе 1 подраздела 2.2 формы N 12-страховщик.

12. В графе 2, 6 количество цифр = 10 цифрам.

13. Гр. 8, 10 целые числа или с точностью до четвертого знака после десятичной точки.

14. Если гр. 9 0, то гр. 8 0.

15. Если гр. 11 0, то гр. 10 0.

Подраздел 3.1.1 "Государственные ценные бумаги субъектов Российской Федерации и муниципальные ценные бумаги, кроме государственных ценных бумаг субъектов Российской Федерации и муниципальных ценных бумаг, отраженных в подразделе 3.2, у эмитента которых возникли обстоятельства, не зависящие от действий страховщика, повлекшие нарушения, устраняемые в соответствии с пунктом 14 Правил размещения страховщиками средств страховых резервов"

1. Если в подразделе 3.1 двенадцатый, пятнадцатый разряды кода ценной бумаги (гр. 7 подраздела 3.1) X12 007, или 040, или 070, или 100, или 220, или 990, X15 = 2, то показатели граф 2, 3, 4, 5 подраздела 3.1 должны присутствовать в графах 1, 2, 3, 4 подраздела 3.1.1.

2. Если в разделе 1 стр. 190, гр. 3, 5 < стр. 010, гр. 3, 5 в подразделе 3.1 двенадцатый, пятнадцатый разряды кода ценной бумаги (гр. 7 подраздела 3.1) X12 = 007, или 040, или 070, или 100, или 220, или 990, X15 = 2, то показатели граф 2, 3, 4, 5 подраздела 3.1 должны присутствовать в графах 1, 2, 3, 4 подраздела 3.1.1.

3. Если в разделе 1 стр. 190, гр. 3, 5 стр. 010, гр. 3, 5 в подразделе 3.1 двенадцатый, пятнадцатый разряды кода ценной бумаги (гр. 7 подраздела 3.1) X12 = 007, или 040, или 070, или 100, или 220, или 990, X15 = 2, то показатель графы 2, 3, 4, 5 подраздела 3.1 не должен присутствовать в графе 1, 2, 3, 4 подраздела 3.1.1.

4. Если в подразделе 3.1.1 третий разряд кода ценной бумаги, присвоенного до возникновения обстоятельств (гр. 7 подраздела 3.1.1) X3 = 1, то срок от даты, предшествующей возникновению обстоятельств, повлекших нарушения, (гр. 5 подраздела 3.1.1) до отчетной даты 91 день.

5. Если в подразделе 3.1.1 третий разряд кода ценной бумаги, присвоенного после возникновения обстоятельств (гр. 7 подраздела 3.1.1), X3 = 2, то срок от даты возникновения того обстоятельства, которое возникло раньше других обстоятельств, повлекших нарушение (гр. 5 подраздела 3.1.1), до отчетной даты 90 дней.

6. В подразделе 3.1.1 по каждому активу, имеющему одинаковое значение гр. 1, 2, 3, 4, дата, предшествующая возникновению обстоятельств, повлекших нарушения (гр. 5 подраздела 3.1.1), отраженная по строке, где третий разряд кода ценной бумаги, присвоенного до возникновения обстоятельств (гр. 7 подраздела 3.1.1), X3 = 1, < даты возникновения того обстоятельства, которое возникло раньше других обстоятельств, повлекших нарушения (гр. 5 подраздела 3.1.1), отраженной по строке, где третий разряд кода ценной бумаги, присвоенного после возникновения обстоятельств (гр. 7 подраздела 3.1.1), X3 = 2.

7. В подразделе 3.1.1 по каждому активу, имеющему одинаковое значение гр. 1, 2, 3, 4, первый разряд кода ценной бумаги, присвоенного до возникновения обстоятельств (гр. 7 подраздела 3.1.1), X1, отраженного по строке, где указана дата, предшествующая возникновению обстоятельств, повлекших нарушения, = первому разряду кода ценной бумаги, присвоенного после возникновения обстоятельств (гр. 7 подраздела 3.1.1), X1, отраженного по строке, где указана дата возникновения того обстоятельства, которое возникло позже других обстоятельств, повлекших нарушения.

Подраздел 3.2.1 "Государственные ценные бумаги субъектов Российской Федерации и муниципальные ценные бумаги в доверительном управлении управляющей компании, у эмитента которых возникли обстоятельства, не зависящие от действий страховщика, повлекшие нарушения, устраняемые в соответствии с пунктом 14 Правил размещения страховщиками средств страховых резервов"

1. Если в подразделе 3.2 двенадцатый, пятнадцатый разряды кода ценной бумаги (гр. 7 подраздела 3.2) X12 007, или 040, или 070, или 100, или 220, или 260, или 990, X15 = 2, то показатели граф 2, 3, 4, 5 подраздела 3.2 должны присутствовать в графах 1, 2, 3, 4 подраздела 3.2.1.

2. Если в разделе 1 стр. 190, гр. 3, 5 < стр. 010, гр. 3, 5 в подразделе 3.2 двенадцатый, пятнадцатый разряды кода ценной бумаги (гр. 7 подраздела 3.2) X12 = 007, или 040, или 070, или 100, или 220, или 260, или 990, X15 = 2, то показатели граф 2, 3, 4, 5 подраздела 3.2 должны присутствовать в графах 1, 2, 3, 4 подраздела 3.2.1.

3. Если в разделе 1 стр. 190, гр. 3, 5 стр. 010, гр. 3, 5 в подразделе 3.2 двенадцатый, пятнадцатый разряды кода ценной бумаги (гр. 7 подраздела 3.2) X12 = 007, или 040, или 070, или 100, или 220, или 990, X15 = 2, то показатель графы 2, 3, 4, 5 подраздела 3.2 не должен присутствовать в графе 1, 2, 3, 4 подраздела 3.2.1.

4. Если в подразделе 3.2.1 третий разряд кода ценной бумаги, присвоенного до возникновения обстоятельств (гр. 7 подраздела 3.2.1), X3 = 1, то срок от даты, предшествующей возникновению обстоятельств, повлекших нарушения (гр. 5 подраздела 3.2.1), до отчетной даты 91 день.

5. Если в подразделе 3.2.1 третий разряд кода ценной бумаги, присвоенного после возникновения обстоятельств (гр. 7 подраздела 3.2.1), X3 = 2, то срок от даты возникновения того обстоятельства, которое возникло раньше других обстоятельств, повлекших нарушение (гр. 5 подраздела 3.2.1), до отчетной даты 90 дней.

6. В подразделе 3.2.1 по каждому активу, имеющему одинаковое значение гр. 1, 2, 3, 4, дата, предшествующая возникновению обстоятельств, повлекших нарушения (гр. 5 подраздела 3.2.1), отраженная по строке, где третий разряд кода ценной бумаги, присвоенного до возникновения обстоятельств (гр. 7 подраздела 3.2.1), X3 = 1, < даты возникновения того обстоятельства, которое возникло раньше других обстоятельств, повлекших нарушения (гр. 5 подраздела 3.2.1), отраженной по строке, где третий разряд кода ценной бумаги, присвоенного после возникновения обстоятельств (гр. 7 подраздела 3.2.1), X3 = 2.

7. В подразделе 3.2.1 по каждому активу, имеющему одинаковое значение гр. 1, 2, 3, 4, первый разряд кода ценной бумаги, присвоенного до возникновения обстоятельств (гр. 7 подраздела 3.2.1), X1, отраженного по строке, где указана дата, предшествующая возникновению обстоятельств, повлекших нарушения, = первому разряду кода ценной бумаги, присвоенного после возникновения обстоятельств (гр. 7 подраздела 3.2.1), X1, отраженному по строке, где указана дата возникновения того обстоятельства, которое возникло позже других обстоятельств, повлекших нарушения.

Раздел 4 "Иные облигации, кроме облигаций, отраженных в разделах 2 и 3"

1. Гр. 9, 11 по строке "Всего по разделу 4" = сумма показателей по стр. "Итого", гр. 9, 11 подразделов 4.1 и 4.2.

Подраздел 4.1 "Иные облигации, кроме облигаций, отраженных в подразделах 2.1, 3.1, 4.2"

1. Если второй, одиннадцатый разряды кода ценной бумаги (гр. 7 подраздела 4.1) X2 = 1 или 3, X11 = 01, то гр. 4 = 0, гр. 5, 6 0.

2. Если второй и одиннадцатый разряды кода ценной бумаги (гр. 7 подраздела 4.1) X2 = 1, X11 = 02, или 03, или 04, то гр. 4, 5 0, гр. 6 = 0.

3. Если второй и одиннадцатый разряды кода ценной бумаги (гр. 7 подраздела 4.1) X2 = 2, X11 = 02, или 03, или 04, то гр. 4 0, гр. 5, 6 = 0.

4. Если одиннадцатый разряд кода ценной бумаги (гр. 7 подраздела 4.1) X11 = 07, или 08, или 10, то гр. 4 = 0, гр. 5, 6 0.

5. Если гр. 9 или гр. 11 0, то гр. 1, 2, 3, 7 0.

6. Если гр. 9 0 и одиннадцатый разряд кода ценной бумаги (гр. 7 подраздела 4.1) X11 = 01, то в форме N 5-страховщик, стр. (352 + 362), гр. (3 + 5) 0.

7. Если гр. 11 0 и одиннадцатый разряд кода ценной бумаги (гр. 7 подраздела 4.1) X11 = 01, то в форме N 5-страховщик, стр. (352 + 362), гр. (4 + 6) 0.

8. Стр. "Итого", гр. 9, 11 = сумма показателей предыдущих строк подраздела 4.1, гр. 9, 11.

9. Стр. 1, гр. 1 = 1.

10. По каждой строке, кроме строки 1, значение графы 1 = значению графы 1 предыдущей строки + 1.

11. Если гр. 9 0, четвертый разряд кода ценной бумаги (гр. 7 подраздела 4.1) X4 = 1, то в подразделе 1.2 формы N 12-страховщик в графе 1 должен присутствовать показатель графы 2 подраздела 4.1 формы N 7-страховщик и графа 5 0.

12. Если гр. 11 0, четвертый разряд кода ценной бумаги (гр. 7 подраздела 4.1) X4 = 1, то в подразделе 1.2 формы N 12-страховщик в графе 1 должен присутствовать показатель графы 2 подраздела 4.1 формы N 7-страховщик и графа 7 0.

13. Если гр. 9 0, четвертый разряд кода ценной бумаги (гр. 7 подраздела 4.1) X4 = 2, то в подразделе 2.2 формы N 12-страховщик в графе 1 должен присутствовать показатель графы 2 подраздела 4.1 формы N 7-страховщик и графа 5 0.

14. Если гр. 11 0, четвертый разряд кода ценной бумаги (гр. 7 подраздела 4.1) X4 = 2, то в подразделе 2.2 формы N 12-страховщик в графе 1 должен присутствовать показатель графы 2 подраздела 4.1 формы N 7-страховщик и графа 7 0.

15. Если второй разряд кода ценной бумаги (гр. 7 подраздела 4.1) X2 = 1 или 3, то в графе 2 количество цифр = 10 цифрам.

16. Если второй разряд кода ценной бумаги (гр. 7 подраздела 4.1) X2 = 2, то в графе 2 количество цифр = 6 цифрам.

17. В графе 6 количество цифр = 10 цифрам.

18. Гр. 8, 10 целые числа или с точностью до четвертого знака после десятичной точки.

19. Если гр. 9 0, то гр. 8 0.

20. Если гр. 11 0, то гр. 10 0.

21. Если второй разряд кода ценной бумаги (гр. 7 подраздела 4.1) X2 = 2, то первый разряд кода нерезидента (гр. 2 подраздела 4.1) X1 = трем цифрам и должен присутствовать в Общероссийском классификаторе стран мира (ОКСМ).

Подраздел 4.2 "Иные облигации, кроме облигаций, отраженных в подразделах 2.2 и 3.2, в доверительном управлении управляющей компании"

1. Если второй, одиннадцатый разряды кода ценной бумаги (гр. 7 подраздела 4.2) X2 = 1 или 3, X11 = 01, то гр. 4 = 0, гр. 5, 6 0.

2. Если второй и одиннадцатый разряды кода ценной бумаги (гр. 7 подраздела 4.2) X2 = 1, X11 = 02, или 03, или 04, то гр. 4, 5 0, гр. 6 = 0.

3. Если второй и одиннадцатый разряды кода ценной бумаги (гр. 7 подраздела 4.2) X2 = 2, X11 = 02, или 03, или 04, то гр. 4 0, гр. 5, 6 = 0.

4. Если одиннадцатый разряд кода ценной бумаги (гр. 7 подраздела 4.2) X11 = 07, или 08, или 10, то гр. 4 = 0, гр. 5, 6 0.

5. Если гр. 9 или гр. 11 0, то гр. 1, 2, 3, 7 0.

6. Если гр. 9 0 и одиннадцатый разряд кода ценной бумаги (гр. 7 подраздела 4.2) X11 = 01, то в форме N 5-страховщик, стр. (352 + 362), гр. (3 + 5) 0.

7. Если гр. 11 0 и одиннадцатый разряд кода ценной бумаги (гр. 7 подраздела 4.2) X11 = 01, то в форме N 5-страховщик, стр. (352 + 362), гр. (4 + 6) 0.

8. Стр. "Итого", гр. 9, 11 = сумма показателей предыдущих строк подраздела 4.2, гр. 9, 11.

9. Стр. 1, гр. 1 = 1.

10. По каждой строке, кроме строки 1, значение графы 1 = значению графы 1 предыдущей строки + 1.

11. Если гр. 9 0, четвертый разряд кода ценной бумаги (гр. 7 подраздела 4.2) X4 = 1, то в подразделе 1.2 формы N 12-страховщик в графе 1 должен присутствовать показатель графы 2 подраздела 4.2 формы N 7-страховщик и графа 5 0.

12. Если гр. 11 0, четвертый разряд кода ценной бумаги (гр. 7 подраздела 4.1) X4 = 1, то в подразделе 1.2 формы N 12-страховщик в графе 1 должен присутствовать показатель графы 2 подраздела 4.2 формы N 7-страховщик и графа 7 0.

13. Если гр. 9 0, четвертый разряд кода ценной бумаги (гр. 7 подраздела 4.2) X4 = 2, то в подразделе 2.2 формы N 12-страховщик в графе 1 должен присутствовать показатель графы 2 подраздела 4.2 формы N 7-страховщик и графа 5 0.

14. Если гр. 11 0, четвертый разряд кода ценной бумаги (гр. 7 подраздела 4.1) X4 = 2, то в подразделе 2.2 формы N 12-страховщик в графе 1 должен присутствовать показатель графы 2 подраздела 4.2 формы N 7-страховщик и графа 7 0.

15. Если четвертый разряд кода управляющей компании (графа "Код управляющей компании" подраздела 4.2) X4 = 1, то показатель графы "ИНН управляющей компании" подраздела 4.2 формы N 7-страховщик должен присутствовать в графе 1 подраздела 1.2 формы N 12-страховщик.

16. Если четвертый разряд кода управляющей компании (графа "Код управляющей компании" подраздела 4.2) X4 = 2, то показатель графы "ИНН управляющей компании" подраздела 4.2 формы N 7-страховщик должен присутствовать в графе 1 подраздела 2.2 формы N 12-страховщик.

17. Если второй разряд кода ценной бумаги (гр. 7 подраздела 4.1) X2 = 1 или 3, то в графе 2 количество цифр = 10 цифрам.

18. Если второй разряд кода ценной бумаги (гр. 7 подраздела 4.1) X2 = 2, то в графе 2 количество цифр = 6 цифрам.

19. В графе 6 количество цифр = 10 цифрам.

20. В графе "ИНН управляющей компании" и "ИНН российского рейтингового агентства" количество цифр = 10 цифрам.

21. Гр. 8, 10 целые числа или с точностью до четвертого знака после десятичной точки.

22. Если гр. 9 0, то гр. 8 0.

23. Если гр. 11 0, то гр. 10 0.

24. Если второй разряд кода ценной бумаги (гр. 7 подраздела 4.2) X2 = 2, то первый разряд кода нерезидента (гр. 2 подраздела 4.2) X1 = трем цифрам и должен присутствовать в Общероссийском классификаторе стран мира (ОКСМ).

Подраздел 4.1.1 "Иные облигации, кроме облигаций, отраженных в подразделах 2.1, 3.1, 4.2, у эмитента которых возникли обстоятельства, не зависящие от действий страховщика, повлекшие нарушения, устраняемые в соответствии с пунктом 14 Правил размещения страховщиками средств страховых резервов"

1. Если в подразделе 4.1 двенадцатый, пятнадцатый разряды кода ценной бумаги (гр. 7 подраздела 4.1) X12 007, или 040, или 070, или 100, или 220, или 260, или 990, X15 = 2, то показатели граф 2, 3, 4, 5 подраздела 4.1 должны присутствовать в графах 1, 2, 3, 4 подраздела 4.1.1.

2. Если в разделе 1 стр. 190, гр. 3, 5 < стр. 010, гр. 3, 5 в подразделе 4.1 двенадцатый, пятнадцатый разряды кода ценной бумаги (гр. 7 подраздела 4.1) X12 = 007, или 040, или 070, или 100, или 220, или 260, или 990, X15 = 2, то показатели граф 2, 3, 4, 5 подраздела 4.1 должны присутствовать в графах 1, 2, 3, 4 подраздела 4.1.1.

3. Если в разделе 1 стр. 190, гр. 3, 5 стр. 010, гр. 3, 5 в подразделе 4.1 двенадцатый, пятнадцатый разряды кода ценной бумаги (гр. 7 подраздела 4.1) X12 = 007, или 040, или 070, или 100, или 220, или 260, или 990, X15 = 2, то показатели граф 2, 3, 4, 5 подраздела 4.1 не должны присутствовать в графах 1, 2, 3, 4 подраздела 4.1.1.

4. Если в подразделе 4.1.1 третий разряд кода ценной бумаги, присвоенного до возникновения обстоятельств (гр. 7 подраздела 4.1.1), X3 = 1, то срок от даты, предшествующей возникновению обстоятельств, повлекших нарушения (гр. 5 подраздела 4.1.1), до отчетной даты 91 день.

5. Если в подразделе 4.1.1 третий разряд кода ценной бумаги, присвоенного после возникновения обстоятельств (гр. 7 подраздела 4.1.1), X3 = 2, то срок от даты возникновения того обстоятельства, которое возникло раньше других обстоятельств, повлекших нарушения (гр. 5 подраздела 4.1.1), до отчетной даты 90 дней.

6. В подразделе 4.1.1 по каждому активу, имеющему одинаковое значение гр. 1, 2, 3, 4, дата, предшествующая возникновению обстоятельств, повлекших нарушения (гр. 5 подраздела 4.1.1), отраженная по строке, где третий разряд кода ценной бумаги, присвоенного до возникновения обстоятельств (гр. 7 подраздела 4.1.1), X3 = 1, < даты возникновения того обстоятельства, которое возникло раньше других обстоятельств, повлекших нарушение (гр. 5 подраздела 4.1.1), отраженной по строке, где третий разряд кода ценной бумаги, присвоенного после возникновения обстоятельств (гр. 7 подраздела 4.1.1), X3 = 2.

7. В подразделе 4.1.1 по каждому активу, имеющему одинаковое значение гр. 1, 2, 3, 4, первый разряд кода ценной бумаги, присвоенного до возникновения обстоятельств (гр. 7 подраздела 4.1.1), X1, отраженного по строке, где указана дата, предшествующая возникновению обстоятельств, повлекших нарушения, = первому разряду кода ценной бумаги, присвоенного после возникновения обстоятельств, повлекших нарушения (гр. 7 подраздела 4.1.1), X1, отраженного по строке, где указана дата возникновения того обстоятельства, которое возникло позже других обстоятельств, повлекших нарушения.

Подраздел 4.2.1 "Иные облигации, кроме облигаций, отраженных в подразделах 2.1, 3.1, в доверительном управлении управляющей компании, у эмитента которых возникли обстоятельства, не зависящие от действий страховщика, повлекшие нарушения, устраняемые в соответствии с пунктом 14 Правил размещения страховщиками средств страховых резервов"

1. Если в подразделе 4.2 двенадцатый, пятнадцатый разряды кода ценной бумаги (гр. 7 подраздела 4.2) X12 007, или 040, или 070, или 100, или 220 или 260, или 990, X15 = 2, то показатели граф 2, 3, 4, 5 подраздела 4.2 должны присутствовать в графах 1, 2, 3, 4 подраздела 4.2.1.

2. Если в разделе 1 стр. 190, гр. 3, 5 < стр. 010, гр. 3, 5 в подразделе 4.2 двенадцатый, пятнадцатый разряды кода ценной бумаги (гр. 7 подраздела 4.2) X12 = 007 или 040 или 070 или 100 или 220 или 260 или 990, X15 = 2, то показатели граф 2, 3, 4, 5 подраздела 4.2 должны присутствовать в графах 1, 2, 3, 4 подраздела 4.2.1.

3. Если в разделе 1 стр. 190, гр. 3, 5 стр. 010, гр. 3, 5 в подразделе 4.2 двенадцатый, пятнадцатый разряды кода ценной бумаги (гр. 7 подраздела 4.2) X12 = 007, или 040, или 070, или 100, или 220, или 260, или 990, X15 = 2, то показатели граф 2, 3, 4, 5 подраздела 4.2 не должны присутствовать в графах 1, 2, 3, 4 подраздела 4.2.1.

4. Если в подразделе 4.2.1 третий разряд кода ценной бумаги, присвоенного до возникновения обстоятельств (гр. 7 подраздела 4.2.1), X3 = 1, то срок от даты, предшествующей возникновению обстоятельств, повлекших нарушения (гр. 5 подраздела 4.2.1), до отчетной даты 91 день.

5. Если в подразделе 4.2.1 третий разряд кода ценной бумаги, присвоенного после возникновения обстоятельств (гр. 7 подраздела 4.2.1), X3 = 2, то срок от даты возникновения того обстоятельства, которое возникло раньше других обстоятельств, повлекших нарушения (гр. 5 подраздела 4.2.1), до отчетной даты 90 дней.

6. В подразделе 4.2.1 по каждому активу, имеющему одинаковое значение гр. 1, 2, 3, 4, дата, предшествующая возникновению обстоятельств, повлекших нарушения (гр. 5 подраздела 4.2.1), отраженная по строке, где третий разряд кода ценной бумаги, присвоенного до возникновения обстоятельств (гр. 7 подраздела 4.2.1), X3 = 1, < даты возникновения того обстоятельства, которое возникло раньше других обстоятельств, повлекших нарушения (гр. 5 подраздела 4.2.1), отраженной по строке, где третий разряд кода ценной бумаги, присвоенного после возникновения обстоятельств (гр. 7 подраздела 4.2.1), X3 = 2.

7. В подразделе 4.2.1 по каждому активу, имеющему одинаковое значение гр. 1, 2, 3, 4, первый разряд кода ценной бумаги, присвоенного до возникновения обстоятельств (гр. 7 подраздела 4.2.1), X1, отраженного по строке, где указана дата, предшествующая возникновению обстоятельств, повлекших нарушения, = первому разряду кода ценной бумаги, присвоенного после возникновения обстоятельств (гр. 7 подраздела 4.2.1), X1, отраженного по строке, где указана дата возникновения того обстоятельства, которое возникло позже других обстоятельств, повлекших нарушения.

Раздел 5 "Векселя организаций, в том числе банков"

1. Если гр. 11 или 12 0, то гр. 1, 2, 8, 10, 13, 15, 16, 17, 18, 20, 21, 22, 23 0.

2. Если второй, пятый, шестой, одиннадцатый разряды кода ценной бумаги (гр. 10 раздела 5) X2 = 1, X5 = 4, X6 = 1, или 4, или 5, X11 = 02, или 03, или 04, то гр. 3, 4 0, гр. 9, 28, 29, 30, 31, 32 = 0.

3. Если второй, пятый, шестой, одиннадцатый разряды кода ценной бумаги (гр. 10 раздела 5) X2 = 1, X5 = 4, X6 = 1, или 4, или 5, X11 = 11, то гр. 4 0, гр. 3, 9, 28, 29, 30, 31, 32 = 0.

4. Если второй, пятый, шестой, одиннадцатый разряды кода ценной бумаги (гр. 10 раздела 5) X2 = 1, X5 = 7, X6 = 1, или 4, или 5, X11 = 02 или 03 или 04, то гр. 3, 4 0, гр. 9, 28, 29, 30, 31, 32 = 0.

5. Если второй, пятый, шестой, одиннадцатый разряды кода ценной бумаги (гр. 10 раздела 5) X2 = 2, X5 = 4, X6 = 1, или 4, или 5, X11 = 02, или 03, или 04 или 11, то гр. 3 0, гр. 4, 9, 28, 29, 30, 31, 32 = 0.

6. Если второй, пятый, шестой, одиннадцатый разряды кода ценной бумаги (гр. 10 раздела 5) X2 = 2, X5 = 7, X6 = 1, или 4 или 5, X11 = 02, или 03, или 04, то гр. 3 0, гр. 4, 9, 28, 29, 30, 31, 32 = 0.

7. Если второй, пятый, шестой, одиннадцатый разряды кода ценной бумаги (гр. 10 раздела 5) X2 = 1, X5 = 4, X6 = 1, или 4, или 5, X11 = 07, или 08, или 10, то гр. 4, 9 0, гр. 3, 28, 29, 30, 31, 32 = 0.

8. Если второй, пятый, шестой, одиннадцатый разряды кода ценной бумаги (гр. 10 раздела 5) X2 = 1, X5 = 7, X6 = 1, или 4, или 5, X11 = 07, или 08, или 10, то гр. 4, 9 0, гр. 3, 28, 29, 30, 31, 32 = 0.

9. Если второй, пятый, шестой, одиннадцатый разряды кода ценной бумаги (гр. 10 раздела 5) X2 = 1, X5 = 4, X6 = 2 или 3, X11 = 02 или 03 или 04, то гр. 9 = 0, гр. 3, 4 0.

10. Если второй, пятый, шестой, одиннадцатый разряды кода ценной бумаги (гр. 10 раздела 5) X2 = 1, X5 = 4, X6 = 2 или 3, X11 = 07, или 08, или 10, то гр. 3 = 0, гр. 4, 9 0.

11. Если второй, пятый, шестой, одиннадцатый разряды кода ценной бумаги (гр. 10 раздела 5) X2 = 1, X5 = 4, X6 = 2 или 3, X11 = 11, то гр. 3, 9 = 0, гр. 4 0.

12. Если второй, пятый, шестой, одиннадцатый разряды кода ценной бумаги (гр. 10 раздела 5) X2 = 2, X5 = 4, X6 = 2 или 3, X11 = 02, или 03, или 04, или 11 то гр. 3 0, гр. 4, 9 = 0.

13. Если в графе 10 второй, пятый, шестой разряды кода ценной бумаги X2 = 1 или 2, X5 = 4, X6 = 2 или 3 и в графе 32 второй, пятый, шестой, одиннадцатый разряды кода ценной бумаги X2 = 1, X5 = 4, X6 = 2 или 3, X11 = 02, или 03, или 04, то гр. 29, 30 0, гр. 31 = 0.

14. Если в графе 10 второй, пятый, шестой разряды кода ценной бумаги X2 = 1 или 2, X5 = 4, X6 = 2 или 3 и в графе 32 второй, пятый, шестой, одиннадцатый разряды кода ценной бумаги X2 = 2, X5 = 4, X6 = 2 или 3, X11 = 02, или 03, или 04, то гр. 29 0, гр. 30, 31 = 0.

15. Если в графе 10 второй, пятый, шестой разряды кода ценной бумаги X2 = 1 или 2, X5 = 4, X6 = 2 или 3 и в графе 32 второй, пятый, шестой, одиннадцатый разряды кода ценной бумаги X2 = 1, X5 = 4, X6 = 2 или 3, X11 = 07, или 08, или 10, то гр. 29 = 0, гр. 30, 31 0.

16. Если второй, пятый, шестой, одиннадцатый разряды кода ценной бумаги (гр. 32 раздела 5) X2 = 1, X5 = 4, X6 = 2 или 3, X11 = 11, то гр. 29, 31 = 0, гр. 30 0.

17. Если второй, пятый, шестой, одиннадцатый разряды кода ценной бумаги (гр. 32 раздела 5) X2 = 2, X5 = 4, X6 = 2 или 3, X11 = 11, то гр. 29 0, гр. 30, 31 = 0.

18. Если в графе 10 второй, пятый, шестой разряды кода ценной бумаги X2 = 1 или 2, X5 = 4, X6 = 2 или 3 и в графе 32 второй, пятый, шестой, одиннадцатый разряды кода ценной бумаги X2 = 1, X5 = 7, X6 = 2 или 3, X11 = 02, или 03, или 04, то гр. 29, 30 0, гр. 31 = 0.

19. Если в графе 10 второй, пятый, шестой разряды кода ценной бумаги X2 = 1 или 2, X5 = 4, X6 = 2 или 3 и в графе 32 второй, пятый, шестой, одиннадцатый разряды кода ценной бумаги X2 = 2, X5 = 7, X6 = 2 или 3, X11 = 02, или 03, или 04, то гр. 29 0, гр. 30, 31 = 0.

20. Если в графе 10 второй, пятый, шестой разряды кода ценной бумаги X2 = 1 или 2, X5 = 4, X6 = 2 или 3 и в графе 32 второй, пятый, шестой, одиннадцатый разряды кода ценной бумаги X2 = 1, X5 = 7, X6 = 2 или 3, X11 = 07, или 08, или 10, то гр. 30, 31 0, гр. 29 = 0.

21. Если пятый, шестой разряды кода ценной бумаги (гр. 10 раздела 5) X5 = 4, X6 = 2, то гр. 2 гр. 28, гр. 2, 28 0.

22. Если пятый, шестой разряды кода ценной бумаги (гр. 10 раздела 5) X5 = 4, X6 = 3, то гр. 2 = гр. 28, гр. 2, 28 0.

23. Если пятый, шестой разряды кода ценной бумаги (гр. 10 раздела 5) X5 = 4, X6 = 1, или 4, или 5, то гр. 2 0, гр. 28 = 0.

24. Если пятый, шестой разряды кода ценной бумаги (гр. 10 раздела 5) X5 = 7, X6 = 1 или 4 или 5, то гр. 2 0, гр. 28 = 0.

25. Стр. "Итого", гр. 11, 12 = сумма показателей предыдущих строк раздела 5, гр. 11, 12.

26. Если второй разряд кода ценной бумаги (гр. 10 раздела 5) X2 = 1, то в графе 2 количество цифр = 10 цифрам.

27. Если второй разряд кода ценной бумаги (гр. 10 раздела 5) X2 = 2, то в графе 2 количество цифр = 6 цифрам.

28. В гр. 9, 31 количество цифр = 10 цифрам.

29. Если в графе 13 условие платежа "по предъявлении", то гр. 14 = 0.

30. Если в графе 13 условие платежа "на определенную дату", "по предъявлении, но не ранее определенной даты", "по предъявлении, но не позднее определенной даты", то в графе 14 указывается конкретная дата платежа в формате ДД.ММ.ГГГГ.

31. Если в графе 13 условие платежа "по предъявлении, но не ранее определенной даты и не позднее определенной даты", то в графе 14 указываются через пробел две даты в формате ДД.ММ.ГГГГ.

32. Если в графе 13 условие платежа "через определенное количество дней с даты выпуска", то в графе 14 указывается количество дней целым числом и через пробел указывается дата составления (выпуска) указывается в формате ДД.ММ.ГГГГ.

33. Если в графе 13 указано условие платежа "иное", то гр. 14 = 0, а в пояснительную записку необходимо перенести из графы 1 порядковый номер строки, из векселя - указанное в нем полное условие платежа (в том числе даты, количество дней и т.п.).

34. Если в графе 13 указано условие платежа "через определенное количество дней с даты выпуска", то дата платежа в графе 14 = дате составления (выпуска) векселя в графе 8.

35. В графе 15 указываются трехзначный цифровой код валюты, в которой выражена вексельная сумма, согласно Общероссийскому классификатору валют (ОКВ).

36. В графе 17 дата принятия к учету указывается в формате ДД.ММ.ГГГГ.

37. Дата в гр. 17 даты в гр. 8.

38. В графе 18 указывается дата правоустанавливающего документа в формате ДД.ММ.ГГГГ.

39. Если в графе 21 отражен регистрационный номер страховой организации, которая является контрагентом по сделке, то в графе 21 количество цифр = от 1 до 4 цифр, иначе дать разъяснение в пояснительной записке.

40. Если в графе 21 отражен ИНН контрагента по сделке, который является организацией-резидентом иной, чем страховая организация, то в графе 21 количество цифр = 10 цифрам.

41. Если в графе 21 отражен ИНН контрагента по сделке, который является физическим лицом - резидентом, то в графе 21 количество цифр = 12 цифрам.

42. Если в графе 21 отражен код нерезидента, который является контрагентом по сделке, то в графе 21 количество цифр = 6 цифрам.

43. Если в графе 23 фактическим местом нахождения векселя указана страховая организация (например, "в страховой организации", "под отчетом у работника страховой организации", "в филиале страховой организации", "у работника филиала страховой организации"), то гр. 24, 25, 26, 27 = 0.

44. Если в графе 23 указано, что вексель находится вне страховой организации (кроме случая "под отчетом у работника страховой организации"), то гр. 24, 25, 26, 27 0.

45. Если в графе 24 отражен регистрационный номер другой страховой организации, то в графе 24 количество цифр = от 1 до 4 цифр, иначе дать разъяснение в пояснительной записке.

46. Если в графе 24 отражен ИНН организации-резидента, у которой находится вексель (кроме страховой организации), то в графе 24 количество цифр = 10 цифрам.

47. Если в графе 24 отражен код нерезидента, у которого находится вексель, то в графе 24 количество цифр = 6 цифрам.

48. В графе 25 указывается дата составления документа, который послужил основанием для нахождения векселя в другой организации, в формате ДД.ММ.ГГГГ.

49. Если второй разряд кода ценной бумаги (гр. 32 раздела 5) X2 = 1, то в графе 28 количество цифр = 10 цифрам.

50. Если второй разряд кода ценной бумаги (гр. 32 раздела 5) X2 = 2, то в графе 28 количество цифр = 6 цифрам.

51. Стр. 1, гр. 1 = 1.

52. По каждой строке, кроме строки 1, значение графы 1 = значению графы 1 предыдущей строки + 1.

53. Если второй разряд кода ценной бумаги (гр. 10 раздела 5) X2 = 2, то первый разряд кода нерезидента (гр. 2 раздела 5) X1 = трем цифрам и должен присутствовать в Общероссийском классификаторе стран мира (ОКСМ).

54. Если второй разряд кода ценной бумаги (гр. 32 раздела 5) X2 = 2, то первый разряд кода нерезидента (гр. 28 раздела 5) X1 = трем цифрам и должен присутствовать в Общероссийском классификаторе стран мира (ОКСМ).

55. Если в графе 21 отражен код нерезидента, который является контрагентом по сделке, то первый разряд кода нерезидента (гр. 21 раздела 5) X1 = трем цифрам и должен присутствовать в Общероссийском классификаторе стран мира (ОКСМ).

56. Если в графе 24 отражен код нерезидента, у которого находится вексель, то первый разряд кода нерезидента (гр. 24 раздела 5) X1 = трем цифрам и должен присутствовать в Общероссийском классификаторе стран мира (ОКСМ).

57. Если гр. 11 0, четвертый разряд кода ценной бумаги (гр. 10 раздела 5) X4 = 1, то в подразделе 1.2 формы N 12-страховщик в графе 1 должен присутствовать показатель графы 2 раздела 5 формы N 7-страховщик и графа 5 0.

58. Если гр. 12 0, четвертый разряд кода ценной бумаги (гр. 10 раздела 5) X4 = 1, то в подразделе 1.2 формы N 12-страховщик в графе 1 должен присутствовать показатель графы 2 раздела 5 формы N 7-страховщик и графа 7 0.

59. Если гр. 11 0, четвертый разряд кода ценной бумаги (гр. 10 раздела 5) X4 = 2, то в подразделе 2.2 формы N 12-страховщик в графе 1 должен присутствовать показатель графы 2 раздела 5 формы N 7-страховщик и графа 5 0.

60. Если гр. 12 0, четвертый разряд кода ценной бумаги (гр. 10 раздела 5) X4 = 2, то в подразделе 2.2 формы N 12-страховщик в графе 1 должен присутствовать показатель графы 2 раздела 5 формы N 7-страховщик и графа 7 0.

61. Дата в гр. 18 даты в гр. 8.

62. Дата в гр. 17 даты в гр. 18.

63. Дата в гр. 8, 17, 18 отчетная дата (31.12.2011).

64. Если гр. 22 0, то в графе 21 количество цифр = от 1 до 4, или 6, или 10, или 12, иначе дать разъяснение в пояснительной записке.

65. В графе 24 количество цифр = 0, или от 1 до 4, или 6, или 10, или 12.

Подраздел 5.1 "Векселя организаций, в том числе банков, у векселедателя и акцептанта которых возникли обстоятельства, не зависящие от действий страховщика, повлекшие нарушения, устраняемые в соответствии с пунктом 14 Правил размещения страховщиками средств страховых резервов"

1. Если в разделе 5 пятнадцатый разряд кода ценной бумаги (гр. 10 раздела 5) X15 = 2, то показатели граф 2, 3, 4 раздела 5 должны присутствовать в графах 1, 2, 3 подраздела 5.1.

2. Если в подразделе 5.1 третий разряд кода ценной бумаги, присвоенного до возникновения обстоятельств (гр. 6 подраздела 5.1) X3 = 1, то срок от даты, предшествующей возникновению обстоятельств, повлекших нарушения (гр. 4 подраздела 5.1), до отчетной даты 91 день.

3. Если в подразделе 5.1 третий разряд кода ценной бумаги, присвоенного после возникновения обстоятельств (гр. 6 подраздела 5.1), X3 = 2, то срок от даты возникновения того обстоятельства, которое возникло раньше других обстоятельств, повлекших нарушения (гр. 4 подраздела 5.1), до отчетной даты 90 дней.

4. В подразделе 5.1 по каждому активу, имеющему одинаковое значение гр. 1, 2, 3, дата, предшествующая возникновению обстоятельств, повлекших нарушения (гр. 4 подраздела 5.1), отраженная по строке, где третий разряд кода ценной бумаги, присвоенного до возникновения обстоятельств (гр. 6 подраздела 5.1), X3 = 1, < даты возникновения того обстоятельства, которое возникло раньше других обстоятельств, повлекших нарушения (гр. 4 подраздела 5.1), отраженной по строке, где третий разряд кода ценной бумаги, присвоенного после возникновения обстоятельств (гр. 6 подраздела 5.1), X3 = 2.

5. В подразделе 5.1 по каждому активу, имеющему одинаковое значение гр. 1, 2, 3, первый разряд кода ценной бумаги, присвоенного до возникновения обстоятельств (гр. 6 подраздела 5.1), X1, отраженного по строке, где указана дата, предшествующая возникновению обстоятельств, повлекших нарушения (гр. 4 подраздела 5.1), = первому разряду кода ценной бумаги, присвоенного после возникновения обстоятельств (гр. 6 подраздела 5.1), X1, отраженного по строке, где указана дата возникновения того обстоятельства, которое возникло позже других обстоятельств, повлекших нарушения (гр. 4 подраздела 5.1).

6. Если в разделе 5 пятнадцатый разряд кода ценной бумаги (гр. 32 раздела 5) X15 = 2, то показатели граф 28, 29, 30 раздела 5 должны присутствовать в графах 7, 8, 9 подраздела 5.1.

7. Если в подразделе 5.1 третий разряд кода ценной бумаги, присвоенного до возникновения обстоятельств (гр. 12 подраздела 5.1), X3 = 1, то срок от даты, предшествующей возникновению обстоятельств, повлекших нарушения (гр. 10 подраздела 5.1), до отчетной даты 91 день.

8. Если в подразделе 5.1 третий разряд кода ценной бумаги, присвоенного после возникновения обстоятельств (гр. 12 подраздела 5.1) X3 = 2, то срок от даты возникновения того обстоятельства, которое возникло раньше других обстоятельств, повлекших нарушения (гр. 10 подраздела 5.1), до отчетной даты 90 дней.

9. В подразделе 5.1 по каждому активу, имеющему одинаковое значение гр. 7, 8, 9, дата, предшествующая возникновению обстоятельств, повлекших нарушения (гр. 10 подраздела 5.1), отраженная по строке, где третий разряд кода ценной бумаги, присвоенного до возникновения обстоятельств (гр. 12 подраздела 5.1), X3 = 1, < даты возникновения того обстоятельства, которое возникло раньше других обстоятельств, повлекших нарушения (гр. 10 подраздела 5.1), отраженной по строке, где третий разряд кода ценной бумаги, присвоенного после возникновения обстоятельств (гр. 12 подраздела 5.1), X3 = 2.

10. В подразделе 5.1 по каждому активу, имеющему одинаковое значение гр. 7, 8, 9, первый разряд кода ценной бумаги, присвоенного до возникновения обстоятельств (гр. 12 подраздела 5.1), X1, отраженного по строке, где указана дата, предшествующая возникновению обстоятельств, повлекших нарушения (гр. 10 подраздела 5.1), = первому разряду кода ценной бумаги, присвоенного после возникновения обстоятельств (гр. 12 подраздела 5.1), X1, отраженного по строке, где указана дата возникновения того обстоятельства, которое возникло позже других обстоятельств, повлекших нарушения (гр. 10 подраздела 5.1).

Раздел 6 "Акции"

1. Гр. 9, 11 по строке "Всего по разделу 6" = сумма показателей по стр. "Итого", гр. 9, 11 подразделов 6.1 и 6.2.

Подраздел 6.1 "Акции, кроме акций, отраженных в подразделе 6.2"

1. Если второй, одиннадцатый разряды кода ценной бумаги (гр. 7 подраздела 6.1) X2 = 1 или 3, X11 = 01, то гр. 4 = 0, гр. 5, 6 0.

2. Если второй и одиннадцатый разряды кода ценной бумаги (гр. 7 подраздела 6.1) X2 = 1, X11 = 02, или 03, или 04, то гр. 4, 5 0, гр. 6 = 0.

3. Если второй и одиннадцатый разряды кода ценной бумаги (гр. 7 подраздела 6.1) X2 = 2, X11 = 02, или 03, или 04, то гр. 4 0, гр. 5, 6 = 0.

4. Если одиннадцатый разряд кода ценной бумаги (гр. 7 подраздела 6.1) X11 = 07 или 08 или 10, то гр. 4 = 0, гр. 5, 6 0.

5. Если гр. 9 или гр. 11 0, то гр. 1, 2, 3, 7 0.

6. Если гр. 9 0 и одиннадцатый разряд кода ценной бумаги (гр. 7 подраздела 6.1) X11 = 01, то в форме N 5-страховщик, стр. (351 + 361), гр. (3 + 5) 0.

7. Если гр. 11 0 и одиннадцатый разряд кода ценной бумаги (гр. 7 подраздела 6.1) X11 = 01, то в форме N 5-страховщик, стр. (351 + 361), гр. (4 + 6) 0.

8. Стр. "Итого", гр. 9, 11 = сумма показателей предыдущих строк подраздела 6.1, гр. 9, 11.

9. Стр. 1, гр. 1 = 1.

10. По каждой строке, кроме строки 1, значение графы 1 = значению графы 1 предыдущей строки + 1.

11. Если гр. 9 0, четвертый разряд кода ценной бумаги (гр. 7 подраздела 6.1) X4 = 1, то в подразделе 1.2 формы N 12-страховщик в графе 1 должен присутствовать показатель графы 2 подраздела 6.1 формы N 7-страховщик и графа 5 0.

12. Если гр. 11 0, четвертый разряд кода ценной бумаги (гр. 7 подраздела 6.1) X4 = 1, то в подразделе 1.2 формы N 12-страховщик в графе 1 должен присутствовать показатель графы 2 подраздела 6.1 формы N 7-страховщик и графа 7 0.

13. Если гр. 9 0, четвертый разряд кода ценной бумаги (гр. 7 подраздела 6.1) X4 = 2, то в подразделе 2.2 формы N 12-страховщик в графе 1 должен присутствовать показатель графы 2 подраздела 6.1 формы N 7-страховщик и графа 5 0.

14. Если гр. 11 0, четвертый разряд кода ценной бумаги (гр. 7 подраздела 6.1) X4 = 2, то в подразделе 2.2 формы N 12-страховщик в графе 1 должен присутствовать показатель графы 2 подраздела 6.1 формы N 7-страховщик и графа 7 0.

15. Если второй разряд кода ценной бумаги (гр. 7 подраздела 6.1) X2 = 1 или 3, то в графе 2 количество цифр = 10 цифрам.

16. Если второй разряд кода ценной бумаги (гр. 7 подраздела 6.1) X2 = 2, то в графе 2 количество цифр = 6 цифрам.

17. В графе 6 количество цифр = 10 цифрам.

18. Гр. 8, 10 целые числа или с точностью до четвертого знака после десятичной точки.

19. Если гр. 9 0, то гр. 8 0.

20. Если гр. 11 0, то гр. 10 0.

21. Если второй разряд кода ценной бумаги (гр. 7 подраздела 6.1) X2 = 2, то первый разряд кода нерезидента (гр. 2 подраздела 6.1) X1 = трем цифрам и должен присутствовать в Общероссийском классификаторе стран мира (ОКСМ).

Подраздел 6.2 "Акции в доверительном управлении управляющей компании"

1. Если второй и одиннадцатый разряды кода ценной бумаги (гр. 7 подраздела 6.2) X2 = 1 или 3, X11 = 01, то гр. 4 = 0, гр. 5, 6 0.

2. Если второй и одиннадцатый разряды кода ценной бумаги (гр. 7 подраздела 6.2) X2 = 1, X11 = 02, или 03, или 04, то гр. 4, 5 0, гр. 6 = 0.

3. Если второй и одиннадцатый разряды кода ценной бумаги (гр. 7 подраздела 6.2) X2 = 2, X11 = 02, или 03, или 04, то гр. 4 0, гр. 5, 6 = 0.

4. Если одиннадцатый разряд кода ценной бумаги (гр. 7 подраздела 6.2) X11 = 07, или 08, или 10, то гр. 4 = 0, гр. 5, 6 0.

5. Если гр. 9 или гр. 11 0, то гр. 1, 2, 3, 7 0.

6. Если гр. 9 0 и одиннадцатый разряд кода ценной бумаги (гр. 7 подраздела 6.2) X11 = 01, то в форме N 5-страховщик, стр. (351 + 361), гр. (3 + 5) 0.

7. Если гр. 11 0 и одиннадцатый разряд кода ценной бумаги (гр. 7 подраздела 6.2) X11 = 01, то в форме N 5-страховщик, стр. (351 + 361), гр. (4 + 6) 0.

8. Стр. "Итого", гр. 9, 11 = сумма показателей предыдущих строк подраздела 6.2, гр. 9, 11.

9. Стр. 1, гр. 1 = 1.

10. По каждой строке, кроме строки 1, значение графы 1 = значению графы 1 предыдущей строки + 1.

11. Если гр. 9 0, четвертый разряд кода ценной бумаги (гр. 7 подраздела 6.2) X4 = 1, то в подразделе 1.2 формы N 12-страховщик в графе 1 должен присутствовать показатель графы 2 подраздела 6.2 формы N 7-страховщик и графа 5 0.

12. Если гр. 11 0, четвертый разряд кода ценной бумаги (гр. 7 подраздела 6.2) X4 = 1, то в подразделе 1.2 формы N 12-страховщик в графе 1 должен присутствовать показатель графы 2 подраздела 6.2 формы N 7-страховщик и графа 7 0.

13. Если гр. 9 0, четвертый разряд кода ценной бумаги (гр. 7 подраздела 6.2) X4 = 2, то в подразделе 2.2 формы N 12-страховщик в графе 1 должен присутствовать показатель графы 2 подраздела 6.2 формы N 7-страховщик и графа 5 0.

14. Если гр. 11 0, четвертый разряд кода ценной бумаги (гр. 7 подраздела 6.2) X4 = 2, то в подразделе 2.2 формы N 12-страховщик в графе 1 должен присутствовать показатель графы 2 подраздела 6.2 формы N 7-страховщик и графа 7 0.

15. Если четвертый разряд кода управляющей компании (графа "Код управляющей компании" подраздела 6.2) X4 = 1, то показатель графы "ИНН управляющей компании" подраздела 6.2 формы N 7-страховщик должен присутствовать в графе 1 подраздела 1.2 формы N 12-страховщик.

16. Если четвертый разряд кода управляющей компании (графа "Код управляющей компании" подраздела 6.2) X4 = 2, то показатель графы "ИНН управляющей компании" подраздела 6.2 формы N 7-страховщик должен присутствовать в графе 1 подраздела 2.2 формы N 12-страховщик.

17. Если второй разряд кода ценной бумаги (гр. 7 подраздела 6.2) X2 = 1 или 3, то в графе 2 количество цифр = 10 цифрам.

18. Если второй разряд кода ценной бумаги (гр. 7 подраздела 6.2) X2 = 2, то в графе 2 количество цифр = 6 цифрам.

19. В графе 6 количество цифр = 10 цифрам.

20. В графе "ИНН управляющей компании" и "ИНН российского рейтингового агентства" количество цифр = 10 цифрам.

21. Гр. 8, 10 целые числа или с точностью до четвертого знака после десятичной точки.

22. Если гр. 9 0, то гр. 8 0.

23. Если гр. 11 0, то гр. 10 0.

24. Если второй разряд кода ценной бумаги (гр. 7 подраздела 6.2) X2 = 2, то первый разряд кода нерезидента (гр. 2 подраздела 6.2) X1 = трем цифрам и должен присутствовать в Общероссийском классификаторе стран мира (ОКСМ).

Подраздел 6.1.1 "Акции, кроме акций, отраженных в подразделе 6.2, у эмитента которых возникли обстоятельства, не зависящие от действий страховщика, повлекшие нарушения, устраняемые в соответствии с пунктом 14 Правил размещения страховщиками средств страховых резервов"

1. Если в подразделе 6.1 двенадцатый, пятнадцатый разряды кода ценной бумаги (гр. 7 подраздела 6.1) X12 007, или 040, или 070, или 100, или 220, или 260, или 990, X15 = 2, то показатели граф 2, 3, 4, 5 подраздела 6.1 должны присутствовать в графах 1, 2, 3, 4 подраздела 6.1.1.

2. Если в разделе 1 стр. 190, гр. 3, 5 < стр. 010, гр. 3, 5 в подразделе 6.1 двенадцатый, пятнадцатый разряды кода ценной бумаги (гр. 7 подраздела 6.1) X12 = 007, или 040, или 070, или 100, или 220, или 260, или 990, X15 = 2, то показатели граф 2, 3, 4, 5 подраздела 6.1 должны присутствовать в графах 1, 2, 3, 4 подраздела 6.1.1.

3. Если в разделе 1 стр. 190, гр. 3, 5 стр. 010, гр. 3, 5 в подразделе 6.1 двенадцатый, пятнадцатый разряды кода ценной бумаги (гр. 7 подраздела 6.1) X12 = 007, или 040, или 070, или 100, или 220, или 260, или 990, X15 = 2, то показатели граф 2, 3, 4, 5 подраздела 6.1 не должны присутствовать в графах 1, 2, 3, 4 подраздела 6.1.1.

4. Если в подразделе 6.1.1 третий разряд кода ценной бумаги, присвоенного до возникновения обстоятельств (гр. 7 подраздела 6.1.1), X3 = 1, то срок от даты, предшествующей возникновению обстоятельств, повлекших нарушение (гр. 5 подраздела 6.1.1), до отчетной даты 91 день.

5. Если в подразделе 6.1.1 третий разряд кода ценной бумаги, присвоенного после возникновения обстоятельств (гр. 7 подраздела 6.1.1), X3 = 2, то срок от даты возникновения того обстоятельства, которое возникло раньше других обстоятельств, повлекших нарушения (гр. 5 подраздела 6.1.1), до отчетной даты 90 дней.

6. В подразделе 6.1.1 по каждому активу, имеющему одинаковое значение гр. 1, 2, 3, 4, дата, предшествующая возникновению обстоятельств, повлекших нарушения (гр. 5 подраздела 6.1.1), отраженная по строке, где третий разряд кода ценной бумаги, присвоенного до возникновения обстоятельств (гр. 7 подраздела 6.1.1), X3 = 1, < даты возникновения того обстоятельства, которое возникло раньше других обстоятельств, повлекших нарушения (гр. 5 подраздела 6.1.1), отраженной по строке, где третий разряд кода ценной бумаги, присвоенного после возникновения обстоятельств (гр. 7 подраздела 6.1.1), X3 = 2.

7. В подразделе 6.1.1 по каждому активу, имеющему одинаковое значение гр. 1, 2, 3, 4, первый разряд кода ценной бумаги, присвоенного до возникновения обстоятельств (гр. 7 подраздела 6.1.1), X1, отраженного по строке, где указана дата, предшествующая возникновению обстоятельств, повлекших нарушения (гр. 5 подраздела 6.1.1), = первому разряду кода ценной бумаги, присвоенного после возникновения обстоятельств (гр. 7 подраздела 6.1.1), X1, отраженного по строке, где указана дата возникновения того обстоятельства, которое возникло позже других обстоятельств, повлекших нарушения (гр. 5 подраздела 6.1.1).

Подраздел 6.2.1 "Акции в доверительном управлении управляющей компании, у эмитента которых возникли обстоятельства, не зависящие от действий страховщика, повлекшие нарушения, устраняемые в соответствии с пунктом 14 Правил размещения страховщиками средств страховых резервов"

1. Если в подразделе 6.2 двенадцатый, пятнадцатый разряды кода ценной бумаги (гр. 7 подраздела 6.2) X12 007, или 040, или 070, или 100, или 220, или 260, или 990, X15 = 2, то показатели граф 2, 3, 4, 5 раздела 6.2 должны присутствовать в графах 1, 2, 3, 4 подраздела 6.2.1.

2. Если в разделе 1 стр. 190, гр. 3, 5 < стр. 010, гр. 3, 5 в подразделе 6.2 двенадцатый, пятнадцатый разряды кода ценной бумаги (гр. 7 подраздела 6.2) X12 = 007, или 040, или 070, или 100, или 220, или 260, или 990, X15 = 2, то показатели граф 2, 3, 4, 5 подраздела 6.2 должны присутствовать в графах 1, 2, 3, 4 подраздела 6.2.1.

3. Если в разделе 1 стр. 190, гр. 3, 5 стр. 010, гр. 3, 5 в подразделе 6.2 двенадцатый, пятнадцатый разряды кода ценной бумаги (гр. 7 подраздела 6.2) X12 = 007, или 040, или 070, или 100, или 220, или 260, или 990, X15 = 2, то показатели граф 2, 3, 4, 5 подраздела 6.2 не должны присутствовать в графах 1, 2, 3, 4 подраздела 6.2.1.

4. Если в подразделе 6.2.1 третий разряд кода ценной бумаги, присвоенного до возникновения обстоятельств (гр. 7 подраздела 6.2.1), X3 = 1, то срок от даты, предшествующей возникновению обстоятельств, повлекших нарушения (гр. 5 подраздела 6.2.1), до отчетной даты 91 день.

5. Если в подразделе 6.2.1 третий разряд кода ценной бумаги, присвоенного после возникновения обстоятельств (гр. 7 подраздела 6.2.1), X3 = 2, то срок от даты возникновения того обстоятельства, которое возникло раньше других обстоятельств, повлекших нарушения (гр. 5 подраздела 6.2.1), до отчетной даты 90 дней.

6. В подразделе 6.2.1 по каждому активу, имеющему одинаковое значение гр. 1, 2, 3, 4, дата, предшествующая возникновению обстоятельств, повлекших нарушения (гр. 5 подраздела 6.2.1), отраженная по строке, где третий разряд кода ценной бумаги, присвоенного до возникновения обстоятельств (гр. 7 подраздела 6.2.1), X3 = 1, < даты возникновения того обстоятельства, которое возникло раньше других обстоятельств, повлекших нарушения (гр. 5 подраздела 6.2.1), отраженной по строке, где третий разряд кода ценной бумаги, присвоенного после возникновения обстоятельств (гр. 7 подраздела 6.2.1), X3 = 2.

7. В подразделе 6.2.1 по каждому активу, имеющему одинаковое значение гр. 1, 2, 3, 4, первый разряд кода ценной бумаги, присвоенного до возникновения обстоятельств (гр. 7 подраздела 6.2.1), X1, отраженного по строке, где указана дата, предшествующая возникновению обстоятельств, повлекших нарушения (гр. 5 подраздела 6.2.1), = первому разряду кода ценной бумаги, присвоенного после возникновения обстоятельств (гр. 7 подраздела 6.2.1), X1, отраженного по строке, где указана дата возникновения того обстоятельства, которое возникло позже других обстоятельств, повлекших нарушения (гр. 5 подраздела 6.2.1).

Раздел 7 "Ипотечные сертификаты участия"

1. Если гр. 6 или гр. 8 0, то гр. 1, 2, 3, 4 0.

2. Стр. "Итого", гр. 6, 8 = сумма показателей предыдущих строк раздела 7, гр. 6, 8.

3. Стр. 1, гр. 1 = 1.

4. По каждой строке, кроме строки 1, значение графы 1 = значению графы 1 предыдущей строки + 1.

5. Если гр. 6 0, четвертый разряд кода ценной бумаги (гр. 4 раздела 7) X4 = 1, то в подразделе 1.2 формы N 12-страховщик в графе 1 должен присутствовать показатель графы 2 раздела 7 формы N 7-страховщик и графа 5 0.

6. Если гр. 8 0, четвертый разряд кода ценной бумаги (гр. 4 раздела 7) X4 = 1, то в подразделе 1.2 формы N 12-страховщик в графе 1 должен присутствовать показатель графы 2 раздела 7 формы N 7-страховщик и графа 7 0.

7. Если гр. 6 0, четвертый разряд кода ценной бумаги (гр. 4 раздела 7) X4 = 2, то в подразделе 2.2 формы N 12-страховщик в графе 1 должен присутствовать показатель графы 2 раздела 7 формы N 7-страховщик и графа 5 0.

8. Если гр. 8 0, четвертый разряд кода ценной бумаги (гр. 4 раздела 7) X4 = 2, то в подразделе 2.2 формы N 12-страховщик в графе 1 должен присутствовать показатель графы 2 раздела 7 формы N 7-страховщик и графа 7 0.

9. В графе 2 количество цифр = 10 цифрам.

10. Гр. 5, 7 целые числа или с точностью до четвертого знака после десятичной точки.

11. Если гр. 6 0, то гр. 5 0.

12. Если гр. 8 0, то гр. 7 0.

7.1 "Ипотечные сертификаты участия, у управляющего ипотечным покрытием которых возникли обстоятельства, не зависящие от действий страховщика, повлекшие нарушения, устраняемые в соответствии с пунктом 14 Правил размещения страховщиками средств страховых резервов"

1. Если в разделе 7 пятнадцатый разряд кода ценной бумаги (гр. 4 раздела 7) X15 = 2, то показатели граф 2, 3 раздела 7 должны присутствовать в графах 1, 2 подраздела 7.1.

2. Если в подразделе 7.1 третий разряд кода ценной бумаги, присвоенного до возникновения обстоятельств, повлекших нарушения (гр. 5 подраздела 7.1), X3 = 1, то срок от даты, предшествующей возникновению обстоятельств, повлекших нарушения (гр. 3 подраздела 7.1), до отчетной даты 91 день.

3. Если в подразделе 7.1 третий разряд кода ценной бумаги, присвоенного после возникновения обстоятельств, повлекших нарушения (гр. 5 подраздела 7.1), X3 = 2, то срок от даты возникновения того обстоятельства, которое возникло раньше других обстоятельств, повлекших нарушения (гр. 3 подраздела 7.1), до отчетной даты 90 дней.

4. В подразделе 7.1 по каждому активу, имеющему одинаковое значение гр. 2, 3, дата, предшествующая возникновению обстоятельств, повлекших нарушения (гр. 3 подраздела 7.1), отраженная по строке, где третий разряд кода ценной бумаги, присвоенного до возникновения обстоятельств (гр. 5 подраздела 7.1), X3 = 1, < даты возникновения того обстоятельства, которое возникло раньше других обстоятельств, повлекших нарушения (гр. 3 подраздела 7.1), отраженной по строке, где третий разряд кода ценной бумаги, присвоенного после возникновения обстоятельств (гр. 5 подраздела 7.1), X3 = 2.

5. В подразделе 7.1 по каждому активу, имеющему одинаковое значение гр. 2, 3, первый разряд кода ценной бумаги, присвоенного до возникновения обстоятельств, (гр. 5 подраздела 7.1) X1, отраженного по строке, где указана дата, предшествующая возникновению обстоятельств, повлекших нарушения (гр. 3 подраздела 7.1), = первому разряду кода ценной бумаги, присвоенного после возникновения обстоятельств (гр. 5 подраздела 7.1), X1, отраженного по строке, где указана дата возникновения того обстоятельства, которое возникло позже других обстоятельств, повлекших нарушения (гр. 3 подраздела 7.1).

Раздел 8 "Инвестиционные паи паевых инвестиционных фондов"

1. Если гр. 7 или гр. 9 0, то гр. 1, 2, 3, 4, 5 0.

2. Стр. "Итого", гр. 7, 9 = сумма показателей предыдущих строк раздела 8, гр. 7, 9.

3. Стр. 1, гр. 1 = 1.

4. По каждой строке, кроме строки 1, значение графы 1 = значению графы 1 предыдущей строки + 1.

5. Если гр. 7 0 и одиннадцатый разряд кода ценной бумаги (гр. 5 раздела 8) X11 = 01, то в форме N 5-страховщик, стр. 377, гр. (3 + 5) 0.

6. Если гр. 9 0 и одиннадцатый разряд кода ценной бумаги (гр. 5 раздела 8) X11 = 01, то в форме N 5-страховщик, стр. 377, гр. (4 + 6) 0.

7. Если гр. 7 0, четвертый разряд кода ценной бумаги (гр. 5 раздела 8) X4 = 1, то в подразделе 1.2 формы N 12-страховщик в графе 1 должен присутствовать показатель графы 2 раздела 8 формы N 7-страховщик и графа 5 0.

8. Если гр. 9 0, четвертый разряд кода ценной бумаги (гр. 5 раздела 8) X4 = 1, то в подразделе 1.2 формы N 12-страховщик в графе 1 должен присутствовать показатель графы 2 раздела 8 формы N 7-страховщик и графа 7 0.

9. Если гр. 7 0, четвертый разряд кода ценной бумаги (гр. 5 раздела 8) X4 = 2, то в подразделе 2.2 формы N 12-страховщик в графе 1 должен присутствовать показатель графы 2 раздела 8 формы N 7-страховщик и графа 5 0.

10. Если гр. 9 0, четвертый разряд кода ценной бумаги (гр. 5 раздела 8) X4 = 2, то в подразделе 2.2 формы N 12-страховщик в графе 1 должен присутствовать показатель графы 2 раздела 8 формы N 7-страховщик и графа 7 0.

11. В графе 2 количество цифр = 10 цифрам.

12. Гр. 6, 8 целые числа или с точностью до четвертого знака после десятичной точки.

13. Если гр. 7 0, то гр. 6 0.

14. Если гр. 9 0, то гр. 8 0.

Подраздел 8.1 "Инвестиционные паи паевых инвестиционных фондов, у управляющей компании паевым инвестиционным фондом которых возникли обстоятельства, не зависящие от действий страховщика, повлекшие нарушения, устраняемые в соответствии с пунктом 14 Правил размещения страховщиками средств страховых резервов"

1. Если в разделе 8 пятнадцатый разряд кода ценной бумаги (гр. 5 раздела 8) X15 = 2, то показатели граф 2, 3, 4 раздела 8 должны присутствовать в графах 1, 2, 3 подраздела 8.1.

2. Если в подразделе 8.1 третий разряд кода ценной бумаги, присвоенного до возникновения обстоятельств, повлекших нарушения (гр. 6 подраздела 8.1), X3 = 1, то срок от даты, предшествующей возникновению обстоятельств, повлекших нарушения (гр. 4 подраздела 8.1), до отчетной даты 91 день.

3. Если в подразделе 8.1 третий разряд кода ценной бумаги, присвоенного после возникновения обстоятельств, повлекших нарушения (гр. 6 подраздела 8.1), X3 = 2, то срок от даты возникновения того обстоятельства, которое возникло раньше других обстоятельств, повлекших нарушения (гр. 4 подраздела 8.1), до отчетной даты 90 дней.

4. В подразделе 8.1 по каждому активу, имеющему одинаковое значение гр. 1, 2, 3, дата, предшествующая возникновению обстоятельств, повлекших нарушения (гр. 4 подраздела 8.1), отраженная по строке, где третий разряд кода ценной бумаги, присвоенного до возникновения обстоятельств (гр. 6 подраздела 8.1), X3 = 1, < даты возникновения того обстоятельства, которое возникло раньше других обстоятельств, повлекших нарушения (гр. 4 подраздела 8.1), отраженной по строке, где третий разряд кода ценной бумаги, присвоенного после возникновения обстоятельств (гр. 6 подраздела 8.1), X3 = 2.

5. В подразделе 8.1 по каждому активу, имеющему одинаковое значение гр. 1, 2, 3, первый разряд кода ценной бумаги, присвоенного до возникновения обстоятельств (гр. 6 подраздела 8.1), X1, отраженного по строке, где указана дата предшествующая возникновению обстоятельств, повлекших нарушения (гр. 4 подраздела 8.1), = первому разряду кода ценной бумаги, присвоенного после возникновения обстоятельств (гр. 6 подраздела 8.1), X1, отраженного по строке, где указана дата возникновения того обстоятельства, которое возникло позже других обстоятельств, повлекших нарушения (гр. 4 подраздела 8.1).

Раздел 9 "Долевое участие в общих фондах банковского управления (ОФБУ)"

1. Если гр. 7 или гр. 8 0, то гр. 1, 2, 3, 4, 6 0.

2. Стр. "Итого", гр. 7, 8 = сумма показателей предыдущих строк раздела 9, гр. 7, 8.

3. Стр. 1, гр. 1 = 1.

4. По каждой строке, кроме строки 1, значение графы 1 = значению графы 1 предыдущей строки + 1.

5. Если гр. 7 0, четвертый разряд кода ценной бумаги (гр. 6 раздела 9) X4 = 1, то в подразделе 1.2 формы N 12-страховщик в графе 1 должен присутствовать показатель графы 2 раздела 9 формы N 7-страховщик и графа 5 0.

6. Если гр. 8 0, четвертый разряд кода ценной бумаги (гр. 6 раздела 9) X4 = 1, то в подразделе 1.2 формы N 12-страховщик в графе 1 должен присутствовать показатель графы 2 раздела 9 формы N 7-страховщик и графа 7 0.

7. Если гр. 7 0, четвертый разряд кода ценной бумаги (гр. 6 раздела 9) X4 = 2, то в подразделе 2.2 формы N 12-страховщик в графе 1 должен присутствовать показатель графы 2 раздела 9 формы N 7-страховщик и графа 5 0.

8. Если гр. 8 0, четвертый разряд кода ценной бумаги (гр. 6 раздела 9) X4 = 2, то в подразделе 2.2 формы N 12-страховщик в графе 1 должен присутствовать показатель графы 2 раздела 9 формы N 7-страховщик и графа 7 0.

9. В графе 2 количество цифр = 10 цифрам.

Раздел 10 "Недвижимое имущество"

1. Гр. 7, 8 по строке "Всего по разделу 10" = сумма показателей по стр. "Итого", гр. 7, 8 подразделов 10.1 и 10.2.

Подраздел 10.1 "Недвижимое имущество, кроме недвижимого имущества, отраженного в подразделе 10.2"

1. Если гр. 7 или гр. 8 0, то гр. 1, 3, 4, 5, 6 0.

2. Стр. "Итого", гр. 7, 8 = сумма показателей предыдущих строк подраздела 10.1, гр. 7, 8.

3. Стр. 1, гр. 1 = 1.

4. По каждой строке, кроме строки 1, значение графы 1 = значению графы 1 предыдущей строки + 1.

5. В графе 2 количество цифр = 10 или 12 цифрам.

6. Если второй разряд кода недвижимости (гр. 6 раздела 10) X2 = 2, то в графе 3 количество цифр = 6.

7. Если второй разряд кода недвижимого имущества (гр. 6 раздела 10) X2 = 2, то первый разряд кода одного объекта недвижимости (гр. 3 раздела 10) X1 = трем цифрам и должен присутствовать в Общероссийском классификаторе стран мира (ОКСМ).

Подраздел 10.2 "Недвижимое имущество в доверительном управлении доверительного управляющего"

1. Если гр. 7 или гр. 8 0, то гр. 1, 3, 4, 5, 6 0.

2. Стр. "Итого", гр. 7, 8 = сумма показателей предыдущих строк подраздела 10.2, гр. 7, 8.

3. Стр. 1, гр. 1 = 1.

4. По каждой строке, кроме строки 1, значение графы 1 = значению графы 1 предыдущей строки + 1.

5. Если четвертый разряд кода доверительного управляющего (графа "Код доверительного управляющего" подраздела 10.2) X4 = 1, то показатель графы "ИНН доверительного управляющего" подраздела 10.2 формы N 7-страховщик должен присутствовать в графе 1 подраздела 1.2 формы N 12-страховщик.

6. Если четвертый разряд кода доверительного управляющего (графа "Код доверительного управляющего" подраздела 10.2) X4 = 2, то показатель графы "ИНН доверительного управляющего" подраздела 10.2 формы N 7-страховщик должен присутствовать в графе 1 подраздела 2.2 формы N 12-страховщик.

7. В графе 2 количество цифр = 10 или 12 цифрам.

8. Если второй разряд кода недвижимости (гр. 6 раздела 10) X2 = 2, то в графе 3 количество цифр = 6.

9. Если второй разряд кода недвижимого имущества (гр. 6 раздела 10) X2 = 2, то первый разряд кода одного объекта недвижимости (гр. 3 раздела 10) X1 = трем цифрам и должен присутствовать в Общероссийском классификаторе стран мира (ОКСМ).

Раздел 11 "Банковские вклады (депозиты), в том числе удостоверенные депозитными сертификатами"

1. Если второй, третий, шестой разряды кода банковского вклада (гр. 6 раздела 11) X2 = 1, X3 = 1, X6 = 02 или 03 или 04, то гр. 3, 4 0, гр. 5 = 0.

2. Если второй, третий, шестой разряды кода банковского вклада (гр. 6 раздела 11) X2 = 2, X3 = 1, X6 = 02 или 03 или 04, то гр. 3 0, гр. 4, 5 = 0.

3. Если третий, шестой разряды кода банковского вклада (гр. 6 раздела 11) X3 = 1, X6 = 07 или 08 или 10, то гр. 3 = 0, гр. 4, 5 0.

4. Если второй, третий разряды кода банковского вклада (гр. 6 раздела 11) X2 = 1, X3 = 2, то гр. 3, 5 = 0, гр. 4 0.

5. Если второй, третий разряды кода банковского вклада (гр. 6 раздела 11) X2 = 2, X3 = 2, то гр. 4, 5 = 0, гр. 3 0.

6. Если гр. 7 или гр. 8 0, то гр. 1, 2, 6 0.

7. Стр. "Итого", гр. 7, 8 = сумма показателей предыдущих строк раздела 11, гр. 7, 8.

8. Стр. 1, гр. 1 = 1.

9. По каждой строке, кроме строки 1, значение графы 1 = значению графы 1 предыдущей строки + 1.

10. Если гр. 7 0, четвертый разряд кода банковского вклада (гр. 6 раздела 11) X4 = 1, то в подразделе 1.2 формы N 12-страховщик в графе 1 должен присутствовать показатель графы 2 раздела 11 формы N 7-страховщик и графа 5 0.

11. Если гр. 8 0, четвертый разряд кода банковского вклада (гр. 6 раздела 11) X4 = 1, то в подразделе 1.2 формы N 12-страховщик в графе 1 должен присутствовать показатель графы 2 раздела 11 формы N 7-страховщик и графа 7 0.

12. Если гр. 7 0, четвертый разряд кода банковского вклада (гр. 6 раздела 11) X4 = 2, то в подразделе 2.2 формы N 12-страховщик в графе 1 должен присутствовать показатель графы 2 раздела 11 формы N 7-страховщик и графа 5 0.

13. Если гр. 8 0, четвертый разряд кода банковского вклада (гр. 6 раздела 11) X4 = 2, то в подразделе 2.2 формы N 12-страховщик в графе 1 должен присутствовать показатель графы 2 раздела 11 формы N 7-страховщик и графа 7 0.

14. Если второй разряд кода банковского вклада (гр. 6 раздела 11) X2 = 1, то в графе 2 количество цифр = 10 цифрам.

15. Если второй разряд кода банковского вклада (гр. 6 раздела 11) X2 = 2, то в графе 2 количество цифр = 6 цифрам.

16. В графе 5 количество цифр = 10 цифрам.

17. Если второй разряд кода банковского вклада (гр. 6 раздела 11) X2 = 2, то первый разряд кода нерезидента (гр. 2 раздела 11) X1 = трем цифрам и должен присутствовать в Общероссийском классификаторе стран мира (ОКСМ).

Подраздел 11.1 "Банковские вклады (депозиты), в том числе удостоверенные депозитными сертификатами, у банка которых возникли обстоятельства, не зависящие от действий страховщика, повлекшие нарушения, устраняемые в соответствии с пунктом 14 Правил размещения страховщиками средств страховых резервов"

1. Если в разделе 11 десятый разряд кода банковского вклада (гр. 6 раздела 11) X10 = 2, то показатели граф 2, 3, 4 раздела 11 должны присутствовать в графах 1, 2, 3 подраздела 11.1.

2. Если в подразделе 11.1 третий разряд кода банковского вклада, присвоенного до возникновения обстоятельств, (гр. 6 подраздела 11.1) X3 = 1, то срок от даты, предшествующей возникновению обстоятельств, повлекших нарушения, (гр. 4 подраздела 11.1) до отчетной даты 91 день.

3. Если в подразделе 11.1 третий разряд кода банковского вклада, присвоенного после возникновения обстоятельств, (гр. 6 подраздела 11.1) X3 = 2, то срок от даты возникновения того обстоятельства, которое возникло раньше других обстоятельств, повлекших нарушения, (гр. 4 подраздела 11.1) до отчетной даты 90 дней.

4. В подразделе 11.1 по каждому активу, имеющему одинаковое значение гр. 1, 2, 3, дата, предшествующая возникновению обстоятельств, повлекших нарушения, (гр. 4 подраздела 11.1), отраженная по строке, где третий разряд кода банковского вклада, присвоенного до возникновения обстоятельств, (гр. 6 подраздела 11.1) X3 = 1, < даты возникновения того обстоятельства, которое возникло раньше других обстоятельств, повлекших нарушения, (гр. 4 подраздела 11.1), отраженной по строке, где третий разряд кода банковского вклада, присвоенного после возникновения обстоятельств, (гр. 6 подраздела 11.1) X3 = 2.

5. В подразделе 11.1 по каждому активу, имеющему одинаковое значение гр. 1, 2, 3, первый разряд кода банковского вклада, присвоенного до возникновения обстоятельств, (гр. 6 подраздела 11.1) X1, отраженного по строке, где указана дата, предшествующая возникновению обстоятельств, повлекших нарушения, (гр. 4 подраздела 11.1), = первому разряду кода банковского вклада, присвоенного после возникновения обстоятельств, (гр. 6 подраздела 11.1) X1, отраженного по строке, где указана дата возникновения того обстоятельства, которое возникло позже других обстоятельств, повлекших нарушения, (гр. 4 подраздела 11.1).

Раздел 12 "Доля перестраховщиков в страховых резервах"

1. Если второй, третий, шестой разряды кода доли перестраховщика (гр. 5 раздела 12) X2 = 1, X3 = 3, X6 = 02 или 03 или 04, то гр. 3, 4 0.

2. Если второй, третий, шестой разряды кода доли перестраховщика (гр. 5 раздела 12) X2 = 2, X3 = 3, X6 = 02 или 03 или 04, то гр. 3 0, гр. 4 = 0.

3. Если второй, третий разряды кода доли перестраховщика (гр. 5 раздела 12) X2 = 1, X3 = 4, то гр. 3 = 0, гр. 4 0.

4. Если гр. 6 или гр. 7 0, то гр. 1, 2, 5 0.

5. Сумма долей перестраховщиков в страховых резервах в разделе 12, гр. 6, 7, пятый разряд кода доли перестраховщика которых (гр. 5 раздела 12) X5 = 1 и 3 форма N 8-страховщик, раздел 2, стр. 070, гр. 4, 5.

6. Стр. "Итого", гр. 6, 7 = сумма показателей предыдущих строк раздела 12, гр. 6, 7.

7. Стр. 1, гр. 1 = 1.

8. По каждой строке, кроме строки 1, значение графы 1 = значению графы 1 предыдущей строки + 1.

9. Если гр. 6 0, четвертый разряд кода доли перестраховщика (гр. 5 раздела 12) X4 = 1, то в подразделе 1.1 формы N 12-страховщик в графе 2 должен присутствовать показатель графы 2 раздела 12 формы N 7-страховщик и графа 4 0.

10. Если гр. 7 0, четвертый разряд кода доли перестраховщика (гр. 5 раздела 12) X4 = 1, то в подразделе 1.1 формы N 12-страховщик в графе 2 должен присутствовать показатель графы 2 раздела 12 формы N 7-страховщик и графа 6 0.

11. Если гр. 6 0, четвертый разряд кода доли перестраховщика (гр. 5 раздела 12) X4 = 2, то в подразделе 2.1 формы N 12-страховщик в графе 2 должен присутствовать показатель графы 2 раздела 12 формы N 7-страховщик и графа 4 0.

12. Если гр. 7 0, четвертый разряд кода доли перестраховщика (гр. 5 раздела 12) X4 = 2, то в подразделе 2.1 формы N 12-страховщик в графе 2 должен присутствовать показатель графы 2 раздела 12 формы N 7-страховщик и графа 6 0.

13. Если второй, третий разряды кода доли перестраховщика (гр. 5 раздела 12) X2 = 1, X3 = 3 или 4, то в графе 2 количество цифр = от 1 до 4 цифр, иначе дать разъяснение в пояснительной записке.

14. Если второй, третий разряды кода доли перестраховщика (гр. 5 раздела 12) X2 = 2, X3 = 3, то в графе 2 количество цифр = 6 цифрам.

15. Если второй разряд кода доли перестраховщика (гр. 5 раздела 12) X2 = 2, то первый разряд кода нерезидента (гр. 2 раздела 12) X1 = трем цифрам и должен присутствовать в Общероссийском классификаторе стран мира (ОКСМ).

Подраздел 12.1 "Доля перестраховщиков в страховых резервах, у перестраховщика которых возникли обстоятельства, не зависящие от действий перестраховщика, повлекшие нарушения, устраняемые в соответствии с пунктом 14 Правил размещения страховщиками средств страховых резервов"

1. Если в разделе 12 десятый разряд кода доли перестраховщика (гр. 5 раздела 12) X10 = 2, то показатели граф 2, 3, 4 раздела 12 должны присутствовать в графах 1, 2, 3 подраздела 12.1.

2. Если в подразделе 12.1 третий разряд кода доли перестраховщика, присвоенного до возникновения обстоятельств, (гр. 6 подраздела 12.1) X3 = 1, то срок от даты, предшествующей возникновению обстоятельств, повлекших нарушения, (гр. 4 подраздела 12.1) до отчетной даты 91 день.

3. Если в подразделе 12.1 третий разряд кода доли перестраховщика, присвоенного после возникновения обстоятельств, (гр. 6 подраздела 12.1) X3 = 2, то срок от даты возникновения того обстоятельства, которое возникло раньше других обстоятельств, повлекших нарушения, (гр. 4 подраздела 12.1) до отчетной даты 90 дней.

4. В подразделе 12.1 по каждому активу, имеющему одинаковое значение гр. 1, 2, 3, дата, предшествующая возникновению обстоятельств, повлекших нарушения, (гр. 4 подраздела 12.1), отраженная по строке, где третий разряд кода доли перестраховщика, присвоенного до возникновения обстоятельств, (гр. 6 подраздела 12.1) X3 = 1, < даты возникновения того обстоятельства, которое возникло раньше других обстоятельств, повлекших нарушения, (гр. 4 подраздела 12.1), отраженной по строке, где третий разряд кода доли перестраховщиков, присвоенного после возникновения обстоятельств, (гр. 6 подраздела 12.1) X3 = 2.

5. В подразделе 12.1 по каждому активу, имеющему одинаковое значение гр. 1, 2, 3, первый разряд кода доли перестраховщика, присвоенного до возникновения обстоятельств, повлекших нарушения, (гр. 6 подраздела 12.1) X1, отраженного по строке, где указана дата, предшествующая возникновению обстоятельств, повлекших нарушения, (гр. 4 подраздела 12.1), = первому разряду кода доли перестраховщиков, присвоенного после возникновения обстоятельств, (гр. 6 подраздела 12.1) X1, отраженного по строке, где указана дата возникновения того обстоятельства, которое возникло позже других обстоятельств, повлекших нарушения, (гр. 4 подраздела 12.1).

Раздел 13 "Депо премий у перестрахователей"

1. Если гр. 5 или гр. 6 0, то гр. 1, 2, 3, 4 0.

2. Стр. "Итого", гр. 5, 6 = сумма показателей предыдущих строк раздела 13, гр. 5, 6.

3. Стр. 1, гр. 1 = 1.

4. По каждой строке, кроме строки 1, значение графы 1 = значению графы 1 предыдущей строки + 1.

5. Если гр. 5 0, четвертый разряд кода депо премий (гр. 4 раздела 13) X4 = 1, то в подразделе 1.1 формы N 12-страховщик в графе 2 должен присутствовать показатель графы 2 раздела 13 формы N 7-страховщик и графа 4 0.

6. Если гр. 6 0, четвертый разряд кода депо премии (гр. 4 раздела 13) X4 = 1, то в подразделе 1.1 формы N 12-страховщик в графе 2 должен присутствовать показатель графы 2 раздела 13 формы N 7-страховщик и графа 6 0.

7. Если гр. 5 0, четвертый разряд кода депо премий (гр. 4 раздела 13) X4 = 2, то в подразделе 2.1 формы N 12-страховщик в графе 2 должен присутствовать показатель графы 2 раздела 13 формы N 7-страховщик и графа 4 0.

8. Если гр. 6 0, четвертый разряд кода депо премии (гр. 4 раздела 13) X4 = 2, то в подразделе 2.1 формы N 12-страховщик в графе 2 должен присутствовать показатель графы 2 раздела 13 формы N 7-страховщик и графа 6 0.

9. Если второй, третий разряды кода депо премий (гр. 4 раздела 13) X2 = 1, X3 = 1, то в графе 2 количество цифр = от 1 до 4 цифр, иначе дать разъяснение в пояснительной записке.

10. Если второй, третий разряды кода депо премий (гр. 4 раздела 13) X2 = 2, X3 = 1, то в графе 2 количество цифр = 6 цифрам.

11. Если второй разряд кода депо премий (гр. 4 раздела 13) X2 = 2, то первый разряд кода нерезидента (гр. 2 раздела 13) X1 = трем цифрам и должен присутствовать в Общероссийском классификаторе стран мира (ОКСМ).

Раздел 14 "Дебиторская задолженность"

1. Если гр. 5 или гр. 6 0, то гр. 1, 3, 4 0.

2. Если третий разряд кода дебиторской задолженности (гр. 4 раздела 14) X3 = 1 или 2 или 4 или 5 или 7 или 8 или 9, то гр. 2 0.

3. Если третий разряд кода дебиторской задолженности (гр. 4 раздела 14) X3 = 3 или 6, то гр. 2 = 0.

4. Стр. "Итого", гр. 5, 6 = сумма показателей предыдущих строк раздела 14, гр. 5, 6.

5. Стр. 1, гр. 1 = 1.

6. По каждой строке, кроме строки 1, значение графы 1 = значению графы 1 предыдущей строки + 1.

7. Если гр. 5 0, третий, четвертый разряды кода дебиторской задолженности (гр. 4 раздела 14) X3 = 4 или 7 или 8 или 9, X4 = 1, то в подразделе 1.1 формы N 12-страховщик в графе 2 должен присутствовать показатель графы 2 раздела 14 формы N 7-страховщик и графа 4 0.

8. Если гр. 6 0, третий, четвертый разряды кода дебиторской задолженности (гр. 4 раздела 14) X3 = 4 или 7 или 8 или 9, X4 = 1, то в подразделе 1.1 формы N 12-страховщик в графе 2 должен присутствовать показатель графы 2 раздела 14 формы N 7-страховщик и графа 6 0.

9. Если гр. 5 0, третий, четвертый разряды кода дебиторской задолженности (гр. 4 раздела 14) X3 = 2 или 5, X4 = 1, то в подразделе 1.2 формы N 12-страховщик в графе 1 должен присутствовать показатель графы 2 раздела 14 формы N 7-страховщик и графа 5 0.

10. Если гр. 6 0, третий, четвертый разряды кода дебиторской задолженности (гр. 4 раздела 14) X3 = 2 или 5, X4 = 1, то в подразделе 1.2 формы N 12-страховщик в графе 1 должен присутствовать показатель графы 2 раздела 14 формы N 7-страховщик и графа 7 0.

11. Если гр. 5 0, третий, четвертый разряды кода дебиторской задолженности (гр. 4 раздела 14) X3 = 4 или 7 или 8 или 9, X4 = 2, то в подразделе 2.1 формы N 12-страховщик в графе 2 должен присутствовать показатель графы 2 раздела 14 формы N 7-страховщик и графа 4 0.

12. Если гр. 6 0, третий, четвертый разряды кода дебиторской задолженности (гр. 4 раздела 14) X3 = 4 или 7 или 8 или 9, X4 = 2, то в подразделе 2.1 формы N 12-страховщик в графе 2 должен присутствовать показатель графы 2 раздела 14 формы N 7-страховщик и графа 6 0.

13. Если гр. 5 0, третий, четвертый разряды кода дебиторской задолженности (гр. 4 раздела 14) X3 = 2 или 5, X4 = 2, то в подразделе 2.2 формы N 12-страховщик в графе 1 должен присутствовать показатель графы 2 раздела 14 формы N 7-страховщик и графа 5 0.

14. Если гр. 6 0, третий, четвертый разряды кода дебиторской задолженности (гр. 4 раздела 14) X3 = 2 или 5, X4 = 2, то в подразделе 2.2 формы N 12-страховщик в графе 1 должен присутствовать показатель графы 2 раздела 14 формы N 7-страховщик и графа 7 0.

15. Если второй, третий разряд кода дебиторской задолженности (гр. 4 раздела 14) X2 = 1, X3 = 2 или 5, то в графе 2 количество цифр = от 1 до 4 или 10.

16. Если второй, третий разряд кода дебиторской задолженности (гр. 4 раздела 14) X2 = 1, X3 = 1 или 4 или 7 или 8 или 9, то в графе 2 количество цифр = от 1 до 4 цифр, иначе дать разъяснение в пояснительной записке.

17. Если второй, третий разряд кода дебиторской задолженности (гр. 4 раздела 14) X2 = 2, X3 = 1 или 2 или 4 или 5 или 7 или 8 или 9, то в графе 2 количество цифр = 6 цифрам.

18. Если второй разряд кода дебиторской задолженности (гр. 4 раздела 14) X2 = 2, то первый разряд кода нерезидента (гр. 2 раздела 14) X1 = трем цифрам и должен присутствовать в Общероссийском классификаторе стран мира (ОКСМ).

Раздел 15 "Денежные средства"

1. Если гр. 5 или 6 или 7 или 8 0, то гр. 1, 3, 4 0.

2. Если третий разряд кода денежных средств (гр. 4 раздела 15) X3 = 1 или 2 или 3, то гр. 2 0.

3. Если третий разряд кода денежных средств (гр. 4 раздела 15) X3 = 5, то гр. 2 = 0.

4. Стр. "Итого", гр. 5, 6, 7, 8 = сумма показателей предыдущих строк раздела 15, гр. 5, 6, 7, 8.

5. Стр. 1, гр. 1 = 1.

6. По каждой строке, кроме строки 1, значение графы 1 = значению графы 1 предыдущей строки + 1.

7. Если гр. 5 или 7 0, третий, четвертый разряды кода денежных средств (гр. 4 раздела 15) X3 = 1 или 2 или 3, X4 = 1, то в подразделе 1.2 формы N 12-страховщик в графе 1 должен присутствовать показатель графы 2 раздела 15 формы N 7-страховщик и графа 5 0.

8. Если гр. 6 или 8 0, третий, четвертый разряды кода денежных средств (гр. 4 раздела 15) X3 = 1 или 2 или 3, X4 = 1, то в подразделе 1.2 формы N 12-страховщик в графе 1 должен присутствовать показатель графы 2 раздела 15 формы N 7-страховщик и графа 7 0.

9. Если гр. 5 или 7 0, третий, четвертый разряды кода денежных средств (гр. 4 раздела 15) X3 = 1 или 2 или 3, X4 = 2, то в подразделе 2.2 формы N 12-страховщик в графе 1 должен присутствовать показатель графы 2 раздела 15 формы N 7-страховщик и графа 5 0.

10. Если гр. 6 или 8 0, третий, четвертый разряды кода денежных средств (гр. 4 раздела 15) X3 = 1 или 2 или 3, X4 = 2, то в подразделе 2.2 формы N 12-страховщик в графе 1 должен присутствовать показатель графы 2 раздела 15 формы N 7-страховщик и графа 7 0.

11. Если второй разряд кода денежных средств (гр. 4 раздела 15) X2 = 1, то в графе 2 количество цифр = 10 цифрам.

12. Если второй разряд кода денежных средств (гр. 4 раздела 15) X2 = 2, то в графе 2 количество цифр = 6 цифрам.

13. Если второй разряд кода денежных средств (гр. 4 раздела 15) X2 = 2, то первый разряд кода нерезидента (гр. 2 раздела 15) X1 = трем цифрам и должен присутствовать в Общероссийском классификаторе стран мира (ОКСМ).

Раздел 16 "Слитки золота, серебра, платины и палладия, а также памятные монеты Российской Федерации из драгоценных металлов"

1. Если гр. 5 или гр. 6 0, то гр. 1, 2, 4 0.

2. Стр. "Итого", гр. 5, 6 = сумма показателей предыдущих строк раздела 16, гр. 5, 6.

3. Стр. 1, гр. 1 = 1.

4. По каждой строке, кроме строки 1, значение графы 1 = значению графы 1 предыдущей строки + 1.

5. В графе 2 количество цифр = 10 цифрам.

Раздел 17 "Займы страхователям по договорам страхования жизни"

1. Если гр. 5 или гр. 6 0, то гр. 1, 2 0.

2. Гр. 5, 6 гр. 3, 4.

3. Стр. "Итого", гр. 3, 4, 5, 6 = сумма показателей предыдущих строк раздела 17, гр. 3, 4, 5, 6.

4. Стр. 1, гр. 1 = 1.

5. По каждой строке, кроме строки 1, значение графы 1 = значению графы 1 предыдущей строки + 1.

Раздел 18 "Управляющие компании (доверительные управляющие), у которых возникли обстоятельства, не зависящие от действий страховщика, повлекшие нарушения, устраняемые в соответствии с пунктом 14 Правил размещения страховщиками средств страховых резервов"

1. Если в подразделе 2.2, 3.2, 4.2, 6.2 десятый разряд кода управляющей компании X10 = 2, то "ИНН управляющей компании", "Наименование управляющей компании на английском языке", "Наименование управляющей компании на русском языке" должны присутствовать в гр. 1, 2, 3 раздела 18.

2. Если в подразделе 10.2 десятый разряд кода доверительного управляющего X10 = 2, то "ИНН доверительного управляющего", "Наименование доверительного управляющего на английском языке", "Наименование доверительного управляющего на русском языке" должны присутствовать в гр. 1, 2, 3 раздела 18.

3. Если в разделе 18 третий, четвертый разряды кода управляющей компании, присвоенного до возникновения обстоятельств, (гр. 6 раздела 18) X3 = 7, X4 = 1, то срок от даты, предшествующей возникновению обстоятельств, повлекших нарушения, (гр. 4 раздела 18) до отчетной даты 91 день.

4. Если в разделе 18 третий, четвертый разряды кода доверительного управляющего, присвоенного до возникновения обстоятельств, (гр. 6 раздела 18) X3 = 8, X4 = 1, то срок от даты, предшествующей возникновению обстоятельств, повлекших нарушения, (гр. 4 раздела 18) до отчетной даты 91 день.

5. Если в разделе 18 третий, четвертый разряды кода управляющей компании, присвоенного после возникновения обстоятельств, (гр. 6 раздела 18) X3 = 7, X4 = 2, то срок от даты возникновения того обстоятельства, которое возникло раньше других обстоятельств, повлекших нарушения, (гр. 4 раздела 18) до отчетной даты 90 дней.

6. Если в разделе 18 третий, четвертый разряды кода доверительного управляющего, присвоенного после возникновения обстоятельств, (гр. 6 раздела 18) X3 = 8, X4 = 2, то срок от даты возникновения того обстоятельства, которое возникло раньше других обстоятельств, повлекших нарушения, (гр. 4 раздела 18) до отчетной даты 90 дней.

7. В разделе 18 по каждой управляющей компании, имеющей одинаковые значения гр. 1, 2, 3, дата, предшествующая возникновению обстоятельств, повлекших нарушения, (гр. 4 раздела 18), отраженная по строке, где третий, четвертый разряды кода управляющей компании, присвоенного до возникновения обстоятельств, (гр. 6 раздела 18) X3 = 7, X4 = 1, < даты возникновения того обстоятельства, которое возникло раньше других обстоятельств, повлекших нарушения, (гр. 4 раздела 18), отраженной по строке, где третий, четвертый разряды кода управляющей компании, присвоенного после возникновения обстоятельств, (гр. 6 раздела 18) X3 = 7, X4 = 2.

8. В разделе 18 по каждому доверительному управляющему, имеющему одинаковые значения гр. 1, 2, 3, дата, предшествующая возникновению обстоятельств, повлекших нарушения, (гр. 4 раздела 18), отраженная по строке, где третий, четвертый разряды кода доверительного управляющего, присвоенного до возникновения обстоятельств, (гр. 6 раздела 18) X3 = 8, X4 = 1, < даты возникновения того обстоятельства, которое возникло раньше других обстоятельств, повлекших нарушения, (гр. 4 раздела 18), отраженной по строке, где третий, четвертый разряды кода доверительного управляющего, присвоенного после возникновения обстоятельств, (гр. 6 раздела 18) X3 = 8, X4 = 2.

9. Если в подразделах 2.2, 3.2, 4.2, 6.2 десятый разряд кода управляющей компании (гр. "Код управляющей компании" подразделов 2.2, 3.2, 4.2, 6.2) X10 = 2, то шестой, седьмой, восьмой разряды кода управляющей компании X6, X7, X8 равны соответственно первому, второму, третьему разрядам кода управляющей компании, присвоенного после возникновения обстоятельств, (гр. 6 раздела 18) X1, X2, X3 и отраженного по строке, где данные гр. 1, 2, 3 раздела 18 равны соответственно данным граф "ИНН управляющей компании", "Наименование управляющей компании на английском языке", "Наименование управляющей компании на русском языке" подразделов 2.2, 3.2, 4.2, 6.2, и где в гр. 4 раздела 18 указана дата возникновения того обстоятельства, которое возникло позже других обстоятельств, повлекших нарушения.

10. Если в подразделе 10.2 десятый разряд кода доверительного управляющего (гр. "Код доверительного управляющего" подраздела 10.2) X10 = 2, то шестой и седьмой разряды кода доверительного управляющего X6, X7, X8 равны соответственно первому, второму, третьему разрядам кода доверительного управляющего, присвоенного после возникновения обстоятельств, (гр. 6 раздела 18) X1, X2, X3 и отраженного по строке, где данные гр. 1, 2, 3 раздела 18 равны соответственно данным граф "ИНН доверительного управляющего", "Наименование доверительного управляющего на английском языке", "Наименование доверительного управляющего на русском языке" подраздела 10.2, и где в гр. 4 раздела 18 указана дата возникновения того обстоятельства, которое возникло позже других обстоятельств, повлекших нарушения.

11. В разделе 18 по каждой управляющей компании, имеющей одинаковое значение гр. 1, 2, 3, первый, третий разряды кода управляющей компании, присвоенного до возникновения обстоятельств, (гр. 6 раздела 18) X1, X3, отраженного по строке, где указана дата, предшествующая возникновению обстоятельств, повлекших нарушения, (гр. 4 раздела 18), = первому, третьему разрядам кода управляющей компании, присвоенного после возникновения обстоятельств, (гр. 6 раздела 18) X1, X3, отраженного по строке, где указана дата возникновения того обстоятельства, которое возникло позже других обстоятельств, повлекших нарушения, (гр. 4 раздела 18).

12. В разделе 18 по каждому доверительному управляющему, имеющему одинаковое значение гр. 1, 2, 3, первый, третий разряды кода доверительного управляющего, присвоенного до возникновения обстоятельств, (гр. 6 раздела 18) X1, X3, отраженного по строке, где указана дата, предшествующая возникновению обстоятельств, повлекших нарушения, (гр. 4 раздела 18), = первому, третьему разрядам кода доверительного управляющего, присвоенного после возникновения обстоятельств, (гр. 6 раздела 18) X1, X3, отраженного по строке, где указана дата возникновения того обстоятельства, которое возникло позже других обстоятельств, повлекших нарушения, (гр. 4 раздела 18).

Раздел 19 "Результаты размещения средств страховых резервов"

Подраздел 19.1 "Результаты размещения средств страховых резервов по страхованию жизни, кроме отраженных в подразделе 19.1.1"

1. Гр. 5, стр. 020 - 120 = (гр. 3 - гр. 4), стр. 020 - 120 (если результат 0).

2. Гр. 6, стр. 020 - 120 = (гр. 3 - гр. 4), стр. 020 - 120 (если результат < 0).

3. Гр. 9, стр. 020 - 120 = (гр. 7 - гр. 8), стр. 020 - 120 (если результат 0).

4. Гр. 10, стр. 020 - 120 = (гр. 7 - гр. 8), стр. 020 - 120 (если результат < 0).

5. Стр. 020, гр. 3, 4, 7, 8 = сумма показателей строк 021, 022, 023, 030, 031, 032, 033, гр. 3, 4, 7, 8.

6. Стр. 040, гр. 3, 4, 7, 8 = сумма показателей строк 041, 042, гр. 3, 4, 7, 8.

7. Стр. 101, гр. 3, 4, 7, 8 стр. 100, гр. 3, 4, 7, 8.

8. Стр. 102, гр. 3, 4, 7, 8 стр. 101, гр. 3, 4, 7, 8.

9. Стр. 120, гр. 3, 4, 7, 8 = сумма показателей строк 020, 040, 050, 070, 080, 085, 090, 100, 105, 106, 108, 110, 111, 115, 119, гр. 3, 4, 7, 8.

Подраздел 19.1.1 "Результаты размещения средств страховых резервов по видам активов по страхованию жизни в доверительном управлении и вознаграждение управляющей компании (доверительного управляющего)"

1. Гр. 5, стр. 020 - 120 = (гр. 3 - гр. 4), стр. 020 - 120 (если результат 0).

2. Гр. 6, стр. 020 - 120 = (гр. 3 - гр. 4), стр. 020 - 120 (если результат < 0).

3. Гр. 9, стр. 020 - 120 = (гр. 7 - гр. 8), стр. 020 - 120 (если результат 0).

4. Гр. 10, стр. 020 - 120 = (гр. 7 - гр. 8), стр. 020 - 120 (если результат < 0).

5. Стр. 020, гр. 3, 4, 7, 8 = сумма показателей строк 021, 022, 023, 030, 031, 032, 033, гр. 3, 4, 7, 8.

6. Стр. 120, гр. 3, 4, 7, 8 = сумма показателей строк 020, 050, 090, 119, гр. 3, 4, 7, 8.

Подраздел 19.1 "Результаты размещения средств страховых резервов по страхованию жизни, кроме отраженных в подразделе 19.1.1" и подраздел 19.1.1 "Результаты размещения средств страховых резервов по видам активов по страхованию жизни в доверительном управлении и вознаграждение управляющей компании"

1. Подраздел 19.1, стр. (020 + 040 + 050 + 070 + 080 + 085 + 090 + 101 + 108), гр. 3, 7 + подраздел 19.1.1, стр. (020 + 050 + 090), гр. 3, 7 всех управляющих компаний форма N 2-страховщик, стр. 020, гр. 3, 4.

2. Подраздел 19.1, стр. (020 + 040 + 050 + 070 + 080 + 085 + 090 + 101 + 108), гр. 4, 8 + подраздел 19.1.1, стр. (020 + 050 + 090), гр. 4, 8 всех управляющих компаний форма N 2-страховщик, стр. 060, гр. 3, 4.

3. Подраздел 19.1, стр. ((100 - 101) + 105 + 106 + 110 + 111), гр. 3, 7 форма N 2-страховщик, стр. 210, гр. 3, 4.

4. Подраздел 19.1, стр. ((100 - 101) + 105 + 106 + 110 + 111), гр. 4, 8 форма N 2-страховщик, стр. 220, гр. 3, 4.

Подраздел 19.2 "Результаты размещения средств страховых резервов по страхованию иному, чем страхование жизни, кроме отраженных в подразделе 19.2.1"

1. Гр. 5, стр. 020 - 120 = (гр. 3 - гр. 4), стр. 020 - 120 (если результат 0).

2. Гр. 6, стр. 020 - 120 = (гр. 3 - гр. 4), стр. 020 - 120 (если результат < 0).

3. Гр. 9, стр. 020 - 120 = (гр. 7 - гр. 8), стр. 020 - 120 (если результат 0).

4. Гр. 10, стр. 020 - 120 = (гр. 7 - гр. 8), стр. 020 - 120 (если результат < 0).

5. Стр. 020, гр. 3, 4, 7, 8 = сумма показателей строк 021, 022, 023, 030, 031, 032, 033, гр. 3, 4, 7, 8.

6. Стр. 040, гр. 3, 4, 7, 8 = сумма показателей строк 041, 042, гр. 3, 4, 7, 8.

7. Стр. 101, гр. 3, 4, 7, 8 стр. 100, гр. 3, 4, 7, 8.

8. Стр. 102, гр. 3, 4, 7, 8 стр. 101, гр. 3, 4, 7, 8.

9. Стр. 120, гр. 3, 4, 7, 8 = сумма показателей строк 020, 040, 050, 070, 080, 085, 090, 100, 105, 106, 110, 111, 115, 119, гр. 3, 4, 7, 8.

Подраздел 19.2.1 "Результаты размещения средств страховых резервов по видам активов по страхованию иному, чем страхование жизни в доверительном управлении и вознаграждение управляющей компании (доверительного управляющего)"

1. Гр. 5, стр. 020 - 120 = (гр. 3 - гр. 4), стр. 020 - 120 (если результат 0).

2. Гр. 6, стр. 020 - 120 = (гр. 3 - гр. 4), стр. 020 - 120 (если результат < 0).

3. Гр. 9, стр. 020 - 120 = (гр. 7 - гр. 8), стр. 020 - 120 (если результат 0).

4. Гр. 10, стр. 020 - 120 = (гр. 7 - гр. 8), стр. 020 - 120 (если результат < 0).

5. Стр. 020, гр. 3, 4, 7, 8 = сумма показателей строк 021, 022, 023, 030, 031, 032, 033, гр. 3, 4, 7, 8.

6. Стр. 120, гр. 3, 4, 7, 8 = сумма показателей строк 020, 050, 090, 119, гр. 3, 4, 7, 8.

Подраздел 19.2 "Результаты размещения средств страховых резервов по страхованию иному, чем страхование жизни, кроме отраженных в подразделе 19.2.1" и подраздел 19.2.1 "Результаты размещения средств страховых резервов по видам активов по страхованию иному, чем страхование жизни в доверительном управлении и вознаграждение управляющей компании"

1. Подраздел 19.2, стр. (020 + 040 + 050 + 070 + 080 + 085 + 090 + 101), гр. 3, 7 + подраздел 19.2.1, стр. (020 + 050 + 090), гр. 3, 7 всех управляющих компаний форма N 2-страховщик, стр. 180, гр. 3, 4.

2. Подраздел 19.2, стр. (020 + 040 + 050 + 070 + 080 + 085 + 090 + 101), гр. 4, 8 + подраздел 19.2.1, стр. (020 + 050 + 090), гр. 4, 8 всех управляющих компаний форма N 2-страховщик, стр. 190, гр. 3, 4.

3. Подраздел 19.2, стр. ((100 - 101) + 105 + 106 + 110 + 111), гр. 3, 7 форма N 2-страховщик, стр. 210, гр. 3, 4.

4. Подраздел 19.2, стр. ((100 - 101) + 105 + 106 + 110 + 111), гр. 4, 8 форма N 2-страховщик, стр. 220, гр. 3, 4.

Соотношения, требующие пояснений

1. Если пятнадцатый разряд кода ценной бумаги (X15) = 2, десятый разряд банковского вклада, доли перестраховщиков, управляющей компании (доверительного управляющего), (X10) = 2, то в файле пояснительной записки с кодом раздела 23 требуется раскрыть информацию о мерах, принятых страховой организацией по устранению нарушений, возникших по обстоятельствам, не зависящим от действий страховой организации.

2. Если второй разряд кода ценной бумаги, банковского вклада, доли перестраховщиков, депо премий, дебиторской задолженности, денежных средств, займа страхователям по договорам страхования жизни (X2) = 2 или 3, то в файле пояснительной записки с кодом раздела 24 требуется раскрыть информацию о наименовании юридического лица (банка, в котором страховая организация имеет денежные средства на счетах или вклады, перестраховщика, перестрахователя), являющегося нерезидентом Российской Федерации; наименовании активов (денежные средства на счетах и вклады в банке, дебиторская задолженность и требования, возникшие в результате операций перестрахования, депо премий у перестрахователей); номере лицензии (разрешения) на осуществление банковских операций, операций перестрахования соответственно для каждого банка, перестраховщика и перестрахователя, наименовании уполномоченного органа, выдавшего лицензию (разрешение).

Раздел 5 "Векселя организаций, в том числе банков"

1. Если гр. 12 0 и одиннадцатый разряд кода ценной бумаги (гр. 10, гр. 32 раздела 5) X11 = 02 или 03 или 04 или 07 или 08 или 10, то требуется представить информацию рейтингового агентства, подтверждающую присвоение векселедателю или акцептанту, если векселедателем и акцептантом являются разные организации, рейтинга с указанием типа этого рейтинга.

2. Если гр. 12 0, то в специальном разделе пояснительной записки требуется указать наименование банка, векселя которого приобретены страховой организацией, номер лицензии (разрешения) на осуществление банковских операций и наименование уполномоченного органа, выдавшего лицензию (разрешение).

Раздел 7 "Ипотечные сертификаты участия"

1. Если гр. 8 0, то в файле пояснительной записки с кодом раздела 25 необходимо указать полное фирменное наименование регистратора, осуществляющего ведение реестра владельцев ипотечных сертификатов участия.

Раздел 8 "Инвестиционные паи паевых инвестиционных фондов"

1. Если гр. 9 0, то в файле пояснительной записки с кодом раздела 26 необходимо указать регистрационный номер и дату регистрации правил доверительного управления паевым инвестиционным фондом.

Раздел 9 "Долевое участие в общих фондах банковского управления (ОФБУ)"

1. Если гр. 8 0, то в файле пояснительной записки с кодом раздела 27 необходимо указать расшифровку состава портфеля инвестиций, сформированного в соответствии с инвестиционной декларацией, с указанием наименования общего фонда банковского управления.

Раздел 11 "Банковские вклады (депозиты), в том числе удостоверенные депозитными сертификатами"

1. Если гр. 8 0, то в специальном разделе пояснительной записки требуется указать наименование банка, вклад (депозит) в котором имеет страховая организация, номер лицензии (разрешения) на осуществление банковских операций и наименование уполномоченного органа, выдавшего лицензию (разрешение).

Разделы 12 "Доля перестраховщиков в страховых резервах", 13 "Депо премий у перестрахователей"

1. Если в разделе 12 гр. 7 0, в разделе 13 гр. 6 0 и второй разряд кода доли перестраховщика, кода депо премий (гр. 5 раздела 12, гр. 4 раздела 13) X2 = 2, то в специальном разделе пояснительной записки требуется указать наименование каждого перестраховщика, перестрахователя, номер его лицензии (разрешения) на осуществление операций перестрахования и наименование уполномоченного органа, выдавшего лицензию (разрешение).

Структурные соотношения активов и резервов

1. Сумма вложений в ценные бумаги в разделе 3, гр. 11, пятый разряд кода ценной бумаги которых (гр. 7 раздела 3) X5 = 2 или 3, .

2. Сумма вложений в ценные бумаги в разделе 3, гр. 11, пятый разряд кода ценной бумаги которых (гр. 7 раздела 3) X5 = 2 и которые имеют одинаковый ИНН эмитента (гр. 2 раздела 3), .

3. Сумма вложений в ценные бумаги в разделе 3, гр. 11, пятый разряд кода ценной бумаги которых (гр. 7 раздела 3) X5 = 3 и которые имеют одинаковый ИНН эмитента (гр. 2 раздела 3), .

4. Сумма вложений в векселя банков и банковские вклады (депозиты), в том числе удостоверенные депозитными сертификатами, в банках, имеющих рейтинг, соответственно в разделе 5, гр. 12, пятый, одиннадцатый разряды кода ценной бумаги которых (гр. 10 раздела 5) X5 = 4, X11 = 02 или 03 или 04 или 07 или 08 или 10; и в разделе 11, гр. 8, третий разряд кода банковского вклада которых (гр. 6 раздела 11) X3 = 1, .

5. Сумма вложений в векселя банков и банковские вклады (депозиты), в том числе удостоверенные депозитными сертификатами, в банках, не имеющих рейтинг, соответственно в разделе 5, гр. 12, пятый, одиннадцатый разряды кода ценной бумаги которых (гр. 10 раздела 5) X5 = 4, X11 = 11; и в разделе 11, гр. 8, третий разряд кода банковского вклада которых (гр. 6 раздела 11) X3 = 2, .

6. Сумма вложений в векселя банков и банковские вклады (депозиты), в том числе удостоверенные депозитными сертификатами, соответственно в разделе 5, гр. 12, пятый разряд кода ценной бумаги которых (гр. 10 раздела 5) X5 = 4; и в разделе 11, гр. 8, .

7. Сумма вложений в векселя банков и банковские вклады (депозиты), в том числе удостоверенные депозитными сертификатами, соответственно в разделе 5, гр. 12, пятый разряд кода ценной бумаги которых (гр. 10 раздела 5) X5 = 4; и в разделе 11, гр. 8, в банках, которые имеют одинаковый ИНН векселедателя (гр. 2 раздела 5); одинаковый ИНН или код нерезидента (гр. 2 раздела 11),

.

8. В разделе 1 стр. 050, гр. 5 .

9. Сумма вложений в облигации в разделе 4, гр. 11, второй, третий, пятый, десятый разряды кода ценной бумаги которых (гр. 7 раздела 4) X2 = 1, X3 = 1, X5 = 4 или 7, X10 = 2; X2 = 2 или 3, X3 = 1, X5 = 1 или 2 или 3 или 4 или 7, X10 = 2, .

10. В разделе 1 стр. 042, гр. 5 .

11. Сумма вложений в жилищные сертификаты в разделе 4, гр. 11, второй, третий, пятый разряды кода ценной бумаги которых (гр. 7 раздела 4) X2 = 1, X3 = 2, X5 = 7, .

12. Сумма вложений в инвестиционные паи паевых инвестиционных фондов и долевое участие в общих фондах банковского управления в резерве по страхованию жизни соответственно в разделах 8, гр. 9; 9, гр. 8, первый разряд кода которых (гр. 5 раздела 8, гр. 6 раздела 9) X1 = 1, .

13. Сумма вложений в инвестиционные паи паевых инвестиционных фондов и долевое участие в общих фондах банковского управления в резерве по страхованию иному, чем страхование жизни, соответственно в разделах 8, гр. 9; 9, гр. 8, первый разряд кода которых (гр. 5 раздела 8, гр. 6 раздела 9) X1 = 2, .

14. Сумма вложений в долевое участие в общих фондах банковского управления в разделе 9, гр. 8, доверительные управляющие которых имеют одинаковый ИНН (гр. 2 раздела 9), .

15. Сумма вложений в ценные бумаги в разделах 4, 6, гр. 11, эмитенты которых имеют одинаковый ИНН, одинаковый код нерезидента (гр. 2 разделов 4, 6), .

16. Сумма вложений в недвижимое имущество в резерве по страхованию жизни в разделе 10, гр. 8, первый разряд кода недвижимости которых (гр. 6 раздела 10) X1 = 1, .

17. Сумма вложений в недвижимое имущество в резерве по страхованию иному, чем страхование жизни, в разделе 10, гр. 8, первый разряд кода недвижимости которых (гр. 6 раздела 10) X1 = 2, .

18. Сумма вложений в один объект недвижимости в разделе 10, гр. 8, который идентифицируется кадастровым (условным) номером объекта недвижимости, кодом одного объекта недвижимости (гр. 3 раздела 10), .

19. Сумма вложений в слитки золота, серебра, платины и палладия, а также памятные монеты Российской Федерации из драгоценных металлов в разделе 16, гр. 6, третий разряд кода которых (гр. 4 раздела 16) X3 = 9, .

20. Сумма долей перестраховщиков в резерве по страхованию жизни в разделе 12, гр. 7, первый, пятый разряды кода доли перестраховщиков которых (гр. 5 раздела 12) X1 = 1, X5 = 0, .

21. Сумма долей перестраховщиков в резерве по страхованию иному, чем страхование жизни, кроме доли перестраховщиков в резерве заявленных, но неурегулированных убытков, в разделе 12, гр. 7, первый, пятый разряды кода доли перестраховщиков которых (гр. 5 раздела 12) X1 = 2, X5 = 4, .

22. Суммарная величина доли перестраховщиков в страховых резервах, кроме доли перестраховщиков в резерве заявленных, но неурегулированных убытков, по видам страхования, указанным в подпунктах 7 - 9, 15 - 18 пункта 1 статьи 32.9 Закона Российской Федерации от 27 ноября 1992 г. N 4015-1 "Об организации страхового дела в Российской Федерации", в разделе 12, гр. 7, первый, пятый разряды кода доли перестраховщиков которых (гр. 5 раздела 12) X1 = 2, X5 = 2, .

23. Суммарная величина доли перестраховщиков-нерезидентов в резерве по страхованию жизни в разделе 12, гр. 7, первый, второй, пятый разряды кода доли перестраховщиков которых (гр. 5 раздела 12) X1 = 1, X2 = 2, X5 = 0,.

24. Суммарная величина доли перестраховщиков-нерезидентов в резерве по страхованию иному, чем страхование жизни, кроме доли перестраховщиков в резерве заявленных, но неурегулированных убытков, в разделе 12, гр. 7, первый, второй, пятый разряды кода доли перестраховщиков которых (гр. 5 раздела 12) X1 = 2, X2 = 2, X5 = 4, .

25. Суммарная величина доли перестраховщиков-нерезидентов в страховых резервах, кроме доли перестраховщиков в резерве заявленных, но неурегулированных убытков, по видам страхования, указанным в подпунктах 7 - 9, 15 - 18 пункта 1 статьи 32.9 Закона Российской Федерации от 27 ноября 1992 г. N 4015-1 "Об организации страхового дела в Российской Федерации", в разделе 12, гр. 7, первый, второй, пятый разряды кода доли перестраховщиков которых (гр. 5 раздела 12) X1 = 2, X2 = 2, X5 = 2, .

26. Сумма доли каждого перестраховщика-резидента в резерве по страхованию жизни, имеющего рейтинг международных рейтинговых агентств, в разделе 12, гр. 7, первый, второй, третий, пятый разряды кода доли перестраховщиков которых (гр. 5 раздела 12) X1 = 1, X2 = 1, X3 = 3, X5 = 0, которые имеют одинаковый регистрационный номер перестраховщика-резидента (гр. 2 раздела 12), .

27. Сумма доли каждого перестраховщика-резидента в резерве по страхованию иному, чем страхование жизни (кроме доли перестраховщиков в резерве заявленных, но неурегулированных убытков), имеющего рейтинг международных рейтинговых агентств, в разделе 12, гр. 7, первый, второй, третий, пятый разряды кода доли перестраховщиков которых (гр. 5 раздела 12) X1 = 2, X2 = 1, X3 = 3, X5 = 4, которые имеют одинаковый регистрационный номер перестраховщика-резидента (гр. 2 раздела 12), .

28. Сумма доли каждого перестраховщика-резидента в резерве по страхованию жизни, не имеющего рейтинг международных рейтинговых агентств, в разделе 12, гр. 7, первый, второй, третий, пятый разряды кода доли перестраховщиков которых (гр. 5 раздела 12) X1 = 1, X2 = 1, X3 = 4, X5 = 0, которые имеют одинаковый регистрационный номер перестраховщика-резидента (гр. 2 раздела 12), .

29. Сумма доли каждого перестраховщика-резидента в резерве по страхованию иному, чем страхование жизни (кроме доли перестраховщиков в резерве заявленных, но неурегулированных убытков), не имеющего рейтинг международных рейтинговых агентств, в разделе 12, гр. 7, первый, второй, третий, пятый разряды кода доли перестраховщиков которых (гр. 5 раздела 12) X1 = 2, X2 = 1, X3 = 4, X5 = 4, которые имеют одинаковый регистрационный номер перестраховщика-резидента (гр. 2 раздела 12), .

30. Сумма доли каждого перестраховщика-нерезидента в резерве по страхованию жизни в разделе 12, гр. 7, первый, второй, третий, пятый разряды кода доли перестраховщиков которых (гр. 5 раздела 12) X1 = 1, X2 = 2, X3 = 3, X5 = 0, которые имеют одинаковый код нерезидента (гр. 2 раздела 12), .

31. Сумма доли каждого перестраховщика-нерезидента в резерве по страхованию иному, чем страхование жизни (кроме доли перестраховщиков в резерве заявленных, но неурегулированных убытков), в разделе 12, гр. 7, первый, второй, третий, пятый разряды кода доли перестраховщиков которых (гр. 5 раздела 12) X1 = 2, X2 = 2, X3 = 3, X5 = 4, которые имеют одинаковый код нерезидента (гр. 2 раздела 12), .

32. В разделе 1 стр. 130, гр. 5 .

33. Дебиторская задолженность страхователей, перестрахователей, страховых агентов по страховым премиям (взносам) по договорам страхования жизни в разделе 14, гр. 6, первый, третий, пятый и шестой разряды кода дебиторской задолженности которых (гр. 4 раздела 14) X1 = 1, X3 = 2 или 3 или 5 или 6 или 7, X5 = 2 или 4 или 5, X6 = 1, .

34. Дебиторская задолженность страхователей, перестрахователей, страховых агентов по страховым премиям (взносам) по договорам страхования иным, чем страхование жизни, за исключением дебиторской задолженности страхователей по договорам обязательного государственного страхования, в разделе 14, гр. 6, первый, третий, пятый и шестой разряды кода дебиторской задолженности которых (гр. 4 раздела 14) X1 = 2, X3 = 2 или 3 или 5 или 6 или 7, X5 = 2 или 4 или 5, X6 = 1, .

35. Дебиторская задолженность страхователей по договорам обязательного государственного страхования в разделе 14, гр. 6, третий и пятый разряды кода дебиторской задолженности которых (гр. 4 раздела 14) X3 = 2, X5 = 1, .

36. Суммарная величина дебиторской задолженности по операциям страхования, сострахования и перестрахования, за исключением суммы дебиторской задолженности страхователей, перестрахователей, страховых агентов по страховым премиям (взносам), в разделе 14, гр. 6, шестой разряд кода дебиторской задолженности которых (гр. 4 раздела 14) X6 = 2 или 3, .

37. Суммарная величина стоимости ипотечных ценных бумаг, за исключением суммарной величины стоимости облигаций и жилищных облигаций с ипотечным покрытием, по которым для обеспечения обязательств предоставлена государственная гарантия Российской Федерации, соответственно в разделе 4, гр. 11, второй, третий, пятый и десятый разряды кода ценной бумаги которых (гр. 7, раздела 4) X2 = 1, X3 = 6 или 7, X5 = 4 или 6, X10 = 2, и в разделе 7, гр. 8, первый, третий разряды кода ценной бумаги которых (гр. 4 раздела 7) X1 = 1 или 2, X3 = 8, .

38. В разделе 1 стр. 180, гр. 5 .

39. Суммарная величина средств страховых резервов, переданных в доверительное управление, в разделе 1 стр. (020 + 050 + 090), гр. 6 .

40. Сумма вложений в разделах 4, гр. 11; 5, гр. 12; 6, гр. 11; 10, гр. 8; 11, гр. 8; 13, гр. 6; 14, гр. 6; 15, гр. (6 + 8); 17, гр. 6, второй разряд кода которых (гр. 2 раздела 17; гр. 4 разделов 13, 14, 15; гр. 6 разделов 10, 11; гр. 7 разделов 4, 6; гр. 10 раздела 5) X2 = 2 или 3, .

41. В разделе 1 стр. 155, гр. 5 .

42. В разделе 1 стр. 190, гр. 5 стр. 010, гр. 5.

Соотношения активов, принимаемых для покрытия страховых резервов без ограничения на суммарную стоимость

1. Сумма вложений в ценные бумаги в разделе 2, гр. 7, второй, пятый разряды кода ценной бумаги которых (гр. 3 раздела 2) X2 = 1, X5 = 1, .

2. Суммарная величина стоимости облигаций, по которым для обеспечения обязательств предоставлена государственная гарантия Российской Федерации, в разделе 4, гр. 11, второй, третий, пятый, десятый разряды кода ценной бумаги которых (гр. 7 раздела 4) X2 = 1, X3 = 1, X5 = 4 или 6, X10 = 1, .

3. Сумма денежных средств в разделе 1 стр. 160, гр. 5 .

4. Суммарная величина доли перестраховщиков в резерве заявленных, но неурегулированных убытков, в разделе 12, гр. 7, первый, пятый разряды кода доли перестраховщиков которых (гр. 5 раздела 12) X1 = 2, X5 = 1 или 3, .

11. Отчет о размещении средств страховых резервов по обязательному медицинскому страхованию (форма N 7а-страховщик)

Соотношения по взаимоувязке показателей

Раздел 1 "Страховые резервы по обязательному медицинскому страхованию и активы, принимаемые для их покрытия"

1. Стр. 010, гр. 3, 4 = сумма показателей строк 011, 012, 013, гр. 3, 4.

2. Сумма показателей строк 011, 012, гр. 3, 4 = форма N 1-страховщик, стр. 550, гр. 3, 4.

3. Если в файле описания страховой организации поле "Обязательное медицинское страхование" = 1 и поле "Страхование иное, чем страхование жизни" = 0, то стр. 013, гр. 3, 4 = форма N 1-страховщик, стр. 675, гр. 3, 4.

4. Если в файле описания страховой организации поле "Обязательное медицинское страхование" = 1 и поле "Страхование иное, чем страхование жизни" = 1, то стр. 013, гр. 3, 4 = форма N 9-страховщик, стр. 016, гр. 3, 6.

5. Стр. 020, гр. 3, 4 = сумма показателей строк 021, 022, 023, 033, гр. 3, 4.

6. Стр. 021, гр. 3, 4 = раздел 2, стр. "Итого", гр. 5, 7.

7. Стр. 022, гр. 3, 4 = сумма вложений в облигации в разделе 3, гр. 7, 9, второй, третий и пятый разряды кода которых (гр. 5 раздела 3) X2 = 1, X3 = 1, X5 = 2.

8. Стр. 023, гр. 3, 4 = сумма вложений в облигации в разделе 3, гр. 7, 9, второй, третий и пятый разряды кода которых (гр. 5 раздела 3) X2 = 1, X3 = 1, X5 = 3.

9. Стр. 033, гр. 3, 4 = сумма вложений в облигации в подразделе 4.1, гр. 7, 9, второй, третий и пятый разряды кода которых (гр. 5 подраздела 4.1) X2 = 1, X3 = 1, X5 = 4 или 7 или 8; X2 = 2, X3 = 1, X5 = 1 или 2 или 3 или 4 или 7.

10. Сумма показателей строк 021, 022, 023, 033, гр. 3, 4 форма N 1-страховщик, стр. 141, гр. 3, 4.

11. Стр. 041, гр. 3, 4 = подраздел 4.2, стр. "Итого", гр. 9, 10.

12. Сумма показателей строк 033, 041, гр. 3, 4 форма N 1-страховщик, стр. (132 + 135), гр. 3, 4.

13. Стр. 050, гр. 3, 4 = сумма вложений в акции в подразделе 4.1, гр. 7, 9, второй, третий, пятый разряды кода ценной бумаги которых (гр. 5 подраздела 4.1) X2 = 1, X3 = 3, X5 = 4 или 7 или 8; X2 = 2, X3 = 3, X5 = 1 или 2 или 3 или 4 или 7.

14. Стр. 050, гр. 3, 4 форма N 1-страховщик, стр. (131 + 134), гр. 3, 4.

15. Стр. 070, гр. 3, 4 = подраздел 4.3, стр. "Итого", гр. 7, 9.

16. Стр. 070, гр. 3, 4 форма N 1-страховщик, стр. 145, гр. 3, 4.

17. Стр. 100, гр. 3, 4 = раздел 5, стр. "Итого", гр. 5, 6.

18. Стр. 101, гр. 3, 4 = сумма срочных вкладов в банках, удостоверенных депозитными сертификатами и иными документами в разделе 5, гр. 5, 6, пятый разряд кода банковского вклада которых (гр. 4 раздела 5) X5 = 1 или 2.

19. Стр. 102, гр. 3, 4 = сумма срочных вкладов в банках, удостоверенных депозитными сертификатами в разделе 5, гр. 5, 6, пятый разряд кода банковского вклада которых (гр. 4 раздела 5) X5 = 1.

20. Стр. 160, гр. 3, 4 = сумма показателей строк 161, 162, 163, гр. 3, 4.

21. Стр. 161, гр. 3, 4 = сумма денежной наличности в разделе 6, гр. (5 + 7), (6 + 8)), третий, пятый разряды кода денежных средств которых (гр. 4 раздела 6) X3 = 5, X5 = 1 или 2 или 3 или 4 или 5 или 6.

22. Стр. 162, гр. 3, 4 = сумма денежных средств на счетах в банках в разделе 6, гр. 5, 6, третий, пятый разряды кода денежных средств которых (гр. 4 раздела 6) X3 = 1 или 3, X5 = 6.

23. Стр. 163, гр. 3, 4 = сумма денежных средств на счетах в банках в разделе 6, гр. 7, 8, третий, пятый разряды кода денежных средств которых (гр. 4 раздела 6) X3 = 2, X5 = 1 или 2 или 3 или 4 или 5.

24. Стр. 190, гр. 3, 4 = сумма показателей строк 020, 041, 050, 070, 100, 160, гр. 3, 4.

25. Стр. 190, гр. 3, 4 = сумма показателей строк 191, 192, гр. 3, 4.

26. Стр. 191, гр. 3, 4 = сумма вложений в активы в разделах 2, гр. 5, 7; 3, гр. 7, 9; 5, гр. 5, 6; 6, гр. (5 + 7), (6 + 8); подразделах 4.1 гр. 7, 9; 4.2, гр. 9, 10; 4.3, гр. 7, 9, второй разряд кода активов которых (гр. 3 раздела 2, гр. 4 разделов 5, 6; гр. 5 раздела 3 и подразделов 4.1, 4.3; гр. 8 подраздела 4.2) X2 = 1.

27. Стр. 192, гр. 3, 4 = сумма вложений в активы в подразделах 4.1, гр. 7, 9; 4.2 гр. 9, 10; разделах 5, гр. 5, 6; 6, гр. (5 + 7), (6 + 8); второй разряд кода активов которых (гр. 4 разделов 5, 6; гр. 5 подраздела 4.1; гр. 8 подраздела 4.2) X2 = 2.

Раздел 2 "Федеральные государственные ценные бумаги"

1. Если гр. 5 или гр. 7 0, то гр. 1, 2, 3 0.

2. Если гр. 5 0, десятый разряд кода ценной бумаги (гр. 3 раздела 2) X10 = 1, 2, 3, то гр. (3 + 5) стр. 370 формы N 5-страховщик 0.

3. Если гр. 7 0, десятый разряд кода ценной бумаги (гр. 3 раздела 2) X10 = 1, 2, 3, то гр. (4 + 6) стр. 370 формы N 5-страховщик 0.

4. Стр. "Итого", гр. 5, 7 = сумма показателей предыдущих строк раздела, гр. 5, 7.

5. Стр. 1, гр. 1 = 1.

6. По каждой строке, кроме строки 1, значение графы 1 = значению графы 1 предыдущей строки + 1.

7. Гр. 4, 6 целые числа или с точностью до четвертого знака после десятичной точки.

8. Если гр. 5 0, то гр. 4 0.

9. Если гр. 7 0, то гр. 6 0.

Раздел 3 "Государственные ценные бумаги субъектов Российской Федерации и муниципальные ценные бумаги"

1. Если гр. 7 или гр. 9 0, то гр. 1, 2, 3, 4, 5 0.

2. Если гр. 7 0, десятый разряд кода ценной бумаги (гр. 3 раздела 2) X10 = 1, 2, 3, то гр. (3 + 5) стр. 370 формы N 5-страховщик 0.

3. Если гр. 9 0, десятый разряд кода ценной бумаги (гр. 3 раздела 2) X10 = 1, 2, 3, то гр. (4 + 6) стр. 370 формы N 5-страховщик 0.

4. Стр. "Итого", гр. 7, 9 = сумма показателей предыдущих строк раздела, гр. 7, 9.

5. Стр. 1, гр. 1 = 1.

6. По каждой строке, кроме строки 1, значение графы 1 = значению графы 1 предыдущей строки + 1.

7. Гр. 6, 8 целые числа или с точностью до четвертого знака после десятичной точки.

8. Если гр. 7 0, то гр. 6 0.

9. Если гр. 9 0, то гр. 8 0.

10. В графе 2 количество цифр = 10 цифрам.

Раздел 4 "Ценные бумаги (кроме ценных бумаг, отраженных в разделах 2 и 3)"

Подраздел 4.1 "Облигации и акции"

1. Если гр. 7 или гр. 9 0, то гр. 1, 2, 3, 4, 5 0.

2. Стр. "Итого", гр. 7, 9 = сумма показателей предыдущих строк подраздела, гр. 7, 9.

3. Если гр. 7 0, третий, четвертый, десятый разряды кода ценной бумаги (гр. 5 подраздела 4.1) X3 = 1, X4 = 1, 2, X10 = 1, 2, 3, то гр. 3, 5 стр. 352 формы N 5-страховщик 0.

4. Если гр. 9 0, третий, четвертый, десятый разряды кода ценной бумаги (гр. 5 подраздела 4.1) X3 = 1, X4 = 1, 2, X10 = 1, 2, 3, то гр. 4, 6 стр. 352 формы N 5-страховщик 0.

5. Если гр. 7 0, третий, четвертый, десятый разряды кода ценной бумаги (гр. 5 подраздела 4.1) X3 = 3, X4 = 1, 2, X10 = 1, 2, 3, то гр. 3, 5 стр. 351 формы N 5-страховщик 0.

6. Если гр. 9 0, третий, четвертый, десятый разряды кода ценной бумаги (гр. 5 подраздела 4.1) X3 = 3, X4 = 1, 2, X10 = 1, 2, 3, то гр. 4, 6 стр. 351 формы N 5-страховщик 0.

7. Если гр. 7 0, третий, четвертый, десятый разряды кода ценной бумаги (гр. 5 подраздела 4.1) X3 = 1, X4 = 3, X10 = 1, 2, 3, то гр. 3, 5 стр. 362 формы N 5-страховщик 0.

8. Если гр. 9 0, третий, четвертый, десятый разряды кода ценной бумаги (гр. 5 подраздела 4.1) X3 = 1, X4 = 3, X10 = 1, 2, 3, то гр. 4, 6 стр. 362 формы N 5-страховщик 0.

9. Если гр. 7 0, третий, четвертый, десятый разряды кода ценной бумаги (гр. 5 подраздела 4.1) X3 = 3, X4 = 3, X10 = 1, 2, 3, то гр. 3, 5 стр. 361 формы N 5-страховщик 0.

10. Если гр. 9 0, третий, четвертый, десятый разряды кода ценной бумаги (гр. 5 подраздела 4.1) X3 = 3, X4 = 3, X10 = 1, 2, 3, то гр. 4, 6 стр. 361 формы N 5-страховщик 0.

11. Стр. 1, гр. 1 = 1.

12. По каждой строке, кроме строки 1, значение графы 1 = значению графы 1 предыдущей строки + 1.

13. Гр. 6, 8 целые числа или с точностью до четвертого знака после десятичной точки.

14. Если гр. 7 0, то гр. 6 0.

15. Если гр. 9 0, то гр. 8 0.

16. Если гр. 7 0, четвертый, пятый разряды кода ценной бумаги (гр. 5 подраздела 4.1) X4 = 1, X5 = 8, то в подразделе 1.1 формы N 12-страховщик в графе 2 должен присутствовать показатель графы 2 подраздела 4.1 формы N 7а-страховщик и графа 4 0.

17. Если гр. 9 0, четвертый, пятый разряды кода ценной бумаги (гр. 5 подраздела 4.1) X4 = 1, X5 = 8, то в подразделе 1.1 формы N 12-страховщик в графе 2 должен присутствовать показатель графы 2 подраздела 4.1 формы N 7а-страховщик и графа 6 0.

18. Если гр. 7 0, четвертый, пятый разряды кода ценной бумаги (гр. 5 подраздела 4.1) X4 = 1, X5 = 4 или 7, то в подразделе 1.2 формы N 12-страховщик в графе 1 должен присутствовать показатель графы 2 подраздела 4.1 формы N 7а-страховщик и графа 5 0.

19. Если гр. 9 0, четвертый, пятый разряды кода ценной бумаги (гр. 5 подраздела 4.1) X4 = 1, X5 = 4 или 7, то в подразделе 1.2 формы N 12-страховщик в графе 1 должен присутствовать показатель графы 2 подраздела 4.1 формы N 7а-страховщик и графа 7 0.

20. Если гр. 7 0, четвертый, пятый разряды кода ценной бумаги (гр. 5 подраздела 4.1) X4 = 2, X5 = 8, то в подразделе 2.1 формы N 12-страховщик в графе 2 должен присутствовать показатель графы 2 подраздела 4.1 формы N 7а-страховщик и графа 4 0.

21. Если гр. 9 0, четвертый, пятый разряды кода ценной бумаги (гр. 5 подраздела 4.1) X4 = 2, X5 = 8, то в подразделе 2.1 формы N 12-страховщик в графе 2 должен присутствовать показатель графы 2 подраздела 4.1 формы N 7а-страховщик и графа 6 0.

22. Если гр. 7 0, четвертый, пятый разряды кода ценной бумаги (гр. 5 подраздела 4.1) X4 = 2, X5 = 4 или 7, то в подразделе 2.2 формы N 12-страховщик в графе 1 должен присутствовать показатель графы 2 подраздела 4.1 формы N 7а-страховщик и графа 5 0.

23. Если гр. 9 0, четвертый, пятый разряды кода ценной бумаги (гр. 5 подраздела 4.1) X4 = 2, X5 = 4 или 7, то в подразделе 2.2 формы N 12-страховщик в графе 1 должен присутствовать показатель графы 2 подраздела 4.1 формы N 7а-страховщик и графа 7 0.

24. Если второй, пятый разряды кода ценной бумаги (гр. 5 подраздела 4.1) X2 = 1 или 3, X5 8, то в графе 2 количество цифр = 10 цифрам.

25. Если второй разряд кода ценной бумаги (гр. 5 подраздела 4.1) X2 = 2, то в графе 2 количество цифр = 6 цифрам.

26. Если второй, пятый разряды кода ценной бумаги (гр. 5 подраздела 4.1) X2 = 1, X5 = 8, то в графе 2 количество цифр = от 1 до 4 цифр, иначе дать разъяснение в пояснительной записке.

27. Если второй разряд кода ценной бумаги (гр. 5 подраздела 4.1) X2 = 2, то первый разряд кода нерезидента (гр. 2 подраздела 4.1) должен состоять из трех цифр и присутствовать в Общероссийском классификаторе стран мира (ОКСМ).

Подраздел 4.2 "Векселя банков"

1. Если гр. 9 или гр. 10 0, то гр. 1, 2, 7, 8, 11, 13, 14, 15, 16, 18, 19, 20, 21 0.

2. Стр. "Итого", гр. 9, 10 = сумма показателей предыдущих строк подраздела, гр. 9, 10.

3. Стр. 1, гр. 1 = 1.

4. По каждой строке, кроме строки 1, значение графы 1 = значению графы 1 предыдущей строки + 1.

5. Если второй, пятый, шестой разряды кода ценной бумаги (гр. 8 подраздела 4.2) X2 = 1 или 2, X5 = 4, X6 = 1 или 4 или 5, то гр. 3 0, гр. 27, 28 = 0.

6. Если в графе 8 второй, пятый, шестой разряды кода ценной бумаги X2 = 1 или 2, X5 = 4, X6 = 2 или 3 и в графе 28 второй, пятый, шестой, разряды кода ценной бумаги X2 = 1 или 2, X5 = 4, X6 = 2 или 3, то гр. 27 0.

7. Если пятый, шестой разряды кода ценной бумаги (гр. 8 подраздела 4.2) X5 = 4, X6 = 2, то гр. 2 гр. 28, гр. 2, 26 0.

8. Если пятый, шестой разряды кода ценной бумаги (гр. 8 подраздела 4.2) X5 = 4, X6 = 3, то гр. 2 = гр. 28, гр. 2, 26 0.

9. Если пятый, шестой разряды кода ценной бумаги (гр. 8 подраздела 4.2) X5 = 4, X6 = 1 или 4 или 5, то гр. 2 0, гр. 26 = 0.

10. Если второй разряд кода ценной бумаги (гр. 8 подраздела 4.2) X2 = 1, то в графе 2 количество цифр = 10 цифрам.

11. Если второй разряд кода ценной бумаги (гр. 8 подраздела 4.2) X2 = 2, то в графе 2 количество цифр = 6 цифрам.

12. Если в графе 11 условие платежа "по предъявлении", то гр. 12 = 0.

13. Если в графе 11 условие платежа "на определенную дату", "по предъявлении, но не ранее определенной даты", "по предъявлении, но не позднее определенной даты", то в графе 12 указывается конкретная дата платежа в формате ДД.ММ.ГГГГ.

14. Если в графе 11 условие платежа "по предъявлении, но не ранее определенной даты и не позднее определенной даты", то в графе 12 указываются через пробел две даты в формате ДД.ММ.ГГГГ.

15. Если в графе 11 условие платежа "через определенное количество дней с даты выпуска", то в графе 12 указывается количество дней целым числом и через пробел указывается дата составления (выпуска) указывается в формате ДД.ММ.ГГГГ.

16. Если в графе 11 указано условие платежа "иное", то гр. 12 = 0, а в пояснительную записку необходимо перенести из графы 1 порядковый номер строки, из векселя - указанное в нем полное условие платежа (в том числе даты, количество дней и т.п.).

17. Если в графе 11 указано условие платежа "через определенное количество дней с даты выпуска", то дата платежа в графе 12 = дате составления (выпуска) векселя в графе 7.

18. В графе 13 указываются трехзначный цифровой код валюты, в которой выражена вексельная сумма, согласно Общероссийскому классификатору валют (ОКВ).

19. В графе 15 дата принятия к учету указывается в формате ДД.ММ.ГГГГ.

20. Дата в гр. 15 даты в гр. 7.

21. В графе 16 указывается дата правоустанавливающего документа в формате ДД.ММ.ГГГГ.

22. Если в графе 19 отражен регистрационный номер страховой организации, которая является контрагентом по сделке, то в графе 19 количество цифр = от 1 до 4 цифр, иначе дать разъяснение в пояснительной записке.

23. Если в графе 19 отражен ИНН контрагента по сделке, который является организацией иной, чем страховая организация, то в графе 19 количество цифр = 10 цифрам.

24. Если в графе 19 отражен ИНН контрагента по сделке, который является физическим лицом резидентом, то в графе 19 количество цифр = 12 цифрам.

25. Если в графе 19 отражен код нерезидента, который является контрагентом по сделке, то в графе 19 количество цифр = 6 цифрам.

26. Если в графе 21 фактическим местом нахождения векселя указана страховая организация (например, "в страховой организации", "под отчетом у работника страховой организации", "в филиале страховой организации", "у работника филиала страховой организации"), то гр. 22, 23, 24, 25 = 0.

27. Если в графе 21 указано, что вексель находится вне страховой организации (кроме случая "под отчетом у работника страховой организации"), то гр. 22, 23, 24, 25 0.

28. Если в графе 22 отражен регистрационный номер другой страховой организации, то в графе 22 количество цифр = от 1 до 4 цифр, иначе дать разъяснение в пояснительной записке.

29. Если в графе 22 отражен ИНН организации, у которой находится вексель (кроме страховой организации), то в графе 22 количество цифр = 10 цифрам.

30. Если в графе 22 отражен код нерезидента, у которого находится вексель, то в графе 22 количество цифр = 6 цифрам.

31. В графе 23 указывается дата составления документа, который послужил основанием для нахождения векселя в другой организации, в формате ДД.ММ.ГГГГ.

32. Если второй разряд кода ценной бумаги (гр. 28 подраздела 4.2) X2 = 1, то в графе 26 количество цифр = 10 цифрам.

33. Если второй разряд кода ценной бумаги (гр. 28 подраздела 4.2) X2 = 2, то в графе 26 количество цифр = 6 цифрам.

34. Если второй, пятый разряды кода ценной бумаги (гр. 28 подраздела 4.2) X2 = 1, X5 = 8, то в графе 26 количество цифр = от 1 до 4 цифр, иначе дать разъяснение в пояснительной записке.

35. Если гр. 9 0, четвертый, пятый разряды кода ценной бумаги (гр. 5 подраздела 4.2) X4 = 1, X5 = 8, то в подразделе 1.1 формы N 12-страховщик в графе 2 должен присутствовать показатель графы 2 подраздела 4.2 формы N 7а-страховщик и графа 4 0.

36. Если гр. 10 0, четвертый, пятый разряды кода ценной бумаги (гр. 5 подраздела 4.2) X4 = 1, X5 = 8, то в подразделе 1.1 формы N 12-страховщик в графе 2 должен присутствовать показатель графы 2 подраздела 4.2 формы N 7а-страховщик и графа 6 0.

37. Если гр. 9 0, четвертый, пятый разряды кода ценной бумаги (гр. 5 подраздела 4.2) X4 = 1, X5 = 4 или 7, то в подразделе 1.2 формы N 12-страховщик в графе 1 должен присутствовать показатель графы 2 подраздела 4.2 формы N 7а-страховщик и графа 5 0.

38. Если гр. 10 0, четвертый, пятый разряды кода ценной бумаги (гр. 5 подраздела 4.2) X4 = 1, X5 = 4 или 7, то в подразделе 1.2 формы N 12-страховщик в графе 1 должен присутствовать показатель графы 2 подраздела 4.2 формы N 7а-страховщик и графа 7 0.

39. Если гр. 9 0, четвертый, пятый разряды кода ценной бумаги (гр. 5 подраздела 4.2) X4 = 2, X5 = 8, то в подразделе 2.1 формы N 12-страховщик в графе 2 должен присутствовать показатель графы 2 подраздела 4.2 формы N 7а-страховщик и графа 4 0.

40. Если гр. 10 0, четвертый, пятый разряды кода ценной бумаги (гр. 5 подраздела 4.2) X4 = 2, X5 = 8, то в подразделе 2.1 формы N 12-страховщик в графе 2 должен присутствовать показатель графы 2 подраздела 4.2 формы N 7а-страховщик и графа 6 0.

41. Если гр. 9 0, четвертый, пятый разряды кода ценной бумаги (гр. 5 подраздела 4.2) X4 = 2, X5 = 4 или 7, то в подразделе 2.2 формы N 12-страховщик в графе 1 должен присутствовать показатель графы 2 подраздела 4.2 формы N 7а-страховщик и графа 5 0.

42. Если гр. 10 0, четвертый, пятый разряды кода ценной бумаги (гр. 5 подраздела 4.2) X4 = 2, X5 = 4 или 7, то в подразделе 2.2 формы N 12-страховщик в графе 1 должен присутствовать показатель графы 2 подраздела 4.2 формы N 7а-страховщик и графа 7 0.

43. Если второй разряд кода ценной бумаги (гр. 8 подраздела 4.2) X2 = 2, то первый разряд кода нерезидента (гр. 2 подраздела 4.2) должен состоять из трех цифр и присутствовать в Общероссийском классификаторе стран мира (ОКСМ).

44. Если второй разряд кода ценной бумаги (гр. 28 подраздела 4.2) X2 = 2, то первый разряд кода нерезидента (гр. 26 подраздела 4.2) должен состоять из трех цифр и присутствовать в Общероссийском классификаторе стран мира (ОКСМ).

45. Если в графе 19 отражен код нерезидента, который является контрагентом по сделке, то первый разряд кода нерезидента (гр. 19 подраздела 4.2) должен состоять из трех цифр и присутствовать в Общероссийском классификаторе стран мира (ОКСМ).

46. Если в графе 22 отражен код нерезидента, у которого находится вексель, то первый разряд кода нерезидента (гр. 22 подраздела 4.2) должен состоять из трех цифр и присутствовать в Общероссийском классификаторе стран мира (ОКСМ).

47. Дата в гр. 16 даты в гр. 7.

48. Дата в гр. 15 даты в гр. 16.

49. Дата в гр. 7, 15, 16 отчетная дата (31.12.2011).

50. Если гр. 20 0, то в графе 19 количество цифр = от 1 до 4 или 6 или 10 или 12, иначе дать разъяснение в пояснительной записке.

51. В графе 22 количество цифр = 0 или от 1 до 4 или 6 или 10 или 12.

Подраздел 4.3 "Инвестиционные паи паевых инвестиционных фондов"

1. Если гр. 7 или гр. 9 0, то гр. 1, 2, 3, 4, 5 0.

2. Стр. "Итого", гр. 7, 9 = сумма показателей предыдущих строк подраздела, гр. 7, 9.

3. Если гр. 7 0, десятый разряд кода ценной бумаги (гр. 3 раздела 2) X10 = 1, 2, 3, то гр. (3 + 5) стр. 377 формы N 5-страховщик 0.

4. Если гр. 9 0, десятый разряд кода ценной бумаги (гр. 3 раздела 2) X10 = 1, 2, 3, то гр. (4 + 6) стр. 377 формы N 5-страховщик 0.

5. Стр. 1, гр. 1 = 1.

6. По каждой строке, кроме строки 1, значение графы 1 = значению графы 1 предыдущей строки + 1.

7. Гр. 6, 8 целые числа или с точностью до четвертого знака после десятичной точки.

8. Если гр. 7 0, то гр. 6 0.

9. Если гр. 9 0, то гр. 8 0.

10. Если гр. 7 0, четвертый разряд кода ценной бумаги (гр. 5 подраздела 4.3) X4 = 1, то в подразделе 1.2 формы N 12-страховщик в графе 1 должен присутствовать показатель графы 2 подраздела 4.3 формы N 7а-страховщик и графа 5 0.

11. Если гр. 9 0, четвертый разряд кода ценной бумаги (гр. 5 подраздела 4.3) X4 = 1, то в подразделе 1.2 формы N 12-страховщик в графе 1 должен присутствовать показатель графы 2 подраздела 4.3 формы N 7а-страховщик и графа 7 0.

12. Если гр. 7 0, четвертый разряд кода ценной бумаги (гр. 5 подраздела 4.3) X4 = 2, то в подразделе 2.2 формы N 12-страховщик в графе 1 должен присутствовать показатель графы 2 подраздела 4.3 формы N 7а-страховщик и графа 5 0.

13. Если гр. 9 0, четвертый разряд кода ценной бумаги (гр. 5 подраздела 4.3) X4 = 2, то в подразделе 2.2 формы N 12-страховщик в графе 1 должен присутствовать показатель графы 2 подраздела 4.3 формы N 7а-страховщик и графа 7 0.

14. В графе 2 количество цифр = 10 цифрам.

Раздел 5 "Банковские вклады (депозиты), в том числе удостоверенные депозитными сертификатами"

1. Если гр. 5 или гр. 6 0, то гр. 1, 2, 3, 4 0.

2. Стр. "Итого", гр. 5, 6 = сумма показателей предыдущих строк раздела, гр. 5, 6.

3. Стр. 1, гр. 1 = 1.

4. По каждой строке, кроме строки 1, значение графы 1 = значению графы 1 предыдущей строки + 1.

5. Если гр. 5 0, четвертый разряд банковского вклада (гр. 4 раздела 5) X4 = 1, то в подразделе 1.2 формы N 12-страховщик в графе 1 должен присутствовать показатель графы 2 раздела 5 формы N 7а-страховщик и графа 5 0.

6. Если гр. 6 0, четвертый разряд банковского вклада (гр. 4 раздела 5) X4 = 1, то в подразделе 1.2 формы N 12-страховщик в графе 1 должен присутствовать показатель графы 2 раздела 5 формы N 7а-страховщик и графа 7 0.

7. Если гр. 5 0, четвертый разряд банковского вклада (гр. 4 раздела 5) X4 = 2, то в подразделе 2.2 формы N 12-страховщик в графе 1 должен присутствовать показатель графы 2 раздела 5 формы N 7а-страховщик и графа 5 0.

8. Если гр. 6 0, четвертый разряд банковского вклада (гр. 4 раздела 5) X4 = 2, то в подразделе 2.2 формы N 12-страховщик в графе 1 должен присутствовать показатель графы 2 раздела 5 формы N 7а-страховщик и графа 7 0.

9. Если второй разряд кода банковского вклада (гр. 4 раздела 5) X2 = 1, то в графе 2 количество цифр = 10 цифрам.

10. Если второй разряд кода банковского вклада (гр. 4 раздела 5) X2 = 2, то в графе 2 количество цифр = 6 цифрам.

11. Если второй разряд кода банковского вклада (гр. 4 раздела 5) X2 = 2, то первый разряд кода нерезидента (гр. 2 раздела 5) должен состоять из трех цифр и присутствовать в Общероссийском классификаторе стран мира (ОКСМ).

Раздел 6 "Денежные средства"

1. Если гр. 5 или 6 или 7 или 8 0, то гр. 1, 3, 4 0.

2. Если третий разряд кода денежных средств (гр. 4 раздела 6) X3 = 1 или 2 или 3, то гр. 2 0.

3. Если третий разряд кода денежных средств (гр. 4 раздела 6) X3 = 5, то гр. 2 = 0.

4. Стр. "Итого", гр. 5, 6, 7, 8 = сумма показателей предыдущих строк раздела 6, гр. 5, 6, 7, 8.

5. Стр. 1, гр. 1 = 1.

6. По каждой строке, кроме строки 1, значение графы 1 = значению графы 1 предыдущей строки + 1.

7. Если гр. 5 или 7 0, третий, четвертый разряды кода денежных средств (гр. 4 раздела 6) X3 = 1 или 2 или 3, X4 = 1, то в подразделе 1.2 формы N 12-страховщик в графе 1 должен присутствовать показатель графы 2 раздела 6 формы N 7а-страховщик и графа 5 0.

8. Если гр. 6 или 8 0, третий, четвертый разряды кода денежных средств (гр. 4 раздела 6) X3 = 1 или 2 или 3, X4 = 1, то в подразделе 1.2 формы N 12-страховщик в графе 1 должен присутствовать показатель графы 2 раздела 6 формы N 7а-страховщик и графа 7 0.

9. Если гр. 5 или 7 0, третий, четвертый разряды кода денежных средств (гр. 4 раздела 6) X3 = 1 или 2 или 3, X4 = 2, то в подразделе 2.2 формы N 12-страховщик в графе 1 должен присутствовать показатель графы 2 раздела 6 формы N 7а-страховщик и графа 5 0.

10. Если гр. 6 или 8 0, третий, четвертый разряды кода денежных средств (гр. 4 раздела 6) X3 = 1 или 2 или 3, X4 = 2, то в подразделе 2.2 формы N 12-страховщик в графе 1 должен присутствовать показатель графы 2 раздела 6 формы N 7а-страховщик и графа 7 0.

11. Если второй разряд кода денежных средств (гр. 4 раздела 6) X2 = 1, то в графе 2 количество цифр = 10 цифрам.

12. Если второй разряд кода денежных средств (гр. 4 раздела 6) X2 = 2, то в графе 2 количество цифр = 6 цифрам.

13. Если второй разряд кода денежных средств (гр. 4 раздела 6) X2 = 2, то первый разряд кода нерезидента (гр. 2 раздела 6) должен состоять из трех цифр и присутствовать в Общероссийском классификаторе стран мира (ОКСМ).

Раздел 7 "Результаты размещения средств страховых резервов по обязательному медицинскому страхованию"

1. Гр. 5, стр. 020 - 120 = (гр. 3 - гр. 4), стр. 020 - 120 (если результат 0).

2. Гр. 6, стр. 020 - 120 = (гр. 7 - гр. 8), стр. 020 - 120 (если результат 0).

4. Гр. 10, стр. 020 - 120 = (гр. 7 - гр. 8), стр. 020 - 120 (если результат < 0).

5. Стр. 020, гр. 3, 4, 7, 8 = сумма показателей строк 021, 022, 023, 033, гр. 3, 4, 7, 8.

6. Стр. 101, гр. 3, 4, 7, 8 стр. 100, гр. 3, 4, 7, 8.

7. Стр. 102, гр. 3, 4, 7, 8 стр. 101, гр. 3, 4, 7, 8.

8. Стр. 120, гр. 3, 4, 7, 8 = сумма показателей строк 020, 040, 050, 070, 100, 110, 111, 115, гр. 3, 4, 7, 8.

Соотношения, требующие пояснений

Раздел 1 "Страховые резервы по обязательному медицинскому страхованию и активы, принимаемые для их покрытия"

1. Если стр. 190, гр. 3, 4 < стр. 010, гр. 3, 4, то дать разъяснение в пояснительной записке.

Раздел 3 "Государственные ценные бумаги субъектов Российской Федерации и муниципальные ценные бумаги"

1. Если гр. 9 0 и десятый разряд кода ценной бумаги (гр. 5 раздела 3) X10 = 1 или 2 или 3, то в специальном разделе пояснительной записки для каждого вложения в ценные бумаги указать наименование одного из организаторов торговли на рынке ценных бумаг, которые включили ценные бумаги в котировальный лист первого или второго уровня или допустили их к обращению.

Раздел 4 "Ценные бумаги (кроме ценных бумаг, отраженных в разделах 2 и 3)"

Подраздел 4.1 "Облигации и акции"

1. Если гр. 9 0 и десятый разряд кода ценной бумаги (гр. 5 подраздела 4.1) X10 = 1 или 2 или 3, то в специальном разделе пояснительной записки для каждого вложения в ценные бумаги указать наименование одного из организаторов торговли на рынке ценных бумаг, которые включили ценные бумаги в котировальный лист первого или второго уровня или допустили их к обращению.

2. Если гр. 9 0 и второй разряд кода ценной бумаги (гр. 5 подраздела 4.1) X2 = 2, то в специальном разделе пояснительной записки указать наименование эмитента ценных бумаг, наименование фондовых бирж и иных организаторов торговли на рынке ценных бумаг, на которых допущены к обращению ценные бумаги этого эмитента, номер лицензии (разрешения) на осуществление деятельности по организации торговли на рынке ценных бумаг, наименование уполномоченного органа, выдавшего лицензию (разрешение) на осуществление деятельности на рынке ценных бумаг.

Подраздел 4.2 "Векселя банков"

1. Если гр. 10 0, то в специальном разделе пояснительной записки требуется указать наименование банка, векселя которого приобретены страховой организацией, номер лицензии (разрешения) на осуществление банковских операций и наименование уполномоченного органа, выдавшего лицензию (разрешение).

Подраздел 4.3 "Инвестиционные паи паевых инвестиционных фондов"

1. Если гр. 9 0, то в специальном разделе пояснительной записки указать регистрационный номер и дату регистрации правил доверительного управления паевым инвестиционным фондом.

Раздел 5 "Банковские вклады (депозиты), в том числе удостоверенные депозитными сертификатами"

1. Если гр. 6 0, то в специальном разделе пояснительной записки требуется указать наименование банка, вклад (депозит) в котором имеет страховая организация, номер лицензии (разрешения) на осуществление банковских операций банка, и наименование уполномоченного органа, выдавшего лицензию (разрешение).

Раздел 6 "Денежные средства"

1. Если гр. 6 или 8 0 и второй разряд кода денежных средств (гр. 4 раздела 6) X2 = 2, то в специальном разделе пояснительной записки требуется указать наименование банка, денежные средства на счетах которого имеет страховая организация, номер его лицензии (разрешения) на осуществление банковских операций и наименование уполномоченного органа, выдавшего лицензию (разрешение).

12. Отчет о страховых резервах (форма N 8-страховщик)

Раздел 1 "Страховые резервы по страхованию жизни - всего"

1. Стр. 020, гр. 3, 4, 5 стр. 010, гр. 3, 4, 5, иначе дать разъяснение в пояснительной записке.

2. Стр. 040, гр. 3, 4, 5 стр. 030, гр. 3, 4, 5, иначе дать разъяснение в пояснительной записке.

3. Стр. 060, гр. 3, 4, 5 стр. 050, гр. 3, 4, 5, иначе дать разъяснение в пояснительной записке.

4. Стр. 105, гр. 3, 4, 5 стр. 100, гр. 3, 4, 5, иначе дать разъяснение в пояснительной записке.

5. Стр. 105, гр. 3, 4, 5 = стр. (020 + 040 + 060), гр. 3, 4, 5.

6. Стр. 100, гр. 3, 4, 5 = стр. (010 + 030 + 050 + 070 + 080 + 090), гр. 3, 4, 5.

7. Стр. 010, гр. 4, 5 = форма N 1-страховщик, стр. 511, гр. 3, 4.

8. Стр. 020, гр. 4, 5 = форма N 1-страховщик, стр. 161, гр. 3, 4.

9. Стр. 030, гр. 4, 5 = форма N 1-страховщик, стр. 512, гр. 3, 4.

10. Стр. 040, гр. 4, 5 = форма N 1-страховщик, стр. 162, гр. 3, 4.

11. Стр. 080, гр. 4, 5 = форма N 1-страховщик, стр. 513, гр. 3, 4.

12. Стр. 100, гр. 4, 5 = форма N 1-страховщик, стр. 510, гр. 3, 4.

13. Стр. 105, гр. 4, 5 = форма N 1-страховщик, стр. 160, гр. 3, 4.

14. Стр. 110, гр. 3, 4, 5 стр. (100 - 050), гр. 3, 4, 5, иначе дать разъяснение в пояснительной записке.

Подраздел 1.1 "Математический резерв"

1. Стр. 010, гр. 3, 4, 5 = стр. (020 + 030), гр. 3, 4, 5.

2. Стр. 020, гр. 3, 4, 5 = стр. (021 + 022), гр. 3, 4, 5.

3. Стр. 030, гр. 3, 4, 5 = стр. (031 + 032), гр. 3, 4, 5.

4. Стр. 040, гр. 3, 4, 5 = стр. (050 + 060), гр. 3, 4, 5.

5. Стр. 070, гр. 3, 4, 5 = раздел 1, стр. 010, гр. 3, 4, 5.

6. Стр. 070, гр. 3, 4, 5 = стр. (080 + 090), гр. 3, 4, 5.

7. Стр. 080, гр. 3, 4, 5 = стр. (081 + 082), гр. 3, 4, 5.

8. Стр. 090, гр. 3, 4, 5 = стр. (091 + 092), гр. 3, 4, 5.

Подраздел 1.2 "Резерв выплат по заявленным, но неурегулированным страховым случаям"

1. Стр. 010, гр. 3, 4, 5 = раздел 1, стр. 030, гр. 3, 4, 5.

2. Стр. 010, гр. 3, 4, 5 = стр. (020 + 030 + 040 + 050 + 060), гр. 3, 4, 5.

3. Стр. 020, гр. 3, 4, 5 = стр. (021 + 022), гр. 3, 4, 5.

4. Стр. 030, гр. 3, 4, 5 = стр. (031 + 032), гр. 3, 4, 5.

5. Стр. 040, гр. 3, 4, 5 = стр. (041 + 042), гр. 3, 4, 5.

6. Стр. 060, гр. 3, 4, 5 стр. 065, гр. 3, 4, 5.

Подраздел 1.2.1 "Расчет изменения величины резерва выплат по заявленным, но неурегулированным страховым случаям"

1. Стр. 010, гр. 3, 4 = стр. (020 + 030 + 040 + 050 + 060), гр. 3, 4.

2. Стр. 020, гр. 3, 4 = стр. (021 + 022), гр. 3, 4.

3. Стр. 030, гр. 3, 4 = стр. (031 + 032), гр. 3, 4.

4. Стр. 040, гр. 3, 4 = стр. (041 + 042), гр. 3, 4.

5. Стр. 070, гр. 3, 4 = стр. (080 + 090 + 100 + 110 + 120), гр. 3, 4.

6. Стр. 080, гр. 3, 4 = стр. (081 + 082), гр. 3, 4.

7. Стр. 090, гр. 3, 4 = стр. (091 + 092), гр. 3, 4.

8. Стр. 100, гр. 3, 4 = стр. (101 + 102), гр. 3, 4.

9. Стр. 060, гр. 3, 4 стр. 065, гр. 3, 4.

10. Стр. 120, гр. 3, 4 стр. 125, гр. 3, 4.

Подраздел 1.3 "Резерв расходов на обслуживание страховых обязательств"

1. Стр. 010, гр. 3, 4, 5 = стр. (020 + 030), гр. 3, 4, 5.

2. Стр. 020, гр. 3, 4, 5 = стр. (021 + 022), гр. 3, 4, 5.

3. Стр. 030, гр. 3, 4, 5 = стр. (031 + 032), гр. 3, 4, 5.

4. Стр. 040, гр. 3, 4, 5 = стр. (050 + 060), гр. 3, 4, 5.

5. Стр. 070, гр. 3, 4, 5 = стр. (080 + 090), гр. 3, 4, 5.

6. Стр. 070, гр. 3, 4, 5 = раздел 1, стр. 070, гр. 3, 4, 5.

7. Стр. 070, гр. 3, 4, 5 = стр. (010 - 040), гр. 3, 4, 5.

8. Стр. 080, гр. 3, 4, 5 = стр. (081 + 082), гр. 3, 4, 5.

9. Стр. 080, гр. 3, 4, 5 = стр. (020 - 050), гр. 3, 4, 5.

10. Стр. 081, гр. 3, 4, 5 = стр. 021, гр. 3, 4, 5.

11. Стр. 082, гр. 3, 4, 5 = стр. (022 - 050), гр. 3, 4, 5.

12. Стр. 090, гр. 3, 4, 5 = стр. (091 + 092), гр. 3, 4, 5.

13. Стр. 090, гр. 3, 4, 5 = стр. (030 - 060), гр. 3, 4, 5.

14. Стр. 091, гр. 3, 4, 5 = стр. 031, гр. 3, 4, 5.

15. Стр. 092, гр. 3, 4, 5 = стр. (032 - 060), гр. 3, 4, 5.

Подраздел 1.4 "Резерв дополнительных выплат (страховых бонусов)"

1. Стр. 010, гр. 3, 4, 5 = стр. (020 + 030 + 040), гр. 3, 4, 5.

2. Стр. 020, гр. 3, 4, 5 = стр. (021 + 022 + 025), гр. 3, 4, 5.

3. Стр. 030, гр. 3, 4, 5 = стр. (031 + 032 + 035), гр. 3, 4, 5.

4. Стр. 040 гр. 3, 4, 5 = стр. (041 + 042 + 045), гр. 3, 4, 5.

5. Стр. 050 гр. 3, 4, 5 = раздел 1, стр. 080, гр. 3, 4, 5

Подраздел 1.5 "Выравнивающий резерв"

1. Стр. 010, гр. 3, 4, 5 = стр. (020 + 030), гр. 3, 4, 5.

2. Стр. 040, гр. 3, 4, 5 = стр. (050 + 060), гр. 3, 4, 5.

3. Стр. 070, гр. 3, 4, 5 = стр. (010 - 040), гр. 3, 4, 5.

4. Стр. 070, гр. 3, 4, 5 = раздел 1, стр. 090, гр. 3, 4, 5.

5. Стр. 080, гр. 3, 4, 5 = стр. (020 - 050), гр. 3, 4, 5.

6. Стр. 090, гр. 3, 4, 5 = стр. (030 - 060), гр. 3, 4, 5.

Раздел 2 "Страховые резервы по страхованию иному, чем страхование жизни, - всего"

1. Графы 3, 4 по строкам 010, 020, 030, 060, 070, 080, 090 и 100 = соответственно графам 4, 5 по строкам 010, 020, 030, 060, 070, 080, 090 и 100 раздела 2 "Страховые резервы по страхованию иному, чем страхование жизни, - всего" Отчета о страховых резервах (форма N 8-страховщик) предыдущего года, иначе дать разъяснение в пояснительной записке.

2. Стр. 010, гр. 4, 5 = форма N 1-страховщик, стр. 521, гр. 3, 4.

3. Стр. 020, гр. 4, 5 = форма N 1-страховщик, стр. 166, гр. 3, 4.

4. Стр. 030, гр. 4, 5 = форма N 1-страховщик, стр. 522, гр. 3, 4.

5. Стр. 030, гр. 3, 4, 5 = стр. (040 + 050), гр. 3, 4, 5.

6. Стр. 060, гр. 4, 5 = форма N 1-страховщик, стр. 167, гр. 3, 4.

7. Стр. 060, гр. 3, 4, 5 = стр. (070 + 080), гр. 3, 4, 5.

8. Стр. (090 + 100), гр. 4, 5 = форма N 1-страховщик, стр. 523, гр. 3, 4.

9. Стр. 110, гр. 4, 5 = форма N 1-страховщик, стр. 520, гр. 3, 4.

10. Стр. 110, гр. 3, 4, 5 = стр. (010 + 030 + 090 + 100), гр. 3, 4, 5.

Подраздел 2.1 "Резервы убытков, по страхованию иному, чем страхование жизни, рассчитанные актуарными методами, согласованными с Федеральной службой страхового надзора, - всего"

1. Графы 3, 4 по строкам 030, 040, 050, 060, 070, 080 = соответственно графам 4, 5 по строкам 030, 040, 050, 060, 070, 080 подраздела 2.1 "Резервы убытков по страхованию иному, чем страхование жизни, рассчитанные актуарными методами, согласованными с Федеральной службой страхового надзора, - всего" Отчета о страховых резервах (форма N 8-страховщик) предыдущего года, иначе дать разъяснение в пояснительной записке.

2. Стр. 030, гр. 3, 4, 5 = стр. (040 + 050), гр. 3, 4, 5.

3. Стр. 060, гр. 3, 4, 5 = стр. (070 + 080), гр. 3, 4, 5.

Подраздел 2.2 "Страховые резервы по страхованию иному, чем страхование жизни по учетной группе"

1. Стр. 020, гр. 3, 4, 5 стр. 010, гр. 3, 4, 5, иначе дать разъяснение в пояснительной записке.

2. Стр. 030, гр. 3, 4, 5 = стр. (040 + 050), гр. 3, 4, 5.

3. Стр. 060, гр. 3, 4, 5 = стр. (070 + 080), гр. 3, 4, 5.

4. Стр. 070, гр. 3, 4, 5 стр. 040, гр. 3, 4, 5, иначе дать разъяснение в пояснительной записке.

5. Стр. 080, гр. 3, 4, 5 стр. 050, гр. 3, 4, 5, иначе дать разъяснение в пояснительной записке.

6. Сумма строк 010, гр. 3, 4, 5 всех форм подраздела 2.2 = раздел 2, стр. 010, гр. 3, 4, 5.

7. Сумма строк 020, гр. 3, 4, 5 всех форм подраздела 2.2 = раздел 2, стр. 020, гр. 3, 4, 5.

8. Сумма строк 040, гр. 3, 4, 5 всех форм подраздела 2.2 = раздел 2, стр. 040, гр. 3, 4, 5.

9. Сумма строк 050, гр. 3, 4, 5 всех форм подраздела 2.2 = раздел 2, стр. 050, гр. 3, 4, 5.

10. Сумма строк 070, гр. 3, 4, 5 всех форм подраздела 2.2 = раздел 2, стр. 070, гр. 3, 4, 5.

11. Сумма строк 080, гр. 3, 4, 5 всех форм подраздела 2.2 = раздел 2, стр. 080, гр. 3, 4, 5.

12. Сумма строк 100, гр. 3, 4, 5 всех форм подраздела 2.2 = раздел 2, стр. 100, гр. 3, 4, 5.

13. Сумма строк 090, гр. 3, 4, 5 всех форм подраздела 2.2 = раздел 2, стр. 090, гр. 3, 4, 5.

Подраздел 2.2.1 "Резервы убытков по страхованию иному, чем страхование жизни, рассчитанные актуарными методами, согласованными с Федеральной службой страхового надзора по учетной группе"

1. Стр. 030, гр. 3, 4, 5 = стр. (040 + 050), гр. 3, 4, 5.

2. Стр. 060, гр. 3, 4, 5 = стр. (070 + 080), гр. 3, 4, 5.

3. Сумма строк 040, гр. 3, 4, 5 всех форм подраздела 2.2.1 = подраздел 2.1, стр. 040, гр. 3, 4, 5.

4. Сумма строк 050, гр. 3, 4, 5 всех форм подраздела 2.2.1 = подраздел 2.1, стр. 050, гр. 3, 4, 5.

5. Сумма строк 070, гр. 3, 4, 5 всех форм подраздела 2.2.1 = подраздел 2.1, стр. 070, гр. 3, 4, 5.

6. Сумма строк 080, гр. 3, 4, 5 всех форм подраздела 2.2.1 = подраздел 2.1, стр. 080, гр. 3, 4, 5.

7. Стр. 040, гр. 3, 4, 5 подраздел 2.2, стр. 040, гр. 3, 4, 5 по этой учетной группе.

8. Стр. 050, гр. 3, 4, 5 подраздел 2.2, стр. 050, гр. 3, 4, 5 по этой учетной группе.

9. Стр. 070, гр. 3, 4, 5 подраздел 2.2, стр. 070, гр. 3, 4, 5 по этой учетной группе.

10. Стр. 080, гр. 3, 4, 5 подраздел 2.2, стр. 080, гр. 3, 4, 5 по этой учетной группе.

Подраздел 2.3 "Справки к подразделам 2.2 и 2.2.1"

Подраздел 2.3.1 "Резерв незаработанной премии с разбивкой по кварталам и годам начисления страховой премии, страховые премии и заработанная страховая премия по договорам страхования, сострахования и принятым в перестрахование по учетной группе"

1. Стр. 030, гр. 23 стр. 030, гр. 3, иначе дать разъяснение в пояснительной записке.

2. Стр. 040, гр. 23 стр. 040, гр. 4, иначе дать разъяснение в пояснительной записке.

3. Стр. 050, гр. 23 стр. 050, гр. 5, иначе дать разъяснение в пояснительной записке.

4. Стр. 060, гр. 23 стр. 060, гр. 6, иначе дать разъяснение в пояснительной записке.

5. Стр. 070, гр. 23 стр. 070, гр. 7, иначе дать разъяснение в пояснительной записке.

6. Стр. 080, гр. 23 стр. 080, гр. 8, иначе дать разъяснение в пояснительной записке.

7. Стр. 090, гр. 23 стр. 090, гр. 9, иначе дать разъяснение в пояснительной записке.

8. Стр. 100, гр. 23 стр. 100, гр. 10, иначе дать разъяснение в пояснительной записке.

9. Стр. 110, гр. 23 стр. 110, гр. 11, иначе дать разъяснение в пояснительной записке.

10. Стр. 120, гр. 23 стр. 120, гр. 12, иначе дать разъяснение в пояснительной записке.

11. Стр. 130, гр. 23 стр. 130, гр. 13, иначе дать разъяснение в пояснительной записке.

12. Стр. 140, гр. 23 стр. 140, гр. 14, иначе дать разъяснение в пояснительной записке.

13. Стр. 150, гр. 23 стр. 150, гр. 15, иначе дать разъяснение в пояснительной записке.

14. Стр. 160, гр. 23 стр. 160, гр. 16, иначе дать разъяснение в пояснительной записке.

15. Стр. 170, гр. 23 стр. 170, гр. 17, иначе дать разъяснение в пояснительной записке.

16. Стр. 180, гр. 23 стр. 180, гр. 18, иначе дать разъяснение в пояснительной записке.

17. Стр. 190, гр. 23 стр. 190, гр. 19, иначе дать разъяснение в пояснительной записке.

18. Стр. 200, гр. 23 стр. 200, гр. 20, иначе дать разъяснение в пояснительной записке.

19. Стр. 210, гр. 23 стр. 210, гр. 21, иначе дать разъяснение в пояснительной записке.

20. Стр. 220, гр. 23 стр. 220, гр. 22, иначе дать разъяснение в пояснительной записке.

21. Показатели строк с 030 по 220 проверяются: гр. 24 = гр. 23 - гр. 22.

22. Сумма показателей строк с 020 по 220, гр. 22 = подраздел 2.2, стр. 010, гр. 5 по этой учетной группе.

23. Показатель каждой строки с 030 по 220 проверяется: гр. i гр. i + 1 для всех i, изменяющихся от 3 до 21.

24. Показатель строки 020 проверяется: гр. i гр. i + 1 для всех i, изменяющихся от N до 21, где N - минимальный номер графы, для которой хотя бы в одной из строк с 030 по 200 имеется ненулевое значение.

Подраздел 2.3.2 "Доля перестраховщиков в резерве незаработанной премии с разбивкой по кварталам и годам начисления страховой премии по договорам перестрахования, страховые премии и доля перестраховщиков в заработанной премии по договорам, переданным в перестрахование по учетной группе"

1. Стр. 030, гр. 23 стр. 030, гр. 3, иначе дать разъяснение в пояснительной записке.

2. Стр. 040, гр. 23 стр. 040, гр. 4, иначе дать разъяснение в пояснительной записке.

3. Стр. 050, гр. 23 стр. 050, гр. 5, иначе дать разъяснение в пояснительной записке.

4. Стр. 060, гр. 23 стр. 060, гр. 6, иначе дать разъяснение в пояснительной записке.

5. Стр. 070, гр. 23 стр. 070, гр. 7, иначе дать разъяснение в пояснительной записке.

6. Стр. 080, гр. 23 стр. 080, гр. 8, иначе дать разъяснение в пояснительной записке.

7. Стр. 090, гр. 23 стр. 090, гр. 9, иначе дать разъяснение в пояснительной записке.

8. Стр. 100, гр. 23 стр. 100, гр. 10, иначе дать разъяснение в пояснительной записке.

9. Стр. 110, гр. 23 стр. 110, гр. 11, иначе дать разъяснение в пояснительной записке.

10. Стр. 120, гр. 23 стр. 120, гр. 12, иначе дать разъяснение в пояснительной записке.

11. Стр. 130, гр. 23 стр. 130, гр. 13, иначе дать разъяснение в пояснительной записке.

12. Стр. 140, гр. 23 стр. 140, гр. 14, иначе дать разъяснение в пояснительной записке.

13. Стр. 150, гр. 23 стр. 150, гр. 15, иначе дать разъяснение в пояснительной записке.

14. Стр. 160, гр. 23 стр. 160, гр. 16, иначе дать разъяснение в пояснительной записке.

15. Стр. 170, гр. 23 стр. 170, гр. 17, иначе дать разъяснение в пояснительной записке.

16. Стр. 180, гр. 23 стр. 180, гр. 18, иначе дать разъяснение в пояснительной записке.

17. Стр. 190, гр. 23 стр. 190, гр. 19, иначе дать разъяснение в пояснительной записке.

18. Стр. 200, гр. 23 стр. 200, гр. 20, иначе дать разъяснение в пояснительной записке.

19. Стр. 210, гр. 23 стр. 210, гр. 21, иначе дать разъяснение в пояснительной записке.

20. Стр. 220, гр. 23 стр. 220, гр. 22, иначе дать разъяснение в пояснительной записке.

21. Показатели строк с 030 по 220 проверяются: гр. 24 = гр. 23 - гр. 22.

22. Сумма показателей строк с 020 по 220, гр. 22 = подраздел 2.2, стр. 020, гр. 5 по этой учетной группе.

23. Показатель каждой строки с 030 по 220 проверяется: гр. i гр. i + 1 для всех i, изменяющихся от 3 до 21.

24. Показатель строки 020 проверяется: гр. i гр. i + 1 для всех i, изменяющихся от N до 21, где N - минимальный номер графы, для которой хотя бы в одной из строк с 030 по 200 имеется ненулевое значение.

Подраздел 2.3.3 "Заявленные, но не урегулированные убытки по страховым случаям по договорам страхования, сострахования и договорам, принятым в перестрахование, с разбивкой по кварталам и годам наступления страхового случая и заявления о нем по учетной группе"

Подраздел 2.3.4 "Страховые премии, подлежащие возврату страхователям, перестрахователям в связи с досрочным прекращением (изменением условий) договоров страхования, сострахования и договоров, принятых в перестрахование, с разбивкой по кварталам и годам досрочного прекращения (изменения условий) договоров и заявления о нем по учетной группе"

Подраздел 2.3.5 "Доля перестраховщиков в заявленных, но не урегулированных убытках по страховым случаям по договорам страхования, сострахования и договорам, принятым в перестрахование, с разбивкой по кварталам и годам наступления страхового случая и заявления о нем по учетной группе"

Подраздел 2.3.6 "Доля перестраховщиков в страховых премиях, подлежащих возврату страхователям, перестрахователям в связи с досрочным прекращением (изменением условий) договоров страхования, сострахования и договоров, принятых в перестрахование, с разбивкой по кварталам и годам досрочного прекращения (изменения условий) договоров и заявления о нем по учетной группе"

1. По каждой учетной группе: если подраздел 2.2.1, стр. 040, гр. 3 = 0, то 1,03 x сумма показателей строк с 020 по 140, гр. 14 подразделов 2.3.3 и 2.3.4 = подраздел 2.2, стр. 040, гр. 3 по этой учетной группе.

2. По каждой учетной группе: если подраздел 2.2.1, стр. 040, гр. 4 = 0, то 1,03 x сумма показателей строк с 020 по 180, гр. 18 подразделов 2.3.3 и 2.3.4 = подраздел 2.2, стр. 040, гр. 4 по этой учетной группе.

3. По каждой учетной группе: если подраздел 2.2.1, стр. 040, гр. 5 = 0, то 1,03 x сумма показателей строк с 020 по 220, гр. 22 подразделов 2.3.3 и 2.3.4 = подраздел 2.2, стр. 040, гр. 5 по этой учетной группе.

4. По каждой учетной группе: если подраздел 2.2.1, стр. 070, гр. 3 = 0, то сумма показателей строк с 020 по 140, гр. 14 подразделов 2.3.5 и 2.3.6 = подраздел 2.2, стр. 070, гр. 3 по этой учетной группе, иначе дать разъяснение в пояснительной записке.

5. По каждой учетной группе: если подраздел 2.2.1, стр. 070, гр. 4 = 0, то сумма показателей строк с 020 по 180, гр. 18 подразделов 2.3.5 и 2.3.6 = подраздел 2.2, стр. 070, гр. 4 по этой учетной группе, иначе дать разъяснение в пояснительной записке.

6. По каждой учетной группе: если подраздел 2.2.1, стр. 070, гр. 5 = 0, то сумма показателей строк с 020 по 220, гр. 22 подразделов 2.3.5 и 2.3.6 = подраздел 2.2, стр. 070, гр. 5 по этой учетной группе, иначе дать разъяснение в пояснительной записке.

Подраздел 2.3.7 "Оплаченные убытки (страховые выплаты) по договорам страхования, сострахования и договорам, принятым в перестрахование, с разбивкой по кварталам и годам наступления страхового случая и оплаты (развития) убытков (нарастающим итогом) по учетной группе"

Подраздел 2.3.8 "Доля перестраховщиков в оплаченных убытках (страховых выплатах) по договорам страхования, сострахования и договорам, принятым в перестрахование, с разбивкой по кварталам и годам наступления страхового случая и оплаты (развития) убытков (нарастающим итогом) по учетной группе"

Подраздел 2.3.9 "Страховые премии, возвращенные страхователям, перестрахователям, в связи с досрочным прекращением (изменением условий) договоров страхования, сострахования и договоров, принятых в перестрахование, с разбивкой по кварталам и годам досрочного прекращения (изменения условий) договоров и возврата страховых премий (нарастающим итогом) по учетной группе"

Подраздел 2.3.10 "Доля перестраховщиков в страховых премиях, возвращенных страхователям, перестрахователям, в связи с досрочным прекращением (изменением условий) договоров страхования, сострахования и договоров, принятых в перестрахование, с разбивкой по кварталам и годам досрочного прекращения (изменения условий) договоров и возврата страховых премий (нарастающим итогом) по учетной группе"

1. Показатель каждой строки с 030 по 220 проверяется: гр. i гр. i + 1 для всех i, изменяющихся от 3 до 21.

2. Показатель строки 020 проверяется: гр. i гр. i + 1 для всех i, изменяющихся от N до 21, где N - минимальный номер графы, для которой хотя бы в одной из строк с 030 по 200 имеется ненулевое значение.

Подраздел 2.3.11 "Доходы, расходы, финансовый результат и другие показатели по договорам страхования, сострахования и договорам, принятым в перестрахование, по учетной группе"

1. Стр. 010, гр. 3 = подраздел 2.3.1, сумма показателей строк 110, 120, 130, 140 гр. 23 по этой учетной группе.

2. Стр. 010, гр. 4 = подраздел 2.3.1, сумма показателей строк 150, 160, 170, 180, гр. 23 по этой учетной группе.

3. Стр. 010, гр. 5 = подраздел 2.3.1, сумма показателей строк 190, 200, 210, 220, гр. 23 по этой учетной группе.

4. Сумма строк 010, гр. 3 всех форм подраздела 2.3.11 = форма N 2-страховщик, стр. 081, гр. 4 предыдущего года, иначе дать разъяснение в пояснительной записке.

5. Сумма строк 010, гр. 4, 5 всех форм подраздела 2.3.11 = форма N 2-страховщик, стр. 081, гр. 4, 3.

6. Стр. 020, гр. 3 по абсолютной величине = подраздел 2.3.2, сумма показателей строк 110, 120, 130, 140, гр. 23 по этой учетной группе.

7. Стр. 020, гр. 4 по абсолютной величине = подраздел 2.3.2, сумма показателей строк 150, 160, 170, 180, гр. 23 по этой учетной группе.

8. Стр. 020, гр. 5 по абсолютной величине = подраздел 2.3.2, сумма показателей строк 190, 200, 210, 220, гр. 23 по этой учетной группе.

9. Сумма строк 020, гр. 3 всех форм подраздела 2.3.11 = форма N 2-страховщик, стр. 082, гр. 4 предыдущего года, иначе дать разъяснение в пояснительной записке.

10. Сумма строк 020, гр. 4, 5 всех форм подраздела 2.3.11 = форма N 2-страховщик, стр. 082, гр. 4, 3.

11. Стр. 030, гр. 3, 4, 5 = стр. (010 - 020), гр. 3, 4, 5.

12. Сумма строк 040, гр. 3 всех форм подраздела 2.3.11 = форма N 2-страховщик, стр. 091, гр. 4 предыдущего года, иначе дать разъяснение в пояснительной записке.

13. Сумма строк 040, гр. 4, 5 всех форм подраздела 2.3.11 = форма N 2-страховщик, стр. 091, гр. 4, 3.

14. Сумма строк 050, гр. 3 всех форм подраздела 2.3.11 = форма N 2-страховщик, стр. 092, гр. 4 предыдущего года, иначе дать разъяснение в пояснительной записке.

15. Сумма строк 050, гр. 4, 5 всех форм подраздела 2.3.11 = форма N 2-страховщик, стр. 092, гр. 4, 3.

16. Стр. 060, гр. 3, 4, 5 = стр. (040 + 050), гр. 3, 4, 5.

17. Стр. 070, гр. 3, 4, 5 = стр. (010 + 040), гр. 3, 4, 5.

18. Стр. 080, гр. 3, 4, 5 = стр. (020 - 050), гр. 3, 4, 5.

19. Стр. 090, гр. 3, 4, 5 = стр. (070 - 080), гр. 3, 4, 5.

20. Стр. 100, гр. 3 по абсолютной величине = сумма разностей показателей гр. 14 - гр. 10 строк с 020 по 220 подразделов 2.3.7 и 2.3.9 по этой учетной группе.

21. Стр. 100, гр. 4 по абсолютной величине = сумма разностей показателей гр. 18 - гр. 14 строк с 020 по 220 подразделов 2.3.7 и 2.3.9 по этой учетной группе.

22. Стр. 100, гр. 5 по абсолютной величине = сумма разностей показателей гр. 22 - гр. 18 строк с 020 по 220 подразделов 2.3.7 и 2.3.9 по этой учетной группе.

23. Сумма строк 100, гр. 3 всех форм подраздела 2.3.11 = форма N 2-страховщик, стр. 111, гр. 4 предыдущего года, иначе дать разъяснение в пояснительной записке.

24. Сумма строк 100, гр. 4, 5 всех форм подраздела 2.3.11 = форма N 2-страховщик, стр. 111, гр. 4, 3.

25. Стр. 110, гр. 3 по абсолютной величине = сумма разностей показателей гр. 14 - гр. 10 строк с 020 по 220 подразделов 2.3.8 и 2.3.10 по этой учетной группе.

26. Стр. 110, гр. 4 по абсолютной величине = сумма разностей показателей гр. 18 - гр. 14 строк с 020 по 220 подразделов 2.3.8 и 2.3.10 по этой учетной группе.

27. Стр. 110, гр. 5 = сумма разностей показателей гр. 22 - гр. 18 строк с 020 по 220 подразделов 2.3.8 и 2.3.10 по этой учетной группе.

28. Сумма строк 110, гр. 3 всех форм подраздела 2.3.11 = форма N 2-страховщик, стр. 112, гр. 4 предыдущего года, иначе дать разъяснение в пояснительной записке.

29. Сумма строк 110, гр. 4, 5 всех форм подраздела 2.3.11 = форма N 2-страховщик, стр. 112, гр. 4, 3.

30. Стр. 120, гр. 3, 4, 5 = стр. (100 - 110), гр. 3, 4, 5.

31. Стр. 140, гр. 3, 4, 5 = стр. (150 + 160), гр. 3, 4, 5.

32. Стр. 170, гр. 3, 4, 5 = стр. (180 + 190), гр. 3, 4, 5.

33. Стр. 220, гр. 3, 4, 5 = стр. (140 + 170 + 200 - 210), гр. 3, 4, 5.

34. Стр. 240, гр. 3, 4, 5 = стр. (241 + 249), гр. 3, 4, 5.

35. Стр. (140 + 230), гр. 3 всех форм подраздела 2.3.11 = форма N 2-страховщик, стр. 161, гр. 4 предыдущего года, иначе дать разъяснение в пояснительной записке.

36. Стр. (140 + 230), гр. 4, 5 всех форм подраздела 2.3.11 = форма N 2-страховщик, стр. 161, гр. 4, 3.

37. Стр. (170 + 200 + 240 + 250 + 270), гр. 3 всех форм подраздела 2.3.11 = форма N 2-страховщик, стр. 162, гр. 4 предыдущего года, иначе дать разъяснение в пояснительной записке.

38. Стр. (170 + 200 + 240 + 250 + 270), гр. 4, 5 всех форм подраздела 2.3.11 = форма N 2-страховщик, стр. 162, гр. 4, 3.

39. Стр. (210 + 280), гр. 3 всех форм подраздела 2.3.11 = форма N 2-страховщик, стр. 165, гр. 4 предыдущего года, иначе дать разъяснение в пояснительной записке.

40. Стр. (210 + 280), гр. 4, 5 всех форм подраздела 2.3.11 = форма N 2-страховщик, стр. 165, гр. 4, 3.

41. Сумма строк 300, гр. 3 всех форм подраздела 2.3.11 = форма N 2-страховщик, стр. 121, гр. 4 предыдущего года, иначе дать разъяснение в пояснительной записке.

42. Сумма строк 300, гр. 4, 5 всех форм подраздела 2.3.11 = форма N 2-страховщик, стр. 121, гр. 4, 3.

43. Сумма строк 310, гр. 3 всех форм подраздела 2.3.11 = форма N 2-страховщик, стр. 122, гр. 4 предыдущего года, иначе дать разъяснение в пояснительной записке.

44. Сумма строк 310, гр. 4, 5 всех форм подраздела 2.3.11 = форма N 2-страховщик, стр. 122, гр. 4, 3.

45. Стр. 320, гр. 3, 4, 5 = стр. (300 + 310), гр. 3, 4, 5.

46. Если хотя бы одна из строк 230 - 290, гр. 5 0, то в файле пояснительной записки с кодом раздела 28 необходимо раскрыть информацию о методе распределения косвенных расходов по учетным группам.

Подраздел 2.3.11 "Доходы, расходы, финансовый результат и другие показатели по договорам страхования, сострахования и договорам, принятым в перестрахование, по учетной группе" (кроме учетной группы 13.1)

1. Сумма строк 130, гр. 3 всех форм подраздела 2.3.11 = форма N 2-страховщик, стр. 153, гр. 4 предыдущего года, иначе дать разъяснение в пояснительной записке.

2. Сумма строк 130, гр. 4, 5 всех форм подраздела 2.3.11 = форма N 2-страховщик, стр. 153, гр. 4, 3.

3. Стр. 290, гр. 3, 4, 5 = стр. (230 + 240 + 270 - 280), гр. 3, 4, 5.

4. Стр. 330, гр. 3, 4, 5 = стр. (010 + 040 - 100 - 130 - 140 - 170 - 200 - 230 - 240 - 270 + 300), гр. 3, 4, 5.

5. Стр. 340, гр. 3, 4, 5 = стр. (330 - 020 + 050 + 110 + 210 + 280 + 310), гр. 3, 4, 5.

6. Если по учетной группе, подраздел 2.2, стр. 090, гр. 3, 4, 5 0, то стр. 350, гр. 3, 4, 5 0.

7. Стр. 360, 370, гр. 3, 4, 5 с точностью до двух знаков после запятой.

Подраздел 2.3.11 "Доходы, расходы, финансовый результат и другие показатели по договорам страхования, сострахования и договорам, принятым в перестрахование, по учетной группе" (для учетной группы 13.1)

1. Стр. 130, гр. 3 = форма N 2-страховщик, стр. (151 + 152), гр. 4 предыдущего года, иначе дать разъяснение в пояснительной записке.

2. Стр. 130, гр. 4, 5 = форма N 2-страховщик, стр. (151 + 152), гр. 4, 3.

3. Стр. 350, гр. 3, 4, 5 = стр. (010 + 040 - 100 - 130 - 140 - 170 - 200 - 230 - 240 - 250 - 270 + 300), гр. 3, 4, 5.

4. Стр. 360, гр. 3, 4, 5 = стр. (350 - 020 + 050 + 110 + 210 + 280 + 310), гр. 3, 4, 5.

5. Стр. 370, 380, гр. 3, 4, 5 подраздела 2.3.11 по учетной группе 13.1 с точностью до двух знаков после запятой.

Подразделы 2.2 "Страховые резервы по страхованию иному, чем страхование жизни по учетной группе" и 2.3 "Справки к подразделам 2.2 и 2.2.1"

1. В подразделах 2.2, 2.2.1, 2.3.1, 2.3.2, 2.3.3, 2.3.4, 2.3.5, 2.3.6, 2.3.7, 2.3.8, 2.3.9, 2.3.10, 2.3.11, 2.3.12, 2.3.13 значение номера учетной группы = 1 или 2 или 3 или 4 или 5 или 6 или 7 или 8 или 9 или 10 или 11 или 12 или 13 или 13.1 или 13.2 или 14 или 15 или 16 или 17 или 18 или 19.

2. В подразделах 2.2, 2.2.1, 2.3.1, 2.3.2, 2.3.3, 2.3.4, 2.3.5, 2.3.6, 2.3.7, 2.3.8, 2.3.9, 2.3.10, 2.3.11, 2.3.12, 2.3.13 наименование учетной группы должно соответствовать ее наименованию, указанному в пункте 14 Правил формирования страховых резервов по страхованию иному, чем страхование жизни, утвержденных приказом Министерства финансов Российской Федерации от 11 июня 2002 г. N 51н.

13. Отчет об использовании средств фонда (резерва) предупредительных мероприятий (форма N 9-страховщик)

Раздел 1 "Движение средств фонда (резерва) предупредительных мероприятий"

1. Показатель каждой строки раздела 1 проверяется: гр. 6 = гр. 3 + гр. 4 - гр. 5, иначе дать разъяснение в пояснительной записке.

2. Стр. 010, гр. 3, 6 = форма N 1-страховщик, стр. 675, гр. 3, 4.

3. Стр. 010, гр. 3, 4, 5, 6 = стр. (011 + 015 + 016), гр. 3, 4, 5, 6.

4. Если стр. 010, гр. 5 0, то в файле пояснительной записки с кодом раздела 18 необходимо указать сведения об использовании средств фонда (резерва) предупредительных мероприятий, расшифровку профинансированных мероприятий и эффекта вложения средств в те или иные мероприятия.

Раздел 2 "Направления использования средств фонда (резерва) предупредительных мероприятий"

5. Абсолютная величина стр. 020, гр. 3 = абсолютная величина раздел 1, стр. (011 + 015), гр. 5.

6. Стр. 020, гр. 3 = сумма показателей строк 021 - 040, гр. 3.

7. Стр. 040, гр. 3 = сумма показателей последующих строк раздела.

Раздел 3 "Направления использования средств резерва финансирования предупредительных мероприятий по обязательному медицинскому страхованию"

8. Абсолютная величина стр. 020, гр. 3 = абсолютная величина раздел 1, стр. 016, гр. 5.

9. Стр. 020, гр. 3 = сумма показателей строк 021 - 024, гр. 3.

10. Стр. 024, гр. 3 стр. (025 + 026 + 027), гр. 3.

14. Отчет об операциях перестрахования (форма N 10-страховщик)

Раздел 1 "Операции перестрахования - всего"

1. Стр. 010, гр. 3 = форма N 2-страховщик, стр. 011, гр. 3.

2. Стр. 011, гр. 3 стр. 010, гр. 3.

3. Стр. 015, гр. 3 = форма N 2-страховщик, стр. 012, гр. 3.

4. Стр. 016, гр. 3, 4, 5 стр. 015, гр. 3, 4, 5.

5. Стр. 020, гр. 3 = форма N 2-страховщик, стр. 031 + 033, гр. 3.

6. Стр. 021, гр. 3 стр. 020, гр. 3.

7. Стр. 025, гр. 3 = форма N 2-страховщик, стр. 032, гр. 3.

8. Стр. 031, гр. 3 форма N 2-страховщик, стр. 052, гр. 3.

9. Стр. 032, гр. 3 = форма N 2-страховщик, стр. 055, гр. 3.

10. Стр. 040, гр. 3 = форма N 1-страховщик, стр. 510, гр. 4.

11. Стр. 041, гр. 3 стр. 040, гр. 3.

12. Стр. 045, гр. 3 = форма N 1-страховщик, стр. 160, гр. 4.

13. Стр. 060, гр. 3 = форма N 2-страховщик, стр. 081, гр. 3.

14. Стр. 061, гр. 3 стр. 060, гр. 3.

15. Стр. 065, гр. 3 = форма N 2-страховщик, стр. 082, гр. 3.

16. Стр. 066, гр. 3, 4, 5 стр. 065, гр. 3, 4, 5.

17. Стр. 070, гр. 3 = форма N 2-страховщик, стр. 111, гр. 3.

18. Стр. 071, гр. 3 стр. 070, гр. 3.

19. Стр. 075, гр. 3 = форма N 2-страховщик, стр. 112, гр. 3.

20. Стр. 081, гр. 3 форма N 2-страховщик, стр. 162, гр. 3.

21. Стр. 082, гр. 3 = форма N 2-страховщик, стр. 165, гр. 3.

22. Стр. 090, гр. 3 = форма N 1-страховщик, стр. 521, гр. 4.

23. Стр. 091, гр. 3 стр. 090, гр. 3.

24. Стр. 095, гр. 3 = форма N 1-страховщик, стр. 166, гр. 4.

25. Стр. 100, гр. 3 = форма N 1-страховщик, стр. 522, гр. 4.

26. Стр. 101, гр. 3 стр. 100, гр. 3.

27. Стр. 105, гр. 3 = форма N 1-страховщик, стр. 167, гр. 4.

28. Стр. (051 + 111), гр. 3 = форма N 1-страховщик, стр. 150, гр. 4.

29. Стр. (052 + 112), гр. 3 = форма N 1-страховщик, стр. 610, гр. 4.

30. Если стр. 015, гр. 3 > стр. (010 - 011) гр. 3, то стр. 016, гр. 3 > 0.

31. Если стр. 065, гр. 3 > стр. (060 - 061) гр. 3, то стр. 066, гр. 3 > 0.

32. Показатели строк 011, 015, 016, 021, 025, 031, 032, 041, 045, 051, 052, 061, 065, 066, 071, 075, 081, 082, 091, 095, 101, 105, 111, 112 проверяются:

гр. 3 = гр. 4 + гр. 5.

Если в файле описания страховой организации поле "Перестрахование принятое" = 1, поле "Перестрахование переданное" = 1, поле "Страхование жизни" = 0, поле "Страхование иное, чем страхование жизни" = 0 и поле "Обязательное страхование гражданской ответственности владельцев транспортных средств" = 0, то применяются контрольные соотношения 33 - 36:

33. Стр. 010, гр. 3 = стр. 011, гр. 3;

34. Стр. 015, гр. 3, 4, 5 = стр. 016, гр. 3, 4, 5;

35. Стр. 060, гр. 3 = стр. 061, гр. 3;

36. Стр. 065, гр. 3, 4, 5 = стр. 066, гр. 3, 4, 5.

Если в файле описания страховой организации поле "Перестрахование принятое" = 1, поле "Перестрахование переданное" = 0, поле "Страхование жизни" = 0, поле "Страхование иное, чем страхование жизни" = 0 и поле "Обязательное страхование гражданской ответственности владельцев транспортных средств" = 0, то применяются контрольные соотношения 37 - 39:

37. Стр. 010, гр. 3 = стр. 011, гр. 3;

38. Стр. 060, гр. 3 = стр. 061, гр. 3;

39. Стр. 015, 016, 065, 066, гр. 3, 4, 5 = 0.

Если в файле описания страховой организации поле "Перестрахование принятое" = 0, то применяется контрольное соотношение 40:

40. Стр. 011, 016, 061, 066, гр. 3, 4, 5 = 0.

Раздел 2 "Операции перестрахования в разрезе перестраховщиков"

Подраздел 2.1 "Страховые премии (взносы), переданные перестраховщикам"

1. Показатели каждой строки подраздела 2.1 проверяются:

гр. 5 = гр. 6 + гр. 7.

2. Если гр. 5 0, то гр. 1, 2, 3, 4 0.

3. Стр. "Итого", гр. 5, 6, 7 = сумма показателей предыдущих строк подраздела.

4. Стр. "Итого", гр. 5 = стр. 015, гр. 3 + стр. 065, гр. 3.

5. Стр. "Итого", гр. 6 = стр. 015, гр. 4 + стр. 065, гр. 4.

6. Стр. "Итого", гр. 7 = стр. 015, гр. 5 + стр. 065, гр. 5.

Подраздел 2.2 "Доля перестраховщиков в выплатах по договорам страхования и резервах убытков"

1. Показатели каждой строки подраздела 2.2 проверяются:

гр. 5 = гр. 6 + гр. 7;

гр. 11 = гр. 12 + гр. 13.

2. Если гр. 5 или гр. 11 0, то гр. 1, 2, 3, 4 0.

3. Стр. "Итого", гр. 5, 6, 7, 11, 12, 13 = сумма показателей предыдущих строк подраздела.

4. Стр. "Итого", гр. 5 = стр. 025, гр. 3 + стр. 075, гр. 3.

5. Стр. "Итого", гр. 6 = стр. 025, гр. 4 + стр. 075, гр. 4.

6. Стр. "Итого", гр. 7 = стр. 025, гр. 5 + стр. 075, гр. 5.

7. Стр. "Итого", гр. 11, 12, 13 = стр. 105, гр. 3, 4, 5.

Подраздел 2.3 "Кредиторская и дебиторская задолженность перестраховщиков"

1. Показатели каждой строки подраздела 2.3 проверяются:

гр. 5 = гр. 6 + гр. 7;

гр. 11 = гр. 12 + гр. 13.

2. Если гр. 5 или гр. 11 0, то гр. 1, 2, 3, 4 0.

3. Стр. "Итого", гр. 5, 6, 7, 11, 12, 13 = сумма показателей предыдущих строк подраздела.

Раздел 3 "Операции перестрахования в разрезе перестрахователей"

Подраздел 3.1 "Страховые премии (взносы) по договорам, принятым в перестрахование"

1. Показатели каждой строки подраздела 3.1 проверяются:

гр. 5 = гр. 6 + гр. 7;

2. Если гр. 5 0, то гр. 1, 2, 3, 4 0.

3. Стр. "Итого", гр. 5, 6, 7 = сумма показателей предыдущих строк подраздела.

4. Стр. "Итого", гр. 5 = стр. 011, гр. 3 + стр. 061, гр. 3.

5. Стр. "Итого", гр. 6 = стр. 011, гр. 4 + стр. 061, гр. 4.

6. Стр. "Итого", гр. 7 = стр. 011, гр. 5 + стр. 061, гр. 5.

Подраздел 3.2 "Выплаты и резервы убытков"

1. Показатели каждой строки подраздела 3.2 проверяются:

гр. 5 = гр. 6 + гр. 7;

гр. 11 = гр. 12 + гр. 13.

2. Если гр. 5 или гр. 11 0, то гр. 1, 2, 3, 4 0.

3. Стр. "Итого", гр. 5, 6, 7, 11, 12, 13 = сумма показателей предыдущих строк подраздела.

4. Стр. "Итого", гр. 5 = стр. 021, гр. 3 + стр. 071, гр. 3.

5. Стр. "Итого", гр. 6 = стр. 021, гр. 4 + стр. 071, гр. 4.

6. Стр. "Итого", гр. 7 = стр. 021, гр. 5 + стр. 071, гр. 5.

7. Стр. "Итого", гр. 11, 12, 13 = стр. 101, гр. 3, 4, 5.

Подраздел 3.3 "Дебиторская и кредиторская задолженность перестрахователей"

1. Показатели каждой строки подраздела 3.3 проверяются:

гр. 5 = гр. 6 + гр. 7;

гр. 11 = гр. 12 + гр. 13.

2. Если гр. 5 или гр. 11 0, то гр. 1, 2, 3, 4 0.

3. Стр. "Итого", гр. 5, 6, 7, 11, 12, 13 = сумма показателей предыдущих строк подраздела.

Подраздел 2.1 "Страховые премии (взносы), переданные перестраховщикам"

1. Если гр. 2 0 и в ней указан регистрационный номер перестраховщика, являющегося резидентом (до четырех знаков), и гр. 5 0, то гр. 6 0, гр. 7 = 0.

2. Если гр. 2 0 и в ней указан код нерезидента (два значащих разряда, каждый из которых состоит из трех десятичных разрядов) и гр. 5 0, то гр. 6 = 0, гр. 7 0.

3. Если гр. 6 0, то в гр. 2 количество цифр = от 1 до 4 цифр.

4. Если гр. 7 0, то в гр. 2 количество цифр = 6 цифрам.

5. Если гр. 7 0, то первый разряд кода нерезидента (гр. 2 подраздела 2.1) должен состоять из трех цифр и присутствовать в Общероссийском классификаторе стран мира (ОКСМ).

Подраздел 2.2 "Доля перестраховщиков в выплатах по договорам страхования и резервах убытков"

Подраздел 2.3 "Кредиторская и дебиторская задолженность перестраховщиков"

1. Если гр. 2 0 и в ней указан регистрационный номер перестраховщика, являющегося резидентом (до четырех знаков), и гр. 5 0, то гр. 6 0, гр. 7 = 0.

2. Если гр. 2 0 и в ней указан регистрационный номер перестраховщика, являющегося резидентом (до четырех знаков), и гр. 11 0, то гр. 12 0, гр. 13 = 0.

3. Если гр. 2 0 и в ней указан код нерезидента (два значащих разряда, каждый из которых состоит из трех десятичных разрядов) и гр. 5 0, то гр. 6 = 0, гр. 7 0.

4. Если гр. 2 0 и в ней указан код нерезидента (два значащих разряда, каждый из которых состоит из трех десятичных разрядов) и гр. 11 0, то гр. 12 = 0, гр. 13 0.

5. Если гр. 6, 12 0, то в гр. 2 количество цифр = от 1 до 4 цифр.

6. Если гр. 7, 13 0, то в гр. 2 количество цифр = 6 цифрам.

7. Если гр. 7, 13 0, то первый разряд кода нерезидента (гр. 2 подразделов 2.2, 2.3) должен состоять из трех цифр и присутствовать в Общероссийском классификаторе стран мира (ОКСМ).

Подраздел 3.1 "Страховые премии (взносы) по договорам, принятым в перестрахование"

1. Если гр. 2 0 и в ней указан регистрационный номер перестрахователя, являющегося резидентом (до четырех знаков), и гр. 5 0, то гр. 6 0, гр. 7 = 0.

2. Если гр. 2 0 и в ней указан код нерезидента (два значащих разряда, каждый из которых состоит из трех десятичных разрядов) и гр. 5 0, то гр. 6 = 0, гр. 7 0.

3. Если гр. 6 0, то в гр. 2 количество цифр = от 1 до 4 цифр.

4. Если гр. 7 0, то в гр. 2 количество цифр = 6 цифрам.

5. Если гр. 7 0, то первый разряд кода нерезидента (гр. 2 подраздела 3.1) должен состоять из трех цифр и присутствовать в Общероссийском классификаторе стран мира (ОКСМ).

Подраздел 3.2 "Выплаты и резервы убытков"

Подраздел 3.3 "Дебиторская и кредиторская задолженность перестрахователей"

1. Если гр. 2 0 и в ней указан регистрационный номер перестрахователя, являющегося резидентом (до четырех знаков), и гр. 5 0, то гр. 6 0, гр. 7 = 0.

2. Если гр. 2 0 и в ней указан регистрационный номер перестрахователя, являющегося резидентом (до четырех знаков), и гр. 11 0, то гр. 12 0, гр. 13 = 0.

3. Если гр. 2 0 и в ней указан код нерезидента (два значащих разряда, каждый из которых состоит из трех десятичных разрядов) и гр. 5 0, то гр. 6 = 0, гр. 7 0.

4. Если гр. 2 0 и в ней указан код нерезидента (два значащих разряда, каждый из которых состоит из трех десятичных разрядов) и гр. 11 0, то гр. 12 = 0, гр. 13 0.

5. Если гр. 6, 12 0, то в гр. 2 количество цифр = от 1 до 4 цифр.

6. Если гр. 7, 13 0, то в гр. 2 количество цифр = 6 цифрам.

7. Если гр. 7, 13 0, то первый разряд кода нерезидента (гр. 2 подразделов 3.2, 3.3) должен состоять из трех цифр и присутствовать в Общероссийском классификаторе стран мира (ОКСМ).

15. Информация по операционному сегменту (форма N 11-страховщик)

Код вида страхования (графа 3)

1. Первый разряд кода вида страхования X1 = 22 или 31 или 32 или 33 или 34 или 40 или 60.

2. Второй разряд кода вида страхования X2 = 3 цифрам.

3. Если первый разряд кода вида страхования X1 = 22, то второй разряд кода вида страхования X2 = 110 или 111 или 112 или 115 или 120.

4. Если первый разряд кода вида страхования X1 = 31, то второй разряд кода вида страхования X2 = 110 или 120 или 130 или 140 или 150 или 160.

5. Если первый разряд кода вида страхования X1 = 32, то второй разряд кода вида страхования X2 = 110 или 111 или 112 или 115 или 116 или 117 или 119 или 120 или 121 или 125 или 130 или 131 или 135 или 140 или 150 или 151 или 155 или 160 или 161 или 165.

6. Если первый разряд кода вида страхования X1 = 33, то второй разряд кода вида страхования X2 = 110 или 120 или 121 или 125 или 126 или 128 или 129 или 130 или 131 или 132 или 135 или 140 или 141 или 142 или 145.

7. Если первый разряд кода вида страхования X1 = 34, то второй разряд кода вида страхования X2 = 110 или 111 или 115 или 120 или 121 или 125 или 130 или 131 или 132 или 133 или 135 или 140 или 141 или 142 или 143 или 144 или 145 или 147.

8. Если первый разряд кода вида страхования X1 = 40, то второй разряд кода вида страхования X2 = 111 или 115 или 120 или 125 или 130 или 151 или 155 или 157 или 158 или 160.

9. Если первый разряд кода вида страхования X1 = 60, то второй разряд кода вида страхования X2 = 108 или 109 или 110 или 111 или 112 или 117 или 118 или 119 или 120 или 121 или 122 или 123 или 124 или 125 или 126 или 127 или 129 или 130 или 131 или 132 или 133 или 134 или 135 или 136 или 137 или 138 или 140 или 141 или 142 или 143 или 431 или 432 или 144 или 145 или 146 или 147 или 148 или 149 или 150 или 151 или 152 или 153 или 154 или 155 или 156 или 157 или 158 или 159 или 160 или 161 или 162 или 163 или 164 или 165 или 166 или 167 или 168 или 169 или 170 или 171 или 172 или 173 или 174 или 176 или 185 или 186 или 187 или 188 или 189 или 193 или 194 или 195 или 196 или 197.

Раздел 1 "Результат от операций по страхованию иному, чем страхование жизни, по договорам страхования, сострахования"

1. Если гр. 4 0, то гр. 1 0 и наименование важнейшего вида страхования (гр. 1 раздела 1) в строке с кодом вида страхования (гр. 3 раздела 1) иным, чем 22115, 32112, 32119, 32125, 32135, 32155, 32165, 33135, 33145, 34115, 34135, 34147, должно соответствовать наименованию этого вида страхования в гр. 1 строк подраздела 2.2.1 (кроме строки 115), подраздела 3.1.1, подраздела 3.2.1 (кроме строк 112, 119, 125, 135, 155, 165), подраздела 3.3.1 (кроме строк 135, 145), подраздела 3.4.1 (кроме строк 115, 135, 147), подраздела 4.1 формы N 2-С.

2. Число строк с кодом вида страхования (гр. 3 раздела 1) иным, чем 22115, 32112, 32119, 32125, 32135, 32155, 32165, 33135, 33145, 34115, 34135, 34147, = 1.

3. Если гр. 4 0, то гр. 1 0 и в строках с кодом вида страхования (гр. 3 раздела 1) 22115, 32112, 32119, 32125, 32135, 32155, 32165, 33135, 33145, 34115, 34135, 34147 наименование важнейшего вида страхования (гр. 1 раздела 1) в одной из строк должно соответствовать наименованию этого вида страхования в гр. 1 по стр. 115 подраздела 2.2.1; по стр. 112, 119, 125, 135, 155, 165 подраздела 3.2.1; по стр. 135, 145 подраздела 3.3.1; по стр. 115, 135, 147 подраздела 3.4.1 формы N 2-С, а наименования важнейших видов страхования (гр. 1 раздела 1) в остальных строках должно соответствовать наименованиям правил страхования этих важнейших видов страхования (далее - правила страхования).

4. Показатели каждой строки раздела 1 проверяются:

гр. 7 = гр. 4 + гр. 5 - гр. 6;

гр. 11 = гр. 8 - гр. 9 + гр. 10;

гр. 15 = гр. 7 - гр. 11 + гр. 12 - гр. 13 - гр. 14;

если гр. 11 > 0 и гр. 7 0, то гр. 16 = гр. 11 x 100 / гр. 7, с точностью до двух знаков после запятой, иначе гр. 16 = 0.

5. Стр. 200, гр. 4, 5, 6, 8, 9, 10, 12, 13, 14 = сумма показателей строк 110, 120, 130, 140, 150, 160, 170, 180, 190, 195, гр. 4, 5, 6, 8, 9, 10, 12, 13, 14, иначе дать разъяснение в пояснительной записке.

6. Стр. 110, гр. 4, 8 = стр. 199, гр. 3, 6 подраздела 2.2.1 формы N 2-С.

7. Если гр. 3, стр. 110, 111, 112, 115, 120 подраздела 2.2.1 формы N 2-С , то в форме N 11-страховщик в разделе 1, гр. 3 должна присутствовать строка с кодом вида страхования 22110, 22111, 22112, 22115, 22120 и гр. 4 0.

8. Если первый, второй разряды кода вида страхования (гр. 3 раздела 1) X1 = 22, X2 = 110, то гр. 4, 8 = стр. 110, гр. 3, 6 подраздела 2.2.1 формы N 2-С.

9. Если первый, второй разряды кода вида страхования (гр. 3 раздела 1) X1 = 22, X2 = 111, то гр. 4, 8 = стр. 111, гр. 3, 6 подраздела 2.2.1 формы N 2-С.

10. Если первый, второй разряды кода вида страхования (гр. 3 раздела 1) X1 = 22, X2 = 112, то гр. 4, 8 = стр. 112, гр. 3, 6 подраздела 2.2.1 формы N 2-С.

11. Если наименование важнейшего вида страхования (гр. 1 раздела 1) соответствует наименованию этого вида страхования в гр. 1, стр. 115 подраздела 2.2.1 формы N 2-С, первый, второй разряды кода вида страхования (гр. 3 раздела 1) X1 = 22, X2 = 115, то гр. 4, 8 = стр. 115, гр. 3, 6 подраздела 2.2.1 формы N 2-С.

12. Если наименование важнейшего вида страхования (гр. 1 раздела 1) соответствует наименованию этого вида страхования в гр. 1, стр. 115 подраздела 2.2.1 формы N 2-С, первый, второй разряды кода вида страхования (гр. 3 раздела 1) X1 = 22, X2 = 115, то гр. 4, 8 сумма показателей строк, в которых наименование важнейших видов страхования соответствует наименованию правил страхования (гр. 1 раздела 1), первый, второй разряды кода вида страхования (гр. 3 раздела 1) X1 = 22, X2 = 115, гр. 4, 8.

13. Если первый, второй разряды кода вида страхования (гр. 3 раздела 1) X1 = 22, X2 = 120, то гр. 4, 8 = стр. 120, гр. 3, 6 подраздела 2.2.1 формы N 2-С.

14. Стр. 120, гр. 4, 8 = сумма показателей стр. 199, гр. 3, 6 подразделов 3.1.1 и 3.3.1 формы N 2-С.

15. Если гр. 3, стр. 110, 120, 130, 140, 150, 160 подраздела 3.1.1, стр. 110, 120, 121, 125, 126, 128, 129, 130, 131, 132, 135, 140, 141, 142, 145 подраздела 3.3.1 формы N 2-С , то в форме N 11-страховщик в разделе 1, гр. 3 должна присутствовать строка с кодом вида страхования 31110, 31120, 31130, 31140, 31150, 31160, 33110, 33120, 33121, 33125, 33126, 33128, 33129, 33130, 33131, 33132, 33135, 33140, 33141, 33142, 33145 и гр. 4 0.

16. Если первый, второй разряды кода вида страхования (гр. 3 раздела 1) X1 = 31, X2 = 110, то гр. 4, 8 = стр. 110, гр. 3, 6 подраздела 3.1.1 формы N 2-С.

17. Если первый, второй разряды кода вида страхования (гр. 3 раздела 1) X1 = 31, X2 = 120, то гр. 4, 8 = стр. 120, гр. 3, 6 подраздела 3.1.1 формы N 2-С.

18. Если первый, второй разряды кода вида страхования (гр. 3 раздела 1) X1 = 31, X2 = 130, то гр. 4, 8 = стр. 130, гр. 3, 6 подраздела 3.1.1 формы N 2-С.

19. Если первый, второй разряды кода вида страхования (гр. 3 раздела 1) X1 = 31, X2 = 140, то гр. 4, 8 = стр. 140, гр. 3, 6 подраздела 3.1.1 формы N 2-С.

20. Если первый, второй разряды кода вида страхования (гр. 3 раздела 1) X1 = 31, X2 = 150, то гр. 4, 8 = стр. 150, гр. 3, 6 подраздела 3.1.1 формы N 2-С.

21. Если первый, второй разряды кода вида страхования (гр. 3 раздела 1) X1 = 31, X2 = 160, то гр. 4, 8 = стр. 160, гр. 3, 6 подраздела 3.1.1 формы N 2-С.

22. Если первый, второй разряды кода вида страхования (гр. 3 раздела 1) X1 = 33, X2 = 110, то гр. 4, 8 = стр. 110, гр. 3, 6подраздела 3.3.1 формы N 2-С.

23. Если первый, второй разряды кода вида страхования (гр. 3 радела 1) X1 = 33, X2 = 120, то гр. 4, 8 = стр. 120, гр. 3, 6 подраздела 3.3.1 формы N 2-С.

24. Если первый, второй разряды кода вида страхования (гр. 3 раздела 1) X1 = 33, X2 = 121, то гр. 4, 8 = стр. 121, гр. 3, 6 подраздела 3.3.1 формы N 2-С.

25. Если первый, второй разряды кода вида страхования (гр. 3 раздела 1) X1 = 33, X2 = 125, то гр. 4, 8 = стр. 125, гр. 3, 6 подраздела 3.3.1 формы N 2-С.

26. Если первый, второй разряды кода вида страхования (гр. 3 раздела 1) X1 = 33, X2 = 126, то гр. 4, 8 = стр. 126, гр. 3, 6 подраздела 3.3.1 формы N 2-С.

27. Если первый, второй разряды кода вида страхования (гр. 3 раздела 1) X1 = 33, X2 = 128, то гр. 4, 8 = стр. 128, гр. 3, 6 подраздела 3.3.1 формы N 2-С.

28. Если первый, второй разряды кода вида страхования (гр. 3 раздела 1) X1 = 33, X2 = 129, то гр. 4, 8 = стр. 129, гр. 3, 6 подраздела 3.3.1 формы N 2-С.

29. Если первый, второй разряды кода вида страхования (гр. 3 раздела 1) X1 = 33, X2 = 130, то гр. 4, 8 = стр. 130, гр. 3, 6 подраздела 3.3.1 формы N 2-С.

30. Если первый, второй разряды кода вида страхования (гр. 3 раздела 1) X1 = 33, X2 = 131, то гр. 4, 8 = стр. 131, гр. 3, 6 подраздела 3.3.1 формы N 2-С.

31. Если первый, второй разряды кода вида страхования (гр. 3 раздела 1) X1 = 33, X2 = 132, то гр. 4, 8 = стр. 132, гр. 3, 6 подраздела 3.3.1 формы N 2-С.

32. Если наименование важнейшего вида страхования (гр. 1 раздела 1) соответствует наименованию этого вида страхования в гр. 1, стр. 135 подраздела 3.3.1 формы N 2-С, первый, второй разряды кода вида страхования (гр. 3 раздела 1) X1 = 33, X2 = 135, то гр. 4, 8 = стр. 135, гр. 3, 6 подраздела 3.3.1 формы N 2-С.

33. Если наименование важнейшего вида страхования (гр. 1 раздела 1) соответствует наименованию этого вида страхования в гр. 1, стр. 135 подраздела 3.3.1 формы N 2-С, первый, второй разряды кода вида страхования (гр. 3 раздела 1) X1 = 33, X2 = 135, то гр. 4, 8 сумма показателей строк, в которых наименование важнейших видов страхования соответствует наименованию правил страхования (гр. 1 раздела 1), первый, второй разряды кода вида страхования (гр. 3 раздела 1) X1 = 33, X2 = 135, гр. 4, 8.

34. Если первый, второй разряды кода вида страхования (гр. 3 раздела 1) X1 = 33, X2 = 140, то гр. 4, 8 = стр. 140, гр. 3, 6 подраздела 3.3.1 формы N 2-С.

35. Если первый, второй разряды кода вида страхования (гр. 3 раздела 1) X1 = 33, X2 = 141, то гр. 4, 8 = стр. 141, гр. 3, 6 подраздела 3.3.1 формы N 2-С.

36. Если первый, второй разряды кода вида страхования (гр. 3 раздела 1) X1 = 33, X2 = 142, то гр. 4, 8 = стр. 142, гр. 3, 6 подраздела 3.3.1 формы N 2-С.

37. Если наименование важнейшего вида страхования (гр. 1 раздела 1) соответствует наименованию этого вида страхования в гр. 1, стр. 145 подраздела 3.3.1 формы N 2-С, первый, второй разряды кода вида страхования (гр. 3 раздела 1) X1 = 33, X2 = 145, то гр. 4, 8 = стр. 145, гр. 3, 6 подраздела 3.3.1 формы N 2-С.

38. Если наименование важнейшего вида страхования (гр. 1 раздела 1) соответствует наименованию этого вида страхования в гр. 1, стр. 145 подраздела 3.3.1 формы N 2-С, первый, второй разряды кода вида страхования (гр. 3 раздела 1) X1 = 33, X2 = 145, то гр. 4, 8 сумма показателей строк, в которых наименование важнейших видов страхования соответствует наименованию правил страхования (гр. 1 раздела 1), первый, второй разряды кода вида страхования (гр. 3 раздела 1) X1 = 33, X2 = 145, гр. 4, 8.

39. Стр. 130, гр. 4, 8 = сумма показателей стр. 199, гр. 3, 6 подразделов 3.2.1 и 3.4.1 формы N 2-С.

40. Если гр. 3, стр. 110, 111, 112, 115, 116, 119, 120, 121, 125, 130, 131, 135, 140, 150, 151, 155, 160, 161, 165 подраздела 3.2.1, стр. 110, 111, 115, 120, 121, 125, 130, 131, 132, 133, 135, 140, 141, 142, 143, 144, 145, 147 подраздела 3.4.1 формы N 2-С , то в форме N 11-страховщик в разделе 1, гр. 3 должна присутствовать строка с кодом вида страхования 32110, 32111, 32112, 32115, 32116, 32119, 32120, 32121, 32125, 32130, 32131, 32135, 32140, 32150, 32151, 32155, 32160, 32161, 32165, 34110, 34111, 34115, 34120, 34121, 34125, 34130, 34131, 34132, 34133, 34135, 34140, 34141, 34142, 34143, 34144, 34145, 34147 и гр. 4 0.

41. Если гр. 3, стр. 117 подраздела 3.2.1 формы N 2-С 0, то в форме N 11-страховщик в разделе 1, гр. 3 должна присутствовать строка с кодом вида страхования 32117 и гр. 4 0.

42. Если первый, второй разряды кода вида страхования (гр. 3 раздела 1) X1 = 32, X2 = 110, то гр. 4, 8 = стр. 110, гр. 3, 6 подраздела 3.2.1 формы N 2-С.

43. Если первый, второй разряды кода вида страхования (гр. 3 раздела 1) X1 = 32, X2 = 111, то гр. 4, 8 = стр. 111, гр. 3, 6 подраздела 3.2.1 формы N 2-С.

44. Если наименование важнейшего вида страхования (гр. 1 раздела 1) соответствует наименованию этого вида страхования в гр. 1, стр. 112 подраздела 3.2.1 формы N 2-С, первый, второй разряды кода вида страхования (гр. 3 раздела 1) X1 = 32, X2 = 112, то гр. 4, 8 = стр. 112, гр. 3, 6 подраздела 3.2.1 формы N 2-С.

45. Если наименование важнейшего вида страхования (гр. 1 раздела 1) соответствует наименованию этого вида страхования в гр. 1, стр. 112 подраздела 3.2.1 формы N 2-С, первый, второй разряды кода вида страхования (гр. 3 раздела 1) X1 = 32, X2 = 112, то гр. 4, 8 сумма показателей строк, в которых наименование важнейших видов страхования соответствует наименованию правил страхования (гр. 1 раздела 1), первый, второй разряды кода вида страхования (гр. 3 раздела 1) X1 = 32, X2 = 112, гр. 4, 8.

46. Если первый, второй разряды кода вида страхования (гр. 3 раздела 1) X1 = 32, X2 = 115, то гр. 4, 8 = стр. 115, гр. 3, 6 подраздела 3.2.1 формы N 2-С.

47. Если первый, второй разряды кода вида страхования (гр. 3 раздела 1) X1 = 32, X2 = 116, то гр. 4, 8 = стр. 116, гр. 3, 6 подраздела 3.2.1 формы N 2-С.

48. Если первый, второй разряды кода вида страхования (гр. 3 раздела 1) X1 = 32, X2 = 117, то гр. 4, 8 = стр. 117, гр. 3, 6 подраздела 3.2.1 формы N 2-С.

49. Если наименование важнейшего вида страхования (гр. 1 раздела 1) соответствует наименованию этого вида страхования в гр. 1, стр. 119 подраздела 3.2.1 формы N 2-С, первый, второй разряды кода вида страхования (гр. 3 раздела 1) X1 = 32, X2 = 119, то гр. 4, 8 = стр. 119, гр. 3, 6 подраздела 3.2.1 формы N 2-С.

50. Если наименование важнейшего вида страхования (гр. 1 раздела 1) соответствует наименованию этого вида страхования в гр. 1, стр. 119 подраздела 3.2.1 формы N 2-С, первый, второй разряды кода вида страхования (гр. 3 раздела 1) X1 = 32, X2 = 119, то гр. 4, 8 сумма показателей строк, в которых наименование важнейших видов страхования соответствует наименованию правил страхования (гр. 1 раздела 1), первый, второй разряды кода вида страхования (гр. 3 раздела 1) X1 = 32, X2 = 119, гр. 4, 8.

51. Если первый, второй разряды кода вида страхования (гр. 3 раздела 1) X1 = 32, X2 = 120, то гр. 4, 8 = стр. 120, гр. 3, 6 подраздела 3.2.1 формы N 2-С.

52. Если первый, второй разряды кода вида страхования (гр. 3 раздела 1) X1 = 32, X2 = 121, то гр. 4, 8 = стр. 121, гр. 3, 6 подраздела 3.2.1 формы N 2-С.

53. Если наименование важнейшего вида страхования (гр. 1 раздела 1) соответствует наименованию этого вида страхования в гр. 1, стр. 125 подраздела 3.2.1 формы N 2-С, первый, второй разряды кода вида страхования (гр. 3 раздела 1) X1 = 32, X2 = 125, то гр. 4, 8 = стр. 125, гр. 3, 6 подраздела 3.2.1 формы N 2-С.

54. Если наименование важнейшего вида страхования (гр. 1 раздела 1) соответствует наименованию этого вида страхования в гр. 1, стр. 125 подраздела 3.2.1 формы N 2-С, первый, второй разряды кода вида страхования (гр. 3 раздела 1) X1 = 32, X2 = 125, то гр. 4, 8 сумма показателей строк, в которых наименование важнейших видов страхования соответствует наименованию правил страхования (гр. 1 раздела 1), первый, второй разряды кода вида страхования (гр. 3 раздела 1) X1 = 32, X2 = 125, гр. 4, 8.

55. Если первый, второй разряды кода вида страхования (гр. 3 раздела 1) X1 = 32, X2 = 130, то гр. 4, 8 = стр. 130, гр. 3, 6 подраздела 3.2.1 формы N 2-С.

56. Если первый, второй разряды кода вида страхования (гр. 3 раздела 1) X1 = 32, X2 = 131, то гр. 4, 8 = стр. 131, гр. 3, 6 подраздела 3.2.1 формы N 2-С.

57. Если наименование важнейшего вида страхования (гр. 1 раздела 1) соответствует наименованию этого вида страхования в гр. 1, стр. 135 подраздела 3.2.1 формы N 2-С, первый, второй разряды кода вида страхования (гр. 3 раздела 1) X1 = 32, X2 = 135, то гр. 4, 8 = стр. 135, гр. 3, 6 подраздела 3.2.1 формы N 2-С.

58. Если наименование важнейшего вида страхования (гр. 1 раздела 1) соответствует наименованию этого вида страхования в гр. 1, стр. 135 подраздела 3.2.1 формы N 2-С, первый, второй разряды кода вида страхования (гр. 3 раздела 1) X1 = 32, X2 = 135, то гр. 4, 8 сумма показателей строк, в которых наименование важнейших видов страхования соответствует наименованию правил страхования (гр. 1 раздела 1), первый, второй разряды кода вида страхования (гр. 3 раздела 1) X1 = 32, X2 = 135, гр. 4, 8.

59. Если первый, второй разряды кода вида страхования (гр. 3 раздела 1) X1 = 32, X2 = 140, то гр. 4, 8 = стр. 140, гр. 3, 6 подраздела 3.2.1 формы N 2-С.

60. Если первый, второй разряды кода вида страхования (гр. 3 раздела 1) X1 = 32, X2 = 150, то гр. 4, 8 = стр. 150, гр. 3, 6 подраздела 3.2.1 формы N 2-С.

61. Если первый, второй разряды кода вида страхования (гр. 3 раздела 1) X1 = 32, X2 = 151, то гр. 4, 8 = стр. 151, гр. 3, 6 подраздела 3.2.1 формы N 2-С.

62. Если наименование важнейшего вида страхования (гр. 1 раздела 1) соответствует наименованию этого вида страхования в гр. 1, стр. 155 подраздела 3.2.1 формы N 2-С, первый, второй разряды кода вида страхования (гр. 3 раздела 1) X1 = 32, X2 = 155, то гр. 4, 8 = стр. 155, гр. 3, 6 подраздела 3.2.1 формы N 2-С.

63. Если наименование важнейшего вида страхования (гр. 1 раздела 1) соответствует наименованию этого вида страхования в гр. 1, стр. 155 подраздела 3.2.1 формы N 2-С, первый, второй разряды кода вида страхования (гр. 3 раздела 1) X1 = 32, X2 = 155, то гр. 4, 8 сумма показателей строк, в которых наименование важнейших видов страхования соответствует наименованию правил страхования (гр. 1 раздела 1), первый, второй разряды кода вида страхования (гр. 3 раздела 1) X1 = 32, X2 = 155, гр. 4, 8.

64. Если первый, второй разряды кода вида страхования (гр. 3 раздела 1) X1 = 32, X2 = 160, то гр. 4, 8 = стр. 160, гр. 3, 6 подраздела 3.2.1 формы N 2-С.

65. Если первый, второй разряды кода вида страхования (гр. 3 раздела 1) X1 = 32, X2 = 161, то гр. 4, 8 = стр. 161, гр. 3, 6 подраздела 3.2.1 формы N 2-С.

66. Если наименование важнейшего вида страхования (гр. 1 раздела 1) соответствует наименованию этого вида страхования в гр. 1, стр. 165 подраздела 3.2.1 формы N 2-С, первый, второй разряды кода вида страхования (гр. 3 раздела 1) X1 = 32, X2 = 165, то гр. 4, 8 = стр. 165, гр. 3, 6 подраздела 3.2.1 формы N 2-С.

67. Если наименование важнейшего вида страхования (гр. 1 раздела 1) соответствует наименованию этого вида страхования в гр. 1, стр. 165 подраздела 3.2.1 формы N 2-С, первый, второй разряды кода вида страхования (гр. 3 раздела 1) X1 = 32, X2 = 165, то гр. 4, 8 сумма показателей строк, в которых наименование важнейших видов страхования соответствует наименованию правил страхования (гр. 1 раздела 1), первый, второй разряды кода вида страхования (гр. 3 раздела 1) X1 = 32, X2 = 165, гр. 4, 8.

68. Если первый, второй разряды кода вида страхования (гр. 3 раздела 1) X1 = 34, X2 = 110, то гр. 4, 8 = стр. 110, гр. 3, 6 подраздела 3.4.1 формы N 2-С.

69. Если первый, второй разряды кода вида страхования (гр. 3 раздела 1) X1 = 34, X2 = 111, то гр. 4, 8 = стр. 111, гр. 3, 6 подраздела 3.4.1 формы N 2-С.

70. Если наименование важнейшего вида страхования (гр. 1 раздела 1) соответствует наименованию этого вида страхования в гр. 1, стр. 115 подраздела 3.4.1 формы N 2-С, первый, второй разряды кода вида страхования (гр. 3 раздела 1) X1 = 34, X2 = 115, то гр. 4, 8 = стр. 115, гр. 3, 6 подраздела 3.4.1 формы N 2-С.

71. Если наименование важнейшего вида страхования (гр. 1 раздела 1) соответствует наименованию этого вида страхования в гр. 1, стр. 115 подраздела 3.4.1 формы N 2-С, первый, второй разряды кода вида страхования (гр. 3 раздела 1) X1 = 34, X2 = 115, то гр. 4, 8 сумма показателей строк, в которых наименование важнейших видов страхования соответствует наименованию правил страхования (гр. 1 раздела 1), первый, второй разряды кода вида страхования (гр. 3 раздела 1) X1 = 34, X2 = 115, гр. 4, 8.

72. Если первый, второй разряды кода вида страхования (гр. 3 раздела 1) X1 = 34, X2 = 120, то гр. 4, 8 = стр. 120, гр. 3, 6 подраздела 3.4.1 формы N 2-С.

73. Если первый, второй разряды кода вида страхования (гр. 3 раздела 1) X1 = 34, X2 = 121, то гр. 4, 8 = стр. 121, гр. 3, 6 подраздела 3.4.1 формы N 2-С.

74. Если первый, второй разряды кода вида страхования (гр. 3 раздела 1) X1 = 34, X2 = 125, то гр. 4, 8 = стр. 125, гр. 3, 6 подраздела 3.4.1 формы N 2-С.

75. Если первый, второй разряды кода вида страхования (гр. 3 раздела 1) X1 = 34, X2 = 130, то гр. 4, 8 = стр. 130, гр. 3, 6 подраздела 3.4.1 формы N 2-С.

76. Если первый, второй разряды кода вида страхования (гр. 3 раздела 1) X1 = 34, X2 = 131, то гр. 4, 8 = стр. 131, гр. 3, 6 подраздела 3.4.1 формы N 2-С.

77. Если первый, второй разряды кода вида страхования (гр. 3 раздела 1) X1 = 34, X2 = 132, то гр. 4, 8 = стр. 132, гр. 3, 6 подраздела 3.4.1 формы N 2-С.

78. Если первый, второй разряды кода вида страхования (гр. 3 раздела 1) X1 = 34, X2 = 133, то гр. 4, 8 = стр. 133, гр. 3, 6 подраздела 3.4.1 формы N 2-С.

79. Если наименование важнейшего вида страхования (гр. 1 раздела 1) соответствует наименованию этого вида страхования в гр. 1, стр. 135 подраздела 3.4.1 формы N 2-С, первый, второй разряды кода вида страхования (гр. 3 раздела 1) X1 = 34, X2 = 135, то гр. 4, 8 = стр. 135, гр. 3, 6 подраздела 3.4.1 формы N 2-С.

80. Если наименование важнейшего вида страхования (гр. 1 раздела 1) соответствует наименованию этого вида страхования в гр. 1, стр. 135 подраздела 3.4.1 формы N 2-С, первый, второй разряды кода вида страхования (гр. 3 раздела 1) X1 = 34, X2 = 135, то гр. 4, 8 сумма показателей строк, в которых наименование важнейших видов страхования соответствует наименованию правил страхования (гр. 1 раздела 1), первый, второй разряды кода вида страхования (гр. 3 раздела 1) X1 = 34, X2 = 135, гр. 4, 8.

81. Если первый, второй разряды кода вида страхования (гр. 3 раздела 1) X1 = 34, X2 = 140, то гр. 4, 8 = стр. 140, гр. 3, 6 подраздела 3.4.1 формы N 2-С.

82. Если первый, второй разряды кода вида страхования (гр. 3 раздела 1) X1 = 34, X2 = 141, то гр. 4, 8 = стр. 141, гр. 3, 6 подраздела 3.4.1 формы N 2-С.

83. Если первый, второй разряды кода вида страхования (гр. 3 раздела 1) X1 = 34, X2 = 142, то гр. 4, 8 = стр. 142, гр. 3, 6 подраздела 3.4.1 формы N 2-С.

84. Если первый, второй разряды кода вида страхования (гр. 3 раздела 1) X1 = 34, X2 = 143, то гр. 4, 8 = стр. 143, гр. 3, 6 подраздела 3.4.1 формы N 2-С.

85. Если первый, второй разряды кода вида страхования (гр. 3 раздела 1) X1 = 34, X2 = 144, то гр. 4, 8 = стр. 144, гр. 3, 6 подраздела 3.4.1 формы N 2-С.

86. Если первый, второй разряды кода вида страхования (гр. 3 раздела 1) X1 = 34, X2 = 145, то гр. 4, 8 = стр. 145, гр. 3, 6 подраздела 3.4.1 формы N 2-С.

87. Если наименование важнейшего вида страхования (гр. 1 раздела 1) соответствует наименованию этого вида страхования в гр. 1, стр. 147 подраздела 3.4.1 формы N 2-С, первый, второй разряды кода вида страхования (гр. 3 раздела 1) X1 = 34, X2 = 147, то гр. 4, 8 = стр. 147, гр. 3, 6 подраздела 3.4.1 формы N 2-С.

88. Если наименование важнейшего вида страхования (гр. 1 раздела 1) соответствует наименованию этого вида страхования в гр. 1, стр. 147 подраздела 3.4.1 формы N 2-С, первый, второй разряды кода вида страхования (гр. 3 раздела 1) X1 = 34, X2 = 147, то гр. 4, 8 сумма показателей строк, в которых наименование важнейших видов страхования соответствует наименованию правил страхования (гр. 1 раздела 1), первый, второй разряды кода вида страхования (гр. 3 раздела 1) X1 = 34, X2 = 147, гр. 4, 8.

89. Стр. 140, гр. 4, 8 = стр. 110, гр. 3, 6 подраздела 3.5.1 формы N 2-С.

90. Стр. 150, гр. 4, 8 = стр. 120, гр. 3, 6 подраздела 3.5.1 формы N 2-С.

91. Стр. 160, гр. 4, 8 = стр. 110, гр. 3, 4 подраздела 4.1 формы N 2-С.

92. Если гр. 3, стр. 111, 115, 120, 125, 130 подраздела 4.1 формы N 2-С , то в форме N 11-страховщик в разделе 1, гр. 3 должна присутствовать строка с кодом вида страхования 40111, 40115, 40120, 40125, 40130 и гр. 4 0.

93. Если первый, второй разряды кода вида страхования (гр. 3 раздела 1) X1 = 40, X2 = 111, то гр. 4, 8 = стр. 111, гр. 3, 4 подраздела 4.1 формы N 2-С.

94. Если первый, второй разряды кода вида страхования (гр. 3 раздела 1) X1 = 40, X2 = 115, то гр. 4, 8 = стр. 115, гр. 3, 4 подраздела 4.1 формы N 2-С.

95. Если первый, второй разряды кода вида страхования (гр. 3 раздела 1) X1 = 40, X2 = 120, то гр. 4, 8 = стр. 120, гр. 3, 4 подраздела 4.1 формы N 2-С.

96. Если первый, второй разряды кода вида страхования (гр. 3 раздела 1) X1 = 40, X2 = 125, то гр. 4, 8 = стр. 125, гр. 3, 4 подраздела 4.1 формы N 2-С.

97. Если первый, второй разряды кода вида страхования (гр. 3 раздела 1) X1 = 40, X2 = 130, то гр. 4, 8 = стр. 130, гр. 3, 4 подраздела 4.1 формы N 2-С.

98. Стр. 170, гр. 4, 8 = стр. 140, гр. 3, 4 подраздела 4.1 формы N 2-С.

99. Стр. 180, гр. 4, 8 = стр. 150, гр. 3, 4 подраздела 4.1 формы N 2-С.

100. Если гр. 3, стр. 151, 155, 157, 158, 160 подраздела 4.1 формы N 2-С , то в форме N 11-страховщик в разделе 1, гр. 3 должна присутствовать строка с кодом вида страхования 40151, 40155, 40157, 40158, 40160 и гр. 4 0.

101. Если первый, второй разряды кода вида страхования (гр. 3 раздела 1) X1 = 40, X2 = 151, то гр. 4, 8 = стр. 151, гр. 3, 4 подраздела 4.1 формы N 2-С.

102. Если первый, второй разряды кода вида страхования (гр. 3 раздела 1) X1 = 40, X2 = 155, то гр. 4, 8 = стр. 155, гр. 3, 4 подраздела 4.1 формы N 2-С.

103. Если первый, второй разряды кода вида страхования (гр. 3 раздела 1) X1 = 40, X2 = 157, то гр. 4, 8 = стр. 157, гр. 3, 4 подраздела 4.1 формы N 2-С.

104. Если первый, второй разряды кода вида страхования (гр. 3 раздела 1) X1 = 40, X2 = 158, то гр. 4, 8 = стр. 158, гр. 3, 4 подраздела 4.1 формы N 2-С.

105. Если первый, второй разряды кода вида страхования (гр. 3 раздела 1) X1 = 40, X2 = 160, то гр. 4, 8 = стр. 160, гр. 3, 4 подраздела 4.1 формы N 2-С.

106. Стр. 190, гр. 4, 8 = стр. 110, гр. 3, 6 подраздела 5.1 формы N 2-С, округленные до целого числа.

107. Стр. 195, гр. 4, 8 = стр. 110, гр. 3, 4 подраздела 8.1 формы N 2-С.

Раздел 2 "Результат от операций по страхованию иному, чем страхование жизни по договорам, принятым в перестрахование"

1. Если гр. 4 0, то гр. 1 0 и наименование важнейшего вида страхования (гр. 1 раздела 2) в строке с кодом вида страхования (гр. 3 раздела 2) иным, чем 60111, 60134, 60138, 60142, 60144, 60147, 60150, 60154, 60157, 60160, 60168, 60176, должно соответствовать наименованию этого вида страхования в гр. 1 подраздела 6.1.1 (кроме строк 111, 134, 138, 142, 144, 147, 150, 154, 157, 160, 168, 176) формы N 2-С.

2. Число строк с кодом вида страхования (гр. 3 раздела 2) иным, чем 60111, 60134, 60138, 60142, 60144, 60147, 60150, 60154, 60157, 60160, 60168, 60176, = 1.

3. Если гр. 4 0, то гр. 1 0 и в строках с кодом вида страхования (гр. 3 раздела 2) 60111, 60134, 60138, 60142, 60144, 60147, 60150, 60154, 60157, 60160, 60168, 60176 наименование важнейшего вида страхования (гр. 1 раздела 2) в одной из строк должно соответствовать наименованию этого вида страхования в гр. 1 по стр. 111, 134, 138, 142, 144, 147, 150, 154, 157, 160, 168, 176 подраздела 6.1.1 формы N 2-С, а наименования важнейших видов страхования (гр. 1 раздела 2) в остальных строках должно соответствовать наименованиям правил страхования.

4. Показатели каждой строки раздела 2 проверяются:

гр. 7 = гр. 4 + гр. 5 - гр. 6;

гр. 11 = гр. 8 - гр. 9 + гр. 10;

гр. 14 = гр. 7 - гр. 11 + гр. 12 - гр. 13;

если гр. 11 > 0 и гр. 7 0, то гр. 15 = гр. 11 x 100 / гр. 7, с точностью до двух знаков после запятой, иначе гр. 15 = 0.

5. Стр. 200, гр. 4, 5, 6, 8, 9, 10, 12, 13 = сумма показателей строк 110, 120, 130, 140, 150, 160, 170, 180, 190, 195 гр. 4, 5, 6, 8, 9, 10, 12, 13, иначе дать разъяснение в пояснительной записке.

6. Стр. 110, гр. 4, 8 = сумма показателей стр. 107, гр. 3, 10 подразделов 6.1.1, 6.2.1 и 6.3.1 формы N 2-С.

7. Если сумма показателей гр. 3 подразделов 6.1.1, 6.2.1 и 6.3.1, стр. 108, 109, 110, 111, 112 формы N 2-С , то в форме N 11-страховщик в разделе 2, гр. 3 должна присутствовать строка с кодом вида страхования соответственно 60108, 60109, 60110, 60111, 60112 и гр. 4 0.

8. Если первый, второй разряды кода вида страхования (гр. 3 раздела 2) X1 = 60, X2 = 108, то гр. 4, 8 = сумма показателей стр. 108, гр. 3, 10 подразделов 6.1.1, 6.2.1 и 6.3.1 формы N 2-С.

9. Если первый, второй разряды кода вида страхования (гр. 3 раздела 2) X1 = 60, X2 = 109, то гр. 4, 8 = сумма показателей стр. 109 гр. 3, 10 подразделов 6.1.1, 6.2.1 и 6.3.1 формы N 2-С.

10. Если первый, второй разряды кода вида страхования (гр. 3 раздела 2) X1 = 60, X2 = 110, то гр. 4, 8 = сумма показателей стр. 110 гр. 3, 10 подразделов 6.1.1, 6.2.1 и 6.3.1 формы N 2-С.

11. Если наименование важнейшего вида страхования (гр. 1 раздела 2) соответствует наименованию этого вида страхования в гр. 1, стр. 111 подраздела 6.1.1 формы N 2-С, первый, второй разряды кода вида страхования (гр. 3 раздела 2) X1 = 60, X2 = 111, то гр. 4, 8 = сумма показателей стр. 111, гр. 3, 10 подразделов 6.1.1, 6.2.1 и 6.3.1 формы N 2-С.

12. Если наименование важнейшего вида страхования (гр. 1 раздела 2) соответствует наименованию этого вида страхования в гр. 1, стр. 111 подраздела 6.1.1 формы N 2-С, первый, второй разряды кода вида страхования (гр. 3 раздела 2) X1 = 60, X2 = 111, то гр. 4, 8 сумма показателей строк, в которых наименование важнейших видов страхования соответствует наименованию правил страхования (гр. 1 раздела 2), первый, второй разряды кода вида страхования (гр. 3 раздела 2) X1 = 60, X2 = 111, гр. 4, 8.

13. Если первый, второй разряды кода вида страхования (гр. 3 раздела 2) X1 = 60, X2 = 112, то гр. 4, 8 = сумма показателей стр. 112 гр. 3, 10 подразделов 6.1.1, 6.2.1 и 6.3.1 формы N 2-С.

14. Стр. 120, гр. 4, 8 = сумма показателей стр. 116, гр. 3, 10 подразделов 6.1.1, 6.2.1 и 6.3.1 формы N 2-С.

15. Если сумма показателей гр. 3 подразделов 6.1.1, 6.2.1 и 6.3.1, стр. 117, 118, 119, 120, 121, 122, 123, 124, 125, 126, 127, 129, 130, 131, 132, 133, 134, 135, 136, 137, 138 формы N 2-С , то в форме N 11-страховщик в разделе 2, гр. 3 должна присутствовать строка с кодом вида страхования соответственно 60117, 60118, 60119, 60120, 60121, 60122, 60123, 60124, 60125, 60126, 60127, 60129, 60130, 60131, 60132, 60133, 60134, 60135, 60136, 60137, 60138 и гр. 4 0.

16. Если первый, второй разряды кода вида страхования (гр. 3 раздела 2) X1 = 60, X2 = 117, то гр. 4, 8 = сумма показателей стр. 117, гр. 3, 10 подразделов 6.1.1, 6.2.1 и 6.3.1 формы N 2-С.

17. Если первый, второй разряды кода вида страхования (гр. 3 раздела 2) X1 = 60, X2 = 118, то гр. 4, 8 = сумма показателей стр. 118, гр. 3, 10 подразделов 6.1.1, 6.2.1 и 6.3.1 формы N 2-С.

18. Если первый, второй разряды кода вида страхования (гр. 3 раздела 2) X1 = 60, X2 = 119, то гр. 4, 8 = сумма показателей стр. 119, гр. 3, 10 подразделов 6.1.1, 6.2.1 и 6.3.1 формы N 2-С.

19. Если первый, второй разряды кода вида страхования (гр. 3 раздела 2) X1 = 60, X2 = 120, то гр. 4, 8 = сумма показателей стр. 120, гр. 3, 10 подразделов 6.1.1, 6.2.1 и 6.3.1 формы N 2-С.

20. Если первый, второй разряды кода вида страхования (гр. 3 раздела 2) X1 = 60, X2 = 121, то гр. 4, 8 = сумма показателей стр. 121, гр. 3, 10 подразделов 6.1.1, 6.2.1 и 6.3.1 формы N 2-С.

21. Если первый, второй разряды кода вида страхования (гр. 3 раздела 2) X1 = 60, X2 = 122, то гр. 4, 8 = сумма показателей стр. 122, гр. 3, 10 подразделов 6.1.1, 6.2.1 и 6.3.1 формы N 2-С.

22. Если первый, второй разряды кода вида страхования (гр. 3 раздела 2) X1 = 60, X2 = 123, то гр. 4, 8 = сумма показателей стр. 123, гр. 3, 10 подразделов 6.1.1, 6.2.1 и 6.3.1 формы N 2-С.

23. Если первый, второй разряды кода вида страхования (гр. 3 раздела 2) X1 = 60, X2 = 124, то гр. 4, 8 = сумма показателей стр. 124, гр. 3, 10 подразделов 6.1.1, 6.2.1 и 6.3.1 формы N 2-С.

24. Если первый, второй разряды кода вида страхования (гр. 3 раздела 2) X1 = 60, X2 = 125, то гр. 4, 8 = сумма показателей стр. 125, гр. 3, 10 подразделов 6.1.1, 6.2.1 и 6.3.1 формы N 2-С.

25. Если первый, второй разряды кода вида страхования (гр. 3 раздела 2) X1 = 60, X2 = 126, то гр. 4, 8 = сумма показателей стр. 126 гр. 3, 10 подразделов 6.1.1, 6.2.1 и 6.3.1 формы N 2-С.

26. Если первый, второй разряды кода вида страхования (гр. 3 раздела 2) X1 = 60, X2 = 127, то гр. 4, 8 = сумма показателей стр. 127, гр. 3, 10 подразделов 6.1.1, 6.2.1 и 6.3.1 формы N 2-С.

27. Если первый, второй разряды кода вида страхования (гр. 3 раздела 2) X1 = 60, X2 = 129, то гр. 4, 8 = сумма показателей стр. 129, гр. 3, 10 подразделов 6.1.1, 6.2.1 и 6.3.1 формы N 2-С.

28. Если первый, второй разряды кода вида страхования (гр. 3 раздела 2) X1 = 60, X2 = 130, то гр. 4, 8 = сумма показателей стр. 130, гр. 3, 10 подразделов 6.1.1, 6.2.1 и 6.3.1 формы N 2-С.

29. Если первый, второй разряды кода вида страхования (гр. 3 раздела 2) X1 = 60, X2 = 131, то гр. 4, 8 = сумма показателей стр. 131, гр. 3, 10 подразделов 6.1.1, 6.2.1 и 6.3.1 формы N 2-С.

30. Если первый, второй разряды кода вида страхования (гр. 3 раздела 2) X1 = 60, X2 = 132, то гр. 4, 8 = сумма показателей стр. 132 гр. 3, 10 подразделов 6.1.1, 6.2.1 и 6.3.1 формы N 2-С.

31. Если первый, второй разряды кода вида страхования (гр. 3 раздела 2) X1 = 60, X2 = 133, то гр. 4, 8 = сумма показателей стр. 133, гр. 3, 10 подразделов 6.1.1, 6.2.1 и 6.3.1 формы N 2-С.

32. Если наименование важнейшего вида страхования (гр. 1 раздела 2) соответствует наименованию этого вида страхования в гр. 1, стр. 134 подраздела 6.1.1 формы N 2-С, первый, второй разряды кода вида страхования (гр. 3 раздела 2) X1 = 60, X2 = 134, то гр. 4, 8 = сумма показателей стр. 134, гр. 3, 10 подразделов 6.1.1, 6.2.1 и 6.3.1 формы N 2-С.

33. Если наименование важнейшего вида страхования (гр. 1 раздела 2) соответствует наименованию этого вида страхования в гр. 1, стр. 134 подраздела 6.1.1 формы N 2-С, первый, второй разряды кода вида страхования (гр. 3 раздела 2) X1 = 60, X2 = 134, то гр. 4, 8 сумма показателей строк, в которых наименование важнейших видов страхования соответствует наименованию правил страхования (гр. 1 раздела 2), первый, второй разряды кода вида страхования (гр. 3 раздела 2) X1 = 60, X2 = 134, гр. 4, 8.

34. Если первый, второй разряды кода вида страхования (гр. 3 раздела 2) X1 = 60, X2 = 135, то гр. 4, 8 = сумма показателей стр. 135, гр. 3, 10 подразделов 6.1.1, 6.2.1 и 6.3.1 формы N 2-С.

35. Если первый, второй разряды кода вида страхования (гр. 3 раздела 2) X1 = 60, X2 = 136, то гр. 4, 8 = сумма показателей стр. 136, гр. 3, 10 подразделов 6.1.1, 6.2.1 и 6.3.1 формы N 2-С.

36. Если первый, второй разряды кода вида страхования (гр. 3 раздела 2) X1 = 60, X2 = 137, то гр. 4, 8 = сумма показателей стр. 137, гр. 3, 10 подразделов 6.1.1, 6.2.1 и 6.3.1 формы N 2-С.

37. Если наименование важнейшего вида страхования (гр. 1 раздела 2) соответствует наименованию этого вида страхования в гр. 1, стр. 138 подраздела 6.1.1 формы N 2-С, первый, второй разряды кода вида страхования (гр. 3 раздела 2) X1 = 60, X2 = 138, то гр. 4, 8 = сумма показателей стр. 138, гр. 3, 10 подразделов 6.1.1, 6.2.1 и 6.3.1 формы N 2-С.

38. Если наименование важнейшего вида страхования (гр. 1 раздела 2) соответствует наименованию этого вида страхования в гр. 1, стр. 138 подраздела 6.1.1 формы N 2-С, первый, второй разряды кода вида страхования (гр. 3 раздела 2) X1 = 60, X2 = 138, то гр. 4, 8 сумма показателей строк, в которых наименование важнейших видов страхования соответствует наименованию правил страхования (гр. 1 раздела 2), первый, второй разряды кода вида страхования (гр. 3 раздела 2) X1 = 60, X2 = 138, гр. 4, 8.

39. Стр. 130, гр. 4, 8 = сумма показателей стр. 139, гр. 3, 10 подразделов 6.1.1, 6.2.1 и 6.3.1 формы N 2-С.

40. Если сумма показателей гр. 3 подразделов 6.1.1, 6.2.1 и 6.3.1, стр. 140, 141, 142, 143, 143.1, 144, 145, 146, 147, 148, 149, 150, 151, 152, 153, 154, 155, 156, 157, 158, 159, 160, 161, 162, 163, 164, 165, 166, 167, 168, 169, 170, 171, 172, 173, 174, 176 формы N 2-С , то в форме N 11-страховщик в разделе 2, гр. 3 должна присутствовать строка с кодом вида страхования соответственно 60140, 60141, 60142, 60143, 60431, 60144, 60145, 60146, 60147, 60148, 60149, 60150, 60151, 60152, 60153, 60154, 60155, 60156, 60157, 60158, 60159, 60160, 60161, 60162, 60163, 60164, 60165, 60166, 60167, 60168, 60169, 60170, 60171, 60172, 60173, 60174, 60176 и гр. 4 0.

41. Если гр. 3, стр. 143.2 хотя бы одного из подразделов 6.1.1, 6.2.1 и 6.3.1 формы N 2-С 0, то в форме N 11-страховщик в разделе 2, гр. 3 должна присутствовать строка с кодом вида страхования 60432 и гр. 4 0.

42. Если первый, второй разряды кода вида страхования (гр. 3 раздела 2) X1 = 60, X2 = 140, то гр. 4, 8 = сумма показателей стр. 140, гр. 3, 10 подразделов 6.1.1, 6.2.1 и 6.3.1 формы N 2-С.

43. Если первый, второй разряды кода вида страхования (гр. 3 раздела 2) X1 = 60, X2 = 141, то гр. 4, 8 = сумма показателей стр. 141, гр. 3, 10 подразделов 6.1.1, 6.2.1 и 6.3.1 формы N 2-С.

44. Если наименование важнейшего вида страхования (гр. 1 раздела 2) соответствует наименованию этого вида страхования в гр. 1, стр. 142 подраздела 6.1.1 формы N 2-С, первый, второй разряды кода вида страхования (гр. 3 раздела 2) X1 = 60, X2 = 142, то гр. 4, 8 = сумма показателей стр. 142, гр. 3, 10 подразделов 6.1.1, 6.2.1 и 6.3.1 формы N 2-С.

45. Если наименование важнейшего вида страхования (гр. 1 раздела 2) соответствует наименованию этого вида страхования в гр. 1, стр. 142 подраздела 6.1.1 формы N 2-С, первый, второй разряды кода вида страхования (гр. 3 раздела 2) X1 = 60, X2 = 142, то гр. 4, 8 сумма показателей строк, в которых наименование важнейших видов страхования соответствует наименованию правил страхования (гр. 1 раздела 2), первый, второй разряды кода вида страхования (гр. 3 раздела 2) X1 = 60, X2 = 142, гр. 4, 8.

46. Если первый, второй разряды кода вида страхования (гр. 3 раздела 2) X1 = 60, X2 = 143, то гр. 4, 8 = сумма показателей стр. 143, гр. 3, 10 подразделов 6.1.1, 6.2.1 и 6.3.1 формы N 2-С.

47. Если первый, второй разряды кода вида страхования (гр. 3 раздела 2) X1 = 60, X2 = 431, то гр. 4, 8 = сумма показателей стр. 143.1, гр. 3, 10 подразделов 6.1.1, 6.2.1 и 6.3.1 формы N 2-С.

48. Если первый, второй разряды кода вида страхования (гр. 3 раздела 2) X1 = 60, X2 = 432, то гр. 4, 8 = сумма показателей стр. 143.2, гр. 3, 10 подразделов 6.1.1, 6.2.1 и 6.3.1 формы N 2-С.

49. Если наименование важнейшего вида страхования (гр. 1 раздела 2) соответствует наименованию этого вида страхования в гр. 1, стр. 144 подраздела 6.1.1 формы N 2-С, первый, второй разряды кода вида страхования (гр. 3 раздела 2) X1 = 60, X2 = 144, то гр. 4, 8 = сумма показателей стр. 144, гр. 3, 10 подразделов 6.1.1, 6.2.1 и 6.3.1 формы N 2-С.

50. Если наименование важнейшего вида страхования (гр. 1 раздела 2) соответствует наименованию этого вида страхования в гр. 1, стр. 144 подраздела 6.1.1 формы N 2-С, первый, второй разряды кода вида страхования (гр. 3 раздела 2) X1 = 60, X2 = 144, то гр. 4, 8 сумма показателей строк, в которых наименование важнейших видов страхования соответствует наименованию правил страхования (гр. 1 раздела 2), первый, второй разряды кода вида страхования (гр. 3 раздела 2) X1 = 60, X2 = 144, гр. 4, 8.

51. Если первый, второй разряды кода вида страхования (гр. 3 раздела 2) X1 = 60, X2 = 145, то гр. 4, 8 = сумма показателей стр. 145, гр. 3, 10 подразделов 6.1.1, 6.2.1 и 6.3.1 формы N 2-С.

52. Если первый, второй разряды кода вида страхования (гр. 3 раздела 2) X1 = 60, X2 = 146, то гр. 4, 8 = сумма показателей стр. 146, гр. 3, 10 подразделов 6.1.1, 6.2.1 и 6.3.1 формы N 2-С.

53. Если наименование важнейшего вида страхования (гр. 1 раздела 2) соответствует наименованию этого вида страхования в гр. 1, стр. 147 подраздела 6.1.1 формы N 2-С, первый, второй разряды кода вида страхования (гр. 3 раздела 2) X1 = 60, X2 = 147, то гр. 4, 8 = сумма показателей стр. 147, гр. 3, 10 подразделов 6.1.1, 6.2.1 и 6.3.1 формы N 2-С.

54. Если наименование важнейшего вида страхования (гр. 1 раздела 2) соответствует наименованию этого вида страхования в гр. 1, стр. 147 подраздела 6.1.1 формы N 2-С, первый, второй разряды кода вида страхования (гр. 3 раздела 2) X1 = 60, X2 = 147, то гр. 4, 8 сумма показателей строк, в которых наименование важнейших видов страхования соответствует наименованию правил страхования (гр. 1 раздела 2), первый, второй разряды кода вида страхования (гр. 3 раздела 2) X1 = 60, X2 = 147, гр. 4, 8.

55. Если первый, второй разряды кода вида страхования (гр. 3 раздела 2) X1 = 60, X2 = 148, то гр. 4, 8 = сумма показателей стр. 148, гр. 3, 10 подразделов 6.1.1, 6.2.1 и 6.3.1 формы N 2-С.

56. Если первый, второй разряды кода вида страхования (гр. 3 раздела 2) X1 = 60, X2 = 149, то гр. 4, 8 = сумма показателей стр. 149, гр. 3, 10 подразделов 6.1.1, 6.2.1 и 6.3.1 формы N 2-С.

57. Если наименование важнейшего вида страхования (гр. 1 раздела 2) соответствует наименованию этого вида страхования в гр. 1, стр. 150 подраздела 6.1.1 формы N 2-С, первый, второй разряды кода вида страхования (гр. 3 раздела 2) X1 = 60, X2 = 150, то гр. 4, 8 = сумма показателей стр. 150, гр. 3, 10 подразделов 6.1.1, 6.2.1 и 6.3.1 формы N 2-С.

58. Если наименование важнейшего вида страхования (гр. 1 раздела 2) соответствует наименованию этого вида страхования в гр. 1, стр. 150 подраздела 6.1.1 формы N 2-С, первый, второй разряды кода вида страхования (гр. 3 раздела 2) X1 = 60, X2 = 150, то гр. 4, 8 сумма показателей строк, в которых наименование важнейших видов страхования соответствует наименованию правил страхования (гр. 1 раздела 2), первый, второй разряды кода вида страхования (гр. 3 раздела 2) X1 = 60, X2 = 150, гр. 4, 8.

59. Если первый, второй разряды кода вида страхования (гр. 3 раздела 2) X1 = 60, X2 = 151, то гр. 4, 8 = сумма показателей стр. 151, гр. 3, 10 подразделов 6.1.1, 6.2.1 и 6.3.1 формы N 2-С.

60. Если первый, второй разряды кода вида страхования (гр. 3 раздела 2) X1 = 60, X2 = 152, то гр. 4, 8 = сумма показателей стр. 152 гр. 3, 10 подразделов 6.1.1, 6.2.1 и 6.3.1 формы N 2-С.

61. Если первый, второй разряды кода вида страхования (гр. 3 раздела 2) X1 = 60, X2 = 153, то гр. 4, 8 = сумма показателей стр. 153, гр. 3, 10 подразделов 6.1.1, 6.2.1 и 6.3.1 формы N 2-С.

62. Если наименование важнейшего вида страхования (гр. 1 раздела 2) соответствует наименованию этого вида страхования в гр. 1, стр. 154 подраздела 6.1.1 формы N 2-С, первый, второй разряды кода вида страхования (гр. 3 раздела 2) X1 = 60, X2 = 154, то гр. 4, 8 = сумма показателей стр. 154, гр. 3, 10 подразделов 6.1.1, 6.2.1 и 6.3.1 формы N 2-С.

63. Если наименование важнейшего вида страхования (гр. 1 раздела 2) соответствует наименованию этого вида страхования в гр. 1, стр. 154 подраздела 6.1.1 формы N 2-С, первый, второй разряды кода вида страхования (гр. 3 раздела 2) X1 = 60, X2 = 154, то гр. 4, 8 сумма показателей строк, в которых наименование важнейших видов страхования соответствует наименованию правил страхования (гр. 1 раздела 2), первый, второй разряды кода вида страхования (гр. 3 раздела 2) X1 = 60, X2 = 154, гр. 4, 8.

64. Если первый, второй разряды кода вида страхования (гр. 3 раздела 2) X1 = 60, X2 = 155, то гр. 4, 8 = сумма показателей стр. 155, гр. 3, 10 подразделов 6.1.1, 6.2.1 и 6.3.1 формы N 2-С.

65. Если первый, второй разряды кода вида страхования (гр. 3 раздела 2) X1 = 60, X2 = 156, то гр. 4, 8 = сумма показателей стр. 156 гр. 3, 10 подразделов 6.1.1, 6.2.1 и 6.3.1 формы N 2-С.

66. Если наименование важнейшего вида страхования (гр. 1 раздела 2) соответствует наименованию этого вида страхования в гр. 1, стр. 157 подраздела 6.1.1 формы N 2-С, первый, второй разряды кода вида страхования (гр. 3 раздела 2) X1 = 60, X2 = 157, то гр. 4, 8 = сумма показателей стр. 157, гр. 3, 10 подразделов 6.1.1, 6.2.1 и 6.3.1 формы N 2-С.

67. Если наименование важнейшего вида страхования (гр. 1 раздела 2) соответствует наименованию этого вида страхования в гр. 1, стр. 157 подраздела 6.1.1 формы N 2-С, первый, второй разряды кода вида страхования (гр. 3 раздела 2) X1 = 60, X2 = 157, то гр. 4, 8 сумма показателей строк, в которых наименование важнейших видов страхования соответствует наименованию правил страхования (гр. 1 раздела 2), первый, второй разряды кода вида страхования (гр. 3 раздела 2) X1 = 60, X2 = 157, гр. 4, 8.

68. Если первый, второй разряды кода вида страхования (гр. 3 раздела 2) X1 = 60, X2 = 158, то гр. 4, 8 = сумма показателей стр. 158, гр. 3, 10 подразделов 6.1.1, 6.2.1 и 6.3.1 формы N 2-С.

69. Если первый, второй разряды кода вида страхования (гр. 3 раздела 2) X1 = 60, X2 = 159, то гр. 4, 8 = сумма показателей стр. 159, гр. 3, 10 подразделов 6.1.1, 6.2.1 и 6.3.1 формы N 2-С.

70. Если наименование важнейшего вида страхования (гр. 1 раздела 2) соответствует наименованию этого вида страхования в гр. 1, стр. 160 подраздела 6.1.1 формы N 2-С, первый, второй разряды кода вида страхования (гр. 3 раздела 2) X1 = 60, X2 = 160, то гр. 4, 8 = сумма показателей стр. 160, гр. 3, 10 подразделов 6.1.1, 6.2.1 и 6.3.1 формы N 2-С.

71. Если наименование важнейшего вида страхования (гр. 1 раздела 2) соответствует наименованию этого вида страхования в гр. 1, стр. 160 подраздела 6.1.1 формы N 2-С, первый, второй разряды кода вида страхования (гр. 3 раздела 2) X1 = 60, X2 = 160, то гр. 4, 8 сумма показателей строк, в которых наименование важнейших видов страхования соответствует наименованию правил страхования (гр. 1 раздела 2), первый, второй разряды кода вида страхования (гр. 3 раздела 2) X1 = 60, X2 = 160, гр. 4, 8.

72. Если первый, второй разряды кода вида страхования (гр. 3 раздела 2) X1 = 60, X2 = 161, то гр. 4, 8 = сумма показателей стр. 161, гр. 3, 10 подразделов 6.1.1, 6.2.1 и 6.3.1 формы N 2-С.

73. Если первый, второй разряды кода вида страхования (гр. 3 раздела 2) X1 = 60, X2 = 162, то гр. 4, 8 = сумма показателей стр. 162 гр. 3, 10 подразделов 6.1.1, 6.2.1 и 6.3.1 формы N 2-С.

74. Если первый, второй разряды кода вида страхования (гр. 3 раздела 2) X1 = 60, X2 = 163, то гр. 4, 8 = сумма показателей стр. 163, гр. 3, 10 подразделов 6.1.1, 6.2.1 и 6.3.1 формы N 2-С.

75. Если первый, второй разряды кода вида страхования (гр. 3 раздела 2) X1 = 60, X2 = 164, то гр. 4, 8 = сумма показателей стр. 164, гр. 3, 10 подразделов 6.1.1, 6.2.1 и 6.3.1 формы N 2-С.

76. Если первый, второй разряды кода вида страхования (гр. 3 раздела 2) X1 = 60, X2 = 165, то гр. 4, 8 = сумма показателей стр. 165, гр. 3, 10 подразделов 6.1.1, 6.2.1 и 6.3.1 формы N 2-С.

77. Если первый, второй разряды кода вида страхования (гр. 3 раздела 2) X1 = 60, X2 = 166, то гр. 4, 8 = сумма показателей стр. 166, гр. 3, 10 подразделов 6.1.1, 6.2.1 и 6.3.1 формы N 2-С.

78. Если первый, второй разряды кода вида страхования (гр. 3 раздела 2) X1 = 60, X2 = 167, то гр. 4, 8 = сумма показателей стр. 167, гр. 3, 10 подразделов 6.1.1, 6.2.1 и 6.3.1 формы N 2-С.

79. Если наименование важнейшего вида страхования (гр. 1 раздела 2) соответствует наименованию этого вида страхования в гр. 1, стр. 168 подраздела 6.1.1 формы N 2-С, первый, второй разряды кода вида страхования (гр. 3 раздела 2) X1 = 60, X2 = 168, то гр. 4, 8 = сумма показателей стр. 168, гр. 3, 10 подразделов 6.1.1, 6.2.1 и 6.3.1 формы N 2-С.

80. Если наименование важнейшего вида страхования (гр. 1 раздела 2) соответствует наименованию этого вида страхования в гр. 1, стр. 168 подраздела 6.1.1 формы N 2-С, первый, второй разряды кода вида страхования (гр. 3 раздела 2) X1 = 60, X2 = 168, то гр. 4, 8 сумма показателей строк, в которых наименование важнейших видов страхования соответствует наименованию правил страхования (гр. 1 раздела 2), первый, второй разряды кода вида страхования (гр. 3 раздела 2) X1 = 60, X2 = 168, гр. 4, 8.

81. Если первый, второй разряды кода вида страхования (гр. 3 раздела 2) X1 = 60, X2 = 169, то гр. 4, 8 = сумма показателей стр. 169, гр. 3, 10 подразделов 6.1.1, 6.2.1 и 6.3.1 формы N 2-С.

82. Если первый, второй разряды кода вида страхования (гр. 3 раздела 2) X1 = 60, X2 = 170, то гр. 4, 8 = сумма показателей стр. 170, гр. 3, 10 подразделов 6.1.1, 6.2.1 и 6.3.1 формы N 2-С.

83. Если первый, второй разряды кода вида страхования (гр. 3 раздела 2) X1 = 60, X2 = 171, то гр. 4, 8 = сумма показателей стр. 171, гр. 3, 10 подразделов 6.1.1, 6.2.1 и 6.3.1 формы N 2-С.

84. Если первый, второй разряды кода вида страхования (гр. 3 раздела 2) X1 = 60, X2 = 172, то гр. 4, 8 = сумма показателей стр. 172, гр. 3, 10 подразделов 6.1.1, 6.2.1 и 6.3.1 формы N 2-С.

85. Если первый, второй разряды кода вида страхования (гр. 3 раздела 2) X1 = 60, X2 = 173, то гр. 4, 8 = сумма показателей стр. 173 гр. 3, 10 подразделов 6.1.1, 6.2.1 и 6.3.1 формы N 2-С.

86. Если первый, второй разряды кода вида страхования (гр. 3 раздела 2) X1 = 60, X2 = 174, то гр. 4, 8 = сумма показателей стр. 174, гр. 3, 10 подразделов 6.1.1, 6.2.1 и 6.3.1 формы N 2-С.

87. Если наименование важнейшего вида страхования (гр. 1 раздела 2) соответствует наименованию этого вида страхования в гр. 1, стр. 176 подраздела 6.1.1 формы N 2-С, первый, второй разряды кода вида страхования (гр. 3 раздела 2) X1 = 60, X2 = 176, то гр. 4, 8 = сумма показателей стр. 176, гр. 3, 10 подразделов 6.1.1, 6.2.1 и 6.3.1 формы N 2-С.

88. Если наименование важнейшего вида страхования (гр. 1 раздела 2) соответствует наименованию этого вида страхования в гр. 1, стр. 176 подраздела 6.1.1 формы N 2-С, первый, второй разряды кода вида страхования (гр. 3 раздела 2) X1 = 60, X2 = 176, то гр. 4, 8 сумма показателей строк, в которых наименование важнейших видов страхования соответствует наименованию правил страхования (гр. 1 раздела 2), первый, второй разряды кода вида страхования (гр. 3 раздела 2) X1 = 60, X2 = 176, гр. 4, 8.

89. Стр. 140, гр. 4, 8 = сумма показателей стр. 177, гр. 3, 10 подразделов 6.1.1, 6.2.1 и 6.3.1 формы N 2-С.

90. Стр. 150, гр. 4, 8 = сумма показателей стр. 178, гр. 3, 10 подразделов 6.1.1, 6.2.1 и 6.3.1 формы N 2-С.

91. Стр. 160, гр. 4, 8 = сумма показателей стр. 184, гр. 3, 10 подразделов 6.1.1, 6.2.1 и 6.3.1 формы N 2-С.

92. Если сумма показателей гр. 3 подразделов 6.1.1, 6.2.1 и 6.3.1, стр. 185, 186, 187, 188, 189 формы N 2-С , то в форме N 11-страховщик в разделе 2, гр. 3 должна присутствовать строка с кодом вида страхования соответственно 60185, 60186, 60187, 60188, 60189 и гр. 4 0.

93. Если первый, второй разряды кода вида страхования (гр. 3 раздела 2) X1 = 60, X2 = 185, то гр. 4, 8 = сумма показателей стр. 185, гр. 3, 10 подразделов 6.1.1, 6.2.1 и 6.3.1 формы N 2-С.

94. Если первый, второй разряды кода вида страхования (гр. 3 раздела 2) X1 = 60, X2 = 186, то гр. 4, 8 = сумма показателей стр. 186, гр. 3, 10 подразделов 6.1.1, 6.2.1 и 6.3.1 формы N 2-С.

95. Если первый, второй разряды кода вида страхования (гр. 3 раздела 2) X1 = 60, X2 = 187, то гр. 4, 8 = сумма показателей стр. 187, гр. 3, 10 подразделов 6.1.1, 6.2.1 и 6.3.1 формы N 2-С.

96. Если первый, второй разряды кода вида страхования (гр. 3 раздела 2) X1 = 60, X2 = 188, то гр. 4, 8 = сумма показателей стр. 188, гр. 3, 10 подразделов 6.1.1, 6.2.1 и 6.3.1 формы N 2-С.

97. Если первый, второй разряды кода вида страхования (гр. 3 раздела 2) X1 = 60, X2 = 189, то гр. 4, 8 = сумма показателей стр. 189, гр. 3, 10 подразделов 6.1.1, 6.2.1 и 6.3.1 формы N 2-С.

98. Стр. 170, гр. 4, 8 = сумма показателей стр. 191, гр. 3, 10 подразделов 6.1.1, 6.2.1 и 6.3.1 формы N 2-С.

99. Стр. 180, гр. 4, 8 = сумма показателей стр. 192, гр. 3, 10 подразделов 6.1.1, 6.2.1 и 6.3.1 формы N 2-С.

100. Если сумма показателей гр. 3 подразделов 6.1.1, 6.2.1 и 6.3.1, стр. 193, 194, 195, 196, 197 формы N 2-С , то в форме N 11-страховщик в разделе 2, гр. 3 должна присутствовать строка с кодом вида страхования соответственно 60193, 60194, 60195, 60196, 60197 и гр. 4 0.

101. Если первый, второй разряды кода вида страхования (гр. 3 раздела 2) X1 = 60, X2 = 193, то гр. 4, 8 = сумма показателей стр. 193, гр. 3, 10 подразделов 6.1.1, 6.2.1 и 6.3.1 формы N 2-С.

102. Если первый, второй разряды кода вида страхования (гр. 3 раздела 2) X1 = 60, X2 = 194, то гр. 4, 8 = сумма показателей стр. 194, гр. 3, 10 подразделов 6.1.1, 6.2.1 и 6.3.1 формы N 2-С.

103. Если первый, второй разряды кода вида страхования (гр. 3 раздела 2) X1 = 60, X2 = 195, то гр. 4, 8 = сумма показателей стр. 195, гр. 3, 10 подразделов 6.1.1, 6.2.1 и 6.3.1 формы N 2-С.

104. Если первый, второй разряды кода вида страхования (гр. 3 раздела 2) X1 = 60, X2 = 196, то гр. 4, 8 = сумма показателей стр. 196, гр. 3, 10 подразделов 6.1.1, 6.2.1 и 6.3.1 формы N 2-С.

105. Если первый, второй разряды кода вида страхования (гр. 3 раздела 2) X1 = 60, X2 = 197, то гр. 4, 8 = сумма показателей стр. 197, гр. 3, 10 подразделов 6.1.1, 6.2.1 и 6.3.1 формы N 2-С.

106. Стр. 190, гр. 4, 8 = сумма показателей стр. 198, гр. 3, 10 подразделов 6.1.1, 6.2.1 и 6.3.1 формы N 2-С.

107. Стр. 195, гр. 4, 8 = сумма показателей стр. 199, гр. 3, 10 подразделов 6.1.1, 6.2.1 и 6.3.1 формы N 2-С.

Раздел 3 "Результат от операций по страхованию иному, чем страхование жизни по договорам страхования, сострахования и по договорам, принятым в перестрахование - нетто перестрахование"

1. Показатели каждой строки раздела 3 проверяются:

гр. 7 = гр. 4 + гр. 5 - гр. 6;

гр. 11 = гр. 8 - гр. 9 + гр. 10;

гр. 15 = гр. 7 - гр. 11 + гр. 12 - гр. 13 - гр. 14;

если гр. 11 > 0 и гр. 7 0, то гр. 16 = гр. 11 x 100 / гр. 7, с точностью до двух знаков после запятой, иначе гр. 16 = 0.

2. Стр. 200, гр. 4, 5, 6, 8, 9, 10, 12, 13, 14 = сумма показателей строк 110, 120, 130, 140, 150, 160, 170, 180, 190, 195 гр. 4, 5, 6, 8, 9, 10, 12, 13, 14, иначе дать разъяснение в пояснительной записке.

3. Стр. 110, гр. 4 = разность суммы показателей стр. 110, гр. 4 разделов 1, 2 формы N 11-страховщик и суммы показателей стр. 107, гр. 3 подразделов 6.1.2, 6.2.2 и 6.3.2 формы N 2-С.

4. Стр. 110, гр. 8 = разность суммы показателей стр. 110, гр. 8 разделов 1, 2 формы N 11-страховщик и суммы показателей стр. 107, гр. 10 подразделов 6.1.2, 6.2.2 и 6.3.2 формы N 2-С.

5. Стр. 120, гр. 4 = разность суммы показателей стр. 120, гр. 4 разделов 1, 2 формы N 11-страховщик и суммы показателей стр. 116, гр. 3 подразделов 6.1.2, 6.2.2 и 6.3.2 формы N 2-С.

6. Стр. 120, гр. 8 = разность суммы показателей стр. 120, гр. 8 разделов 1, 2 формы N 11-страховщик и суммы показателей стр. 116, гр. 10 подразделов 6.1.2, 6.2.2 и 6.3.2 формы N 2-С.

7. Стр. 130, гр. 4 = разность суммы показателей стр. 130, гр. 4 разделов 1, 2 формы N 11-страховщик и суммы показателей стр. 139, гр. 3 подразделов 6.1.2, 6.2.2 и 6.3.2 формы N 2-С.

8. Стр. 130, гр. 8 = разность суммы показателей стр. 130, гр. 8 разделов 1, 2 формы N 11-страховщик и суммы показателей стр. 139, гр. 10 подразделов 6.1.2, 6.2.2 и 6.3.2 формы N 2-С.

9. Стр. 140, гр. 4 = разность суммы показателей стр. 140, гр. 4 разделов 1, 2 формы N 11-страховщик и суммы показателей стр. 177, гр. 3 подразделов 6.1.2, 6.2.2 и 6.3.2 формы N 2-С.

10. Стр. 140, гр. 8 = разность суммы показателей стр. 140, гр. 8 разделов 1, 2 формы N 11-страховщик и суммы показателей стр. 177, гр. 10 подразделов 6.1.2, 6.2.2 и 6.3.2 формы N 2-С.

11. Стр. 150, гр. 4 = разность суммы показателей стр. 150, гр. 4 разделов 1, 2 формы N 11-страховщик и суммы показателей стр. 178, гр. 3 подразделов 6.1.2, 6.2.2 и 6.3.2 формы N 2-С.

12. Стр. 150, гр. 8 = разность суммы показателей стр. 150, гр. 8 разделов 1, 2 формы N 11-страховщик и суммы показателей стр. 178, гр. 10 подразделов 6.1.2, 6.2.2 и 6.3.2 формы N 2-С.

13. Стр. 160, гр. 4 = разность суммы показателей стр. 160, гр. 4 разделов 1, 2 формы N 11-страховщик и суммы показателей стр. 184, гр. 3 подразделов 6.1.2, 6.2.2 и 6.3.2 формы N 2-С.

14. Стр. 160, гр. 8 = разность суммы показателей стр. 160, гр. 8 разделов 1, 2 формы N 11-страховщик и суммы показателей стр. 184, гр. 10 подразделов 6.1.2, 6.2.2 и 6.3.2 формы N 2-С.

15. Стр. 170, гр. 4 = разность суммы показателей стр. 170, гр. 4 разделов 1, 2 формы N 11-страховщик и суммы показателей стр. 191, гр. 3 подразделов 6.1.2, 6.2.2 и 6.3.2 формы N 2-С.

16. Стр. 170, гр. 8 = разность суммы показателей стр. 170, гр. 8 разделов 1, 2 формы N 11-страховщик и суммы показателей стр. 191, гр. 10 подразделов 6.1.2, 6.2.2 и 6.3.2 формы N 2-С.

17. Стр. 180, гр. 4 = разность суммы показателей стр. 180, гр. 4 разделов 1, 2 формы N 11-страховщик и суммы показателей стр. 192, гр. 3 подразделов 6.1.2, 6.2.2 и 6.3.2 формы N 2-С.

18. Стр. 180, гр. 8 = разность суммы показателей стр. 180, гр. 8 разделов 1, 2 формы N 11-страховщик и суммы показателей стр. 192, гр. 10 подразделов 6.1.2, 6.2.2 и 6.3.2 формы N 2-С.

19. Стр. 190, гр. 4 = разность суммы показателей стр. 190, гр. 4 разделов 1, 2 формы N 11-страховщик и суммы показателей стр. 198, гр. 3 подразделов 6.1.2, 6.2.2 и 6.3.2 формы N 2-С.

20. Стр. 190, гр. 8 = разность суммы показателей стр. 190, гр. 8 разделов 1, 2 формы N 11-страховщик и суммы показателей стр. 198, гр. 10 подразделов 6.1.2, 6.2.2 и 6.3.2 формы N 2-С.

21. Стр. 195, гр. 4 = разность суммы показателей стр. 195, гр. 4 разделов 1, 2 формы N 11-страховщик и суммы показателей стр. 199, гр. 3 подразделов 6.1.2, 6.2.2 и 6.3.2 формы N 2-С.

22. Стр. 195, гр. 8 = разность суммы показателей стр. 195, гр. 8 разделов 1, 2 формы N 11-страховщик и суммы показателей стр. 199, гр. 10 подразделов 6.1.2, 6.2.2 и 6.3.2 формы N 2-С.

Если для конкретного важнейшего вида страхования гр. 4 раздела 1 0, гр. 4 раздела 2 = 0, то применяются контрольные соотношения 23 - 183:

23. В гр. 1 и 3 наименование важнейшего вида страхования и код вида страхования переносятся соответственно из гр. 1 и 3 раздела 1;

24. Если первый, второй разряды кода вида страхования (гр. 3 раздела 3) X1 = 22, X2 = 110, то гр. 4 = разность показателя строки с кодом вида страхования 22110 (гр. 3 раздела 1), гр. 4 раздела 1 формы N 11-страховщик и суммы показателей стр. 108, гр. 3 подразделов 6.1.2, 6.2.2 и 6.3.2 формы N 2-С;

25. Если первый, второй разряды кода вида страхования (гр. 3 раздела 3) X1 = 22, X2 = 110, то гр. 8 = разность показателя строки с кодом вида страхования 22110 (гр. 3 раздела 1), гр. 8 раздела 1 формы N 11-страховщик и суммы показателей стр. 108, гр. 10 подразделов 6.1.2, 6.2.2 и 6.3.2 формы N 2-С;

26. Если первый, второй разряды кода вида страхования (гр. 3 раздела 3) X1 = 22, X2 = 111, то гр. 4 = разность показателя строки с кодом вида страхования 22111 (гр. 3 раздела 1), гр. 4 раздела 1 формы N 11-страховщик и суммы показателей стр. 109, гр. 3 подразделов 6.1.2, 6.2.2 и 6.3.2 формы N 2-С;

27. Если первый, второй разряды кода вида страхования (гр. 3 раздела 3) X1 = 22, X2 = 111, то гр. 8 = разность показателя строки с кодом вида страхования 22111 (гр. 3 раздела 1), гр. 8 раздела 1 формы N 11-страховщик и суммы показателей стр. 109, гр. 10 подразделов 6.1.2, 6.2.2 и 6.3.2 формы N 2-С;

28. Если первый, второй разряды кода вида страхования (гр. 3 раздела 3) X1 = 22, X2 = 112, то гр. 4 = разность показателя строки с кодом вида страхования 22112 (гр. 3 раздела 1), гр. 4 раздела 1 формы N 11-страховщик и суммы показателей стр. 110, гр. 3 подразделов 6.1.2, 6.2.2 и 6.3.2 формы N 2-С;

29. Если первый, второй разряды кода вида страхования (гр. 3 раздела 3) X1 = 22, X2 = 112, то гр. 8 = разность показателя строки с кодом вида страхования 22112 (гр. 3 раздела 1), гр. 8 раздела 1 формы N 11-страховщик и суммы показателей стр. 110, гр. 10 подразделов 6.1.2, 6.2.2 и 6.3.2 формы N 2-С;

30. Если наименование важнейшего вида страхования (гр. 1 раздела 3) соответствует наименованию этого вида страхования в гр. 1, стр. 115 подраздела 2.2.1 формы N 2-С, первый, второй разряды кода вида страхования которого (гр. 3 раздела 3) X1 = 22, X2 = 115, то гр. 4 = разность показателя строки с кодом вида страхования 22115 (гр. 3 раздела 1), в которой наименование важнейшего вида страхования (гр. 1 раздела 1) соответствует наименованию этого вида страхования в гр. 1, стр. 115 подраздела 2.2.1 формы N 2-С, гр. 4 раздела 1 формы N 11-страховщик и суммы показателей стр. 111, гр. 3 подразделов 6.1.2, 6.2.2 и 6.3.2 формы N 2-С;

31. Если наименование важнейшего вида страхования (гр. 1 раздела 3) соответствует наименованию этого вида страхования в гр. 1, стр. 115 подраздела 2.2.1 формы N 2-С, первый, второй разряды кода вида страхования которого (гр. 3 раздела 3) X1 = 22, X2 = 115, то гр. 8 = разность показателя строки с кодом вида страхования 22115 (гр. 3 раздела 1), в которой наименование важнейшего вида страхования (гр. 1 раздела 1) соответствует наименованию этого вида страхования в гр. 1, стр. 115 подраздела 2.2.1 формы N 2-С, гр. 8 раздела 1 формы N 11-страховщик и суммы показателей стр. 111, гр. 10 подразделов 6.1.2, 6.2.2 и 6.3.2 формы N 2-С;

32. Если наименование важнейшего вида страхования (гр. 1 раздела 3) соответствует наименованию этого вида страхования в гр. 1, стр. 115 подраздела 2.2.1 формы N 2-С, первый, второй разряды кода вида страхования (гр. 3 раздела 3) X1 = 22, X2 = 115, то гр. 4, 8 сумма показателей строк, в которых наименование важнейших видов страхования соответствует наименованию правил страхования (гр. 1 раздела 3), первый, второй разряды кода вида страхования (гр. 3 раздела 3) X1 = 22, X2 = 115, гр. 4, 8;

33. Если первый, второй разряды кода вида страхования (гр. 3 раздела 3) X1 = 22, X2 = 120, то гр. 4 = разность показателя строки с кодом вида страхования 22120 (гр. 3 раздела 1), гр. 4 раздела 1 формы N 11-страховщик и суммы показателей стр. 112, гр. 3, подразделов 6.1.2, 6.2.2 и 6.3.2 формы N 2-С;

34. Если первый, второй разряды кода вида страхования (гр. 3 раздела 3) X1 = 22, X2 = 120, то гр. 8 = разность показателя строки с кодом вида страхования 22120 (гр. 3 раздела 1), гр. 8 раздела 1 формы N 11-страховщик и суммы показателей стр. 112, гр. 10, подразделов 6.1.2, 6.2.2 и 6.3.2 формы N 2-С;

35. Если первый, второй разряды кода вида страхования (гр. 3 раздела 3) X1 = 31, X2 = 110, то гр. 4 = разность показателя строки с кодом вида страхования 31110 (гр. 3 раздела 1), гр. 4 раздела 1 формы N 11-страховщик и суммы показателей стр. 117, гр. 3 подразделов 6.1.2, 6.2.2 и 6.3.2 формы N 2-С;

36. Если первый, второй разряды кода вида страхования (гр. 3 раздела 3) X1 = 31, X2 = 110, то гр. 8 = разность показателя строки с кодом вида страхования 31110 (гр. 3 раздела 1), гр. 8 раздела 1 формы N 11-страховщик и суммы показателей стр. 117, гр. 10 подразделов 6.1.2, 6.2.2 и 6.3.2 формы N 2-С;

37. Если первый, второй разряды кода вида страхования (гр. 3 раздела 3) X1 = 31, X2 = 120, то гр. 4 = разность показателя строки с кодом вида страхования 31120 (гр. 3 раздела 1), гр. 4 раздела 1 формы N 11-страховщик и суммы показателей стр. 118, гр. 3 подразделов 6.1.2, 6.2.2 и 6.3.2 формы N 2-С;

38. Если первый, второй разряды кода вида страхования (гр. 3 раздела 3) X1 = 31, X2 = 120, то гр. 8 = разность показателя строки с кодом вида страхования 31120 (гр. 3 раздела 1), гр. 8 раздела 1 формы N 11-страховщик и суммы показателей стр. 118, гр. 10 подразделов 6.1.2, 6.2.2 и 6.3.2 формы N 2-С;

39. Если первый, второй разряды кода вида страхования (гр. 3 раздела 3) X1 = 31, X2 = 130, то гр. 4 = разность показателя строки с кодом вида страхования 31130 (гр. 3 раздела 1), гр. 4 раздела 1 формы N 11-страховщик и суммы показателей стр. 119, гр. 3 подразделов 6.1.2, 6.2.2 и 6.3.2 формы N 2-С;

40. Если первый, второй разряды кода вида страхования (гр. 3 раздела 3) X1 = 31, X2 = 130, то гр. 8 = разность показателя строки с кодом вида страхования 31130 (гр. 3 раздела 1), гр. 8 раздела 1 формы N 11-страховщик и суммы показателей стр. 119, гр. 10 подразделов 6.1.2, 6.2.2 и 6.3.2 формы N 2-С;

41. Если первый, второй разряды кода вида страхования (гр. 3 раздела 3) X1 = 31, X2 = 140, то гр. 4 = разность показателя строки с кодом вида страхования 31140 (гр. 3 раздела 1), гр. 4 раздела 1 формы N 11-страховщик и суммы показателей стр. 120, гр. 3 подразделов 6.1.2, 6.2.2 и 6.3.2 формы N 2-С;

42. Если первый, второй разряды кода вида страхования (гр. 3 раздела 3) X1 = 31, X2 = 140, то гр. 8 = разность показателя строки с кодом вида страхования 31140 (гр. 3 раздела 1), гр. 8 раздела 1 формы N 11-страховщик и суммы показателей стр. 120, гр. 10 подразделов 6.1.2, 6.2.2 и 6.3.2 формы N 2-С;

43. Если первый, второй разряды кода вида страхования (гр. 3 раздела 3) X1 = 31, X2 = 150, то гр. 4 = разность показателя строки с кодом вида страхования 31150 (гр. 3 раздела 1), гр. 4 раздела 1 формы N 11-страховщик и суммы показателей стр. 121, гр. 3 подразделов 6.1.2, 6.2.2 и 6.3.2 формы N 2-С;

44. Если первый, второй разряды кода вида страхования (гр. 3 раздела 3) X1 = 31, X2 = 150, то гр. 8 = разность показателя строки с кодом вида страхования 31150 (гр. 3 раздела 1), гр. 8 раздела 1 формы N 11-страховщик и суммы показателей стр. 121, гр. 10 подразделов 6.1.2, 6.2.2 и 6.3.2 формы N 2-С;

45. Если первый, второй разряды кода вида страхования (гр. 3 раздела 3) X1 = 31, X2 = 160, то гр. 4 = разность показателя строки с кодом вида страхования 31160 (гр. 3 раздела 1), гр. 4 раздела 1 формы N 11-страховщик и суммы показателей стр. 122, гр. 3 подразделов 6.1.2, 6.2.2 и 6.3.2 формы N 2-С;

46. Если первый, второй разряды кода вида страхования (гр. 3 раздела 3) X1 = 31, X2 = 160, то гр. 8 = разность показателя строки с кодом вида страхования 31160 (гр. 3 раздела 1), гр. 8 раздела 1 формы N 11-страховщик и суммы показателей стр. 122, гр. 10 подразделов 6.1.2, 6.2.2 и 6.3.2 формы N 2-С;

47. Если первый, второй разряды кода вида страхования (гр. 3 раздела 3) X1 = 33, X2 = 110, то гр. 4 = разность показателя строки с кодом вида страхования 33110 (гр. 3 раздела 1), гр. 4 раздела 1 формы N 11-страховщик и суммы показателей стр. 123, гр. 3 подразделов 6.1.2, 6.2.2 и 6.3.2 формы N 2-С;

48. Если первый, второй разряды кода вида страхования (гр. 3 раздела 3) X1 = 33, X2 = 110, то гр. 8 = разность показателя строки с кодом вида страхования 33110 (гр. 3 раздела 1), гр. 8 раздела 1 формы N 11-страховщик и суммы показателей стр. 123, гр. 10 подразделов 6.1.2, 6.2.2 и 6.3.2 формы N 2-С;

49. Если первый, второй разряды кода вида страхования (гр. 3 раздела 3) X1 = 33, X2 = 120, то гр. 4 = разность показателя строки с кодом вида страхования 33120 (гр. 3 раздела 1), гр. 4 раздела 1 формы N 11-страховщик и суммы показателей стр. 124, гр. 3 подразделов 6.1.2, 6.2.2 и 6.3.2 формы N 2-С;

50. Если первый, второй разряды кода вида страхования (гр. 3 раздела 3) X1 = 33, X2 = 120, то гр. 8 = разность показателя строки с кодом вида страхования 33120 (гр. 3 раздела 1), гр. 8 раздела 1 формы N 11-страховщик и суммы показателей стр. 124, гр. 10 подразделов 6.1.2, 6.2.2 и 6.3.2 формы N 2-С;

51. Если первый, второй разряды кода вида страхования (гр. 3 раздела 3) X1 = 33, X2 = 121, то гр. 4 = разность показателя строки с кодом вида страхования 33121 (гр. 3 раздела 1), гр. 4 раздела 1 формы N 11-страховщик и суммы показателей стр. 125, гр. 3 подразделов 6.1.2, 6.2.2 и 6.3.2 формы N 2-С;

52. Если первый, второй разряды кода вида страхования (гр. 3 раздела 3) X1 = 33, X2 = 121, то гр. 8 = разность показателя строки с кодом вида страхования 33121 (гр. 3 раздела 1), гр. 8 раздела 1 формы N 11-страховщик и суммы показателей стр. 125, гр. 10 подразделов 6.1.2, 6.2.2 и 6.3.2 формы N 2-С;

53. Если первый, второй разряды кода вида страхования (гр. 3 раздела 3) X1 = 33, X2 = 125, то гр. 4 = разность показателя строки с кодом вида страхования 33125 (гр. 3 раздела 1), гр. 4 раздела 1 формы N 11-страховщик и суммы показателей стр. 126, гр. 3 подразделов 6.1.2, 6.2.2 и 6.3.2 формы N 2-С;

54. Если первый, второй разряды кода вида страхования (гр. 3 раздела 3) X1 = 33, X2 = 125, то гр. 8 = разность показателя строки с кодом вида страхования 33125 (гр. 3 раздела 1), гр. 8 раздела 1 формы N 11-страховщик и суммы показателей стр. 126, гр. 10 подразделов 6.1.2, 6.2.2 и 6.3.2 формы N 2-С;

55. Если первый, второй разряды кода вида страхования (гр. 3 раздела 3) X1 = 33, X2 = 126, то гр. 4 = разность показателя строки с кодом вида страхования 33126 (гр. 3 раздела 1), гр. 4 раздела 1 формы N 11-страховщик и суммы показателей стр. 127, гр. 3 подразделов 6.1.2, 6.2.2 и 6.3.2 формы N 2-С;

56. Если первый, второй разряды кода вида страхования (гр. 3 раздела 3) X1 = 33, X2 = 126, то гр. 8 = разность показателя строки с кодом вида страхования 33126 (гр. 3 раздела 1), гр. 8 раздела 1 формы N 11-страховщик и суммы показателей стр. 127, гр. 10 подразделов 6.1.2, 6.2.2 и 6.3.2 формы N 2-С;

57. Если первый, второй разряды кода вида страхования (гр. 3 раздела 3) X1 = 33, X2 = 128, то гр. 4 = разность показателя строки с кодом вида страхования 33128 (гр. 3 раздела 1), гр. 4 раздела 1 формы N 11-страховщик и суммы показателей стр. 129, гр. 3 подразделов 6.1.2, 6.2.2 и 6.3.2 формы N 2-С;

58. Если первый, второй разряды кода вида страхования (гр. 3 раздела 3) X1 = 33, X2 = 128, то гр. 8 = разность показателя строки с кодом вида страхования 33128 (гр. 3 раздела 1), гр. 8 раздела 1 формы N 11-страховщик и суммы показателей стр. 129, гр. 10 подразделов 6.1.2, 6.2.2 и 6.3.2 формы N 2-С;

59. Если первый, второй разряды кода вида страхования (гр. 3 раздела 3) X1 = 33, X2 = 129, то гр. 4 = разность показателя строки с кодом вида страхования 33129 (гр. 3 раздела 1), гр. 4 раздела 1 формы N 11-страховщик и суммы показателей стр. 130, гр. 3 подразделов 6.1.2, 6.2.2 и 6.3.2 формы N 2-С;

60. Если первый, второй разряды кода вида страхования (гр. 3 раздела 3) X1 = 33, X2 = 129, то гр. 8 = разность показателя строки с кодом вида страхования 33129 (гр. 3 раздела 1), гр. 8 раздела 1 формы N 11-страховщик и суммы показателей стр. 130, гр. 10 подразделов 6.1.2, 6.2.2 и 6.3.2 формы N 2-С;

61. Если первый, второй разряды кода вида страхования (гр. 3 раздела 3) X1 = 33, X2 = 130, то гр. 4 = разность показателя строки с кодом вида страхования 33130 (гр. 3 раздела 1), гр. 4 раздела 1 формы N 11-страховщик и суммы показателей стр. 131, гр. 3 подразделов 6.1.2, 6.2.2 и 6.3.2 формы N 2-С;

62. Если первый, второй разряды кода вида страхования (гр. 3 раздела 3) X1 = 33, X2 = 130, то гр. 8 = разность показателя строки с кодом вида страхования 33130 (гр. 3 раздела 1), гр. 8 раздела 1 формы N 11-страховщик и суммы показателей стр. 131, гр. 10 подразделов 6.1.2, 6.2.2 и 6.3.2 формы N 2-С;

63. Если первый, второй разряды кода вида страхования (гр. 3 раздела 3) X1 = 33, X2 = 131, то гр. 4 = разность показателя строки с кодом вида страхования 33131 (гр. 3 раздела 1), гр. 4 раздела 1 формы N 11-страховщик и суммы показателей стр. 132, гр. 3 подразделов 6.1.2, 6.2.2 и 6.3.2 формы N 2-С;

64. Если первый, второй разряды кода вида страхования (гр. 3 раздела 3) X1 = 33, X2 = 131, то гр. 8 = разность показателя строки с кодом вида страхования 33131 (гр. 3 раздела 1), гр. 8 раздела 1 формы N 11-страховщик и суммы показателей стр. 132, гр. 10 подразделов 6.1.2, 6.2.2 и 6.3.2 формы N 2-С;

65. Если первый, второй разряды кода вида страхования (гр. 3 раздела 3) X1 = 33, X2 = 132, то гр. 4 = разность показателя строки с кодом вида страхования 33132 (гр. 3 раздела 1), гр. 4 раздела 1 формы N 11-страховщик и суммы показателей стр. 133, гр. 3 подразделов 6.1.2, 6.2.2 и 6.3.2 формы N 2-С;

66. Если первый, второй разряды кода вида страхования (гр. 3 раздела 3) X1 = 33, X2 = 132, то гр. 8 = разность показателя строки с кодом вида страхования 33132 (гр. 3 раздела 1), гр. 8 раздела 1 формы N 11-страховщик и суммы показателей стр. 133, гр. 10 подразделов 6.1.2, 6.2.2 и 6.3.2 формы N 2-С;

67. Если наименование важнейшего вида страхования (гр. 1 раздела 3) соответствует наименованию этого вида страхования в гр. 1, стр. 135 подраздела 3.3.1 формы N 2-С, первый, второй разряды кода вида страхования которого (гр. 3 раздела 3) X1 = 33, X2 = 135, то гр. 4 = разность показателя строки с кодом вида страхования 33135 (гр. 3 раздела 1), в которой наименование важнейшего вида страхования (гр. 1 раздела 1) соответствует наименованию этого вида страхования в гр. 1, стр. 135 подраздела 3.3.1 формы N 2-С, гр. 4 раздела 1 формы N 11-страховщик и суммы показателей стр. 134, гр. 3 подразделов 6.1.2, 6.2.2 и 6.3.2 формы N 2-С;

68. Если наименование важнейшего вида страхования (гр. 1 раздела 3) соответствует наименованию этого вида страхования в гр. 1, стр. 135 подраздела 3.3.1 формы N 2-С, первый, второй разряды кода вида страхования которого (гр. 3 раздела 3) X1 = 33, X2 = 135, то гр. 8 = разность показателя строки с кодом вида страхования 33135 (гр. 3 раздела 1), в которой наименование важнейшего вида страхования (гр. 1 раздела 1) соответствует наименованию этого вида страхования в гр. 1, стр. 135 подраздела 3.3.1 формы N 2-С, гр. 8 раздела 1 формы N 11-страховщик и суммы показателей стр. 134, гр. 10 подразделов 6.1.2, 6.2.2 и 6.3.2 формы N 2-С;

69. Если наименование важнейшего вида страхования (гр. 1 раздела 3) соответствует наименованию этого вида страхования в гр. 1, стр. 135 подраздела 3.3.1 формы N 2-С, первый, второй разряды кода вида страхования (гр. 3 раздела 3) X1 = 33, X2 = 135, то гр. 4, 8 сумма показателей строк, в которых наименование важнейших видов страхования соответствует наименованию правил страхования (гр. 1 раздела 3), первый, второй разряды кода вида страхования (гр. 3 раздела 3) X1 = 33, X2 = 135, гр. 4, 8;

70. Если первый, второй разряды кода вида страхования (гр. 3 раздела 3) X1 = 33, X2 = 140, то гр. 4 = разность показателя строки с кодом вида страхования 33140 (гр. 3 раздела 1), гр. 4 раздела 1 формы N 11-страховщик и суммы показателей стр. 135, гр. 3 подразделов 6.1.2, 6.2.2 и 6.3.2 формы N 2-С;

71. Если первый, второй разряды кода вида страхования (гр. 3 раздела 3) X1 = 33, X2 = 140, то гр. 8 = разность показателя строки с кодом вида страхования 33140 (гр. 3 раздела 1), гр. 8 раздела 1 формы N 11-страховщик и суммы показателей стр. 135, гр. 10 подразделов 6.1.2, 6.2.2 и 6.3.2 формы N 2-С;

72. Если первый, второй разряды кода вида страхования (гр. 3 раздела 3) X1 = 33, X2 = 141, то гр. 4 = разность показателя строки с кодом вида страхования 33141 (гр. 3 раздела 1), гр. 4 раздела 1 формы N 11-страховщик и суммы показателей стр. 136, гр. 3 подразделов 6.1.2, 6.2.2 и 6.3.2 формы N 2-С;

73. Если первый, второй разряды кода вида страхования (гр. 3 раздела 3) X1 = 33, X2 = 141, то гр. 8 = разность показателя строки с кодом вида страхования 33141 (гр. 3 раздела 1), гр. 8 раздела 1 формы N 11-страховщик и суммы показателей стр. 136, гр. 10 подразделов 6.1.2, 6.2.2 и 6.3.2 формы N 2-С;

74. Если первый, второй разряды кода вида страхования (гр. 3 раздела 3) X1 = 33, X2 = 142, то гр. 4 = разность показателя строки с кодом вида страхования 33142 (гр. 3 раздела 1), гр. 4 раздела 1 формы N 11-страховщик и суммы показателей стр. 137, гр. 3 подразделов 6.1.2, 6.2.2 и 6.3.2 формы N 2-С;

75. Если первый, второй разряды кода вида страхования (гр. 3 раздела 3) X1 = 33, X2 = 142, то гр. 8 = разность показателя строки с кодом вида страхования 33142 (гр. 3 раздела 1), гр. 8 раздела 1 формы N 11-страховщик и суммы показателей стр. 137, гр. 10 подразделов 6.1.2, 6.2.2 и 6.3.2 формы N 2-С;

76. Если наименование важнейшего вида страхования (гр. 1 раздела 3) соответствует наименованию этого вида страхования в гр. 1, стр. 145 подраздела 3.3.1 формы N 2-С, первый, второй разряды кода вида страхования которого (гр. 3 раздела 3) X1 = 33, X2 = 145, то гр. 4 = разность показателя строки с кодом вида страхования 33145 (гр. 3 раздела 1), в которой наименование важнейшего вида страхования (гр. 1 раздела 1) соответствует наименованию этого вида страхования в гр. 1, стр. 145 подраздела 3.3.1 формы N 2-С, гр. 4 раздела 1 формы N 11-страховщик и суммы показателей стр. 138, гр. 3 подразделов 6.1.2, 6.2.2 и 6.3.2 формы N 2-С;

77. Если наименование важнейшего вида страхования (гр. 1 раздела 3) соответствует наименованию этого вида страхования в гр. 1, стр. 145 подраздела 3.3.1 формы N 2-С, первый, второй разряды кода вида страхования которого (гр. 3 раздела 3) X1 = 33, X2 = 145, то гр. 8 = разность показателя строки с кодом вида страхования 33145 (гр. 3 раздела 1), в которой наименование важнейшего вида страхования (гр. 1 раздела 1) соответствует наименованию этого вида страхования в гр. 1, стр. 145 подраздела 3.3.1 формы N 2-С, гр. 8 раздела 1 формы N 11-страховщик и суммы показателей стр. 138, гр. 10 подразделов 6.1.2, 6.2.2 и 6.3.2 формы N 2-С;

78. Если наименование важнейшего вида страхования (гр. 1 раздела 3) соответствует наименованию этого вида страхования в гр. 1, стр. 145 подраздела 3.3.1 формы N 2-С, первый, второй разряды кода вида страхования (гр. 3 раздела 3) X1 = 33, X2 = 145, то гр. 4, 8 сумма показателей строк, в которых наименование важнейших видов страхования соответствует наименованию правил страхования (гр. 1 раздела 3), первый, второй разряды кода вида страхования (гр. 3 раздела 3) X1 = 33, X2 = 145, гр. 4, 8;

79. Если первый, второй разряды кода вида страхования (гр. 3 раздела 3) X1 = 32, X2 = 110, то гр. 4 = разность показателя строки с кодом вида страхования 32110 (гр. 3 раздела 1), гр. 4 раздела 1 формы N 11-страховщик и суммы показателей стр. 140, гр. 3 подразделов 6.1.2, 6.2.2 и 6.3.2 формы N 2-С;

80. Если первый, второй разряды кода вида страхования (гр. 3 раздела 3) X1 = 32, X2 = 110, то гр. 8 = разность показателя строки с кодом вида страхования 32110 (гр. 3 раздела 1), гр. 8 раздела 1 формы N 11-страховщик и суммы показателей стр. 140, гр. 10 подразделов 6.1.2, 6.2.2 и 6.3.2 формы N 2-С;

81. Если первый, второй разряды кода вида страхования (гр. 3 раздела 3) X1 = 32, X2 = 111, то гр. 4 = разность показателя строки с кодом вида страхования 32111 (гр. 3 раздела 1), гр. 4 раздела 1 формы N 11-страховщик и суммы показателей стр. 141, гр. 3 подразделов 6.1.2, 6.2.2 и 6.3.2 формы N 2-С;

82. Если первый, второй разряды кода вида страхования (гр. 3 раздела 3) X1 = 32, X2 = 111, то гр. 8 = разность показателя строки с кодом вида страхования 32111 (гр. 3 раздела 1), гр. 8 раздела 1 формы N 11-страховщик и суммы показателей стр. 141, гр. 10 подразделов 6.1.2, 6.2.2 и 6.3.2 формы N 2-С;

83. Если наименование важнейшего вида страхования (гр. 1 раздела 3) соответствует наименованию этого вида страхования в гр. 1, стр. 112 подраздела 3.2.1 формы N 2-С, первый, второй разряды кода вида страхования которого (гр. 3 раздела 3) X1 = 32, X2 = 112, то гр. 4 = разность показателя строки с кодом вида страхования 32112 (гр. 3 раздела 1), в которой наименование важнейшего вида страхования (гр. 1 раздела 1) соответствует наименованию этого вида страхования в гр. 1, стр. 112 подраздела 3.2.1 формы N 2-С, гр. 4 раздела 1 формы N 11-страховщик и суммы показателей стр. 142, гр. 3 подразделов 6.1.2, 6.2.2 и 6.3.2 формы N 2-С;

84. Если наименование важнейшего вида страхования (гр. 1 раздела 3) соответствует наименованию этого вида страхования в гр. 1, стр. 112 подраздела 3.2.1 формы N 2-С, первый, второй разряды кода вида страхования которого (гр. 3 раздела 3) X1 = 32, X2 = 112, то гр. 8 = разность показателя строки с кодом вида страхования 32112 (гр. 3 раздела 1), в которой наименование важнейшего вида страхования (гр. 1 раздела 1) соответствует наименованию этого вида страхования в гр. 1, стр. 112 подраздела 3.2.1 формы N 2-С, гр. 8 раздела 1 формы N 11-страховщик и суммы показателей стр. 142, гр. 10 подразделов 6.1.2, 6.2.2 и 6.3.2 формы N 2-С;

85. Если наименование важнейшего вида страхования (гр. 1 раздела 3) соответствует наименованию этого вида страхования в гр. 1, стр. 112 подраздела 3.2.1 формы N 2-С, первый, второй разряды кода вида страхования (гр. 3 раздела 3) X1 = 32, X2 = 112, то гр. 4, 8 сумма показателей строк, в которых наименование важнейших видов страхования соответствует наименованию правил страхования (гр. 1 раздела 3), первый, второй разряды кода вида страхования (гр. 3 раздела 3) X1 = 32, X2 = 112, гр. 4, 8;

86. Если первый, второй разряды кода вида страхования (гр. 3 раздела 3) X1 = 32, X2 = 115, то гр. 4 = разность показателя строки с кодом вида страхования 32115 (гр. 3 раздела 1), гр. 4 раздела 1 формы N 11-страховщик и суммы показателей стр. 143, гр. 3 подразделов 6.1.2, 6.2.2 и 6.3.2 формы N 2-С;

87. Если первый, второй разряды кода вида страхования (гр. 3 раздела 3) X1 = 32, X2 = 115, то гр. 8 = разность показателя строки с кодом вида страхования 32115 (гр. 3 раздела 1), гр. 8 раздела 1 формы N 11-страховщик и суммы показателей стр. 143, гр. 10 подразделов 6.1.2, 6.2.2 и 6.3.2 формы N 2-С;

88. Если первый, второй разряды кода вида страхования (гр. 3 раздела 3) X1 = 32, X2 = 116, то гр. 4 = разность показателя строки с кодом вида страхования 32116 (гр. 3 раздела 1), гр. 4 раздела 1 формы N 11-страховщик и суммы показателей стр. 143.1, гр. 3 подразделов 6.1.2, 6.2.2 и 6.3.2 формы N 2-С;

89. Если первый, второй разряды кода вида страхования (гр. 3 раздела 3) X1 = 32, X2 = 116, то гр. 8 = разность показателя строки с кодом вида страхования 32116 (гр. 3 раздела 1), гр. 8 раздела 1 формы N 11-страховщик и суммы показателей стр. 143.1, гр. 10 подразделов 6.1.2, 6.2.2 и 6.3.2 формы N 2-С;

90. Если первый, второй разряды кода вида страхования (гр. 3 раздела 3) X1 = 32, X2 = 117, то гр. 4 = разность показателя строки с кодом вида страхования 32117 (гр. 3 раздела 1), гр. 4 раздела 1 формы N 11-страховщик и суммы показателей стр. 143.2, гр. 3 подразделов 6.1.2, 6.2.2 и 6.3.2 формы N 2-С;

91. Если первый, второй разряды кода вида страхования (гр. 3 раздела 3) X1 = 32, X2 = 117, то гр. 8 = разность показателя строки с кодом вида страхования 32117 (гр. 3 раздела 1), гр. 8 раздела 1 формы N 11-страховщик и суммы показателей стр. 143.2, гр. 10 подразделов 6.1.2, 6.2.2 и 6.3.2 формы N 2-С;

92. Если наименование важнейшего вида страхования (гр. 1 раздела 3) соответствует наименованию этого вида страхования в гр. 1, стр. 119 подраздела 3.2.1 формы N 2-С, первый, второй разряды кода вида страхования которого (гр. 3 раздела 3) X1 = 32, X2 = 119, то гр. 4 = разность показателя строки с кодом вида страхования 32119 (гр. 3 раздела 1), в которой наименование важнейшего вида страхования (гр. 1 раздела 1) соответствует наименованию этого вида страхования в гр. 1, стр. 119 подраздела 3.2.1 формы N 2-С, гр. 4 раздела 1 формы N 11-страховщик и суммы показателей стр. 144, гр. 3 подразделов 6.1.2, 6.2.2 и 6.3.2 формы N 2-С;

93. Если наименование важнейшего вида страхования (гр. 1 раздела 3) соответствует наименованию этого вида страхования в гр. 1, стр. 119 подраздела 3.2.1 формы N 2-С, первый, второй разряды кода вида страхования которого (гр. 3 раздела 3) X1 = 32, X2 = 119, то гр. 8 = разность показателя строки с кодом вида страхования 32119 (гр. 3 раздела 1), в которой наименование важнейшего вида страхования (гр. 1 раздела 1) соответствует наименованию этого вида страхования в гр. 1, стр. 119 подраздела 3.2.1 формы N 2-С, гр. 8 раздела 1 формы N 11-страховщик и суммы показателей стр. 144, гр. 10 подразделов 6.1.2, 6.2.2 и 6.3.2 формы N 2-С;

94. Если наименование важнейшего вида страхования (гр. 1 раздела 3) соответствует наименованию этого вида страхования в гр. 1, стр. 119 подраздела 3.2.1 формы N 2-С, первый, второй разряды кода вида страхования (гр. 3 раздела 3) X1 = 32, X2 = 119, то гр. 4, 8 сумма показателей строк, в которых наименование важнейших видов страхования соответствует наименованию правил страхования (гр. 1 раздела 3), первый, второй разряды кода вида страхования (гр. 3 раздела 3) X1 = 32, X2 = 119, гр. 4, 8;

95. Если первый, второй разряды кода вида страхования (гр. 3 раздела 3) X1 = 32, X2 = 120, то гр. 4 = разность показателя строки с кодом вида страхования 32120 (гр. 3 раздела 1), гр. 4 раздела 1 формы N 11-страховщик и суммы показателей стр. 145, гр. 3 подразделов 6.1.2, 6.2.2 и 6.3.2 формы N 2-С;

96. Если первый, второй разряды кода вида страхования (гр. 3 раздела 3) X1 = 32, X2 = 120, то гр. 8 = разность показателя строки с кодом вида страхования 32120 (гр. 3 раздела 1), гр. 8 раздела 1 формы N 11-страховщик и суммы показателей стр. 145, гр. 10 подразделов 6.1.2, 6.2.2 и 6.3.2 формы N 2-С;

97. Если первый, второй разряды кода вида страхования (гр. 3 раздела 3) X1 = 32, X2 = 121, то гр. 4 = разность показателя строки с кодом вида страхования 32121 (гр. 3 раздела 1), гр. 4 раздела 1 формы N 11-страховщик и суммы показателей стр. 146, гр. 3 подразделов 6.1.2, 6.2.2 и 6.3.2 формы N 2-С;

98. Если первый, второй разряды кода вида страхования (гр. 3 раздела 3) X1 = 32, X2 = 121, то гр. 8 = разность показателя строки с кодом вида страхования 32121 (гр. 3 раздела 1), гр. 8 раздела 1 формы N 11-страховщик и суммы показателей стр. 146, гр. 10 подразделов 6.1.2, 6.2.2 и 6.3.2 формы N 2-С;

99. Если наименование важнейшего вида страхования (гр. 1 раздела 3) соответствует наименованию этого вида страхования в гр. 1, стр. 125 подраздела 3.2.1 формы N 2-С, первый, второй разряды кода вида страхования которого (гр. 3 раздела 3) X1 = 32, X2 = 125, то гр. 4 = разность показателя строки с кодом вида страхования 32125 (гр. 3 раздела 1), в которой наименование важнейшего вида страхования (гр. 1 раздела 1) соответствует наименованию этого вида страхования в гр. 1, стр. 125 подраздела 3.2.1 формы N 2-С, гр. 4 раздела 1 формы N 11-страховщик и суммы показателей стр. 147, гр. 3 подразделов 6.1.2, 6.2.2 и 6.3.2 формы N 2-С;

100. Если наименование важнейшего вида страхования (гр. 1 раздела 3) соответствует наименованию этого вида страхования в гр. 1, стр. 125 подраздела 3.2.1 формы N 2-С, первый, второй разряды кода вида страхования которого (гр. 3 раздела 3) X1 = 32, X2 = 125, то гр. 8 = разность показателя строки с кодом вида страхования 32125 (гр. 3 раздела 1), в которой наименование важнейшего вида страхования (гр. 1 раздела 1) соответствует наименованию этого вида страхования в гр. 1, стр. 125 подраздела 3.2.1 формы N 2-С, гр. 8 раздела 1 формы N 11-страховщик и суммы показателей стр. 147, гр. 10 подразделов 6.1.2, 6.2.2 и 6.3.2 формы N 2-С;

101. Если наименование важнейшего вида страхования (гр. 1 раздела 3) соответствует наименованию этого вида страхования в гр. 1, стр. 125 подраздела 3.2.1 формы N 2-С, первый, второй разряды кода вида страхования (гр. 3 раздела 3) X1 = 32, X2 = 125, то гр. 4, 8 сумма показателей строк, в которых наименование важнейших видов страхования соответствует наименованию правил страхования (гр. 1 раздела 3), первый, второй разряды кода вида страхования (гр. 3 раздела 3) X1 = 32, X2 = 125, гр. 4, 8;

102. Если первый, второй разряды кода вида страхования (гр. 3 раздела 3) X1 = 32, X2 = 130, то гр. 4 = разность показателя строки с кодом вида страхования 32130 (гр. 3 раздела 1), гр. 4 раздела 1 формы N 11-страховщик и суммы показателей стр. 148, гр. 3 подразделов 6.1.2, 6.2.2 и 6.3.2 формы N 2-С;

103. Если первый, второй разряды кода вида страхования (гр. 3 раздела 3) X1 = 32, X2 = 130, то гр. 8 = разность показателя строки с кодом вида страхования 32130 (гр. 3 раздела 1), гр. 8 раздела 1 формы N 11-страховщик и суммы показателей стр. 148, гр. 10 подразделов 6.1.2, 6.2.2 и 6.3.2 формы N 2-С;

104. Если первый, второй разряды кода вида страхования (гр. 3 раздела 3) X1 = 32, X2 = 131, то гр. 4 = разность показателя строки с кодом вида страхования 32131 (гр. 3 раздела 1), гр. 4 раздела 1 формы N 11-страховщик и суммы показателей стр. 149, гр. 3 подразделов 6.1.2, 6.2.2 и 6.3.2 формы N 2-С;

105. Если первый, второй разряды кода вида страхования (гр. 3 раздела 3) X1 = 32, X2 = 131, то гр. 8 = разность показателя строки с кодом вида страхования 32131 (гр. 3 раздела 1), гр. 8 раздела 1 формы N 11-страховщик и суммы показателей стр. 149, гр. 10 подразделов 6.1.2, 6.2.2 и 6.3.2 формы N 2-С;

106. Если наименование важнейшего вида страхования (гр. 1 раздела 3) соответствует наименованию этого вида страхования в гр. 1, стр. 135 подраздела 3.2.1 формы N 2-С, первый, второй разряды кода вида страхования которого (гр. 3 раздела 3) X1 = 32, X2 = 135, то гр. 4 = разность показателя строки с кодом вида страхования 32135 (гр. 3 раздела 1), в которой наименование важнейшего вида страхования (гр. 1 раздела 1) соответствует наименованию этого вида страхования в гр. 1, стр. 135 подраздела 3.2.1 формы N 2-С, гр. 4 раздела 1 формы N 11-страховщик и суммы показателей стр. 150, гр. 3 подразделов 6.1.2, 6.2.2 и 6.3.2 формы N 2-С;

107. Если наименование важнейшего вида страхования (гр. 1 раздела 3) соответствует наименованию этого вида страхования в гр. 1, стр. 135 подраздела 3.2.1 формы N 2-С, первый, второй разряды кода вида страхования которого (гр. 3 раздела 3) X1 = 32, X2 = 135, то гр. 8 = разность показателя строки с кодом вида страхования 32135 (гр. 3 раздела 1), в которой наименование важнейшего вида страхования (гр. 1 раздела 1) соответствует наименованию этого вида страхования в гр. 1, стр. 135 подраздела 3.2.1 формы N 2-С, гр. 8 раздела 1 формы N 11-страховщик и суммы показателей стр. 150, гр. 10 подразделов 6.1.2, 6.2.2 и 6.3.2 формы N 2-С;

108. Если наименование важнейшего вида страхования (гр. 1 раздела 3) соответствует наименованию этого вида страхования в гр. 1, стр. 135 подраздела 3.2.1 формы N 2-С, первый, второй разряды кода вида страхования (гр. 3 раздела 3) X1 = 32, X2 = 135, то гр. 4, 8 сумма показателей строк, в которых наименование важнейших видов страхования соответствует наименованию правил страхования (гр. 1 раздела 3), первый, второй разряды кода вида страхования (гр. 3 раздела 3) X1 = 32, X2 = 135, гр. 4, 8;

109. Если первый, второй разряды кода вида страхования (гр. 3 раздела 3) X1 = 32, X2 = 140, то гр. 4 = разность показателя строки с кодом вида страхования 32140 (гр. 3 раздела 1), гр. 4 раздела 1 формы N 11-страховщик и суммы показателей стр. 151, гр. 3 подразделов 6.1.2, 6.2.2 и 6.3.2 формы N 2-С;

110. Если первый, второй разряды кода вида страхования (гр. 3 раздела 3) X1 = 32, X2 = 140, то гр. 8 = разность показателя строки с кодом вида страхования 32140 (гр. 3 раздела 1), гр. 8 раздела 1 формы N 11-страховщик и суммы показателей стр. 151, гр. 10 подразделов 6.1.2, 6.2.2 и 6.3.2 формы N 2-С;

111. Если первый, второй разряды кода вида страхования (гр. 3 раздела 3) X1 = 32, X2 = 150, то гр. 4 = разность показателя строки с кодом вида страхования 32150 (гр. 3 раздела 1), гр. 4 раздела 1 формы N 11-страховщик и суммы показателей стр. 152, гр. 3 подразделов 6.1.2, 6.2.2 и 6.3.2 формы N 2-С;

112. Если первый, второй разряды кода вида страхования (гр. 3 раздела 3) X1 = 32, X2 = 150, то гр. 8 = разность показателя строки с кодом вида страхования 32150 (гр. 3 раздела 1), гр. 8 раздела 1 формы N 11-страховщик и суммы показателей стр. 152, гр. 10 подразделов 6.1.2, 6.2.2 и 6.3.2 формы N 2-С;

113. Если первый, второй разряды кода вида страхования (гр. 3 раздела 3) X1 = 32, X2 = 151, то гр. 4 = разность показателя строки с кодом вида страхования 32151 (гр. 3 раздела 1), гр. 4 раздела 1 формы N 11-страховщик и суммы показателей стр. 153, гр. 3 подразделов 6.1.2, 6.2.2 и 6.3.2 формы N 2-С;

114. Если первый, второй разряды кода вида страхования (гр. 3 раздела 3) X1 = 32, X2 = 151, то гр. 8 = разность показателя строки с кодом вида страхования 32151 (гр. 3 раздела 1), гр. 8 раздела 1 формы N 11-страховщик и суммы показателей стр. 153, гр. 10 подразделов 6.1.2, 6.2.2 и 6.3.2 формы N 2-С;

115. Если наименование важнейшего вида страхования (гр. 1 раздела 3) соответствует наименованию этого вида страхования в гр. 1, стр. 155 подраздела 3.2.1 формы N 2-С, первый, второй разряды кода вида страхования которого (гр. 3 раздела 3) X1 = 32, X2 = 155, то гр. 4 = разность показателя строки с кодом вида страхования 32155 (гр. 3 раздела 1), в которой наименование важнейшего вида страхования (гр. 1 раздела 1) соответствует наименованию этого вида страхования в гр. 1, стр. 155 подраздела 3.2.1 формы N 2-С, гр. 4 раздела 1 формы N 11-страховщик и суммы показателей стр. 154, гр. 3 подразделов 6.1.2, 6.2.2 и 6.3.2 формы N 2-С;

116. Если наименование важнейшего вида страхования (гр. 1 раздела 3) соответствует наименованию этого вида страхования в гр. 1, стр. 155 подраздела 3.2.1 формы N 2-С, первый, второй разряды кода вида страхования которого (гр. 3 раздела 3) X1 = 32, X2 = 155, то гр. 8 = разность показателя строки с кодом вида страхования 32155 (гр. 3 раздела 1), в которой наименование важнейшего вида страхования (гр. 1 раздела 1) соответствует наименованию этого вида страхования в гр. 1, стр. 155 подраздела 3.2.1 формы N 2-С, гр. 8 раздела 1 формы N 11-страховщик и суммы показателей стр. 154, гр. 10 подразделов 6.1.2, 6.2.2 и 6.3.2 формы N 2-С;

117. Если наименование важнейшего вида страхования (гр. 1 раздела 3) соответствует наименованию этого вида страхования в гр. 1, стр. 155 подраздела 3.2.1 формы N 2-С, первый, второй разряды кода вида страхования (гр. 3 раздела 3) X1 = 32, X2 = 155, то гр. 4, 8 сумма показателей строк, в которых наименование важнейших видов страхования соответствует наименованию правил страхования (гр. 1 раздела 3), первый, второй разряды кода вида страхования (гр. 3 раздела 3) X1 = 32, X2 = 155, гр. 4, 8;

118. Если первый, второй разряды кода вида страхования (гр. 3 раздела 3) X1 = 32, X2 = 160, то гр. 4 = разность показателя строки с кодом вида страхования 32160 (гр. 3 раздела 1), гр. 4 раздела 1 формы N 11-страховщик и суммы показателей стр. 155, гр. 3 подразделов 6.1.2, 6.2.2 и 6.3.2 формы N 2-С;

119. Если первый, второй разряды кода вида страхования (гр. 3 раздела 3) X1 = 32, X2 = 160, то гр. 8 = разность показателя строки с кодом вида страхования 32160 (гр. 3 раздела 1), гр. 8 раздела 1 формы N 11-страховщик и суммы показателей стр. 155, гр. 10 подразделов 6.1.2, 6.2.2 и 6.3.2 формы N 2-С;

120. Если первый, второй разряды кода вида страхования (гр. 3 раздела 3) X1 = 32, X2 = 161, то гр. 4 = разность показателя строки с кодом вида страхования 32161 (гр. 3 раздела 1), гр. 4 раздела 1 формы N 11-страховщик и суммы показателей стр. 156, гр. 3 подразделов 6.1.2, 6.2.2 и 6.3.2 формы N 2-С;

121. Если первый, второй разряды кода вида страхования (гр. 3 раздела 3) X1 = 32, X2 = 161, то гр. 8 = разность показателя строки с кодом вида страхования 32161 (гр. 3 раздела 1), гр. 8 раздела 1 формы N 11-страховщик и суммы показателей стр. 156, гр. 10 подразделов 6.1.2, 6.2.2 и 6.3.2 формы N 2-С;

122. Если наименование важнейшего вида страхования (гр. 1 раздела 3) соответствует наименованию этого вида страхования в гр. 1, стр. 165 подраздела 3.2.1 формы N 2-С, первый, второй разряды кода вида страхования которого (гр. 3 раздела 3) X1 = 32, X2 = 165, то гр. 4 = разность показателя строки с кодом вида страхования 32165 (гр. 3 раздела 1), в которой наименование важнейшего вида страхования (гр. 1 раздела 1) соответствует наименованию этого вида страхования в гр. 1, стр. 165 подраздела 3.2.1 формы N 2-С, гр. 4 раздела 1 формы N 11-страховщик и суммы показателей стр. 157, гр. 3 подразделов 6.1.2, 6.2.2 и 6.3.2 формы N 2-С;

123. Если наименование важнейшего вида страхования (гр. 1 раздела 3) соответствует наименованию этого вида страхования в гр. 1, стр. 165 подраздела 3.2.1 формы N 2-С, первый, второй разряды кода вида страхования которого (гр. 3 раздела 3) X1 = 32, X2 = 165, то гр. 8 = разность показателя строки с кодом вида страхования 32165 (гр. 3 раздела 1), в которой наименование важнейшего вида страхования (гр. 1 раздела 1) соответствует наименованию этого вида страхования в гр. 1, стр. 165 подраздела 3.2.1 формы N 2-С, гр. 8 раздела 1 формы N 11-страховщик и суммы показателей стр. 157, гр. 10 подразделов 6.1.2, 6.2.2 и 6.3.2 формы N 2-С;

124. Если наименование важнейшего вида страхования (гр. 1 раздела 3) соответствует наименованию этого вида страхования в гр. 1, стр. 165 подраздела 3.2.1 формы N 2-С, первый, второй разряды кода вида страхования (гр. 3 раздела 3) X1 = 32, X2 = 165, то гр. 4, 8 сумма показателей строк, в которых наименование важнейших видов страхования соответствует наименованию правил страхования (гр. 1 раздела 3), первый, второй разряды кода вида страхования (гр. 3 раздела 3) X1 = 32, X2 = 165, гр. 4, 8;

125. Если первый, второй разряды кода вида страхования (гр. 3 раздела 3) X1 = 34, X2 = 110, то гр. 4 = разность показателя строки с кодом вида страхования 34110 (гр. 3 раздела 1), гр. 4 раздела 1 формы N 11-страховщик и суммы показателей стр. 158, гр. 3 подразделов 6.1.2, 6.2.2 и 6.3.2 формы N 2-С;

126. Если первый, второй разряды кода вида страхования (гр. 3 раздела 3) X1 = 34, X2 = 110, то гр. 8 = разность показателя строки с кодом вида страхования 34110 (гр. 3 раздела 1), гр. 8 раздела 1 формы N 11-страховщик и суммы показателей стр. 158, гр. 10 подразделов 6.1.2, 6.2.2 и 6.3.2 формы N 2-С;

127. Если первый, второй разряды кода вида страхования (гр. 3 раздела 3) X1 = 34, X2 = 111, то гр. 4 = разность показателя строки с кодом вида страхования 34111 (гр. 3 раздела 1), гр. 4 раздела 1 формы N 11-страховщик и суммы показателей стр. 159, гр. 3 подразделов 6.1.2, 6.2.2 и 6.3.2 формы N 2-С;

128. Если первый, второй разряды кода вида страхования (гр. 3 раздела 3) X1 = 34, X2 = 111, то гр. 8 = разность показателя строки с кодом вида страхования 34111 (гр. 3 раздела 1), гр. 8 раздела 1 формы N 11-страховщик и суммы показателей стр. 159, гр. 10 подразделов 6.1.2, 6.2.2 и 6.3.2 формы N 2-С;

129. Если наименование важнейшего вида страхования (гр. 1 раздела 3) соответствует наименованию этого вида страхования в гр. 1, стр. 115 подраздела 3.4.1 формы N 2-С, первый, второй разряды кода вида страхования которого (гр. 3 раздела 3) X1 = 34, X2 = 115, то гр. 4 = разность показателя строки с кодом вида страхования 34115 (гр. 3 раздела 1), в которой наименование важнейшего вида страхования (гр. 1 раздела 1) соответствует наименованию этого вида страхования в гр. 1, стр. 115 подраздела 3.4.1 формы N 2-С, гр. 4 раздела 1 формы N 11-страховщик и суммы показателей стр. 160, гр. 3 подразделов 6.1.2, 6.2.2 и 6.3.2 формы N 2-С;

130. Если наименование важнейшего вида страхования (гр. 1 раздела 3) соответствует наименованию этого вида страхования в гр. 1, стр. 115 подраздела 3.4.1формы N 2-С, первый, второй разряды кода вида страхования которого (гр. 3 раздела 3) X1 = 34, X2 = 115, то гр. 8 = разность показателя строки с кодом вида страхования 34115 (гр. 3 раздела 1), в которой наименование важнейшего вида страхования (гр. 1 раздела 1) соответствует наименованию этого вида страхования в гр. 1, стр. 115 подраздела 3.4.1 формы N 2-С, гр. 8 раздела 1 формы N 11-страховщик и суммы показателей стр. 160, гр. 10 подразделов 6.1.2, 6.2.2 и 6.3.2 формы N 2-С;

131. Если наименование важнейшего вида страхования (гр. 1 раздела 3) соответствует наименованию этого вида страхования в гр. 1, стр. 115 подраздела 3.4.1 формы N 2-С, первый, второй разряды кода вида страхования (гр. 3 раздела 3) X1 = 34, X2 = 115, то гр. 4, 8 сумма показателей строк, в которых наименование важнейших видов страхования соответствует наименованию правил страхования (гр. 1 раздела 3), первый, второй разряды кода вида страхования (гр. 3 раздела 3) X1 = 34, X2 = 115, гр. 4, 8;

132. Если первый, второй разряды кода вида страхования (гр. 3 раздела 3) X1 = 34, X2 = 120, то гр. 4 = разность показателя строки с кодом вида страхования 34120 (гр. 3 раздела 1), гр. 4 раздела 1 формы N 11-страховщик и суммы показателей стр. 161, гр. 3 подразделов 6.1.2, 6.2.2 и 6.3.2 формы N 2-С;

133. Если первый, второй разряды кода вида страхования (гр. 3 раздела 3) X1 = 34, X2 = 120, то гр. 8 = разность показателя строки с кодом вида страхования 34120 (гр. 3 раздела 1), гр. 8 раздела 1 формы N 11-страховщик и суммы показателей стр. 161, гр. 10 подразделов 6.1.2, 6.2.2 и 6.3.2 формы N 2-С;

134. Если первый, второй разряды кода вида страхования (гр. 3 раздела 3) X1 = 34, X2 = 121, то гр. 4 = разность показателя строки с кодом вида страхования 34121 (гр. 3 раздела 1), гр. 4 раздела 1 формы N 11-страховщик и суммы показателей стр. 162, гр. 3 подразделов 6.1.2, 6.2.2 и 6.3.2 формы N 2-С;

135. Если первый, второй разряды кода вида страхования (гр. 3 раздела 3) X1 = 34, X2 = 121, то гр. 8 = разность показателя строки с кодом вида страхования 34121 (гр. 3 раздела 1), гр. 8 раздела 1 формы N 11-страховщик и суммы показателей стр. 162, гр. 10 подразделов 6.1.2, 6.2.2 и 6.3.2 формы N 2-С;

136. Если первый, второй разряды кода вида страхования (гр. 3 раздела 3) X1 = 34, X2 = 125, то гр. 4 = разность показателя строки с кодом вида страхования 34125 (гр. 3 раздела 1), гр. 4 раздела 1 формы N 11-страховщик и суммы показателей стр. 163, гр. 3 подразделов 6.1.2, 6.2.2 и 6.3.2 формы N 2-С;

137. Если первый, второй разряды кода вида страхования (гр. 3 раздела 3) X1 = 34, X2 = 125, то гр. 8 = разность показателя строки с кодом вида страхования 34125 (гр. 3 раздела 1), гр. 8 раздела 1 формы N 11-страховщик и суммы показателей стр. 163, гр. 10 подразделов 6.1.2, 6.2.2 и 6.3.2 формы N 2-С;

138. Если первый, второй разряды кода вида страхования (гр. 3 раздела 3) X1 = 34, X2 = 130, то гр. 4 = разность показателя строки с кодом вида страхования 34130 (гр. 3 раздела 1), гр. 4 раздела 1 формы N 11-страховщик и суммы показателей стр. 164, гр. 3 подразделов 6.1.2, 6.2.2 и 6.3.2 формы N 2-С;

139. Если первый, второй разряды кода вида страхования (гр. 3 раздела 3) X1 = 34, X2 = 130, то гр. 8 = разность показателя строки с кодом вида страхования 34130 (гр. 3 раздела 1), гр. 8 раздела 1 формы N 11-страховщик и суммы показателей стр. 164, гр. 10 подразделов 6.1.2, 6.2.2 и 6.3.2 формы N 2-С;

140. Если первый, второй разряды кода вида страхования (гр. 3 раздела 3) X1 = 34, X2 = 131, то гр. 4 = разность показателя строки с кодом вида страхования 34131 (гр. 3 раздела 1), гр. 4 раздела 1 формы N 11-страховщик и суммы показателей стр. 165, гр. 3 подразделов 6.1.2, 6.2.2 и 6.3.2 формы N 2-С;

141. Если первый, второй разряды кода вида страхования (гр. 3 раздела 3) X1 = 34, X2 = 131, то гр. 8 = разность показателя строки с кодом вида страхования 34131 (гр. 3 раздела 1), гр. 8 раздела 1 формы N 11-страховщик и суммы показателей стр. 165, гр. 10 подразделов 6.1.2, 6.2.2 и 6.3.2 формы N 2-С;

142. Если первый, второй разряды кода вида страхования (гр. 3 раздела 3) X1 = 34, X2 = 132, то гр. 4 = разность показателя строки с кодом вида страхования 34132 (гр. 3 раздела 1), гр. 4 раздела 1 формы N 11-страховщик и суммы показателей стр. 166, гр. 3 подразделов 6.1.2, 6.2.2 и 6.3.2 формы N 2-С;

143. Если первый, второй разряды кода вида страхования (гр. 3 раздела 3) X1 = 34, X2 = 132, то гр. 8 = разность показателя строки с кодом вида страхования 34132 (гр. 3 раздела 1), гр. 8 раздела 1 формы N 11-страховщик и суммы показателей стр. 166, гр. 10 подразделов 6.1.2, 6.2.2 и 6.3.2 формы N 2-С;

144. Если первый, второй разряды кода вида страхования (гр. 3 раздела 3) X1 = 34, X2 = 133, то гр. 4 = разность показателя строки с кодом вида страхования 34133 (гр. 3 раздела 1), гр. 4 раздела 1 формы N 11-страховщик и суммы показателей стр. 167, гр. 3 подразделов 6.1.2, 6.2.2 и 6.3.2 формы N 2-С;

145. Если первый, второй разряды кода вида страхования (гр. 3 раздела 3) X1 = 34, X2 = 133, то гр. 8 = разность показателя строки с кодом вида страхования 34133 (гр. 3 раздела 1), гр. 8 раздела 1 формы N 11-страховщик и суммы показателей стр. 167, гр. 10 подразделов 6.1.2, 6.2.2 и 6.3.2 формы N 2-С;

146. Если наименование важнейшего вида страхования (гр. 1 раздела 3) соответствует наименованию этого вида страхования в гр. 1, стр. 135 подраздела 3.4.1 формы N 2-С, первый, второй разряды кода вида страхования которого (гр. 3 раздела 3) X1 = 34, X2 = 135, то гр. 4 = разность показателя строки с кодом вида страхования 34135 (гр. 3 раздела 1), в которой наименование важнейшего вида страхования (гр. 1 раздела 1) соответствует наименованию этого вида страхования в гр. 1, стр. 135 подраздела 3.4.1 формы N 2-С, гр. 4 раздела 1 формы N 11-страховщик и суммы показателей стр. 168, гр. 3 подразделов 6.1.2, 6.2.2 и 6.3.2 формы N 2-С;

147. Если наименование важнейшего вида страхования (гр. 1 раздела 3) соответствует наименованию этого вида страхования в гр. 1, стр. 135 подраздела 3.4.1 формы N 2-С, первый, второй разряды кода вида страхования которого (гр. 3 раздела 3) X1 = 34, X2 = 135, то гр. 8 = разность показателя строки с кодом вида страхования 34135 (гр. 3 раздела 1), в которой наименование важнейшего вида страхования (гр. 1 раздела 1) соответствует наименованию этого вида страхования в гр. 1, стр. 135 подраздела 3.4.1 формы N 2-С, гр. 8 раздела 1 формы N 11-страховщик и суммы показателей стр. 168, гр. 10 подразделов 6.1.2, 6.2.2 и 6.3.2 формы N 2-С;

148. Если наименование важнейшего вида страхования (гр. 1 раздела 3) соответствует наименованию этого вида страхования в гр. 1, стр. 135 подраздела 3.4.1 формы N 2-С, первый, второй разряды кода вида страхования (гр. 3 раздела 3) X1 = 34, X2 = 135, то гр. 4, 8 сумма показателей строк, в которых наименование важнейших видов страхования соответствует наименованию правил страхования (гр. 1 раздела 3), первый, второй разряды кода вида страхования (гр. 3 раздела 3) X1 = 34, X2 = 135, гр. 4, 8;

149. Если первый, второй разряды кода вида страхования (гр. 3 раздела 3) X1 = 34, X2 = 140, то гр. 4 = разность показателя строки с кодом вида страхования 34140 (гр. 3 раздела 1), гр. 4 раздела 1 формы N 11-страховщик и суммы показателей стр. 169, гр. 3 подразделов 6.1.2, 6.2.2 и 6.3.2 формы N 2-С;

150. Если первый, второй разряды кода вида страхования (гр. 3 раздела 3) X1 = 34, X2 = 140, то гр. 8 = разность показателя строки с кодом вида страхования 34140 (гр. 3 раздела 1), гр. 8 раздела 1 формы N 11-страховщик и суммы показателей стр. 169, гр. 10 подразделов 6.1.2, 6.2.2 и 6.3.2 формы N 2-С;

151. Если первый, второй разряды кода вида страхования (гр. 3 раздела 3) X1 = 34, X2 = 141, то гр. 4 = разность показателя строки с кодом вида страхования 34141 (гр. 3 раздела 1), гр. 4 раздела 1 формы N 11-страховщик и суммы показателей стр. 170, гр. 3 подразделов 6.1.2, 6.2.2 и 6.3.2 формы N 2-С;

152. Если первый, второй разряды кода вида страхования (гр. 3 раздела 3) X1 = 34, X2 = 141, то гр. 8 = разность показателя строки с кодом вида страхования 34141 (гр. 3 раздела 1), гр. 8 раздела 1 формы N 11-страховщик и суммы показателей стр. 170, гр. 10 подразделов 6.1.2, 6.2.2 и 6.3.2 формы N 2-С;

153. Если первый, второй разряды кода вида страхования (гр. 3 раздела 3) X1 = 34, X2 = 142, то гр. 4 = разность показателя строки с кодом вида страхования 34142 (гр. 3 раздела 1), гр. 4 раздела 1 формы N 11-страховщик и суммы показателей стр. 171, гр. 3 подразделов 6.1.2, 6.2.2 и 6.3.2 формы N 2-С;

154. Если первый, второй разряды кода вида страхования (гр. 3 раздела 3) X1 = 34, X2 = 142, то гр. 8 = разность показателя строки с кодом вида страхования 34142 (гр. 3 раздела 1), гр. 8 раздела 1 формы N 11-страховщик и суммы показателей стр. 171, гр. 10 подразделов 6.1.2, 6.2.2 и 6.3.2 формы N 2-С;

155. Если первый, второй разряды кода вида страхования (гр. 3 раздела 3) X1 = 34, X2 = 143, то гр. 4 = разность показателя строки с кодом вида страхования 34143 (гр. 3 раздела 1), гр. 4 раздела 1 формы N 11-страховщик и суммы показателей стр. 172, гр. 3 подразделов 6.1.2, 6.2.2 и 6.3.2 формы N 2-С;

156. Если первый, второй разряды кода вида страхования (гр. 3 раздела 3) X1 = 34, X2 = 143, то гр. 8 = разность показателя строки с кодом вида страхования 34143 (гр. 3 раздела 1), гр. 8 раздела 1 формы N 11-страховщик и суммы показателей стр. 172, гр. 10 подразделов 6.1.2, 6.2.2 и 6.3.2 формы N 2-С;

157. Если первый, второй разряды кода вида страхования (гр. 3 раздела 3) X1 = 34, X2 = 144, то гр. 4 = разность показателя строки с кодом вида страхования 34144 (гр. 3 раздела 1), гр. 4 раздела 1 формы N 11-страховщик и суммы показателей стр. 173, гр. 3 подразделов 6.1.2, 6.2.2 и 6.3.2 формы N 2-С;

158. Если первый, второй разряды кода вида страхования (гр. 3 раздела 3) X1 = 34, X2 = 144, то гр. 8 = разность показателя строки с кодом вида страхования 34144 (гр. 3 раздела 1), гр. 8 раздела 1 формы N 11-страховщик и суммы показателей стр. 173, гр. 10 подразделов 6.1.2, 6.2.2 и 6.3.2 формы N 2-С;

159. Если первый, второй разряды кода вида страхования (гр. 3 раздела 3) X1 = 34, X2 = 145, то гр. 4 = разность показателя строки с кодом вида страхования 34145 (гр. 3 раздела 1), гр. 4 раздела 1 формы N 11-страховщик и суммы показателей стр. 174, гр. 3 подразделов 6.1.2, 6.2.2 и 6.3.2 формы N 2-С;

160. Если первый, второй разряды кода вида страхования (гр. 3 раздела 3) X1 = 34, X2 = 145, то гр. 8 = разность показателя строки с кодом вида страхования 34145 (гр. 3 раздела 1), гр. 8 раздела 1 формы N 11-страховщик и суммы показателей стр. 174, гр. 10 подразделов 6.1.2, 6.2.2 и 6.3.2 формы N 2-С;

161. Если наименование важнейшего вида страхования (гр. 1 раздела 3) соответствует наименованию этого вида страхования в гр. 1, стр. 147 подраздела 3.4.1 формы N 2-С, первый, второй разряды кода вида страхования которого (гр. 3 раздела 3) X1 = 34, X2 = 147, то гр. 4 = разность показателя строки с кодом вида страхования 34147 (гр. 3 раздела 1), в которой наименование важнейшего вида страхования (гр. 1 раздела 1) соответствует наименованию этого вида страхования в гр. 1, стр. 147 подраздела 3.4.1 формы N 2-С, гр. 4 раздела 1 формы N 11-страховщик и суммы показателей стр. 176, гр. 3 подразделов 6.1.2, 6.2.2 и 6.3.2 формы N 2-С;

162. Если наименование важнейшего вида страхования (гр. 1 раздела 3) соответствует наименованию этого вида страхования в гр. 1, стр. 147 подраздела 3.4.1 формы N 2-С, первый, второй разряды кода вида страхования которого (гр. 3 раздела 3) X1 = 34, X2 = 147, то гр. 8 = разность показателя строки с кодом вида страхования 34147 (гр. 3 раздела 1), в которой наименование важнейшего вида страхования (гр. 1 раздела 1) соответствует наименованию этого вида страхования в гр. 1, стр. 147 подраздела 3.4.1 формы N 2-С, гр. 8 раздела 1 формы N 11-страховщик и суммы показателей стр. 176, гр. 10 подразделов 6.1.2, 6.2.2 и 6.3.2 формы N 2-С;

163. Если наименование важнейшего вида страхования (гр. 1 раздела 3) соответствует наименованию этого вида страхования в гр. 1, стр. 147 подраздела 3.4.1 формы N 2-С, первый, второй разряды кода вида страхования (гр. 3 раздела 3) X1 = 34, X2 = 147, то гр. 4, 8 сумма показателей строк, в которых наименование важнейших видов страхования соответствует наименованию правил страхования (гр. 1 раздела 3), первый, второй разряды кода вида страхования (гр. 3 раздела 3) X1 = 34, X2 = 147, гр. 4, 8;

164. Если первый, второй разряды кода вида страхования (гр. 3 раздела 3) X1 = 40, X2 = 111, то гр. 4 = разность показателя строки с кодом вида страхования 40111 (гр. 3 раздела 1), гр. 4 раздела 1 формы N 11-страховщик и суммы показателей стр. 185, гр. 3 подразделов 6.1.2, 6.2.2 и 6.3.2 формы N 2-С;

165. Если первый, второй разряды кода вида страхования (гр. 3 раздела 3) X1 = 40, X2 = 111, то гр. 8 = разность показателя строки с кодом вида страхования 40111 (гр. 3 раздела 1), гр. 8 раздела 1 формы N 11-страховщик и суммы показателей стр. 185, гр. 10 подразделов 6.1.2, 6.2.2 и 6.3.2 формы N 2-С;

166. Если первый, второй разряды кода вида страхования (гр. 3 раздела 3) X1 = 40, X2 = 115, то гр. 4 = разность показателя строки с кодом вида страхования 40115 (гр. 3 раздела 1), гр. 4 раздела 1 формы N 11-страховщик и суммы показателей стр. 186, гр. 3 подразделов 6.1.2, 6.2.2 и 6.3.2 формы N 2-С;

167. Если первый, второй разряды кода вида страхования (гр. 3 раздела 3) X1 = 40, X2 = 115, то гр. 8 = разность показателя строки с кодом вида страхования 40115 (гр. 3 раздела 1), гр. 8 раздела 1 формы N 11-страховщик и суммы показателей стр. 186, гр. 10 подразделов 6.1.2, 6.2.2 и 6.3.2 формы N 2-С;

168. Если первый, второй разряды кода вида страхования (гр. 3 раздела 3) X1 = 40, X2 = 120, то гр. 4 = разность показателя строки с кодом вида страхования 40120 (гр. 3 раздела 1), гр. 4 раздела 1 формы N 11-страховщик и суммы показателей стр. 187, гр. 3 подразделов 6.1.2, 6.2.2 и 6.3.2 формы N 2-С;

169. Если первый, второй разряды кода вида страхования (гр. 3 раздела 3) X1 = 40, X2 = 120, то гр. 8 = разность показателя строки с кодом вида страхования 40120 (гр. 3 раздела 1), гр. 8 раздела 1 формы N 11-страховщик и суммы показателей стр. 187, гр. 10 подразделов 6.1.2, 6.2.2 и 6.3.2 формы N 2-С;

170. Если первый, второй разряды кода вида страхования (гр. 3 раздела 3) X1 = 40, X2 = 125, то гр. 4 = разность показателя строки с кодом вида страхования 40125 (гр. 3 раздела 1), гр. 4 раздела 1 формы N 11-страховщик и суммы показателей стр. 188, гр. 3 подразделов 6.1.2, 6.2.2 и 6.3.2 формы N 2-С;

171. Если первый, второй разряды кода вида страхования (гр. 3 раздела 3) X1 = 40, X2 = 125, то гр. 8 = разность показателя строки с кодом вида страхования 40125 (гр. 3 раздела 1), гр. 8 раздела 1 формы N 11-страховщик и суммы показателей стр. 188, гр. 10 подразделов 6.1.2, 6.2.2 и 6.3.2 формы N 2-С;

172. Если первый, второй разряды кода вида страхования (гр. 3 раздела 3) X1 = 40, X2 = 130, то гр. 4 = разность показателя строки с кодом вида страхования 40130 (гр. 3 раздела 1), гр. 4 раздела 1 формы N 11-страховщик и суммы показателей стр. 189, гр. 3 подразделов 6.1.2, 6.2.2 и 6.3.2 формы N 2-С;

173. Если первый, второй разряды кода вида страхования (гр. 3 раздела 3) X1 = 40, X2 = 130, то гр. 8 = разность показателя строки с кодом вида страхования 40130 (гр. 3 раздела 1), гр. 8 раздела 1 формы N 11-страховщик и суммы показателей стр. 189, гр. 10 подразделов 6.1.2, 6.2.2 и 6.3.2 формы N 2-С;

174. Если первый, второй разряды кода вида страхования (гр. 3 раздела 3) X1 = 40, X2 = 151, то гр. 4 = разность показателя строки с кодом вида страхования 40151 (гр. 3 раздела 1), гр. 4 раздела 1 формы N 11-страховщик и суммы показателей стр. 193, гр. 3 подразделов 6.1.2, 6.2.2 и 6.3.2 формы N 2-С;

175. Если первый, второй разряды кода вида страхования (гр. 3 раздела 3) X1 = 40, X2 = 151, то гр. 8 = разность показателя строки с кодом вида страхования 40151 (гр. 3 раздела 1), гр. 8 раздела 1 формы N 11-страховщик и суммы показателей стр. 193, гр. 10 подразделов 6.1.2, 6.2.2 и 6.3.2 формы N 2-С;

176. Если первый, второй разряды кода вида страхования (гр. 3 раздела 3) X1 = 40, X2 = 155, то гр. 4 = разность показателя строки с кодом вида страхования 40155 (гр. 3 раздела 1), гр. 4 раздела 1 формы N 11-страховщик и суммы показателей стр. 194, гр. 3 подразделов 6.1.2, 6.2.2 и 6.3.2 формы N 2-С;

177. Если первый, второй разряды кода вида страхования (гр. 3 раздела 3) X1 = 40, X2 = 155, то гр. 8 = разность показателя строки с кодом вида страхования 40155 (гр. 3 раздела 1), гр. 8 раздела 1 формы N 11-страховщик и суммы показателей стр. 194, гр. 10 подразделов 6.1.2, 6.2.2 и 6.3.2 формы N 2-С;

178. Если первый, второй разряды кода вида страхования (гр. 3 раздела 3) X1 = 40, X2 = 157, то гр. 4 = разность показателя строки с кодом вида страхования 40157 (гр. 3 раздела 1), гр. 4 раздела 1 формы N 11-страховщик и суммы показателей стр. 195, гр. 3 подразделов 6.1.2, 6.2.2 и 6.3.2 формы N 2-С;

179. Если первый, второй разряды кода вида страхования (гр. 3 раздела 3) X1 = 40, X2 = 157, то гр. 8 = разность показателя строки с кодом вида страхования 40157 (гр. 3 раздела 1), гр. 8 раздела 1 формы N 11-страховщик и суммы показателей стр. 195, гр. 10 подразделов 6.1.2, 6.2.2 и 6.3.2 формы N 2-С;

180. Если первый, второй разряды кода вида страхования (гр. 3 раздела 3) X1 = 40, X2 = 158, то гр. 4 = разность показателя строки с кодом вида страхования 40158 (гр. 3 раздела 1), гр. 4 раздела 1 формы N 11-страховщик и суммы показателей стр. 196, гр. 3 подразделов 6.1.2, 6.2.2 и 6.3.2 формы N 2-С;

181. Если первый, второй разряды кода вида страхования (гр. 3 раздела 3) X1 = 40, X2 = 158, то гр. 8 = разность показателя строки с кодом вида страхования 40158 (гр. 3 раздела 1), гр. 8 раздела 1 формы N 11-страховщик и суммы показателей стр. 196, гр. 10 подразделов 6.1.2, 6.2.2 и 6.3.2 формы N 2-С;

182. Если первый, второй разряды кода вида страхования (гр. 3 раздела 3) X1 = 40, X2 = 160, то гр. 4 = разность показателя строки с кодом вида страхования 40160 (гр. 3 раздела 1), гр. 4 раздела 1 формы N 11-страховщик и суммы показателей стр. 197, гр. 3 подразделов 6.1.2, 6.2.2 и 6.3.2 формы N 2-С;

183. Если первый, второй разряды кода вида страхования (гр. 3 раздела 3) X1 = 40, X2 = 160, то гр. 8 = разность показателя строки с кодом вида страхования 40160 (гр. 3 раздела 1), гр. 8 раздела 1 формы N 11-страховщик и суммы показателей стр. 197, гр. 10 подразделов 6.1.2, 6.2.2 и 6.3.2 формы N 2-С.

Если для конкретного важнейшего вида страхования гр. 4 раздела 1 = 0, гр. 4 раздела 2 0, то применяются контрольные соотношения 184 - 344:

184. В гр. 1 и 3 наименование важнейшего вида страхования и код вида страхования переносятся соответственно из гр. 1 и 3 раздела 2;

185. Если первый, второй разряды кода вида страхования (гр. 3 раздела 3) X1 = 60, X2 = 108, то гр. 4 = разность показателя строки с кодом вида страхования 60108 (гр. 3 раздела 2), гр. 4 раздела 2 формы N 11-страховщик и суммы показателей стр. 108, гр. 3 подразделов 6.1.2, 6.2.2 и 6.3.2 формы N 2-С;

186. Если первый, второй разряды кода вида страхования (гр. 3 раздела 3) X1 = 60, X2 = 108, то гр. 8 = разность показателя строки с кодом вида страхования 60108 (гр. 3 раздела 2), гр. 8 раздела 2 формы N 11-страховщик и суммы показателей стр. 108, гр. 10 подразделов 6.1.2, 6.2.2 и 6.3.2 формы N 2-С;

187. Если первый, второй разряды кода вида страхования (гр. 3 раздела 3) X1 = 60, X2 = 109, то гр. 4 = разность показателя строки с кодом вида страхования 60109 (гр. 3 раздела 2), гр. 4 раздела 2 формы N 11-страховщик и суммы показателей стр. 109, гр. 3 подразделов 6.1.2, 6.2.2 и 6.3.2 формы N 2-С;

188. Если первый, второй разряды кода вида страхования (гр. 3 раздела 3) X1 = 60, X2 = 109, то гр. 8 = разность показателя строки с кодом вида страхования 60109 (гр. 3 раздела 2), гр. 8 раздела 2 формы N 11-страховщик и суммы показателей стр. 109, гр. 10 подразделов 6.1.2, 6.2.2 и 6.3.2 формы N 2-С;

189. Если первый, второй разряды кода вида страхования (гр. 3 раздела 3) X1 = 60, X2 = 110, то гр. 4 = разность показателя строки с кодом вида страхования 60110 (гр. 3 раздела 2), гр. 4 раздела 2 формы N 11-страховщик и суммы показателей стр. 110, гр. 3 подразделов 6.1.2, 6.2.2 и 6.3.2 формы N 2-С;

190. Если первый, второй разряды кода вида страхования (гр. 3 раздела 3) X1 = 60, X2 = 110, то гр. 8 = разность показателя строки с кодом вида страхования 60110 (гр. 3 раздела 2), гр. 8 раздела 2 формы N 11-страховщик и суммы показателей стр. 110, гр. 10 подразделов 6.1.2, 6.2.2 и 6.3.2 формы N 2-С;

191. Если наименование важнейшего вида страхования (гр. 1 раздела 3) соответствует наименованию этого вида страхования в гр. 1, стр. 111 подраздела 6.1.1 формы N 2-С, первый, второй разряды кода вида страхования которого (гр. 3 раздела 3) X1 = 60, X2 = 111, то гр. 4 = разность показателя строки с кодом вида страхования 60111 (гр. 3 раздела 2), в которой наименование важнейшего вида страхования (гр. 1 раздела 2) соответствует наименованию этого вида страхования в гр. 1, стр. 111 подраздела 6.1.1 формы N 2-С, гр. 4 раздела 2 формы N 11-страховщик и суммы показателей стр. 111, гр. 3 подразделов 6.1.2, 6.2.2 и 6.3.2 формы N 2-С;

192. Если наименование важнейшего вида страхования (гр. 1 раздела 3) соответствует наименованию этого вида страхования в гр. 1, стр. 111 подраздела 6.1.1 формы N 2-С, первый, второй разряды кода вида страхования которого (гр. 3 раздела 3) X1 = 60, X2 = 111, то гр. 8 = разность показателя строки с кодом вида страхования 60111 (гр. 3 раздела 2), в которой наименование важнейшего вида страхования (гр. 1 раздела 2) соответствует наименованию этого вида страхования в гр. 1, стр. 111 подраздела 6.1.1 формы N 2-С, гр. 8 раздела 2 формы N 11-страховщик и суммы показателей стр. 111, гр. 10 подразделов 6.1.2, 6.2.2 и 6.3.2 формы N 2-С;

193. Если наименование важнейшего вида страхования (гр. 1 раздела 3) соответствует наименованию этого вида страхования в гр. 1, стр. 111 подраздела 6.1.1 формы N 2-С, первый, второй разряды кода вида страхования (гр. 3 раздела 3) X1 = 60, X2 = 111, то гр. 4, 8 сумма показателей строк, в которых наименование важнейших видов страхования соответствует наименованию правил страхования (гр. 1 раздела 3), первый, второй разряды кода вида страхования (гр. 3 раздела 3) X1 = 60, X2 = 111, гр. 4, 8;

194. Если первый, второй разряды кода вида страхования (гр. 3 раздела 3) X1 = 60, X2 = 112, то гр. 4 = разность показателя строки с кодом вида страхования 60112 (гр. 3 раздела 2), гр. 4 раздела 2 формы N 11-страховщик и суммы показателей стр. 112, гр. 3 подразделов 6.1.2, 6.2.2 и 6.3.2 формы N 2-С;

195. Если первый, второй разряды кода вида страхования (гр. 3 раздела 3) X1 = 60, X2 = 112, то гр. 8 = разность показателя строки с кодом вида страхования 60112 (гр. 3 раздела 2), гр. 8 раздела 2 формы N 11-страховщик и суммы показателей стр. 112, гр. 10 подразделов 6.1.2, 6.2.2 и 6.3.2 формы N 2-С;

196. Если первый, второй разряды кода вида страхования (гр. 3 раздела 3) X1 = 60, X2 = 117, то гр. 4 = разность показателя строки с кодом вида страхования 60117 (гр. 3 раздела 2), гр. 4 раздела 2 формы N 11-страховщик и суммы показателей стр. 117, гр. 3 подразделов 6.1.2, 6.2.2 и 6.3.2 формы N 2-С;

197. Если первый, второй разряды кода вида страхования (гр. 3 раздела 3) X1 = 60, X2 = 117, то гр. 8 = разность показателя строки с кодом вида страхования 60117 (гр. 3 раздела 2), гр. 8 раздела 2 формы N 11-страховщик и суммы показателей стр. 117, гр. 10 подразделов 6.1.2, 6.2.2 и 6.3.2 формы N 2-С;

198. Если первый, второй разряды кода вида страхования (гр. 3 раздела 3) X1 = 60, X2 = 118, то гр. 4 = разность показателя строки с кодом вида страхования 60118 (гр. 3 раздела 2), гр. 4 раздела 2 формы N 11-страховщик и суммы показателей стр. 118, гр. 3 подразделов 6.1.2, 6.2.2 и 6.3.2 формы N 2-С;

199. Если первый, второй разряды кода вида страхования (гр. 3 раздела 3) X1 = 60, X2 = 118, то гр. 8 = разность показателя строки с кодом вида страхования 60118 (гр. 3 раздела 2), гр. 8 раздела 2 формы N 11-страховщик и суммы показателей стр. 118, гр. 10 подразделов 6.1.2, 6.2.2 и 6.3.2 формы N 2-С;

200. Если первый, второй разряды кода вида страхования (гр. 3 раздела 3) X1 = 60, X2 = 119, то гр. 4 = разность показателя строки с кодом вида страхования 60119 (гр. 3 раздела 2), гр. 4 раздела 2 формы N 11-страховщик и суммы показателей стр. 119, гр. 3 подразделов6.1.2, 6.2.2 и 6.3.2 формы N 2-С;

201. Если первый, второй разряды кода вида страхования (гр. 3 раздела 3) X1 = 60, X2 = 119, то гр. 8 = разность показателя строки с кодом вида страхования 60119 (гр. 3 раздела 2), гр. 8 раздела 2 формы N 11-страховщик и суммы показателей стр. 119, гр. 10 подразделов 6.1.2, 6.2.2 и 6.3.2 формы N 2-С;

202. Если первый, второй разряды кода вида страхования (гр. 3 раздела 3) X1 = 60, X2 = 120, то гр. 4 = разность показателя строки с кодом вида страхования 60120 (гр. 3 раздела 2), гр. 4 раздела 2 формы N 11-страховщик и суммы показателей стр. 120, гр. 3 подразделов 6.1.2, 6.2.2 и 6.3.2 формы N 2-С;

203. Если первый, второй разряды кода вида страхования (гр. 3 раздела 3) X1 = 60, X2 = 120, то гр. 8 = разность показателя строки с кодом вида страхования 60120 (гр. 3 раздела 2), гр. 8 раздела 2 формы N 11-страховщик и суммы показателей стр. 120, гр. 10 подразделов 6.1.2, 6.2.2 и 6.3.2 формы N 2-С;

204. Если первый, второй разряды кода вида страхования (гр. 3 раздела 3) X1 = 60, X2 = 121, то гр. 4 = разность показателя строки с кодом вида страхования 60121 (гр. 3 раздела 2), гр. 4 раздела 2 формы N 11-страховщик и суммы показателей стр. 121, гр. 3 подразделов 6.1.2, 6.2.2 и 6.3.2 формы N 2-С;

205. Если первый, второй разряды кода вида страхования (гр. 3 раздела 3) X1 = 60, X2 = 121, то гр. 8 = разность показателя строки с кодом вида страхования 60121 (гр. 3 раздела 2), гр. 8 раздела 2 формы N 11-страховщик и суммы показателей стр. 121, гр. 10 подразделов 6.1.2, 6.2.2 и 6.3.2 формы N 2-С;

206. Если первый, второй разряды кода вида страхования (гр. 3 раздела 3) X1 = 60, X2 = 122, то гр. 4 = разность показателя строки с кодом вида страхования 60122 (гр. 3 раздела 2), гр. 4 раздела 2 формы N 11-страховщик и суммы показателей стр. 122, гр. 3 подразделов 6.1.2, 6.2.2 и 6.3.2 формы N 2-С;

207. Если первый, второй разряды кода вида страхования (гр. 3 раздела 3) X1 = 60, X2 = 122, то гр. 8 = разность показателя строки с кодом вида страхования 60122 (гр. 3 раздела 2), гр. 8 раздела 2 формы N 11-страховщик и суммы показателей стр. 122, гр. 10 подразделов 6.1.2, 6.2.2 и 6.3.2 формы N 2-С;

208. Если первый, второй разряды кода вида страхования (гр. 3 раздела 3) X1 = 60, X2 = 123, то гр. 4 = разность показателя строки с кодом вида страхования 60123 (гр. 3 раздела 2), гр. 4 раздела 2 формы N 11-страховщик и суммы показателей стр. 123, гр. 3 подразделов 6.1.2, 6.2.2 и 6.3.2 формы N 2-С;

209. Если первый, второй разряды кода вида страхования (гр. 3 раздела 3) X1 = 60, X2 = 123, то гр. 8 = разность показателя строки с кодом вида страхования 60123 (гр. 3 раздела 2), гр. 8 раздела 2 формы N 11-страховщик и суммы показателей стр. 123, гр. 10 подразделов 6.1.2, 6.2.2 и 6.3.2 формы N 2-С;

210. Если первый, второй разряды кода вида страхования (гр. 3 раздела 3) X1 = 60, X2 = 124, то гр. 4 = разность показателя строки с кодом вида страхования 60124 (гр. 3 раздела 2), гр. 4 раздела 2 формы N 11-страховщик и суммы показателей стр. 124, гр. 3 подразделов 6.1.2, 6.2.2 и 6.3.2 формы N 2-С;

211. Если первый, второй разряды кода вида страхования (гр. 3 раздела 3) X1 = 60, X2 = 124, то гр. 8 = разность показателя строки с кодом вида страхования 60124 (гр. 3 раздела 2), гр. 8 раздела 2 формы N 11-страховщик и суммы показателей стр. 124, гр. 10 подразделов 6.1.2, 6.2.2 и 6.3.2 формы N 2-С;

212. Если первый, второй разряды кода вида страхования (гр. 3 раздела 3) X1 = 60, X2 = 125, то гр. 4 = разность показателя строки с кодом вида страхования 60125 (гр. 3 раздела 2), гр. 4 раздела 2 формы N 11-страховщик и суммы показателей стр. 125, гр. 3 подразделов 6.1.2, 6.2.2 и 6.3.2 формы N 2-С;

213. Если первый, второй разряды кода вида страхования (гр. 3 раздела 3) X1 = 60, X2 = 125, то гр. 8 = разность показателя строки с кодом вида страхования 60125 (гр. 3 раздела 2), гр. 8 раздела 2 формы N 11-страховщик и суммы показателей стр. 125, гр. 10 подразделов 6.1.2, 6.2.2 и 6.3.2 формы N 2-С;

214. Если первый, второй разряды кода вида страхования (гр. 3 раздела 3) X1 = 60, X2 = 126, то гр. 4 = разность показателя строки с кодом вида страхования 60126 (гр. 3 раздела 2), гр. 4 раздела 2 формы N 11-страховщик и суммы показателей стр. 126, гр. 3 подразделов 6.1.2, 6.2.2 и 6.3.2 формы N 2-С;

215. Если первый, второй разряды кода вида страхования (гр. 3 раздела 3) X1 = 60, X2 = 126, то гр. 8 = разность показателя строки с кодом вида страхования 60126 (гр. 3 раздела 2), гр. 8 раздела 2 формы N 11-страховщик и суммы показателей стр. 126, гр. 10 подразделов 6.1.2, 6.2.2 и 6.3.2 формы N 2-С;

216. Если первый, второй разряды кода вида страхования (гр. 3 раздела 3) X1 = 60, X2 = 127, то гр. 4 = разность показателя строки с кодом вида страхования 60127 (гр. 3 раздела 2), гр. 4 раздела 2 формы N 11-страховщик и суммы показателей стр. 127, гр. 3 подразделов 6.1.2, 6.2.2 и 6.3.2 формы N 2-С;

217. Если первый, второй разряды кода вида страхования (гр. 3 раздела 3) X1 = 60, X2 = 127, то гр. 8 = разность показателя строки с кодом вида страхования 60127 (гр. 3 раздела 2), гр. 8 раздела 2 формы N 11-страховщик и суммы показателей стр. 127, гр. 10 подразделов 6.1.2, 6.2.2 и 6.3.2 формы N 2-С;

218. Если первый, второй разряды кода вида страхования (гр. 3 раздела 3) X1 = 60, X2 = 129, то гр. 4 = разность показателя строки с кодом вида страхования 60129 (гр. 3 раздела 2), гр. 4 раздела 2 формы N 11-страховщик и суммы показателей стр. 129, гр. 3 подразделов 6.1.2, 6.2.2 и 6.3.2 формы N 2-С;

219. Если первый, второй разряды кода вида страхования (гр. 3 раздела 3) X1 = 60, X2 = 129, то гр. 8 = разность показателя строки с кодом вида страхования 60129 (гр. 3 раздела 2), гр. 8 раздела 2 формы N 11-страховщик и суммы показателей стр. 129, гр. 10 подразделов 6.1.2, 6.2.2 и 6.3.2 формы N 2-С;

220. Если первый, второй разряды кода вида страхования (гр. 3 раздела 3) X1 = 60, X2 = 130, то гр. 4 = разность показателя строки с кодом вида страхования 60130 (гр. 3 раздела 2), гр. 4 раздела 2 формы N 11-страховщик и суммы показателей стр. 130, гр. 3 подразделов 6.1.2, 6.2.2 и 6.3.2 формы N 2-С;

221. Если первый, второй разряды кода вида страхования (гр. 3 раздела 3) X1 = 60, X2 = 130, то гр. 8 = разность показателя строки с кодом вида страхования 60130 (гр. 3 раздела 2), гр. 8 раздела 2 формы N 11-страховщик и суммы показателей стр. 130, гр. 10 подразделов 6.1.2, 6.2.2 и 6.3.2 формы N 2-С;

222. Если первый, второй разряды кода вида страхования (гр. 3 раздела 3) X1 = 60, X2 = 131, то гр. 4 = разность показателя строки с кодом вида страхования 60131 (гр. 3 раздела 2), гр. 4 раздела 2 формы N 11-страховщик и суммы показателей стр. 131, гр. 3 подразделов 6.1.2, 6.2.2 и 6.3.2 формы N 2-С;

223. Если первый, второй разряды кода вида страхования (гр. 3 раздела 3) X1 = 60, X2 = 131, то гр. 8 = разность показателя строки с кодом вида страхования 60131 (гр. 3 раздела 2), гр. 8 раздела 2 формы N 11-страховщик и суммы показателей стр. 131, гр. 10 подразделов 6.1.2, 6.2.2 и 6.3.2 формы N 2-С;

224. Если первый, второй разряды кода вида страхования (гр. 3 раздела 3) X1 = 60, X2 = 132, то гр. 4 = разность показателя строки с кодом вида страхования 60132 (гр. 3 раздела 2), гр. 4 раздела 2 формы N 11-страховщик и суммы показателей стр. 132, гр. 3 подразделов 6.1.2, 6.2.2 и 6.3.2 формы N 2-С;

225. Если первый, второй разряды кода вида страхования (гр. 3 раздела 3) X1 = 60, X2 = 132, то гр. 8 = разность показателя строки с кодом вида страхования 60132 (гр. 3 раздела 2), гр. 8 раздела 2 формы N 11-страховщик и суммы показателей стр. 132, гр. 10 подразделов 6.1.2, 6.2.2 и 6.3.2 формы N 2-С;

226. Если первый, второй разряды кода вида страхования (гр. 3 раздела 3) X1 = 60, X2 = 133, то гр. 4 = разность показателя строки с кодом вида страхования 60133 (гр. 3 раздела 2), гр. 4 раздела 2 формы N 11-страховщик и суммы показателей стр. 133, гр. 3 подразделов 6.1.2, 6.2.2 и 6.3.2 формы N 2-С;

227. Если первый, второй разряды кода вида страхования (гр. 3 раздела 3) X1 = 60, X2 = 133, то гр. 8 = разность показателя строки с кодом вида страхования 60133 (гр. 3 раздела 2), гр. 8 раздела 2 формы N 11-страховщик и суммы показателей стр. 133, гр. 10 подразделов 6.1.2, 6.2.2 и 6.3.2 формы N 2-С;

228. Если наименование важнейшего вида страхования (гр. 1 раздела 3) соответствует наименованию этого вида страхования в гр. 1, стр. 134 подраздела 6.1.1 формы N 2-С, первый, второй разряды кода вида страхования которого (гр. 3 раздела 3) X1 = 60, X2 = 134, то гр. 4 = разность показателя строки с кодом вида страхования 60134 (гр. 3 раздела 2), в которой наименование важнейшего вида страхования (гр. 1 раздела 2) соответствует наименованию этого вида страхования в гр. 1, стр. 134 подраздела 6.1.1 формы N 2-С, гр. 4 раздела 2 формы N 11-страховщик и суммы показателей стр. 134, гр. 3 подразделов 6.1.2, 6.2.2 и 6.3.2 формы N 2-С;

229. Если наименование важнейшего вида страхования (гр. 1 раздела 3) соответствует наименованию этого вида страхования в гр. 1, стр. 134 подраздела 6.1.1 формы N 2-С, первый, второй разряды кода вида страхования которого (гр. 3 раздела 3) X1 = 60, X2 = 134, то гр. 8 = разность показателя строки с кодом вида страхования 60134 (гр. 3 раздела 2), в которой наименование важнейшего вида страхования (гр. 1 раздела 2) соответствует наименованию этого вида страхования в гр. 1, стр. 134 подраздела 6.1.1 формы N 2-С, гр. 8 раздела 2 формы N 11-страховщик и суммы показателей стр. 134, гр. 10 подразделов 6.1.2, 6.2.2 и 6.3.2 формы N 2-С;

230. Если наименование важнейшего вида страхования (гр. 1 раздела 3) соответствует наименованию этого вида страхования в гр. 1, стр. 134 подраздела 6.1.1 формы N 2-С, первый, второй разряды кода вида страхования (гр. 3 раздела 3) X1 = 60, X2 = 134, то гр. 4, 8 сумма показателей строк, в которых наименование важнейших видов страхования соответствует наименованию правил страхования (гр. 1 раздела 3), первый, второй разряды кода вида страхования (гр. 3 раздела 3) X1 = 60, X2 = 134, гр. 4, 8;

231. Если первый, второй разряды кода вида страхования (гр. 3 раздела 3) X1 = 60, X2 = 135, то гр. 4 = разность показателя строки с кодом вида страхования 60135 (гр. 3 раздела 2), гр. 4 раздела 2 формы N 11-страховщик и суммы показателей стр. 135, гр. 3 подразделов 6.1.2, 6.2.2 и 6.3.2 формы N 2-С;

232. Если первый, второй разряды кода вида страхования (гр. 3 раздела 3) X1 = 60, X2 = 135, то гр. 8 = разность показателя строки с кодом вида страхования 60135 (гр. 3 раздела 2), гр. 8 раздела 2 формы N 11-страховщик и суммы показателей стр. 135, гр. 10 подразделов 6.1.2, 6.2.2 и 6.3.2 формы N 2-С;

233. Если первый, второй разряды кода вида страхования (гр. 3 раздела 3) X1 = 60, X2 = 136, то гр. 4 = разность показателя строки с кодом вида страхования 60136 (гр. 3 раздела 2), гр. 4 раздела 2 формы N 11-страховщик и суммы показателей стр. 136, гр. 3 подразделов 6.1.2, 6.2.2 и 6.3.2 формы N 2-С;

234. Если первый, второй разряды кода вида страхования (гр. 3 раздела 3) X1 = 60, X2 = 136, то гр. 8 = разность показателя строки с кодом вида страхования 60136 (гр. 3 раздела 2), гр. 8 раздела 2 формы N 11-страховщик и суммы показателей стр. 136, гр. 10 подразделов 6.1.2, 6.2.2 и 6.3.2 формы N 2-С;

235. Если первый, второй разряды кода вида страхования (гр. 3 раздела 3) X1 = 60, X2 = 137, то гр. 4 = разность показателя строки с кодом вида страхования 60137 (гр. 3 раздела 2), гр. 4 раздела 2 формы N 11-страховщик и суммы показателей стр. 137, гр. 3 подразделов 6.1.2, 6.2.2 и 6.3.2 формы N 2-С;

236. Если первый, второй разряды кода вида страхования (гр. 3 раздела 3) X1 = 60, X2 = 137, то гр. 8 = разность показателя строки с кодом вида страхования 60137 (гр. 3 раздела 2), гр. 8 раздела 2 формы N 11-страховщик и суммы показателей стр. 137, гр. 10 подразделов 6.1.2, 6.2.2 и 6.3.2 формы N 2-С;

237. Если наименование важнейшего вида страхования (гр. 1 раздела 3) соответствует наименованию этого вида страхования в гр. 1, стр. 138 подраздела 6.1.1 формы N 2-С, первый, второй разряды кода вида страхования которого (гр. 3 раздела 3) X1 = 60, X2 = 138, то гр. 4 = разность показателя строки с кодом вида страхования 60138 (гр. 3 раздела 2), в которой наименование важнейшего вида страхования (гр. 1 раздела 2) соответствует наименованию этого вида страхования в гр. 1, стр. 138 подраздела 6.1.1 формы N 2-С, гр. 4 раздела 2 формы N 11-страховщик и суммы показателей стр. 138, гр. 3 подразделов 6.1.2, 6.2.2 и 6.3.2 формы N 2-С;

238. Если наименование важнейшего вида страхования (гр. 1 раздела 3) соответствует наименованию этого вида страхования в гр. 1, стр. 138 подраздела 6.1.1 формы N 2-С, первый, второй разряды кода вида страхования которого (гр. 3 раздела 3) X1 = 60, X2 = 138, то гр. 8 = разность показателя строки с кодом вида страхования 60138 (гр. 3 раздела 2), в которой наименование важнейшего вида страхования (гр. 1 раздела 2) соответствует наименованию этого вида страхования в гр. 1, стр. 138 подраздела 6.1.1 формы N 2-С, гр. 8 раздела 2 формы N 11-страховщик и суммы показателей стр. 138, гр. 10 подразделов 6.1.2, 6.2.2 и 6.3.2 формы N 2-С;

239. Если наименование важнейшего вида страхования (гр. 1 раздела 3) соответствует наименованию этого вида страхования в гр. 1, стр. 138 подраздела 6.1.1 формы N 2-С, первый, второй разряды кода вида страхования (гр. 3 раздела 3) X1 = 60, X2 = 138, то гр. 4, 8 сумма показателей строк, в которых наименование важнейших видов страхования соответствует наименованию правил страхования (гр. 1 раздела 3), первый, второй разряды кода вида страхования (гр. 3 раздела 3) X1 = 60, X2 = 138, гр. 4, 8;

240. Если первый, второй разряды кода вида страхования (гр. 3 раздела 3) X1 = 60, X2 = 140, то гр. 4 = разность показателя строки с кодом вида страхования 60140 (гр. 3 раздела 2), гр. 4 раздела 2 формы N 11-страховщик и суммы показателей стр. 140, гр. 3 подразделов 6.1.2, 6.2.2 и 6.3.2 формы N 2-С;

241. Если первый, второй разряды кода вида страхования (гр. 3 раздела 3) X1 = 60, X2 = 140, то гр. 8 = разность показателя строки с кодом вида страхования 60140 (гр. 3 раздела 2), гр. 8 раздела 2 формы N 11-страховщик и суммы показателей стр. 140, гр. 10 подразделов 6.1.2, 6.2.2 и 6.3.2 формы N 2-С;

242. Если первый, второй разряды кода вида страхования (гр. 3 раздела 3) X1 = 60, X2 = 141, то гр. 4 = разность показателя строки с кодом вида страхования 60141 (гр. 3 раздела 2), гр. 4 раздела 2 формы N 11-страховщик и суммы показателей стр. 141, гр. 3 подразделов 6.1.2, 6.2.2 и 6.3.2 формы N 2-С;

243. Если первый, второй разряды кода вида страхования (гр. 3 раздела 3) X1 = 60, X2 = 141, то гр. 8 = разность показателя строки с кодом вида страхования 60141 (гр. 3 раздела 2), гр. 8 раздела 2 формы N 11-страховщик и суммы показателей стр. 141, гр. 10 подразделов 6.1.2, 6.2.2 и 6.3.2 формы N 2-С;

244. Если наименование важнейшего вида страхования (гр. 1 раздела 3) соответствует наименованию этого вида страхования в гр. 1, стр. 142 подраздела 6.1.1 формы N 2-С, первый, второй разряды кода вида страхования которого (гр. 3 раздела 3) X1 = 60, X2 = 142, то гр. 4 = разность показателя строки с кодом вида страхования 60142 (гр. 3 раздела 2), в которой наименование важнейшего вида страхования (гр. 1 раздела 2) соответствует наименованию этого вида страхования в гр. 1, стр. 142 подраздела 6.1.1 формы N 2-С, гр. 4 раздела 2 формы N 11-страховщик и суммы показателей стр. 142, гр. 3 подразделов 6.1.2, 6.2.2 и 6.3.2 формы N 2-С;

245. Если наименование важнейшего вида страхования (гр. 1 раздела 3) соответствует наименованию этого вида страхования в гр. 1, стр. 142 подраздела 6.1.1 формы N 2-С, первый, второй разряды кода вида страхования которого (гр. 3 раздела 3) X1 = 60, X2 = 142, то гр. 8 = разность показателя строки с кодом вида страхования 60142 (гр. 3 раздела 2), в которой наименование важнейшего вида страхования (гр. 1 раздела 2) соответствует наименованию этого вида страхования в гр. 1, стр. 142 подраздела 6.1.1 формы N 2-С, гр. 8 раздела 2 формы N 11-страховщик и суммы показателей стр. 142, гр. 10 подразделов 6.1.2, 6.2.2 и 6.3.2 формы N 2-С;

246. Если наименование важнейшего вида страхования (гр. 1 раздела 3) соответствует наименованию этого вида страхования в гр. 1, стр. 142 подраздела 6.1.1 формы N 2-С, первый, второй разряды кода вида страхования (гр. 3 раздела 3) X1 = 60, X2 = 142, то гр. 4, 8 сумма показателей строк, в которых наименование важнейших видов страхования соответствует наименованию правил страхования (гр. 1 раздела 3), первый, второй разряды кода вида страхования (гр. 3 раздела 3) X1 = 60, X2 = 142, гр. 4, 8;

247. Если первый, второй разряды кода вида страхования (гр. 3 раздела 3) X1 = 60, X2 = 143, то гр. 4 = разность показателя строки с кодом вида страхования 60143 (гр. 3 раздела 2), гр. 4 раздела 2 формы N 11-страховщик и суммы показателей стр. 143, гр. 3 подразделов 6.1.2, 6.2.2 и 6.3.2 формы N 2-С;

248. Если первый, второй разряды кода вида страхования (гр. 3 раздела 3) X1 = 60, X2 = 143, то гр. 8 = разность показателя строки с кодом вида страхования 60143 (гр. 3 раздела 2), гр. 8 раздела 2 формы N 11-страховщик и суммы показателей стр. 143, гр. 10 подразделов 6.1.2, 6.2.2 и 6.3.2 формы N 2-С;

249. Если первый, второй разряды кода вида страхования (гр. 3 раздела 3) X1 = 60, X2 = 431, то гр. 4 = разность показателя строки с кодом вида страхования 60431 (гр. 3 раздела 2), гр. 4 раздела 2 формы N 11-страховщик и суммы показателей стр. 143.1, гр. 3 подразделов 6.1.2, 6.2.2 и 6.3.2 формы N 2-С;

250. Если первый, второй разряды кода вида страхования (гр. 3 раздела 3) X1 = 60, X2 = 431, то гр. 8 = разность показателя строки с кодом вида страхования 60431 (гр. 3 раздела 2), гр. 8 раздела 2 формы N 11-страховщик и суммы показателей стр. 143.1, гр. 10 подразделов 6.1.2, 6.2.2 и 6.3.2 формы N 2-С;

251. Если первый, второй разряды кода вида страхования (гр. 3 раздела 3) X1 = 60, X2 = 432, то гр. 4 = разность показателя строки с кодом вида страхования 60432 (гр. 3 раздела 2), гр. 4 раздела 2 формы N 11-страховщик и суммы показателей стр. 143.2, гр. 3 подразделов 6.1.2, 6.2.2 и 6.3.2 формы N 2-С;

252. Если первый, второй разряды кода вида страхования (гр. 3 раздела 3) X1 = 60, X2 = 432, то гр. 8 = разность показателя строки с кодом вида страхования 60432 (гр. 3 раздела 2), гр. 8 раздела 2 формы N 11-страховщик и суммы показателей стр. 143.2, гр. 10 подразделов 6.1.2, 6.2.2 и 6.3.2 формы N 2-С;

253. Если наименование важнейшего вида страхования (гр. 1 раздела 3) соответствует наименованию этого вида страхования в гр. 1, стр. 144 подраздела 6.1.1 формы N 2-С, первый, второй разряды кода вида страхования которого (гр. 3 раздела 3) X1 = 60, X2 = 144, то гр. 4 = разность показателя строки с кодом вида страхования 60144 (гр. 3 раздела 2), в которой наименование важнейшего вида страхования (гр. 1 раздела 2) соответствует наименованию этого вида страхования в гр. 1, стр. 144 подраздела 6.1.1 формы N 2-С, гр. 4 раздела 2 формы N 11-страховщик и суммы показателей стр. 144, гр. 3 подразделов 6.1.2, 6.2.2 и 6.3.2 формы N 2-С;

254. Если наименование важнейшего вида страхования (гр. 1 раздела 3) соответствует наименованию этого вида страхования в гр. 1, стр. 144 подраздела 6.1.1 формы N 2-С, первый, второй разряды кода вида страхования которого (гр. 3 раздела 3) X1 = 60, X2 = 144, то гр. 8 = разность показателя строки с кодом вида страхования 60144 (гр. 3 раздела 2), в которой наименование важнейшего вида страхования (гр. 1 раздела 2) соответствует наименованию этого вида страхования в гр. 1, стр. 144 подраздела 6.1.1 формы N 2-С, гр. 8 раздела 2 формы N 11-страховщик и суммы показателей стр. 144, гр. 10 подразделов 6.1.2, 6.2.2 и 6.3.2 формы N 2-С;

255. Если наименование важнейшего вида страхования (гр. 1 раздела 3) соответствует наименованию этого вида страхования в гр. 1, стр. 144 подраздела 6.1.1 формы N 2-С, первый, второй разряды кода вида страхования (гр. 3 раздела 3) X1 = 60, X2 = 144, то гр. 4, 8 сумма показателей строк, в которых наименование важнейших видов страхования соответствует наименованию правил страхования (гр. 1 раздела 3), первый, второй разряды кода вида страхования (гр. 3 раздела 3) X1 = 60, X2 = 144, гр. 4, 8;

256. Если первый, второй разряды кода вида страхования (гр. 3 раздела 3) X1 = 60, X2 = 145, то гр. 4 = разность показателя строки с кодом вида страхования 60145 (гр. 3 раздела 2), гр. 4 раздела 2 формы N 11-страховщик и суммы показателей стр. 145, гр. 3 подразделов 6.1.2, 6.2.2 и 6.3.2 формы N 2-С;

257. Если первый, второй разряды кода вида страхования (гр. 3 раздела 3) X1 = 60, X2 = 145, то гр. 8 = разность показателя строки с кодом вида страхования 60145 (гр. 3 раздела 2), гр. 8 раздела 2 формы N 11-страховщик и суммы показателей стр. 145, гр. 10 подразделов 6.1.2, 6.2.2 и 6.3.2 формы N 2-С;

258. Если первый, второй разряды кода вида страхования (гр. 3 раздела 3) X1 = 60, X2 = 146, то гр. 4 = разность показателя строки с кодом вида страхования 60146 (гр. 3 раздела 2), гр. 4 раздела 2 формы N 11-страховщик и суммы показателей стр. 146, гр. 3 подразделов 6.1.2, 6.2.2 и 6.3.2 формы N 2-С;

259. Если первый, второй разряды кода вида страхования (гр. 3 раздела 3) X1 = 60, X2 = 146, то гр. 8 = разность показателя строки с кодом вида страхования 60146 (гр. 3 раздела 2), гр. 8 раздела 2 формы N 11-страховщик и суммы показателей стр. 146, гр. 10 подразделов 6.1.2, 6.2.2 и 6.3.2 формы N 2-С;

260. Если наименование важнейшего вида страхования (гр. 1 раздела 3) соответствует наименованию этого вида страхования в гр. 1, стр. 147 подраздела 6.1.1 формы N 2-С, первый, второй разряды кода вида страхования которого (гр. 3 раздела 3) X1 = 60, X2 = 147, то гр. 4 = разность показателя строки с кодом вида страхования 60147 (гр. 3 раздела 2), в которой наименование важнейшего вида страхования (гр. 1 раздела 2) соответствует наименованию этого вида страхования в гр. 1, стр. 147 подраздела 6.1.1 формы N 2-С, гр. 4 раздела 2 формы N 11-страховщик и суммы показателей стр. 147, гр. 3 подразделов 6.1.2, 6.2.2 и 6.3.2 формы N 2-С;

261. Если наименование важнейшего вида страхования (гр. 1 раздела 3) соответствует наименованию этого вида страхования в гр. 1, стр. 147 подраздела 6.1.1 формы N 2-С, первый, второй разряды кода вида страхования которого (гр. 3 раздела 3) X1 = 60, X2 = 147, то гр. 8 = разность показателя строки с кодом вида страхования 60147 (гр. 3 раздела 2), в которой наименование важнейшего вида страхования (гр. 1 раздела 2) соответствует наименованию этого вида страхования в гр. 1, стр. 147 подраздела 6.1.1 формы N 2-С, гр. 8 раздела 2 формы N 11-страховщик и суммы показателей стр. 147, гр. 10 подразделов 6.1.2, 6.2.2 и 6.3.2 формы N 2-С;

262. Если наименование важнейшего вида страхования (гр. 1 раздела 3) соответствует наименованию этого вида страхования в гр. 1, стр. 147 подраздела 6.1.1 формы N 2-С, первый, второй разряды кода вида страхования (гр. 3 раздела 3) X1 = 60, X2 = 147, то гр. 4, 8 сумма показателей строк, в которых наименование важнейших видов страхования соответствует наименованию правил страхования (гр. 1 раздела 3), первый, второй разряды кода вида страхования (гр. 3 раздела 3) X1 = 60, X2 = 147, гр. 4, 8;

263. Если первый, второй разряды кода вида страхования (гр. 3 раздела 3) X1 = 60, X2 = 148, то гр. 4 = разность показателя строки с кодом вида страхования 60148 (гр. 3 раздела 2), гр. 4 раздела 2 формы N 11-страховщик и суммы показателей стр. 148, гр. 3 подразделов 6.1.2, 6.2.2 и 6.3.2 формы N 2-С;

264. Если первый, второй разряды кода вида страхования (гр. 3 раздела 3) X1 = 60, X2 = 148, то гр. 8 = разность показателя строки с кодом вида страхования 60148 (гр. 3 раздела 2), гр. 8 раздела 2 формы N 11-страховщик и суммы показателей стр. 148, гр. 10 подразделов 6.1.2, 6.2.2 и 6.3.2 формы N 2-С;

265. Если первый, второй разряды кода вида страхования (гр. 3 раздела 3) X1 = 60, X2 = 149, то гр. 4 = разность показателя строки с кодом вида страхования 60149 (гр. 3 раздела 2), гр. 4 раздела 2 формы N 11-страховщик и суммы показателей стр. 149, гр. 3 подразделов 6.1.2, 6.2.2 и 6.3.2 формы N 2-С;

266. Если первый, второй разряды кода вида страхования (гр. 3 раздела 3) X1 = 60, X2 = 149, то гр. 8 = разность показателя строки с кодом вида страхования 60149 (гр. 3 раздела 2), гр. 8 раздела 2 формы N 11-страховщик и суммы показателей стр. 149, гр. 10 подразделов 6.1.2, 6.2.2 и 6.3.2 формы N 2-С;

267. Если наименование важнейшего вида страхования (гр. 1 раздела 3) соответствует наименованию этого вида страхования в гр. 1, стр. 150 подраздела 6.1.1 формы N 2-С, первый, второй разряды кода вида страхования которого (гр. 3 раздела 3) X1 = 60, X2 = 150, то гр. 4 = разность показателя строки с кодом вида страхования 60150 (гр. 3 раздела 2), в которой наименование важнейшего вида страхования (гр. 1 раздела 2) соответствует наименованию этого вида страхования в гр. 1, стр. 150 подраздела 6.1.1 формы N 2-С, гр. 4 раздела 2 формы N 11-страховщик и суммы показателей стр. 150, гр. 3 подразделов 6.1.2, 6.2.2 и 6.3.2 формы N 2-С;

268. Если наименование важнейшего вида страхования (гр. 1 раздела 3) соответствует наименованию этого вида страхования в гр. 1, стр. 150 подраздела 6.1.1 формы N 2-С, первый, второй разряды кода вида страхования которого (гр. 3 раздела 3) X1 = 60, X2 = 150, то гр. 8 = разность показателя строки с кодом вида страхования 60150 (гр. 3 раздела 2), в которой наименование важнейшего вида страхования (гр. 1 раздела 2) соответствует наименованию этого вида страхования в гр. 1, стр. 150 подраздела 6.1.1 формы N 2-С, гр. 8 раздела 2 формы N 11-страховщик и суммы показателей стр. 150, гр. 10 подразделов 6.1.2, 6.2.2 и 6.3.2 формы N 2-С;

269. Если наименование важнейшего вида страхования (гр. 1 раздела 3) соответствует наименованию этого вида страхования в гр. 1, стр. 150 подраздела 6.1.1 формы N 2-С, первый, второй разряды кода вида страхования (гр. 3 раздела 3) X1 = 60, X2 = 150, то гр. 4, 8 сумма показателей строк, в которых наименование важнейших видов страхования соответствует наименованию правил страхования (гр. 1 раздела 3), первый, второй разряды кода вида страхования (гр. 3 раздела 3) X1 = 60, X2 = 150, гр. 4, 8;

270. Если первый, второй разряды кода вида страхования (гр. 3 раздела 3) X1 = 60, X2 = 151, то гр. 4 = разность показателя строки с кодом вида страхования 60151 (гр. 3 раздела 2), гр. 4 раздела 2 формы N 11-страховщик и суммы показателей стр. 151, гр. 3 подразделов 6.1.2, 6.2.2 и 6.3.2 формы N 2-С;

271. Если первый, второй разряды кода вида страхования (гр. 3 раздела 3) X1 = 60, X2 = 151, то гр. 8 = разность показателя строки с кодом вида страхования 60151 (гр. 3 раздела 2), гр. 8 раздела 2 формы N 11-страховщик и суммы показателей стр. 151, гр. 10 подразделов 6.1.2, 6.2.2 и 6.3.2 формы N 2-С;

272. Если первый, второй разряды кода вида страхования (гр. 3 раздела 3) X1 = 60, X2 = 152, то гр. 4 = разность показателя строки с кодом вида страхования 60152 (гр. 3 раздела 2), гр. 4 раздела 2 формы N 11-страховщик и суммы показателей стр. 152, гр. 3 подразделов 6.1.2, 6.2.2 и 6.3.2 формы N 2-С;

273. Если первый, второй разряды кода вида страхования (гр. 3 раздела 3) X1 = 60, X2 = 152, то гр. 8 = разность показателя строки с кодом вида страхования 60152 (гр. 3 раздела 2), гр. 8 раздела 2 формы N 11-страховщик и суммы показателей стр. 152, гр. 10 подразделов 6.1.2, 6.2.2 и 6.3.2 формы N 2-С;

274. Если первый, второй разряды кода вида страхования (гр. 3 раздела 3) X1 = 60, X2 = 153, то гр. 4 = разность показателя строки с кодом вида страхования 60153 (гр. 3 раздела 2), гр. 4 раздела 2 формы N 11-страховщик и суммы показателей стр. 153, гр. 3 подразделов 6.1.2, 6.2.2 и 6.3.2 формы N 2-С;

275. Если первый, второй разряды кода вида страхования (гр. 3 раздела 3) X1 = 60, X2 = 153, то гр. 8 = разность показателя строки с кодом вида страхования 60153 (гр. 3 раздела 2), гр. 8 раздела 2 формы N 11-страховщик и суммы показателей стр. 153, гр. 10 подразделов 6.1.2, 6.2.2 и 6.3.2 формы N 2-С;

276. Если наименование важнейшего вида страхования (гр. 1 раздела 3) соответствует наименованию этого вида страхования в гр. 1, стр. 154 подраздела 6.1.1 формы N 2-С, первый, второй разряды кода вида страхования которого (гр. 3 раздела 3) X1 = 60, X2 = 154, то гр. 4 = разность показателя строки с кодом вида страхования 60154 (гр. 3 раздела 2), в которой наименование важнейшего вида страхования (гр. 1 раздела 2) соответствует наименованию этого вида страхования в гр. 1, стр. 154 подраздела 6.1.1 формы N 2-С, гр. 4 раздела 2 формы N 11-страховщик и суммы показателей стр. 154, гр. 3 подразделов 6.1.2, 6.2.2 и 6.3.2 формы N 2-С;

277. Если наименование важнейшего вида страхования (гр. 1 раздела 3) соответствует наименованию этого вида страхования в гр. 1, стр. 154 подраздела 6.1.1 формы N 2-С, первый, второй разряды кода вида страхования которого (гр. 3 раздела 3) X1 = 60, X2 = 154, то гр. 8 = разность показателя строки с кодом вида страхования 60154 (гр. 3 раздела 2), в которой наименование важнейшего вида страхования (гр. 1 раздела 2) соответствует наименованию этого вида страхования в гр. 1, стр. 154 подраздела 6.1.1 формы N 2-С, гр. 8 раздела 2 формы N 11-страховщик и суммы показателей стр. 154, гр. 10 подразделов 6.1.2, 6.2.2 и 6.3.2 формы N 2-С;

278. Если наименование важнейшего вида страхования (гр. 1 раздела 3) соответствует наименованию этого вида страхования в гр. 1, стр. 154 подраздела 6.1.1 формы N 2-С, первый, второй разряды кода вида страхования (гр. 3 раздела 3) X1 = 60, X2 = 154, то гр. 4, 8 сумма показателей строк, в которых наименование важнейших видов страхования соответствует наименованию правил страхования (гр. 1 раздела 3), первый, второй разряды кода вида страхования (гр. 3 раздела 3) X1 = 60, X2 = 154, гр. 4, 8;

279. Если первый, второй разряды кода вида страхования (гр. 3 раздела 3) X1 = 60, X2 = 155, то гр. 4 = разность показателя строки с кодом вида страхования 60155 (гр. 3 раздела 2), гр. 4 раздела 2 формы N 11-страховщик и суммы показателей стр. 155, гр. 3 подразделов 6.1.2, 6.2.2 и 6.3.2 формы N 2-С;

280. Если первый, второй разряды кода вида страхования (гр. 3 раздела 3) X1 = 60, X2 = 155, то гр. 8 = разность показателя строки с кодом вида страхования 60155 (гр. 3 раздела 2), гр. 8 раздела 2 формы N 11-страховщик и суммы показателей стр. 155, гр. 10 подразделов 6.1.2, 6.2.2 и 6.3.2 формы N 2-С;

281. Если первый, второй разряды кода вида страхования (гр. 3 раздела 3) X1 = 60, X2 = 156, то гр. 4 = разность показателя строки с кодом вида страхования 60156 (гр. 3 раздела 2), гр. 4 раздела 2 формы N 11-страховщик и суммы показателей стр. 156, гр. 3 подразделов 6.1.2, 6.2.2 и 6.3.2 формы N 2-С;

282. Если первый, второй разряды кода вида страхования (гр. 3 раздела 3) X1 = 60, X2 = 156, то гр. 8 = разность показателя строки с кодом вида страхования 60156 (гр. 3 раздела 2), гр. 8 раздела 2 формы N 11-страховщик и суммы показателей стр. 156, гр. 10 подразделов 6.1.2, 6.2.2 и 6.3.2 формы N 2-С;

283. Если наименование важнейшего вида страхования (гр. 1 раздела 3) соответствует наименованию этого вида страхования в гр. 1, стр. 157 подраздела 6.1.1 формы N 2-С, первый, второй разряды кода вида страхования которого (гр. 3 раздела 3) X1 = 60, X2 = 157, то гр. 4 = разность показателя строки с кодом вида страхования 60157 (гр. 3 раздела 2), в которой наименование важнейшего вида страхования (гр. 1 раздела 2) соответствует наименованию этого вида страхования в гр. 1, стр. 157 подраздела 6.1.1 формы N 2-С, гр. 4 раздела 2 формы N 11-страховщик и суммы показателей стр. 157, гр. 3 подразделов 6.1.2, 6.2.2 и 6.3.2 формы N 2-С;

284. Если наименование важнейшего вида страхования (гр. 1 раздела 3) соответствует наименованию этого вида страхования в гр. 1, стр. 157 подраздела 6.1.1 формы N 2-С, первый, второй разряды кода вида страхования которого (гр. 3 раздела 3) X1 = 60, X2 = 157, то гр. 8 = разность показателя строки с кодом вида страхования 60157 (гр. 3 раздела 2), в которой наименование важнейшего вида страхования (гр. 1 раздела 2) соответствует наименованию этого вида страхования в гр. 1, стр. 157 подраздела 6.1.1 формы N 2-С, гр. 8 раздела 2 формы N 11-страховщик и суммы показателей стр. 157, гр. 10 подразделов 6.1.2, 6.2.2 и 6.3.2 формы N 2-С;

285. Если наименование важнейшего вида страхования (гр. 1 раздела 3) соответствует наименованию этого вида страхования в гр. 1, стр. 157 подраздела 6.1.1 формы N 2-С, первый, второй разряды кода вида страхования (гр. 3 раздела 3) X1 = 60, X2 = 157, то гр. 4, 8 сумма показателей строк, в которых наименование важнейших видов страхования соответствует наименованию правил страхования (гр. 1 раздела 3), первый, второй разряды кода вида страхования (гр. 3 раздела 3) X1 = 60, X2 = 157, гр. 4, 8;

286. Если первый, второй разряды кода вида страхования (гр. 3 раздела 3) X1 = 60, X2 = 158, то гр. 4 = разность показателя строки с кодом вида страхования 60158 (гр. 3 раздела 2), гр. 4 раздела 2 формы N 11-страховщик и суммы показателей стр. 158, гр. 3 подразделов 6.1.2, 6.2.2 и 6.3.2 формы N 2-С;

287. Если первый, второй разряды кода вида страхования (гр. 3 раздела 3) X1 = 60, X2 = 158, то гр. 8 = разность показателя строки с кодом вида страхования 60158 (гр. 3 раздела 2), гр. 8 раздела 2 формы N 11-страховщик и суммы показателей стр. 158, гр. 10 подразделов 6.1.2, 6.2.2 и 6.3.2 формы N 2-С;

288. Если первый, второй разряды кода вида страхования (гр. 3 раздела 3) X1 = 60, X2 = 159, то гр. 4 = разность показателя строки с кодом вида страхования 60159 (гр. 3 раздела 2), гр. 4 раздела 2 формы N 11-страховщик и суммы показателей стр. 159, гр. 3 подразделов 6.1.2, 6.2.2 и 6.3.2 формы N 2-С;

289. Если первый, второй разряды кода вида страхования (гр. 3 раздела 3) X1 = 60, X2 = 159, то гр. 8 = разность показателя строки с кодом вида страхования 60159 (гр. 3 раздела 2), гр. 8 раздела 2 формы N 11-страховщик и суммы показателей стр. 159, гр. 10 подразделов 6.1.2, 6.2.2 и 6.3.2 формы N 2-С;

290. Если наименование важнейшего вида страхования (гр. 1 раздела 3) соответствует наименованию этого вида страхования в гр. 1, стр. 160 подраздела 6.1.1 формы N 2-С, первый, второй разряды кода вида страхования которого (гр. 3 раздела 3) X1 = 60, X2 = 160, то гр. 4 = разность показателя строки с кодом вида страхования 60160 (гр. 3 раздела 2), в которой наименование важнейшего вида страхования (гр. 1 раздела 2) соответствует наименованию этого вида страхования в гр. 1, стр. 160 подраздела 6.1.1 формы N 2-С, гр. 4 раздела 2 формы N 11-страховщик и суммы показателей стр. 160, гр. 3 подразделов 6.1.2, 6.2.2 и 6.3.2 формы N 2-С;

291. Если наименование важнейшего вида страхования (гр. 1 раздела 3) соответствует наименованию этого вида страхования в гр. 1, стр. 160 подраздела 6.1.1 формы N 2-С, первый, второй разряды кода вида страхования которого (гр. 3 раздела 3) X1 = 60, X2 = 160, то гр. 8 = разность показателя строки с кодом вида страхования 60160 (гр. 3 раздела 2), в которой наименование важнейшего вида страхования (гр. 1 раздела 2) соответствует наименованию этого вида страхования в гр. 1, стр. 160 подраздела 6.1.1 формы N 2-С, гр. 8 раздела 2 формы N 11-страховщик и суммы показателей стр. 160, гр. 10 подразделов 6.1.2, 6.2.2 и 6.3.2 формы N 2-С;

292. Если наименование важнейшего вида страхования (гр. 1 раздела 3) соответствует наименованию этого вида страхования в гр. 1, стр. 160 подраздела 6.1.1 формы N 2-С, первый, второй разряды кода вида страхования (гр. 3 раздела 3) X1 = 60, X2 = 160, то гр. 4, 8 сумма показателей строк, в которых наименование важнейших видов страхования соответствует наименованию правил страхования (гр. 1 раздела 3), первый, второй разряды кода вида страхования (гр. 3 раздела 3) X1 = 60, X2 = 160, гр. 4, 8;

293. Если первый, второй разряды кода вида страхования (гр. 3 раздела 3) X1 = 60, X2 = 161, то гр. 4 = разность показателя строки с кодом вида страхования 60161 (гр. 3 раздела 2), гр. 4 раздела 2 формы N 11-страховщик и суммы показателей стр. 161, гр. 3 подразделов 6.1.2, 6.2.2 и 6.3.2 формы N 2-С;

294. Если первый, второй разряды кода вида страхования (гр. 3 раздела 3) X1 = 60, X2 = 161, то гр. 8 = разность показателя строки с кодом вида страхования 60161 (гр. 3 раздела 2), гр. 8 раздела 2 формы N 11-страховщик и суммы показателей стр. 161, гр. 10 подразделов 6.1.2, 6.2.2 и 6.3.2 формы N 2-С;

295. Если первый, второй разряды кода вида страхования (гр. 3 раздела 3) X1 = 60, X2 = 162, то гр. 4 = разность показателя строки с кодом вида страхования 60162 (гр. 3 раздела 2), гр. 4 раздела 2 формы N 11-страховщик и суммы показателей стр. 162, гр. 3 подразделов 6.1.2, 6.2.2 и 6.3.2 формы N 2-С;

296. Если первый, второй разряды кода вида страхования (гр. 3 раздела 3) X1 = 60, X2 = 162, то гр. 8 = разность показателя строки с кодом вида страхования 60162 (гр. 3 раздела 2), гр. 8 раздела 2 формы N 11-страховщик и суммы показателей стр. 162, гр. 10 подразделов 6.1.2, 6.2.2 и 6.3.2 формы N 2-С;

297. Если первый, второй разряды кода вида страхования (гр. 3 раздела 3) X1 = 60, X2 = 163, то гр. 4 = разность показателя строки с кодом вида страхования 60163 (гр. 3 раздела 2), гр. 4 раздела 2 формы N 11-страховщик и суммы показателей стр. 163, гр. 3 подразделов 6.1.2, 6.2.2 и 6.3.2 формы N 2-С;

298. Если первый, второй разряды кода вида страхования (гр. 3 раздела 3) X1 = 60, X2 = 163, то гр. 8 = разность показателя строки с кодом вида страхования 60163 (гр. 3 раздела 2), гр. 8 раздела 2 формы N 11-страховщик и суммы показателей стр. 163, гр. 10 подразделов 6.1.2, 6.2.2 и 6.3.2 формы N 2-С;

299. Если первый, второй разряды кода вида страхования (гр. 3 раздела 3) X1 = 60, X2 = 164, то гр. 4 = разность показателя строки с кодом вида страхования 60164 (гр. 3 раздела 2), гр. 4 раздела 2 формы N 11-страховщик и суммы показателей стр. 164, гр. 3 подразделов 6.1.2, 6.2.2 и 6.3.2 формы N 2-С;

300. Если первый, второй разряды кода вида страхования (гр. 3 раздела 3) X1 = 60, X2 = 164, то гр. 8 = разность показателя строки с кодом вида страхования 60164 (гр. 3 раздела 2), гр. 8 раздела 2 формы N 11-страховщик и суммы показателей стр. 164, гр. 10 подразделов 6.1.2, 6.2.2 и 6.3.2 формы N 2-С;

301. Если первый, второй разряды кода вида страхования (гр. 3 раздела 3) X1 = 60, X2 = 165, то гр. 4 = разность показателя строки с кодом вида страхования 60165 (гр. 3 раздела 2), гр. 4 раздела 2 формы N 11-страховщик и суммы показателей стр. 165, гр. 3 подразделов 6.1.2, 6.2.2 и 6.3.2 формы N 2-С;

302. Если первый, второй разряды кода вида страхования (гр. 3 раздела 3) X1 = 60, X2 = 165, то гр. 8 = разность показателя строки с кодом вида страхования 60165 (гр. 3 раздела 2), гр. 8 раздела 2 формы N 11-страховщик и суммы показателей стр. 165, гр. 10 подразделов 6.1.2, 6.2.2 и 6.3.2 формы N 2-С;

303. Если первый, второй разряды кода вида страхования (гр. 3 раздела 3) X1 = 60, X2 = 166, то гр. 4 = разность показателя строки с кодом вида страхования 60166 (гр. 3 раздела 2), гр. 4 раздела 2 формы N 11-страховщик и суммы показателей стр. 166, гр. 3 подразделов 6.1.2, 6.2.2 и 6.3.2 формы N 2-С;

304. Если первый, второй разряды кода вида страхования (гр. 3 раздела 3) X1 = 60, X2 = 166, то гр. 8 = разность показателя строки с кодом вида страхования 60166 (гр. 3 раздела 2), гр. 8 раздела 2 формы N 11-страховщик и суммы показателей стр. 166, гр. 10 подразделов 6.1.2, 6.2.2 и 6.3.2 формы N 2-С;

305. Если первый, второй разряды кода вида страхования (гр. 3 раздела 3) X1 = 60, X2 = 167, то гр. 4 = разность показателя строки с кодом вида страхования 60167 (гр. 3 раздела 2), гр. 4 раздела 2 формы N 11-страховщик и суммы показателей стр. 167, гр. 3 подразделов 6.1.2, 6.2.2 и 6.3.2 формы N 2-С;

306. Если первый, второй разряды кода вида страхования (гр. 3 раздела 3) X1 = 60, X2 = 167, то гр. 8 = разность показателя строки с кодом вида страхования 60167 (гр. 3 раздела 2), гр. 8 раздела 2 формы N 11-страховщик и суммы показателей стр. 167, гр. 10 подразделов 6.1.2, 6.2.2 и 6.3.2 формы N 2-С;

307. Если наименование важнейшего вида страхования (гр. 1 раздела 3) соответствует наименованию этого вида страхования в гр. 1, стр. 168 подраздела 6.1.1 формы N 2-С, первый, второй разряды кода вида страхования которого (гр. 3 раздела 3) X1 = 60, X2 = 168, то гр. 4 = разность показателя строки с кодом вида страхования 60168 (гр. 3 раздела 2), в которой наименование важнейшего вида страхования (гр. 1 раздела 2) соответствует наименованию этого вида страхования в гр. 1, стр. 168 подраздела 6.1.1 формы N 2-С, гр. 4 раздела 2 формы N 11-страховщик и суммы показателей стр. 168, гр. 3 подразделов 6.1.2, 6.2.2 и 6.3.2 формы N 2-С;

308. Если наименование важнейшего вида страхования (гр. 1 раздела 3) соответствует наименованию этого вида страхования в гр. 1, стр. 168 подраздела 6.1.1 формы N 2-С, первый, второй разряды кода вида страхования которого (гр. 3 раздела 3) X1 = 60, X2 = 168, то гр. 8 = разность показателя строки с кодом вида страхования 60168 (гр. 3 раздела 2), в которой наименование важнейшего вида страхования (гр. 1 раздела 2) соответствует наименованию этого вида страхования в гр. 1, стр. 168 подраздела 6.1.1 формы N 2-С, гр. 8 раздела 2 формы N 11-страховщик и суммы показателей стр. 168, гр. 10 подразделов 6.1.2, 6.2.2 и 6.3.2 формы N 2-С;

309. Если наименование важнейшего вида страхования (гр. 1 раздела 3) соответствует наименованию этого вида страхования в гр. 1, стр. 168 подраздела 6.1.1 формы N 2-С, первый, второй разряды кода вида страхования (гр. 3 раздела 3) X1 = 60, X2 = 168, то гр. 4, 8 сумма показателей строк, в которых наименование важнейших видов страхования соответствует наименованию правил страхования (гр. 1 раздела 3), первый, второй разряды кода вида страхования (гр. 3 раздела 3) X1 = 60, X2 = 168, гр. 4, 8;

310. Если первый, второй разряды кода вида страхования (гр. 3 раздела 3) X1 = 60, X2 = 169, то гр. 4 = разность показателя строки с кодом вида страхования 60169 (гр. 3 раздела 2), гр. 4 раздела 2 формы N 11-страховщик и суммы показателей стр. 169, гр. 3 подразделов 6.1.2, 6.2.2 и 6.3.2 формы N 2-С;

311. Если первый, второй разряды кода вида страхования (гр. 3 раздела 3) X1 = 60, X2 = 169, то гр. 8 = разность показателя строки с кодом вида страхования 60169 (гр. 3 раздела 2), гр. 8 раздела 2 формы N 11-страховщик и суммы показателей стр. 169, гр. 10 подразделов 6.1.2, 6.2.2 и 6.3.2 формы N 2-С;

312. Если первый, второй разряды кода вида страхования (гр. 3 раздела 3) X1 = 60, X2 = 170, то гр. 4 = разность показателя строки с кодом вида страхования 60170 (гр. 3 раздела 2), гр. 4 раздела 2 формы N 11-страховщик и суммы показателей стр. 170, гр. 3 подразделов 6.1.2, 6.2.2 и 6.3.2 формы N 2-С;

313. Если первый, второй разряды кода вида страхования (гр. 3 раздела 3) X1 = 60, X2 = 170, то гр. 8 = разность показателя строки с кодом вида страхования 60170 (гр. 3 раздела 2), гр. 8 раздела 2 формы N 11-страховщик и суммы показателей стр. 170, гр. 10 подразделов 6.1.2, 6.2.2 и 6.3.2 формы N 2-С;

314. Если первый, второй разряды кода вида страхования (гр. 3 раздела 3) X1 = 60, X2 = 171, то гр. 4 = разность показателя строки с кодом вида страхования 60171 (гр. 3 раздела 2), гр. 4 раздела 2 формы N 11-страховщик и суммы показателей стр. 171, гр. 3 подразделов 6.1.2, 6.2.2 и 6.3.2 формы N 2-С;

315. Если первый, второй разряды кода вида страхования (гр. 3 раздела 3) X1 = 60, X2 = 171, то гр. 8 = разность показателя строки с кодом вида страхования 60171 (гр. 3 раздела 2), гр. 8 раздела 2 формы N 11-страховщик и суммы показателей стр. 171, гр. 10 подразделов 6.1.2, 6.2.2 и 6.3.2 формы N 2-С;

316. Если первый, второй разряды кода вида страхования (гр. 3 раздела 3) X1 = 60, X2 = 172, то гр. 4 = разность показателя строки с кодом вида страхования 60172 (гр. 3 раздела 2), гр. 4 раздела 2формы N 11-страховщик и суммы показателей стр. 172, гр. 3 подразделов 6.1.2, 6.2.2 и 6.3.2 формы N 2-С;

317. Если первый, второй разряды кода вида страхования (гр. 3 раздела 3) X1 = 60, X2 = 172, то гр. 8 = разность показателя строки с кодом вида страхования 60172 (гр. 3 раздела 2), гр. 8 раздела 2 формы N 11-страховщик и суммы показателей стр. 172, гр. 10 подразделов 6.1.2, 6.2.2 и 6.3.2 формы N 2-С;

318. Если первый, второй разряды кода вида страхования (гр. 3 раздела 3) X1 = 60, X2 = 173, то гр. 4 = разность показателя строки с кодом вида страхования 60173 (гр. 3 раздела 2), гр. 4 раздела 2 формы N 11-страховщик и суммы показателей стр. 173, гр. 3 подразделов 6.1.2, 6.2.2 и 6.3.2 формы N 2-С;

319. Если первый, второй разряды кода вида страхования (гр. 3 раздела 3) X1 = 60, X2 = 173, то гр. 8 = разность показателя строки с кодом вида страхования 60173 (гр. 3 раздела 2), гр. 8 раздела 2 формы N 11-страховщик и суммы показателей стр. 173, гр. 10 подразделов 6.1.2, 6.2.2 и 6.3.2 формы N 2-С;

320. Если первый, второй разряды кода вида страхования (гр. 3 раздела 3) X1 = 60, X2 = 174, то гр. 4 = разность показателя строки с кодом вида страхования 60174 (гр. 3 раздела 2), гр. 4 раздела 2 формы N 11-страховщик и суммы показателей стр. 174, гр. 3 подразделов 6.1.2, 6.2.2 и 6.3.2 формы N 2-С;

321. Если первый, второй разряды кода вида страхования (гр. 3 раздела 3) X1 = 60, X2 = 174, то гр. 8 = разность показателя строки с кодом вида страхования 60174 (гр. 3 раздела 2), гр. 8 раздела 2 формы N 11-страховщик и суммы показателей стр. 174, гр. 10 подразделов 6.1.2, 6.2.2 и 6.3.2 формы N 2-С;

322. Если наименование важнейшего вида страхования (гр. 1 раздела 3) соответствует наименованию этого вида страхования в гр. 1, стр. 176 подраздела 6.1.1 формы N 2-С, первый, второй разряды кода вида страхования которого (гр. 3 раздела 3) X1 = 60, X2 = 176, то гр. 4 = разность показателя строки с кодом вида страхования 60176 (гр. 3 раздела 2), в которой наименование важнейшего вида страхования (гр. 1 раздела 2) соответствует наименованию этого вида страхования в гр. 1, стр. 176 подраздела 6.1.1 формы N 2-С, гр. 4 раздела 2 формы N 11-страховщик и суммы показателей стр. 176, гр. 3 подразделов 6.1.2, 6.2.2 и 6.3.2 формы N 2-С;

323. Если наименование важнейшего вида страхования (гр. 1 раздела 3) соответствует наименованию этого вида страхования в гр. 1, стр. 176 подраздела 6.1.1 формы N 2-С, первый, второй разряды кода вида страхования которого (гр. 3 раздела 3) X1 = 60, X2 = 176, то гр. 8 = разность показателя строки с кодом вида страхования 60176 (гр. 3 раздела 2), в которой наименование важнейшего вида страхования (гр. 1 раздела 2) соответствует наименованию этого вида страхования в гр. 1, стр. 176 подраздела 6.1.1 формы N 2-С, гр. 8 раздела 2 формы N 11-страховщик и суммы показателей стр. 176, гр. 10 подразделов 6.1.2, 6.2.2 и 6.3.2 формы N 2-С;

324. Если наименование важнейшего вида страхования (гр. 1 раздела 3) соответствует наименованию этого вида страхования в гр. 1, стр. 176 подраздела 6.1.1 формы N 2-С, первый, второй разряды кода вида страхования (гр. 3 раздела 3) X1 = 60, X2 = 176, то гр. 4, 8 сумма показателей строк, в которых наименование важнейших видов страхования соответствует наименованию правил страхования (гр. 1 раздела 3), первый, второй разряды кода вида страхования (гр. 3 раздела 3) X1 = 60, X2 = 176, гр. 4, 8;

325. Если первый, второй разряды кода вида страхования (гр. 3 раздела 3) X1 = 60, X2 = 185, то гр. 4 = разность показателя строки с кодом вида страхования 60185 (гр. 3 раздела 2), гр. 4 раздела 2 формы N 11-страховщик и суммы показателей стр. 185, гр. 3 подразделов 6.1.2, 6.2.2 и 6.3.2 формы N 2-С;

326. Если первый, второй разряды кода вида страхования (гр. 3 раздела 3) X1 = 60, X2 = 185, то гр. 8 = разность показателя строки с кодом вида страхования 60185 (гр. 3 раздела 2), гр. 8 раздела 2 формы N 11-страховщик и суммы показателей стр. 185, гр. 10 подразделов 6.1.2, 6.2.2 и 6.3.2 формы N 2-С;

327. Если первый, второй разряды кода вида страхования (гр. 3 раздела 3) X1 = 60, X2 = 186, то гр. 4 = разность показателя строки с кодом вида страхования 60186 (гр. 3 раздела 2), гр. 4 раздела 2 формы N 11-страховщик и суммы показателей стр. 186, гр. 3 подразделов 6.1.2, 6.2.2 и 6.3.2 формы N 2-С;

328. Если первый, второй разряды кода вида страхования (гр. 3 раздела 3) X1 = 60, X2 = 186, то гр. 8 = разность показателя строки с кодом вида страхования 60186 (гр. 3 раздела 2), гр. 8 раздела 2 формы N 11-страховщик и суммы показателей стр. 186, гр. 10 подразделов 6.1.2, 6.2.2 и 6.3.2 формы N 2-С;

329. Если первый, второй разряды кода вида страхования (гр. 3 раздела 3) X1 = 60, X2 = 187, то гр. 4 = разность показателя строки с кодом вида страхования 60187 (гр. 3 раздела 2), гр. 4 раздела 2 формы N 11-страховщик и суммы показателей стр. 187, гр. 3 подразделов 6.1.2, 6.2.2 и 6.3.2 формы N 2-С;

330. Если первый, второй разряды кода вида страхования (гр. 3 раздела 3) X1 = 60, X2 = 187, то гр. 8 = разность показателя строки с кодом вида страхования 60187 (гр. 3 раздела 2), гр. 8 раздела 2 формы N 11-страховщик и суммы показателей стр. 187, гр. 10 подразделов 6.1.2, 6.2.2 и 6.3.2 формы N 2-С;

331. Если первый, второй разряды кода вида страхования (гр. 3 раздела 3) X1 = 60, X2 = 188, то гр. 4 = разность показателя строки с кодом вида страхования 60188 (гр. 3 раздела 2), гр. 4 раздела 2 формы N 11-страховщик и суммы показателей стр. 188, гр. 3 подразделов 6.1.2, 6.2.2 и 6.3.2 формы N 2-С;

332. Если первый, второй разряды кода вида страхования (гр. 3 раздела 3) X1 = 60, X2 = 188, то гр. 8 = разность показателя строки с кодом вида страхования 60188 (гр. 3 раздела 2), гр. 8 раздела 2 формы N 11-страховщик и суммы показателей стр. 188, гр. 10 подразделов 6.1.2, 6.2.2 и 6.3.2 формы N 2-С;

333. Если первый, второй разряды кода вида страхования (гр. 3 раздела 3) X1 = 60, X2 = 189, то гр. 4 = разность показателя строки с кодом вида страхования 60189 (гр. 3 раздела 2), гр. 4 раздела 2 формы N 11-страховщик и суммы показателей стр. 189, гр. 3 подразделов 6.1.2, 6.2.2 и 6.3.2 формы N 2-С;

334. Если первый, второй разряды кода вида страхования (гр. 3 раздела 3) X1 = 60, X2 = 189, то гр. 8 = разность показателя строки с кодом вида страхования 60189 (гр. 3 раздела 2), гр. 8 раздела 2 формы N 11-страховщик и суммы показателей стр. 189, гр. 10 подразделов 6.1.2, 6.2.2 и 6.3.2 формы N 2-С;

335. Если первый, второй разряды кода вида страхования (гр. 3 раздела 3) X1 = 60, X2 = 193, то гр. 4 = разность показателя строки с кодом вида страхования 60193 (гр. 3 раздела 2), гр. 4 раздела 2 формы N 11-страховщик и суммы показателей стр. 193, гр. 3 подразделов 6.1.2, 6.2.2 и 6.3.2 формы N 2-С;

336. Если первый, второй разряды кода вида страхования (гр. 3 раздела 3) X1 = 60, X2 = 193, то гр. 8 = разность показателя строки с кодом вида страхования 60193 (гр. 3 раздела 2), гр. 8 раздела 2 формы N 11-страховщик и суммы показателей стр. 193, гр. 10 подразделов 6.1.2, 6.2.2 и 6.3.2 формы N 2-С;

337. Если первый, второй разряды кода вида страхования (гр. 3 раздела 3) X1 = 60, X2 = 194, то гр. 4 = разность показателя строки с кодом вида страхования 60194 (гр. 3 раздела 2), гр. 4 раздела 2 формы N 11-страховщик и суммы показателей стр. 194, гр. 3 подразделов 6.1.2, 6.2.2 и 6.3.2 формы N 2-С;

338. Если первый, второй разряды кода вида страхования (гр. 3 раздела 3) X1 = 60, X2 = 194, то гр. 8 = разность показателя строки с кодом вида страхования 60194 (гр. 3 раздела 2), гр. 8 раздела 2 формы N 11-страховщик и суммы показателей стр. 194, гр. 10 подразделов 6.1.2, 6.2.2 и 6.3.2 формы N 2-С;

339. Если первый, второй разряды кода вида страхования (гр. 3 раздела 3) X1 = 60, X2 = 195, то гр. 4 = разность показателя строки с кодом вида страхования 60195 (гр. 3 раздела 2), гр. 4 раздела 2 формы N 11-страховщик и суммы показателей стр. 195, гр. 3 подразделов 6.1.2, 6.2.2 и 6.3.2 формы N 2-С;

340. Если первый, второй разряды кода вида страхования (гр. 3 раздела 3) X1 = 60, X2 = 195, то гр. 8 = разность показателя строки с кодом вида страхования 60195 (гр. 3 раздела 2), гр. 8 раздела 2 формы N 11-страховщик и суммы показателей стр. 195, гр. 10 подразделов 6.1.2, 6.2.2 и 6.3.2 формы N 2-С;

341. Если первый, второй разряды кода вида страхования (гр. 3 раздела 3) X1 = 60, X2 = 196, то гр. 4 = разность показателя строки с кодом вида страхования 60196 (гр. 3 раздела 2), гр. 4 раздела 2 формы N 11-страховщик и суммы показателей стр. 196, гр. 3 подразделов 6.1.2, 6.2.2 и 6.3.2 формы N 2-С;

342. Если первый, второй разряды кода вида страхования (гр. 3 раздела 3) X1 = 60, X2 = 196, то гр. 8 = разность показателя строки с кодом вида страхования 60196 (гр. 3 раздела 2), гр. 8 раздела 2 формы N 11-страховщик и суммы показателей стр. 196, гр. 10 подразделов 6.1.2, 6.2.2 и 6.3.2 формы N 2-С;

343. Если первый, второй разряды кода вида страхования (гр. 3 раздела 3) X1 = 60, X2 = 197, то гр. 4 = разность показателя строки с кодом вида страхования 60197 (гр. 3 раздела 2), гр. 4 раздела 2 формы N 11-страховщик и суммы показателей стр. 197, гр. 3 подразделов 6.1.2, 6.2.2 и 6.3.2 формы N 2-С;

344. Если первый, второй разряды кода вида страхования (гр. 3 раздела 3) X1 = 60, X2 = 197, то гр. 8 = разность показателя строки с кодом вида страхования 60197 (гр. 3 раздела 2), гр. 8 раздела 2 формы N 11-страховщик и суммы показателей стр. 197, гр. 10 подразделов 6.1.2, 6.2.2 и 6.3.2 формы N 2-С.

Если для конкретного важнейшего вида страхования гр. 4 раздела 1 0, гр. 4 раздела 2 0, то применяются контрольные соотношения 23, 32, 69, 78, 85, 94, 101, 108, 117, 124, 131, 148, 163 раздела 3 формы N 11-страховщик, а также применяются контрольные соотношения 345 - 492:

345. Если первый, второй разряды кода вида страхования (гр. 3 раздела 3) X1 = 22, X2 = 110, то гр. 4 = разность суммы показателей строк с кодом вида страхования 22110, 60108 (гр. 3 разделов 1, 2), гр. 4 разделов 1, 2 формы N 11-страховщик и суммы показателей стр. 108, гр. 3 подразделов 6.1.2, 6.2.2 и 6.3.2 формы N 2-С;

346. Если первый, второй разряды кода вида страхования (гр. 3 раздела 3) X1 = 22, X2 = 110, то гр. 8 = разность суммы показателей строк с кодом вида страхования 22110, 60108 (гр. 3 разделов 1, 2), гр. 8 разделов 1, 2 формы N 11-страховщик и суммы показателей стр. 108, гр. 10 подразделов 6.1.2, 6.2.2 и 6.3.2 формы N 2-С;

347. Если первый, второй разряды кода вида страхования (гр. 3 раздела 3) X1 = 22, X2 = 111, то гр. 4 = разность суммы показателей строк с кодом вида страхования 22111, 60109 (гр. 3 разделов 1, 2), гр. 4 разделов 1, 2 формы N 11-страховщик и суммы показателей стр. 109, гр. 3 подразделов 6.1.2, 6.2.2 и 6.3.2 формы N 2-С;

348. Если первый, второй разряды кода вида страхования (гр. 3 раздела 3) X1 = 22, X2 = 111, то гр. 8 = разность суммы показателей строк с кодом вида страхования 22111, 60109 (гр. 3 разделов 1, 2), гр. 8 разделов 1, 2 формы N 11-страховщик и суммы показателей стр. 109, гр. 10 подразделов 6.1.2, 6.2.2 и 6.3.2 формы N 2-С;

349. Если первый, второй разряды кода вида страхования (гр. 3 раздела 3) X1 = 22, X2 = 112, то гр. 4 = разность суммы показателей строк с кодом вида страхования 22112, 60110 (гр. 3 разделов 1, 2), гр. 4 разделов 1, 2 формы N 11-страховщик и суммы показателей стр. 110, гр. 3 подразделов 6.1.2, 6.2.2 и 6.3.2 формы N 2-С;

350. Если первый, второй разряды кода вида страхования (гр. 3 раздела 3) X1 = 22, X2 = 112, то гр. 8 = разность суммы показателей строк с кодом вида страхования 22112, 60110 (гр. 3 разделов 1, 2), гр. 8 разделов 1, 2 формы N 11-страховщик и суммы показателей стр. 110, гр. 10 подразделов 6.1.2, 6.2.2 и 6.3.2 формы N 2-С;

351. Если наименование важнейшего вида страхования (гр. 1 раздела 3) соответствует наименованию этого вида страхования в гр. 1, стр. 115 подраздела 2.2.1 формы N 2-С, первый, второй разряды кода вида страхования которого (гр. 3 раздела 3) X1 = 22, X2 = 115, то гр. 4 = разность суммы показателей строк с кодом вида страхования 22115, 60111 (гр. 3 разделов 1, 2), в которых наименование важнейшего вида страхования (гр. 1 разделов 1, 2) соответствует наименованию этого вида страхования в гр. 1, стр. 115 подраздела 2.2.1 и стр. 111 подраздела 6.1.1 формы N 2-С, гр. 4 разделов 1, 2 формы N 11-страховщик и суммы показателей стр. 111, гр. 3 подразделов 6.1.2, 6.2.2 и 6.3.2 формы N 2-С;

352. Если наименование важнейшего вида страхования (гр. 1 раздела 3) соответствует наименованию этого вида страхования в гр. 1, стр. 115 подраздела 2.2.1 формы N 2-С, первый, второй разряды кода вида страхования которого (гр. 3 раздела 3) X1 = 22, X2 = 115, то гр. 8 = разность суммы показателей строк с кодом вида страхования 22115, 60111 (гр. 3 разделов 1, 2), в которых наименование важнейшего вида страхования (гр. 1 разделов 1, 2) соответствует наименованию этого вида страхования в гр. 1, стр. 115 подраздела 2.2.1 и стр. 111 подраздела 6.1.1 формы N 2-С, гр. 8 разделов 1, 2 формы N 11-страховщик и суммы показателей стр. 111, гр. 10 подразделов 6.1.2, 6.2.2 и 6.3.2 формы N 2-С;

353. Если первый, второй разряды кода вида страхования (гр. 3 раздела 3) X1 = 22, X2 = 120, то гр. 4 = разность суммы показателей строк с кодом вида страхования 22120, 60112 (гр. 3 разделов 1, 2), гр. 4 разделов 1, 2 формы N 11-страховщик и суммы показателей стр. 112, гр. 3, подразделов 6.1.2, 6.2.2 и 6.3.2 формы N 2-С;

354. Если первый, второй разряды кода вида страхования (гр. 3 раздела 3) X1 = 22, X2 = 120, то гр. 8 = разность суммы показателей строк с кодом вида страхования 22120, 60112 (гр. 3 разделов 1, 2), гр. 8 разделов 1, 2 формы N 11-страховщик и суммы показателей стр. 112, гр. 10, подразделов 6.1.2, 6.2.2 и 6.3.2 формы N 2-С;

355. Если первый, второй разряды кода вида страхования (гр. 3 раздела 3) X1 = 31, X2 = 110, то гр. 4 = разность суммы показателей строк с кодом вида страхования 31110, 60117 (гр. 3 разделов 1, 2), гр. 4 разделов 1, 2 формы N 11-страховщик и суммы показателей стр. 117, гр. 3 подразделов 6.1.2, 6.2.2 и 6.3.2 формы N 2-С;

356. Если первый, второй разряды кода вида страхования (гр. 3 раздела 3) X1 = 31, X2 = 110, то гр. 8 = разность суммы показателей строк с кодом вида страхования 31110, 60117 (гр. 3 разделов 1, 2), гр. 8 разделов 1, 2 формы N 11-страховщик и суммы показателей стр. 117, гр. 10 подразделов 6.1.2, 6.2.2 и 6.3.2 формы N 2-С;

357. Если первый, второй разряды кода вида страхования (гр. 3 раздела 3) X1 = 31, X2 = 120, то гр. 4 = разность суммы показателей строк с кодом вида страхования 31120, 60118 (гр. 3 разделов 1, 2), гр. 4 разделов 1, 2 формы N 11-страховщик и суммы показателей стр. 118, гр. 3 подразделов 6.1.2, 6.2.2 и 6.3.2 формы N 2-С;

358. Если первый, второй разряды кода вида страхования (гр. 3 раздела 3) X1 = 31, X2 = 120, то гр. 8 = разность суммы показателей строк с кодом вида страхования 31120, 60118 (гр. 3 разделов 1, 2), гр. 8 разделов 1, 2 формы N 11-страховщик и суммы показателей стр. 118, гр. 10 подразделов 6.1.2, 6.2.2 и 6.3.2 формы N 2-С;

359. Если первый, второй разряды кода вида страхования (гр. 3 раздела 3) X1 = 31, X2 = 130, то гр. 4 = разность суммы показателей строк с кодом вида страхования 31130, 60119 (гр. 3 разделов 1, 2), гр. 4 разделов 1, 2 формы N 11-страховщик и суммы показателей стр. 119, гр. 3 подразделов 6.1.2, 6.2.2 и 6.3.2 формы N 2-С;

360. Если первый, второй разряды кода вида страхования (гр. 3 раздела 3) X1 = 31, X2 = 130, то гр. 8 = разность суммы показателей строк с кодом вида страхования 31130, 60119 (гр. 3 разделов 1, 2), гр. 8 разделов 1, 2 формы N 11-страховщик и суммы показателей стр. 119, гр. 10 подразделов 6.1.2, 6.2.2 и 6.3.2 формы N 2-С;

361. Если первый, второй разряды кода вида страхования (гр. 3 раздела 3) X1 = 31, X2 = 140, то гр. 4 = разность суммы показателей строк с кодом вида страхования 31140, 60120 (гр. 3 разделов 1, 2), гр. 4 разделов 1, 2 формы N 11-страховщик и суммы показателей стр. 120, гр. 3 подразделов 6.1.2, 6.2.2 и 6.3.2 формы N 2-С;

362. Если первый, второй разряды кода вида страхования (гр. 3 раздела 3) X1 = 31, X2 = 140, то гр. 8 = разность суммы показателей строк с кодом вида страхования 31140, 60120 (гр. 3 разделов 1, 2), гр. 8 разделов 1, 2 формы N 11-страховщик и суммы показателей стр. 120, гр. 10 подразделов 6.1.2, 6.2.2 и 6.3.2 формы N 2-С;

363. Если первый, второй разряды кода вида страхования (гр. 3 раздела 3) X1 = 31, X2 = 150, то гр. 4 = разность суммы показателей строк с кодом вида страхования 31150, 60121 (гр. 3 разделов 1, 2), гр. 4 разделов 1, 2 формы N 11-страховщик и суммы показателей стр. 121, гр. 3 подразделов 6.1.2, 6.2.2 и 6.3.2 формы N 2-С;

364. Если первый, второй разряды кода вида страхования (гр. 3 раздела 3) X1 = 31, X2 = 150, то гр. 8 = разность суммы показателей строк с кодом вида страхования 31150, 60121 (гр. 3 разделов 1, 2), гр. 8 разделов 1, 2 формы N 11-страховщик и суммы показателей стр. 121, гр. 10 подразделов 6.1.2, 6.2.2 и 6.3.2 формы N 2-С;

365. Если первый, второй разряды кода вида страхования (гр. 3 раздела 3) X1 = 31, X2 = 160, то гр. 4 = разность суммы показателей строк с кодом вида страхования 31160, 60122 (гр. 3 разделов 1, 2), гр. 4 разделов 1, 2 формы N 11-страховщик и суммы показателей стр. 122, гр. 3 подразделов 6.1.2, 6.2.2 и 6.3.2 формы N 2-С;

366. Если первый, второй разряды кода вида страхования (гр. 3 раздела 3) X1 = 31, X2 = 160, то гр. 8 = разность суммы показателей строк с кодом вида страхования 31160, 60122 (гр. 3 разделов 1, 2), гр. 8 разделов 1, 2 формы N 11-страховщик и суммы показателей стр. 122, гр. 10 подразделов 6.1.2, 6.2.2 и 6.3.2 формы N 2-С;

367. Если первый, второй разряды кода вида страхования (гр. 3 раздела 3) X1 = 33, X2 = 110, то гр. 4 = разность суммы показателей строк с кодом вида страхования 33110, 60123 (гр. 3 разделов 1, 2), гр. 4 разделов 1, 2 формы N 11-страховщик и суммы показателей стр. 123, гр. 3 подразделов 6.1.2, 6.2.2 и 6.3.2 формы N 2-С;

368. Если первый, второй разряды кода вида страхования (гр. 3 раздела 3) X1 = 33, X2 = 110, то гр. 8 = разность суммы показателей строк с кодом вида страхования 33110, 60123 (гр. 3 разделов 1, 2), гр. 8 разделов 1, 2 формы N 11-страховщик и суммы показателей стр. 123, гр. 10 подразделов 6.1.2, 6.2.2 и 6.3.2 формы N 2-С;

369. Если первый, второй разряды кода вида страхования (гр. 3 раздела 3) X1 = 33, X2 = 120, то гр. 4 = разность суммы показателей строк с кодом вида страхования 33120, 60124 (гр. 3 разделов 1, 2), гр. 4 разделов 1, 2 формы N 11-страховщик и суммы показателей стр. 124, гр. 3 подразделов 6.1.2, 6.2.2 и 6.3.2 формы N 2-С;

370. Если первый, второй разряды кода вида страхования (гр. 3 раздела 3) X1 = 33, X2 = 120, то гр. 8 = разность суммы показателей строк с кодом вида страхования 33120, 60124 (гр. 3 разделов 1, 2), гр. 8 разделов 1, 2 формы N 11-страховщик и суммы показателей стр. 124, гр. 10 подразделов 6.1.2, 6.2.2 и 6.3.2 формы N 2-С;

371. Если первый, второй разряды кода вида страхования (гр. 3 раздела 3) X1 = 33, X2 = 121, то гр. 4 = разность суммы показателей строк с кодом вида страхования 33121, 60125 (гр. 3 разделов 1, 2), гр. 4 разделов 1, 2 формы N 11-страховщик и суммы показателей стр. 125, гр. 3 подразделов 6.1.2, 6.2.2 и 6.3.2 формы N 2-С;

372. Если первый, второй разряды кода вида страхования (гр. 3 раздела 3) X1 = 33, X2 = 121, то гр. 8 = разность суммы показателей строк с кодом вида страхования 33121, 60125 (гр. 3 разделов 1, 2), гр. 8 разделов 1, 2 формы N 11-страховщик и суммы показателей стр. 125, гр. 10 подразделов 6.1.2, 6.2.2 и 6.3.2 формы N 2-С;

373. Если первый, второй разряды кода вида страхования (гр. 3 раздела 3) X1 = 33, X2 = 125, то гр. 4 = разность суммы показателей строк с кодом вида страхования 33125, 60126 (гр. 3 разделов 1, 2), гр. 4 разделов 1, 2 формы N 11-страховщик и суммы показателей стр. 126, гр. 3 подразделов 6.1.2, 6.2.2 и 6.3.2 формы N 2-С;

374. Если первый, второй разряды кода вида страхования (гр. 3 раздела 3) X1 = 33, X2 = 125, то гр. 8 = разность суммы показателей строк с кодом вида страхования 33125, 60126 (гр. 3 разделов 1, 2), гр. 8 разделов 1, 2 формы N 11-страховщик и суммы показателей стр. 126, гр. 10 подразделов 6.1.2, 6.2.2 и 6.3.2 формы N 2-С;

375. Если первый, второй разряды кода вида страхования (гр. 3 раздела 3) X1 = 33, X2 = 126, то гр. 4 = разность суммы показателей строк с кодом вида страхования 33126, 60127 (гр. 3 разделов 1, 2), гр. 4 разделов 1, 2 формы N 11-страховщик и суммы показателей стр. 127, гр. 3 подразделов 6.1.2, 6.2.2 и 6.3.2 формы N 2-С;

376. Если первый, второй разряды кода вида страхования (гр. 3 раздела 3) X1 = 33, X2 = 126, то гр. 8 = разность суммы показателей строк с кодом вида страхования 33126, 60127 (гр. 3 разделов 1, 2), гр. 8 разделов 1, 2 формы N 11-страховщик и суммы показателей стр. 127, гр. 10 подразделов 6.1.2, 6.2.2 и 6.3.2 формы N 2-С;

377. Если первый, второй разряды кода вида страхования (гр. 3 раздела 3) X1 = 33, X2 = 128, то гр. 4 = разность суммы показателей строк с кодом вида страхования 33128, 60129 (гр. 3 разделов 1, 2), гр. 4 разделов 1, 2 формы N 11-страховщик и суммы показателей стр. 129, гр. 3 подразделов 6.1.2, 6.2.2 и 6.3.2 формы N 2-С;

378. Если первый, второй разряды кода вида страхования (гр. 3 раздела 3) X1 = 33, X2 = 128, то гр. 8 = разность суммы показателей строк с кодом вида страхования 33128, 60129 (гр. 3 разделов 1, 2), гр. 8 разделов 1, 2 формы N 11-страховщик и суммы показателей стр. 129, гр. 10 подразделов 6.1.2, 6.2.2 и 6.3.2 формы N 2-С;

379. Если первый, второй разряды кода вида страхования (гр. 3 раздела 3) X1 = 33, X2 = 129, то гр. 4 = разность суммы показателей строк с кодом вида страхования 33129, 60130 (гр. 3 разделов 1, 2), гр. 4 разделов 1, 2 формы N 11-страховщик и суммы показателей стр. 130, гр. 3 подразделов 6.1.2, 6.2.2 и 6.3.2 формы N 2-С;

380. Если первый, второй разряды кода вида страхования (гр. 3 раздела 3) X1 = 33, X2 = 129, то гр. 8 = разность суммы показателей строк с кодом вида страхования 33129, 60130 (гр. 3 разделов 1, 2), гр. 8 разделов 1, 2 формы N 11-страховщик и суммы показателей стр. 130, гр. 10 подразделов 6.1.2, 6.2.2 и 6.3.2 формы N 2-С;

381. Если первый, второй разряды кода вида страхования (гр. 3 раздела 3) X1 = 33, X2 = 130, то гр. 4 = разность суммы показателей строк с кодом вида страхования 33130, 60131 (гр. 3 разделов 1, 2), гр. 4 разделов 1, 2 формы N 11-страховщик и суммы показателей стр. 131, гр. 3 подразделов 6.1.2, 6.2.2 и 6.3.2 формы N 2-С;

382. Если первый, второй разряды кода вида страхования (гр. 3 раздела 3) X1 = 33, X2 = 130, то гр. 8 = разность суммы показателей строк с кодом вида страхования 33130, 60131 (гр. 3 разделов 1, 2), гр. 8 разделов 1, 2 формы N 11-страховщик и суммы показателей стр. 131, гр. 10 подразделов 6.1.2, 6.2.2 и 6.3.2 формы N 2-С;

383. Если первый, второй разряды кода вида страхования (гр. 3 раздела 3) X1 = 33, X2 = 131, то гр. 4 = разность суммы показателей строк с кодом вида страхования 33131, 60132 (гр. 3 разделов 1, 2), гр. 4 разделов 1, 2 формы N 11-страховщик и суммы показателей стр. 132, гр. 3 подразделов 6.1.2, 6.2.2 и 6.3.2 формы N 2-С;

384. Если первый, второй разряды кода вида страхования (гр. 3 раздела 3) X1 = 33, X2 = 131, то гр. 8 = разность суммы показателей строк с кодом вида страхования 33131, 60132 (гр. 3 разделов 1, 2), гр. 8 разделов 1, 2 формы N 11-страховщик и суммы показателей стр. 132, гр. 10 подразделов 6.1.2, 6.2.2 и 6.3.2 формы N 2-С;

385. Если первый, второй разряды кода вида страхования (гр. 3 раздела 3) X1 = 33, X2 = 132, то гр. 4 = разность суммы показателей строк с кодом вида страхования 33132, 60133 (гр. 3 разделов 1, 2), гр. 4 разделов 1, 2 формы N 11-страховщик и суммы показателей стр. 133, гр. 3 подразделов 6.1.2, 6.2.2 и 6.3.2 формы N 2-С;

386. Если первый, второй разряды кода вида страхования (гр. 3 раздела 3) X1 = 33, X2 = 132, то гр. 8 = разность суммы показателей строк с кодом вида страхования 33132, 60133 (гр. 3 разделов 1, 2), гр. 8 разделов 1, 2 формы N 11-страховщик и суммы показателей стр. 133, гр. 10 подразделов 6.1.2, 6.2.2 и 6.3.2 формы N 2-С;

387. Если наименование важнейшего вида страхования (гр. 1 раздела 3) соответствует наименованию этого вида страхования в гр. 1, стр. 135 подраздела 3.3.1 формы N 2-С, первый, второй разряды кода вида страхования которого (гр. 3 раздела 3) X1 = 33, X2 = 135, то гр. 4 = разность суммы показателей строк с кодом вида страхования 33135, 60134 (гр. 3 разделов 1, 2), в которых наименование важнейшего вида страхования (гр. 1 разделов 1, 2) соответствует наименованию этого вида страхования в гр. 1, стр. 135 подраздела 3.3.1 и стр. 134 подраздела 6.1.1 формы N 2-С, гр. 4 разделов 1, 2 формы N 11-страховщик и суммы показателей стр. 134, гр. 3 подразделов 6.1.2, 6.2.2 и 6.3.2 формы N 2-С;

388. Если наименование важнейшего вида страхования (гр. 1 раздела 3) соответствует наименованию этого вида страхования в гр. 1, стр. 135 подраздела 3.3.1 формы N 2-С, первый, второй разряды кода вида страхования которого (гр. 3 раздела 3) X1 = 33, X2 = 135, то гр. 8 = разность суммы показателей строк с кодом вида страхования 33135, 60134 (гр. 3 разделов 1, 2), в которых наименование важнейшего вида страхования (гр. 1 разделов 1, 2) соответствует наименованию этого вида страхования в гр. 1, стр. 135 подраздела 3.3.1 и стр. 134 подраздела 6.1.1 формы N 2-С, гр. 8 разделов 1, 2 формы N 11-страховщик и суммы показателей стр. 134, гр. 10 подразделов 6.1.2, 6.2.2 и 6.3.2 формы N 2-С;

389. Если первый, второй разряды кода вида страхования (гр. 3 раздела 3) X1 = 33, X2 = 140, то гр. 4 = разность суммы показателей строк с кодом вида страхования 33140, 60135 (гр. 3 разделов 1, 2), гр. 4 разделов 1, 2 формы N 11-страховщик и суммы показателей стр. 135, гр. 3 подразделов 6.1.2, 6.2.2 и 6.3.2 формы N 2-С;

390. Если первый, второй разряды кода вида страхования (гр. 3 раздела 3) X1 = 33, X2 = 140, то гр. 8 = разность суммы показателей строк с кодом вида страхования 33140, 60135 (гр. 3 разделов 1, 2), гр. 8 разделов 1, 2 формы N 11-страховщик и суммы показателей стр. 135, гр. 10 подразделов 6.1.2, 6.2.2 и 6.3.2 формы N 2-С;

391. Если первый, второй разряды кода вида страхования (гр. 3 раздела 3) X1 = 33, X2 = 141, то гр. 4 = разность суммы показателей строк с кодом вида страхования 33141, 60136 (гр. 3 разделов 1, 2), гр. 4 разделов 1, 2 формы N 11-страховщик и суммы показателей стр. 136, гр. 3 подразделов 6.1.2, 6.2.2 и 6.3.2 формы N 2-С;

392. Если первый, второй разряды кода вида страхования (гр. 3 раздела 3) X1 = 33, X2 = 141, то гр. 8 = разность суммы показателей строк с кодом вида страхования 33141, 60136 (гр. 3 разделов 1, 2), гр. 8 разделов 1, 2 формы N 11-страховщик и суммы показателей стр. 136, гр. 10 подразделов 6.1.2, 6.2.2 и 6.3.2 формы N 2-С;

393. Если первый, второй разряды кода вида страхования (гр. 3 раздела 3) X1 = 33, X2 = 142, то гр. 4 = разность суммы показателей строк с кодом вида страхования 33142, 60137 (гр. 3 разделов 1, 2), гр. 4 разделов 1, 2 формы N 11-страховщик и суммы показателей стр. 137, гр. 3 подразделов 6.1.2, 6.2.2 и 6.3.2 формы N 2-С;

394. Если первый, второй разряды кода вида страхования (гр. 3 раздела 3) X1 = 33, X2 = 142, то гр. 8 = разность суммы показателей строк с кодом вида страхования 33142, 60137 (гр. 3 разделов 1, 2), гр. 8 разделов 1, 2 формы N 11-страховщик и суммы показателей стр. 137, гр. 10 подразделов 6.1.2, 6.2.2 и 6.3.2 формы N 2-С;

395. Если наименование важнейшего вида страхования (гр. 1 раздела 3) соответствует наименованию этого вида страхования в гр. 1, стр. 145 подраздела 3.3.1 формы N 2-С, первый, второй разряды кода вида страхования которого (гр. 3 раздела 3) X1 = 33, X2 = 145, то гр. 4 = разность суммы показателей строк с кодом вида страхования 33145, 60138 (гр. 3 разделов 1, 2), в которых наименование важнейшего вида страхования (гр. 1 разделов 1, 2) соответствует наименованию этого вида страхования в гр. 1, стр. 145 подраздела 3.3.1 и стр. 138 подраздела 6.1.1 формы N 2-С, гр. 4 разделов 1, 2 формы N 11-страховщик и суммы показателей стр. 138, гр. 3 подразделов 6.1.2, 6.2.2 и 6.3.2 формы N 2-С;

396. Если наименование важнейшего вида страхования (гр. 1 раздела 3) соответствует наименованию этого вида страхования в гр. 1, стр. 145 подраздела 3.3.1 формы N 2-С, первый, второй разряды кода вида страхования которого (гр. 3 раздела 3) X1 = 33, X2 = 145, то гр. 8 = разность суммы показателей строк с кодом вида страхования 33145, 60138 (гр. 3 разделов 1, 2), в которых наименование важнейшего вида страхования (гр. 1 разделов 1, 2) соответствует наименованию этого вида страхования в гр. 1, стр. 145 подраздела 3.3.1 и стр. 138 подраздела 6.1.1 формы N 2-С, гр. 8 разделов 1, 2 формы N 11-страховщик и суммы показателей стр. 138, гр. 10 подразделов 6.1.2, 6.2.2 и 6.3.2 формы N 2-С;

397. Если первый, второй разряды кода вида страхования (гр. 3 раздела 3) X1 = 32, X2 = 110, то гр. 4 = разность суммы показателей строк с кодом вида страхования 32110, 60140 (гр. 3 разделов 1, 2), гр. 4 разделов 1, 2 формы N 11-страховщик и суммы показателей стр. 140, гр. 3 подразделов 6.1.2, 6.2.2 и 6.3.2 формы N 2-С;

398. Если первый, второй разряды кода вида страхования (гр. 3 раздела 3) X1 = 32, X2 = 110, то гр. 8 = разность суммы показателей строк с кодом вида страхования 32110, 60140 (гр. 3 разделов 1, 2), гр. 8 разделов 1, 2 формы N 11-страховщик и суммы показателей стр. 140, гр. 10 подразделов 6.1.2, 6.2.2 и 6.3.2 формы N 2-С;

399. Если первый, второй разряды кода вида страхования (гр. 3 раздела 3) X1 = 32, X2 = 111, то гр. 4 = разность суммы показателей строк с кодом вида страхования 32111, 60141 (гр. 3 разделов 1, 2), гр. 4 разделов 1, 2 формы N 11-страховщик и суммы показателей стр. 141, гр. 3 подразделов 6.1.2, 6.2.2 и 6.3.2 формы N 2-С;

400. Если первый, второй разряды кода вида страхования (гр. 3 раздела 3) X1 = 32, X2 = 111, то гр. 8 = разность суммы показателей строк с кодом вида страхования 32111, 60141 (гр. 3 разделов 1, 2), гр. 8 разделов 1, 2 формы N 11-страховщик и суммы показателей стр. 141, гр. 10 подразделов 6.1.2, 6.2.2 и 6.3.2 формы N 2-С;

401. Если наименование важнейшего вида страхования (гр. 1 раздела 3) соответствует наименованию этого вида страхования в гр. 1, стр. 112 подраздела 3.2.1 формы N 2-С, первый, второй разряды кода вида страхования которого (гр. 3 раздела 3) X1 = 32, X2 = 112, то гр. 4 = разность суммы показателей строк с кодом вида страхования 32112, 60142 (гр. 3 разделов 1, 2), в которых наименование важнейшего вида страхования (гр. 1 разделов 1, 2) соответствует наименованию этого вида страхования в гр. 1, стр. 112 подраздела 3.2.1 и стр. 142 подраздела 6.1.1 формы N 2-С, гр. 4 разделов 1, 2 формы N 11-страховщик и суммы показателей стр. 142, гр. 3 подразделов 6.1.2, 6.2.2 и 6.3.2 формы N 2-С;

402. Если наименование важнейшего вида страхования (гр. 1 раздела 3) соответствует наименованию этого вида страхования в гр. 1, стр. 112 подраздела 3.2.1 формы N 2-С, первый, второй разряды кода вида страхования которого (гр. 3 раздела 3) X1 = 32, X2 = 112, то гр. 8 = разность суммы показателей строк с кодом вида страхования 32112, 60142 (гр. 3 разделов 1, 2), в которых наименование важнейшего вида страхования (гр. 1 разделов 1, 2) соответствует наименованию этого вида страхования в гр. 1, стр. 112 подраздела 3.2.1 и стр. 142 подраздела 6.1.1 формы N 2-С, гр. 8 разделов 1, 2 формы N 11-страховщик и суммы показателей стр. 142, гр. 10 подразделов 6.1.2, 6.2.2 и 6.3.2 формы N 2-С;

403. Если первый, второй разряды кода вида страхования (гр. 3 раздела 3) X1 = 32, X2 = 115, то гр. 4 = разность суммы показателей строк с кодом вида страхования 32115, 60143 (гр. 3 разделов 1, 2), гр. 4 разделов 1, 2 формы N 11-страховщик и суммы показателей стр. 143, гр. 3 подразделов 6.1.2, 6.2.2 и 6.3.2 формы N 2-С;

404. Если первый, второй разряды кода вида страхования (гр. 3 раздела 3) X1 = 32, X2 = 115, то гр. 8 = разность суммы показателей строк с кодом вида страхования 32115, 60143 (гр. 3 разделов 1, 2), гр. 8 разделов 1, 2 формы N 11-страховщик и суммы показателей стр. 143, гр. 10 подразделов 6.1.2, 6.2.2 и 6.3.2 формы N 2-С;

405. Если первый, второй разряды кода вида страхования (гр. 3 раздела 3) X1 = 32, X2 = 116, то гр. 4 = разность суммы показателей строк с кодом вида страхования 32116, 60431 (гр. 3 разделов 1, 2), гр. 4 разделов 1, 2 формы N 11-страховщик и суммы показателей стр. 143.1, гр. 3 подразделов 6.1.2, 6.2.2 и 6.3.2 формы N 2-С;

406. Если первый, второй разряды кода вида страхования (гр. 3 раздела 3) X1 = 32, X2 = 116, то гр. 8 = разность суммы показателей строк с кодом вида страхования 32116, 60431 (гр. 3 разделов 1, 2), гр. 8 разделов 1, 2 формы N 11-страховщик и суммы показателей стр. 143.1, гр. 10 подразделов 6.1.2, 6.2.2 и 6.3.2 формы N 2-С;

407. Если первый, второй разряды кода вида страхования (гр. 3 раздела 3) X1 = 32, X2 = 117, то гр. 4 = разность суммы показателей строк с кодом вида страхования 32117, 60432 (гр. 3 разделов 1, 2), гр. 4 разделов 1, 2 формы N 11-страховщик и суммы показателей стр. 143.2, гр. 3 подразделов 6.1.2, 6.2.2 и 6.3.2 формы N 2-С;

408. Если первый, второй разряды кода вида страхования (гр. 3 раздела 3) X1 = 32, X2 = 117, то гр. 8 = разность суммы показателей строк с кодом вида страхования 32117, 60432 (гр. 3 разделов 1, 2), гр. 8 разделов 1, 2 формы N 11-страховщик и суммы показателей стр. 143.2, гр. 10 подразделов 6.1.2, 6.2.2 и 6.3.2 формы N 2-С;

409. Если наименование важнейшего вида страхования (гр. 1 раздела 3) соответствует наименованию этого вида страхования в гр. 1, стр. 119 подраздела 3.2.1 формы N 2-С, первый, второй разряды кода вида страхования которого (гр. 3 раздела 3) X1 = 32, X2 = 119, то гр. 4 = разность суммы показателей строк с кодом вида страхования 32119, 60144 (гр. 3 разделов 1, 2), в которых наименование важнейшего вида страхования (гр. 1 разделов 1, 2) соответствует наименованию этого вида страхования в гр. 1, стр. 119 подраздела 3.2.1 и стр. 144 подраздела 6.1.1 формы N 2-С, гр. 4 разделов 1, 2 формы N 11-страховщик и суммы показателей стр. 144, гр. 3 подразделов 6.1.2, 6.2.2 и 6.3.2 формы N 2-С;

410. Если наименование важнейшего вида страхования (гр. 1 раздела 3) соответствует наименованию этого вида страхования в гр. 1, стр. 119 подраздела 3.2.1 формы N 2-С, первый, второй разряды кода вида страхования которого (гр. 3 раздела 3) X1 = 32, X2 = 119, то гр. 8 = разность суммы показателей строк с кодом вида страхования 32119, 60144 (гр. 3 разделов 1, 2), в которых наименование важнейшего вида страхования (гр. 1 разделов 1, 2) соответствует наименованию этого вида страхования в гр. 1, стр. 119 подраздела 3.2.1 и стр. 144 подраздела 6.1.1 формы N 2-С, гр. 8 разделов 1, 2 формы N 11-страховщик и суммы показателей стр. 144, гр. 10 подразделов 6.1.2, 6.2.2 и 6.3.2 формы N 2-С;

411. Если первый, второй разряды кода вида страхования (гр. 3 раздела 3) X1 = 32, X2 = 120, то гр. 4 = разность суммы показателей строк с кодом вида страхования 32120, 60145 (гр. 3 разделов 1, 2), гр. 4 разделов 1, 2 формы N 11-страховщик и суммы показателей стр. 145, гр. 3 подразделов 6.1.2, 6.2.2 и 6.3.2 формы N 2-С;

412. Если первый, второй разряды кода вида страхования (гр. 3 раздела 3) X1 = 32, X2 = 120, то гр. 8 = разность суммы показателей строк с кодом вида страхования 32120, 60145 (гр. 3 разделов 1, 2), гр. 8 разделов 1, 2 формы N 11-страховщик и суммы показателей стр. 145, гр. 10 подразделов 6.1.2, 6.2.2 и 6.3.2 формы N 2-С;

413. Если первый, второй разряды кода вида страхования (гр. 3 раздела 3) X1 = 32, X2 = 121, то гр. 4 = разность суммы показателей строк с кодом вида страхования 32121, 60146 (гр. 3 разделов 1, 2), гр. 4 разделов 1, 2 формы N 11-страховщик и суммы показателей стр. 146, гр. 3 подразделов 6.1.2, 6.2.2 и 6.3.2 формы N 2-С;

414. Если первый, второй разряды кода вида страхования (гр. 3 раздела 3) X1 = 32, X2 = 121, то гр. 8 = разность суммы показателей строк с кодом вида страхования 32121, 60146 (гр. 3 разделов 1, 2), гр. 8 разделов 1, 2 формы N 11-страховщик и суммы показателей стр. 146, гр. 10 подразделов 6.1.2, 6.2.2 и 6.3.2 формы N 2-С;

415. Если наименование важнейшего вида страхования (гр. 1 раздела 3) соответствует наименованию этого вида страхования в гр. 1, стр. 125 подраздела 3.2.1 формы N 2-С, первый, второй разряды кода вида страхования которого (гр. 3 раздела 3) X1 = 32, X2 = 125, то гр. 4 = разность суммы показателей строк с кодом вида страхования 32125, 60147 (гр. 3 разделов 1, 2), в которых наименование важнейшего вида страхования (гр. 1 разделов 1, 2) соответствует наименованию этого вида страхования в гр. 1, стр. 125 подраздела 3.2.1 и стр. 147 подраздела 6.1.1 формы N 2-С, гр. 4 разделов 1, 2 формы N 11-страховщик и суммы показателей стр. 147, гр. 3 подразделов 6.1.2, 6.2.2 и 6.3.2 формы N 2-С;

416. Если наименование важнейшего вида страхования (гр. 1 раздела 3) соответствует наименованию этого вида страхования в гр. 1, стр. 125 подраздела 3.2.1 формы N 2-С, первый, второй разряды кода вида страхования которого (гр. 3 раздела 3) X1 = 32, X2 = 125, то гр. 8 = разность суммы показателей строк с кодом вида страхования 32125, 60147 (гр. 3 разделов 1, 2), в которых наименование важнейшего вида страхования (гр. 1 разделов 1, 2) соответствует наименованию этого вида страхования в гр. 1, стр. 125 подраздела 3.2.1 и стр. 147 подраздела 6.1.1 формы N 2-С, гр. 8 разделов 1, 2 формы N 11-страховщик и суммы показателей стр. 147, гр. 10 подразделов 6.1.2, 6.2.2 и 6.3.2 формы N 2-С;

417. Если первый, второй разряды кода вида страхования (гр. 3 раздела 3) X1 = 32, X2 = 130, то гр. 4 = разность суммы показателей строк с кодом вида страхования 32130, 60148 (гр. 3 разделов 1, 2), гр. 4 разделов 1, 2 формы N 11-страховщик и суммы показателей стр. 148, гр. 3 подразделов 6.1.2, 6.2.2 и 6.3.2 формы N 2-С;

418. Если первый, второй разряды кода вида страхования (гр. 3 раздела 3) X1 = 32, X2 = 130, то гр. 8 = разность суммы показателей строк с кодом вида страхования 32130, 60148 (гр. 3 разделов 1, 2), гр. 8 разделов 1, 2 формы N 11-страховщик и суммы показателей стр. 148, гр. 10 подразделов 6.1.2, 6.2.2 и 6.3.2 формы N 2-С;

419. Если первый, второй разряды кода вида страхования (гр. 3 раздела 3) X1 = 32, X2 = 131, то гр. 4 = разность суммы показателей строк с кодом вида страхования 32131, 60149 (гр. 3 разделов 1, 2), гр. 4 разделов 1, 2 формы N 11-страховщик и суммы показателей стр. 149, гр. 3 подразделов 6.1.2, 6.2.2 и 6.3.2 формы N 2-С;

420. Если первый, второй разряды кода вида страхования (гр. 3 раздела 3) X1 = 32, X2 = 131, то гр. 8 = разность суммы показателей строк с кодом вида страхования 32131, 60149 (гр. 3 разделов 1, 2), гр. 8 разделов 1, 2 формы N 11-страховщик и суммы показателей стр. 149, гр. 10 подразделов 6.1.2, 6.2.2 и 6.3.2 формы N 2-С;

421. Если наименование важнейшего вида страхования (гр. 1 раздела 3) соответствует наименованию этого вида страхования в гр. 1, стр. 135 подраздела 3.2.1 формы N 2-С, первый, второй разряды кода вида страхования которого (гр. 3 раздела 3) X1 = 32, X2 = 135, то гр. 4 = разность суммы показателей строк с кодом вида страхования 32135, 60150 (гр. 3 разделов 1, 2), в которых наименование важнейшего вида страхования (гр. 1 разделов 1, 2) соответствует наименованию этого вида страхования в гр. 1, стр. 135 подраздела 3.2.1 и стр. 150 подраздела 6.1.1 формы N 2-С, гр. 4 разделов 1, 2 формы N 11-страховщик и суммы показателей стр. 150, гр. 3 подразделов 6.1.2, 6.2.2 и 6.3.2 формы N 2-С;

422. Если наименование важнейшего вида страхования (гр. 1 раздела 3) соответствует наименованию этого вида страхования в гр. 1, стр. 135 подраздела 3.2.1 формы N 2-С, первый, второй разряды кода вида страхования которого (гр. 3 раздела 3) X1 = 32, X2 = 135, то гр. 8 = разность суммы показателей строк с кодом вида страхования 32135, 60150 (гр. 3 разделов 1, 2), в которых наименование важнейшего вида страхования (гр. 1 разделов 1, 2) соответствует наименованию этого вида страхования в гр. 1, стр. 135 подраздела 3.2.1 и стр. 150 подраздела 6.1.1 формы N 2-С, гр. 8 разделов 1, 2 формы N 11-страховщик и суммы показателей стр. 150, гр. 10 подразделов 6.1.2, 6.2.2 и 6.3.2 формы N 2-С;

423. Если первый, второй разряды кода вида страхования (гр. 3 раздела 3) X1 = 32, X2 = 140, то гр. 4 = разность суммы показателей строк с кодом вида страхования 32140, 60151 (гр. 3 разделов 1, 2), гр. 4 разделов 1, 2 формы N 11-страховщик и суммы показателей стр. 151, гр. 3 подразделов 6.1.2, 6.2.2 и 6.3.2 формы N 2-С;

424. Если первый, второй разряды кода вида страхования (гр. 3 раздела 3) X1 = 32, X2 = 140, то гр. 8 = разность суммы показателей строк с кодом вида страхования 32140, 60151 (гр. 3 разделов 1, 2), гр. 8 разделов 1, 2 формы N 11-страховщик и суммы показателей стр. 151, гр. 10 подразделов 6.1.2, 6.2.2 и 6.3.2 формы N 2-С;

425. Если первый, второй разряды кода вида страхования (гр. 3 раздела 3) X1 = 32, X2 = 150, то гр. 4 = разность суммы показателей строк с кодом вида страхования 32150, 60152 (гр. 3 разделов 1, 2), гр. 4 разделов 1, 2 формы N 11-страховщик и суммы показателей стр. 152, гр. 3 подразделов 6.1.2, 6.2.2 и 6.3.2 формы N 2-С;

426. Если первый, второй разряды кода вида страхования (гр. 3 раздела 3) X1 = 32, X2 = 150, то гр. 8 = разность суммы показателей строк с кодом вида страхования 32150, 60152 (гр. 3 разделов 1, 2), гр. 8 разделов 1, 2 формы N 11-страховщик и суммы показателей стр. 152, гр. 10 подразделов 6.1.2, 6.2.2 и 6.3.2 формы N 2-С;

427. Если первый, второй разряды кода вида страхования (гр. 3 раздела 3) X1 = 32, X2 = 151, то гр. 4 = разность суммы показателей строк с кодом вида страхования 32151, 60153 (гр. 3 разделов 1, 2), гр. 4 разделов 1, 2 формы N 11-страховщик и суммы показателей стр. 153, гр. 3 подразделов 6.1.2, 6.2.2 и 6.3.22 формы N 2-С;

428. Если первый, второй разряды кода вида страхования (гр. 3 раздела 3) X1 = 32, X2 = 151, то гр. 8 = разность суммы показателей строк с кодом вида страхования 32151, 60153 (гр. 3 разделов 1, 2), гр. 8 разделов 1, 2 формы N 11-страховщик и суммы показателей стр. 153, гр. 10 подразделов 6.1.2, 6.2.2 и 6.3.2 формы N 2-С;

429. Если наименование важнейшего вида страхования (гр. 1 раздела 3) соответствует наименованию этого вида страхования в гр. 1, стр. 155 подраздела 3.2.1 формы N 2-С, первый, второй разряды кода вида страхования которого (гр. 3 раздела 3) X1 = 32, X2 = 155, то гр. 4 = разность суммы показателей строк с кодом вида страхования 32155, 60154 (гр. 3 разделов 1, 2), в которых наименование важнейшего вида страхования (гр. 1 разделов 1, 2) соответствует наименованию этого вида страхования в гр. 1, стр. 155 подраздела 3.2.1 и стр. 154 подраздела 6.1.1 формы N 2-С, гр. 4 разделов 1, 2 формы N 11-страховщик и суммы показателей стр. 154, гр. 3 подразделов 6.1.2, 6.2.2 и 6.3.2 формы N 2-С;

430. Если наименование важнейшего вида страхования (гр. 1 раздела 3) соответствует наименованию этого вида страхования в гр. 1, стр. 155 подраздела 3.2.1 формы N 2-С, первый, второй разряды кода вида страхования которого (гр. 3 раздела 3) X1 = 32, X2 = 155, то гр. 8 = разность суммы показателей строк с кодом вида страхования 32155, 60154 (гр. 3 разделов 1, 2), в которых наименование важнейшего вида страхования (гр. 1 разделов 1, 2) соответствует наименованию этого вида страхования в гр. 1, стр. 155 подраздела 3.2.1 и стр. 154 подраздела 6.1.1 формы N 2-С, гр. 8 разделов 1, 2 формы N 11-страховщик и суммы показателей стр. 154, гр. 10 подразделов 6.1.2, 6.2.2 и 6.3.2 формы N 2-С;

431. Если первый, второй разряды кода вида страхования (гр. 3 раздела 3) X1 = 32, X2 = 160, то гр. 4 = разность суммы показателей строк с кодом вида страхования 32160, 60155 (гр. 3 разделов 1, 2), гр. 4 разделов 1, 2 формы N 11-страховщик и суммы показателей стр. 155, гр. 3 подразделов 6.1.2, 6.2.2 и 6.3.2 формы N 2-С;

432. Если первый, второй разряды кода вида страхования (гр. 3 раздела 3) X1 = 32, X2 = 160, то гр. 8 = разность суммы показателей строк с кодом вида страхования 32160, 60155 (гр. 3 разделов 1, 2), гр. 8 разделов 1, 2 формы N 11-страховщик и суммы показателей стр. 155, гр. 10 подразделов 6.1.2, 6.2.2 и 6.3.2 формы N 2-С;

433. Если первый, второй разряды кода вида страхования (гр. 3 раздела 3) X1 = 32, X2 = 161, то гр. 4 = разность суммы показателей строк с кодом вида страхования 32161, 60156 (гр. 3 разделов 1, 2), гр. 4 разделов 1, 2 формы N 11-страховщик и суммы показателей стр. 156, гр. 3 подразделов 6.1.2, 6.2.2 и 6.3.2 формы N 2-С;

434. Если первый, второй разряды кода вида страхования (гр. 3 раздела 3) X1 = 32, X2 = 161, то гр. 8 = разность суммы показателей строк с кодом вида страхования 32161, 60156 (гр. 3 разделов 1, 2), гр. 8 разделов 1, 2 формы N 11-страховщик и суммы показателей стр. 156, гр. 10 подразделов 6.1.2, 6.2.2 и 6.3.2 формы N 2-С;

435. Если наименование важнейшего вида страхования (гр. 1 раздела 3) соответствует наименованию этого вида страхования в гр. 1, стр. 165 подраздела 3.2.1 формы N 2-С, первый, второй разряды кода вида страхования которого (гр. 3 раздела 3) X1 = 32, X2 = 165, то гр. 4 = разность суммы показателей строк с кодом вида страхования 32165, 60157 (гр. 3 разделов 1, 2), в которых наименование важнейшего вида страхования (гр. 1 разделов 1, 2) соответствует наименованию этого вида страхования в гр. 1, стр. 165 подраздела 3.2.1 и стр. 157 подраздела 6.1.1 формы N 2-С, гр. 4 разделов 1, 2 формы N 11-страховщик и суммы показателей стр. 157, гр. 3 подразделов 6.1.2, 6.2.2 и 6.3.2 формы N 2-С;

436. Если наименование важнейшего вида страхования (гр. 1 раздела 3) соответствует наименованию этого вида страхования в гр. 1, стр. 165 подраздела 3.2.1 формы N 2-С, первый, второй разряды кода вида страхования которого (гр. 3 раздела 3) X1 = 32, X2 = 165, то гр. 8 = разность суммы показателей строк с кодом вида страхования 32165, 60157 (гр. 3 разделов 1, 2), в которых наименование важнейшего вида страхования (гр. 1 разделов 1, 2) соответствует наименованию этого вида страхования в гр. 1, стр. 165 подраздела 3.2.1 и стр. 157 подраздела 6.1.1 формы N 2-С, гр. 8 разделов 1, 2 формы N 11-страховщик и суммы показателей стр. 157, гр. 10 подразделов 6.1.2, 6.2.2 и 6.3.2 формы N 2-С;

437. Если первый, второй разряды кода вида страхования (гр. 3 раздела 3) X1 = 34, X2 = 110, то гр. 4 = разность суммы показателей строк с кодом вида страхования 34110, 60158 (гр. 3 разделов 1, 2), гр. 4 разделов 1, 2 формы N 11-страховщик и суммы показателей стр. 158, гр. 3 подразделов 6.1.2, 6.2.2 и 6.3.2 формы N 2-С;

438. Если первый, второй разряды кода вида страхования (гр. 3 раздела 3) X1 = 34, X2 = 110, то гр. 8 = разность суммы показателей строк с кодом вида страхования 34110, 60158 (гр. 3 разделов 1, 2), гр. 8 разделов 1, 2 формы N 11-страховщик и суммы показателей стр. 158, гр. 10 подразделов 6.1.2, 6.2.2 и 6.3.2 формы N 2-С;

439. Если первый, второй разряды кода вида страхования (гр. 3 раздела 3) X1 = 34, X2 = 111, то гр. 4 = разность суммы показателей строк с кодом вида страхования 34111, 60159 (гр. 3 разделов 1, 2), гр. 4 разделов 1, 2 формы N 11-страховщик и суммы показателей стр. 159, гр. 3 подразделов 6.1.2, 6.2.2 и 6.3.2 формы N 2-С;

440. Если первый, второй разряды кода вида страхования (гр. 3 раздела 3) X1 = 34, X2 = 111, то гр. 8 = разность суммы показателей строк с кодом вида страхования 34111, 60159 (гр. 3 разделов 1, 2), гр. 8 разделов 1, 2 формы N 11-страховщик и суммы показателей стр. 159, гр. 10 подразделов 6.1.2, 6.2.2 и 6.3.2 формы N 2-С;

441. Если наименование важнейшего вида страхования (гр. 1 раздела 3) соответствует наименованию этого вида страхования в гр. 1, стр. 115 подраздела 3.4.1 формы N 2-С, первый, второй разряды кода вида страхования которого (гр. 3 раздела 3) X1 = 34, X2 = 115, то гр. 4 = разность суммы показателей строк с кодом вида страхования 34115, 60160 (гр. 3 разделов 1, 2), в которых наименование важнейшего вида страхования (гр. 1 разделов 1, 2) соответствует наименованию этого вида страхования в гр. 1, стр. 115 подраздела 3.4.1 и стр. 160 подраздела 6.1.1 формы N 2-С, гр. 4 разделов 1, 2 формы N 11-страховщик и суммы показателей стр. 160, гр. 3 подразделов 6.1.2, 6.2.2 и 6.3.2 формы N 2-С;

442. Если наименование важнейшего вида страхования (гр. 1 раздела 3) соответствует наименованию этого вида страхования в гр. 1, стр. 115 подраздела 3.4.1 формы N 2-С, первый, второй разряды кода вида страхования которого (гр. 3 раздела 3) X1 = 34, X2 = 115, то гр. 8 = разность суммы показателей строк с кодом вида страхования 34115, 60160 (гр. 3 разделов 1, 2), в которых наименование важнейшего вида страхования (гр. 1 разделов 1, 2) соответствует наименованию этого вида страхования в гр. 1, стр. 115 подраздела 3.4.1 и стр. 160 подраздела 6.1.1 формы N 2-С, гр. 8 разделов 1, 2 формы N 11-страховщик и суммы показателей стр. 160, гр. 10 подразделов 6.1.2, 6.2.2 и 6.3.2 формы N 2-С;

443. Если первый, второй разряды кода вида страхования (гр. 3 раздела 3) X1 = 34, X2 = 120, то гр. 4 = разность суммы показателей строк с кодом вида страхования 34120, 60161 (гр. 3 разделов 1, 2), гр. 4 разделов 1, 2 формы N 11-страховщик и суммы показателей стр. 161, гр. 3 подразделов 6.1.2, 6.2.2 и 6.3.2 формы N 2-С;

444. Если первый, второй разряды кода вида страхования (гр. 3 раздела 3) X1 = 34, X2 = 120, то гр. 8 = разность суммы показателей строк с кодом вида страхования 34120, 60161 (гр. 3 разделов 1, 2), гр. 8 разделов 1, 2 формы N 11-страховщик и суммы показателей стр. 161, гр. 10 подразделов 6.1.2, 6.2.2 и 6.3.2 формы N 2-С;

445. Если первый, второй разряды кода вида страхования (гр. 3 раздела 3) X1 = 34, X2 = 121, то гр. 4 = разность суммы показателей строк с кодом вида страхования 34121, 60162 (гр. 3 разделов 1, 2), гр. 4 разделов 1, 2 формы N 11-страховщик и суммы показателей стр. 162, гр. 3 подразделов 6.1.2, 6.2.2 и 6.3.2 формы N 2-С;

446. Если первый, второй разряды кода вида страхования (гр. 3 раздела 3) X1 = 34, X2 = 121, то гр. 8 = разность суммы показателей строк с кодом вида страхования 34121, 60162 (гр. 3 разделов 1, 2), гр. 8 разделов 1, 2 формы N 11-страховщик и суммы показателей стр. 162, гр. 10 подразделов 6.1.2, 6.2.2 и 6.3.2 формы N 2-С;

447. Если первый, второй разряды кода вида страхования (гр. 3 раздела 3) X1 = 34, X2 = 125, то гр. 4 = разность суммы показателей строк с кодом вида страхования 34125, 60163 (гр. 3 разделов 1, 2), гр. 4 разделов 1, 2 формы N 11-страховщик и суммы показателей стр. 163, гр. 3 подразделов 6.1.2, 6.2.2 и 6.3.2 формы N 2-С;

448. Если первый, второй разряды кода вида страхования (гр. 3 раздела 3) X1 = 34, X2 = 125, то гр. 8 = разность суммы показателей строк с кодом вида страхования 34125, 60163 (гр. 3 разделов 1, 2), гр. 8 разделов 1, 2 формы N 11-страховщик и суммы показателей стр. 163, гр. 10 подразделов 6.1.2, 6.2.2 и 6.3.2 формы N 2-С;

449. Если первый, второй разряды кода вида страхования (гр. 3 раздела 3) X1 = 34, X2 = 130, то гр. 4 = разность суммы показателей строк с кодом вида страхования 34130, 60164 (гр. 3 разделов 1, 2), гр. 4 разделов 1, 2 формы N 11-страховщик и суммы показателей стр. 164, гр. 3 подразделов 6.1.2, 6.2.2 и 6.3.2 формы N 2-С;

450. Если первый, второй разряды кода вида страхования (гр. 3 раздела 3) X1 = 34, X2 = 130, то гр. 8 = разность суммы показателей строк с кодом вида страхования 34130, 60164 (гр. 3 разделов 1, 2), гр. 8 разделов 1, 2 формы N 11-страховщик и суммы показателей стр. 164, гр. 10 подразделов 6.1.2, 6.2.2 и 6.3.2 формы N 2-С;

451. Если первый, второй разряды кода вида страхования (гр. 3 раздела 3) X1 = 34, X2 = 131, то гр. 4 = разность суммы показателей строк с кодом вида страхования 34131, 60165 (гр. 3 разделов 1, 2), гр. 4 разделов 1, 2 формы N 11-страховщик и суммы показателей стр. 165, гр. 3 подразделов 6.1.2, 6.2.2 и 6.3.2 формы N 2-С;

452. Если первый, второй разряды кода вида страхования (гр. 3 раздела 3) X1 = 34, X2 = 131, то гр. 8 = разность суммы показателей строк с кодом вида страхования 34131, 60165 (гр. 3 разделов 1, 2), гр. 8 разделов 1, 2 формы N 11-страховщик и суммы показателей стр. 165, гр. 10 подразделов 6.1.2, 6.2.2 и 6.3.2 формы N 2-С;

453. Если первый, второй разряды кода вида страхования (гр. 3 раздела 3) X1 = 34, X2 = 132, то гр. 4 = разность суммы показателей строк с кодом вида страхования 34132, 60166 (гр. 3 разделов 1, 2), гр. 4 разделов 1, 2 формы N 11-страховщик и суммы показателей стр. 166, гр. 3 подразделов 6.1.2, 6.2.2 и 6.3.2 формы N 2-С;

454. Если первый, второй разряды кода вида страхования (гр. 3 раздела 3) X1 = 34, X2 = 132, то гр. 8 = разность суммы показателей строк с кодом вида страхования 34132, 60166 (гр. 3 разделов 1, 2), гр. 8 разделов 1, 2 формы N 11-страховщик и суммы показателей стр. 166, гр. 10 подразделов 6.1.2, 6.2.2 и 6.3.2 формы N 2-С;

455. Если первый, второй разряды кода вида страхования (гр. 3 раздела 3) X1 = 34, X2 = 133, то гр. 4 = разность суммы показателей строк с кодом вида страхования 34133, 60167 (гр. 3 разделов 1, 2), гр. 4 разделов 1, 2 формы N 11-страховщик и суммы показателей стр. 167, гр. 3 подразделов 6.1.2, 6.2.2 и 6.3.2формы N 2-С;

456. Если, первый, второй разряды кода вида страхования (гр. 3 раздела 3) X1 = 34, X2 = 133, то гр. 8 = разность суммы показателей строк с кодом вида страхования 34133, 60167 (гр. 3 разделов 1, 2), гр. 8 разделов 1, 2 формы N 11-страховщик и суммы показателей стр. 167, гр. 10 подразделов 6.1.2, 6.2.2 и 6.3.2 формы N 2-С;

457. Если наименование важнейшего вида страхования (гр. 1 раздела 3) соответствует наименованию этого вида страхования в гр. 1, стр. 135 подраздела 3.4.1 формы N 2-С, первый, второй разряды кода вида страхования которого (гр. 3 раздела 3) X1 = 34, X2 = 135, то гр. 4 = разность суммы показателей строк с кодом вида страхования 34135, 60168 (гр. 3 разделов 1, 2), в которых наименование важнейшего вида страхования (гр. 1 разделов 1, 2) соответствует наименованию этого вида страхования в гр. 1, стр. 135 подраздела 3.4.1 и стр. 168 подраздела 6.1.1 формы N 2-С, гр. 4 разделов 1, 2 формы N 11-страховщик и суммы показателей стр. 168, гр. 3 подразделов6.1.2, 6.2.2 и 6.3.2 формы N 2-С;

458. Если наименование важнейшего вида страхования (гр. 1 раздела 3) соответствует наименованию этого вида страхования в гр. 1, стр. 135 подраздела 3.4.1 формы N 2-С, первый, второй разряды кода вида страхования которого (гр. 3 раздела 3) X1 = 34, X2 = 135, то гр. 8 = разность суммы показателей строк с кодом вида страхования 34135, 60168 (гр. 3 разделов 1, 2), в которых наименование важнейшего вида страхования (гр. 1 разделов 1, 2) соответствует наименованию этого вида страхования в гр. 1, стр. 135 подраздела 3.4.1 и стр. 168 подраздела 6.1.1 формы N 2-С, гр. 8 разделов 1, 2 формы N 11-страховщик и суммы показателей стр. 168, гр. 10 подразделов 6.1.2, 6.2.2 и 6.3.2 формы N 2-С;

459. Если первый, второй разряды кода вида страхования (гр. 3 раздела 3) X1 = 34, X2 = 140, то гр. 4 = разность суммы показателей строк с кодом вида страхования 34140, 60169 (гр. 3 разделов 1, 2), гр. 4 разделов 1, 2 формы N 11-страховщик и суммы показателей стр. 169, гр. 3 подразделов 6.1.2, 6.2.2 и 6.3.2 формы N 2-С;

460. Если первый, второй разряды кода вида страхования (гр. 3 раздела 3) X1 = 34, X2 = 140, то гр. 8 = разность суммы показателей строк с кодом вида страхования 34140, 60169 (гр. 3 разделов 1, 2), гр. 8 разделов 1, 2 формы N 11-страховщик и суммы показателей стр. 169, гр. 10 подразделов 6.1.2, 6.2.2 и 6.3.2 формы N 2-С;

461. Если первый, второй разряды кода вида страхования (гр. 3 раздела 3) X1 = 34, X2 = 141, то гр. 4 = разность суммы показателей строк с кодом вида страхования 34141, 60170 (гр. 3 разделов 1, 2), гр. 4 разделов 1, 2 формы N 11-страховщик и суммы показателей стр. 170, гр. 3 подразделов 6.1.2, 6.2.2 и 6.3.2 формы N 2-С;

462. Если первый, второй разряды кода вида страхования (гр. 3 раздела 3) X1 = 34, X2 = 141, то гр. 8 = разность суммы показателей строк с кодом вида страхования 34141, 60170 (гр. 3 разделов 1, 2), гр. 8 разделов 1, 2 формы N 11-страховщик и суммы показателей стр. 170, гр. 10 подразделов 6.1.2, 6.2.2 и 6.3.2 формы N 2-С;

463. Если первый, второй разряды кода вида страхования (гр. 3 раздела 3) X1 = 34, X2 = 142, то гр. 4 = разность суммы показателей строк с кодом вида страхования 34142, 60171 (гр. 3 разделов 1, 2), гр. 4 разделов 1, 2 формы N 11-страховщик и суммы показателей стр. 171, гр. 3 подразделов 6.1.2, 6.2.2 и 6.3.2 формы N 2-С;

464. Если первый, второй разряды кода вида страхования (гр. 3 раздела 3) X1 = 34, X2 = 142, то гр. 8 = разность суммы показателей строк с кодом вида страхования 34142, 60171 (гр. 3 разделов 1, 2), гр. 8 разделов 1, 2 формы N 11-страховщик и суммы показателей стр. 171, гр. 10 подразделов 6.1.2, 6.2.2 и 6.3.2 формы N 2-С;

465. Если первый, второй разряды кода вида страхования (гр. 3 раздела 3) X1 = 34, X2 = 143, то гр. 4 = разность суммы показателей строк с кодом вида страхования 34143, 60172 (гр. 3 разделов 1, 2), гр. 4 разделов 1, 2 формы N 11-страховщик и суммы показателей стр. 172, гр. 3 подразделов 6.1.2, 6.2.2 и 6.3.2 формы N 2-С;

466. Если первый, второй разряды кода вида страхования (гр. 3 раздела 3) X1 = 34, X2 = 143, то гр. 8 = разность суммы показателей строк с кодом вида страхования 34143, 60172 (гр. 3 разделов 1, 2), гр. 8 разделов 1, 2 формы N 11-страховщик и суммы показателей стр. 172, гр. 10 подразделов 6.1.2, 6.2.2 и 6.3.2 формы N 2-С;

467. Если первый, второй разряды кода вида страхования (гр. 3 раздела 3) X1 = 34, X2 = 144, то гр. 4 = разность суммы показателей строк с кодом вида страхования 34144, 60173 (гр. 3 разделов 1, 2), гр. 4 разделов 1, 2 формы N 11-страховщик и суммы показателей стр. 173, гр. 3 подразделов 6.1.2, 6.2.2 и 6.3.2 формы N 2-С;

468. Если первый, второй разряды кода вида страхования (гр. 3 раздела 3) X1 = 34, X2 = 144, то гр. 8 = разность суммы показателей строк с кодом вида страхования 34144, 60173 (гр. 3 разделов 1, 2), гр. 8 разделов 1, 2 формы N 11-страховщик и суммы показателей стр. 173, гр. 10 подразделов 6.1.2, 6.2.2 и 6.3.2 формы N 2-С;

469. Если первый, второй разряды кода вида страхования (гр. 3 раздела 3) X1 = 34, X2 = 145, то гр. 4 = разность суммы показателей строк с кодом вида страхования 34145, 60174 (гр. 3 разделов 1, 2), гр. 4 разделов 1, 2 формы N 11-страховщик и суммы показателей стр. 174, гр. 3 подразделов 6.1.2, 6.2.2 и 6.3.2 формы N 2-С;

470. Если первый, второй разряды кода вида страхования (гр. 3 раздела 3) X1 = 34, X2 = 145, то гр. 8 = разность суммы показателей строк с кодом вида страхования 34145, 60174 (гр. 3 разделов 1, 2), гр. 8 разделов 1, 2 формы N 11-страховщик и суммы показателей стр. 174, гр. 10 подразделов 6.1.2, 6.2.2 и 6.3.2 формы N 2-С;

471. Если наименование важнейшего вида страхования (гр. 1 раздела 3) соответствует наименованию этого вида страхования в гр. 1, стр. 147 подраздела 3.4.1 формы N 2-С, первый, второй разряды кода вида страхования которого (гр. 3 раздела 3) X1 = 34, X2 = 147, то гр. 4 = разность суммы показателей строк с кодом вида страхования 34147, 60176 (гр. 3 разделов 1, 2), в которых наименование важнейшего вида страхования (гр. 1 разделов 1, 2) соответствует наименованию этого вида страхования в гр. 1, стр. 147 подраздела 3.4.1 и стр. 176 подраздела 6.1.1 формы N 2-С, гр. 4 разделов 1, 2 формы N 11-страховщик и суммы показателей стр. 176, гр. 3 подразделов 6.1.2, 6.2.2 и 6.3.2 формы N 2-С;

472. Если наименование важнейшего вида страхования (гр. 1 раздела 3) соответствует наименованию этого вида страхования в гр. 1, стр. 147 подраздела 3.4.1 формы N 2-С, первый, второй разряды кода вида страхования которого (гр. 3 раздела 3) X1 = 34, X2 = 147, то гр. 8 = разность суммы показателей строк с кодом вида страхования 34147, 60176 (гр. 3 разделов 1, 2), в которых наименование важнейшего вида страхования (гр. 1 разделов 1, 2) соответствует наименованию этого вида страхования в гр. 1, стр. 147 подраздела 3.4.1 и стр. 176 подраздела 6.1.1 формы N 2-С, гр. 8 разделов 1, 2 формы N 11-страховщик и суммы показателей стр. 176, гр. 10 подразделов 6.1.2, 6.2.2 и 6.3.2 формы N 2-С;

473. Если первый, второй разряды кода вида страхования (гр. 3 раздела 3) X1 = 40, X2 = 111, то гр. 4 = разность суммы показателей строк с кодом вида страхования 40111, 60185 (гр. 3 разделов 1, 2), гр. 4 разделов 1, 2 формы N 11-страховщик и суммы показателей стр. 185, гр. 3 подразделов 6.1.2, 6.2.2 и 6.3.2 формы N 2-С;

474. Если первый, второй разряды кода вида страхования (гр. 3 раздела 3) X1 = 40, X2 = 111, то гр. 8 = разность суммы показателей строк с кодом вида страхования 40111, 60185 (гр. 3 разделов 1, 2), гр. 8 разделов 1, 2 формы N 11-страховщик и суммы показателей стр. 185, гр. 10 подразделов 6.1.2, 6.2.2 и 6.3.2 формы N 2-С;

475. Если первый, второй разряды кода вида страхования (гр. 3 раздела 3) X1 = 40, X2 = 115, то гр. 4 = разность суммы показателей строк с кодом вида страхования 40115, 60186 (гр. 3 разделов 1, 2), гр. 4 разделов 1, 2 формы N 11-страховщик и суммы показателей стр. 186, гр. 3 подразделов 6.1.2, 6.2.2 и 6.3.2 формы N 2-С;

476. Если первый, второй разряды кода вида страхования (гр. 3 раздела 3) X1 = 40, X2 = 115, то гр. 8 = разность суммы показателей строк с кодом вида страхования 40115, 60186 (гр. 3 разделов 1, 2), гр. 8 разделов 1, 2 формы N 11-страховщик и суммы показателей стр. 186, гр. 10 подразделов 6.1.2, 6.2.2 и 6.3.2 формы N 2-С;

477. Если первый, второй разряды кода вида страхования (гр. 3 раздела 3) X1 = 40, X2 = 120, то гр. 4 = разность суммы показателей строк с кодом вида страхования 40120, 60187 (гр. 3 разделов 1, 2), гр. 4 разделов 1, 2 формы N 11-страховщик и суммы показателей стр. 187, гр. 3 подразделов 6.1.2, 6.2.2 и 6.3.2 формы N 2-С;

478. Если первый, второй разряды кода вида страхования (гр. 3 раздела 3) X1 = 40, X2 = 120, то гр. 8 = разность суммы показателей строк с кодом вида страхования 40120, 60187 (гр. 3 разделов 1, 2), гр. 8 разделов 1, 2 формы N 11-страховщик и суммы показателей стр. 187, гр. 10 подразделов 6.1.2, 6.2.2 и 6.3.2 формы N 2-С;

479. Если первый, второй разряды кода вида страхования (гр. 3 раздела 3) X1 = 40, X2 = 125, то гр. 4 = разность суммы показателей строк с кодом вида страхования 40125, 60188 (гр. 3 разделов 1, 2), гр. 4 разделов 1, 2 формы N 11-страховщик и суммы показателей стр. 188, гр. 3 подразделов 6.1.2, 6.2.2 и 6.3.2 формы N 2-С;

480. Если первый, второй разряды кода вида страхования (гр. 3 раздела 3) X1 = 40, X2 = 125, то гр. 8 = разность суммы показателей строк с кодом вида страхования 40125, 60188 (гр. 3 разделов 1, 2), гр. 8 разделов 1, 2 формы N 11-страховщик и суммы показателей стр. 188, гр. 10 подразделов 6.1.2, 6.2.2 и 6.3.2 формы N 2-С;

481. Если первый, второй разряды кода вида страхования (гр. 3 раздела 3) X1 = 40, X2 = 130, то гр. 4 = разность суммы показателей строк с кодом вида страхования 40130, 60189 (гр. 3 разделов 1, 2), гр. 4 разделов 1, 2формы N 11-страховщик и суммы показателей стр. 189, гр. 3 подразделов 6.1.2, 6.2.2 и 6.3.2 формы N 2-С;

482. Если первый, второй разряды кода вида страхования (гр. 3 раздела 3) X1 = 40, X2 = 130, то гр. 8 = разность суммы показателей строк с кодом вида страхования 40130, 60189 (гр. 3 разделов 1, 2), гр. 8 разделов 1, 2 формы N 11-страховщик и суммы показателей стр. 189, гр. 10 подразделов 6.1.2, 6.2.2 и 6.3.2 формы N 2-С;

483. Если первый, второй разряды кода вида страхования (гр. 3 раздела 3) X1 = 40, X2 = 151, то гр. 4 = разность суммы показателей строк с кодом вида страхования 40151, 60193 (гр. 3 разделов 1, 2), гр. 4 разделов 1, 2 формы N 11-страховщик и суммы показателей стр. 193, гр. 3 подразделов 6.1.2, 6.2.2 и 6.3.2 формы N 2-С;

484. Если первый, второй разряды кода вида страхования (гр. 3 раздела 3) X1 = 40, X2 = 151, то гр. 8 = разность суммы показателей строк с кодом вида страхования 40151, 60193 (гр. 3 разделов 1, 2), гр. 8 разделов 1, 2 формы N 11-страховщик и суммы показателей стр. 193, гр. 10 подразделов 6.1.2, 6.2.2 и 6.3.2 формы N 2-С;

485. Если первый, второй разряды кода вида страхования (гр. 3 раздела 3) X1 = 40, X2 = 155, то гр. 4 = разность суммы показателей строк с кодом вида страхования 40155, 60194 (гр. 3 разделов 1, 2), гр. 4 разделов 1, 2 формы N 11-страховщик и суммы показателей стр. 194, гр. 3 подразделов 6.1.2, 6.2.2 и 6.3.2 формы N 2-С;

486. Если первый, второй разряды кода вида страхования (гр. 3 раздела 3) X1 = 40, X2 = 155, то гр. 8 = разность суммы показателей строк с кодом вида страхования 40155, 60194 (гр. 3 разделов 1, 2), гр. 8 разделов 1, 2 формы N 11-страховщик и суммы показателей стр. 194, гр. 10 подразделов 6.1.2, 6.2.2 и 6.3.2 формы N 2-С;

487. Если первый, второй разряды кода вида страхования (гр. 3 раздела 3) X1 = 40, X2 = 157, то гр. 4 = разность суммы показателей строк с кодом вида страхования 40157, 60195 (гр. 3 разделов 1, 2), гр. 4 разделов 1, 2 формы N 11-страховщик и суммы показателей стр. 195, гр. 3 подразделов 6.1.2, 6.2.2 и 6.3.2 формы N 2-С;

488. Если первый, второй разряды кода вида страхования (гр. 3 раздела 3) X1 = 40, X2 = 157, то гр. 8 = разность суммы показателей строк с кодом вида страхования 40157, 60195 (гр. 3 разделов 1, 2), гр. 8 разделов 1, 2 формы N 11-страховщик и суммы показателей стр. 195, гр. 10 подразделов 6.1.2, 6.2.2 и 6.3.2 формы N 2-С;

489. Если первый, второй разряды кода вида страхования (гр. 3 раздела 3) X1 = 40, X2 = 158, то гр. 4 = разность суммы показателей строк с кодом вида страхования 40158, 60196 (гр. 3 разделов 1, 2), гр. 4 разделов 1, 2 формы N 11-страховщик и суммы показателей стр. 196, гр. 3 подразделов 6.1.2, 6.2.2 и 6.3.2 формы N 2-С;

490. Если первый, второй разряды кода вида страхования (гр. 3 раздела 3) X1 = 40, X2 = 158, то гр. 8 = разность суммы показателей строк с кодом вида страхования 40158, 60196 (гр. 3 разделов 1, 2), гр. 8 разделов 1, 2 формы N 11-страховщик и суммы показателей стр. 196, гр. 10 подразделов 6.1.2, 6.2.2 и 6.3.2 формы N 2-С;

491. Если первый, второй разряды кода вида страхования (гр. 3 раздела 3) X1 = 40, X2 = 160, то гр. 4 = разность суммы показателей строк с кодом вида страхования 40160, 60197 (гр. 3 разделов 1, 2), гр. 4 разделов 1, 2 формы N 11-страховщик и суммы показателей стр. 197, гр. 3 подразделов 6.1.2, 6.2.2 и 6.3.2 формы N 2-С;

492. Если первый, второй разряды кода вида страхования (гр. 3 раздела 3) X1 = 40, X2 = 160, то гр. 8 = разность суммы показателей строк с кодом вида страхования 40160, 60197 (гр. 3 разделов 1, 2), гр. 8 разделов 1, 2 формы N 11-страховщик и суммы показателей стр. 197, гр. 10 подразделов 6.1.2, 6.2.2 и 6.3.2 формы N 2-С.

493. Если первый, второй разряды кода вида страхования (гр. 3 раздела 3) X1 = 22, X2 = 110, X1 = 60, X2 = 108, то гр. 4, 8 сумма показателей строк с кодом вида страхования (гр. 3 раздела 3) 22111, 22112, 60109, 60110 и строки, в которой наименование важнейшего вида страхования (гр. 1 раздела 3) соответствует наименованию этого вида страхования в гр. 1, стр. 115 подраздела 2.2.1, стр. 111 подраздела 6.1.1 формы N 2-С, первый, второй разряды кода вида страхования (гр. 3 раздела 3) X1 = 22, X2 = 115, X1 = 60, X2 = 111, гр. 4, 8.

494. Если первый, второй разряды кода вида страхования (гр. 3 раздела 3) X1 = 31, X2 = 140, X1 = 60, X2 = 120, то гр. 4, 8 сумма показателей строк с кодом вида страхования (гр. 3 раздела 3) 31150, 31160, 60121, 60122, гр. 4, 8.

495. Если первый, второй разряды кода вида страхования (гр. 3 раздела 3) X1 = 33, X2 = 120, X1 = 60, X2 = 124, то гр. 4, 8 сумма показателей строк с кодом вида страхования (гр. 3 раздела 3) 33121, 33125, 33128, 33129, 60125, 60126, 60129, 60130, гр. 4, 8.

496. Если первый, второй разряды кода вида страхования (гр. 3 раздела 3) X1 = 33, X2 = 130, X1 = 60, X2 = 131, то гр. 4, 8 сумма показателей строк с кодом вида страхования (гр. 3 раздела 3) 33131, 33132, 60132, 60133, гр. 4, 8 и строки, в которой наименование важнейшего вида страхования (гр. 1 раздела 3) соответствует наименованию этого вида страхования в гр. 1, стр. 135 подраздела 3.3.1, стр. 134 подраздела 6.1.1 формы N 2-С, первый, второй разряды кода вида страхования (гр. 3 раздела 3) X1 = 33, X2 = 135, X1 = 60, X2 = 134, гр. 4, 8.

497. Если первый, второй разряды кода вида страхования (гр. 3 раздела 3) X1 = 33, X2 = 140, X1 = 60, X2 = 135, то гр. 4, 8 сумма показателей строк с кодом вида страхования (гр. 3 раздела 3) 33141, 33142, 60136, 60137 и строки, в которой наименование важнейшего вида страхования (гр. 1 раздела 3) соответствует наименованию этого вида страхования в гр. 1, стр. 145 подраздела 3.3.1, стр. 138 подраздела 6.1.1 формы N 2-С, первый, второй разряды кода вида страхования (гр. 3 раздела 3) X1 = 33, X2 = 145, X1 = 60, X2 = 138, гр. 4, 8.

498. Если первый, второй разряды кода вида страхования (гр. 3 раздела 3) X1 = 32, X2 = 110, X1 = 60, X2 = 140, то гр. 4, 8 сумма показателей строк с кодом вида страхования (гр. 3 раздела 3) 32111, 32115, 60141, 60143 и строк, в которых наименование важнейших видов страхования (гр. 1 раздела 3) соответствует наименованию этого вида страхования в гр. 1, стр. 112, 119 подраздела 3.2.1, стр. 142, 144 подраздела 6.1.1 формы N 2-С, первый, второй разряды кода вида страхования (гр. 3 раздела 3) X1 = 32, X2 = 112, 119, X1 = 60, X2 = 142, 144, гр. 4, 8.

499. Если первый, второй разряды кода вида страхования (гр. 3 раздела 3) X1 = 32, X2 = 115, X1 = 60, X2 = 143, то гр. 4, 8 сумма показателей строк с кодом вида страхования (гр. 3 раздела 3) 32116, 32117, 60431, 60432, гр. 4, 8.

500. Если первый, второй разряды кода вида страхования (гр. 3 раздела 3) X1 = 32, X2 = 120, X1 = 60, X2 = 145, то гр. 4, 8 сумма показателей строк с кодом вида страхования (гр. 3 раздела 3) 32121, 60146 и строки, в которой наименование важнейшего вида страхования (гр. 1 раздела 3) соответствует наименованию этого вида страхования в гр. 1, стр. 125 подраздела 3.2.1, стр. 147 подраздела 6.1.1 формы N 2-С, первый, второй разряды кода вида страхования (гр. 3 раздела 3) X1 = 32, X2 = 125, X1 = 60, X2 = 147, гр. 4, 8.

501. Если первый, второй разряды кода вида страхования (гр. 3 раздела 3) X1 = 32, X2 = 130, X1 = 60, X2 = 148, то гр. 4, 8 сумма показателей строк с кодом вида страхования (гр. 3 раздела 3) 32131, 60149 и строки, в которой наименование важнейшего вида страхования (гр. 1 раздела 3) соответствует наименованию этого вида страхования в гр. 1, стр. 135 подраздела 3.2.1, стр. 150 подраздела 6.1.1 формы N 2-С, первый, второй разряды кода вида страхования (гр. 3 раздела 3) X1 = 32, X2 = 135, X1 = 60, X2 = 150, гр. 4, 8.

502. Если первый, второй разряды кода вида страхования (гр. 3 раздела 3) X1 = 32, X2 = 140, X1 = 60, X2 = 151, то гр. 4, 8 сумма показателей строк с кодом вида страхования (гр. 3 раздела 3) 32150, 32160, 60152, 60155, гр. 4, 8.

503. Если первый, второй разряды кода вида страхования (гр. 3 раздела 3) X1 = 32, X2 = 150, X1 = 60, X2 = 152, то гр. 4, 8 сумма показателей гр. 4, 8 строк с кодом вида страхования (гр. 3 раздела 3) 32151, 60153 и строки, в которой наименование важнейшего вида страхования (гр. 1 раздела 3) соответствует наименованию этого вида страхования в гр. 1, стр. 155 подраздела 3.2.1, стр. 154 подраздела 6.1.1 формы N 2-С, первый, второй разряды кода вида страхования (гр. 3 раздела 3) X1 = 32, X2 = 155, X1 = 60, X2 = 154, гр. 4, 8.

504. Если первый, второй разряды кода вида страхования (гр. 3 раздела 3) X1 = 32, X2 = 160, X1 = 60, X2 = 155, то гр. 4, 8 сумма показателей строк с кодом вида страхования (гр. 3 раздела 3) 32161, 60156 и строки, в которой наименование важнейшего вида страхования (гр. 1 раздела 3) соответствует наименованию этого вида страхования в гр. 1, стр. 165 подраздела 3.2.1, стр. 157 подраздела 6.1.1 формы N 2-С, первый, второй разряды кода вида страхования (гр. 3 раздела 3) X1 = 32, X2 = 165, X1 = 60, X2 = 157, гр. 4, 8.

505. Если первый, второй разряды кода вида страхования (гр. 3 раздела 3) X1 = 34, X2 = 110, X1 = 60, X2 = 158, то гр. 4, 8 сумма показателей строк с кодом вида страхования (гр. 3 раздела 3) 34111, 60159 и строки, в которой наименование важнейшего вида страхования (гр. 1 раздела 3) соответствует наименованию этого вида страхования в гр. 1, стр. 115 подраздела 3.4.1, стр. 160 подраздела 6.1.1 формы N 2-С, первый, второй разряды кода вида страхования (гр. 3 раздела 3) X1 = 34, X2 = 115, X1 = 60, X2 = 160, гр. 4, 8.

506. Если первый, второй разряды кода вида страхования (гр. 3 раздела 3) X1 = 34, X2 = 120, X1 = 60, X2 = 161, то гр. 4, 8 сумма показателей строк с кодом вида страхования (гр. 3 раздела 3) 34121, 34125, 60162, 60163, гр. 4, 8.

507. Если первый, второй разряды кода вида страхования (гр. 3 раздела 3) X1 = 34, X2 = 130, X1 = 60, X2 = 164, то гр. 4, 8 сумма показателей строк с кодом вида страхования (гр. 3 раздела 3) 34131, 34132, 34133, 60165, 60166, 60167 и строки, в которой наименование важнейшего вида страхования (гр. 1 раздела 3) соответствует наименованию этого вида страхования в гр. 1, стр. 135 подраздела 3.4.1, стр. 168 подраздела 6.1.1 формы N 2-С, первый, второй разряды кода вида страхования (гр. 3 раздела 3) X1 = 34, X2 = 135, X1 = 60, X2 = 168, гр. 4, 8.

508. Если первый, второй разряды кода вида страхования (гр. 3 раздела 3) X1 = 34, X2 = 140, X1 = 60, X2 = 169, то гр. 4, 8 сумма показателей строк с кодом вида страхования (гр. 3 раздела 3) 34141, 34142, 34143, 34144, 34145, 60170, 60171, 60172, 60173, 60174 и строки, в которой наименование важнейшего вида страхования (гр. 1 раздела 3) соответствует наименованию этого вида страхования в гр. 1, стр. 147 подраздела 3.4.1, стр. 176 подраздела 6.1.1 формы N 2-С, первый, второй разряды кода вида страхования (гр. 3 раздела 3) X1 = 34, X2 = 147, X1 = 60, X2 = 176, гр. 4, 8.

509. Стр. 160, гр. 4, 8 сумма показателей строк с кодом вида страхования (гр. 3 раздела 3) 40111, 40115, 40120, 40125, 40130, 60185, 60186, 60187, 60188, 60189, гр. 4, 8.

510. Стр. 180, гр. 4, 8 сумма показателей строк с кодом вида страхования (гр. 3 раздела 3) 40151, 40155, 40157, 40158, 40160, 60193, 60194, 60195, 60196, 60197, гр. 4, 8.

Взаимоувязка показателей формы N 11-страховщик "Информация по операционному сегменту" с показателями формы N 2-страховщик "Отчет о прибылях и убытках страховой организации"

1. Стр. 200, гр. 4 раздела 1 + стр. 200, гр. 4 раздела 2 = форма N 2-страховщик, стр. 081, гр. 3.

2. Стр. 200, гр. (5 - 6) раздела 1 + стр. 200, гр. (5 - 6) раздела 2 = форма N 2-страховщик, стр. 091, гр. 3.

3. Стр. 200, гр. 8 раздела 1 + стр. 200, гр. 8 раздела 2 = форма N 2-страховщик, стр. 111, гр. 3.

4. Стр. 200, гр. (9 - 10) раздела 1 + стр. 200, гр. (9 - 10) раздела 2 = форма N 2-страховщик, стр. 121, гр. 3.

5. Стр. 200, гр. 12 раздела 1 + стр. 200, гр. 12 раздела 2 = форма N 2-страховщик, стр. 130, гр. 3.

6. Стр. 200, гр. 13 раздела 1 = форма N 2-страховщик, стр. 150, гр. 3.

7. Стр. 200, гр. 4 раздела 3 = форма N 2-страховщик, стр. 080, гр. 3.

8. Стр. 200, гр. (5 - 6) раздела 3 = форма N 2-страховщик, стр. 090, гр. 3.

9. Стр. 200, гр. 8 раздела 3 = форма N 2-страховщик, стр. 110, гр. 3.

10. Стр. 200, гр. (9 - 10) раздела 3 = форма N 2-страховщик, стр. 120, гр. 3.

11. Стр. 200, гр. 11 раздела 3 = форма N 2-страховщик, стр. 100, гр. 3.

12. Стр. 200, гр. 14 раздела 3 = форма N 2-страховщик, стр. 160, гр. 3.

13. Стр. 200, гр. 15 раздела 3 = форма N 2-страховщик, стр. 170, гр. 3.

14. Стр. 200, гр. 13 раздела 3 = стр. 200, гр. 13 раздела 1.

16. Информация о дочерних и зависимых обществах (форма N 12-страховщик)

Раздел 1 "Информация о дочерних обществах"

Подраздел 1.1 "Страховые организации"

1. Стр. "Итого", гр. 4, 6 = сумма показателей предыдущих строк подраздела 1.1, гр. 4, 6.

2. Если гр. 4 0, то гр. 1, 2, 3, 5 0.

3. Если гр. 6 0, то гр. 1, 2, 3, 7 0.

Подраздел 1.2 "Общества, не являющиеся страховыми организациями"

1. Стр. "Итого", гр. 5, 7 = сумма показателей предыдущих строк подраздела 1.2, гр. 5, 7.

2. Если гр. 5 0, то гр. 1, 2, 3, 4, 6 0.

3. Если гр. 7 0, то гр. 1, 2, 3, 4, 8 0.

Раздел 2 "Информация о зависимых обществах"

Подраздел 2.1 "Страховые организации"

1. Стр. "Итого", гр. 4, 6 = сумма показателей предыдущих строк подраздела 2.1, гр. 4, 6.

2. Если гр. 4 0, то гр. 1, 2, 3, 5 0.

3. Если гр. 6 0, то гр. 1, 2, 3, 7 0.

Подраздел 2.2 "Общества, не являющиеся страховыми организациями"

1. Стр. "Итого", гр. 5, 7 = сумма показателей предыдущих строк подраздела 2.2, гр. 5, 7.

2. Если гр. 5 0, то гр. 1, 2, 3, 4, 6 0.

3. Если гр. 7 0, то гр. 1, 2, 3, 4, 8 0.

4. Сумма показателей строк "Итого", подразделов 1.1, гр. 4; 1.2, гр. 5; 2.1, гр. 4; 2.2, гр. 5 = форма N 1-страховщик, стр. (131 + 133), гр. 3.

5. Сумма показателей строк "Итого", подразделов 1.1, гр. 6; 1.2, гр. 7; 2.1, гр. 6; 2.2, гр. 7 = форма N 1-страховщик, стр. (131 + 133), гр. 4.

17. Информация о филиалах и представительствах (форма N 13-страховщик)

Раздел 1 "Филиалы"

Раздел 2 "Представительства"

1. Если гр. 2 0, то гр. 1, 3, 4 0.

2. Значение в гр. 4 должно состоять из двух цифровых десятичных знаков и присутствовать в Общероссийском классификаторе объектов административно-территориального деления (ОКАТО) или из трех цифровых десятичных знаков и присутствовать в Общероссийском классификаторе стран мира (ОКСМ).

18. Отчет о составе активов, принимаемых для покрытия собственных средств (форма N 14-страховщик)

Соотношения по взаимоувязке показателей

Раздел 1 "Собственные средства страховой организации и активы, принимаемые для их покрытия"

1. Стр. 010, гр. 3, 4 = форма N 1-страховщик, стр. (410 - 415), гр. 3, 4.

2. Стр. 011, гр. 3, 4 = форма N 1-страховщик, стр. 420, гр. 3, 4.

3. Стр. 012, гр. 3, 4 = форма N 1-страховщик, стр. 430, гр. 3, 4.

4. Стр. 013, гр. 3, 4 = форма N 1-страховщик, стр. 470, гр. 3, 4.

5. Стр. 014, гр. 3, 4 = сумма показателей строк 010, 011, 012, 013, гр. 3, 4.

6. Если стр. 014, гр. 3, 4 > 0 и в файле описания страховой организации поле "Страхование жизни" = 1 и поле "Перестрахование принятое" = 0, то стр. 015, гр. 3, 4 = 60000.

7. Если стр. 014, гр. 3, 4 > 0 и в файле описания страховой организации поле "Страхование жизни" = 0, поле "Страхование иное, чем страхование жизни" = 1 и поле "Перестрахование принятое" = 0, то стр. 015, гр. 3, 4 = 30000.

8. Если стр. 014, гр. 3, 4 > 0 и в файле описания страховой организации поле "Страхование жизни" = 0, поле "Перестрахование принятое" = 0, поле "Обязательное медицинское страхование" = 1 и поле "Страхование иное, чем страхование жизни" = 1 или 0, то стр. 015, гр. 3, 4 = 30000.

9. Если стр. 014, гр. 3, 4 > 0 и в файле описания страховой организации поле "Страхование жизни" = 0, поле "Обязательное страхование гражданской ответственности владельцев транспортных средств" = 1 и поле "Перестрахование принятое" = 0, то стр. 015, гр. 3, 4 = 30000.

10. Если стр. 014, гр. 3, 4 > 0 и в файле описания страховой организации поле "Перестрахование принятое" = 1, то стр. 015, гр. 3, 4 = 120000.

11. Если стр. 014, гр. 3, 4 > 0, то стр. 016, гр. 3, 4 = стр. (002 + 003), гр. 3, 4 форма N 6-страховщик.

12. Если стр. 015, гр. 3, 4 < стр. 014, гр. 3, 4 и стр. 015, гр. 3, 4 > стр. 016, гр. 3, 4, то стр. 017, гр. 3, 4 = стр. (014 - 015), гр. 3, 4, стр. 018 гр. 3, 4 = 0.

13. Если стр. 015, гр. 3, 4 стр. 014, гр. 3, 4 и стр. 015, гр. 3, 4 > стр. 016, гр. 3, 4, то стр. 017, гр. 3, 4 = 0, стр. 018, гр. 3, 4 = 0.

14. Если стр. 015, гр. 3, 4 < стр. 014, гр. 3, 4 и стр. 015, гр. 3, 4 = стр. 016, гр. 3, 4, и при определении соответствия активов, принимаемых для покрытия собственных средств, в размере наибольшего из двух показателей, указанных в пункте 7 Требований, страховая организация принимает минимальный размер уставного капитала, то стр. 017, гр. 3, 4 = стр. (014 - 015), гр. 3, 4, стр. 018, гр. 3, 4 = 0.

15. Если стр. 016, гр. 3, 4 < стр. 014, гр. 3, 4 и стр. 016, гр. 3, 4 > стр. 015, гр. 3, 4, то стр. 018, гр. 3, 4 = стр. (014 - 016), гр. 3, 4, стр. 017, гр. 3, 4 = 0.

16. Если стр. 016, гр. 3, 4 стр. 014, гр. 3, 4 и стр. 016, гр. 3, 4 > стр. 015, гр. 3, 4, то стр. 018, гр. 3, 4 = 0, стр. 017, гр. 3, 4 = 0.

17. Если стр. 016, гр. 3, 4 < стр. 014, гр. 3, 4 и стр. 016, гр. 3, 4 = стр. 015, гр. 3, 4, и при определении соответствия активов, принимаемых для покрытия собственных средств, в размере наибольшего из двух показателей, указанных в пункте 7 Требований, страховая организация принимает нормативный размер маржи платежеспособности, то стр. 018, гр. 3, 4 = стр. (014 - 016), гр. 3, 4, стр. 017, гр. 3, 4 = 0.

18. Если стр. 017 или 018, гр. 3, 4 > 0, форма N 5-страховщик, стр. (476 + 482), гр. 3, 4 > 0, то стр. 019, гр. 3, 4 = форма N 5-страховщик, стр. (476 + 482), гр. 3, 4.

19. Стр. 020, гр. 3, 4, 5, 6 = сумма показателей строк 021, 022, 023, 031, 032, 033 гр. 3, 4, 5, 6.

20. Стр. 040, гр. 3, 4, 5, 6 = сумма показателей строк 041, 042, гр. 3, 4, 5, 6.

21. Стр. 050, гр. (3 + 4), (5 + 6) = раздел 6, стр. "Итого", гр. 9, 11.

22. Стр. 070, гр. (3 + 4), (5 + 6) = раздел 8, стр. "Итого", гр. 7, 9.

23. Стр. 080, гр. (3 + 4), (5 + 6) = раздел 9, стр. "Итого", гр. 7, 8.

24. Стр. 085, гр. (3 + 4), (5 + 6) = раздел 7, стр. "Итого", гр. 6, 8.

25. Стр. 090, гр. (3 + 4), (5 + 6) = раздел 10, стр. "Итого", гр. 7, 8.

26. Стр. 100, гр. (3 + 4), (5 + 6) = раздел 11, стр. "Итого", гр. 7, 8.

27. Стр. 101, гр. 3, 4, 5, 6 стр. 100, гр. 3, 4, 5, 6.

28. Стр. 102, гр. 3, 4, 5, 6 стр. 101, гр. 3, 4, 5, 6.

29. Стр. 110, гр. (3 + 4), (5 + 6) = раздел 14, стр. "Итого", гр. 5, 6.

30. Стр. 160, гр. (3 + 4), (5 + 6) = раздел 15, стр. "Итого", гр. (5 + 7), (6 + 8).

31. Стр. 160, гр. 3, 4, 5, 6 = стр. (161 + 162 + 163), гр. 3, 4, 5, 6.

32. Стр. 161, гр. 3, 4, 5, 6 стр. 160, гр. 3, 4, 5, 6.

33. Стр. 162, гр. (3 + 4), (5 + 6) раздел 15, стр. "Итого", гр. 5, 6.

34. Стр. 162, гр. 3, 4, 5, 6 стр. 160, гр. 3, 4, 5, 6.

35. Стр. 163, гр. (3 + 4), (5 + 6) раздел 15, стр. "Итого", гр. 7, 8.

36. Стр. 163, гр. 3, 4, 5, 6 стр. 160, гр. 3, 4, 5, 6.

37. Стр. (170 + 171), гр. (3 + 4), (5 + 6) = раздел 16, стр. "Итого", гр. 5, 6.

38. Стр. 175, гр. (3 + 4), (5 + 6) = раздел 12, стр. "Итого", гр. 4, 5.

39. Стр. 185, гр. 4, 6 = стр. (186 + 187), гр. 4, 6.

40. Стр. (186 + 187), гр. 4, 6 = раздел 17, стр. "Итого", гр. 5, 6.

41. Стр. (188 + 189), гр. 4, 6 = раздел 13, стр. "Итого", гр. 4, 5.

42. Стр. 190, гр. 3, 5 = сумма показателей строк 020, 040, 050, 070, 080, 085, 090, 100, 104, 110, 155, 160, 170, 171, 175, гр. 3, 5.

43. Стр. 190, гр. 4, 6 = сумма показателей строк 020, 040, 050, 070, 080, 085, 090, 100, 104, 110, 155, 160, 170, 171, 175, 185, 188, 189, гр. 4, 6.

44. Стр. 190, гр. 3, 4, 5, 6 = стр. (191 + 192), гр. 3, 4, 5, 6.

Если стр. 014, гр. 3, 4 > стр. 015, гр. 3, 4 и стр. 015, гр. 3, 4 > стр. 016, гр. 3, 4 или стр. 014, гр. 3, 4 > стр. 015, гр. 3, 4, стр. 015, гр. 3, 4 = стр. 016, гр. 3, 4, стр. 017, гр. 3, 4 > 0 и стр. 018, гр. 3, 4 = 0, то в разделах 2 - 12, 14 - 16 первый разряд кода всех видов активов, представляющих собственные средства страховой организации в размере минимального уставного капитала, (X1) = 01 или 02 или 03 или 04.

Если стр. 014, гр. 3, 4 = стр. 015, гр. 3, 4 и стр. 015, гр. 3, 4 > стр. 016, гр. 3, 4, стр. 017, гр. 3, 4 > 0 и стр. 018, гр. 3, 4 = 0, то в разделах 2 - 12, 14 - 16 первый разряд кода всех видов активов, представляющих собственные средства страховой организации в размере минимального уставного капитала, (X1) = 01 или 02.

Если первый разряд кода всех видов активов, представляющих собственные средства страховой организации, (X1) = 01 или 02, то для гр. 3, 5 раздела 1 применяются контрольные соотношения 45 - 69:

45. Стр. 021, гр. 3, 5 = сумма вложений в облигации в разделе 2, гр. 5, 7, первый, второй, третий, пятый разряды кода ценной бумаги которых (гр. 3 раздела 2) X1 = 01 или 02, X2 = 1 или 2 или 3, X3 = 1, X5 = 1;

46. Стр. 022, гр. 3, 5 = сумма вложений в облигации в разделе 3, гр. 9, 11, первый, второй, третий, пятый разряды кода ценной бумаги которых (гр. 7 раздела 3) X1 = 01 или 02, X2 = 1 или 2 или 3, X3 = 1, X5 = 2;

47. Стр. 023, гр. 3, 5 = сумма вложений в облигации в разделе 3, гр. 9, 11, первый, второй, третий, пятый разряды кода ценной бумаги которых (гр. 7 раздела 3) X1 = 01 или 02, X2 = 1 или 2 или 3, X3 = 1, X5 = 3;

48. Стр. 031, гр. 3, 5 = сумма вложений в облигации с ипотечным покрытием в разделе 4, гр. 9, 11, первый, второй, третий, пятый разряды кода ценной бумаги которых (гр. 7 раздела 4) X1 = 01 или 02, X2 = 1 или 2 или 3, X3 = 6, X5 = 4 или 6; X1 = 01 или 02, X2 = 4 или 5 или 6 или 7 или 8 или 9, X3 = 6, X5 = 4 или 7;

49. Стр. 032, гр. 3, 5 = сумма вложений в жилищные облигации с ипотечным покрытием в разделе 4, гр. 9, 11, первый, второй, третий, пятый разряды кода ценной бумаги которых (гр. 7 раздела 4) X1 = 01 или 02, X2 = 1 или 2 или 3, X3 = 7, X5 = 4 или 6;

50. Стр. 033, гр. 3, 5 = сумма вложений в облигации в разделе 4, гр. 9, 11, первый, второй, третий, пятый разряды кода ценной бумаги которых (гр. 7 раздела 4) X1 = 01 или 02, X2 = 1 или 2 или 3, X3 = 1, X5 = 4 или 7 или 8; X1 = 01 или 02, X2 = 4 или 5 или 6 или 7 или 8 или 9, X3 = 1, X5 = 1 или 2 или 3 или 4 или 7 или 8;

51. Стр. 041, гр. 3, 5 = сумма вложений в векселя банков в разделе 5, гр. 11, 12, первый, второй, третий, пятый разряды кода ценной бумаги которых (гр. 10 раздела 5) X1 = 01 или 02, X2 = 1 или 2 или 3, X3 = 4, X5 = 4; X1 = 01 или 02, X2 = 4 или 5 или 6, X3 = 4, X5 = 4;

52. Стр. 042, гр. 3, 5 = сумма вложений в векселя организаций иных, чем банки, в разделе 5, гр. 11, 12, первый, второй, третий, пятый, разряды кода ценной бумаги которых (гр. 10 раздела 5) X1 = 01 или 02, X2 = 1 или 2 или 3, X3 = 4, X5 = 7 или 8; X1 = 01 или 02, X2 = 4 или 5 или 6, X3 = 4, X5 = 7 или 8;

53. Стр. 050, гр. 3, 5 = сумма вложений в акции в разделе 6, гр. 9, 11, первый разряд кода ценной бумаги которых (гр. 7 раздела 6) X1 = 01 или 02;

54. Стр. 070, гр. 3, 5 = сумма вложений в инвестиционные паи в разделе 8, гр. 7, 9, первый разряд кода ценной бумаги которых (гр. 5 раздела 8) X1 = 01 или 02;

55. Стр. 080, гр. 3, 5 = сумма вложений в сертификаты долевого участия в общих фондах банковского управления в разделе 9, гр. 7, 8, первый разряд кода сертификата долевого участия которых (гр. 6 раздела 9) X1 = 01 или 02;

56. Стр. 085, гр. 3, 5 = сумма вложений в ипотечные сертификаты участия в разделе 7, гр. 6, 8, первый разряд кода ценной бумаги которых (гр. 4 раздела 7) X1 = 01 или 02;

57. Стр. 090, гр. 3, 5 = сумма вложений в недвижимое имущество в разделе 10, гр. 7, 8, первый разряд кода недвижимого имущества которых (гр. 6 раздела 10) X1 = 01 или 02;

58. Стр. 100, гр. 3, 5 = сумма банковских вкладов в разделе 11, гр. 7, 8, первый разряд кода банковского вклада которых (гр. 6 раздела 11) X1 = 01 или 02;

59. Стр. 101, гр. 3, 5 = сумма банковских вкладов в разделе 11, гр. 7, 8, первый, пятый разряды кода банковского вклада которых (гр. 6 раздела 11) X1 = 01 или 02, X5 = 1 или 2;

60. Стр. 102, гр. 3, 5 = сумма банковских вкладов, удостоверенных депозитными сертификатами, в разделе 11, гр. 7, 8, первый, пятый разряды кода банковского вклада которых (гр. 6 раздела 11) X1 = 01 или 02, X5 = 1.

61. Стр. 110, гр. 3, 5 = сумма дебиторской задолженности организаций и физических лиц в разделе 14, гр. 5, 6, первый разряд кода дебиторской задолженности которых (гр. 4 раздела 14) X1 = 01 или 02;

62. Стр. 161, гр. 3, 5 = сумма денежной наличности в разделе 15, гр. (5 + 7), (6 + 8), первый, третий, пятый разряды кода денежных средств которых (гр. 4 раздела 15) X1 = 01 или 02, X3 = 5, X5 = 1 или 2 или 3 или 4 или 5 или 6;

63. Стр. 162, гр. 3, 5 = сумма денежных средств на счетах в банках в разделе 15, гр. 5, 6, первый, третий, пятый разряды кода денежных средств которых (гр. 4 раздела 15) X1 = 01 или 02, X3 = 1 или 2 или 3, X5 = 6;

64. Стр. 163, гр. 3, 5 = сумма денежных средств на счетах в банках в разделе 15, гр. 7, 8, первый, третий, пятый разряды кода денежных средств которых (гр. 4 раздела 15) X1 = 01 или 02, X3 = 1 или 2 или 3, X5 = 1 или 2 или 3 или 4 или 5;

65. Стр. 170, гр. 3, 5 = сумма вложений в слитки золота и серебра в разделе 16, гр. 5, 6, первый, третий, четвертый разряды кода слитков которых (гр. 4 раздела 16) X1 = 01 или 02, X3 = 9, X4 = 4 или 5;

66. Стр. 171, гр. 3, 5 = сумма вложений в слитки платины и палладия, памятные монеты Российской Федерации из драгоценных металлов в разделе 16, гр. 5, 6, первый, третий, четвертый разряды кода слитков которых (гр. 4 раздела 16) X1 = 01 или 02, X3 = 9, X4 = 6 или 7 или 8;

67. Стр. 175, гр. 3, 5 = сумма активов, необходимых для осуществления финансово-хозяйственной деятельности, за исключением недвижимого имущества, в разделе 12, гр. 4, 5, первый разряд кода активов, необходимых для осуществления финансово-хозяйственной деятельности, за исключением недвижимого имущества, которых (гр. 3 раздела 12) X1 = 01 или 02;

68. Стр. 191, гр. 3, 5 = сумма стоимости активов в разделе 1, стр. 104, гр. 3, 5; стр. 155, гр. 3, 5; разделах 2, гр. 5, 7; 3, гр. 9, 11; 4, гр. 9, 11; 5, гр. 11, 12; 6, гр. 9, 11; 7, гр. 6, 8; 8, гр. 7, 9; 9, гр. 7, 8; 10, гр. 7, 8; 11, гр. 7, 8; 12, гр. 4, 5; 14, гр. 5, 6; 15, гр. (5 + 7), (6 + 8); 16, гр. 5, 6, первый, второй разряды кода которых (гр. 3 разделов 2, 12, гр. 4 разделов 7, 14, 15, 16, гр. 5 раздела 8, гр. 6 раздела 9, 10, 11, гр. 7 разделов 3, 4, 6, гр. 10 раздела 5) X1 = 01 или 02, X2 = 1 или 2 или 3;

69. Стр. 192, гр. 3, 5 = сумма стоимости активов в разделах 4, гр. 9, 11; 5, гр. 11, 12; 6, гр. 9, 11; 10, гр. 7, 8; 11, гр. 7, 8; 12, гр. 4, 5; 14, гр. 5, 6; 15, гр. (5 + 7), (6 + 8), первый, второй разряды кода которых (гр. 3 раздела 12, гр. 4 разделов 14, 15, гр. 5 раздела 8, гр. 6 разделов 10, 11, гр. 7 разделов 4, 6, гр. 10 раздела 5) X1 = 01 или 02, X2 = 4 или 5 или 6 или 7 или 8 или 9.

Если первый разряд кода всех видов активов, представляющих собственные средства страховой организации, в размере, превышающем минимальный размер уставного капитала, (X1) = 03 или 04, то для гр. 4, 6 раздела 1 применяются контрольные соотношения 70 - 98:

70. Стр. 021, гр. 4, 6 = сумма вложений в облигации в разделе 2, гр. 5, 7, первый, второй, третий, пятый разряды кода ценной бумаги которых (гр. 3 раздела 2) X1 = 03 или 04, X2 = 1 или 2 или 3, X3 = 1, X5 = 1;

71. Стр. 022, гр. 4, 6 = сумма вложений в облигации в разделе 3, гр. 9, 11, первый, второй, третий, пятый разряды кода ценной бумаги которых (гр. 7 раздела 3) X1 = 03 или 04, X2 = 1 или 2 или 3, X3 = 1, X5 = 2;

72. Стр. 023, гр. 4, 6 = сумма вложений в облигации в разделе 3, гр. 9, 11, первый, второй, третий, пятый разряды кода ценной бумаги которых (гр. 7 раздела 3) X1 = 03 или 04, X2 = 1 или 2 или 3, X3 = 1, X5 = 3;

73. Стр. 031, гр. 4, 6 = сумма вложений в облигации с ипотечным покрытием в разделе 4, гр. 9, 11, первый, второй, третий, пятый разряды кода ценной бумаги которых (гр. 7 раздела 4) X1 = 03 или 04, X2 = 1 или 2 или 3, X3 = 6, X5 = 4 или 6; X1 = 03 или 04, X2 = 4 или 5 или 6 или 7 или 8 или 9, X3 = 6, X5 = 4 или 7;

74. Стр. 032, гр. 4, 6 = сумма вложений в жилищные облигации с ипотечным покрытием в разделе 4, гр. 9, 11, первый, второй, третий, пятый разряды кода ценной бумаги которых (гр. 7 раздела 4) X1 = 03 или 04, X2 = 1 или 2 или 3, X3 = 7, X5 = 4 или 6;

75. Стр. 033, гр. 4, 6 = сумма вложений в облигации в разделе 4, гр. 9, 11, первый, второй, третий, пятый разряды кода ценной бумаги которых (гр. 7 раздела 4) X1 = 03 или 04, X2 = 1 или 2 или 3, X3 = 1, X5 = 4 или 7 или 8; X1 = 03 или 04, X2 = 4 или 5 или 6 или 7 или 8 или 9, X3 = 1, X5 = 1 или 2 или 3 или 4 или 7 или 8;

76. Стр. 041, гр. 4, 6 = сумма вложений в векселя банков в разделе 5, гр. 11, 12, первый, второй, третий, пятый разряды кода ценной бумаги которых (гр. 10 раздела 5) X1 = 03 или 04, X2 = 1 или 2 или 3, X3 = 4, X5 = 4; X1 = 03 или 04, X2 = 4 или 5 или 6, X3 = 4, X5 = 4;

77. Стр. 042, гр. 4, 6 = сумма вложений в векселя организаций иных, чем банки, в разделе 5, гр. 11, 12, первый, второй, третий, пятый разряды кода ценной бумаги которых (гр. 10 раздела 5) X1 = 03 или 04, X2 = 1 или 2 или 3, X3 = 4, X5 = 7 или 8; X1 = 03 или 04, X2 = 4 или 5 или 6, X3 = 4, X5 = 7 или 8;

78. Стр. 050, гр. 4, 6 = сумма вложений в акции в разделе 6, гр. 9, 11, первый разряд кода ценной бумаги которых (гр. 7 раздела 6) X1 = 03 или 04;

79. Стр. 070, гр. 4, 6 = сумма вложений в инвестиционные паи в разделе 8, гр. 7, 9, первый разряд кода ценной бумаги которых (гр. 5 раздела 8) X1 = 03 или 04;

80. Стр. 080, гр. 4, 6 = сумма вложений в сертификаты долевого участия в общих фондах банковского управления в разделе 9, гр. 7, 8, первый разряд кода сертификата долевого участия которых (гр. 6 раздела 9) X1 = 03 или 04;

81. Стр. 085, гр. 4, 6 = сумма вложений в ипотечные сертификаты участия в разделе 7, гр. 6, 8, первый разряд кода ценной бумаги которых (гр. 4 раздела 7) X1 = 03 или 04;

82. Стр. 090, гр. 4, 6 = сумма вложений в недвижимое имущество в разделе 10, гр. 7, 8, первый разряд кода недвижимого имущества которых (гр. 6 раздела 10) X1 = 03 или 04;

83. Стр. 100, гр. 4, 6 = сумма банковских вкладов в разделе 11, гр. 7, 8, первый разряд кода банковского вклада которых (гр. 6 раздела 11) X1 = 03 или 04;

84. Стр. 101, гр. 4, 6 = сумма банковских вкладов в разделе 11, гр. 7, 8, первый, пятый разряды кода банковского вклада которых (гр. 6 раздела 11) X1 = 03 или 04, X5 = 1 или 2;

85. Стр. 102, гр. 4, 6 = сумма банковских вкладов, удостоверенных депозитными сертификатами, в разделе 11, гр. 7, 8, первый, пятый разряды кода банковского вклада которых (гр. 6 раздела 11) X1 = 03 или 04, X5 = 1.

86. Стр. 110, гр. 4, 6 = сумма дебиторской задолженности организаций и физических лиц в разделе 14, гр. 5, 6, первый разряд кода дебиторской задолженности которых (гр. 4 раздела 14) X1 = 03 или 04;

87. Стр. 161, гр. 4, 6 = сумма денежной наличности в разделе 15, гр. (5 + 7), (6 + 8), первый, третий, пятый разряды кода денежных средств которых (гр. 4 раздела 15) X1 = 03 или 04, X3 = 5, X5 = 1 или 2 или 3 или 4 или 5 или 6;

88. Стр. 162, гр. 4, 6 = сумма денежных средств на счетах в банках в разделе 15, гр. 5, 6, первый, третий, пятый разряды кода денежных средств которых (гр. 4 раздела 15) X1 = 03 или 04, X3 = 1 или 2 или 3, X5 = 6;

89. Стр. 163, гр. 4, 6 = сумма денежных средств на счетах в банках в разделе 15, гр. 7, 8, первый, третий, пятый разряды кода денежных средств которых (гр. 4 раздела 15) X1 = 03 или 04, X3 = 1 или 2 или 3, X5 = 1 или 2 или 3 или 4 или 5;

90. Стр. 170, гр. 4, 6 = сумма вложений в слитки золота и серебра в разделе 16, гр. 5, 6, первый, третий, четвертый разряды кода слитков которых (гр. 4 раздела 16) X1 = 03 или 04, X3 = 9, X4 = 4 или 5;

91. Стр. 171, гр. 4, 6 = сумма вложений в слитки платины и палладия, памятные монеты Российской Федерации из драгоценных металлов в разделе 16, гр. 5, 6, первый, третий, четвертый разряды кода слитков которых (гр. 4 раздела 16) X1 = 03 или 04, X3 = 9, X4 = 6 или 7 или 8;

92. Стр. 175, гр. 4, 6 = сумма активов, необходимых для осуществления финансово-хозяйственной деятельности, за исключением недвижимого имущества, в разделе 12, гр. 4, 5, первый разряд кода активов, необходимых для осуществления финансово-хозяйственной деятельности, за исключением недвижимого имущества, которых (гр. 3 раздела 12) X1 = 03 или 04;

93. Стр. 186, гр. 4, 6 = сумма займов, предоставленных дочерним и зависимым обществам, в разделе 17, гр. 5, 6, первый, четвертый разряды кода займа которых (гр. 4 раздела 17) X1 = 03 или 04, X4 = 1 или 2;

94. Стр. 187, гр. 4, 6 = сумма займов, предоставленных другим организациям, в разделе 17, гр. 5, 6, первый, четвертый разряды кода займа которых (гр. 4 раздела 17) X1 = 03 или 04, X4 = 3;

95. Стр. 188, гр. 4, 6 = сумма вложений в объекты интеллектуальной собственности в разделе 13, гр. 4, 5, первый, четвертый разряды кода объекта интеллектуальной собственности и иных активов, кроме активов, отраженных по строкам 020 - 188 раздела 1, которых (гр. 3 раздела 13) X1 = 03 или 04, X4 = 06;

96. Стр. 189, гр. 4, 6 = сумма иных активов, кроме активов, отраженных по строкам 020 - 188 раздела 1, в разделе 13, гр. 4, 5, первый, четвертый разряды кода объекта интеллектуальной собственности и иных активов, кроме активов, отраженных по строкам 020 - 188 раздела 1, которых (гр. 3 раздела 13) X1 = 03 или 04, X4 = 01 или 02 или 03 или 05 или 07 или 08 или 09 или 10 или 11 или 12 или 13 или 14 или 15 или 16 или 17 или 18 или 19 или 20 или 30;

97. Стр. 191, гр. 4, 6 = сумма стоимости активов в разделе 1, стр. 104, гр. 4, 6; стр. 155, гр. 4, 6; разделах 2, гр. 5, 7; 3, гр. 9, 11; 4, гр. 9, 11; 5, гр. 11, 12; 6, гр. 9, 11; 7, гр. 6, 8; 8, гр. 7, 9; 9, гр. 7, 8; 10, гр. 7, 8; 11, гр. 7, 8; 12, гр. 4, 5; 13, гр. 4, 5; 14, гр. 5, 6; 15, гр. (5 + 7), (6 + 8); 16, гр. 5, 6; 17, гр. 5, 6, первый, второй разряды кода которых (гр. 3 разделов 2, 12, 13, гр. 4 разделов 7, 14, 15, 16, 17, гр. 5 раздела 8, гр. 6 разделов 9, 10, 11, гр. 7 разделов 3, 4, 6, гр. 10 раздела 5) X1 = 03 или 04, X2 = 1 или 2 или 3;

98. Стр. 192, гр. 4, 6 = сумма стоимости активов в разделах 4, гр. 9, 11; 5, гр. 11, 12; 6, гр. 9, 11; 10, гр. 7, 8; 11, гр. 7, 8; 12, гр. 4, 5; 13, гр. 4, 5; 14, гр. 5, 6; 15, гр. (5 + 7), (6 + 8); 17, гр. 5, 6, первый, второй разряды кода которых (гр. 3 разделов 12, 13, гр. 4 разделов 14, 15, 17, гр. 6 разделов 10, 11, гр. 7 разделов 4, 6, гр. 10 раздела 5) X1 = 03 или 04, X2 = 4 или 5 или 6 или 7 или 8 или 9.

Если стр. 014, гр. 3, 4 > стр. 016, гр. 3, 4 и стр. 016, гр. 3, 4 > стр. 015, гр. 3, 4 или стр. 014, гр. 3, 4 > стр. 016, гр. 3, 4, стр. 016, гр. 3, 4 = стр. 015, гр. 3, 4, стр. 018, гр. 3, 4 > 0 и стр. 017, гр. 3, 4 = 0, то в разделах 2 - 12, 14 - 16 первый разряд кода всех видов активов, представляющих собственные средства страховой организации в размере нормативного размера маржи платежеспособности, (X1) = 05 или 06 или 07 или 08.

Если стр. 014, гр. 3, 4 = стр. 016, гр. 3, 4 и стр. 016, гр. 3, 4 > стр. 015, гр. 3, 4, стр. 018 гр. 3, 4 = 0 и стр. 017, гр. 3, 4 = 0, то в разделах 2 - 12, 14 - 16 первый разряд кода всех видов активов, представляющих собственные средства страховой организации в размере нормативного размера маржи платежеспособности, (X1) = 05 или 06.

Если первый разряд кода всех видов активов, представляющих собственные средства страховой организации, (X1) = 05 или 06, то для гр. 3, 5 раздела 1 применяются контрольные соотношения 99 - 123:

99. Стр. 021, гр. 3, 5 = сумма вложений в облигации в разделе 2, гр. 5, 7, первый, второй, третий, пятый разряды кода ценной бумаги которых (гр. 3 раздела 2) X1 = 05 или 06, X2 = 1 или 2 или 3, X3 = 1, X5 = 1;

100. Стр. 022, гр. 3, 5 = сумма вложений в облигации в разделе 3, гр. 9, 11, первый, второй, третий, пятый разряды кода ценной бумаги которых (гр. 7 раздела 3) X1 = 05 или 06, X2 = 1 или 2 или 3, X3 = 1, X5 = 2;

101. Стр. 023, гр. 3, 5 = сумма вложений в облигации в разделе 3, гр. 9, 11, первый, второй, третий, пятый разряды кода ценной бумаги которых (гр. 7 раздела 3) X1 = 05 или 06, X2 = 1 или 2 или 3, X3 = 1, X5 = 3;

102. Стр. 031, гр. 3, 5 = сумма вложений в облигации с ипотечным покрытием в разделе 4, гр. 9, 11, первый, второй, третий, пятый разряды кода ценной бумаги которых (гр. 7 раздела 4) X1 = 05 или 06, X2 = 1 или 2 или 3, X3 = 6, X5 = 4 или 6; X1 = 05 или 06, X2 = 4 или 5 или 6 или 7 или 8 или 9, X3 = 6, X5 = 4 или 7;

103. Стр. 032, гр. 3, 5 = сумма вложений в жилищные облигации с ипотечным покрытием в разделе 4, гр. 9, 11, первый, второй, третий, пятый разряды кода ценной бумаги которых (гр. 7 раздела 4) X1 = 05 или 06, X2 = 1 или 2 или 3, X3 = 7, X5 = 4 или 6;

104. Стр. 033, гр. 3, 5 = сумма вложений в облигации в разделе 4, гр. 9, 11, первый, второй, третий, пятый разряды кода ценной бумаги которых (гр. 7 раздела 4) X1 = 05 или 06, X2 = 1 или 2 или 3, X3 = 1, X5 = 4 или 7 или 8; X1 = 05 или 06, X2 = 4 или 5 или 6 или 7 или 8 или 9, X3 = 1, X5 = 1 или 2 или 3 или 4 или 7 или 8;

105. Стр. 041, гр. 3, 5 = сумма вложений в векселя банков в разделе 5, гр. 11, 12, первый, второй, третий, пятый разряды кода ценной бумаги которых (гр. 10 раздела 5) X1 = 05 или 06, X2 = 1 или 2 или 3, X3 = 4, X5 = 4; X1 = 05 или 06, X2 = 4 или 5 или 6, X3 = 4, X5 = 4;

106. Стр. 042, гр. 3, 5 = сумма вложений в векселя организаций иных, чем банки, в разделе 5, гр. 11, 12, первый, второй, третий, пятый разряды кода ценной бумаги которых (гр. 10 раздела 5) X1 = 05 или 06, X2 = 1 или 2 или 3, X3 = 4, X5 = 7 или 8; X1 = 05 или 06, X2 = 4 или 5 или 6, X3 = 4, X5 = 7 или 8;

107. Стр. 050, гр. 3, 5 = сумма вложений в акции в разделе 6, гр. 9, 11, первый разряд кода ценной бумаги которых (гр. 7 раздела 6) X1 = 05 или 06;

108. Стр. 070, гр. 3, 5 = сумма вложений в инвестиционные паи в разделе 8, гр. 7, 9, первый разряд кода ценной бумаги которых (гр. 5 раздела 8) X1 = 05 или 06;

109. Стр. 080, гр. 3, 5 = сумма вложений в сертификаты долевого участия в общих фондах банковского управления в разделе 9, гр. 7, 8, первый разряд кода сертификата долевого участия которых (гр. 6 раздела 9) X1 = 05 или 06;

110. Стр. 085, гр. 3, 5 = сумма вложений в ипотечные сертификаты участия в разделе 7, гр. 6, 8, первый разряд кода ценной бумаги которых (гр. 4 раздела 7) X1 = 05 или 06;

111. Стр. 090, гр. 3, 5 = сумма вложений в недвижимое имущество в разделе 10, гр. 7, 8, первый разряд кода недвижимого имущества которых (гр. 6 раздела 10) X1 = 05 или 06;

112. Стр. 100, гр. 3, 5 = сумма банковских вкладов в разделе 11, гр. 7, 8, первый разряд кода банковского вклада которых (гр. 6 раздела 11) X1 = 05 или 06;

113. Стр. 101, гр. 3, 5 = сумма банковских вкладов в разделе 11, гр. 7, 8, первый, пятый разряды кода банковского вклада которых (гр. 6 раздела 11) X1 = 05 или 06, X5 = 1 или 2;

114. Стр. 102, гр. 3, 5 = сумма банковских вкладов, удостоверенных депозитными сертификатами, в разделе 11, гр. 7, 8, первый, пятый разряды кода банковского вклада которых (гр. 6 раздела 11) X1 = 05 или 06, X5 = 1.

115. Стр. 110, гр. 3, 5 = сумма дебиторской задолженности организаций и физических лиц в разделе 14, гр. 5, 6, первый разряд кода дебиторской задолженности которых (гр. 4 раздела 14) X1 = 05 или 06;

116. Стр. 161, гр. 3, 5 = сумма денежной наличности в разделе 15, гр. (5 + 7), (6 + 8), первый, третий, пятый разряды кода денежных средств которых (гр. 4 раздела 15) X1 = 05 или 06, X3 = 5, X5 = 1 или 2 или 3 или 4 или 5 или 6;

117. Стр. 162, гр. 3, 5 = сумма денежных средств на счетах в банках в разделе 15, гр. 5, 6, первый, третий, пятый разряды кода денежных средств которых (гр. 4 раздела 15) X1 = 05 или 06, X3 = 1 или 2 или 3, X5 = 6;

118. Стр. 163, гр. 3, 5 = сумма денежных средств на счетах в банках в разделе 15, гр. 7, 8, первый, третий, пятый разряды кода денежных средств которых (гр. 4 раздела 15) X1 = 05 или 06, X3 = 1 или 2 или 3, X5 = 1 или 2 или 3 или 4 или 5;

119. Стр. 170, гр. 3, 5 = сумма вложений в слитки золота и серебра в разделе 16, гр. 5, 6, первый, третий, четвертый разряды кода слитков которых (гр. 4 раздела 16) X1 = 05 или 06, X3 = 9, X4 = 4 или 5;

120. Стр. 171, гр. 3, 5 = сумма вложений в слитки платины и палладия, памятные монеты Российской Федерации из драгоценных металлов в разделе 16, гр. 5, 6, первый, третий, четвертый разряды кода слитков которых (гр. 4 раздела 16) X1 = 05 или 06, X3 = 9, X4 = 6 или 7 или 8;

121. Стр. 175, гр. 3, 5 = сумма активов, необходимых для осуществления финансово-хозяйственной деятельности, за исключением недвижимого имущества, в разделе 12, гр. 4, 5, первый разряд кода активов, необходимых для осуществления финансово-хозяйственной деятельности, за исключением недвижимого имущества, которых (гр. 3 раздела 12) X1 = 05 или 06;

122. Стр. 191, гр. 3, 5 = сумма стоимости активов в разделе 1, стр. 104, гр. 3, 5; стр. 155, гр. 3, 5; разделах 2, гр. 5, 7; 3, гр. 9, 11; 4, гр. 9, 11; 5, гр. 11, 12; 6, гр. 9, 11; 7, гр. 6, 8; 8, гр. 7, 9; 9, гр. 7, 8; 10, гр. 7, 8; 11, гр. 7, 8; 12, гр. 4, 5; 14, гр. 5, 6; 15, гр. (5 + 7), (6 + 8); 16, гр. 5, 6, первый, второй разряды кода которых (гр. 3 разделов 2, 12, гр. 4 разделов 7, 14, 15, 16, гр. 5 раздела 8, гр. 6 разделов 9, 10, 11, гр. 7 разделов 3, 4, 6, гр. 10 раздела 5) X1 = 05 или 06, X2 = 1 или 2 или 3;

123. Стр. 192, гр. 3, 5 = сумма стоимости активов в разделах 4, гр. 9, 11; 5, гр. 11, 12; 6, гр. 9, 11; 10, гр. 7, 8; 11, гр. 7, 8; 12, гр. 4, 5; 14, гр. 5, 6; 15, гр. (5 + 7), (6 + 8), первый, второй разряды кода которых (гр. 3 раздела 12, гр. 4 разделов 14, 15, гр. 6 разделов 10, 11, гр. 7 разделов 4, 6, гр. 10 раздела 5) X1 = 05 или 06, X2 = 4 или 5 или 6 или 7 или 8 или 9.

Если первый разряд кода всех видов активов, представляющих собственные средства страховой организации, (X1) = 07 или 08, то для гр. 4, 6 применяются контрольные соотношения 124 - 152:

124. Стр. 021, гр. 4, 6 = сумма вложений в облигации в разделе 2, гр. 5, 7, первый, второй, третий, пятый разряды кода ценной бумаги которых (гр. 3 раздела 2) X1 = 07 или 08, X2 = 1 или 2 или 3, X3 = 1, X5 = 1;

125. Стр. 022, гр. 4, 6 = сумма вложений в облигации в разделе 3, гр. 9, 11, первый, второй, третий, пятый разряды кода ценной бумаги которых (гр. 7 раздела 3) X1 = 07 или 08, X2 = 1 или 2 или 3, X3 = 1, X5 = 2;

126. Стр. 023, гр. 4, 6 = сумма вложений в облигации в разделе 3, гр. 9, 11, первый, второй, третий, пятый разряды кода ценной бумаги которых (гр. 7 раздела 3) X1 = 07 или 08, X2 = 1 или 2 или 3, X3 = 1, X5 = 3;

127. Стр. 031, гр. 4, 6 = сумма вложений в облигации с ипотечным покрытием в разделе 4, гр. 9, 11, первый, второй, третий, пятый разряды кода ценной бумаги которых (гр. 7 раздела 4) X1 = 07 или 08, X2 = 1 или 2 или 3, X3 = 6, X5 = 4 или 6; X1 = 07 или 08, X2 = 4 или 5 или 6 или 7 или 8 или 9, X3 = 6, X5 = 4 или 7;

128. Стр. 032, гр. 4, 6 = сумма вложений в жилищные облигации с ипотечным покрытием в разделе 4, гр. 9, 11, первый, второй, третий, пятый разряды кода ценной бумаги которых (гр. 7 раздела 4) X1 = 07 или 08, X2 = 1 или 2 или 3, X3 = 7, X5 = 4 или 6;

129. Стр. 033, гр. 4, 6 = сумма вложений в облигации в разделе 4, гр. 9, 11, первый, второй, третий, пятый разряды кода ценной бумаги которых (гр. 7 раздела 4) X1 = 07 или 08, X2 = 1 или 2 или 3, X3 = 1, X5 = 4 или 7 или 8; X1 = 07 или 08, X2 = 4 или 5 или 6 или 7 или 8 или 9, X3 = 1, X5 = 1 или 2 или 3 или 4 или 7 или 8;

130. Стр. 041, гр. 4, 6 = сумма вложений в векселя банков в разделе 5, гр. 11, 12, первый, второй, третий, пятый разряды кода ценной бумаги которых (гр. 10 раздела 5) X1 = 07 или 08, X2 = 1 или 2 или 3, X3 = 4, X5 = 4; X1 = 07 или 08, X2 = 4 или 5 или 6, X3 = 4, X5 = 4;

131. Стр. 042, гр. 4, 6 = сумма вложений в векселя организаций иных, чем банки, в разделе 5, гр. 11, 12, первый, второй, третий, пятый разряды кода ценной бумаги которых (гр. 10 раздела 5) X1 = 07 или 08, X2 = 1 или 2 или 3, X3 = 4, X5 = 7 или 8; X1 = 07 или 08, X2 = 4 или 5 или 6, X3 = 4, X5 = 7 или 8;

132. Стр. 050, гр. 4, 6 = сумма вложений в акции в разделе 6, гр. 9, 11, первый разряд кода ценной бумаги которых (гр. 7 раздела 6) X1 = 07 или 08;

133. Стр. 070, гр. 4, 6 = сумма вложений в инвестиционные паи в разделе 8, гр. 7, 9, первый разряд кода ценной бумаги которых (гр. 5 раздела 8) X1 = 07 или 08;

134. Стр. 080, гр. 4, 6 = сумма вложений в сертификаты долевого участия в общих фондах банковского управления в разделе 9, гр. 7, 8, первый разряд кода сертификата долевого участия которых (гр. 6 раздела 9) X1 = 07 или 08;

135. Стр. 085, гр. 4, 6 = сумма вложений в ипотечные сертификаты участия в разделе 7, гр. 6, 8, первый разряд кода ценной бумаги которых (гр. 4 раздела 7) X1 = 07 или 08;

136. Стр. 090, гр. 4, 6 = сумма вложений в недвижимое имущество в разделе 10, гр. 7, 8, первый разряд кода недвижимого имущества которых (гр. 6 раздела 10) X1 = 07 или 08;

137. Стр. 100, гр. 4, 6 = сумма банковских вкладов в разделе 11, гр. 7, 8, первый разряд кода банковского вклада которых (гр. 6 раздела 11) X1 = 07 или 08;

138. Стр. 101, гр. 4, 6 = сумма банковских вкладов в разделе 11, гр. 7, 8, первый, пятый разряды кода банковского вклада которых (гр. 6 раздела 11) X1 = 07 или 08, X5 = 1 или 2;

139. Стр. 102, гр. 4, 6 = сумма банковских вкладов, удостоверенных депозитными сертификатами, в разделе 11, гр. 7, 8, первый, пятый разряды кода банковского вклада которых (гр. 6 раздела 11) X1 = 07 или 08, X5 = 1.

140. Стр. 110, гр. 4, 6 = сумма дебиторской задолженности организаций и физических лиц в разделе 14, гр. 5, 6, первый разряд кода дебиторской задолженности которых (гр. 4 раздела 14) X1 = 07 или 08;

141. Стр. 161, гр. 4, 6 = сумма денежной наличности в разделе 15, гр. (5 + 7), (6 + 8), первый, третий, пятый разряды кода денежных средств которых (гр. 4 раздела 15) X1 = 07 или 08, X3 = 5, X5 = 1 или 2 или 3 или 4 или 5 или 6;

142. Стр. 162, гр. 4, 6 = сумма денежных средств на счетах в банках в разделе 15, гр. 5, 6, первый, третий, пятый разряды кода денежных средств которых (гр. 4 раздела 15) X1 = 07 или 08, X3 = 1 или 2 или 3, X5 = 6;

143. Стр. 163, гр. 4, 6 = сумма денежных средств на счетах в банках в разделе 15, гр. 7, 8, первый, третий, пятый разряды кода денежных средств которых (гр. 4 раздела 15) X1 = 07 или 08, X3 = 1 или 2 или 3, X5 = 1 или 2 или 3 или 4 или 5;

144. Стр. 170, гр. 4, 6 = сумма вложений в слитки золота и серебра в разделе 16, гр. 5, 6, первый, третий, четвертый разряды кода слитков которых (гр. 4 раздела 16) X1 = 07 или 08, X3 = 9, X4 = 4 или 5;

145. Стр. 171, гр. 4, 6 = сумма вложений в слитки платины и палладия, памятные монеты Российской Федерации из драгоценных металлов в разделе 16, гр. 5, 6, первый, третий, четвертый разряды кода слитков которых (гр. 4 раздела 16) X1 = 07 или 08, X3 = 9, X4 = 6 или 7 или 8;

146. Стр. 175, гр. 4, 6 = сумма активов, необходимых для осуществления финансово-хозяйственной деятельности, за исключением недвижимого имущества, в разделе 12, гр. 4, 5, первый разряд кода активов, необходимых для осуществления финансово-хозяйственной деятельности, за исключением недвижимого имущества, которых (гр. 3 раздела 12) X1 = 07 или 08;

147. Стр. 186, гр. 4, 6 = сумма займов, предоставленных дочерним и зависимым обществам, в разделе 17, гр. 5, 6, первый, четвертый разряды кода займа которых (гр. 4 раздела 17) X1 = 07 или 08, X4 = 1 или 2;

148. Стр. 187, гр. 4, 6 = сумма займов, предоставленных другим организациям, в разделе 17, гр. 5, 6, первый, четвертый разряды кода займа которых (гр. 4 раздела 17) X1 = 07 или 08, X4 = 3;

149. Стр. 188, гр. 4, 6 = сумма вложений в объекты интеллектуальной собственности в разделе 13, гр. 4, 5, первый, четвертый разряды кода объекта интеллектуальной собственности и иных активов, кроме активов, отраженных по строкам 020 - 188 раздела 1, которых (гр. 3 раздела 13) X1 = 07 или 08, X4 = 06;

150. Стр. 189, гр. 4, 6 = сумма иных активов, кроме активов, отраженных по строкам 020 - 188 раздела 1, в разделе 13, гр. 4, 5, первый, четвертый разряды кода объекта интеллектуальной собственности и иных активов, кроме активов, отраженных по строкам 020 - 188 раздела 1, которых (гр. 3 раздела 13) X1 = 07 или 08, X4 = 01 или 02 или 03 или 05 или 07 или 08 или 09 или 10 или 11 или 12 или 13 или 14 или 15 или 16 или 17 или 18 или 19 или 20 или 30;

151. Стр. 191, гр. 4, 6 = сумма стоимости активов в разделе 1, стр. 104, гр. 4, 6; стр. 155, гр. 4, 6; разделах 2, гр. 5, 7; 3, гр. 9, 11; 4, гр. 9, 11; 5, гр. 11, 12; 6, гр. 9, 11; 7, гр. 6, 8; 8, гр. 7, 9; 9, гр. 7, 8; 10, гр. 7, 8; 11, гр. 7, 8; 12, гр. 4, 5; 13, гр. 4, 5; 14, гр. 5, 6; 15, гр. (5 + 7), (6 + 8); 16, гр. 5, 6; 17, гр. 5, 6, первый, второй разряды кода которых (гр. 3 разделов 2, 12, 13, гр. 4 разделов 7, 14, 15, 16, 17, гр. 5 раздела 8, гр. 6 разделов 9, 10, 11, гр. 7 разделов 3, 4, 6, гр. 10 раздела 5) X1 = 07 или 08, X2 = 1 или 2 или 3;

152. Стр. 192, гр. 4, 6 = сумма стоимости активов в разделах 4, гр. 9, 11; 5, гр. 11, 12; 6, гр. 9, 11; 10, гр. 7, 8; 11, гр. 7, 8; 12, гр. 4, 5; 13, гр. 4, 5; 14, гр. 5, 6; 15, гр. (5 + 7), (6 + 8); 17, гр. 5, 6, первый, второй разряды кода которых (гр. 3 разделов 12, 13, гр. 4 разделов 14, 15, 17, гр. 6 разделов 10, 11, гр. 7 разделов 4, 6, гр. 10 раздела 5) X1 = 07 или 08, X2 = 4 или 5 или 6 или 7 или 8 или 9.

Если стр. 014, гр. 3, 4 = стр. 015, гр. 3, 4 и стр. 015, гр. 3, 4 стр. 016, гр. 3, 4 или стр. 014, гр. 3, 4 = стр. 016, гр. 3, 4 и стр. 016, гр. 3, 4 стр. 015, гр. 3, 4, то применяется контрольное соотношение 153:

153. Стр. 017, 018, 019, гр. 3, 4; стр. 020, 021, 022, 023, 031, 032, 033, 040, 041, 042, 050, 070, 080, 085, 090, 100, 101, 102, 104, 110, 155, 160, 161, 162, 163, 170, 171, 175, 185, 186, 187, 188, 189, 190, 191, 192 гр. 4, 6 = 0;

Если стр. 014, гр. 3, 4 = стр. 015, гр. 3, 4 и стр. 015, гр. 3, 4 = стр. 016, гр. 3, 4, то в разделах 2 - 12, 14 - 16 первый разряд кода всех видов активов, представляющих собственные средства страховой организации в размере, равном минимальному размеру уставного капитала и нормативному размеру маржи платежеспособности, (X1) = 09 или 10.

Если первый разряд кода всех видов активов, представляющих собственные средства страховой организации, (X1) = 09 или 10, то для гр. 3, 5 применяются контрольные соотношения 154 - 178:

154. Стр. 021, гр. 3, 5 = сумма вложений в облигации в разделе 2, гр. 5, 7, первый, второй, третий, пятый разряды кода ценной бумаги которых (гр. 3 раздела 2) X1 = 09 или 10, X2 = 1 или 2 или 3, X3 = 1, X5 = 1;

155. Стр. 022, гр. 3, 5 = сумма вложений в облигации в разделе 3, гр. 9, 11, первый, второй, третий, пятый разряды кода ценной бумаги которых (гр. 7 раздела 3) X1 = 09 или 10, X2 = 1 или 2 или 3, X3 = 1, X5 = 2;

156. Стр. 023, гр. 3, 5 = сумма вложений в облигации в разделе 3, гр. 9, 11, первый, второй, третий, пятый разряды кода ценной бумаги которых (гр. 7 раздела 3) X1 = 09 или 10, X2 = 1 или 2 или 3, X3 = 1, X5 = 3;

157. Стр. 031, гр. 3, 5 = сумма вложений в облигации с ипотечным покрытием в разделе 4, гр. 9, 11, первый, второй, третий, пятый разряды кода ценной бумаги которых (гр. 7 раздела 4) X1 = 09 или 10, X2 = 1 или 2 или 3, X3 = 6, X5 = 4 или 6; X1 = 09 или 10, X2 = 4 или 5 или 6 или 7 или 8 или 9, X3 = 6, X5 = 4 или 7;

158. Стр. 032, гр. 3, 5 = сумма вложений в жилищные облигации с ипотечным покрытием в разделе 4, гр. 9, 11, первый, второй, третий, пятый разряды кода ценной бумаги которых (гр. 7 раздела 4) X1 = 09 или 10, X2 = 1 или 2 или 3, X3 = 7, X5 = 4 или 6;

159. Стр. 033, гр. 3, 5 = сумма вложений в облигации в разделе 4, гр. 9, 11, первый, второй, третий, пятый разряды кода ценной бумаги которых (гр. 7 раздела 4) X1 = 09 или 10, X2 = 1 или 2 или 3, X3 = 1, X5 = 4 или 7 или 8; X1 = 09 или 10, X2 = 4 или 5 или 6 или 7 или 8 или 9, X3 = 1, X5 = 1 или 2 или 3 или 4 или 7 или 8;

160. Стр. 041, гр. 3, 5 = сумма вложений в векселя банков в разделе 5, гр. 11, 12, первый, второй, третий, пятый разряды кода ценной бумаги которых (гр. 10 раздела 5) X1 = 09 или 10, X2 = 1 или 2 или 3, X3 = 4, X5 = 4; X1 = 09 или 10, X2 = 4 или 5 или 6, X3 = 4, X5 = 4;

161. Стр. 042, гр. 3, 5 = сумма вложений в векселя организаций иных, чем банки, в разделе 5, гр. 11, 12, первый, второй, третий, пятый разряды кода ценной бумаги которых (гр. 10 раздела 5) X1 = 09 или 10, X2 = 1 или 2 или 3, X3 = 4, X5 = 7 или 8; X1 = 09 или 10, X2 = 4 или 5 или 6, X3 = 4, X5 = 7 или 8;

162. Стр. 050, гр. 3, 5 = сумма вложений в акции в разделе 6, гр. 9, 11, первый разряд кода ценной бумаги которых (гр. 7 раздела 6) X1 = 09 или 10;

163. Стр. 070, гр. 3, 5 = сумма вложений в инвестиционные паи в разделе 8, гр. 7, 9, первый разряд кода ценной бумаги которых (гр. 5 раздела 8) X1 = 09 или 10;

164. Стр. 080, гр. 3, 5 = сумма вложений в сертификаты долевого участия в общих фондах банковского управления в разделе 9, гр. 7, 8, первый разряд кода сертификата долевого участия которых (гр. 6 раздела 9) X1 = 09 или 10;

165. Стр. 085, гр. 3, 5 = сумма вложений в ипотечные сертификаты участия в разделе 7, гр. 6, 8, первый разряд кода ценной бумаги которых (гр. 4 раздела 7) X1 = 09 или 10;

166. Стр. 090, гр. 3, 5 = сумма вложений в недвижимое имущество в разделе 10, гр. 7, 8, первый разряд кода недвижимого имущества которых (гр. 6 раздела 10) X1 = 09 или 10;

167. Стр. 100, гр. 3, 5 = сумма банковских вкладов в разделе 11, гр. 7, 8, первый разряд кода банковского вклада которых (гр. 6 раздела 11) X1 = 09 или 10;

168. Стр. 101, гр. 3, 5 = сумма банковских вкладов в разделе 11, гр. 7, 8, первый, пятый разряды кода банковского вклада которых (гр. 6 раздела 11) X1 = 09 или 10, X5 = 1 или 2;

169. Стр. 102, гр. 3, 5 = сумма банковских вкладов, удостоверенных депозитными сертификатами, в разделе 11, гр. 7, 8, первый, пятый разряды кода банковского вклада которых (гр. 6 раздела 11) X1 = 09 или 10, X5 = 1.

170. Стр. 110, гр. 3, 5 = сумма дебиторской задолженности организаций и физических лиц в разделе 14, гр. 5, 6, первый разряд кода дебиторской задолженности которых (гр. 4 раздела 14) X1 = 09 или 10;

171. Стр. 161, гр. 3, 5 = сумма денежной наличности в разделе 15, гр. (5 + 7), (6 + 8), первый, третий, пятый разряды кода денежных средств которых (гр. 4 раздела 15) X1 = 09 или 10, X3 = 5, X5 = 1 или 2 или 3 или 4 или 5 или 6;

172. Стр. 162, гр. 3, 5 = сумма денежных средств на счетах в банках в разделе 15, гр. 5, 6, первый, третий, пятый разряды кода денежных средств которых (гр. 4 раздела 15) X1 = 09 или 10, X3 = 1 или 2 или 3, X5 = 6;

173. Стр. 163, гр. 3, 5 = сумма денежных средств на счетах в банках в разделе 15, гр. 7, 8, первый, третий, пятый разряды кода денежных средств которых (гр. 4 раздела 15) X1 = 09 или 10, X3 = 1 или 2 или 3, X5 = 1 или 2 или 3 или 4 или 5;

174. Стр. 170, гр. 3, 5 = сумма вложений в слитки золота и серебра в разделе 16, гр. 5, 6, первый, третий, четвертый разряды кода слитков которых (гр. 4 раздела 16) X1 = 09 или 10, X3 = 9, X4 = 4 или 5;

175. Стр. 171, гр. 3, 5 = сумма вложений в слитки платины и палладия, памятные монеты Российской Федерации из драгоценных металлов в разделе 16, гр. 5, 6, первый, третий, четвертый разряды кода слитков которых (гр. 4 раздела 16) X1 = 09 или 10, X3 = 9, X4 = 6 или 7 или 8;

176. Стр. 175, гр. 3, 5 = сумма активов, необходимых для осуществления финансово-хозяйственной деятельности, за исключением недвижимого имущества, в разделе 12, гр. 4, 5, первый разряд кода активов, необходимых для осуществления финансово-хозяйственной деятельности, за исключением недвижимого имущества, которых (гр. 3 раздела 12) X1 = 09 или 10.

177. Стр. 191, гр. 3, 5 = сумма стоимости активов в разделе 1, стр. 104, гр. 3, 5; стр. 155, гр. 3, 5; разделах 2, гр. 5, 7; 3, гр. 9, 11; 4, гр. 9, 11; 5, гр. 11, 12; 6, гр. 9, 11; 7, гр. 6, 8; 8, гр. 7, 9; 9, гр. 7, 8; 10, гр. 7, 8; 11, гр. 7, 8; 12, гр. 4, 5; 14, гр. 5, 6; 15, гр. (5 + 7), (6 + 8); 16, гр. 5, 6, первый, второй разряды кода которых (гр. 3 разделов 2, 12, гр. 4 разделов 7, 14, 15, 16, гр. 5 раздела 8, гр. 6 разделов 9, 10, 11, гр. 7 разделов 3, 4, 6, гр. 10 раздела 5) X1 = 09 или 10, X2 = 1 или 2 или 3;

178. Стр. 192, гр. 3, 5 = сумма стоимости активов в разделах 4, гр. 9, 11; 5, гр. 11, 12; 6, гр. 9, 11; 10, гр. 7, 8; 11, гр. 7, 8; 12, гр. 4, 5; 14, гр. 5, 6; 15, гр. (5 + 7), (6 + 8), первый, второй разряды кода которых (гр. 3 раздела 12, гр. 4 разделов 14, 15, гр. 6 разделов 10, 11, гр. 7 разделов 4, 6, гр. 10 раздела 5) X1 = 09 или 10, X2 = 4 или 5 или 6 или 7 или 8 или 9.

Если стр. 014, гр. 3, 4 > 0, стр. 014, гр. 3, 4 < стр. 015, гр. 3, 4 и стр. 014, гр. 3, 4 < стр. 016, гр. 3, 4, то применяется контрольное соотношение 179:

179. Стр. 017, 018, 019, гр. 3, 4; стр. 020, 021, 022, 023, 031, 032, 033, 040, 041, 042, 050, 070, 080, 085, 090, 100, 101, 102, 104, 110, 155, 160, 161, 162, 163, 170, 171, 175, 185, 186, 187, 188, 189, 190, 191, 192 гр. 4, 6 = 0.

Если стр. 014, гр. 3, 4 > 0, стр. 014, гр. 3, 4 < стр. 015, гр. 3, 4 или стр. 014, гр. 3, 4 < стр. 016, гр. 3, 4, то первый разряд кода всех видов активов, представляющих собственные средства страховой организации в размере меньше минимального размера уставного капитала или меньше нормативного размера маржи платежеспособности (X1) = 11 или 12.

Если первый разряд кода всех видов активов, представляющих собственные средства страховой организации, (X1) = 11 или 12, то для гр. 3, 5 применяются контрольные соотношения 180 - 204:

180. Стр. 021, гр. 3, 5 = сумма вложений в облигации в разделе 2, гр. 5, 7, первый, второй, третий, пятый разряды кода ценной бумаги которых (гр. 3 раздела 2) X1 = 11 или 12, X2 = 1 или 2 или 3, X3 = 1, X5 = 1;

181. Стр. 022, гр. 3, 5 = сумма вложений в облигации в разделе 3, гр. 9, 11, первый, второй, третий, пятый разряды кода ценной бумаги которых (гр. 7 раздела 3) X1 = 11 или 12, X2 = 1 или 2 или 3, X3 = 1, X5 = 2;

182. Стр. 023, гр. 3, 5 = сумма вложений в облигации в разделе 3, гр. 9, 11, первый, второй, третий, пятый разряды кода ценной бумаги которых (гр. 7 раздела 3) X1 = 11 или 12, X2 = 1 или 2 или 3, X3 = 1, X5 = 3;

183. Стр. 031, гр. 3, 5 = сумма вложений в облигации с ипотечным покрытием в разделе 4, гр. 9, 11, первый, второй, третий, пятый разряды кода ценной бумаги которых (гр. 7 раздела 4) X1 = 11 или 12, X2 = 1 или 2 или 3, X3 = 6, X5 = 4 или 6; X1 = 11 или 12, X2 = 4 или 5 или 6 или 7 или 8 или 9, X3 = 6, X5 = 4 или 7;

184. Стр. 032, гр. 3, 5 = сумма вложений в жилищные облигации с ипотечным покрытием в разделе 4, гр. 9, 11, первый, второй, третий, пятый разряды кода ценной бумаги которых (гр. 7 раздела 4) X1 = 11 или 12, X2 = 1 или 2 или 3, X3 = 7, X5 = 4 или 6;

185. Стр. 033, гр. 3, 5 = сумма вложений в облигации в разделе 4, гр. 9, 11, первый, второй, третий, пятый разряды кода ценной бумаги которых (гр. 7 раздела 4) X1 = 11 или 12, X2 = 1 или 2 или 3, X3 = 1, X5 = 4 или 7 или 8; X1 = 11 или 12, X2 = 4 или 5 или 6 или 7 или 8 или 9, X3 = 1, X5 = 1 или 2 или 3 или 4 или 7 или 8;

186. Стр. 041, гр. 3, 5 = сумма вложений в векселя банков в разделе 5, гр. 11, 12, первый, второй, третий, пятый разряды кода ценной бумаги которых (гр. 10 раздела 5) X1 = 11 или 12, X2 = 1 или 2 или 3, X3 = 4, X5 = 4; X1 = 11 или 12, X2 = 4 или 5 или 6, X3 = 4, X5 = 4;

187. Стр. 042, гр. 3, 5 = сумма вложений в векселя организаций иных, чем банки, в разделе 5, гр. 11, 12, первый, второй, третий, пятый разряды кода ценной бумаги которых (гр. 10 раздела 5) X1 = 11 или 12, X2 = 1 или 2 или 3, X3 = 4, X5 = 7 или 8; X1 = 11 или 12, X2 = 4 или 5 или 6, X3 = 4, X5 = 7 или 8;

188. Стр. 050, гр. 3, 5 = сумма вложений в акции в разделе 6, гр. 9, 11, первый разряд кода ценной бумаги которых (гр. 7 раздела 6) X1 = 11 или 12;

189. Стр. 070, гр. 3, 5 = сумма вложений в инвестиционные паи в разделе 8, гр. 7, 9, первый разряд кода ценной бумаги которых (гр. 5 раздела 8) X1 = 11 или 12;

190. Стр. 080, гр. 3, 5 = сумма вложений в сертификаты долевого участия в общих фондах банковского управления в разделе 9, гр. 7, 8, первый разряд кода сертификата долевого участия которых (гр. 6 раздела 9) X1 = 11 или 12;

191. Стр. 085, гр. 3, 5 = сумма вложений в ипотечные сертификаты участия в разделе 7, гр. 6, 8, первый разряд кода ценной бумаги которых (гр. 4 раздела 7) X1 = 11 или 12;

192. Стр. 090, гр. 3, 5 = сумма вложений в недвижимое имущество в разделе 10, гр. 7, 8, первый разряд кода недвижимого имущества которых (гр. 6 раздела 10) X1 = 11 или 12;

193. Стр. 100, гр. 3, 5 = сумма банковских вкладов в разделе 11, гр. 7, 8, первый разряд кода банковского вклада которых (гр. 6 раздела 11) X1 = 11 или 12;

194. Стр. 101, гр. 3, 5 = сумма банковских вкладов в разделе 11, гр. 7, 8, первый, пятый разряды кода банковского вклада которых (гр. 6 раздела 11) X1 = 11 или 12, X5 = 1 или 2;

195. Стр. 102, гр. 3, 5 = сумма банковских вкладов, удостоверенных депозитными сертификатами, в разделе 11, гр. 7, 8, первый, пятый разряды кода банковского вклада которых (гр. 6 раздела 11) X1 = 11 или 12, X5 = 1.

196. Стр. 110, гр. 3, 5 = сумма дебиторской задолженности организаций и физических лиц в разделе 14, гр. 5, 6, первый разряд кода дебиторской задолженности которых (гр. 4 раздела 14) X1 = 11 или 12;

197. Стр. 161, гр. 3, 5 = сумма денежной наличности в разделе 15, гр. (5 + 7), (6 + 8), первый, третий, пятый разряды кода денежных средств которых (гр. 4 раздела 15) X1 = 11 или 12, X3 = 5, X5 = 1 или 2 или 3 или 4 или 5 или 6;

198. Стр. 162, гр. 3, 5 = сумма денежных средств на счетах в банках в разделе 15, гр. 5, 6, первый, третий, пятый разряды кода денежных средств которых (гр. 4 раздела 15) X1 = 11 или 12, X3 = 1 или 2 или 3, X5 = 6;

199. Стр. 163, гр. 3, 5 = сумма денежных средств на счетах в банках в разделе 15, гр. 7, 8, первый, третий, пятый разряды кода денежных средств которых (гр. 4 раздела 15) X1 = 11 или 12, X3 = 1 или 2 или 3, X5 = 1 или 2 или 3 или 4 или 5;

200. Стр. 170, гр. 3, 5 = сумма вложений в слитки золота и серебра в разделе 16, гр. 5, 6, первый, третий, четвертый разряды кода слитков которых (гр. 4 раздела 16) X1 = 11 или 12, X3 = 9, X4 = 4 или 5;

201. Стр. 171, гр. 3, 5 = сумма вложений в слитки платины и палладия, памятные монеты Российской Федерации из драгоценных металлов в разделе 16, гр. 5, 6, первый, третий, четвертый разряды кода слитков которых (гр. 4 раздела 16) X1 = 11 или 12, X3 = 9, X4 = 6 или 7 или 8;

202. Стр. 175, гр. 3, 5 = сумма активов, необходимых для осуществления финансово-хозяйственной деятельности, за исключением недвижимого имущества, в разделе 12, гр. 4, 5, первый разряд кода активов, необходимых для осуществления финансово-хозяйственной деятельности, за исключением недвижимого имущества, которых (гр. 3 раздела 12) X1 = 11 или 12.

203. Стр. 191, гр. 3, 5 = сумма стоимости активов в разделе 1, стр. 104, гр. 3, 5; стр. 155, гр. 3, 5; разделах 2, гр. 5, 7; 3, гр. 9, 11; 4, гр. 9, 11; 5, гр. 11, 12; 6, гр. 9, 11; 7, гр. 6, 8; 8, гр. 7, 9; 9, гр. 7, 8; 10, гр. 7, 8; 11, гр. 7, 8; 12, гр. 4, 5; 14, гр. 5, 6; 15, гр. (5 + 7), (6 + 8); 16, гр. 5, 6, первый, второй разряды кода которых (гр. 3 разделов 2, 12, гр. 4 разделов 7, 14, 15, 16, гр. 5 раздела 8, гр. 6 разделов 9, 10, 11, гр. 7 разделов 3, 4, 6, гр. 10 раздела 5) X1 = 11 или 12, X2 = 1 или 2 или 3;

204. Стр. 192, гр. 3, 5 = сумма стоимости активов в разделах 4, гр. 9, 11; 5, гр. 11, 12; 6, гр. 9, 11; 10, гр. 7, 8; 11, гр. 7, 8; 12, гр. 4, 5; 14, гр. 5, 6; 15, гр. (5 + 7), (6 + 8), первый, второй разряды кода которых (гр. 3 раздела 12, гр. 4 разделов 14, 15, гр. 6 разделов 10, 11, гр. 7 разделов 4, 6, гр. 10 раздела 5) X1 = 11 или 12, X2 = 4 или 5 или 6 или 7 или 8 или 9.

Если стр. 014, гр. 3, 4 0, то применяется контрольное соотношение 205:

205. Стр. 015, 016, 017, 018, 019, гр. 3, 4; 020, 021, 022, 023, 031, 032, 033, 040, 041, 042, 050, 070, 080, 085, 090, 100, 101, 102, 104, 110, 155, 160, 161, 162, 163, 170, 171, 175, 190, 191, 192, гр. 3, 4, 5, 6; 185, 186, 187, 188, 189, гр. 4, 6 = 0.

Если в файле описания страховой организации поле "Страхование жизни" = 1 или поле "Страхование иное, чем страхование жизни" = 1 или поле "Перестрахование принятое" = 1 или поле "Обязательное страхование гражданской ответственности владельцев транспортных средств" = 1 и поле "Обязательное медицинское страхование" = 0, то применяются контрольные соотношения 206 - 227:

206. Стр. (021 + 022 + 023), гр. (3 + 4), (5 + 6) форма N 1-страховщик, стр. 141, гр. 3, 4 - форма N 7-страховщик, раздел 1, стр. (021 + 022 + 023), гр. 3, 5;

207. Стр. (031 + 032 + 033 + 040), гр. (3 + 4), (5 + 6) форма N 1-страховщик, стр. (132 + 135), гр. 3, 4 - форма N 7-страховщик, раздел 1, стр. (031 + 032 + 033 + 040), гр. 3, 5;

208. Стр. 050, гр. (3 + 4), (5 + 6) форма N 1-страховщик, стр. (131 + 134), гр. 3, 4 - форма N 7-страховщик, раздел 1, стр. 050, гр. 3, 5;

209. Стр. 070, гр. (3 + 4), (5 + 6) форма N 1-страховщик, стр. 145, гр. 3, 4 - форма N 7-страховщик, раздел 1, стр. 070, гр. 3, 5;

210. Стр. 080, гр. (3 + 4), (5 + 6) форма N 1-страховщик, стр. 145, гр. 3, 4 - форма N 7-страховщик, раздел 1, стр. 080, гр. 3, 5;

211. Стр. 085, гр. (3 + 4), (5 + 6) форма N 1-страховщик, стр. 145, гр. 3, 4 - форма N 7-страховщик, раздел 1, стр. 085, гр. 3, 5;

212. Стр. 090, гр. (3 + 4), (5 + 6) форма N 1-страховщик, стр. (121 + 122 + 145 + 210 + 220), гр. 3, 4 - форма N 7-страховщик, раздел 1, стр. 090, гр. 3, 5;

213. Стр. 100, гр. (3 + 4), (5 + 6) форма N 1-страховщик, стр. (142 + 260), гр. 3, 4 - форма N 7-страховщик, раздел 1, стр. 100, гр. 3, 5;

214. Стр. 101, гр. (3 + 4), (5 + 6) форма N 1-страховщик, стр. 142, гр. 3, 4 - форма N 7-страховщик, раздел 1, стр. 101, гр. 3, 5;

215. Стр. 102, гр. (3 + 4), (5 + 6) форма N 1-страховщик, стр. 142, гр. 3, 4 - форма N 7-страховщик, раздел 1, стр. 102, гр. 3, 5;

216. Стр. 110, гр. (3 + 4), (5 + 6) форма N 1-страховщик, стр. (190 + 200), гр. 3, 4;

217. Стр. 110, гр. (3 + 4), (5 + 6) форма N 5-страховщик, стр. 448, гр. 3, 4.

218. Если форма N 1-страховщик, стр. (185 - 634 - 654), гр. 3, 4 0, то стр. 155, гр. (3 + 4), (5 + 6) форма N 1-страховщик, стр. (185 - 634 - 654), гр. 3, 4 - форма N 7-страховщик, раздел 1, стр. 155, гр. 3, 5.

219. Стр. 160, гр. (3 + 4), (5 + 6) форма N 1-страховщик, стр. 260, гр. 3, 4 - форма N 7-страховщик, раздел 1, стр. 160, гр. 3, 5;

220. Стр. 170, гр. (3 + 4), (5 + 6) форма N 1-страховщик, стр. 270, гр. 3, 4 - форма N 7-страховщик, раздел 1, стр. 170, гр. 3, 5;

221. Стр. 171, гр. (3 + 4), (5 + 6) форма N 1-страховщик, стр. 270, гр. 3, 4 - форма N 7-страховщик, раздел 1, стр. 171, гр. 3, 5;

222. Стр. (170 + 171), гр. (3 + 4), (5 + 6) форма N 1-страховщик, стр. 270, гр. 3, 4 - форма N 7-страховщик, раздел 1, стр. (170 + 171), гр. 3, 5;

223. Стр. 175, гр. (3 + 4), (5 + 6) форма N 1-страховщик, стр. 210, гр. 3, 4;

224. Стр. 186, гр. 4, 6 форма N 1-страховщик, стр. 132, гр. 3, 4;

225. Стр. 187, гр. 4, 6 форма N 1-страховщик, стр. 135, гр. 3, 4;

226. Стр. 188, гр. 4, 6 форма N 1-страховщик, стр. 110, гр. 3, 4;

227. Стр. 189, гр. 4, 6 форма N 1-страховщик, стр. (110 + 133 + 136 + 210 + 220 + 230 + 240 + 250 + 270), гр. 3, 4.

Если в файле описания страховой организации поле "Обязательное медицинское страхование" = 1 и поле "Страхование иное, чем страхование жизни" = 0, то применяются контрольные соотношения 228 - 233:

228. Стр. (021 + 022 + 023), гр. (3 + 4), (5 + 6) форма N 1-страховщик, стр. 141, гр. 3, 4 - форма N 7а-страховщик, раздел 1 стр. (021 + 022 + 023), гр. 3, 4;

229. Стр. 041, гр. (3 + 4), (5 + 6) форма N 1-страховщик, стр. (132 + 135), гр. 3, 4 - форма N 7а-страховщик, раздел 1, стр. 041, гр. 3, 4;

230. Стр. 050, гр. (3 + 4), (5 + 6) форма N 1-страховщик, стр. 145, гр. 3, 4 - форма N 7а-страховщик, раздел 1, стр. 070, гр. 3, 4;

232. Стр. 100, гр. (3 + 4), (5 + 6) форма N 1-страховщик, стр. (142 + 260), гр. 3, 4 - форма N 7а-страховщик, раздел 1, стр. 100, гр. 3, 4;

233. Стр. 160, гр. (3 + 4), (5 + 6) форма N 1-страховщик, стр. 260, гр. 3, 4 - форма N 7а-страховщик, раздел 1, стр. 160, гр. 3, 4.

Если в файле описания страховой организации поле "Обязательное медицинское страхование" = 1 и поле "Страхование иное, чем страхование жизни" = 1, то применяются контрольные соотношения 234 - 239:

234. Стр. (021 + 022 + 023), гр. (3 + 4), (5 + 6) форма N 1-страховщик, стр. 141, гр. 3, 4 - форма N 7-страховщик, раздел 1 стр. (021 + 022 + 023), гр. 3, 5 - форма N 7а-страховщик, раздел 1 стр. (021 + 022 + 023), гр. 3, 4;

235. Стр. 041, гр. (3 + 4), (5 + 6) форма N 1-страховщик, стр. (132 + 135), гр. 3, 4 - форма N 7-страховщик, раздел 1, стр. 041, гр. 3, 5 - форма N 7а-страховщик, раздел 1, стр. 041, гр. 3, 4;

236. Стр. 050, гр. (3 + 4), (5 + 6) форма N 1-страховщик, стр. (131 + 134), гр. 3, 4 - форма N 7-страховщик, раздел 1, стр. 050, гр. 3, 5 - форма N 7а-страховщик, раздел 1, стр. 050, гр. 3, 4;

237. Стр. 070, гр. (3 + 4), (5 + 6) форма N 1-страховщик, стр. 145, гр. 3, 4 - форма N 7-страховщик, раздел 1, стр. 070, гр. 3, 5 - форма N 7а-страховщик, раздел 1, стр. 070, гр. 3, 4;

238. Стр. 100, гр. (3 + 4), (5 + 6) форма N 1-страховщик, стр. (142 + 260), гр. 3, 4 - форма N 7-страховщик, раздел 1, стр. 100, гр. 3, 5 - форма N 7а-страховщик, раздел 1, стр. 100, гр. 3, 4;

239. Стр. 160, гр. (3 + 4), (5 + 6) форма N 1-страховщик, стр. 260, гр. 3, 4 - форма N 7-страховщик, раздел 1, стр. 160, гр. 3, 5 - форма N 7а-страховщик, раздел 1, стр. 160, гр. 3, 4.

Если в разделе 1 стр. 190, гр. (3 + 4), (5 + 6) = стр. 014, гр. 3, 4, то применяются контрольные соотношения 240 - 247:

если стр. 014, гр. 3, 4 > стр. 015, гр. 3, 4 и стр. 015, гр. 3, 4 > стр. 016, гр. 3, 4, то:

240. Стр. 190, гр. 3, 5 = стр. 015, гр. 3, 4;

241. Стр. 190, гр. 4, 6 = стр. 017, гр. 3, 4;

если стр. 014, гр. 3, 4 > стр. 016, гр. 3, 4 и стр. 016, гр. 3, 4 > стр. 015, гр. 3, 4, то:

242. Стр. 190, гр. 3, 5 = стр. 016, гр. 3, 4;

243. Стр. 190, гр. 4, 6 = стр. 018, гр. 3, 4;

если стр. 014, гр. 3, 4 = стр. 015, гр. 3, 4 и стр. 015, гр. 3, 4 стр. 016, гр. 3, 4, то:

244. Стр. 190, гр. 3, 5 = стр. 015, гр. 3, 4;

245. Стр. 190, гр. 4, 6 = 0;

если стр. 014, гр. 3, 4 = стр. 016, гр. 3, 4 и стр. 016, гр. 3, 4 стр. 015, гр. 3, 4, то:

246. Стр. 190, гр. 3, 5 = стр. 016, гр. 3, 4;

247. Стр. 190, гр. 4, 6 = 0;

если стр. 014, гр. 3, 4 > 0, стр. 014, гр. 3, 4 < стр. 015, гр. 3, 4 или стр. 014, гр. 3, 4 < стр. 016, гр. 3, 4, то применяются контрольные соотношения 248, 249:

248. Стр. 190, гр. 3, 5 = стр. 014, гр. 3, 4;

249. Стр. 190, гр. 4, 6 = 0.

Если стр. 014, гр. 3, 4 < 0, то применяется контрольное соотношение 250:

250. Стр. 190, гр. 3, 5, 4, 6 = 0.

Если в форме N 7-страховщик раздел 1, стр. (018 - 155), гр. 3, 5 > 0, то применяется контрольное соотношение 251:

251. Стр. 155, гр. (3 + 4), (5 + 6) = 0.

252. Стр. 190, гр. (3 + 4), (5 + 6) стр. 014, гр. 3, 4.

253. Если в форме N 1-страховщик стр. 230 гр. 3, 4 стр. 620 гр. 3, 4, то стр. 104, гр. (3 + 4), (5 + 6) форма N 1-страховщик, стр. (230 - 620), гр. 3, 4, иначе стр. 104, гр. (3 + 4), (5 + 6) = 0.

Если в любом из подразделов 2.1, 3.1, 4.1, 5.1, 6.1, 7.1, 8.1, 11.1 заполнена хотя бы одна строка, то применяются контрольные соотношения 254 - 289:

254. Стр. 020, гр. 3, 4, 5, 6 = подраздел 1.1, стр. 020, гр. 3, 4, 5, 6 + подраздел 1.2, стр. 020, гр. 3, 4, 5, 6;

255. Стр. 021, гр. 3, 4, 5, 6 = подраздел 1.1, стр. 021, гр. 3, 4, 5, 6 + подраздел 1.2, стр. 021, гр. 3, 4, 5, 6;

256. Стр. 022, гр. 3, 4, 5, 6 = подраздел 1.1, стр. 022, гр. 3, 4, 5, 6 + подраздел 1.2, стр. 022, гр. 3, 4, 5, 6;

257. Стр. 023, гр. 3, 4, 5, 6 = подраздел 1.1, стр. 023, гр. 3, 4, 5, 6 + подраздел 1.2, стр. 023, гр. 3, 4, 5, 6;

258. Стр. 031, гр. 3, 4, 5, 6 = подраздел 1.1, стр. 031, гр. 3, 4, 5, 6 + подраздел 1.2, стр. 031, гр. 3, 4, 5, 6;

259. Стр. 032, гр. 3, 4, 5, 6 = подраздел 1.1, стр. 032, гр. 3, 4, 5, 6 + подраздел 1.2, стр. 032, гр. 3, 4, 5, 6;

260. Стр. 033, гр. 3, 4, 5, 6 = подраздел 1.1, стр. 033, гр. 3, 4, 5, 6 + подраздел 1.2, стр. 033, гр. 3, 4, 5, 6;

261. Стр. 040, гр. 3, 5 = подраздел 1.1, стр. 040, гр. 3, 5 + подраздел 1.2, стр. 040, гр. 3, 5;

262. Стр. 041, гр. 3, 5 = подраздел 1.1, стр. 041, гр. 3, 5 + подраздел 1.2, стр. 041, гр. 3, 5;

263. Стр. 042, гр. 3, 5 = подраздел 1.1, стр. 042, гр. 3, 5 + подраздел 1.2, стр. 042, гр. 3, 5;

264. Стр. 050, гр. 3, 4, 5, 6 = подраздел 1.1, стр. 050, гр. 3, 4, 5, 6 + подраздел 1.2, стр. 050, гр. 3, 4, 5, 6;

265. Стр. 070, гр. 3, 5 = подраздел 1.1, стр. 070, гр. 3, 5 + подраздел 1.2, стр. 070, гр. 3, 5;

266. Стр. 080, гр. 3, 5 = подраздел 1.1, стр. 080, гр. 3, 5;

267. Стр. 085, гр. 3, 5 = подраздел 1.1, стр. 085, гр. 3, 5 + подраздел 1.2, стр. 085, гр. 3, 5;

268. Стр. 090, гр. 3, 5 = подраздел 1.1, стр. 090, гр. 3, 5;

269. Стр. 100, гр. 3, 5 = подраздел 1.1, стр. 100, гр. 3, 5 + подраздел 1.2, стр. 100, гр. 3, 5;

270. Стр. 101, гр. 3, 5 = подраздел 1.1, стр. 101, гр. 3, 5 + подраздел 1.2, стр. 101, гр. 3, 5;

271. Стр. 102, гр. 3, 5 = подраздел 1.1, стр. 102, гр. 3, 5 + подраздел 1.2, стр. 102, гр. 3, 5;

272. Стр. 104, гр. 3, 5 = подраздел 1.1, стр. 104, гр. 3, 5;

273. Стр. 110, гр. 3, 5 = подраздел 1.1, стр. 110, гр. 3, 5;

274. Стр. 155, гр. 3, 5 = подраздел 1.1, стр. 155, гр. 3, 5;

275. Стр. 160, гр. 3, 5 = подраздел 1.1, стр. 160, гр. 3, 5;

276. Стр. 161, гр. 3, 5 = подраздел 1.1, стр. 161, гр. 3, 5;

277. Стр. 162, гр. 3, 5 = подраздел 1.1, стр. 162, гр. 3, 5;

278. Стр. 163, гр. 3, 5 = подраздел 1.1, стр. 163, гр. 3, 5;

279. Стр. 170, гр. 3, 5 = подраздел 1.1, стр. 170, гр. 3, 5;

280. Стр. 171, гр. 3, 5 = подраздел 1.1, стр. 171, гр. 3, 5;

281. Стр. 175, гр. 3, 5 = подраздел 1.1, стр. 175, гр. 3, 5;

282. Стр. 185, гр. 3, 5 = подраздел 1.1, стр. 185, гр. 3, 5;

283. Стр. 186, гр. 3, 5 = подраздел 1.1, стр. 186, гр. 3, 5;

284. Стр. 187, гр. 3, 5 = подраздел 1.1, стр. 187, гр. 3, 5;

285. Стр. 188, гр. 3, 5 = подраздел 1.1, стр. 188, гр. 3, 5;

286. Стр. 189, гр. 3, 5 = подраздел 1.1, стр. 189, гр. 3, 5;

287. Стр. 191, гр. 3, 4, 5, 6 = подраздел 1.1, стр. 191, гр. 3, 4, 5, 6 + подраздел 1.2, стр. 191, гр. 3, 4, 5, 6;

288. Стр. 192, гр. 3, 4, 5, 6 = подраздел 1.1, стр. 192, гр. 3, 4, 5, 6 + подраздел 1.2, стр. 192, гр. 3, 4, 5, 6;

289. Если в подразделе 1.2 все строки равны 0, то в подразделе 1.1 все строки равны 0.

290. Если стр. 155, гр. (3 + 4), (5 + 6) > 0, то стр. (185 - 634 - 654), гр. 3, 4 формы N 1-страховщик > показателя стр. 018 гр. 3, 5 раздела 1 формы N 7-страховщик.

Если в любом из подразделов 2.1, 3.1, 4.1, 5.1, 6.1, 7.1, 8.1, 11.1 заполнена хотя бы одна строка, то в подразделах 1.1 и 1.2 необходимо обеспечить соблюдение следующих контрольных соотношений.

Подраздел 1.1 "Активы, удовлетворяющие Требованиям, предъявляемым к составу и структуре активов, принимаемых для покрытия собственных средств страховщика"

1. Стр. 020, гр. 3, 4, 5, 6 = сумма показателей строк 021, 022, 023, 031, 032, 033 гр. 3, 4, 5, 6.

2. Стр. 040, гр. 3, 4, 5, 6 = сумма показателей строк 041, 042, гр. 3, 4, 5, 6.

3. Стр. 050, гр. (3 + 4), (5 + 6) = сумма вложений в акции в разделе 6, гр. 9, 11, пятнадцатый разряд кода ценной бумаги которых (гр. 7 раздела 6) X15 = 0 или 1.

4. Стр. 070, гр. (3 + 4), (5 + 6) = сумма вложений в инвестиционные паи в разделе 8, гр. 7, 9, пятнадцатый разряд кода ценной бумаги которых (гр. 5 раздела 8) X15 = 0 или 1.

5. Стр. 080, гр. (3 + 4), (5 + 6) = раздел 9, стр. "Итого", гр. 7, 8.

6. Стр. 085, гр. (3 + 4), (5 + 6) = раздел 7, стр. "Итого", гр. 6, 8.

7. Стр. 090, гр. (3 + 4), (5 + 6) = раздел 10, стр. "Итого", гр. 7, 8.

8. Стр. 100, гр. (3 + 4), (5 + 6) = сумма банковских вкладов в разделе 11, гр. 7, 8, десятый разряд кода банковского вклада которых (гр. 6 раздела 11) X10 = 0 или 1.

9. Стр. 101, гр. 3, 4, 5, 6 стр. 100, гр. 3, 4, 5, 6.

10. Стр. 102, гр. 3, 4, 5, 6 стр. 101, гр. 3, 4, 5, 6.

11. Стр. 110, гр. (3 + 4), (5 + 6) = раздел 14, стр. "Итого", гр. 5, 6.

12. Стр. 160, гр. (3 + 4), (5 + 6) = раздел 15, стр. "Итого", гр. (5 + 7), (6 + 8).

13. Стр. 160, гр. 3, 4, 5, 6 = стр. (161 + 162 + 163), гр. 3, 4, 5, 6.

14. Стр. 161, гр. 3, 4, 5, 6 стр. 160, гр. 3, 4, 5, 6.

15. Стр. 162, гр. (3 + 4), (5 + 6) раздел 15, стр. "Итого", гр. 5, 6.

16. Стр. 162, гр. 3, 4, 5, 6 стр. 160, гр. 3, 4, 5, 6.

17. Стр. 163, гр. (3 + 4), (5 + 6) раздел 15, стр. "Итого", гр. 7, 8.

18. Стр. 163, гр. 3, 4, 5, 6 стр. 160, гр. 3, 4, 5, 6.

19. Стр. (170 + 171), гр. (3 + 4), (5 + 6) = раздел 16, стр. "Итого", гр. 5, 6.

20. Стр. 175, гр. (3 + 4), (5 + 6) = раздел 12, стр. "Итого", гр. 4, 5.

21. Стр. 185, гр. 4, 6 = стр. (186 + 187), гр. 4, 6.

22. Стр. (186 + 187), гр. 4, 6 = раздел 17, стр. "Итого", гр. 5, 6.

23. Стр. (188 + 189), гр. 4, 6 = раздел 13, стр. "Итого", гр. 4, 5.

24. Стр. 190, гр. 3, 5 = сумма показателей строк 020, 040, 050, 070, 080, 085, 090, 100, 104, 110, 155, 160, 170, 171, 175, гр. 3, 5.

25. Стр. 190, гр. 4, 6 = сумма показателей строк 020, 040, 050, 070, 080, 085, 090, 100, 104, 110, 155, 160, 170, 171, 175, 185, 188, 189, гр. 4, 6.

26. Стр. 190, гр. 3, 4, 5, 6 = стр. (191 + 192), гр. 3, 4, 5, 6.

Если первый разряд кода всех видов активов, представляющих собственные средства страховой организации, (X1) = 01 или 02, то для гр. 3, 5 подраздела 1.1 применяются контрольные соотношения 27 - 51:

27. Стр. 021, гр. 3, 5 = сумма вложений в облигации в разделе 2, гр. 5, 7, первый, второй, третий, пятый, пятнадцатый разряды кода ценной бумаги которых (гр. 3 раздела 2) X1 = 01 или 02, X2 = 1 или 2 или 3, X3 = 1, X5 = 1, X15 = 1;

28. Стр. 022, гр. 3, 5 = сумма вложений в облигации в разделе 3, гр. 9, 11, первый, второй, третий, пятый, пятнадцатый разряды кода ценной бумаги которых (гр. 7 раздела 3) X1 = 01 или 02, X2 = 1 или 2 или 3, X3 = 1, X5 = 2, X15 = 1;

29. Стр. 023, гр. 3, 5 = сумма вложений в облигации в разделе 3, гр. 9, 11, первый, второй, третий, пятый, пятнадцатый разряды кода ценной бумаги которых (гр. 7 раздела 3) X1 = 01 или 02, X2 = 1 или 2 или 3, X3 = 1, X5 = 3, X15 = 1;

30. Стр. 031, гр. 3, 5 = сумма вложений в облигации с ипотечным покрытием в разделе 4, гр. 9, 11, первый, второй, третий, пятый, пятнадцатый разряды кода ценной бумаги которых (гр. 7 раздела 4) X1 = 01 или 02, X2 = 1 или 2 или 3, X3 = 6, X5 = 4 или 6, X15 = 1; X1 = 01 или 02, X2 = 4 или 5 или 6 или 7 или 8 или 9, X3 = 6, X5 = 4 или 7, X15 = 1;

31. Стр. 032, гр. 3, 5 = сумма вложений в жилищные облигации с ипотечным покрытием в разделе 4, гр. 9, 11, первый, второй, третий, пятый, пятнадцатый разряды кода ценной бумаги которых (гр. 7 раздела 4) X1 = 01 или 02, X2 = 1 или 2 или 3, X3 = 7, X5 = 4 или 6, X15 = 1;

32. Стр. 033, гр. 3, 5 = сумма вложений в облигации в разделе 4, гр. 9, 11, первый, второй, третий, пятый, пятнадцатый разряды кода ценной бумаги которых (гр. 7 раздела 4) X1 = 01 или 02, X2 = 1 или 2 или 3, X3 = 1, X5 = 4 или 7 или 8, X15 = 1; X1 = 01 или 02, X2 = 4 или 5 или 6 или 7 или 8 или 9, X3 = 1, X5 = 1 или 2 или 3 или 4 или 7 или 8, X15 = 1;

33. Стр. 041, гр. 3, 5 = сумма вложений в векселя банков в разделе 5, гр. 11, 12, первый, второй, третий, пятый, пятнадцатый разряды кода ценной бумаги которых (гр. 10 раздела 5) X1 = 01 или 02, X2 = 1 или 2 или 3, X3 = 4, X5 = 4, X15 = 1; X1 = 01 или 02, X2 = 4 или 5 или 6, X3 = 4, X5 = 4, X15 = 1;

34. Стр. 042, гр. 3, 5 = сумма вложений в векселя организаций иных, чем банки, в разделе 5, гр. 11, 12, первый, второй, третий, пятый, пятнадцатый разряды кода ценной бумаги которых (гр. 10 раздела 5) X1 = 01 или 02, X2 = 1 или 2 или 3, X3 = 4, X5 = 7 или 8, X15 = 1; X1 = 01 или 02, X2 = 4 или 5 или 6, X3 = 4, X5 = 7 или 8, X15 = 1;

35. Стр. 050, гр. 3, 5 = сумма вложений в акции в разделе 6, гр. 9, 11, первый, пятнадцатый разряды кода ценной бумаги которых (гр. 7 раздела 6) X1 = 01 или 02, X15 = 1;

36. Стр. 070, гр. 3, 5 = сумма вложений в инвестиционные паи в разделе 8, гр. 7, 9, первый, пятнадцатый разряды кода ценной бумаги которых (гр. 5 раздела 8) X1 = 01 или 02, X15 = 1;

37. Стр. 080, гр. 3, 5 = сумма вложений в сертификаты долевого участия в общих фондах банковского управления в разделе 9, гр. 7, 8, первый разряд кода сертификата долевого участия которых (гр. 6 раздела 9) X1 = 01 или 02;

38. Стр. 085, гр. 3, 5 = сумма вложений в ипотечные сертификаты участия в разделе 7, гр. 6, 8, первый разряд кода ценной бумаги которых (гр. 4 раздела 7) X1 = 01 или 02;

39. Стр. 090, гр. 3, 5 = сумма вложений в недвижимое имущество в разделе 10, гр. 7, 8, первый разряд кода недвижимого имущества которых (гр. 6 раздела 10) X1 = 01 или 02;

40. Стр. 100, гр. 3, 5 = сумма банковских вкладов в разделе 11, гр. 7, 8, первый, десятый разряды кода банковского вклада которых (гр. 6 раздела 11) X1 = 01 или 02, X10 = 1;

41. Стр. 101, гр. 3, 5 = сумма банковских вкладов в разделе 11, гр. 7, 8, первый, пятый, десятый разряды кода банковского вклада которых (гр. 6 раздела 11) X1 = 01 или 02, X5 = 1 или 2, X10 = 1;

42. Стр. 102, гр. 3, 5 = сумма банковских вкладов, удостоверенных депозитными сертификатами, в разделе 11, гр. 7, 8, первый, пятый, десятый разряды кода банковского вклада которых (гр. 6 раздела 11) X1 = 01 или 02, X5 = 1, X10 = 1;

43. Стр. 110, гр. 3, 5 = сумма дебиторской задолженности организаций и физических лиц в разделе 14, гр. 5, 6, первый разряд кода дебиторской задолженности которых (гр. 4 раздела 14) X1 = 01 или 02;

44. Стр. 161, гр. 3, 5 = сумма денежной наличности в разделе 15, гр. (5 + 7), (6 + 8), первый, третий, пятый разряды кода денежных средств которых (гр. 4 раздела 15) X1 = 01 или 02, X3 = 5, X5 = 1 или 2 или 3 или 4 или 5 или 6;

45. Стр. 162, гр. 3, 5 = сумма денежных средств на счетах в банках в разделе 15, гр. 5, 6, первый, третий, пятый разряды кода денежных средств которых (гр. 4 раздела 15) X1 = 01 или 02, X3 = 1 или 2 или 3, X5 = 6;

46. Стр. 163, гр. 3, 5 = сумма денежных средств на счетах в банках в разделе 15, гр. 7, 8, первый, третий, пятый разряды кода денежных средств которых (гр. 4 раздела 15) X1 = 01 или 02, X3 = 1 или 2 или 3, X5 = 1 или 2 или 3 или 4 или 5;

47. Стр. 170, гр. 3, 5 = сумма вложений в слитки золота и серебра в разделе 16, гр. 5, 6, первый, третий, четвертый разряды кода слитков которых (гр. 4 раздела 16) X1 = 01 или 02, X3 = 9, X4 = 4 или 5;

48. Стр. 171, гр. 3, 5 = сумма вложений в слитки платины и палладия, памятные монеты Российской Федерации из драгоценных металлов в разделе 16, гр. 5, 6, первый, третий, четвертый разряды кода слитков которых (гр. 4 раздела 16) X1 = 01 или 02, X3 = 9, X4 = 6 или 7 или 8;

49. Стр. 175, гр. 3, 5 = сумма активов, необходимых для осуществления финансово-хозяйственной деятельности, за исключением недвижимого имущества, в разделе 12, гр. 4, 5, первый разряд кода активов, необходимых для осуществления финансово-хозяйственной деятельности, за исключением недвижимого имущества, которых (гр. 3 раздела 12) X1 = 01 или 02;

50. Стр. 191, гр. 3, 5 = сумма стоимости активов в подразделе 1.1, стр. 104, гр. 3, 5; стр. 155, гр. 3, 5; разделах 2, гр. 5, 7; 3, гр. 9, 11; 4, гр. 9, 11; 5, гр. 11, 12; 6, гр. 9, 11; 7, гр. 6, 8; 8, гр. 7, 9; 9, гр. 7, 8; 10, гр. 7, 8; 11, гр. 7, 8; 12, гр. 4, 5; 14, гр. 5, 6; 15, гр. (5 + 7), (6 + 8); 16, гр. 5, 6, первый, второй, пятнадцатый разряды кода которых (гр. 3 раздела 2, гр. 4 раздела 7, гр. 5 раздела 8, гр. 7 разделов 3, 4, 6, гр. 10 раздела 5) X1 = 01 или 02, X2 = 1 или 2 или 3, X15 = 1; первый, второй разряды кода которых (гр. 3 раздела 12, гр. 4 разделов 14, 15, 16, гр. 6 разделов 9, 10) X1 = 01 или 02, X2 = 1 или 2 или 3; первый, второй, десятый разряды кода которых (гр. 6 раздела 11) X1 = 01 или 02, X2 = 1 или 2 или 3, X10 = 1;

51. Стр. 192, гр. 3, 5 = сумма стоимости активов в разделах 4, гр. 9, 11; 5, гр. 11, 12; 6, гр. 9, 11; 10, гр. 7, 8; 11, гр. 7, 8; 12, гр. 4, 5; 14, гр. 5, 6; 15, гр. (5 + 7), (6 + 8), первый, второй, пятнадцатый разряды кода которых (гр. 7 разделов 4, 6, гр. 10 раздела 5) X1 = 01 или 02, X2 = 4 или 5 или 6 или 7 или 8 или 9, X15 = 1; первый, второй разряды кода которых (гр. 3 раздела 12, гр. 4 разделов 14, 15, гр. 6 раздела 10) X1 = 01 или 02, X2 = 4 или 5 или 6 или 7 или 8 или 9; первый, второй, десятый разряды кода которых (гр. 6 раздела 11) X1 = 01 или 02, X2 = 4 или 5 или 6 или 7 или 8 или 9, X10 = 1.

Если первый разряд кода всех видов активов, представляющих собственные средства страховой организации, (X1) = 03 или 04, то для гр. 4, 6 подраздела 1.1 применяются контрольные соотношения 52 - 80:

52. Стр. 021, гр. 4, 6 = сумма вложений в облигации в разделе 2, гр. 5, 7, первый, второй, третий, пятый, пятнадцатый разряды кода ценной бумаги которых (гр. 3 раздела 2) X1 = 03 или 04, X2 = 1 или 2 или 3, X3 = 1, X5 = 1, X15 = 0 или 1;

53. Стр. 022, гр. 4, 6 = сумма вложений в облигации в разделе 3, гр. 9, 11, первый, второй, третий, пятый, пятнадцатый разряды кода ценной бумаги которых (гр. 7 раздела 3) X1 = 03 или 04, X2 = 1 или 2 или 3, X3 = 1, X5 = 2, X15 = 0 или 1;

54. Стр. 023, гр. 4, 6 = сумма вложений в облигации в разделе 3, гр. 9, 11, первый, второй, третий, пятый, пятнадцатый разряды кода ценной бумаги которых (гр. 7 раздела 3) X1 = 03 или 04, X2 = 1 или 2 или 3, X3 = 1, X5 = 3, X15 = 0 или 1;

55. Стр. 031, гр. 4, 6 = сумма вложений в облигации с ипотечным покрытием в разделе 4, гр. 9, 11, первый, второй, третий, пятый, пятнадцатый разряды кода ценной бумаги которых (гр. 7 раздела 4) X1 = 03 или 04, X2 = 1 или 2 или 3, X3 = 6, X5 = 4 или 6, X15 = 0 или 1; X1 = 03 или 04, X2 = 4 или 5 или 6 или 7 или 8 или 9, X3 = 6, X5 = 4 или 7, X15 = 0 или 1;

56. Стр. 032, гр. 4, 6 = сумма вложений в жилищные облигации с ипотечным покрытием в разделе 4, гр. 9, 11, первый, второй, третий, пятый, пятнадцатый разряды кода ценной бумаги которых (гр. 7 раздела 4) X1 = 03 или 04, X2 = 1 или 2 или 3, X3 = 7, X5 = 4 или 6, X15 = 0 или 1;

57. Стр. 033, гр. 4, 6 = сумма вложений в облигации в разделе 4, гр. 9, 11, первый, второй, третий, пятый, пятнадцатый разряды кода ценной бумаги которых (гр. 7 раздела 4) X1 = 03 или 04, X2 = 1 или 2 или 3, X3 = 1, X5 = 4 или 7 или 8, X15 = 0 или 1; X1 = 03 или 04, X2 = 4 или 5 или 6 или 7 или 8 или 9, X3 = 1, X5 = 1 или 2 или 3 или 4 или 7 или 8, X15 = 0 или 1;

58. Стр. 041, гр. 4, 6 = сумма вложений в векселя банков в разделе 5, гр. 11, 12, первый, второй, третий, пятый, пятнадцатый разряды кода ценной бумаги которых (гр. 10 раздела 5) X1 = 03 или 04, X2 = 1 или 2 или 3, X3 = 4, X5 = 4, X15 = 0 или 1; X1 = 03 или 04, X2 = 4 или 5 или 6, X3 = 4, X5 = 4, X15 = 0 или 1;

59. Стр. 042, гр. 4, 6 = сумма вложений в векселя организаций иных, чем банки, в разделе 5, гр. 11, 12, первый, второй, третий, пятый, пятнадцатый разряды кода ценной бумаги которых (гр. 10 раздела 5) X1 = 03 или 04, X2 = 1 или 2 или 3, X3 = 4, X5 = 7 или 8, X15 = 0 или 1; X1 = 03 или 04, X2 = 4 или 5 или 6, X3 = 4, X5 = 7 или 8, X15 = 0 или 1;

60. Стр. 050, гр. 4, 6 = сумма вложений в акции в разделе 6, гр. 9, 11, первый, пятнадцатый разряды кода ценной бумаги которых (гр. 7 раздела 6) X1 = 03 или 04, X15 = 0 или 1;

61. Стр. 070, гр. 4, 6 = сумма вложений в инвестиционные паи в разделе 8, гр. 7, 9, первый, пятнадцатый разряды кода ценной бумаги которых (гр. 5 раздела 8) X1 = 03 или 04, X15 = 0 или 1;

62. Стр. 080, гр. 4, 6 = сумма вложений в сертификаты долевого участия в общих фондах банковского управления в разделе 9, гр. 7, 8, первый разряд кода сертификата долевого участия которых (гр. 6 раздела 9) X1 = 03 или 04;

63. Стр. 085, гр. 4, 6 = сумма вложений в ипотечные сертификаты участия в разделе 7, гр. 6, 8, первый разряд кода ценной бумаги которых (гр. 4 раздела 7) X1 = 03 или 04;

64. Стр. 090, гр. 4, 6 = сумма вложений в недвижимое имущество в разделе 10, гр. 7, 8, первый разряд кода недвижимого имущества которых (гр. 6 раздела 10) X1 = 03 или 04;

65. Стр. 100, гр. 4, 6 = сумма банковских вкладов в разделе 11, гр. 7, 8, первый, десятый разряды кода банковского вклада которых (гр. 6 раздела 11) X1 = 03 или 04, X10 = 0 или 1;

66. Стр. 101, гр. 4, 6 = сумма банковских вкладов в разделе 11, гр. 7, 8, первый, пятый, десятый разряды кода банковского вклада которых (гр. 6 раздела 11) X1 = 03 или 04, X5 = 1 или 2, X10 = 0 или 1;

67. Стр. 102, гр. 4, 6 = сумма банковских вкладов, удостоверенных депозитными сертификатами, в разделе 11, гр. 7, 8, первый, пятый, десятый разряды кода банковского вклада которых (гр. 6 раздела 11) X1 = 03 или 04, X5 = 1, X10 = 0 или 1;

68. Стр. 110, гр. 4, 6 = сумма дебиторской задолженности организаций и физических лиц в разделе 14, гр. 5, 6, первый разряд кода дебиторской задолженности которых (гр. 4 раздела 14) X1 = 03 или 04;

69. Стр. 161, гр. 4, 6 = сумма денежной наличности в разделе 15, гр. (5 + 7), (6 + 8), первый, третий, пятый разряды кода денежных средств которых (гр. 4 раздела 15) X1 = 03 или 04, X3 = 5, X5 = 1 или 2 или 3 или 4 или 5 или 6;

70. Стр. 162, гр. 4, 6 = сумма денежных средств на счетах в банках в разделе 15, гр. 5, 6, первый, третий, пятый разряды кода денежных средств которых (гр. 4 раздела 15) X1 = 03 или 04, X3 = 1 или 2 или 3, X5 = 6;

71. Стр. 163, гр. 4, 6 = сумма денежных средств на счетах в банках в разделе 15, гр. 7, 8, первый, третий, пятый разряды кода денежных средств которых (гр. 4 раздела 15) X1 = 03 или 04, X3 = 1 или 2 или 3, X5 = 1 или 2 или 3 или 4 или 5;

72. Стр. 170, гр. 4, 6 = сумма вложений в слитки золота и серебра в разделе 16, гр. 5, 6, первый, третий, четвертый разряды кода слитков которых (гр. 4 раздела 16) X1 = 03 или 04, X3 = 9, X4 = 4 или 5;

73. Стр. 171, гр. 4, 6 = сумма вложений в слитки платины и палладия, памятные монеты Российской Федерации из драгоценных металлов в разделе 16, гр. 5, 6, первый, третий, четвертый разряды кода слитков которых (гр. 4 раздела 16) X1 = 03 или 04, X3 = 9, X4 = 6 или 7 или 8;

74. Стр. 175, гр. 4, 6 = сумма активов, необходимых для осуществления финансово-хозяйственной деятельности, за исключением недвижимого имущества, в разделе 12, гр. 4, 5, первый разряд кода активов, необходимых для осуществления финансово-хозяйственной деятельности, за исключением недвижимого имущества, которых (гр. 3 раздела 12) X1 = 03 или 04;

75. Стр. 186, гр. 4, 6 = сумма займов, предоставленных дочерним и зависимым обществам, в разделе 17, гр. 5, 6, первый, четвертый разряды кода займа которых (гр. 4 раздела 17) X1 = 03 или 04, X4 = 1 или 2;

76. Стр. 187, гр. 4, 6 = сумма займов, предоставленных другим организациям, в разделе 17, гр. 5, 6, первый, четвертый разряды кода займа которых (гр. 4 раздела 17) X1 = 03 или 04, X4 = 3;

77. Стр. 188, гр. 4, 6 = сумма вложений в объекты интеллектуальной собственности в разделе 13, гр. 4, 5, первый, четвертый разряды кода объекта интеллектуальной собственности и иных активов, кроме активов, отраженных по строкам 020 - 188 раздела 1, которых (гр. 3 раздела 13) X1 = 03 или 04, X4 = 06;

78. Стр. 189, гр. 4, 6 = сумма иных активов, кроме активов, отраженных по строкам 020 - 188 раздела 1, в разделе 13, гр. 4, 5, первый, четвертый разряды кода объекта интеллектуальной собственности и иных активов, кроме активов, отраженных по строкам 020 - 188 раздела 1, которых (гр. 3 раздела 13) X1 = 03 или 04, X4 = 01 или 02 или 03 или 05 или 07 или 08 или 09 или 10 или 11 или 12 или 13 или 14 или 15 или 16 или 17 или 18 или 19 или 20 или 30;

79. Стр. 191, гр. 4, 6 = сумма стоимости активов в подразделе 1.1, стр. 104, гр. 4, 6; стр. 155, гр. 4, 6; разделах 2, гр. 5, 7; 3, гр. 9, 11; 4, гр. 9, 11; 5, гр. 11, 12; 6, гр. 9, 11; 7, гр. 6, 8; 8, гр. 7, 9; 9, гр. 7, 8; 10, гр. 7, 8; 11, гр. 7, 8; 12, гр. 4, 5; 13, гр. 4, 5; 14, гр. 5, 6; 15, гр. (5 + 7), (6 + 8); 16, гр. 5, 6; 17, гр. 5, 6, первый, второй, пятнадцатый разряды кода которых (гр. 3 раздела 2, гр. 5 раздела 8, гр. 4 раздела 7, гр. 7 разделов 3, 4, 6, гр. 10 раздела 5) X1 = 03 или 04, X2 = 1 или 2 или 3, X15 = 0 или 1; первый, второй разряды кода которых (гр. 3 разделов 12, 13, гр. 4 разделов 14, 15, 16, 17, гр. 6 разделов 9, 10) X1 = 03 или 04, X2 = 1 или 2 или 3; первый, второй, десятый разряды кода которых (гр. 6 раздела 11) X1 = 03 или 04, X2 = 1 или 2 или 3, X10 = 0 или 1;

80. Стр. 192, гр. 4, 6 = сумма стоимости активов в разделах 4, гр. 9, 11; 5, гр. 11, 12; 6, гр. 9, 11; 10, гр. 7, 8; 11, гр. 7, 8; 12, гр. 4, 5; 13, гр. 4, 5; 14, гр. 5, 6; 15, гр. (5 + 7), (6 + 8); 17, гр. 5, 6, первый, второй, пятнадцатый разряды кода которых (гр. 7 разделов 4, 6, гр. 10 раздела 5) X1 = 03 или 04, X2 = 4 или 5 или 6 или 7 или 8 или 9, X15 = 0 или 1; первый, второй разряды кода которых (гр. 3 разделов 12, 13, гр. 4 разделов 14, 15, 17, гр. 6 раздела 10) X1 = 03 или 04, X2 = 4 или 5 или 6 или 7 или 8 или 9; первый, второй, десятый разряды кода которых (гр. 6 раздела 11) X1 = 03 или 04, X2 = 4 или 5 или 6 или 7 или 8 или 9, X10 = 0 или 1.

Если первый разряд кода всех видов активов, представляющих собственные средства страховой организации, (X1) = 05 или 06, то для гр. 3, 5 подраздела 1.1 применяются контрольные соотношения 81 - 105:

81. Стр. 021, гр. 3, 5 = сумма вложений в облигации в разделе 2, гр. 5, 7, первый, второй, третий, пятый, пятнадцатый разряды кода ценной бумаги которых (гр. 3 раздела 2) X1 = 05 или 06, X2 = 1 или 2 или 3, X3 = 1, X5 = 1, X15 = 1;

82. Стр. 022, гр. 3, 5 = сумма вложений в облигации в разделе 3, гр. 9, 11, первый, второй, третий, пятый, пятнадцатый разряды кода ценной бумаги которых (гр. 7 раздела 3) X1 = 05 или 06, X2 = 1 или 2 или 3, X3 = 1, X5 = 2, X15 = 1;

83. Стр. 023, гр. 3, 5 = сумма вложений в облигации в разделе 3, гр. 9, 11, первый, второй, третий, пятый, пятнадцатый разряды кода ценной бумаги которых (гр. 7 раздела 3) X1 = 05 или 06, X2 = 1 или 2 или 3, X3 = 1, X5 = 3, X15 = 1;

84. Стр. 031, гр. 3, 5 = сумма вложений в облигации с ипотечным покрытием в разделе 4, гр. 9, 11, первый, второй, третий, пятый, пятнадцатый разряды кода ценной бумаги которых (гр. 7 раздела 4) X1 = 05 или 06, X2 = 1 или 2 или 3, X3 = 6, X5 = 4 или 6, X15 = 1; X1 = 05 или 06, X2 = 4 или 5 или 6 или 7 или 8 или 9, X3 = 6, X5 = 4 или 7, X15 = 1;

85. Стр. 032, гр. 3, 5 = сумма вложений в жилищные облигации с ипотечным покрытием в разделе 4, гр. 9, 11, первый, второй, третий, пятый, пятнадцатый разряды кода ценной бумаги которых (гр. 7 раздела 4) X1 = 05 или 06, X2 = 1 или 2 или 3, X3 = 7, X5 = 4 или 6, X15 = 1;

86. Стр. 033, гр. 3, 5 = сумма вложений в облигации в разделе 4, гр. 9, 11, первый, второй, третий, пятый, пятнадцатый разряды кода ценной бумаги которых (гр. 7 раздела 4) X1 = 05 или 06, X2 = 1 или 2 или 3, X3 = 1, X5 = 4 или 7 или 8, X15 = 1; X1 = 05 или 06, X2 = 4 или 5 или 6 или 7 или 8 или 9, X3 = 1, X5 = 1 или 2 или 3 или 4 или 7 или 8, X15 = 1;

87. Стр. 041, гр. 3, 5 = сумма вложений в векселя банков в разделе 5, гр. 11, 12, первый, второй, третий, пятый, пятнадцатый разряды кода ценной бумаги которых (гр. 10 раздела 5) X1 = 05 или 06, X2 = 1 или 2 или 3, X3 = 4, X5 = 4, X15 = 1; X1 = 05 или 06, X2 = 4 или 5 или 6, X3 = 4, X5 = 4, X15 = 1;

88. Стр. 042, гр. 3, 5 = сумма вложений в векселя организаций иных, чем банки, в разделе 5, гр. 11, 12, первый, второй, третий, пятый, пятнадцатый разряды кода ценной бумаги которых (гр. 10 раздела 5) X1 = 05 или 06, X2 = 1 или 2 или 3, X3 = 4, X5 = 7 или 8, X15 = 1; X1 = 05 или 06, X2 = 4 или 5 или 6, X3 = 4, X5 = 7 или 8, X15 = 1;

89. Стр. 050, гр. 3, 5 = сумма вложений в акции в разделе 6, гр. 9, 11, первый, пятнадцатый разряды кода ценной бумаги которых (гр. 7 раздела 6) X1 = 05 или 06, X15 = 1;

90. Стр. 070, гр. 3, 5 = сумма вложений в инвестиционные паи в разделе 8, гр. 7, 9, первый, пятнадцатый разряды кода ценной бумаги которых (гр. 5 раздела 8) X1 = 05 или 06, X15 = 1;

91. Стр. 080, гр. 3, 5 = сумма вложений в сертификаты долевого участия в общих фондах банковского управления в разделе 9, гр. 7, 8, первый разряд кода сертификата долевого участия которых (гр. 6 раздела 9) X1 = 05 или 06;

92. Стр. 085, гр. 3, 5 = сумма вложений в ипотечные сертификаты участия в разделе 7, гр. 6, 8, первый разряд кода ценной бумаги которых (гр. 4 раздела 7) X1 = 05 или 06;

93. Стр. 090, гр. 3, 5 = сумма вложений в недвижимое имущество в разделе 10, гр. 7, 8, первый разряд кода недвижимого имущества которых (гр. 6 раздела 10) X1 = 05 или 06;

94. Стр. 100, гр. 3, 5 = сумма банковских вкладов в разделе 11, гр. 7, 8, первый, десятый разряды кода банковского вклада которых (гр. 6 раздела 11) X1 = 05 или 06, X10 = 1;

95. Стр. 101, гр. 3, 5 = сумма банковских вкладов в разделе 11, гр. 7, 8, первый, пятый, десятый разряды кода банковского вклада которых (гр. 6 раздела 11) X1 = 05 или 06, X5 = 1 или 2, X10 = 1;

96. Стр. 102, гр. 3, 5 = сумма банковских вкладов, удостоверенных депозитными сертификатами, в разделе 11, гр. 7, 8, первый, пятый, десятый разряды кода банковского вклада которых (гр. 6 раздела 11) X1 = 05 или 06, X5 = 1, X10 = 1;

97. Стр. 110, гр. 3, 5 = сумма дебиторской задолженности организаций и физических лиц в разделе 14, гр. 5, 6, первый разряд кода дебиторской задолженности которых (гр. 4 раздела 14) X1 = 05 или 06;

98. Стр. 161, гр. 3, 5 = сумма денежной наличности в разделе 15, гр. (5 + 7), (6 + 8), первый, третий, пятый разряды кода денежных средств которых (гр. 4 раздела 15) X1 = 05 или 06, X3 = 5, X5 = 1 или 2 или 3 или 4 или 5 или 6;

99. Стр. 162, гр. 3, 5 = сумма денежных средств на счетах в банках в разделе 15, гр. 5, 6, первый, третий, пятый разряды кода денежных средств которых (гр. 4 раздела 15) X1 = 05 или 06, X3 = 1 или 2 или 3, X5 = 6;

100. Стр. 163, гр. 3, 5 = сумма денежных средств на счетах в банках в разделе 15, гр. 7, 8, первый, третий, пятый разряды кода денежных средств которых (гр. 4 раздела 15) X1 = 05 или 06, X3 = 1 или 2 или 3, X5 = 1 или 2 или 3 или 4 или 5;

101. Стр. 170, гр. 3, 5 = сумма вложений в слитки золота и серебра в разделе 16, гр. 5, 6, первый, третий, четвертый разряды кода слитков которых (гр. 4 раздела 16) X1 = 05 или 06, X3 = 9, X4 = 4 или 5;

102. Стр. 171, гр. 3, 5 = сумма вложений в слитки платины и палладия, памятные монеты Российской Федерации из драгоценных металлов в разделе 16, гр. 5, 6, первый, третий, четвертый разряды кода слитков которых (гр. 4 раздела 16) X1 = 05 или 06, X3 = 9, X4 = 6 или 7 или 8;

103. Стр. 175, гр. 3, 5 = сумма активов, необходимых для осуществления финансово-хозяйственной деятельности, за исключением недвижимого имущества, в разделе 12, гр. 4, 5, первый разряд кода активов, необходимых для осуществления финансово-хозяйственной деятельности, за исключением недвижимого имущества, которых (гр. 3 раздела 12) X1 = 05 или 06;

104. Стр. 191, гр. 3, 5 = сумма стоимости активов в подразделе 1.1, стр. 104, гр. 3, 5; стр. 155, гр. 3, 5; разделах 2, гр. 5, 7; 3, гр. 9, 11; 4, гр. 9, 11; 5, гр. 11, 12; 6, гр. 9, 11; 7, гр. 6, 8; 8, гр. 7, 9; 9, гр. 7, 8; 10, гр. 7, 8; 11, гр. 7, 8; 12, гр. 4, 5; 14, гр. 5, 6; 15, гр. (5 + 7), (6 + 8); 16, гр. 5, 6, первый, второй, пятнадцатый разряды кода которых (гр. 3 раздела 2, гр. 4 раздела 7, гр. 5 раздела 8, гр. 7 разделов 3, 4, 6, гр. 10 раздела 5) X1 = 05 или 06, X2 = 1 или 2 или 3, X15 = 1; первый, второй разряды кода которых (гр. 3 раздела 12, гр. 4 разделов 14, 15, 16, гр. 6 разделов 9, 10) X1 = 05 или 06, X2 = 1 или 2 или 3; первый, второй, десятый разряды кода которых (гр. 6 раздела 11) X1 = 05 или 06, X2 = 1 или 2 или 3, X10 = 1;

105. Стр. 192, гр. 3, 5 = сумма стоимости активов в разделах 4, гр. 9, 11; 5, гр. 11, 12; 6, гр. 9, 11; 10, гр. 7, 8; 11, гр. 7, 8; 12, гр. 4, 5; 14, гр. 5, 6; 15, гр. (5 + 7), (6 + 8), первый, второй, пятнадцатый разряды кода которых (гр. 7 разделов 4, 6, гр. 10 раздела 5) X1 = 05 или 06, X2 = 4 или 5 или 6 или 7 или 8 или 9, X15 = 1; первый, второй разряды кода которых (гр. 3 раздела 12, гр. 4 разделов 14, 15, гр. 6 раздела 10) X1 = 05 или 06, X2 = 4 или 5 или 6 или 7 или 8 или 9; первый, второй, десятый разряды кода которых (гр. 6 раздела 11) X1 = 05 или 06, X2 = 4 или 5 или 6 или 7 или 8 или 9, X10 = 1.

Если первый разряд кода всех видов активов, представляющих собственные средства страховой организации, (X1) = 07 или 08, то для гр. 4, 6 подраздела 1.1 применяются контрольные соотношения 106 - 134:

106. Стр. 021, гр. 4, 6 = сумма вложений в облигации в разделе 2, гр. 5, 7, первый, второй, третий, пятый, пятнадцатый разряды кода ценной бумаги которых (гр. 3 раздела 2) X1 = 07 или 08, X2 = 1 или 2 или 3, X3 = 1, X5 = 1, X15 = 0 или 1;

107. Стр. 022, гр. 4, 6 = сумма вложений в облигации в разделе 3, гр. 9, 11, первый, второй, третий, пятый, пятнадцатый разряды кода ценной бумаги которых (гр. 7 раздела 3) X1 = 07 или 08, X2 = 1 или 2 или 3, X3 = 1, X5 = 2, X15 = 0 или 1;

108. Стр. 023, гр. 4, 6 = сумма вложений в облигации в разделе 3, гр. 9, 11, первый, второй, третий, пятый, пятнадцатый разряды кода ценной бумаги которых (гр. 7 раздела 3) X1 = 07 или 08, X2 = 1 или 2 или 3, X3 = 1, X5 = 3, X15 = 0 или 1;

109. Стр. 031, гр. 4, 6 = сумма вложений в облигации с ипотечным покрытием в разделе 4, гр. 9, 11, первый, второй, третий, пятый, пятнадцатый разряды кода ценной бумаги которых (гр. 7 раздела 4) X1 = 07 или 08, X2 = 1 или 2 или 3, X3 = 6, X5 = 4 или 6, X15 = 0 или 1; X1 = 07 или 08, X2 = 4 или 5 или 6 или 7 или 8 или 9, X3 = 6, X5 = 4 или 7, X15 = 0 или 1;

110. Стр. 032, гр. 4, 6 = сумма вложений в жилищные облигации с ипотечным покрытием в разделе 4, гр. 9, 11, первый, второй, третий, пятый, пятнадцатый разряды кода ценной бумаги которых (гр. 7 раздела 4) X1 = 07 или 08, X2 = 1 или 2 или 3, X3 = 7, X5 = 4 или 6, X15 = 0 или 1;

111. Стр. 033, гр. 4, 6 = сумма вложений в облигации в разделе 4, гр. 9, 11, первый, второй, третий, пятый, пятнадцатый разряды кода ценной бумаги которых (гр. 7 раздела 4) X1 = 07 или 08, X2 = 1 или 2 или 3, X3 = 1, X5 = 4 или 7 или 8, X15 = 0 или 1; X1 = 07 или 08, X2 = 4 или 5 или 6 или 7 или 8 или 9, X3 = 1, X5 = 1 или 2 или 3 или 4 или 7 или 8, X15 = 0 или 1;

112. Стр. 041, гр. 4, 6 = сумма вложений в векселя банков в разделе 5, гр. 11, 12, первый, второй, третий, пятый, пятнадцатый разряды кода ценной бумаги которых (гр. 10 раздела 5) X1 = 07 или 08, X2 = 1 или 2 или 3, X3 = 4, X5 = 4, X15 = 0 или 1; X1 = 07 или 08, X2 = 4 или 5 или 6, X3 = 4, X5 = 4, X15 = 0 или 1;

113. Стр. 042, гр. 4, 6 = сумма вложений в векселя организаций иных, чем банки, в разделе 5, гр. 11, 12, первый, второй, третий, пятый, пятнадцатый разряды кода ценной бумаги которых (гр. 10 раздела 5) X1 = 07 или 08, X2 = 1 или 2 или 3, X3 = 4, X5 = 7 или 8, X15 = 0 или 1; X1 = 07 или 08, X2 = 4 или 5 или 6, X3 = 4, X5 = 7 или 8, X15 = 0 или 1;

114. Стр. 050, гр. 4, 6 = сумма вложений в акции в разделе 6, гр. 9, 11, первый, пятнадцатый разряды кода ценной бумаги которых (гр. 7 раздела 6) X1 = 07 или 08, X15 = 0 или 1;

115. Стр. 070, гр. 4, 6 = сумма вложений в инвестиционные паи в разделе 8, гр. 7, 9, первый, пятнадцатый разряды кода ценной бумаги которых (гр. 5 раздела 8) X1 = 07 или 08, X15 = 0 или 1;

116. Стр. 080, гр. 4, 6 = сумма вложений в сертификаты долевого участия в общих фондах банковского управления в разделе 9, гр. 7, 8, первый разряд кода сертификата долевого участия которых (гр. 6 раздела 9) X1 = 07 или 08;

117. Стр. 085, гр. 4, 6 = сумма вложений в ипотечные сертификаты участия в разделе 7, гр. 4, 5, первый разряд кода ценной бумаги которых (гр. 3 раздела 7) X1 = 07 или 08;

118. Стр. 090, гр. 4, 6 = сумма вложений в недвижимое имущество в разделе 10, гр. 7, 8, первый разряд кода недвижимого имущества которых (гр. 6 раздела 10) X1 = 07 или 08;

119. Стр. 100, гр. 4, 6 = сумма банковских вкладов в разделе 11, гр. 7, 8, первый, десятый разряды кода банковского вклада которых (гр. 6 раздела 11) X1 = 07 или 08, X10 = 0 или 1;

120. Стр. 101, гр. 4, 6 = сумма банковских вкладов в разделе 11, гр. 7, 8, первый, пятый, десятый разряды кода банковского вклада которых (гр. 6 раздела 11) X1 = 07 или 08, X5 = 1 или 2, X10 = 0 или 1;

121. Стр. 102, гр. 4, 6 = сумма банковских вкладов, удостоверенных депозитными сертификатами, в разделе 11, гр. 7, 8, первый, пятый, десятый разряды кода банковского вклада которых (гр. 6 раздела 11) X1 = 07 или 08, X5 = 1, X10 = 0 или 1;

122. Стр. 110, гр. 4, 6 = сумма дебиторской задолженности организаций и физических лиц в разделе 14, гр. 5, 6, первый разряд кода дебиторской задолженности которых (гр. 4 раздела 14) X1 = 07 или 08;

123. Стр. 161, гр. 4, 6 = сумма денежной наличности в разделе 15, гр. (5 + 7), (6 + 8), первый, третий, пятый разряды кода денежных средств которых (гр. 4 раздела 15) X1 = 07 или 08, X3 = 5, X5 = 1 или 2 или 3 или 4 или 5 или 6;

124. Стр. 162, гр. 4, 6 = сумма денежных средств на счетах в банках в разделе 15, гр. 5, 6, первый, третий, пятый разряды кода денежных средств которых (гр. 4 раздела 15) X1 = 07 или 08, X3 = 1 или 2 или 3, X5 = 6;

125. Стр. 163, гр. 4, 6 = сумма денежных средств на счетах в банках в разделе 15, гр. 7, 8, первый, третий, пятый разряды кода денежных средств которых (гр. 4 раздела 15) X1 = 07 или 08, X3 = 1 или 2 или 3, X5 = 1 или 2 или 3 или 4 или 5;

126. Стр. 170, гр. 4, 6 = сумма вложений в слитки золота и серебра в разделе 16, гр. 5, 6, первый, третий, четвертый разряды кода слитков которых (гр. 4 раздела 16) X1 = 07 или 08, X3 = 9, X4 = 4 или 5;

127. Стр. 171, гр. 4, 6 = сумма вложений в слитки платины и палладия, памятные монеты Российской Федерации из драгоценных металлов в разделе 16, гр. 5, 6, первый, третий, четвертый разряды кода слитков которых (гр. 4 раздела 16) X1 = 07 или 08, X3 = 9, X4 = 6 или 7 или 8;

128. Стр. 175, гр. 4, 6 = сумма активов, необходимых для осуществления финансово-хозяйственной деятельности, за исключением недвижимого имущества, в разделе 12, гр. 4, 5, первый разряд кода активов, необходимых для осуществления финансово-хозяйственной деятельности, за исключением недвижимого имущества, которых (гр. 3 раздела 12) X1 = 07 или 08;

129. Стр. 186, гр. 4, 6 = сумма займов, предоставленных дочерним и зависимым обществам, в разделе 17, гр. 5, 6, первый, четвертый разряды кода займа которых (гр. 4 раздела 17) X1 = 07 или 08, X4 = 1 или 2;

130. Стр. 187, гр. 4, 6 = сумма займов, предоставленных другим организациям, в разделе 17, гр. 5, 6, первый, четвертый разряды кода займа которых (гр. 4 раздела 17) X1 = 07 или 08, X4 = 3;

131. Стр. 188, гр. 4, 6 = сумма вложений в объекты интеллектуальной собственности в разделе 13, гр. 4, 5, первый, четвертый разряды кода объекта интеллектуальной собственности и иных активов, кроме активов, отраженных по строкам 020 - 188 раздела 1, которых (гр. 3 раздела 13) X1 = 07 или 08, X4 = 06;

132. Стр. 189, гр. 4, 6 = сумма иных активов, кроме активов, отраженных по строкам 020 - 188 раздела 1, в разделе 13, гр. 4, 5, первый, четвертый разряды кода объекта интеллектуальной собственности и иных активов, кроме активов, отраженных по строкам 020 - 188 раздела 1, которых (гр. 3 раздела 13) X1 = 07 или 08, X4 = 01 или 02 или 03 или 05 или 07 или 08 или 09 или 10 или 11 или 12 или 13 или 14 или 15 или 16 или 17 или 18 или 19 или 20 или 30;

133. Стр. 191, гр. 4, 6 = сумма стоимости активов в подразделе 1.1, стр. 104, гр. 4, 6; стр. 155, гр. 4, 6; разделах 2, гр. 5, 7; 3, гр. 9, 11; 4, гр. 9, 11; 5, гр. 11, 12; 6, гр. 9, 11; 7, гр. 6, 8; 8, гр. 7, 9; 9, гр. 7, 8; 10, гр. 7, 8; 11, гр. 7, 8; 12, гр. 4, 5; 13, гр. 4, 5; 14, гр. 5, 6; 15, гр. (5 + 7), (6 + 8); 16, гр. 5, 6; 17, гр. 5, 6, первый, второй, пятнадцатый разряды кода которых (гр. 3 раздела 2, гр. 4 раздела 7, гр. 5 раздела 8, гр. 7 разделов 3, 4, 6, гр. 10 раздела 5) X1 = 07 или 08, X2 = 1 или 2 или 3, X15 = 0 или 1; первый, второй разряды кода которых (гр. 3 разделов 12, 13, гр. 4 разделов 14, 15, 16, 17, гр. 6 раздела 9, 10) X1 = 07 или 08, X2 = 1 или 2 или 3; первый, второй, десятый разряды кода которых (гр. 6 раздела 11) X1 = 07 или 08, X2 = 1 или 2 или 3, X10 = 0 или 1;

134. Стр. 192, гр. 4, 6 = сумма стоимости активов в разделах 4, гр. 9, 11; 5, гр. 11, 12; 6, гр. 9, 11; 10, гр. 7, 8; 11, гр. 7, 8; 12, гр. 4, 5; 13, гр. 4, 5; 14, гр. 5, 6; 15, гр. (5 + 7), (6 + 8); 17, гр. 5, 6, первый, второй, пятнадцатый разряды кода которых (гр. 7 разделов 4, 6, гр. 10 раздела 5) X1 = 07 или 08, X2 = 4 или 5 или 6 или 7 или 8 или 9, X15 = 0 или 1; первый, второй разряды кода которых (гр. 3 разделов 12, 13, гр. 4 разделов 14, 15, 17, гр. 6 раздела 10) X1 = 07 или 08, X2 = 4 или 5 или 6 или 7 или 8 или 9; первый, второй, десятый разряды кода которых (гр. 6 раздела 11) X1 = 07 или 08, X2 = 4 или 5 или 6 или 7 или 8 или 9, X10 = 0 или 1.

Если стр. 014, гр. 3, 4 = стр. 015, гр. 3, 4 и стр. 015, гр. 3, 4 стр. 016, гр. 3, 4 или стр. 014, гр. 3, 4 = стр. 016, гр. 3, 4 и стр. 016, гр. 3, 4 стр. 015 гр. 3, 4, то применяется контрольное соотношение 135:

135. Стр. 020, 021, 022, 023, 031, 032, 033, 040, 041, 042, 050, 070, 080, 085, 090, 100, 101, 102, 104, 110, 155, 160, 161, 162, 163, 170, 171, 175, 185, 186, 187, 188, 189, 190, 191, 192, гр. 4, 6 = 0.

Если первый разряд кода всех видов активов, представляющих собственные средства страховой организации, (X1) = 09 или 10, то для гр. 3, 5 подраздела 1.1 применяются контрольные соотношения 136 - 160:

136. Стр. 021, гр. 3, 5 = сумма вложений в облигации в разделе 2, гр. 5, 7, первый, второй, третий, пятый, пятнадцатый разряды кода ценной бумаги которых (гр. 3 раздела 2) X1 = 09 или 10, X2 = 1 или 2 или 3, X3 = 1, X5 = 1, X15 = 1;

137. Стр. 022, гр. 3, 5 = сумма вложений в облигации в разделе 3, гр. 9, 11, первый, второй, третий, пятый, пятнадцатый разряды кода ценной бумаги которых (гр. 7 раздела 3) X1 = 09 или 10, X2 = 1 или 2 или 3, X3 = 1, X5 = 2, X15 = 1;

138. Стр. 023, гр. 3, 5 = сумма вложений в облигации в разделе 3, гр. 9, 11, первый, второй, третий, пятый, пятнадцатый разряды кода ценной бумаги которых (гр. 7 раздела 3) X1 = 09 или 10, X2 = 1 или 2 или 3, X3 = 1, X5 = 3, X15 = 1;

139. Стр. 031, гр. 3, 5 = сумма вложений в облигации с ипотечным покрытием в разделе 4, гр. 9, 11, первый, второй, третий, пятый, пятнадцатый разряды кода ценной бумаги которых (гр. 7 раздела 4) X1 = 09 или 10, X2 = 1 или 2 или 3, X3 = 6, X5 = 4 или 6, X15 = 1; X1 = 09 или 10, X2 = 4 или 5 или 6 или 7 или 8 или 9, X3 = 6, X5 = 4 или 7, X15 = 1;

140. Стр. 032, гр. 3, 5 = сумма вложений в жилищные облигации с ипотечным покрытием в разделе 4, гр. 9, 11, первый, второй, третий, пятый, пятнадцатый разряды кода ценной бумаги которых (гр. 7 раздела 4) X1 = 09 или 10, X2 = 1 или 2 или 3, X3 = 7, X5 = 4 или 6, X15 = 1;

141. Стр. 033, гр. 3, 5 = сумма вложений в облигации в разделе 4, гр. 9, 11, первый, второй, третий, пятый, пятнадцатый разряды кода ценной бумаги которых (гр. 7 раздела 4) X1 = 09 или 10, X2 = 1 или 2 или 3, X3 = 1, X5 = 4 или 7 или 8, X15 = 1; X1 = 09 или 10, X2 = 4 или 5 или 6 или 7 или 8 или 9, X3 = 1, X5 = 1 или 2 или 3 или 4 или 7 или 8, X15 = 1;

142. Стр. 041, гр. 3, 5 = сумма вложений в векселя банков в разделе 5, гр. 11, 12, первый, второй, третий, пятый, пятнадцатый разряды кода ценной бумаги которых (гр. 10 раздела 5) X1 = 09 или 10, X2 = 1 или 2 или 3, X3 = 4, X5 = 4, X15 = 1; X1 = 09 или 10, X2 = 4 или 5 или 6, X3 = 4, X5 = 4, X15 = 1;

143. Стр. 042, гр. 3, 5 = сумма вложений в векселя организаций иных, чем банки, в разделе 5, гр. 11, 12, первый, второй, третий, пятый, пятнадцатый разряды кода ценной бумаги которых (гр. 10 раздела 5) X1 = 09 или 10, X2 = 1 или 2 или 3, X3 = 4, X5 = 7 или 8, X15 = 1; X1 = 09 или 10, X2 = 4 или 5 или 6, X3 = 4, X5 = 7 или 8, X15 = 1;

144. Стр. 050, гр. 3, 5 = сумма вложений в акции в разделе 6, гр. 9, 11, первый, пятнадцатый разряды кода ценной бумаги которых (гр. 7 раздела 6) X1 = 09 или 10, X15 = 1;

145. Стр. 070, гр. 3, 5 = сумма вложений в инвестиционные паи в разделе 8, гр. 7, 9, первый, пятнадцатый разряды кода ценной бумаги которых (гр. 5 раздела 8) X1 = 09 или 10, X15 = 1;

146. Стр. 080, гр. 3, 5 = сумма вложений в сертификаты долевого участия в общих фондах банковского управления в разделе 9, гр. 7, 8, первый разряд кода сертификата долевого участия которых (гр. 6 раздела 9) X1 = 09 или 10;

147. Стр. 085, гр. 3, 5 = сумма вложений в ипотечные сертификаты участия в разделе 7, гр. 6, 8, первый разряд кода ценной бумаги которых (гр. 4 раздела 7) X1 = 09 или 10;

148. Стр. 090, гр. 3, 5 = сумма вложений в недвижимое имущество в разделе 10, гр. 7, 8, первый разряд кода недвижимого имущества которых (гр. 6 раздела 10) X1 = 09 или 10;

149. Стр. 100, гр. 3, 5 = сумма банковских вкладов в разделе 11, гр. 7, 8, первый, десятый разряды кода банковского вклада которых (гр. 6 раздела 11) X1 = 09 или 10, X10 = 1;

150. Стр. 101, гр. 3, 5 = сумма банковских вкладов в разделе 11, гр. 7, 8, первый, пятый, десятый разряды кода банковского вклада которых (гр. 6 раздела 11) X1 = 09 или 10, X5 = 1 или 2, X10 = 1;

151. Стр. 102, гр. 3, 5 = сумма банковских вкладов, удостоверенных депозитными сертификатами, в разделе 11, гр. 7, 8, первый, пятый, десятый разряды кода банковского вклада которых (гр. 6 раздела 11) X1 = 09 или 10, X5 = 1, X10 = 1;

152. Стр. 110, гр. 3, 5 = сумма дебиторской задолженности организаций и физических лиц в разделе 14, гр. 5, 6, первый разряд кода дебиторской задолженности которых (гр. 4 раздела 14) X1 = 09 или 10;

153. Стр. 161, гр. 3, 5 = сумма денежной наличности в разделе 15, гр. (5 + 7), (6 + 8), первый, третий, пятый разряды кода денежных средств которых (гр. 4 раздела 15) X1 = 09 или 10, X3 = 5, X5 = 1 или 2 или 3 или 4 или 5 или 6;

154. Стр. 162, гр. 3, 5 = сумма денежных средств на счетах в банках в разделе 15, гр. 5, 6, первый, третий, пятый разряды кода денежных средств которых (гр. 4 раздела 15) X1 = 09 или 10, X3 = 1 или 2 или 3, X5 = 6;

155. Стр. 163, гр. 3, 5 = сумма денежных средств на счетах в банках в разделе 15, гр. 7, 8, первый, третий, пятый разряды кода денежных средств которых (гр. 4 раздела 15) X1 = 09 или 10, X3 = 1 или 2 или 3, X5 = 1 или 2 или 3 или 4 или 5;

156. Стр. 170, гр. 3, 5 = сумма вложений в слитки золота и серебра в разделе 16, гр. 5, 6, первый, третий, четвертый разряды кода слитков которых (гр. 3 раздела 16) X1 = 09 или 10, X3 = 9, X4 = 4 или 5;

157. Стр. 171, гр. 3, 5 = сумма вложений в слитки платины и палладия, памятные монеты Российской Федерации из драгоценных металлов в разделе 16, гр. 4, 5, первый, третий, четвертый разряды кода слитков которых (гр. 4 раздела 16) X1 = 09 или 10, X3 = 9, X4 = 6 или 7 или 8;

158. Стр. 175, гр. 3, 5 = сумма активов, необходимых для осуществления финансово-хозяйственной деятельности, за исключением недвижимого имущества, в разделе 12, гр. 4, 5, первый разряд кода активов, необходимых для осуществления финансово-хозяйственной деятельности, за исключением недвижимого имущества, которых (гр. 3 раздела 12) X1 = 09 или 10;

159. Стр. 191, гр. 3, 5 = сумма стоимости активов в подразделе 1.1, стр. 104, гр. 3, 5; стр. 155, гр. 3, 5; разделах 2, гр. 5, 7; 3, гр. 9, 11; 4, гр. 9, 11; 5, гр. 11, 12; 6, гр. 9, 11; 7, гр. 6, 8; 8, гр. 7, 9; 9, гр. 7, 8; 10, гр. 7, 8; 11, гр. 7, 8; 12, гр. 4, 5; 14, гр. 5, 6; 15, гр. (5 + 7), (6 + 8); 16, гр. 5, 6, первый, второй, пятнадцатый разряды кода которых (гр. 3 раздела 2, гр. 4 раздела 7, гр. 5 раздела 8, гр. 7 разделов 3, 4, 6, гр. 10 раздела 5) X1 = 09 или 10, X2 = 1 или 2 или 3, X15 = 1; первый, второй разряды кода которых (гр. 3 раздела 12, гр. 4 разделов 14, 15, 16, гр. 6 разделов 9, 10) X1 = 09 или 10, X2 = 1 или 2 или 3; первый, второй, десятый разряды кода которых (гр. 6 раздела 11) X1 = 09 или 10, X2 = 1 или 2 или 3, X10 = 1;

160. Стр. 192, гр. 3, 5 = сумма стоимости активов в разделах 4, гр. 9, 11; 5, гр. 11, 12; 6, гр. 9, 11; 10, гр. 7, 8; 11, гр. 7, 8; 12, гр. 4, 5; 14, гр. 5, 6; 15, гр. (5 + 7), (6 + 8), первый, второй, пятнадцатый разряды кода которых (гр. 7 разделов 4, 6, гр. 10 раздела 5) X1 = 09 или 10, X2 = 4 или 5 или 6 или 7 или 8 или 9, X15 = 1; первый, второй разряды кода которых (гр. 3 раздела 12, гр. 4 разделов 14, 15, гр. 6 раздела 10) X1 = 09 или 10, X2 = 4 или 5 или 6 или 7 или 8 или 9; первый, второй, десятый разряды кода которых (гр. 6 раздела 11) X1 = 09 или 10, X2 = 4 или 5 или 6 или 7 или 8 или 9, X10 = 1.

Если стр. 014, гр. 3, 4 > 0, стр. 014, гр. 3, 4 < стр. 015, гр. 3, 4 и стр. 014, гр. 3, 4 < стр. 016, гр. 3, 4, то применяется контрольное соотношение 161:

161. Стр. 020, 021, 022, 023, 031, 032, 033, 040, 041, 042, 050, 070, 080, 085, 090, 100, 101, 102, 104, 110, 155, 160, 161, 162, 163, 170, 171, 175, 185, 186, 187, 188, 189, 190, 191, 192, гр. 4, 6 = 0.

Если первый разряд кода всех видов активов, представляющих собственные средства страховой организации, (X1) = 11 или 12, то для гр. 3, 5 подраздела 1.1 применяются контрольные соотношения 162 - 186:

162. Стр. 021, гр. 3, 5 = сумма вложений в облигации в разделе 2, гр. 5, 7, первый, второй, третий, пятый, пятнадцатый разряды кода ценной бумаги которых (гр. 3 раздела 2) X1 = 11 или 12, X2 = 1 или 2 или 3, X3 = 1, X5 = 1, X15 = 1;

163. Стр. 022, гр. 3, 5 = сумма вложений в облигации в разделе 3, гр. 9, 11, первый, второй, третий, пятый, пятнадцатый разряды кода ценной бумаги которых (гр. 7 раздела 3) X1 = 11 или 12, X2 = 1 или 2 или 3, X3 = 1, X5 = 2, X15 = 1;

164. Стр. 023, гр. 3, 5 = сумма вложений в облигации в разделе 3, гр. 9, 11, первый, второй, третий, пятый, пятнадцатый разряды кода ценной бумаги которых (гр. 7 раздела 3) X1 = 11 или 12, X2 = 1 или 2 или 3, X3 = 1, X5 = 3, X15 = 1;

165. Стр. 031, гр. 3, 5 = сумма вложений в облигации с ипотечным покрытием в разделе 4, гр. 9, 11, первый, второй, третий, пятый, пятнадцатый разряды кода ценной бумаги которых (гр. 7 раздела 4) X1 = 11 или 12, X2 = 1 или 2 или 3, X3 = 6, X5 = 4 или 6, X15 = 1; X1 = 11 или 12, X2 = 4 или 5 или 6 или 7 или 8 или 9, X3 = 6, X5 = 4 или 7, X15 = 1;

166. Стр. 032, гр. 3, 5 = сумма вложений в жилищные облигации с ипотечным покрытием в разделе 4, гр. 9, 11, первый, второй, третий, пятый, пятнадцатый разряды кода ценной бумаги которых (гр. 7 раздела 4) X1 = 11 или 12, X2 = 1 или 2 или 3, X3 = 7, X5 = 4 или 6, X15 = 1;

167. Стр. 033, гр. 3, 5 = сумма вложений в облигации в разделе 4, гр. 9, 11, первый, второй, третий, пятый, пятнадцатый разряды кода ценной бумаги которых (гр. 7 раздела 4) X1 = 11 или 12, X2 = 1 или 2 или 3, X3 = 1, X5 = 4 или 7 или 8, X15 = 1; X1 = 11 или 12, X2 = 4 или 5 или 6 или 7 или 8 или 9, X3 = 1, X5 = 1 или 2 или 3 или 4 или 7 или 8, X15 = 1;

168. Стр. 041, гр. 3, 5 = сумма вложений в векселя банков в разделе 5, гр. 11, 12, первый, второй, третий, пятый, пятнадцатый разряды кода ценной бумаги которых (гр. 10 раздела 5) X1 = 11 или 12, X2 = 1 или 2 или 3, X3 = 4, X5 = 4, X15 = 1; X1 = 11 или 12, X2 = 4 или 5 или 6, X3 = 4, X5 = 4, X15 = 1;

169. Стр. 042, гр. 3, 5 = сумма вложений в векселя организаций иных, чем банки, в разделе 5, гр. 11, 12, первый, второй, третий, пятый, пятнадцатый разряды кода ценной бумаги которых (гр. 10 раздела 5) X1 = 11 или 12, X2 = 1 или 2 или 3, X3 = 4, X5 = 7 или 8, X15 = 1; X1 = 11 или 12, X2 = 4 или 5 или 6, X3 = 4, X5 = 7 или 8, X15 = 1;

170. Стр. 050, гр. 3, 5 = сумма вложений в акции в разделе 6, гр. 9, 11, первый, пятнадцатый разряды кода ценной бумаги которых (гр. 7 раздела 6) X1 = 11 или 12, X15 = 1;

171. Стр. 070, гр. 3, 5 = сумма вложений в инвестиционные паи в разделе 8, гр. 7, 9, первый, пятнадцатый разряды кода ценной бумаги которых (гр. 5 раздела 8) X1 = 11 или 12, X15 = 1;

172. Стр. 080, гр. 3, 5 = сумма вложений в сертификаты долевого участия в общих фондах банковского управления в разделе 9, гр. 7, 8, первый разряд кода сертификата долевого участия которых (гр. 6 раздела 9) X1 = 11 или 12;

173. Стр. 085, гр. 3, 5 = сумма вложений в ипотечные сертификаты участия в разделе 7, гр. 6, 8, первый разряд кода ценной бумаги которых (гр. 4 раздела 7) X1 = 11 или 12;

174. Стр. 090, гр. 3, 5 = сумма вложений в недвижимое имущество в разделе 10, гр. 7, 8, первый разряд кода недвижимого имущества которых (гр. 6 раздела 10) X1 = 11 или 12;

175. Стр. 100, гр. 3, 5 = сумма банковских вкладов в разделе 11, гр. 7, 8, первый, десятый разряды кода банковского вклада которых (гр. 6 раздела 11) X1 = 11 или 12, X10 = 1;

176. Стр. 101, гр. 3, 5 = сумма банковских вкладов в разделе 11, гр. 7, 8, первый, пятый, десятый разряды кода банковского вклада которых (гр. 6 раздела 11) X1 = 11 или 12, X5 = 1 или 2, X10 = 1;

177. Стр. 102, гр. 3, 5 = сумма банковских вкладов, удостоверенных депозитными сертификатами, в разделе 11, гр. 7, 8, первый, пятый, десятый разряды кода банковского вклада которых (гр. 6 раздела 11) X1 = 11 или 12, X5 = 1, X10 = 1;

178. Стр. 110, гр. 3, 5 = сумма дебиторской задолженности организаций и физических лиц в разделе 14, гр. 5, 6, первый разряд кода дебиторской задолженности которых (гр. 4 раздела 14) X1 = 11 или 12;

179. Стр. 161, гр. 3, 5 = сумма денежной наличности в разделе 15, гр. (5 + 7), (6 + 8), первый, третий, пятый разряды кода денежных средств которых (гр. 4 раздела 15) X1 = 11 или 12, X3 = 5, X5 = 1 или 2 или 3 или 4 или 5 или 6;

180. Стр. 162, гр. 3, 5 = сумма денежных средств на счетах в банках в разделе 15, гр. 5, 6, первый, третий, пятый разряды кода денежных средств которых (гр. 4 раздела 15) X1 = 11 или 12, X3 = 1 или 2 или 3, X5 = 6;

181. Стр. 163, гр. 3, 5 = сумма денежных средств на счетах в банках в разделе 15, гр. 7, 8, первый, третий, пятый разряды кода денежных средств которых (гр. 4 раздела 15) X1 = 11 или 12, X3 = 1 или 2 или 3, X5 = 1 или 2 или 3 или 4 или 5;

182. Стр. 170, гр. 3, 5 = сумма вложений в слитки золота и серебра в разделе 16, гр. 5, 6, первый, третий, четвертый разряды кода слитков которых (гр. 4 раздела 16) X1 = 11 или 12, X3 = 9, X4 = 4 или 5;

183. Стр. 171, гр. 3, 5 = сумма вложений в слитки платины и палладия, памятные монеты Российской Федерации из драгоценных металлов в разделе 16, гр. 5, 6, первый, третий, четвертый разряды кода слитков которых (гр. 4 раздела 16) X1 = 11 или 12, X3 = 9, X4 = 6 или 7 или 8;

184. Стр. 175, гр. 3, 5 = сумма активов, необходимых для осуществления финансово-хозяйственной деятельности, за исключением недвижимого имущества, в разделе 12, гр. 4, 5, первый разряд кода активов, необходимых для осуществления финансово-хозяйственной деятельности, за исключением недвижимого имущества, которых (гр. 3 раздела 12) X1 = 11 или 12;

185. Стр. 191, гр. 3, 5 = сумма стоимости активов в подразделе 1.1, стр. 104, гр. 3, 5; стр. 155, гр. 3, 5; разделах 2, гр. 5, 7; 3, гр. 9, 11; 4, гр. 9, 11; 5, гр. 11, 12; 6, гр. 9, 11; 7, гр. 6, 8; 8, гр. 7, 9; 9, гр. 7, 8; 10, гр. 7, 8; 11, гр. 7, 8; 12, гр. 4, 5; 14, гр. 5, 6; 15, гр. (5 + 7), (6 + 8); 16, гр. 5, 6, первый, второй, пятнадцатый разряды кода которых (гр. 3 раздела 2, гр. 5 раздела 8, гр. 7 разделов 3, 4, 6, гр. 10 раздела 5) X1 = 11 или 12, X2 = 1 или 2 или 3, X15 = 1; первый, второй разряды кода которых (гр. 3 раздела 12, гр. 4 разделов 7, 14, 15, 16, гр. 6 разделов 9, 10) X1 = 11 или 12, X2 = 1 или 2 или 3; первый, второй, десятый разряды кода которых (гр. 6 раздела 11) X1 = 11 или 12, X2 = 1 или 2 или 3, X10 = 1;

186. Стр. 192, гр. 3, 5 = сумма стоимости активов в разделах 4, гр. 9, 11; 5, гр. 11, 12; 6, гр. 9, 11; 10, гр. 7, 8; 11, гр. 7, 8; 12, гр. 4, 5; 14, гр. 5, 6; 15, гр. (5 + 7), (6 + 8), первый, второй, пятнадцатый разряды кода которых (гр. 7 разделов 4, 6, гр. 10 раздела 5) X1 = 11 или 12, X2 = 4 или 5 или 6 или 7 или 8 или 9, X15 = 1; первый, второй разряды кода которых (гр. 3 раздела 12, гр. 4 разделов 14, 15, гр. 6 раздела 10) X1 = 11 или 12, X2 = 4 или 5 или 6 или 7 или 8 или 9; первый, второй, десятый разряды кода которых (гр. 6 раздела 11) X1 = 11 или 12, X2 = 4 или 5 или 6 или 7 или 8 или 9, X10 = 1.

Если стр. 014, гр. 3, 4 0, то применяется контрольное соотношение 187:

187. Стр. 020, 021, 022, 023, 031, 032, 033, 040, 041, 042, 050, 070, 080, 085, 090, 100, 101, 102, 104, 110, 155, 160, 161, 162, 163, 170, 171, 175, 190, 191, 192, гр. 3, 4, 5, 6; 185, 186, 187, 188, 189, гр. 4, 6 = 0.

Подраздел 1.2 "Активы, по которым возникли обстоятельства, не зависящие от действий страховщика, повлекшие нарушения Требований, устраняемые в соответствии с абзацем 4 пункта 4 Требований, предъявляемых к составу и структуре активов, принимаемых для покрытия собственных средств страховщика"

1. Стр. 020, гр. 3, 4, 5, 6 = сумма показателей строк 021, 022, 023, 031, 032, 033, гр. 3, 4, 5, 6.

2. Стр. 040, гр. 3, 4, 5, 6 = сумма показателей строк 041, 042, гр. 3, 4, 5, 6.

3. Стр. 050, гр. (3 + 4), (5 + 6) = сумма вложений в акции в разделе 6, гр. 9, 11, пятнадцатый разряд кода ценной бумаги которых (гр. 7 раздела 6) X15 = 2.

4. Стр. 070, гр. (3 + 4), (5 + 6) = сумма вложений в инвестиционные паи в разделе 8, гр. 7, 9, пятнадцатый разряд кода ценной бумаги которых (гр. 5 раздела 8) X15 = 2.

5. Стр. 100, гр. (3 + 4), (5 + 6) = сумма банковских вкладов в разделе 11, гр. 7, 8, десятый разряд кода банковского вклада которых (гр. 6 раздела 11) X10 = 2.

6. Стр. 101, гр. 3, 4, 5, 6 стр. 100, гр. 3, 4, 5, 6.

7. Стр. 102, гр. 3, 4, 5, 6 стр. 101, гр. 3, 4, 5, 6.

8. Стр. 190, гр. 3, 5 = сумма показателей строк 020, 040, 050, 070, 100, гр. 3, 5.

9. Стр. 190, гр. 4, 6 = сумма показателей строк 020, 040, 050, 070, 100, гр. 4, 6.

10. Стр. 190, гр. 3, 4, 5, 6 = стр. (191 + 192), гр. 3, 4, 5, 6.

Если первый разряд кода всех видов активов, представляющих собственные средства страховой организации, (X1) = 01 или 02, то для гр. 3, 5 подраздела 1.2 применяются контрольные соотношения 11 - 25:

11. Стр. 021, гр. 3, 5 = сумма вложений в облигации в разделе 2, гр. 5, 7, первый, второй, третий, пятый, пятнадцатый разряды кода ценной бумаги которых (гр. 3 раздела 2) X1 = 01 или 02, X2 = 1 или 2 или 3, X3 = 1, X5 = 1, X15 = 2;

12. Стр. 022, гр. 3, 5 = сумма вложений в облигации в разделе 3, гр. 9, 11, первый, второй, третий, пятый, пятнадцатый разряды кода ценной бумаги которых (гр. 7 раздела 3) X1 = 01 или 02, X2 = 1 или 2 или 3, X3 = 1, X5 = 2, X15 = 2;

13. Стр. 023, гр. 3, 5 = сумма вложений в облигации в разделе 3, гр. 9, 11, первый, второй, третий, пятый, пятнадцатый разряды кода ценной бумаги которых (гр. 7 раздела 3) X1 = 01 или 02, X2 = 1 или 2 или 3, X3 = 1, X5 = 3, X15 = 2;

14. Стр. 031, гр. 3, 5 = сумма вложений в облигации с ипотечным покрытием в разделе 4, гр. 9, 11, первый, второй, третий, пятый, пятнадцатый разряды кода ценной бумаги которых (гр. 7 раздела 4) X1 = 01 или 02, X2 = 1 или 2 или 3, X3 = 6, X5 = 4 или 6, X15 = 2; X1 = 01 или 02, X2 = 4 или 5 или 6 или 7 или 8 или 9, X3 = 6, X5 = 4 или 7, X15 = 2;

15. Стр. 032, гр. 3, 5 = сумма вложений в жилищные облигации с ипотечным покрытием в разделе 4, гр. 9, 11, первый, второй, третий, пятый, пятнадцатый разряды кода ценной бумаги которых (гр. 7 раздела 4) X1 = 01 или 02, X2 = 1 или 2 или 3, X3 = 7, X5 = 4 или 6, X15 = 2;

16. Стр. 033, гр. 3, 5 = сумма вложений в облигации в разделе 4, гр. 9, 11, первый, второй, третий, пятый, пятнадцатый разряды кода ценной бумаги которых (гр. 7 раздела 4) X1 = 01 или 02, X2 = 1 или 2 или 3, X3 = 1, X5 = 4 или 7 или 8, X15 = 2; X1 = 01 или 02, X2 = 4 или 5 или 6 или 7 или 8 или 9, X3 = 1, X5 = 1 или 2 или 3 или 4 или 7 или 8, X15 = 2;

17. Стр. 041, гр. 3, 5 = сумма вложений в векселя банков в разделе 5, гр. 11, 12, первый, второй, третий, пятый, пятнадцатый разряды кода ценной бумаги которых (гр. 10 раздела 5) X1 = 01 или 02, X2 = 1 или 2 или 3, X3 = 4, X5 = 4, X15 = 2; X1 = 01 или 02, X2 = 4 или 5 или 6, X3 = 4, X5 = 4, X15 = 2;

18. Стр. 042, гр. 3, 5 = сумма вложений в векселя организаций иных, чем банки, в разделе 5, гр. 11, 12, первый, второй, третий, пятый, пятнадцатый разряды кода ценной бумаги которых (гр. 10 раздела 5) X1 = 01 или 02, X2 = 1 или 2 или 3, X3 = 4, X5 = 7 или 8, X15 = 2; X1 = 01 или 02, X2 = 4 или 5 или 6, X3 = 4, X5 = 7 или 8, X15 = 2;

19. Стр. 050, гр. 3, 5 = сумма вложений в акции в разделе 6, гр. 9, 11, первый, пятнадцатый разряды кода ценной бумаги которых (гр. 7 раздела 6) X1 = 01 или 02, X15 = 2;

20. Стр. 070, гр. 3, 5 = сумма вложений в инвестиционные паи в разделе 8, гр. 7, 9, первый, пятнадцатый разряды кода ценной бумаги которых (гр. 5 раздела 8) X1 = 01 или 02, X15 = 2;

21. Стр. 100, гр. 3, 5 = сумма банковских вкладов в разделе 11, гр. 7, 8, первый, десятый разряды кода банковского вклада которых (гр. 6 раздела 11) X1 = 01 или 02, X10 = 2;

22. Стр. 101, гр. 3, 5 = сумма банковских вкладов в разделе 11, гр. 7, 8, первый, пятый, десятый разряды кода банковского вклада которых (гр. 6 раздела 11) X1 = 01 или 02, X5 = 1 или 2, X10 = 2;

23. Стр. 102, гр. 3, 5 = сумма банковских вкладов, удостоверенных депозитными сертификатами, в разделе 11, гр. 7, 8, первый, пятый, десятый разряды кода банковского вклада которых (гр. 6 раздела 11) X1 = 01 или 02, X5 = 1, X10 = 2;

24. Стр. 191, гр. 3, 5 = сумма стоимости активов в разделах 2, гр. 5, 7; 3, гр. 9, 11; 4, гр. 9, 11; 5, гр. 11, 12; 6, гр. 9, 11; 8, гр. 7, 9; 11, гр. 7, 8, первый, второй, пятнадцатый разряды кода которых (гр. 3 раздела 2, гр. 5 раздела 8, гр. 7 разделов 3, 4, 6, гр. 10 раздела 5) X1 = 01 или 02, X2 = 1 или 2 или 3, X15 = 2; первый, второй, десятый разряды кода которых (гр. 6 раздела 11) X1 = 01 или 02, X2 = 1 или 2 или 3, X10 = 2;

25. Стр. 192, гр. 3, 5 = сумма стоимости активов в разделах 4, гр. 9, 11; 5, гр. 11, 12; 6, гр. 9, 11; 11, гр. 7, 8, первый, второй, пятнадцатый разряды кода которых (гр. 7 разделов 4, 6, гр. 10 раздела 5) X1 = 01 или 02, X2 = 4 или 5 или 6 или 7 или 8 или 9, X15 = 2; первый, второй, десятый разряды кода которых (гр. 6 раздела 11) X1 = 01 или 02, X2 = 4 или 5 или 6 или 7 или 8 или 9, X10 = 2.

Если первый разряд кода всех видов активов, представляющих собственные средства страховой организации, (X1) = 03 или 04, то для гр. 4, 6 подраздела 1.2 применяются контрольные соотношения 26 - 40:

26. Стр. 021, гр. 4, 6 = сумма вложений в облигации в разделе 2, гр. 5, 7, первый, второй, третий, пятый, пятнадцатый разряды кода ценной бумаги которых (гр. 3 раздела 2) X1 = 03 или 04, X2 = 1 или 2 или 3, X3 = 1, X5 = 1, X15 = 2;

27. Стр. 022, гр. 4, 6 = сумма вложений в облигации в разделе 3, гр. 9, 11, первый, второй, третий, пятый, пятнадцатый разряды кода ценной бумаги которых (гр. 7 раздела 3) X1 = 03 или 04, X2 = 1 или 2 или 3, X3 = 1, X5 = 2, X15 = 2;

28. Стр. 023, гр. 4, 6 = сумма вложений в облигации в разделе 3, гр. 9, 11, первый, второй, третий, пятый, пятнадцатый разряды кода ценной бумаги которых (гр. 7 раздела 3) X1 = 03 или 04, X2 = 1 или 2 или 3, X3 = 1, X5 = 3, X15 = 2;

29. Стр. 031, гр. 4, 6 = сумма вложений в облигации с ипотечным покрытием в разделе 4, гр. 9, 11, первый, второй, третий, пятый, пятнадцатый разряды кода ценной бумаги которых (гр. 7 раздела 4) X1 = 03 или 04, X2 = 1 или 2 или 3, X3 = 6, X5 = 4 или 6, X15 = 2; X1 = 03 или 04, X2 = 4 или 5 или 6 или 7 или 8 или 9, X3 = 6, X5 = 4 или 7, X15 = 2;

30. Стр. 032, гр. 4, 6 = сумма вложений в жилищные облигации с ипотечным покрытием в разделе 4, гр. 9, 11, первый, второй, третий, пятый, пятнадцатый разряды кода ценной бумаги которых (гр. 7 раздела 4) X1 = 03 или 04, X2 = 1 или 2 или 3, X3 = 7, X5 = 4 или 6, X15 = 2;

31. Стр. 033, гр. 4, 6 = сумма вложений в облигации в разделе 4, гр. 9, 11, первый, второй, третий, пятый, пятнадцатый разряды кода ценной бумаги которых (гр. 7 раздела 4) X1 = 03 или 04, X2 = 1 или 2 или 3, X3 = 1, X5 = 4 или 7 или 8, X15 = 2; X1 = 03 или 04, X2 = 4 или 5 или 6 или 7 или 8 или 9, X3 = 1, X5 = 1 или 2 или 3 или 4 или 7 или 8, X15 = 2;

32. Стр. 041, гр. 4, 6 = сумма вложений в векселя банков в разделе 5, гр. 11, 12, первый, второй, третий, пятый, пятнадцатый разряды кода ценной бумаги которых (гр. 10 раздела 5) X1 = 03 или 04, X2 = 1 или 2 или 3, X3 = 4, X5 = 4, X15 = 2; X1 = 03 или 04, X2 = 4 или 5 или 6, X3 = 4, X5 = 4, X15 = 2;

33. Стр. 042, гр. 4, 6 = сумма вложений в векселя организаций иных, чем банки, в разделе 5, гр. 11, 12, первый, второй, третий, пятый, пятнадцатый разряды кода ценной бумаги которых (гр. 10 раздела 5) X1 = 03 или 04, X2 = 1 или 2 или 3, X3 = 4, X5 = 7 или 8, X15 = 2; X1 = 03 или 04, X2 = 4 или 5 или 6, X3 = 4, X5 = 7 или 8, X15 = 2;

34. Стр. 050, гр. 4, 6 = сумма вложений в акции в разделе 6, гр. 9, 11, первый, пятнадцатый разряды кода ценной бумаги которых (гр. 7 раздела 6) X1 = 03 или 04, X15 = 2;

35. Стр. 070, гр. 4, 6 = сумма вложений в инвестиционные паи в разделе 8, гр. 7, 9, первый, пятнадцатый разряды кода ценной бумаги которых (гр. 5 раздела 8) X1 = 03 или 04, X15 = 2;

36. Стр. 100, гр. 4, 6 = сумма банковских вкладов в разделе 11, гр. 7, 8, первый, десятый разряды кода банковского вклада которых (гр. 6 раздела 11) X1 = 03 или 04, X10 = 2;

37. Стр. 101, гр. 4, 6 = сумма банковских вкладов в разделе 11, гр. 7, 8, первый, пятый, десятый разряды кода банковского вклада которых (гр. 6 раздела 11) X1 = 03 или 04, X5 = 1 или 2, X10 = 2;

38. Стр. 102, гр. 4, 6 = сумма банковских вкладов, удостоверенных депозитными сертификатами, в разделе 11, гр. 7, 8, первый, пятый, десятый разряды кода банковского вклада которых (гр. 6 раздела 11) X1 = 03 или 04, X5 = 1, X10 = 2;

39. Стр. 191, гр. 4, 6 = сумма стоимости активов в разделах 2, гр. 5, 7; 3, гр. 9, 11; 4, гр. 9, 11; 5, гр. 11, 12; 6, гр. 9, 11; 8, гр. 7, 9; 11, гр. 7, 8, первый, второй, пятнадцатый разряды кода которых (гр. 3 раздела 2, гр. 5 раздела 8, гр. 7 разделов 3, 4, 6, гр. 10 раздела 5) X1 = 03 или 04, X2 = 1 или 2 или 3, X15 = 2; первый, второй, десятый разряды кода которых (гр. 6 раздела 11) X1 = 03 или 04, X2 = 1 или 2 или 3, X10 = 2;

40. Стр. 192, гр. 4, 6 = сумма стоимости активов в разделах 4, гр. 9, 11; 5, гр. 11, 12; 6, гр. 9, 11; 11, гр. 7, 8, первый, второй, пятнадцатый разряды кода которых (гр. 7 разделов 4, 6, гр. 10 раздела 5) X1 = 03 или 04, X2 = 4 или 5 или 6 или 7 или 8 или 9, X15 = 2; первый, второй, десятый разряды кода которых (гр. 6 раздела 11) X1 = 03 или 04, X2 = 4 или 5 или 6 или 7 или 8 или 9, X10 = 2.

Если первый разряд кода всех видов активов, представляющих собственные средства страховой организации, (X1) = 05 или 06, то для гр. 3, 5 подраздела 1.2 применяются контрольные соотношения 41 - 55:

41. Стр. 021, гр. 3, 5 = сумма вложений в облигации в разделе 2, гр. 5, 7, первый, второй, третий, пятый, пятнадцатый разряды кода ценной бумаги которых (гр. 3 раздела 2) X1 = 05 или 06, X2 = 1 или 2 или 3, X3 = 1, X5 = 1, X15 = 2;

42. Стр. 022, гр. 3, 5 = сумма вложений в облигации в разделе 3, гр. 9, 11, первый, второй, третий, пятый, пятнадцатый разряды кода ценной бумаги которых (гр. 7 раздела 3) X1 = 05 или 06, X2 = 1 или 2 или 3, X3 = 1, X5 = 2, X15 = 2;

43. Стр. 023, гр. 3, 5 = сумма вложений в облигации в разделе 3, гр. 9, 11, первый, второй, третий, пятый, пятнадцатый разряды кода ценной бумаги которых (гр. 7 раздела 3) X1 = 05 или 06, X2 = 1 или 2 или 3, X3 = 1, X5 = 3, X15 = 2;

44. Стр. 031, гр. 3, 5 = сумма вложений в облигации с ипотечным покрытием в разделе 4, гр. 9, 11, первый, второй, третий, пятый, пятнадцатый разряды кода ценной бумаги которых (гр. 7 раздела 4) X1 = 05 или 06, X2 = 1 или 2 или 3, X3 = 6, X5 = 4 или 6, X15 = 2; X1 = 05 или 06, X2 = 4 или 5 или 6 или 7 или 8 или 9, X3 = 6, X5 = 4 или 7, X15 = 2;

45. Стр. 032, гр. 3, 5 = сумма вложений в жилищные облигации с ипотечным покрытием в разделе 4, гр. 9, 11, первый, второй, третий, пятый, пятнадцатый разряды кода ценной бумаги которых (гр. 7 раздела 4) X1 = 05 или 06, X2 = 1 или 2 или 3, X3 = 7, X5 = 4 или 6, X15 = 2;

46. Стр. 033, гр. 3, 5 = сумма вложений в облигации в разделе 4, гр. 9, 11, первый, второй, третий, пятый, пятнадцатый разряды кода ценной бумаги которых (гр. 7 раздела 4) X1 = 05 или 06, X2 = 1 или 2 или 3, X3 = 1, X5 = 4 или 7 или 8, X15 = 2; X1 = 05 или 06, X2 = 4 или 5 или 6 или 7 или 8 или 9, X3 = 1, X5 = 1 или 2 или 3 или 4 или 7 или 8, X15 = 2;

47. Стр. 041, гр. 3, 5 = сумма вложений в векселя банков в разделе 5, гр. 11, 12, первый, второй, третий, пятый, пятнадцатый разряды кода ценной бумаги которых (гр. 10 раздела 5) X1 = 05 или 06, X2 = 1 или 2 или 3, X3 = 4, X5 = 4, X15 = 2; X1 = 05 или 06, X2 = 4 или 5 или 6, X3 = 4, X5 = 4, X15 = 2;

48. Стр. 042, гр. 3, 5 = сумма вложений в векселя организаций иных, чем банки, в разделе 5, гр. 11, 12, первый, второй, третий, пятый, пятнадцатый разряды кода ценной бумаги которых (гр. 10 раздела 5) X1 = 05 или 06, X2 = 1 или 2 или 3, X3 = 4, X5 = 7 или 8, X15 = 2; X1 = 05 или 06, X2 = 4 или 5 или 6, X3 = 4, X5 = 7 или 8, X15 = 2;

49. Стр. 050, гр. 3, 5 = сумма вложений в акции в разделе 6, гр. 9, 11, первый, пятнадцатый разряды кода ценной бумаги которых (гр. 7 раздела 6) X1 = 05 или 06, X15 = 2;

50. Стр. 070, гр. 3, 5 = сумма вложений в инвестиционные паи в разделе 8, гр. 7, 9, первый, пятнадцатый разряды кода ценной бумаги которых (гр. 5 раздела 8) X1 = 05 или 06, X15 = 2;

51. Стр. 100, гр. 3, 5 = сумма банковских вкладов в разделе 11, гр. 7, 8, первый, десятый разряды кода банковского вклада которых (гр. 6 раздела 11) X1 = 05 или 06, X10 = 2;

52. Стр. 101, гр. 3, 5 = сумма банковских вкладов в разделе 11, гр. 7, 8, первый, пятый, десятый разряды кода банковского вклада которых (гр. 6 раздела 11) X1 = 05 или 06, X5 = 1 или 2, X10 = 2;

53. Стр. 102, гр. 3, 5 = сумма банковских вкладов, удостоверенных депозитными сертификатами, в разделе 11, гр. 7, 8, первый, пятый, десятый разряды кода банковского вклада которых (гр. 6 раздела 11) X1 = 05 или 06, X5 = 1, X10 = 2;

54. Стр. 191, гр. 3, 5 = сумма стоимости активов в разделах 2, гр. 5, 7; 3, гр. 9, 11; 4, гр. 9, 11; 5, гр. 11, 12; 6, гр. 9, 11; 8, гр. 7, 9; 11, гр. 7, 8, первый, второй, пятнадцатый разряды кода которых (гр. 3 раздела 2, гр. 5 раздела 8, гр. 7 разделов 3, 4, 6, гр. 10 раздела 5) X1 = 05 или 06, X2 = 1 или 2 или 3, X15 = 2; первый, второй, десятый разряды кода которых (гр. 6 раздела 11) X1 = 05 или 06, X2 = 1 или 2 или 3, X10 = 2;

55. Стр. 192, гр. 3, 5 = сумма стоимости активов в разделах 4, гр. 9, 11; 5, гр. 11, 12; 6, гр. 9, 11; 11, гр. 7, 8, первый, второй, пятнадцатый разряды кода которых (гр. 7 разделов 4, 6, гр. 10 раздела 5) X1 = 05 или 06, X2 = 4 или 5 или 6 или 7 или 8 или 9, X15 = 2; первый, второй, десятый разряды кода которых (гр. 6 раздела 11) X1 = 05 или 06, X2 = 4 или 5 или 6 или 7 или 8 или 9, X10 = 2.

Если первый разряд кода всех видов активов, представляющих собственные средства страховой организации, (X1) = 07 или 08, то для гр. 4, 6 подраздела 1.2 применяются контрольные соотношения 56 - 70:

56. Стр. 021, гр. 4, 6 = сумма вложений в облигации в разделе 2, гр. 5, 7, первый, второй, третий, пятый, пятнадцатый разряды кода ценной бумаги которых (гр. 3 раздела 2) X1 = 07 или 08, X2 = 1 или 2 или 3, X3 = 1, X5 = 1, X15 = 2;

57. Стр. 022, гр. 4, 6 = сумма вложений в облигации в разделе 3, гр. 9, 11, первый, второй, третий, пятый, пятнадцатый разряды кода ценной бумаги которых (гр. 7 раздела 3) X1 = 07 или 08, X2 = 1 или 2 или 3, X3 = 1, X5 = 2, X15 = 2;

58. Стр. 023, гр. 4, 6 = сумма вложений в облигации в разделе 3, гр. 9, 11, первый, второй, третий, пятый, пятнадцатый разряды кода ценной бумаги которых (гр. 7 раздела 3) X1 = 07 или 08, X2 = 1 или 2 или 3, X3 = 1, X5 = 3, X15 = 2;

59. Стр. 031, гр. 4, 6 = сумма вложений в облигации с ипотечным покрытием в разделе 4, гр. 9, 11, первый, второй, третий, пятый, пятнадцатый разряды кода ценной бумаги которых (гр. 7 раздела 4) X1 = 07 или 08, X2 = 1 или 2 или 3, X3 = 6, X5 = 4 или 6, X15 = 2; X1 = 07 или 08, X2 = 4 или 5 или 6 или 7 или 8 или 9, X3 = 6, X5 = 4 или 7, X15 = 2;

60. Стр. 032, гр. 4, 6 = сумма вложений в жилищные облигации с ипотечным покрытием в разделе 4, гр. 9, 11, первый, второй, третий, пятый, пятнадцатый разряды кода ценной бумаги которых (гр. 7 раздела 4) X1 = 07 или 08, X2 = 1 или 2 или 3, X3 = 7, X5 = 4 или 6, X15 = 2;

61. Стр. 033, гр. 4, 6 = сумма вложений в облигации в разделе 4, гр. 9, 11, первый, второй, третий, пятый, пятнадцатый разряды кода ценной бумаги которых (гр. 7 раздела 4) X1 = 07 или 08, X2 = 1 или 2 или 3, X3 = 1, X5 = 4 или 7 или 8, X15 = 2; X1 = 07 или 08, X2 = 4 или 5 или 6 или 7 или 8 или 9, X3 = 1, X5 = 1 или 2 или 3 или 4 или 7 или 8, X15 = 2;

62. Стр. 041, гр. 4, 6 = сумма вложений в векселя банков в разделе 5, гр. 11, 12, первый, второй, третий, пятый, пятнадцатый разряды кода ценной бумаги которых (гр. 10 раздела 5) X1 = 07 или 08, X2 = 1 или 2 или 3, X3 = 4, X5 = 4, X15 = 2; X1 = 07 или 08, X2 = 4 или 5 или 6, X3 = 4, X5 = 4, X15 = 2;

63. Стр. 042, гр. 4, 6 = сумма вложений в векселя организаций иных, чем банки, в разделе 5, гр. 11, 12, первый, второй, третий, пятый, пятнадцатый разряды кода ценной бумаги которых (гр. 10 раздела 5) X1 = 07 или 08, X2 = 1 или 2 или 3, X3 = 4, X5 = 7 или 8, X15 = 2; X1 = 07 или 08, X2 = 4 или 5 или 6, X3 = 4, X5 = 7 или 8, X15 = 2;

64. Стр. 050, гр. 4, 6 = сумма вложений в акции в разделе 6, гр. 9, 11, первый, пятнадцатый разряды кода ценной бумаги которых (гр. 7 раздела 6) X1 = 07 или 08, X15 = 2;

65. Стр. 070, гр. 4, 6 = сумма вложений в инвестиционные паи в разделе 8, гр. 7, 9, первый, пятнадцатый разряды кода ценной бумаги которых (гр. 5 раздела 8) X1 = 07 или 08, X15 = 2;

66. Стр. 100, гр. 4, 6 = сумма банковских вкладов в разделе 11, гр. 7, 8, первый, десятый разряды кода банковского вклада которых (гр. 6 раздела 11) X1 = 07 или 08, X10 = 2;

67. Стр. 101, гр. 4, 6 = сумма банковских вкладов в разделе 11, гр. 7, 8, первый, пятый, десятый разряды кода банковского вклада которых (гр. 6 раздела 11) X1 = 07 или 08, X5 = 1 или 2, X10 = 2;

68. Стр. 102, гр. 4, 6 = сумма банковских вкладов, удостоверенных депозитными сертификатами, в разделе 11, гр. 7, 8, первый, пятый, десятый разряды кода банковского вклада которых (гр. 6 раздела 11) X1 = 07 или 08, X5 = 1, X10 = 2;

69. Стр. 191, гр. 4, 6 = сумма стоимости активов в разделах 2, гр. 5, 7; 3, гр. 9, 11; 4, гр. 9, 11; 5, гр. 11, 12; 6, гр. 9, 11; 8, гр. 7, 9; 11, гр. 7, 8, первый, второй, пятнадцатый разряды кода которых (гр. 3 раздела 2, гр. 5 раздела 8, гр. 7 разделов 3, 4, 6, гр. 10 раздела 5) X1 = 07 или 08, X2 = 1 или 2 или 3, X15 = 2; первый, второй, десятый разряды кода которых (гр. 6 раздела 11) X1 = 07 или 08, X2 = 1 или 2 или 3, X10 = 2;

70. Стр. 192, гр. 4, 6 = сумма стоимости активов в разделах 4, гр. 9, 11; 5, гр. 11, 12; 6, гр. 9, 11; 11, гр. 7, 8, первый, второй, пятнадцатый разряды кода которых (гр. 7 разделов 4, 6, гр. 10 раздела 5) X1 = 07 или 08, X2 = 4 или 5 или 6 или 7 или 8 или 9, X15 = 2; первый, второй, десятый разряды кода которых (гр. 6 раздела 11) X1 = 07 или 08, X2 = 4 или 5 или 6 или 7 или 8 или 9, X10 = 2.

Если стр. 014, гр. 4, 6 = стр. 015, гр. 3, 4 и стр. 015, гр. 3, 4 стр. 016, гр. 3, 4, или стр. 014, гр. 3, 4 = стр. 016, гр. 3, 4 и стр. 016, гр. 3, 4 стр. 015, гр. 3, 4, то применяется контрольное соотношение 71:

71. Стр. 020, 021, 022, 023, 031, 032, 033, 040, 041, 042, 050, 070, 100, 101, 102, 190, 191, 192, гр. 4, 6 = 0;

Если первый разряд кода всех видов активов, представляющих собственные средства страховой организации, (X1) = 09 или 10, то для гр. 3, 5 подраздела 1.2 применяются контрольные соотношения 72 - 86:

72. Стр. 021, гр. 3, 5 = сумма вложений в облигации в разделе 2, гр. 5, 7, первый, второй, третий, пятый, пятнадцатый разряды кода ценной бумаги которых (гр. 3 раздела 2) X1 = 09 или 10, X2 = 1 или 2 или 3, X3 = 1, X5 = 1, X15 = 2;

73. Стр. 022, гр. 3, 5 = сумма вложений в облигации в разделе 3, гр. 9, 11, первый, второй, третий, пятый, пятнадцатый разряды кода ценной бумаги которых (гр. 7 раздела 3) X1 = 09 или 10, X2 = 1 или 2 или 3, X3 = 1, X5 = 2, X15 = 2;

74. Стр. 023, гр. 3, 5 = сумма вложений в облигации в разделе 3, гр. 9, 11, первый, второй, третий, пятый, пятнадцатый разряды кода ценной бумаги которых (гр. 7 раздела 3) X1 = 09 или 10, X2 = 1 или 2 или 3, X3 = 1, X5 = 3, X15 = 2;

75. Стр. 031, гр. 3, 5 = сумма вложений в облигации с ипотечным покрытием в разделе 4, гр. 9, 11, первый, второй, третий, пятый, пятнадцатый разряды кода ценной бумаги которых (гр. 7 раздела 4) X1 = 09 или 10, X2 = 1 или 2 или 3, X3 = 6, X5 = 4 или 6, X15 = 2; X1 = 09 или 10, X2 = 4 или 5 или 6 или 7 или 8 или 9, X3 = 6, X5 = 4 или 7, X15 = 2;

76. Стр. 032, гр. 3, 5 = сумма вложений в жилищные облигации с ипотечным покрытием в разделе 4, гр. 9, 11, первый, второй, третий, пятый, пятнадцатый разряды кода ценной бумаги которых (гр. 7 раздела 4) X1 = 09 или 10, X2 = 1 или 2 или 3, X3 = 7, X5 = 4 или 6, X15 = 2;

77. Стр. 033, гр. 3, 5 = сумма вложений в облигации в разделе 4, гр. 9, 11, первый, второй, третий, пятый, пятнадцатый разряды кода ценной бумаги которых (гр. 7 раздела 4) X1 = 09 или 10, X2 = 1 или 2 или 3, X3 = 1, X5 = 4 или 7 или 8, X15 = 2; X1 = 09 или 10, X2 = 4 или 5 или 6 или 7 или 8 или 9, X3 = 1, X5 = 1 или 2 или 3 или 4 или 7 или 8, X15 = 2;

78. Стр. 041, гр. 3, 5 = сумма вложений в векселя банков в разделе 5, гр. 11, 12, первый, второй, третий, пятый, пятнадцатый разряды кода ценной бумаги которых (гр. 10 раздела 5) X1 = 09 или 10, X2 = 1 или 2 или 3, X3 = 4, X5 = 4, X15 = 2; X1 = 09 или 10, X2 = 4 или 5 или 6, X3 = 4, X5 = 4, X15 = 2;

79. Стр. 042, гр. 3, 5 = сумма вложений в векселя организаций иных, чем банки, в разделе 5, гр. 11, 12, первый, второй, третий, пятый, пятнадцатый разряды кода ценной бумаги которых (гр. 10 раздела 5) X1 = 09 или 10, X2 = 1 или 2 или 3, X3 = 4, X5 = 7 или 8, X15 = 2; X1 = 09 или 10, X2 = 4 или 5 или 6, X3 = 4, X5 = 7 или 8, X15 = 2;

80. Стр. 050, гр. 3, 5 = сумма вложений в акции в разделе 6, гр. 9, 11, первый, пятнадцатый разряды кода ценной бумаги которых (гр. 7 раздела 6) X1 = 09 или 10, X15 = 2;

81. Стр. 070, гр. 3, 5 = сумма вложений в инвестиционные паи в разделе 8, гр. 7, 9, первый, пятнадцатый разряды кода ценной бумаги которых (гр. 5 раздела 8) X1 = 09 или 10, X15 = 2;

82. Стр. 100, гр. 3, 5 = сумма банковских вкладов в разделе 11, гр. 7, 8, первый, десятый разряды кода банковского вклада которых (гр. 6 раздела 11) X1 = 09 или 10, X10 = 2;

83. Стр. 101, гр. 3, 5 = сумма банковских вкладов в разделе 11, гр. 7, 8, первый, пятый, десятый разряды кода банковского вклада которых (гр. 6 раздела 11) X1 = 09 или 10, X5 = 1 или 2, X10 = 2;

84. Стр. 102, гр. 3, 5 = сумма банковских вкладов, удостоверенных депозитными сертификатами, в разделе 11, гр. 7, 8, первый, пятый, десятый разряды кода банковского вклада которых (гр. 6 раздела 11) X1 = 09 или 10, X5 = 1, X10 = 2;

85. Стр. 191, гр. 3, 5 = сумма стоимости активов в разделах 2, гр. 5, 7; 3, гр. 9, 11; 4, гр. 9, 11; 5, гр. 11, 12; 6, гр. 9, 11; 8, гр. 7, 9; 11, гр. 7, 8, первый, второй, пятнадцатый разряды кода которых (гр. 3 раздела 2, гр. 5 раздела 8, гр. 7 разделов 3, 4, 6, гр. 10 раздела 5) X1 = 09 или 10, X2 = 1 или 2 или 3, X15 = 2; первый, второй, десятый разряды кода которых (гр. 6 раздела 11) X1 = 09 или 10, X2 = 1 или 2 или 3, X10 = 2;

86. Стр. 192, гр. 3, 5 = сумма стоимости активов в разделах 4, гр. 9, 11; 5, гр. 11, 12; 6, гр. 9, 11; 11, гр. 7, 8, первый, второй, пятнадцатый разряды кода которых (гр. 7 разделов 4, 6, гр. 10 раздела 5) X1 = 09 или 10, X2 = 4 или 5 или 6 или 7 или 8 или 9, X15 = 2; первый, второй, десятый разряды кода которых (гр. 6 раздела 11) X1 = 09 или 10, X2 = 4 или 5 или 6 или 7 или 8 или 9, X10 = 2.

Если стр. 014, гр. 3, 4 > 0, стр. 014, гр. 3, 4 < стр. 015, гр. 3, 4 и стр. 014, гр. 3, 4 < стр. 016, гр. 3, 4, то применяется контрольное соотношение 87:

87. Стр. 020, 021, 022, 023, 031, 032, 033, 040, 041, 042, 050, 070, 100, 101, 102, 190, 191, 192, гр. 3, 5 = 0.

Если первый разряд кода всех видов активов, представляющих собственные средства страховой организации, (X1) = 11 или 12, то для гр. 3, 5 подраздела 1.2 применяются контрольные соотношения 88 - 102:

88. Стр. 021, гр. 3, 5 = сумма вложений в облигации в разделе 2, гр. 5, 7, первый, второй, третий, пятый, пятнадцатый разряды кода ценной бумаги которых (гр. 3 раздела 2) X1 = 11 или 12, X2 = 1 или 2 или 3, X3 = 1, X5 = 1, X15 = 2;

89. Стр. 022, гр. 3, 5 = сумма вложений в облигации в разделе 3, гр. 9, 11, первый, второй, третий, пятый, пятнадцатый разряды кода ценной бумаги которых (гр. 7 раздела 3) X1 = 11 или 12, X2 = 1 или 2 или 3, X3 = 1, X5 = 2, X15 = 2;

90. Стр. 023, гр. 3, 5 = сумма вложений в облигации в разделе 3, гр. 9, 11, первый, второй, третий, пятый, пятнадцатый разряды кода ценной бумаги которых (гр. 7 раздела 3) X1 = 11 или 12, X2 = 1 или 2 или 3, X3 = 1, X5 = 3, X15 = 2;

91. Стр. 031, гр. 3, 5 = сумма вложений в облигации с ипотечным покрытием в разделе 4, гр. 9, 11, первый, второй, третий, пятый, пятнадцатый разряды кода ценной бумаги которых (гр. 7 раздела 4) X1 = 11 или 12, X2 = 1 или 2 или 3, X3 = 6, X5 = 4 или 6, X15 = 2; X1 = 11 или 12, X2 = 4 или 5 или 6 или 7 или 8 или 9, X3 = 6, X5 = 4 или 7, X15 = 2;

92. Стр. 032, гр. 3, 5 = сумма вложений в жилищные облигации с ипотечным покрытием в разделе 4, гр. 9, 11, первый, второй, третий, пятый, пятнадцатый разряды кода ценной бумаги которых (гр. 7 раздела 4) X1 = 11 или 12, X2 = 1 или 2 или 3, X3 = 7, X5 = 4 или 6, X15 = 2;

93. Стр. 033, гр. 3, 5 = сумма вложений в облигации в разделе 4, гр. 9, 11, первый, второй, третий, пятый, пятнадцатый разряды кода ценной бумаги которых (гр. 7 раздела 4) X1 = 11 или 12, X2 = 1 или 2 или 3, X3 = 1, X5 = 4 или 7 или 8, X15 = 2; X1 = 11 или 12, X2 = 4 или 5 или 6 или 7 или 8 или 9, X3 = 1, X5 = 1 или 2 или 3 или 4 или 7 или 8, X15 = 2;

94. Стр. 041, гр. 3, 5 = сумма вложений в векселя банков в разделе 5, гр. 11, 12, первый, второй, третий, пятый, пятнадцатый разряды кода ценной бумаги которых (гр. 10 раздела 5) X1 = 11 или 12, X2 = 1 или 2 или 3, X3 = 4, X5 = 4, X15 = 2; X1 = 11 или 12, X2 = 4 или 5 или 6, X3 = 4, X5 = 4, X15 = 2;

95. Стр. 042, гр. 3, 5 = сумма вложений в векселя организаций иных, чем банки, в разделе 5, гр. 11, 12, первый, второй, третий, пятый, пятнадцатый разряды кода ценной бумаги которых (гр. 10 раздела 5) X1 = 11 или 12, X2 = 1 или 2 или 3, X3 = 4, X5 = 7 или 8, X15 = 2; X1 = 11 или 12, X2 = 4 или 5 или 6, X3 = 4, X5 = 7 или 8, X15 = 2;

96. Стр. 050, гр. 3, 5 = сумма вложений в акции в разделе 6, гр. 9, 11, первый, пятнадцатый разряды кода ценной бумаги которых (гр. 7 раздела 6) X1 = 11 или 12, X15 = 2;

97. Стр. 070, гр. 3, 5 = сумма вложений в инвестиционные паи в разделе 8, гр. 7, 9, первый, пятнадцатый разряды кода ценной бумаги которых (гр. 5 раздела 8) X1 = 11 или 12, X15 = 2;

98. Стр. 100, гр. 3, 5 = сумма банковских вкладов в разделе 11, гр. 7, 8, первый, десятый разряды кода банковского вклада которых (гр. 6 раздела 11) X1 = 11 или 12, X10 = 2;

99. Стр. 101, гр. 3, 5 = сумма банковских вкладов в разделе 11, гр. 7, 8, первый, пятый, десятый разряды кода банковского вклада которых (гр. 6 раздела 11) X1 = 11 или 12, X5 = 1 или 2, X10 = 2;

100. Стр. 102, гр. 3, 5 = сумма банковских вкладов, удостоверенных депозитными сертификатами, в разделе 11, гр. 7, 8, первый, пятый, десятый разряды кода банковского вклада которых (гр. 6 раздела 11) X1 = 11 или 12, X5 = 1, X10 = 2;

101. Стр. 191, гр. 3, 5 = сумма стоимости активов в разделах 2, гр. 5, 7; 3, гр. 9, 11; 4, гр. 9, 11; 5, гр. 11, 12; 6, гр. 9, 11; 8, гр. 7, 9; 11, гр. 7, 8, первый, второй, пятнадцатый разряды кода которых (гр. 3 раздела 2, гр. 5 раздела 8, гр. 7 разделов 3, 4, 6, гр. 10 раздела 5) X1 = 11 или 12, X2 = 1 или 2 или 3, X15 = 2; первый, второй, десятый разряды кода которых (гр. 6 раздела 11) X1 = 11 или 12, X2 = 1 или 2 или 3, X10 = 2;

102. Стр. 192, гр. 3, 5 = сумма стоимости активов в разделах 4, гр. 9, 11; 5, гр. 11, 12; 6, гр. 9, 11; 11, гр. 7, 8, первый, второй, пятнадцатый разряды кода которых (гр. 7 разделов 4, 6, гр. 10 раздела 5) X1 = 11 или 12, X2 = 4 или 5 или 6 или 7 или 8 или 9, X15 = 2; первый, второй, десятый разряды кода которых (гр. 6 раздела 11) X1 = 11 или 12, X2 = 4 или 5 или 6 или 7 или 8 или 9, X10 = 2.

Если стр. 014, гр. 3, 4 0, то применяется контрольное соотношение 103:

103. Стр. 020, 021, 022, 023, 031, 032, 033, 040, 041, 042, 050, 070, 100, 101, 102, 190, 191, 192, гр. 3, 4, 5, 6 = 0.

Раздел 2 "Федеральные государственные ценные бумаги"

1. Если гр. 5 или гр. 7 0, то гр. 1, 2, 3 0.

2. Стр. "Итого", гр. 5, 7 = сумма показателей предыдущих строк раздела 2, гр. 5, 7.

3. Стр. 1, гр. 1 = 1.

4. По каждой строке, кроме строки 1, значение графы 1 = значению графы 1 предыдущей строки + 1.

5. Если первый разряд кода ценной бумаги (гр. 3 раздела 2) X1 = 01, то показатель графы 2 раздела 2 формы N 14-страховщик должен отсутствовать в графе 2 раздела 2 формы N 7-страховщик.

6. Если первый разряд кода ценной бумаги (гр. 3 раздела 2) X1 = 02, то показатель графы 2 раздела 2 формы N 14-страховщик должен присутствовать в графе 2 раздела 2 формы N 7-страховщик.

7. Если первый разряд кода ценной бумаги (гр. 3 раздела 2) X1 = 03, то показатель графы 2 раздела 2 формы N 14-страховщик должен отсутствовать в графе 2 раздела 2 формы N 7-страховщик.

8. Если первый разряд кода ценной бумаги (гр. 3 раздела 2) X1 = 04, то показатель графы 2 раздела 2 формы N 14-страховщик должен присутствовать в графе 2 раздела 2 формы N 7-страховщик.

9. Если первый разряд кода ценной бумаги (гр. 3 раздела 2) X1 = 05, то показатель графы 2 раздела 2 формы N 14-страховщик должен отсутствовать в графе 2 раздела 2 формы N 7-страховщик.

10. Если первый разряд кода ценной бумаги (гр. 3 раздела 2) X1 = 06, то показатель графы 2 раздела 2 формы N 14-страховщик должен присутствовать в графе 2 раздела 2 формы N 7-страховщик.

11. Если первый разряд кода ценной бумаги (гр. 3 раздела 2) X1 = 07, то показатель графы 2 раздела 2 формы N 14-страховщик должен отсутствовать в графе 2 раздела 2 формы N 7-страховщик.

12. Если первый разряд кода ценной бумаги (гр. 3 раздела 2) X1 = 08, то показатель графы 2 раздела 2 формы N 14-страховщик должен присутствовать в графе 2 раздела 2 формы N 7-страховщик.

13. Если первый разряд кода ценной бумаги (гр. 3 раздела 2) X1 = 09, то показатель графы 2 раздела 2 формы N 14-страховщик должен отсутствовать в графе 2 раздела 2 формы N 7-страховщик.

14. Если первый разряд кода ценной бумаги (гр. 3 раздела 2) X1 = 10, то показатель графы 2 раздела 2 формы N 14-страховщик должен присутствовать в графе 2 раздела 2 формы N 7-страховщик.

15. Если первый разряд кода ценной бумаги (гр. 3 раздела 2) X1 = 11, то показатель графы 2 раздела 2 формы N 14-страховщик должен отсутствовать в графе 2 раздела 2 формы N 7-страховщик.

16. Если первый разряд кода ценной бумаги (гр. 3 раздела 2) X1 = 12, то показатель графы 2 раздела 2 формы N 14-страховщик должен присутствовать в графе 2 раздела 2 формы N 7-страховщик.

Если в файле описания страховой организации поле "Обязательное медицинское страхование" = 1 и поле "Страхование иное, чем страхование жизни" = 0, то следует иметь в виду следующее:

в контрольных соотношениях 5, 7, 13, 15 показатель графы 2 раздела 2 формы N 14-страховщик должен отсутствовать в графе 2 раздела 2 формы N 7а-страховщик;

в контрольных соотношениях 6, 10, 14, 16 показатель графы 2 раздела 2 формы N 14-страховщик должен присутствовать в графе 2 раздела 2 формы N 7а-страховщик.

Если в файле описания страховой организации поле "Обязательное медицинское страхование" = 1 и поле "Страхование иное, чем страхование жизни" = 1, то следует иметь в виду следующее:

в контрольных соотношениях 5, 7, 9, 11, 13, 15 показатель графы 2 раздела 2 формы N 14-страховщик должен отсутствовать и в графе 2 раздела 2 формы N 7-страховщик и в графе 2 раздела 2 формы N 7а-страховщик;

в контрольных соотношениях 6, 8, 10, 12, 14, 16 показатель графы 2 раздела 2 формы N 14-страховщик должен присутствовать или в графе 2 раздела 2 формы N 7-страховщик или в графе 2 раздела 2 формы N 7а-страховщик.

17. Гр. 4, 6 целые числа или с точностью до четвертого знака после десятичной точки.

18. Если гр. 5 0, то гр. 4 0.

19. Если гр. 7 0, то гр. 6 0.

Подраздел 2.1 "Федеральные государственные ценные бумаги, у эмитента которых возникли обстоятельства, не зависящие от действий страховщика, повлекшие нарушения, устраняемые в соответствии с абзацем 4 пункта 4 Требований"

1. Если в разделе 2 пятнадцатый разряд кода ценной бумаги (гр. 3 раздела 2) X15 = 2, то показатель графы 2 раздела 2 должен присутствовать в графе 1 подраздела 2.1.

2. Если в подразделе 2.1 третий разряд кода ценной бумаги, присвоенного до возникновения обстоятельств, (гр. 4 подраздела 2.1) X3 = 1, то срок от даты, предшествующей возникновению обстоятельств, повлекших нарушения, (гр. 2 подраздела 2.1) до отчетной даты 91 день.

3. Если в подразделе 2.1 третий разряд кода ценной бумаги, присвоенного после возникновения обстоятельств, (гр. 4 подраздела 2.1) X3 = 2, то срок от даты возникновения того обстоятельства, которое возникло раньше других обстоятельств, повлекших нарушения, (гр. 2 подраздела 2.1) до отчетной даты 90 дней.

4. В подразделе 2.1 по каждому активу, имеющему одинаковое значение гр. 1, дата, предшествующая возникновению обстоятельств, повлекших нарушения, (гр. 2 подраздела 2.1), отраженная по строке, где третий разряд кода ценной бумаги, присвоенного до возникновения обстоятельств, (гр. 4 подраздела 2.1) X3 = 1, < даты возникновения того обстоятельства, которое возникло раньше других обстоятельств, повлекших нарушения, (гр. 2 подраздела 2.1), отраженной по строке, где третий разряд кода ценной бумаги, присвоенного после возникновения обстоятельств, (гр. 4 подраздела 2.1) X3 = 2.

5. В подразделе 2.1 по каждому активу, имеющему одинаковое значение гр. 1, первый разряд кода ценной бумаги, присвоенного до возникновения обстоятельств, (гр. 4 подраздела 2.1) X1, отраженного по строке, где указана дата, предшествующая возникновению обстоятельств, повлекших нарушения, = первому разряду кода ценной бумаги, присвоенного после возникновения обстоятельств, (гр. 4 подраздела 2.1) X1, отраженного по строке, где указана дата возникновения того обстоятельства, которое возникло позже других обстоятельств, повлекших нарушения.

Раздел 3 "Государственные ценные бумаги субъектов Российской Федерации и муниципальные ценные бумаги"

1. Если одиннадцатый разряд кода ценной бумаги (гр. 7 раздела 3) X11 = 01, то гр. 4 = 0, гр. 5, 6 0.

2. Если одиннадцатый разряд кода ценной бумаги (гр. 7 раздела 3) X11 = 02 или 03 или 04, то гр. 4, 5 0, гр. 6 = 0.

3. Если одиннадцатый разряд кода ценной бумаги (гр. 7 раздела 3) X11 = 07 или 08 или 10, то гр. 4 = 0, гр. 5, 6 0.

4. Если гр. 9 или гр. 11 0, то гр. 1, 2, 3, 7 0.

5. Стр. "Итого", гр. 9, 11 = сумма показателей предыдущих строк раздела 3, гр. 9, 11.

6. Стр. 1, гр. 1 = 1.

7. По каждой строке, кроме строки 1, значение графы 1 = значению графы 1 предыдущей строки + 1.

8. Если первый разряд кода ценной бумаги (гр. 7 раздела 3) X1 = 01, то показатель графы 2 раздела 3 формы N 14-страховщик должен отсутствовать в графе 2 раздела 3 формы N 7-страховщик.

9. Если первый разряд кода ценной бумаги (гр. 7 раздела 3) X1 = 02, то показатель графы 2 раздела 3 формы N 14-страховщик должен присутствовать в графе 2 раздела 3 формы N 7-страховщик.

10. Если первый разряд кода ценной бумаги (гр. 7 раздела 3) X1 = 03, то показатель графы 2 раздела 3 формы N 14-страховщик должен отсутствовать в графе 2 раздела 3 формы N 7-страховщик.

11. Если первый разряд кода ценной бумаги (гр. 7 раздела 3) X1 = 04, то показатель графы 2 раздела 3 формы N 14-страховщик должен присутствовать в графе 2 раздела 3 формы N 7-страховщик.

12. Если первый разряд кода ценной бумаги (гр. 7 раздела 3) X1 = 05, то показатель графы 2 раздела 3 формы N 14-страховщик должен отсутствовать в графе 2 раздела 3 формы N 7-страховщик.

13. Если первый разряд кода ценной бумаги (гр. 7 раздела 3) X1 = 06, то показатель графы 2 раздела 3 формы N 14-страховщик должен присутствовать в графе 2 раздела 3 формы N 7-страховщик.

14. Если первый разряд кода ценной бумаги (гр. 7 раздела 3) X1 = 07, то показатель графы 2 раздела 3 формы N 14-страховщик должен отсутствовать в графе 2 раздела 3 формы N 7-страховщик.

15. Если первый разряд кода ценной бумаги (гр. 7 раздела 3) X1 = 08, то показатель графы 2 раздела 3 формы N 14-страховщик должен присутствовать в графе 2 раздела 3 формы N 7-страховщик.

16. Если первый разряд кода ценной бумаги (гр. 7 раздела 3) X1 = 09, то показатель графы 2 раздела 3 формы N 14-страховщик должен отсутствовать в графе 2 раздела 3 формы N 7-страховщик.

17. Если первый разряд кода ценной бумаги (гр. 7 раздела 3) X1 = 10, то показатель графы 2 раздела 3 формы N 14-страховщик должен присутствовать в графе 2 раздела 3 формы N 7-страховщик.

18. Если первый разряд кода ценной бумаги (гр. 7 раздела 3) X1 = 11, то показатель графы 2 раздела 3 формы N 14-страховщик должен отсутствовать в графе 2 раздела 3 формы N 7-страховщик.

19. Если первый разряд кода ценной бумаги (гр. 7 раздела 3) X1 = 12, то показатель графы 2 раздела 3 формы N 14-страховщик должен присутствовать в графе 2 раздела 3 формы N 7-страховщик.

20. Если тринадцатый разряд кода ценной бумаги (гр. 7 раздела 3) X13 = 7, то показатель графы 2 раздела 3 формы N 14-страховщик должен отсутствовать в графе 2 раздела 3 формы N 7-страховщик.

21. В разделе 3 не могут одновременно присутствовать ценные бумаги, тринадцатый разряд кода ценной бумаги которых (гр. 7 раздела 3) X13 = 7 и X13 7, которые имеют одинаковый ИНН эмитента (гр. 2 раздела 3).

Если в файле описания страховой организации поле "Обязательное медицинское страхование" = 1 и поле "Страхование иное, чем страхование жизни" = 0, то следует иметь в виду следующее:

в контрольных соотношениях 8, 12, 16, 18, 20 показатель графы 2 раздела 3 формы N 14-страховщик должен отсутствовать в графе 2 раздела 3 формы N 7а-страховщик;

в контрольных соотношениях 9, 13, 17, 19 показатель графы 2 раздела 3 формы N 14-страховщик должен присутствовать в графе 2 раздела 3 формы N 7а-страховщик.

Если в файле описания страховой организации поле "Обязательное медицинское страхование" = 1 и поле "Страхование иное, чем страхование жизни" = 1, то следует иметь в виду следующее:

в контрольных соотношениях 8, 10, 12, 14, 16, 18, 20 показатель графы 2 раздела 3 формы N 14-страховщик должен отсутствовать и в графе 2 раздела 3 формы N 7-страховщик и в графе 2 раздела 3 формы N 7а-страховщик;

в контрольных соотношениях 9, 11, 13, 15, 17, 19 показатель графы 2 раздела 3 формы N 14-страховщик должен присутствовать или в графе 2 раздела 3 формы N 7-страховщик или в графе 2 раздела 3 формы N 7а-страховщик.

22. В графе 2, 6 количество цифр = 10 цифрам.

23. Гр. 8, 10 целые числа или с точностью до четвертого знака после десятичной точки.

24. Если гр. 9 0, то гр. 8 0.

25. Если гр. 11 0, то гр. 10 0.

26. Если гр. 9 0 и одиннадцатый разряд кода ценной бумаги (гр. 7 подраздела 3.1) X11 = 01, то в форме N 5-страховщик, стр. 370, гр. (3 + 5) 0.

27. Если гр. 11 0 и одиннадцатый разряд кода ценной бумаги (гр. 7 подраздела 3.1) X11 = 01, то в форме N 5-страховщик, стр. 370, гр. (4 + 6) 0.

Подраздел 3.1 "Государственные ценные бумаги субъектов Российской Федерации и муниципальные ценные бумаги, у эмитентов которых возникли обстоятельства, не зависящие от действий страховщика, повлекшие нарушения, устраняемые в соответствии с абзацем 4 пункта 4 Требований"

1. Если в разделе 3 двенадцатый, пятнадцатый разряды кода ценной бумаги (гр. 7 раздела 3) X12 007 или 040 или 070 или 100 или 220 или 990, X15 = 2, то показатели граф 2, 3, 4, 5 раздела 3 должны присутствовать в графах 1, 2, 3, 4 подраздела 3.1.

2. Если в разделе 1 стр. 190, гр. (3 + 4), (5 + 6) < стр. 014, гр. 3, 4, в разделе 3 двенадцатый, пятнадцатый разряды кода ценной бумаги (гр. 7 раздела 3) X12 = 007 или 040 или 070 или 100 или 220 или 990, X15 = 2, то показатели граф 2, 3, 4, 5 раздела 3 должны присутствовать в графах 1, 2, 3, 4 подраздела 3.1.

3. Если в разделе 1 стр. 190, гр. (3 + 4), (5 + 6) стр. 014, гр. 3, 4, в разделе 3 двенадцатый, пятнадцатый разряды кода ценной бумаги (гр. 7 раздела 3) X12 = 007 или 040 или 070 или 100 или 220 или 990, X15 = 2, то показатели граф 2, 3, 4, 5 раздела 3 не должны присутствовать в графах 1, 2, 3, 4 подраздела 3.1.

4. Если в подразделе 3.1 третий разряд кода ценной бумаги, присвоенного до возникновения обстоятельств, (гр. 7 подраздела 3.1) X3 = 1, то срок от даты, предшествующей возникновению обстоятельств, повлекших нарушения, (гр. 5 подраздела 3.1) до отчетной даты 91 день.

5. Если в подразделе 3.1 третий разряд кода ценной бумаги, присвоенного после возникновения обстоятельств, (гр. 7 подраздела 3.1) X3 = 2, то срок от даты возникновения того обстоятельства, которое возникло раньше других обстоятельств, повлекших нарушения, (гр. 5 подраздела 3.1) до отчетной даты 90 дней.

6. В подразделе 3.1 по каждому активу, имеющему одинаковое значение гр. 1, 2, 3, 4, дата, предшествующая возникновению обстоятельств, повлекших нарушения, (гр. 5 подраздела 3.1), отраженная по строке, где третий разряд кода ценной бумаги, присвоенного до возникновения обстоятельств, (гр. 7 подраздела 3.1) X3 = 1, < даты возникновения того обстоятельства, которое возникло раньше других обстоятельств, повлекших нарушения, (гр. 5 подраздела 3.1), отраженной по строке, где третий разряд кода ценной бумаги, присвоенного после возникновения обстоятельств, (гр. 7 подраздела 3.1) X3 = 2.

7. В подразделе 3.1 по каждому активу, имеющему одинаковое значение гр. 1, 2, 3, 4, первый разряд кода ценной бумаги, присвоенного до возникновения обстоятельств, (гр. 7 подраздела 3.1) X1, отраженного по строке, где указана дата, предшествующая возникновению обстоятельств, повлекших нарушения, = первому разряду кода ценной бумаги, присвоенного после возникновения обстоятельств, (гр. 7 подраздела 3.1) X1, отраженного по строке, где указана дата возникновения того обстоятельства, которое возникло позже других обстоятельств, повлекших нарушения.

Раздел 4 "Иные облигации, кроме облигаций, отраженных в разделах 2 и 3"

1. Если второй, одиннадцатый разряды кода ценной бумаги (гр. 7 раздела 4) X2 = 1 или 2 или 3 или 7 или 8 или 9, X11 = 01, то гр. 4 = 0, гр. 5, 6 0.

2. Если второй, одиннадцатый разряды кода ценной бумаги (гр. 7 раздела 4) X2 = 1 или 2 или 3, X11 = 02 или 03 или 04, то гр. 4, 5 0, гр. 6 = 0.

3. Если второй, одиннадцатый разряды кода ценной бумаги (гр. 7 раздела 4) X2 = 4 или 5 или 6, X11 = 02 или 03 или 04, то гр. 4 0, гр. 5, 6 = 0.

4. Если второй, одиннадцатый разряды кода ценной бумаги (гр. 7 раздела 4) X2 = или 1 или 2 или 3, X11 = 07 или 08 или 10, то гр. 4 = 0, гр. 5, 6 0.

5. Если гр. 9 или гр. 11 0, то гр. 1, 2, 3, 7 0.

6. Стр. "Итого", гр. 9, 11 = сумма показателей предыдущих строк раздела 4, гр. 9, 11.

7. Стр. 1, гр. 1 = 1.

8. По каждой строке, кроме строки 1, значение графы 1 = значению графы 1 предыдущей строки + 1.

9. Если графа 9 0, четвертый, пятый разряды кода ценной бумаги (гр. 7 раздела 4) X4 = 1, X5 = 8, то в подразделе 1.1 формы N 12-страховщик в графе 2 должен присутствовать показатель графы 2 раздела 4 формы N 14-страховщик и графа 4 0.

10. Если графа 11 0, четвертый, пятый разряды кода ценной бумаги (гр. 7 раздела 4) X4 = 1, X5 = 8, то в подразделе 1.1 формы N 12-страховщик в графе 2 должен присутствовать показатель графы 2 раздела 4 формы N 14-страховщик и графа 6 0.

11. Если графа 9 0, четвертый, пятый разряды кода ценной бумаги (гр. 7 раздела 4) X4 = 1, X5 = 4 или 7, то в подразделе 1.2 формы N 12-страховщик в графе 1 должен присутствовать показатель графы 2 раздела 4 формы N 14-страховщик и графа 5 0.

12. Если графа 11 0, четвертый, пятый разряды кода ценной бумаги (гр. 7 раздела 4) X4 = 1, X5 = 4 или 7, то в подразделе 1.2 формы N 12-страховщик в графе 1 должен присутствовать показатель графы 2 раздела 4 формы N 14-страховщик и графа 7 0.

13. Если графа 9 0, четвертый, пятый разряды кода ценной бумаги (гр. 7 раздела 4) X4 = 2, X5 = 8, то в подразделе 2.1 формы N 12-страховщик в графе 2 должен присутствовать показатель графы 2 раздела 4 формы N 14-страховщик и графа 4 0.

14. Если графа 11 0, четвертый, пятый разряды кода ценной бумаги (гр. 7 раздела 4) X4 = 2, X5 = 8, то в подразделе 2.1 формы N 12-страховщик в графе 2 должен присутствовать показатель графы 2 раздела 4 формы N 14-страховщик и графа 6 0.

15. Если графа 9 0, четвертый, пятый разряды кода ценной бумаги (гр. 7 раздела 4) X4 = 2, X5 = 4 или 7, то в подразделе 2.2 формы N 12-страховщик в графе 1 должен присутствовать показатель графы 2 раздела 4 формы N 14-страховщик и графа 5 0.

16. Если графа 11 0, четвертый, пятый разряды кода ценной бумаги (гр. 7 раздела 4) X4 = 2, X5 = 4 или 7, то в подразделе 2.2 формы N 12-страховщик в графе 1 должен присутствовать показатель графы 2 раздела 4 формы N 14-страховщик и графа 7 0.

17. Если первый разряд кода ценной бумаги (гр. 7 раздела 4) X1 = 01, то показатель графы 2 раздела 4 формы N 14-страховщик должен отсутствовать в графе 2 раздела 4 формы N 7-страховщик.

18. Если первый разряд кода ценной бумаги (гр. 7 раздела 4) X1 = 02, то показатель графы 2 раздела 4 формы N 14-страховщик должен присутствовать в графе 2 раздела 4 формы N 7-страховщик.

19. Если первый разряд кода ценной бумаги (гр. 7 раздела 4) X1 = 03, то показатель графы 2 раздела 4 формы N 14-страховщик должен отсутствовать в графе 2 раздела 4 формы N 7-страховщик.

20. Если первый разряд кода ценной бумаги (гр. 7 раздела 4) X1 = 04, то показатель графы 2 раздела 4 формы N 14-страховщик должен присутствовать в графе 2 раздела 4 формы N 7-страховщик.

21. Если первый разряд кода ценной бумаги (гр. 7 раздела 4) X1 = 05, то показатель графы 2 раздела 4 формы N 14-страховщик должен отсутствовать в графе 2 раздела 4 формы N 7-страховщик.

22. Если первый разряд кода ценной бумаги (гр. 7 раздела 4) X1 = 06, то показатель графы 2 раздела 4 формы N 14-страховщик должен присутствовать в графе 2 раздела 4 формы N 7-страховщик.

23. Если первый разряд кода ценной бумаги (гр. 7 раздела 4) X1 = 07, то показатель графы 2 раздела 4 формы N 14-страховщик должен отсутствовать в графе 2 раздела 4 формы N 7-страховщик.

24. Если первый разряд кода ценной бумаги (гр. 7 раздела 4) X1 = 08, то показатель графы 2 раздела 4 формы N 14-страховщик должен присутствовать в графе 2 раздела 4 формы N 7-страховщик.

25. Если первый разряд кода ценной бумаги (гр. 7 раздела 4) X1 = 09, то показатель графы 2 раздела 4 формы N 14-страховщик должен отсутствовать в графе 2 раздела 4 формы N 7-страховщик.

26. Если первый разряд кода ценной бумаги (гр. 7 раздела 4) X1 = 10, то показатель графы 2 раздела 4 формы N 14-страховщик должен присутствовать в графе 2 раздела 4 формы N 7-страховщик.

27. Если первый разряд кода ценной бумаги (гр. 7 раздела 4) X1 = 11, то показатель графы 2 раздела 4 формы N 14-страховщик должен отсутствовать в графе 2 раздела 4 формы N 7-страховщик.

28. Если первый разряд кода ценной бумаги (гр. 7 раздела 4) X1 = 12, то показатель графы 2 раздела 4 формы N 14-страховщик должен присутствовать в графе 2 раздела 4 формы N 7-страховщик.

29. Если тринадцатый разряд кода ценной бумаги (гр. 7 раздела 4) X13 = 7, то показатель графы 2 раздела 4 формы N 14-страховщик должен отсутствовать в графе 2 раздела 4 формы N 7-страховщик.

30. Если первый разряд кода ценной бумаги (гр. 7 раздела 4) X1 = 01 или 02 или 05 или 06 или 09 или 10, то в разделе 4 не могут одновременно присутствовать ценные бумаги, тринадцатый разряд кода ценной бумаги которых (гр. 7 раздела 4) X13 = 7 и X13 7, которые имеют одинаковый ИНН эмитента, код нерезидента (гр. 2 раздела 4).

Если в файле описания страховой организации поле "Обязательное медицинское страхование" = 1 и поле "Страхование иное, чем страхование жизни" = 0, то следует иметь в виду следующее:

в контрольных соотношениях 17, 21, 25, 27, 29 показатель графы 2 раздела 4 формы N 14-страховщик должен отсутствовать в графе 2 подраздела 4.1 формы N 7а-страховщик;

в контрольных соотношениях 18, 22, 26, 28 показатель графы 2 раздела 4 формы N 14-страховщик должен присутствовать в графе 2 подраздела 4.1 формы N 7а-страховщик.

Если в файле описания страховой организации поле "Обязательное медицинское страхование" = 1 и поле "Страхование иное, чем страхование жизни" = 1, то следует иметь в виду следующее:

в контрольных соотношениях 17, 19, 21, 23, 25, 27, 29 показатель графы 2 раздела 4 формы N 14-страховщик должен отсутствовать и в графе 2 раздела 4 формы N 7-страховщик, и в графе 2 подраздела 4.1 формы N 7а-страховщик;

в контрольных соотношениях 18, 20, 22, 24, 26, 28 показатель графы 2 раздела 4 формы N 14-страховщик должен присутствовать или в графе 2 раздела 4 формы N 7-страховщик или в графе 2 подраздела 4.1 формы N 7а-страховщик.

31. Если второй, пятый разряды кода ценной бумаги (гр. 7 раздела 4) X2 = 1 или 2 или 3 или 7 или 8 или 9, X5 8, то в графе 2 количество цифр = 10 цифрам.

32. Если второй разряд кода ценной бумаги (гр. 7 раздела 4) X2 = 4 или 5 или 6, то в графе 2 количество цифр = 6 цифрам.

33. В графе 6 количество цифр = 10 цифрам.

34. Гр. 8, 10 целые числа или с точностью до четвертого знака после десятичной точки.

35. Если гр. 9 0, то гр. 8 0.

36. Если гр. 11 0, то гр. 10 0.

37. Если второй, пятый разряды кода ценной бумаги (гр. 7 раздела 4) X2 = 1 или 2 или 3, X5 = 8, то в графе 2 количество цифр = от 1 до 4 цифр, иначе дать разъяснение в пояснительной записке.

38. Если гр. 9 0 и одиннадцатый разряд кода ценной бумаги (гр. 7 раздела 4) X11 = 01, то в форме N 5-страховщик, стр. (352 + 362), гр. (3 + 5) 0.

39. Если гр. 11 0 и одиннадцатый разряд кода ценной бумаги (гр. 7 раздела 4) X11 = 01, то в форме N 5-страховщик, стр. (352 + 362), гр. (4 + 6) 0.

40. Если второй разряд кода ценной бумаги (гр. 7 раздела 4) X2 = 4 или 5 или 6, то первый разряд кода нерезидента (гр. 2 раздела 4) должен состоять из трех цифр и присутствовать в Общероссийском классификаторе стран мира (ОКСМ).

Подраздел 4.1 "Иные облигации, кроме облигаций, отраженных в подразделах 2.1, 3.1, у эмитентов которых возникли обстоятельства, не зависящие от действий страховой организации, повлекшие нарушения, устраняемые в соответствии с абзацем 4 пункта 4 Требований"

1. Если в разделе 4 двенадцатый, пятнадцатый разряды кода ценной бумаги (гр. 7 раздела 4) X12 007 или 040 или 070 или 100 или 220 или 260 или 990, X15 = 2, то показатели граф 2, 3, 4, 5 раздела 4 должны присутствовать в графах 1, 2, 3, 4 подраздела 4.1.

2. Если в разделе 1 стр. 190, гр. (3 + 4), (5 + 6) < стр. 014, гр. 3, 4, в разделе 4 двенадцатый, пятнадцатый разряды кода ценной бумаги (гр. 7 раздела 4) X12 = 007 или 040 или 070 или 100 или 220 или 260 или 990, X15 = 2, то показатели граф 2, 3, 4, 5 раздела 4 должны присутствовать в графах 1, 2, 3, 4 подраздела 4.1.

3. Если в разделе 1 стр. 190, гр. (3 + 4), (5 + 6) стр. 014, гр. 3, 4, в разделе 4 двенадцатый, пятнадцатый разряды кода ценной бумаги (гр. 7 раздела 4) X12 = 007 или 040 или 070 или 100 или 220 или 260 или 990, X15 = 2, то показатели граф 2, 3, 4, 5 раздела 4 не должны присутствовать в графах 1, 2, 3, 4 подраздела 4.1.

4. Если в подразделе 4.1 третий разряд кода ценной бумаги, присвоенного до возникновения обстоятельств, (гр. 7 подраздела 4.1) X3 = 1, то срок от даты, предшествующей возникновению обстоятельств, повлекших нарушения, (гр. 5 подраздела 4.1) до отчетной даты 91 день.

5. Если в подразделе 4.1 третий разряд кода ценной бумаги, присвоенного после возникновения обстоятельств, (гр. 7 подраздела 4.1) X3 = 2, то срок от даты возникновения того обстоятельства, которое возникло раньше других обстоятельств, повлекших нарушения, (гр. 5 подраздела 4.1) до отчетной даты 90 дней.

6. В подразделе 4.1 по каждому активу, имеющему одинаковое значение гр. 1, 2, 3, 4, дата, предшествующая возникновению обстоятельств, повлекших нарушения, (гр. 5 подраздела 4.1), отраженная по строке, где третий разряд кода ценной бумаги, присвоенного до возникновения обстоятельств, (гр. 7 подраздела 4.1) X3 = 1, < даты возникновения того обстоятельства, которое возникло раньше других обстоятельств, повлекших нарушения, (гр. 5 подраздела 4.1), отраженной по строке, где третий разряд кода ценной бумаги, присвоенного после возникновения обстоятельств, (гр. 7 подраздела 4.1) X3 = 2.

7. В подразделе 4.1 по каждому активу, имеющему одинаковое значение гр. 1, 2, 3, 4, первый разряд кода ценной бумаги, присвоенного до возникновения обстоятельств, (гр. 7 подраздела 4.1) X1, отраженного по строке, где указана дата, предшествующая возникновению обстоятельств, повлекших нарушения, = первому разряду кода ценной бумаги, присвоенного после возникновения обстоятельств, (гр. 7 подраздела 4.1) X1, отраженного по строке, где указана дата возникновения того обстоятельства, которое возникло позже других обстоятельств, повлекших нарушения.

Раздел 5 "Векселя организаций, в том числе банков"

1. Если гр. 11 или 12 0, то гр. 1, 2, 8, 10, 13, 15, 16, 17, 18, 20, 21, 22, 23 0.

2. Если второй, пятый, шестой, одиннадцатый разряды кода ценной бумаги (гр. 10 раздела 5) X2 = 1 или 2 или 3, X5 = 4, X6 = 1 или 4 или 5, X11 = 02 или 03 или 04, то гр. 3, 4 0, гр. 9, 28, 29, 30, 31, 32 = 0.

3. Если второй, пятый, шестой, одиннадцатый разряды кода ценной бумаги (гр. 10 раздела 5) X2 = 1 или 2 или 3, X5 = 7 или 8, X6 = 1 или 4 или 5, X11 = 02 или 03 или 04, то гр. 3, 4 0, гр. 9, 28, 29, 30, 31, 32 = 0.

4. Если второй, пятый, шестой, одиннадцатый разряды кода ценной бумаги (гр. 10 раздела 5) X2 = 1 или 2 или 3, X5 = 7 или 8, X6 = 4 или 5, X11 = 00, то гр. 4 0, гр. 3, 9, 28, 29, 30, 31, 32 = 0.

5. Если второй, пятый, шестой, одиннадцатый разряды кода ценной бумаги (гр. 10 раздела 5) X2 = 4 или 5 или 6, X5 = 4, X6 = 1 или 4 или 5, X11 = 00 или 02 или 03 или 04 или 11, то гр. 3 0, гр. 4, 9, 28, 29, 30, 31, 32 = 0.

7. Если второй, пятый, шестой, одиннадцатый разряды кода ценной бумаги (гр. 10 раздела 5) X2 = 4 или 5 или 6, X5 = 7 или 8, X6 = 1 или 4 или 5, X11 = 00 или 02 или 03 или 04, то гр. 3 0, гр. 4, 9, 28, 29, 30, 31, 32 = 0.

8. Если второй, пятый, шестой, одиннадцатый разряды кода ценной бумаги (гр. 10 раздела 5) X2 = 4 или 5 или 6, X5 = 7 или 8, X6 = 4 или 5, X11 = 00, то гр. 3 0, гр. 4, 9, 28, 29, 30, 31, 32 = 0.

9. Если второй, пятый, шестой, одиннадцатый разряды кода ценной бумаги (гр. 10 раздела 5) X2 = 1 или 2 или 3, X5 = 4, X6 = 1 или 4 или 5, X11 = 07 или 08 или 10, то гр. 4, 9 0, гр. 3, 28, 29, 30, 31, 32 = 0.

10. Если второй, пятый, шестой, одиннадцатый разряды кода ценной бумаги (гр. 10 раздела 5) X2 = 1 или 2 или 3, X5 = 7 или 8, X6 = 1 или 4 или 5, X11 = 07 или 08 или 10, то гр. 4, 9 0, гр. 3, 28, 29, 30, 31, 32 = 0.

11. Если второй, пятый, шестой, одиннадцатый разряды кода ценной бумаги (гр. 10 раздела 5) X2 = 1 или 2 или 3, X5 = 4, X6 = 1 или 4 или 5, X11 = 00 или 11, то гр. 4 0, гр. 3, 9, 28, 29, 30, 31, 32 = 0.

12. Если второй, пятый, шестой, одиннадцатый разряды кода ценной бумаги (гр. 10 раздела 5) X2 = 1 или 2 или 3, X5 = 7 или 8, X6 = 1 или 4 или 5, X11 = 00, то гр. 4 0, гр. 3, 9, 28, 29, 30, 31, 32 = 0.

13. Если второй, пятый, шестой, одиннадцатый разряды кода ценной бумаги (гр. 10 раздела 5) X2 = 1 или 2 или 3, X5 = 4, X6 = 2 или 3, X11 = 02 или 03 или 04, то гр. 3, 4 0, гр. 9 = 0.

14. Если второй, пятый, шестой, одиннадцатый разряды кода ценной бумаги (гр. 10 раздела 5) X2 = 4 или 5 или 6, X5 = 4, X6 = 2 или 3, X11 = 00 или 02 или 03 или 04 или 11, то гр. 3 0, гр. 4, 9 = 0.

15. Если второй, пятый, шестой, одиннадцатый разряды кода ценной бумаги (гр. 10 раздела 5) X2 = 1 или 2 или 3, X5 = 4, X6 = 2 или 3, X11 = 07 или 08 или 10, то гр. 4, 9 0, гр. 3 = 0.

16. Если второй, пятый, шестой, одиннадцатый разряды кода ценной бумаги (гр. 10 раздела 5) X2 = 1 или 2 или 3, X5 = 4, X6 = 2 или 3, X11 = 00 или 11, то гр. 4 0, гр. 3, 9 = 0.

17. Если второй, пятый, шестой, одиннадцатый разряды кода ценной бумаги (гр. 10 раздела 5) X2 = 1 или 2 или 3, X5 = 7 или 8, X6 = 2 или 3, X11 = 00, то гр. 4 0, гр. 3, 9 = 0.

18. Если второй, пятый, шестой, одиннадцатый разряды кода ценной бумаги (гр. 10 раздела 5) X2 = 4 или 5 или 6, X5 = 7 или 8, X6 = 2 или 3, X11 = 00, то гр. 3 0, гр. 4, 9 = 0.

19. Если в графе 10 второй, пятый, шестой разряды кода ценной бумаги X2 = 1 или 2 или 3 или 4 или 5 или 6, X5 = 4, X6 = 2 или 3 и в графе 32 второй, пятый, шестой, одиннадцатый разряды кода ценной бумаги X2 = 1 или 2 или 3, X5 = 4, X6 = 2 или 3, X11 = 02 или 03 или 04, то гр. 29, 30 0, гр. 31 = 0.

20. Если в графе 10 второй, пятый, шестой разряды кода ценной бумаги X2 = 1 или 2 или 3 или 4 или 5 или 6, X5 = 4, X6 = 2 или 3 и в графе 32 второй, пятый, шестой, одиннадцатый разряды кода ценной бумаги X2 = 4 или 5 или 6, X5 = 4, X6 = 2 или 3, X11 = 02 или 03 или 04, то гр. 29 0, гр. 30, 31 = 0.

21. Если в графе 10 второй, пятый, шестой разряды кода ценной бумаги X2 = 1 или 2 или 3 или 4 или 5 или 6, X5 = 4, X6 = 2 или 3 и в графе 32 второй, пятый, шестой, одиннадцатый разряды кода ценной бумаги X2 = 1 или 2 или 3, X5 = 4, X6 = 2 или 3, X11 = 07 или 08 или 10, то гр. 29 = 0, гр. 30, 31 0.

22. Если в графе 10 второй, пятый, шестой разряды кода ценной бумаги X2 = 1 или 2 или 3 или 4 или 5 или 6, X5 = 4, X6 = 2 или 3 и в графе 32 второй, пятый, шестой, одиннадцатый разряды кода ценной бумаги X2 = 1 или 2 или 3, X5 = 4, X6 = 2 или 3, X11 = 00 или 11, то гр. 29, 31 = 0, гр. 30 0.

23. Если в графе 10 второй, пятый, шестой разряды кода ценной бумаги X2 = 1 или 2 или 3 или 4 или 5 или 6, X5 = 4, X6 = 2 или 3 и в графе 32 второй, пятый, шестой, одиннадцатый разряды кода ценной бумаги X2 = 4 или 5 или 6, X5 = 4, X6 = 2 или 3, X11 = 00 или 11, то гр. 29 0, гр. 30, 31 = 0.

24. Если в графе 10 второй, пятый, шестой разряды кода ценной бумаги X2 = 1 или 2 или 3 или 4 или 5 или 6, X5 = 4, X6 = 2 или 3 и в графе 32 второй, пятый, шестой, одиннадцатый разряды кода ценной бумаги X2 = 1 или 2 или 3, X5 = 7 или 8, X6 = 2 или 3, X11 = 02 или 03 или 04, то гр. 29, 30 0, гр. 31 = 0.

25. Если в графе 10 второй, пятый, шестой разряды кода ценной бумаги X2 = 1 или 2 или 3 или 4 или 5 или 6, X5 = 4, X6 = 2 или 3 и в графе 32 второй, пятый, шестой, одиннадцатый разряды кода ценной бумаги X2 = 4 или 5 или 6, X5 = 7 или 8, X6 = 2 или 3, X11 = 02 или 03 или 04, то гр. 29 0, гр. 30, 31 = 0.

26. Если в графе 10 второй, пятый, шестой разряды кода ценной бумаги X2 = 1 или 2 или 3 или 4 или 5 или 6, X5 = 4, X6 = 2 или 3 и в графе 32 второй, пятый, шестой, одиннадцатый разряды кода ценной бумаги X2 = 1 или 2 или 3, X5 = 7 или 8, X6 = 2 или 3, X11 = 07 или 08 или 10, то гр. 29 = 0, гр. 30, 31 0.

27. Если в графе 10 второй, пятый, шестой разряды кода ценной бумаги X2 = 1 или 2 или 3 или 4 или 5 или 6, X5 = 4, X6 = 2 или 3 и в графе 32 второй, пятый, шестой, одиннадцатый разряды кода ценной бумаги X2 = 1 или 2 или 3, X5 = 7 или 8, X6 = 2 или 3, X11 = 00, то гр. 29, 31 = 0, гр. 30 0.

28. Если в графе 10 второй, пятый, шестой разряды кода ценной бумаги X2 = 1 или 2 или 3 или 4 или 5 или 6, X5 = 4, X6 = 2 или 3 и в графе 32 второй, пятый, шестой, одиннадцатый разряды кода ценной бумаги X2 = 4 или 5 или 6, X5 = 7 или 8, X6 = 2 или 3, X11 = 00, то гр. 29 0, гр. 30, 31 = 0.

29. Если пятый, шестой разряды кода ценной бумаги (гр. 10 раздела 5) X5 = 4, X6 = 2, то гр. 2 гр. 28, гр. 2, 28 0.

30. Если первый, пятый, шестой, одиннадцатый разряды кода ценной бумаги (гр. 10 раздела 5) X1 = 03 или 07, X5 = 7 или 8, X6 = 2, X11 = 00, то гр. 2 гр. 28, гр. 2, 28 0.

31. Если пятый, шестой разряды кода ценной бумаги (гр. 10 раздела 5) X5 = 4, X6 = 3, то гр. 2 = гр. 28, гр. 2, 28 0.

32. Если пятый, шестой, одиннадцатый разряды кода ценной бумаги (гр. 10 раздела 5) X5 = 7 или 8, X6 = 3, X11 = 00, то гр. 2 = гр. 28, гр. 2, 28 0.

33. Если пятый, шестой разряды кода ценной бумаги (гр. 10 раздела 5) X5 = 4, X6 = 1 или 4 или 5, то гр. 2 0, гр. 28 = 0.

34. Если пятый, шестой разряды кода ценной бумаги (гр. 10 раздела 5) X5 = 7 или 8, X6 = 1 или 4 или 5, то гр. 2 0, гр. 28 = 0.

35. Стр. "Итого", гр. 11, 12 = сумма показателей предыдущих строк раздела 5, гр. 11, 12.

36. Если второй, пятый разряды кода ценной бумаги (гр. 10 раздела 5) X2 = 1 или 2 или 3, X5 8, то в графе 2 количество цифр = 10 цифрам.

37. Если второй разряд кода ценной бумаги (гр. 10 раздела 5) X2 = 4 или 5 или 6, то в графе 2 количество цифр = 6 цифрам.

38. В гр. 9, 31 количество цифр = 10 цифрам.

39. Если в графе 13 условие платежа "по предъявлении", то гр. 14 = 0.

40. Если в графе 13 условие платежа "на определенную дату", "по предъявлении, но не ранее определенной даты", "по предъявлении, но не позднее определенной даты", то в графе 14 указывается конкретная дата платежа в формате ДД.ММ.ГГГГ.

41. Если в графе 13 условие платежа "по предъявлении, но не ранее определенной даты и не позднее определенной даты", то в графе 14 указываются через пробел две даты в формате ДД.ММ.ГГГГ.

42. Если в графе 13 условие платежа "через определенное количество дней с даты выпуска", то в графе 14 указывается количество дней целым числом и через пробел дата составления (выпуска) в формате ДД.ММ.ГГГГ.

43. Если в графе 13 указано условие платежа "иное", то гр. 14 = 0, а в пояснительную записку необходимо перенести из графы 1 порядковый номер строки, из векселя - указанное в нем полное условие платежа (в том числе даты, количество дней и т.п.).

44. Если в графе 13 указано условие платежа "через определенное количество дней с даты выпуска", то дата платежа в графе 14 = дате составления (выпуска) векселя в графе 8.

45. В графе 15 указываются трехзначный цифровой код валюты, в которой выражена вексельная сумма, согласно Общероссийскому классификатору валют (ОКВ).

46. В графе 17 дата принятия к учету указывается в формате ДД.ММ.ГГГГ.

47. Дата в гр. 17 даты в гр. 8.

48. В графе 18 указывается дата правоустанавливающего документа в формате ДД.ММ.ГГГГ.

49. Если в графе 21 отражен регистрационный номер страховой организации, которая является контрагентом по сделке, то в графе 21 количество цифр = от 1 до 4 цифр, иначе дать разъяснение в пояснительной записке.

50. Если в графе 21 отражен ИНН контрагента по сделке, который является организацией резидентом иной, чем страховая организация, то в графе 21 количество цифр = 10 цифрам.

51. Если в графе 21 отражен ИНН контрагента по сделке, который является физическим лицом резидентом, то в графе 21 количество цифр = 12 цифрам.

52. Если в графе 21 отражен код нерезидента, который является контрагентом по сделке, то в графе 21 количество цифр = 6 цифрам.

53. Если в графе 23 фактическим местом нахождения векселя указана страховая организация (например, "в страховой организации", "под отчетом у работника страховой организации", "в филиале страховой организации", "у работника филиала страховой организации"), то гр. 24, 25, 26, 27 = 0.

54. Если в графе 23 указано, что вексель находится вне страховой организации (кроме случая "под отчетом у работника страховой организации"), то гр. 24, 25, 26, 27 0

55. Если в графе 24 отражен регистрационный номер другой страховой организации, то в графе 24 количество цифр = от 1 до 4 цифр, иначе дать разъяснение в пояснительной записке.

56. Если в графе 24 отражен ИНН организации резидента, у которой находится вексель (кроме страховой организации), то в графе 24 количество цифр = 10 цифрам.

57. Если в графе 24 отражен код нерезидента, у которого находится вексель, то в графе 24 количество цифр = 6 цифрам.

58. В графе 25 указывается дата составления документа, который послужил основанием для нахождения векселя в другой организации, в формате ДД.ММ.ГГГГ.

59. Если второй, пятый разряды кода ценной бумаги (гр. 32 раздела 5) X2 = 1 или 2 или 3, X5 8, то в графе 28 количество цифр = 10 цифрам.

60. Если второй разряд кода ценной бумаги (гр. 32 раздела 5) X2 = 4 или 5 или 6, то в графе 28 количество цифр = 6 цифрам.

61. Стр. 1, гр. 1 = 1.

62. По каждой строке, кроме строки 1, значение графы 1 = значению графы 1 предыдущей строки + 1.

63. Если графа 11 0, четвертый, пятый разряды кода ценной бумаги (гр. 10 раздела 5) X4 = 1, X5 = 8, то в подразделе 1.1 формы N 12-страховщик в графе 2 должен присутствовать показатель графы 2 раздела 5 формы N 14-страховщик и графа 4 0.

64. Если графа 12 0, четвертый, пятый разряды кода ценной бумаги (гр. 10 раздела 5) X4 = 1, X5 = 8, то в подразделе 1.1 формы N 12-страховщик в графе 2 должен присутствовать показатель графы 2 раздела 5 формы N 14-страховщик и графа 6 0.

65. Если графа 11 0, четвертый, пятый разряды кода ценной бумаги (гр. 10 раздела 5) X4 = 1, X5 = 4 или 7, то в подразделе 1.2 формы N 12-страховщик в графе 1 должен присутствовать показатель графы 2 раздела 5 формы N 14-страховщик и графа 5 0.

66. Если графа 12 0, четвертый, пятый разряды кода ценной бумаги (гр. 10 раздела 5) X4 = 1, X5 = 4 или 7, то в подразделе 1.2 формы N 12-страховщик в графе 1 должен присутствовать показатель графы 2 раздела 5 формы N 14-страховщик и графа 7 0.

67. Если графа 11 0, четвертый, пятый разряды кода ценной бумаги (гр. 10 раздела 5) X4 = 2, X5 = 8, то в подразделе 2.1 формы N 12-страховщик в графе 2 должен присутствовать показатель графы 2 раздела 5 формы N 14-страховщик и графа 4 0.

68. Если графа 12 0, четвертый, пятый разряды кода ценной бумаги (гр. 10 раздела 5) X4 = 2, X5 = 8, то в подразделе 2.1 формы N 12-страховщик в графе 2 должен присутствовать показатель графы 2 раздела 5 формы N 14-страховщик и графа 6 0.

69. Если графа 11 0, четвертый, пятый разряды кода ценной бумаги (гр. 10 раздела 5) X4 = 2, X5 = 4 или 7, то в подразделе 2.2 формы N 12-страховщик в графе 1 должен присутствовать показатель графы 2 раздела 5 формы N 14-страховщик и графа 5 0.

70. Если графа 12 0, четвертый, пятый разряды кода ценной бумаги (гр. 10 раздела 5) X4 = 2, X5 = 4 или 7, то в подразделе 2.2 формы N 12-страховщик в графе 1 должен присутствовать показатель графы 2 раздела 5 формы N 14-страховщик и графа 7 0.

71. Если первый разряд кода ценной бумаги векселедателя (гр. 10 раздела 5) X1 = 01, то показатель графы 2 раздела 5 формы N 14-страховщик должен отсутствовать в графе 2 раздела 5 формы N 7-страховщик.

72. Если первый разряд кода ценной бумаги акцептанта (гр. 32 раздела 5) X1 = 01, то показатель графы 28 раздела 5 формы N 14-страховщик должен отсутствовать в графе 28 раздела 5 формы N 7-страховщик.

73. Если первый разряд кода ценной бумаги векселедателя (гр. 10 раздела 5) X1 = 02, то показатель графы 2 раздела 5 формы N 14-страховщик должен присутствовать в графе 2 раздела 5 формы N 7-страховщик.

74. Если первый разряд кода ценной бумаги акцептанта (гр. 32 раздела 5) X1 = 02, то показатель графы 28 раздела 5 формы N 14-страховщик должен присутствовать в графе 28 раздела 5формы N 7-страховщик.

75. Если первый разряд кода ценной бумаги векселедателя (гр. 10 раздела 5) X1 = 03, то показатель графы 2 раздела 5 формы N 14-страховщик должен отсутствовать в графе 2 раздела 5 формы N 7-страховщик.

76. Если первый разряд кода ценной бумаги акцептанта (гр. 32 раздела 5) X1 = 03, то показатель графы 28 раздела 5 формы N 14-страховщик должен отсутствовать в графе 28 раздела 5 формы N 7-страховщик.

77. Если первый разряд кода ценной бумаги векселедателя (гр. 10 раздела 5) X1 = 04, то показатель графы 2 раздела 5 формы N 14-страховщик должен присутствовать в графе 2 раздела 5 формы N 7-страховщик.

78. Если первый разряд кода ценной бумаги акцептанта (гр. 32 раздела 5) X1 = 04, то показатель графы 28 раздела 5 формы N 14-страховщик должен присутствовать в графе 28 раздела 5 формы N 7-страховщик.

79. Если первый разряд кода ценной бумаги векселедателя (гр. 10 раздела 5) X1 = 05, то показатель графы 2 раздела 5 формы N 14-страховщик должен отсутствовать в графе 2 раздела 5 формы N 7-страховщик.

80. Если первый разряд кода ценной бумаги акцептанта (гр. 32 раздела 5) X1 = 05, то показатель графы 28 раздела 5 формы N 14-страховщик должен отсутствовать в графе 28 раздела 5 формы N 7-страховщик.

81. Если первый разряд кода ценной бумаги векселедателя (гр. 10 раздела 5) X1 = 06, то показатель графы 2 раздела 5 формы N 14-страховщик должен присутствовать в графе 2 раздела 5 формы N 7-страховщик.

82. Если первый разряд кода ценной бумаги акцептанта (гр. 32 раздела 5) X1 = 06, то показатель графы 28 раздела 5 формы N 14-страховщик должен присутствовать в графе 28 раздела 5 формы N 7-страховщик.

83. Если первый разряд кода ценной бумаги векселедателя (гр. 10 раздела 5) X1 = 07, то показатель графы 2 раздела 5 формы N 14-страховщик должен отсутствовать в графе 2 раздела 5 формы N 7-страховщик.

84. Если первый разряд кода ценной бумаги акцептанта (гр. 32 раздела 5) X1 = 07, то показатель графы 28 раздела 5 формы N 14-страховщик должен отсутствовать в графе 28 раздела 5 формы N 7-страховщик.

85. Если первый разряд кода ценной бумаги векселедателя (гр. 10 раздела 5) X1 = 08, то показатель графы 2 раздела 5 формы N 14-страховщик должен присутствовать в графе 2 раздела 5 формы N 7-страховщик.

86. Если первый разряд кода ценной бумаги акцептанта (гр. 32 раздела 5) X1 = 08, то показатель графы 28 раздела 5 формы N 14-страховщик должен присутствовать в графе 28 раздела 5 формы N 7-страховщик.

87. Если первый разряд кода ценной бумаги векселедателя (гр. 10 раздела 5) X1 = 09, то показатель графы 2 раздела 5 формы N 14-страховщик должен отсутствовать в графе 2 раздела 5 формы N 7-страховщик.

88. Если первый разряд кода ценной бумаги акцептанта (гр. 32 раздела 5) X1 = 09, то показатель графы 28 раздела 5 формы N 14-страховщик должен отсутствовать в графе 28 раздела 5 формы N 7-страховщик.

89. Если первый разряд кода ценной бумаги векселедателя (гр. 10 раздела 5) X1 = 10, то показатель графы 2 раздела 5 формы N 14-страховщик должен присутствовать в графе 2 раздела 5 формы N 7-страховщик.

90. Если первый разряд кода ценной бумаги акцептанта (гр. 32 раздела 5) X1 = 10, то показатель графы 28 раздела 5 формы N 14-страховщик должен присутствовать в графе 28 раздела 5 формы N 7-страховщик.

91. Если первый разряд кода ценной бумаги векселедателя (гр. 10 раздела 5) X1 = 11, то показатель графы 2 раздела 5 формы N 14-страховщик должен отсутствовать в графе 2 раздела 5 формы N 7-страховщик.

92. Если первый разряд кода ценной бумаги акцептанта (гр. 32 раздела 5) X1 = 11, то показатель графы 28 раздела 5 формы N 14-страховщик должен отсутствовать в графе 28 раздела 5 формы N 7-страховщик.

93. Если первый разряд кода ценной бумаги векселедателя (гр. 10 раздела 5) X1 = 12, то показатель графы 2 раздела 5 формы N 14-страховщик должен присутствовать в графе 2 раздела 5 формы N 7-страховщик.

94. Если первый разряд кода ценной бумаги акцептанта (гр. 32 раздела 5) X1 = 12, то показатель графы 28 раздела 5 формы N 14-страховщик должен присутствовать в графе 28 раздела 5 формы N 7-страховщик.

95. Если второй, пятый разряды кода ценной бумаги (гр. 10 раздела 5) X2 = 1 или 2 или 3, X5 = 8, то в графе 2 количество цифр = от 1 до 4 цифр, иначе дать разъяснение в пояснительной записке.

96. Если второй, пятый разряды кода ценной бумаги (гр. 32 раздела 5) X2 = 1 или 2 или 3, X5 = 8, то в графе 2 количество цифр = от 1 до 4 цифр, иначе дать разъяснение в пояснительной записке.

97. Если второй разряд кода ценной бумаги (гр. 10 раздела 5) X2 = 4 или 5 или 6, то первый разряд кода нерезидента (гр. 2 раздела 5) X1 = трем цифрам и должен присутствовать в Общероссийском классификаторе стран мира (ОКСМ).

98. Если второй разряд кода ценной бумаги (гр. 32 раздела 5) X2 = 4 или 5 или 6, то первый разряд кода нерезидента (гр. 28 раздела 5) X1 = трем цифрам и должен присутствовать в Общероссийском классификаторе стран мира (ОКСМ).

99. Если в графе 21 отражен код нерезидента, который является контрагентом по сделке, то первый разряд кода нерезидента (гр. 21 раздела 5) X1 = трем цифрам и должен присутствовать в Общероссийском классификаторе стран мира (ОКСМ).

100. Если в графе 24 отражен код нерезидента, у которого находится вексель, то первый разряд кода нерезидента (гр. 24 раздела 5) X1 = трем цифрам и должен присутствовать в Общероссийском классификаторе стран мира (ОКСМ).

101. Дата в гр. 18 даты в гр. 8.

102. Дата в гр. 17 даты в гр. 18.

103. Дата в гр. 8, 17, 18 отчетная дата (31.12.2011).

104. Если гр. 22 0, то в графе 21 количество цифр = от 1 до 4 или 6 или 10 или 12, иначе дать разъяснение в пояснительной записке.

105. В графе 24 количество цифр = 0 или от 1 до 4 или 6 или 10 или 12.

Если в файле описания страховой организации поле "Обязательное медицинское страхование" = 1 и поле "Страхование иное, чем страхование жизни" = 0, то следует иметь в виду следующее:

в контрольных соотношениях 71, 79, 87, 91 показатель графы 2 раздела 5 формы N 14-страховщик должен отсутствовать в графе 2 подраздела 4.2 формы N 7а-страховщик;

в контрольных соотношениях 73, 81, 89, 93 показатель графы 2 раздела 5 формы N 14-страховщик должен присутствовать в графе 2 подраздела 4.2 формы N 7а-страховщик;

в контрольных соотношениях 72, 80, 88, 92 показатель графы 28 раздела 5 формы N 14-страховщик должен отсутствовать в графе 26 подраздела 4.2 формы N 7а-страховщик;

в контрольных соотношениях 74, 82, 90, 94 показатель графы 28 раздела 5 формы N 14-страховщик должен присутствовать в графе 26 подраздела 4.2 формы N 7а-страховщик.

Если в файле описания страховой организации поле "Обязательное медицинское страхование" = 1 и поле "Страхование иное, чем страхование жизни" = 1, то следует иметь в виду следующее:

в контрольных соотношениях 71, 75, 79, 83, 87, 91 показатель графы 2 раздела 5 формы N 14-страховщик должен отсутствовать и в графе 2 раздела 5 формы N 7-страховщик и в графе 2 подраздела 4.2 формы N 7а-страховщик;

в контрольных соотношениях 73, 77, 81, 85, 89, 93 показатель графы 2 раздела 5 формы N 14-страховщик должен присутствовать или в графе 2 раздела 5 формы N 7-страховщик или в графе 2 подраздела 4.2 формы N 7а-страховщик;

в контрольных соотношениях 72, 76, 80, 84, 88, 92 показатель графы 28 раздела 5 формы N 14-страховщик должен отсутствовать и в графе 28 раздела 5 формы N 7-страховщик и в графе 26 подраздела 4.2 формы N 7а-страховщик;

в контрольных соотношениях 74, 78, 82, 86, 90, 94 показатель графы 28 раздела 5 формы N 14-страховщик должен присутствовать или в графе 28 раздела 5 формы N 7-страховщик или в графе 26 подраздела 4.2 формы N 7а-страховщик.

Подраздел 5.1 "Векселя организаций, в том числе банков, у векселедателя и акцептанта, которых возникли обстоятельства, не зависящие от действий страховой организации, повлекшие нарушения, устраняемые в соответствии с абзацем 4 пункта 4 Требований"

1. Если в разделе 5 пятнадцатый разряд кода ценной бумаги (гр. 10 раздела 5) X15 = 2, то показатели граф 2, 3, 4 раздела 5 должны присутствовать в графах 1, 2, 3 подраздела 5.1.

2. Если в подразделе 5.1 третий разряд кода ценной бумаги, присвоенного до возникновения обстоятельств, (гр. 6 подраздела 5.1) X3 = 1, то срок от даты, предшествующей возникновению обстоятельств, повлекших нарушения, (гр. 4 подраздела 5.1) до отчетной даты 91 день.

3. Если в подразделе 5.1 третий разряд кода ценной бумаги, присвоенного после возникновения обстоятельств, (гр. 6 подраздела 5.1) X3 = 2, то срок от даты возникновения того обстоятельства, которое возникло раньше других обстоятельств, повлекших нарушения, (гр. 4 подраздела 5.1) до отчетной даты 90 дней.

4. В подразделе 5.1 по каждому активу, имеющему одинаковое значение гр. 1, 2, 3, дата, предшествующая возникновению обстоятельств, повлекших нарушения, (гр. 4 подраздела 5.1), отраженная по строке, где третий разряд кода ценной бумаги, присвоенного до возникновения обстоятельств, (гр. 6 подраздела 5.1) X3 = 1, < даты возникновения того обстоятельства, которое возникло раньше других обстоятельств, повлекших нарушения, (гр. 4 подраздела 5.1), отраженной по строке, где третий разряд кода ценной бумаги, присвоенного после возникновения обстоятельств, (гр. 6 подраздела 5.1) X3 = 2.

5. В подразделе 5.1 по каждому активу, имеющему одинаковое значение гр. 1, 2, 3, первый разряд кода ценной бумаги, присвоенного до возникновения обстоятельств, (гр. 6 подраздела 5.1) X1, отраженного по строке, где указана дата, предшествующая возникновению обстоятельств, повлекших нарушения, (гр. 4 подраздела 5.1), = первому разряду кода ценной бумаги, присвоенного после возникновения обстоятельств, (гр. 6 подраздела 5.1) X1, отраженного по строке, где указана дата возникновения того обстоятельства, которое возникло позже других обстоятельств, повлекших нарушения, (гр. 4 подраздела 5.1).

6. Если в разделе 5 пятнадцатый разряд кода ценной бумаги (гр. 32 раздела 5) X15 = 2, то показатели граф 28, 29, 30 0 раздела 5 должны присутствовать в графах 7, 8, 9 подраздела 5.1.

7. Если в подразделе 5.1 третий разряд кода ценной бумаги, присвоенного до возникновения обстоятельств, (гр. 12 подраздела 5.1) X3 = 1, то срок от даты, предшествующей возникновению обстоятельств, повлекших нарушения, (гр. 10 подраздела 5.1) до отчетной даты 91 день.

8. Если в подразделе 5.1 третий разряд кода ценной бумаги, присвоенного после возникновения обстоятельств, (гр. 12 подраздела 5.1) X3 = 2, то срок от даты возникновения того обстоятельства, которое возникло раньше других обстоятельств, повлекших нарушения, (гр. 10 подраздела 5.1) до отчетной даты 90 дней.

9. В подразделе 5.1 по каждому активу, имеющему одинаковое значение граф 7, 8, 9, дата, предшествующая возникновению обстоятельств, повлекших нарушения, (гр. 10 подраздела 5.1), отраженная по строке, где третий разряд кода ценной бумаги, присвоенного до возникновения обстоятельств, (гр. 12 подраздела 5.1) X3 = 1, < даты возникновения того обстоятельства, которое возникло раньше других обстоятельств, повлекших нарушения, (гр. 10 подраздела 5.1), отраженной по строке, где третий разряд кода ценной бумаги, присвоенного после возникновения обстоятельств, (гр. 12 подраздела 5.1) X3 = 2.

10. В подразделе 5.1 по каждому активу, имеющему одинаковое значение граф 7, 8, 9, первый разряд кода ценной бумаги, присвоенного до возникновения обстоятельств, (гр. 12 подраздела 5.1) X1, отраженного по строке, где указана дата, предшествующая возникновению обстоятельств, повлекших нарушения, (гр. 10 подраздела 5.1), = первому разряду кода ценной бумаги, присвоенного после возникновения обстоятельств, повлекших нарушения, (гр. 12 подраздела 5.1) X1, отраженного по строке, где указана дата возникновения того обстоятельства, которое возникло позже других обстоятельств, повлекших нарушения, (гр. 10 подраздела 5.1).

Раздел 6 "Акции"

1. Если второй, одиннадцатый разряды кода ценной бумаги (гр. 7 раздела 6) X2 = 1 или 2 или 3 или 7 или 8 или 9, X11 = 01, то гр. 4 = 0, гр. 5, 6 0.

2. Если второй, одиннадцатый разряды кода ценной бумаги (гр. 7 раздела 6) X2 = 1 или 2 или 3, X11 = 02 или 03 или 04, то гр. 4, 5 0, гр. 6 = 0.

3. Если второй, одиннадцатый разряды кода ценной бумаги (гр. 7 раздела 6) X2 = 4 или 5 или 6, X11 = 02 или 03 или 04, то гр. 4 0, гр. 5, 6 = 0.

4. Если второй, одиннадцатый разряды кода ценной бумаги (гр. 7 раздела 6) X2 = 1 или 2 или 3, X11 = 07 или 08 или 10, то гр. 4 = 0, гр. 5, 6 0.

5. Если гр. 9 или гр. 11 0, то гр. 1, 2, 3, 7 0.

6. Стр. "Итого", гр. 9, 11 = сумма показателей предыдущих строк раздела 6, гр. 9, 11.

7. Стр. 1, гр. 1 = 1.

8. По каждой строке, кроме строки 1, значение графы 1 = значению графы 1 предыдущей строки + 1.

9. Если графа 9 0, четвертый, пятый разряды кода ценной бумаги (гр. 7 раздела 6) X4 = 1, X5 = 8, то в подразделе 1.1 формы N 12-страховщик в графе 2 должен присутствовать показатель графы 2 раздела 6 формы N 14-страховщик и графа 4 0.

10. Если графа 11 0, четвертый, пятый разряды кода ценной бумаги (гр. 7 раздела 6) X4 = 1, X5 = 8, то в подразделе 1.1 формы N 12-страховщик в графе 2 должен присутствовать показатель графы 2 раздела 6 формы N 14-страховщик и графа 6 0.

11. Если графа 9 0, четвертый, пятый разряды кода ценной бумаги (гр. 7 раздела 6) X4 = 1, X5 = 4 или 7, то в подразделе 1.2 формы N 12-страховщик в графе 1 должен присутствовать показатель графы 2 раздела 6 формы N 14-страховщик и графа 5 0.

12. Если графа 11 0, четвертый, пятый разряды кода ценной бумаги (гр. 7 раздела 6) X4 = 1, X5 = 4 или 7, то в подразделе 1.2 формы N 12-страховщик в графе 1 должен присутствовать показатель графы 2 раздела 6 формы N 14-страховщик и графа 7 0.

13. Если графа 9 0, четвертый, пятый разряды кода ценной бумаги (гр. 7 раздела 6) X4 = 2, X5 = 8, то в подразделе 2.1 формы N 12-страховщик в графе 2 должен присутствовать показатель графы 2 раздела 6 формы N 14-страховщик и графа 4 0.

14. Если графа 11 0, четвертый, пятый разряды кода ценной бумаги (гр. 7 раздела 6) X4 = 2, X5 = 8, то в подразделе 2.1 формы N 12-страховщик в графе 2 должен присутствовать показатель графы 2 раздела 6 формы N 14-страховщик и графа 6 0.

15. Если графа 9 0, четвертый, пятый разряды кода ценной бумаги (гр. 7 раздела 6) X4 = 2, X5 = 4 или 7, то в подразделе 2.2 формы N 12-страховщик в графе 1 должен присутствовать показатель графы 2 раздела 6 формы N 14-страховщик и графа 5 0.

16. Если графа 11 0, четвертый, пятый разряды кода ценной бумаги (гр. 7 раздела 6) X4 = 2, X5 = 4 или 7, то в подразделе 2.2 формы N 12-страховщик в графе 1 должен присутствовать показатель графы 2 раздела 6 формы N 14-страховщик и графа 7 0.

17. Если первый разряд кода ценной бумаги (гр. 7 раздела 6) X1 = 01, то показатель графы 2 раздела 6 формы N 14-страховщик должен отсутствовать в графе 2 раздела 6 формы N 7-страховщик.

18. Если первый разряд кода ценной бумаги (гр. 7 раздела 6) X1 = 02, то показатель графы 2 раздела 6 формы N 14-страховщик должен присутствовать в графе 2 раздела 6 формы N 7-страховщик.

19. Если первый разряд кода ценной бумаги (гр. 7 раздела 6) X1 = 03, то показатель графы 2 раздела 6 формы N 14-страховщик должен отсутствовать в графе 2 раздела 6 формы N 7-страховщик.

20. Если первый разряд кода ценной бумаги (гр. 7 раздела 6) X1 = 04, то показатель графы 2 раздела 6 формы N 14-страховщик должен присутствовать в графе 2 раздела 6 формы N 7-страховщик.

21. Если первый разряд кода ценной бумаги (гр. 7 раздела 6) X1 = 05, то показатель графы 2 раздела 6 формы N 14-страховщик должен отсутствовать в графе 2 раздела 6 формы N 7-страховщик.

22. Если первый разряд кода ценной бумаги (гр. 7 раздела 6) X1 = 06, то показатель графы 2 раздела 6 формы N 14-страховщик должен присутствовать в графе 2 раздела 6 формы N 7-страховщик.

23. Если первый разряд кода ценной бумаги (гр. 7 раздела 6) X1 = 07, то показатель графы 2 раздела 6 формы N 14-страховщик должен отсутствовать в графе 2 раздела 6 формы N 7-страховщик.

24. Если первый разряд кода ценной бумаги (гр. 7 раздела 6) X1 = 08, то показатель графы 2 раздела 6 формы N 14-страховщик должен присутствовать в графе 2 раздела 6 формы N 7-страховщик.

25. Если первый разряд кода ценной бумаги (гр. 7 раздела 6) X1 = 09, то показатель графы 2 раздела 6 формы N 14-страховщик должен отсутствовать в графе 2 раздела 6 формы N 7-страховщик.

26. Если первый разряд кода ценной бумаги (гр. 7 раздела 6) X1 = 10, то показатель графы 2 раздела 6 формы N 14-страховщик должен присутствовать в графе 2 раздела 6 формы N 7-страховщик.

27. Если первый разряд кода ценной бумаги (гр. 7 раздела 6) X1 = 11, то показатель графы 2 раздела 6 формы N 14-страховщик должен отсутствовать в графе 2 раздела 6 формы N 7-страховщик.

28. Если первый разряд кода ценной бумаги (гр. 7 раздела 6) X1 = 12, то показатель графы 2 раздела 6 формы N 14-страховщик должен присутствовать в графе 2 раздела 6 формы N 7-страховщик.

Если в файле описания страховой организации поле "Обязательное медицинское страхование" = 1 и поле "Страхование иное, чем страхование жизни" = 0, то следует иметь в виду следующее:

в контрольных соотношениях 17, 21, 25, 27 показатель графы 2 раздела 6 формы N 14-страховщик должен отсутствовать в графе 2 подраздела 4.1 формы N 7а-страховщик;

в контрольных соотношениях 18, 22, 26, 28 показатель графы 2 раздела 6 формы N 14-страховщик должен присутствовать в графе 2 подраздела 4.1 формы N 7а-страховщик.

Если в файле описания страховой организации поле "Обязательное медицинское страхование" = 1 и поле "Страхование иное, чем страхование жизни" = 1, то следует иметь в виду следующее:

в контрольных соотношениях 17, 19, 21, 23, 25, 27 показатель графы 2 раздела 6 формы N 14-страховщик должен отсутствовать и в графе 2 раздела 6 формы N 7-страховщик и в графе 2 подраздела 4.1 формы N 7а-страховщик;

в контрольных соотношениях 18, 20, 22, 24, 26, 28 показатель графы 2 раздела 6 формы N 14-страховщик должен присутствовать или в графе 2 раздела 6 формы N 7-страховщик или в графе 2 подраздела 4.1 формы N 7а-страховщик.

29. Если второй, пятый разряды кода ценной бумаги (гр. 7 раздела 6) X2 = 1 или 2 или 3 или 7 или 8 или 9, X5 8, то в графе 2 количество цифр = 10 цифрам.

30. Если второй разряд кода ценной бумаги (гр. 7 раздела 6) X2 = 4 или 5 или 6, то в графе 2 количество цифр = 6 цифрам.

31. В графе 6 количество цифр = 10 цифрам.

32. Гр. 8, 10 целые числа или с точностью до четвертого знака после десятичной точки.

33. Если гр. 9 0, то гр. 8 0.

34. Если гр. 11 0, то гр. 10 0.

35. Если второй, пятый разряды кода ценной бумаги (гр. 7 раздела 6) X2 = 1 или 2 или 3, X5 = 8, то в графе 2 количество цифр = от 1 до 4 цифр, иначе дать разъяснение в пояснительной записке.

36. Если второй разряд кода ценной бумаги (гр. 7 раздела 6) X2 = 4 или 5 или 6, то первый разряд кода нерезидента (гр. 2 подраздела 6.1) X1 = трем цифрам и должен присутствовать в Общероссийском классификаторе стран мира (ОКСМ).

37. Если гр. 9 0 и одиннадцатый разряд кода ценной бумаги (гр. 7 раздела 6) X11 = 01, то в форме N 5-страховщик, стр. (351 + 361), гр. (3 + 5) 0.

38. Если гр. 11 0 и одиннадцатый разряд кода ценной бумаги (гр. 7 раздела 6) X11 = 01, то в форме N 5-страховщик, стр. (351 + 361), гр. (4 + 6) 0.

Подраздел 6.1 "Акции, у эмитентов которых возникли обстоятельства, не зависящие от действий страховой организации, повлекшие нарушения, устраняемые в соответствии с абзацем 4 пункта 4 Требований"

1. Если в разделе 6 двенадцатый, пятнадцатый разряды кода ценной бумаги (гр. 7 раздела 6) X12 007 или 040 или 070 или 100 или 220 или 260 или 990, X15 = 2, то показатели граф 2, 3, 4, 5 раздела 6 должны присутствовать в графах 1, 2, 3, 4 подраздела 6.1.

2. Если в разделе 1 стр. 190, гр. (3 + 4), (5 + 6) < стр. 014, гр. 3, 4, в разделе 6.1 двенадцатый, пятнадцатый разряды кода ценной бумаги (гр. 7 раздела 6) X12 = 007 или 040 или 070 или 100 или 220 или 260 или 990, X15 = 2, то показатели граф 2, 3, 4, 5 раздела 6 должны присутствовать в графах 1, 2, 3, 4 подраздела 6.1.

3. Если в разделе 1 стр. 190, гр. (3 + 4), (5 + 6) стр. 014, гр. 3, 4, в разделе 6.1 двенадцатый, пятнадцатый разряды кода ценной бумаги (гр. 7 раздела 6) X12 = 007 или 040 или 070 или 100 или 220 или 260 или 990, X15 = 2, то показатели граф 2, 3, 4, 5 раздела 6 не должны присутствовать в графах 1, 2, 3, 4 подраздела 6.1.

4. Если в подразделе 6.1 третий разряд кода ценной бумаги, присвоенного до возникновения обстоятельств, (гр. 7 подраздела 6.1) X3 = 1, то срок от даты, предшествующей возникновению обстоятельств, повлекших нарушения, (гр. 5 подраздела 6.1) до отчетной даты 91 день.

5. Если в подразделе 6.1 третий разряд кода ценной бумаги, присвоенного после возникновения обстоятельств, (гр. 7 подраздела 6.1) X3 = 2, то срок от даты возникновения того обстоятельства, которое возникло раньше других обстоятельств, повлекших нарушения, (гр. 5 подраздела 6.1) до отчетной даты 90 дней.

6. В подразделе 6.1 по каждому активу, имеющему одинаковое значение гр. 1, 2, 3, 4, дата, предшествующая возникновению обстоятельств, повлекших нарушения, (гр. 5 подраздела 6.1), отраженная по строке, где третий разряд кода ценной бумаги, присвоенного до возникновения обстоятельств, (гр. 7 подраздела 6.1) X3 = 1, < даты возникновения того обстоятельства, которое возникло раньше других обстоятельств, повлекших нарушения, (гр. 5 подраздела 6.1), отраженной по строке, где третий разряд кода ценной бумаги, присвоенного после возникновения обстоятельств, (гр. 7 подраздела 6.1) X3 = 2.

7. В подразделе 6.1 по каждому активу, имеющему одинаковое значение гр. 1, 2, 3, 4, первый разряд кода ценной бумаги, присвоенного до возникновения обстоятельств, (гр. 7 подраздела 6.1) X1, отраженного по строке, где указана дата, предшествующая возникновению обстоятельств, повлекших нарушения, (гр. 5 подраздела 6.1), = первому разряду кода ценной бумаги, присвоенного после возникновения обстоятельств, (гр. 7 подраздела 6.1) X1, отраженного по строке, где указана дата возникновения того обстоятельства, которое возникло позже других обстоятельств, повлекших нарушения, (гр. 5 подраздела 6.1).

Раздел 7 "Ипотечные сертификаты участия"

1. Если гр. 6 или гр. 8 0, то гр. 1, 2, 3, 4 0.

2. Стр. "Итого", гр. 6, 8 = сумма показателей предыдущих строк раздела 7, гр. 6, 8.

3. Стр. 1, гр. 1 = 1.

4. По каждой строке, кроме строки 1, значение графы 1 = значению графы 1 предыдущей строки + 1.

5. Если графа 6 0, четвертый разряд кода ценной бумаги (гр. 4 раздела 7) X4 = 1, то в подразделе 1.2 формы N 12-страховщик в графе 1 должен присутствовать показатель графы 2 раздела 7 формы N 14-страховщик и графа 5 0.

6. Если графа 8 0, четвертый разряд кода ценной бумаги (гр. 4 раздела 7) X4 = 1, то в подразделе 1.2 формы N 12-страховщик в графе 1 должен присутствовать показатель графы 2 раздела 7 формы N 14-страховщик и графа 7 0.

7. Если графа 6 0, четвертый разряд кода ценной бумаги (гр. 4 раздела 7) X4 = 2, то в подразделе 2.2 формы N 12-страховщик в графе 1 должен присутствовать показатель графы 2 раздела 7 формы N 14-страховщик и графа 5 0.

8. Если графа 8 0, четвертый разряд кода ценной бумаги (гр. 4 раздела 7) X4 = 2, то в подразделе 2.2 формы N 12-страховщик в графе 1 должен присутствовать показатель графы 2 раздела 7 формы N 14-страховщик и графа 7 0

Если в файле описания страховой организации поле "Страхование жизни" = 1 или поле "Страхование иное, чем страхование жизни" = 1 или поле "Перестрахование принятое" = 1 или поле "Обязательное страхование гражданской ответственности владельцев транспортных средств" = 1, то применяются контрольные соотношения 9 - 20:

9. Если первый разряд кода ценной бумаги (гр. 4 раздела 7) X1 = 01, то показатель графы 2 раздела 7 формы N 14-страховщик должен отсутствовать в графе 2 раздела 7 формы N 7-страховщик;

10. Если первый разряд кода ценной бумаги (гр. 4 раздела 7) X1 = 02, то показатель графы 2 раздела 7 формы N 14-страховщик должен присутствовать в графе 2 раздела 7 формы N 7-страховщик;

11. Если первый разряд кода ценной бумаги (гр. 4 раздела 7) X1 = 03, то показатель графы 2 раздела 7 формы N 14-страховщик должен отсутствовать в графе 2 раздела 7 формы N 7-страховщик;

12. Если первый разряд кода ценной бумаги (гр. 4 раздела 7) X1 = 04, то показатель графы 2 раздела 7 формы N 14-страховщик должен присутствовать в графе 2 раздела 7 формы N 7-страховщик;

13. Если первый разряд кода ценной бумаги (гр. 4 раздела 7) X1 = 05, то показатель графы 2 раздела 7 формы N 14-страховщик должен отсутствовать в графе 2 раздела 7 формы N 7-страховщик;

14. Если первый разряд кода ценной бумаги (гр. 4 раздела 7) X1 = 06, то показатель графы 2 раздела 7 формы N 14-страховщик должен присутствовать в графе 2 раздела 7 формы N 7-страховщик;

15. Если первый разряд кода ценной бумаги (гр. 4 раздела 7) X1 = 07, то показатель графы 2 раздела 7 формы N 14-страховщик должен отсутствовать в графе 2 раздела 7 формы N 7-страховщик;

16. Если первый разряд кода ценной бумаги (гр. 4 раздела 7) X1 = 08, то показатель графы 2 раздела 7 формы N 14-страховщик должен присутствовать в графе 2 раздела 7 формы N 7-страховщик;

17. Если первый разряд кода ценной бумаги (гр. 4 раздела 7) X1 = 09, то показатель графы 2 раздела 7 формы N 14-страховщик должен отсутствовать в графе 2 раздела 7 формы N 7-страховщик;

18. Если первый разряд кода ценной бумаги (гр. 4 раздела 7) X1 = 10, то показатель графы 2 раздела 7 формы N 14-страховщик должен присутствовать в графе 2 раздела 7 формы N 7-страховщик;

19. Если первый разряд кода ценной бумаги (гр. 4 раздела 7) X1 = 11, то показатель графы 2 раздела 7 формы N 14-страховщик должен отсутствовать в графе 2 раздела 7 формы N 7-страховщик;

20. Если первый разряд кода ценной бумаги (гр. 4 раздела 7) X1 = 12, то показатель графы 2 раздела 7 формы N 14-страховщик должен присутствовать в графе 2 раздела 7 формы N 7-страховщик.

21. В графе 2 количество цифр = 10 цифрам.

22. Гр. 5, 7 целые числа или с точностью до четвертого знака после десятичной точки.

23. Если гр. 6 0, то гр. 5 0.

24. Если гр. 8 0, то гр. 7 0.

Подраздел 7.1 "Ипотечные сертификаты участия, у которых возникли обстоятельства, не зависящие от действий страховой организации, повлекшие нарушения, устраняемые в соответствии с абзацем 4 пункта 4 Требований, предъявляемых к составу и структуре активов, принимаемых для покрытия собственных средств страховщика"

1. Если в разделе 7 пятнадцатый разряд кода ценной бумаги (гр. 4 раздела 7) X15 = 2, то показатели граф 2, 3 раздела 7 должны присутствовать в графах 1, 2 подраздела 7.1.

2. Если в подразделе 7.1 третий разряд кода ценной бумаги, присвоенного до возникновения обстоятельств, повлекших нарушения, (гр. 5 подраздела 7.1) X3 = 1, то срок от даты, предшествующей возникновению обстоятельств, повлекших нарушения, (гр. 3 подраздела 7.1) до отчетной даты 91 день.

3. Если в подразделе 7.1 третий разряд кода ценной бумаги, присвоенного после возникновения обстоятельств, повлекших нарушения, (гр. 5 подраздела 7.1) X3 = 2, то срок от даты возникновения того обстоятельства, которое возникло раньше других обстоятельств, повлекших нарушения, (гр. 3 подраздела 7.1) до отчетной даты 90 дней.

4. В подразделе 7.1 по каждому активу, имеющему одинаковое значение гр. 2, 3, дата, предшествующая возникновению обстоятельств, повлекших нарушения, (гр. 3 подраздела 7.1), отраженная по строке, где третий разряд кода ценной бумаги, присвоенного до возникновения обстоятельств, (гр. 5 подраздела 7.1) X3 = 1, < даты возникновения того обстоятельства, которое возникло раньше других обстоятельств, повлекших нарушения, (гр. 3 подраздела 7.1), отраженной по строке, где третий разряд кода ценной бумаги, присвоенного после возникновения обстоятельств, (гр. 5 подраздела 7.1) X3 = 2.

5. В подразделе 7.1 по каждому активу, имеющему одинаковое значение гр. 2, 3, первый разряд кода ценной бумаги, присвоенного до возникновения обстоятельств, (гр. 5 подраздела 7.1) X1, отраженного по строке, где указана дата, предшествующая возникновению обстоятельств, повлекших нарушения, = первому разряду кода ценной бумаги, присвоенного после возникновения обстоятельств, (гр. 5 подраздела 7.1) X1, отраженного по строке, где указана дата возникновения того обстоятельства, которое возникло позже других обстоятельств, повлекших нарушения, (гр. 3 подраздела 7.1).

Раздел 8 "Инвестиционные паи паевых инвестиционных фондов"

1. Если гр. 7 или гр. 9 0, то гр. 1, 2, 5 0.

2. Стр. "Итого", гр. 7, 9 = сумма показателей предыдущих строк раздела 8, гр. 7, 9.

3. Стр. 1, гр. 1 = 1.

4. По каждой строке, кроме строки 1, значение графы 1 = значению графы 1 предыдущей строки + 1.

5. Если графа 7 0, четвертый разряд кода ценной бумаги (гр. 5 раздела 8) X4 = 1, то в подразделе 1.2 формы N 12-страховщик в графе 1 должен присутствовать показатель графы 2 раздела 8 формы N 14-страховщик и графа 5 0.

6. Если графа 9 0, четвертый разряд кода ценной бумаги (гр. 5 раздела 8) X4 = 1, то в подразделе 1.2 формы N 12-страховщик в графе 1 должен присутствовать показатель графы 2 раздела 8 формы N 14-страховщик и графа 7 0.

7. Если графа 7 0, четвертый разряд кода ценной бумаги (гр. 5 раздела 8) X4 = 2, то в подразделе 2.2 формы N 12-страховщик в графе 1 должен присутствовать показатель графы 2 раздела 8 формы N 14-страховщик и графа 5 0.

8. Если графа 9 0, четвертый разряд кода ценной бумаги (гр. 5 раздела 8) X4 = 2, то в подразделе 2.2 формы N 12-страховщик в графе 1 должен присутствовать показатель графы 2 раздела 8 формы N 14-страховщик и графа 7 0.

9. Если первый разряд кода ценной бумаги (гр. 5 раздела 8) X1 = 01, то показатель графы 2 раздела 8 формы N 14-страховщик должен отсутствовать в графе 2 раздела 8 формы N 7-страховщик.

10. Если первый разряд кода ценной бумаги (гр. 5 раздела 8) X1 = 02, то показатель графы 2 раздела 8 формы N 14-страховщик должен присутствовать в графе 2 раздела 8 формы N 7-страховщик.

11. Если первый разряд кода ценной бумаги (гр. 5 раздела 8) X1 = 03, то показатель графы 2 раздела 8 формы N 14-страховщик должен отсутствовать в графе 2 раздела 8 формы N 7-страховщик.

12. Если первый разряд кода ценной бумаги (гр. 5 раздела 8) X1 = 04, то показатель графы 2 раздела 8 формы N 14-страховщик должен присутствовать в графе 2 раздела 8 формы N 7-страховщик.

13. Если первый разряд кода ценной бумаги (гр. 5 раздела 8) X1 = 05, то показатель графы 2 раздела 8 формы N 14-страховщик должен отсутствовать в графе 2 раздела 8 формы N 7-страховщик.

14. Если первый разряд кода ценной бумаги (гр. 5 раздела 8) X1 = 06, то показатель графы 2 раздела 8 формы N 14-страховщик должен присутствовать в графе 2 раздела 8 формы N 7-страховщик.

15. Если первый разряд кода ценной бумаги (гр. 5 раздела 8) X1 = 07, то показатель графы 2 раздела 8 формы N 14-страховщик должен отсутствовать в графе 2 раздела 8 формы N 7-страховщик.

16. Если первый разряд кода ценной бумаги (гр. 5 раздела 8) X1 = 08, то показатель графы 2 раздела 8 формы N 14-страховщик должен присутствовать в графе 2 раздела 8 формы N 7-страховщик.

17. Если первый разряд кода ценной бумаги (гр. 5 раздела 8) X1 = 09, то показатель графы 2 раздела 8 формы N 14-страховщик должен отсутствовать в графе 2 раздела 8 формы N 7-страховщик.

18. Если первый разряд кода ценной бумаги (гр. 5 раздела 8) X1 = 10, то показатель графы 2 раздела 8 формы N 14-страховщик должен присутствовать в графе 2 раздела 8 формы N 7-страховщик.

19. Если первый разряд кода ценной бумаги (гр. 5 раздела 8) X1 = 11, то показатель графы 2 раздела 8 формы N 14-страховщик должен отсутствовать в графе 2 раздела 8 формы N 7-страховщик.

20. Если первый разряд кода ценной бумаги (гр. 5 раздела 8) X1 = 12, то показатель графы 2 раздела 8 формы N 14-страховщик должен присутствовать в графе 2 раздела 8 формы N 7-страховщик.

Если в файле описания страховой организации поле "Обязательное медицинское страхование" = 1 и поле "Страхование иное, чем страхование жизни" = 0, то следует иметь в виду следующее:

в контрольных соотношениях 9, 13, 17, 19 показатель графы 2 раздела 8 формы N 14-страховщик должен отсутствовать в графе 2 подраздела 4.3 формы N 7а-страховщик;

в контрольных соотношениях 10, 14, 18, 20 показатель графы 2 раздела 8 формы N 14-страховщик должен присутствовать в графе 2 подраздела 4.3 формы N 7а-страховщик.

Если в файле описания страховой организации поле "Обязательное медицинское страхование" = 1 и поле "Страхование иное, чем страхование жизни" = 1, то следует иметь в виду следующее:

в контрольных соотношениях 9, 11, 13, 15, 17, 19 показатель графы 2 раздела 8 формы N 14-страховщик должен отсутствовать и в графе 2 раздела 8 формы N 7-страховщик и в графе 2 подраздела 4.3 формы N 7а-страховщик;

в контрольных соотношениях 10, 12, 14, 16, 18, 20 показатель графы 2 раздела 8 формы N 14-страховщик должен присутствовать или в графе 2 раздела 8 формы N 7-страховщик или в графе 2 подраздела 4.3 формы N 7а-страховщик.

21. В графе 2 количество цифр = 10 цифрам.

22. Гр. 6, 8 целые числа или с точностью до четвертого знака после десятичной точки.

23. Если гр. 7 0, то гр. 6 0.

24. Если гр. 9 0, то гр. 8 0.

25. Если гр. 7 0 и одиннадцатый разряд кода ценной бумаги (гр. 5 раздела 8) X11 = 01, то в форме N 5-страховщик, стр. 377, гр. (3 + 5) 0.

26. Если гр. 9 0 и одиннадцатый разряд кода ценной бумаги (гр. 5 раздела 8) X11 = 01, то в форме N 5-страховщик, стр. 377, гр. (4 + 6) 0.

Подраздел 8.1 "Инвестиционные паи паевых инвестиционных фондов, у управляющих компаний которых возникли обстоятельства, не зависящие от действий страховой организации, повлекшие нарушения, устраняемые в соответствии с абзацем 4 пункта 4 Требований"

1. Если в разделе 8 пятнадцатый разряд кода ценной бумаги (гр. 5 раздела 8) X15 = 2, то показатели граф 2, 3, 4 раздела 8 должны присутствовать в графах 1, 2, 3 подраздела 8.1.

2. Если в подразделе 8.1 третий разряд кода ценной бумаги, присвоенного до возникновения обстоятельств, (гр. 6 подраздела 8.1) X3 = 1, то срок от даты, предшествующей возникновению обстоятельств, повлекших нарушения, (гр. 4 подраздела 8.1) до отчетной даты 91 день.

3. Если в подразделе 8.1 третий разряд кода ценной бумаги, присвоенного после возникновения обстоятельств, (гр. 6 подраздела 8.1) X3 = 2, то срок от даты возникновения того обстоятельства, которое возникло раньше других обстоятельств, повлекших нарушения, (гр. 4 подраздела 8.1) до отчетной даты 90 дней.

4. В подразделе 8.1 по каждому активу, имеющему одинаковое значение гр. 1, 2, 3, дата, предшествующая возникновению обстоятельств, повлекших нарушения, (гр. 4 подраздела 8.1), отраженная по строке, где третий разряд кода ценной бумаги, присвоенного до возникновения обстоятельств, (гр. 6 подраздела 8.1) X3 = 1, < даты возникновения того обстоятельства, которое возникло раньше других обстоятельств, повлекших нарушения, (гр. 4 подраздела 8.1), отраженной по строке, где третий разряд кода ценной бумаги, присвоенного после возникновения обстоятельств, (гр. 6 подраздела 8.1) X3 = 2.

5. В подразделе 8.1 по каждому активу, имеющему одинаковое значение гр. 1, 2, 3, первый разряд кода ценной бумаги, присвоенного до возникновения обстоятельств, (гр. 6 подраздела 8.1) X1, отраженного по строке, где указана дата, предшествующая возникновению обстоятельств, повлекших нарушения, (гр. 4 подраздела 8.1), = первому разряду кода ценной бумаги, присвоенного после возникновения обстоятельств, (гр. 6 подраздела 8.1) X1, отраженного по строке, где указана дата возникновения того обстоятельства, которое возникло позже других обстоятельств, повлекших нарушения, (гр. 4 подраздела 8.1).

Раздел 9 "Долевое участие в общих фондах банковского управления (ОФБУ)"

1. Если гр. 7 или гр. 8 0, то гр. 1, 2, 3, 4, 6 0.

2. Стр. "Итого", гр. 7, 8 = сумма показателей предыдущих строк раздела 9, гр. 7, 8.

3. Стр. 1, гр. 1 = 1.

4. По каждой строке, кроме строки 1, значение графы 1 = значению графы 1 предыдущей строки + 1.

5. Если графа 7 0, четвертый разряд кода сертификата долевого участия (гр. 6 раздела 9) X4 = 1, то в подразделе 1.2 формы N 12-страховщик в графе 1 должен присутствовать показатель графы 2 раздела 9 формы N 14-страховщик и графа 5 0.

6. Если графа 8 0, четвертый разряд кода сертификата долевого участия (гр. 6 раздела 9) X4 = 1, то в подразделе 1.2 формы N 12-страховщик в графе 1 должен присутствовать показатель графы 2 раздела 9 формы N 14-страховщик и графа 7 0.

7. Если графа 7 0, четвертый разряд кода сертификата долевого участия (гр. 6 раздела 9) X4 = 2, то в подразделе 2.2 формы N 12-страховщик в графе 1 должен присутствовать показатель графы 2 раздела 9 формы N 14-страховщик и графа 5 0.

8. Если графа 8 0, четвертый разряд кода сертификата долевого участия (гр. 6 раздела 9) X4 = 2, то в подразделе 2.2 формы N 12-страховщик в графе 1 должен присутствовать показатель графы 2 раздела 9 формы N 14-страховщик и графа 7 0.

Если в файле описания страховой организации поле "Страхование жизни" = 1 или поле "Страхование иное, чем страхование жизни" = 1 или поле "Перестрахование принятое" = 1 или поле "Обязательное страхование гражданской ответственности владельцев транспортных средств" = 1, то применяются контрольные соотношения 9 - 20:

9. Если первый разряд кода сертификата долевого участия (гр. 6 раздела 9) X1 = 01, то показатель графы 2 раздела 9 формы N 14-страховщик должен отсутствовать в графе 2 раздела 9 формы N 7-страховщик;

10. Если первый разряд кода сертификата долевого участия (гр. 6 раздела 9) X1 = 02, то показатель графы 2 раздела 9 формы N 14-страховщик должен присутствовать в графе 2 раздела 9 формы N 7-страховщик;

11. Если первый разряд кода сертификата долевого участия (гр. 6 раздела 9) X1 = 03, то показатель графы 2 раздела 9 формы N 14-страховщик должен отсутствовать в графе 2 раздела 9 формы N 7-страховщик;

12. Если первый разряд кода сертификата долевого участия (гр. 6 раздела 9) X1 = 04, то показатель графы 2 раздела 9 формы N 14-страховщик должен присутствовать в графе 2 раздела 9 формы N 7-страховщик;

13. Если первый разряд кода сертификата долевого участия (гр. 6 раздела 9) X1 = 05, то показатель графы 2 раздела 9 формы N 14-страховщик должен отсутствовать в графе 2 раздела 9 формы N 7-страховщик;

14. Если первый разряд кода сертификата долевого участия (гр. 6 раздела 9) X1 = 06, то показатель графы 2 раздела 9 формы N 14-страховщик должен присутствовать в графе 2 раздела 9 формы N 7-страховщик;

15. Если первый разряд кода сертификата долевого участия (гр. 6 раздела 9) X1 = 07, то показатель графы 2 раздела 9 формы N 14-страховщик должен отсутствовать в графе 2 раздела 9 формы N 7-страховщик;

16. Если первый разряд кода сертификата долевого участия (гр. 6 раздела 9) X1 = 08, то показатель графы 2 раздела 9 формы N 14-страховщик должен присутствовать в графе 2 раздела 9 формы N 7-страховщик;

17. Если первый разряд кода сертификата долевого участия (гр. 6 раздела 9) X1 = 09, то показатель графы 2 раздела 9 формы N 14-страховщик должен отсутствовать в графе 2 раздела 9 формы N 7-страховщик;

18. Если первый разряд кода сертификата долевого участия (гр. 6 раздела 9) X1 = 10, то показатель графы 2 раздела 9 формы N 14-страховщик должен присутствовать в графе 2 раздела 9 формы N 7-страховщик;

19. Если первый разряд кода сертификата долевого участия (гр. 6 раздела 9) X1 = 11, то показатель графы 2 раздела 9 формы N 14-страховщик должен отсутствовать в графе 2 раздела 9 формы N 7-страховщик;

20. Если первый разряд кода сертификата долевого участия (гр. 6 раздела 9) X1 = 12, то показатель графы 2 раздела 9 формы N 14-страховщик должен присутствовать в графе 2 раздела 9 формы N 7-страховщик.

21. В графе 2 количество цифр = 10 цифрам.

Раздел 10 "Недвижимое имущество"

1. Если гр. 7 или гр. 8 0, то гр. 1, 3, 4, 5, 6 0.

2. Стр. "Итого", гр. 7, 8 = сумма показателей предыдущих строк раздела 10, гр. 7, 8.

3. Стр. 1, гр. 1 = 1.

4. По каждой строке, кроме строки 1, значение графы 1 = значению графы 1 предыдущей строки + 1.

Если в файле описания страховой организации поле "Страхование жизни" = 1 или поле "Страхование иное, чем страхование жизни" = 1 или поле "Перестрахование принятое" = 1 или поле "Обязательное страхование гражданской ответственности владельцев транспортных средств" = 1, то применяются контрольные соотношения 5 - 16:

5. Если первый разряд кода недвижимого имущества (гр. 6 раздела 10) X1 = 01, то показатель графы 3 раздела 10 формы N 14-страховщик должен отсутствовать в графе 3 раздела 10 формы N 7-страховщик;

6. Если первый разряд кода недвижимого имущества (гр. 6 раздела 10) X1 = 02, то показатель графы 3 раздела 10 формы N 14-страховщик должен присутствовать в графе 3 раздела 10 формы N 7-страховщик;

7. Если первый разряд кода недвижимого имущества (гр. 6 раздела 10) X1 = 03, то показатель графы 3 раздела 10 формы N 14-страховщик должен отсутствовать в графе 3 раздела 10 формы N 7-страховщик;

8. Если первый разряд кода недвижимого имущества (гр. 6 раздела 10) X1 = 04, то показатель графы 3 раздела 10 формы N 14-страховщик должен присутствовать в графе 3 раздела 10 формы N 7-страховщик;

9. Если первый разряд кода недвижимого имущества (гр. 6 раздела 10) X1 = 05, то показатель графы 3 раздела 10 формы N 14-страховщик должен отсутствовать в графе 3 раздела 10 формы N 7-страховщик;

10. Если первый разряд кода недвижимого имущества (гр. 6 раздела 10) X1 = 06, то показатель графы 3 раздела 10 формы N 14-страховщик должен присутствовать в графе 3 раздела 10 формы N 7-страховщик;

11. Если первый разряд кода недвижимого имущества (гр. 6 раздела 10) X1 = 07, то показатель графы 3 раздела 10 формы N 14-страховщик должен отсутствовать в графе 3 раздела 10 формы N 7-страховщик;

12. Если первый разряд кода недвижимого имущества (гр. 6 раздела 10) X1 = 08, то показатель графы 3 раздела 10 формы N 14-страховщик должен присутствовать в графе 3 раздела 10 формы N 7-страховщик;

13. Если первый разряд кода недвижимого имущества (гр. 6 раздела 10) X1 = 09, то показатель графы 3 раздела 10 формы N 14-страховщик должен отсутствовать в графе 3 раздела 10 формы N 7-страховщик;

14. Если первый разряд кода недвижимого имущества (гр. 6 раздела 10) X1 = 10, то показатель графы 3 раздела 10 формы N 14-страховщик должен присутствовать в графе 3 раздела 10 формы N 7-страховщик;

15. Если первый разряд кода недвижимого имущества (гр. 6 раздела 10) X1 = 11, то показатель графы 3 раздела 10 формы N 14-страховщик должен отсутствовать в графе 3 раздела 10 формы N 7-страховщик;

16. Если первый разряд кода недвижимого имущества (гр. 6 раздела 10) X1 = 12, то показатель графы 3 раздела 10 формы N 14-страховщик должен присутствовать в графе 3 раздела 10 формы N 7-страховщик.

17. В графе 2 количество цифр = 10 или 12 цифрам.

18. Если второй разряд кода недвижимости (гр. 6 раздела 10) X2 = 4 или 5 или 6, то в графе 3 количество цифр = 6.

19. Если второй разряд кода недвижимого имущества (гр. 6 раздела 10) X2 = 4 или 5 или 6, то первый разряд кода одного объекта недвижимости (гр. 3 раздела 10) должен состоять из трех цифр и присутствовать в Общероссийском классификаторе стран мира (ОКСМ).

Раздел 11 "Банковские вклады (депозиты), в том числе удостоверенные депозитными сертификатами"

1. Если второй, третий, шестой разряды кода банковского вклада (гр. 6 раздела 11) X2 = 1 или 2 или 3, X3 = 1, X6 = 02 или 03 или 04, то гр. 3, 4 0, гр. 5 = 0.

2. Если второй, третий, шестой разряды кода банковского вклада (гр. 6 раздела 11) X2 = 4 или 5 или 6, X3 = 1, X6 = 02 или 03 или 04, то гр. 3 0, гр. 4, 5 = 0.

3. Если третий, шестой разряды кода банковского вклада (гр. 6 раздела 11) X3 = 1, X6 = 07 или 08 или 10, то гр. 3 = 0, гр. 4, 5 0.

4. Если второй, третий разряды кода банковского вклада (гр. 6 раздела 11) X2 = 1 или 2 или 3, X3 = 2, то гр. 3, 5 = 0, гр. 4 0.

5. Если второй, третий разряды кода банковского вклада (гр. 6 раздела 11) X2 = 4 или 5 или 6, X3 = 2, то гр. 4, 5 = 0, гр. 3 0.

6. Если гр. 7 или гр. 8 0, то гр. 1, 2, 6 0.

7. Стр. "Итого", гр. 7, 8 = сумма показателей предыдущих строк раздела 11, гр. 7, 8.

8. Стр. 1, гр. 1 = 1.

9. По каждой строке, кроме строки 1, значение графы 1 = значению графы 1 предыдущей строки + 1.

10. Если графа 7 0, четвертый разряд кода банковского вклада (гр. 6 раздела 11) X4 = 1, то в подразделе 1.2 формы N 12-страховщик в графе 1 должен присутствовать показатель графы 2 раздела 11 формы N 14-страховщик и графа 5 0.

11. Если графа 8 0, четвертый разряд кода банковского вклада (гр. 6 раздела 11) X4 = 1, то в подразделе 1.2 формы N 12-страховщик в графе 1 должен присутствовать показатель графы 2 раздела 11 формы N 14-страховщик и графа 7 0.

12. Если графа 7 0, четвертый разряд кода банковского вклада (гр. 6 раздела 11) X4 = 2, то в подразделе 2.2 формы N 12-страховщик в графе 1 должен присутствовать показатель графы 2 раздела 11 формы N 14-страховщик и графа 5 0.

13. Если графа 8 0, четвертый разряд кода банковского вклада (гр. 6 раздела 11) X4 = 2, то в подразделе 2.2 формы N 12-страховщик в графе 1 должен присутствовать показатель графы 2 раздела 11 формы N 14-страховщик и графа 7 0.

14. Если первый разряд кода банковского вклада (гр. 6 раздела 11) X1 = 01, то показатель графы 2 раздела 11 формы N 14-страховщик должен отсутствовать в графе 2 раздела 11 формы N 7-страховщик.

15. Если первый разряд кода банковского вклада (гр. 6 раздела 11) X1 = 02, то показатель графы 2 раздела 11 формы N 14-страховщик должен присутствовать в графе 2 раздела 11 формы N 7-страховщик.

16. Если первый разряд кода банковского вклада (гр. 6 раздела 11) X1 = 03, то показатель графы 2 раздела 11 формы N 14-страховщик должен отсутствовать в графе 2 раздела 11 формы N 7-страховщик.

17. Если первый разряд кода банковского вклада (гр. 6 раздела 11) X1 = 04, то показатель графы 2 раздела 11 формы N 14-страховщик должен присутствовать в графе 2 раздела 11 формы N 7-страховщик.

18. Если первый разряд кода банковского вклада (гр. 6 раздела 11) X1 = 05, то показатель графы 2 раздела 11 формы N 14-страховщик должен отсутствовать в графе 2 раздела 11 формы N 7-страховщик.

19. Если первый разряд кода банковского вклада (гр. 6 раздела 11) X1 = 06, то показатель графы 2 раздела 11 формы N 14-страховщик должен присутствовать в графе 2 раздела 11 формы N 7-страховщик.

20. Если первый разряд кода банковского вклада (гр. 6 раздела 11) X1 = 07, то показатель графы 2 раздела 11 формы N 14-страховщик должен отсутствовать в графе 2 раздела 11 формы N 7-страховщик.

21. Если первый разряд кода банковского вклада (гр. 6 раздела 11) X1 = 08, то показатель графы 2 раздела 11 формы N 14-страховщик должен присутствовать в графе 2 раздела 11 формы N 7-страховщик.

22. Если первый разряд кода банковского вклада (гр. 6 раздела 11) X1 = 09, то показатель графы 2 раздела 11 формы N 14-страховщик должен отсутствовать в графе 2 раздела 11 формы N 7-страховщик.

23. Если первый разряд кода банковского вклада (гр. 6 раздела 11) X1 = 10, то показатель графы 2 раздела 11 формы N 14-страховщик должен присутствовать в графе 2 раздела 11 формы N 7-страховщик.

24. Если первый разряд кода банковского вклада (гр. 6 раздела 11) X1 = 11, то показатель графы 2 раздела 11 формы N 14-страховщик должен отсутствовать в графе 2 раздела 11 формы N 7-страховщик.

25. Если первый разряд кода банковского вклада (гр. 6 раздела 11) X1 = 12, то показатель графы 2 раздела 11 формы N 14-страховщик должен присутствовать в графе 2 раздела 11 формы N 7-страховщик.

Если в файле описания страховой организации поле "Обязательное медицинское страхование" = 1 и поле "Страхование иное, чем страхование жизни" = 0, то следует иметь в виду следующее:

в контрольных соотношениях 14, 18, 22, 24 показатель графы 2 раздела 11 формы N 14-страховщик должен отсутствовать в графе 2 раздела 5 формы N 7а-страховщик;

в контрольных соотношениях 15, 19, 23, 25 показатель графы 2 раздела 11 формы N 14-страховщик должен присутствовать в графе 2 раздела 5 формы N 7а-страховщик.

Если в файле описания страховой организации поле "Обязательное медицинское страхование" = 1 и поле "Страхование иное, чем страхование жизни" = 1, то следует иметь в виду следующее:

в контрольных соотношениях 14, 16, 18, 20, 22, 24 показатель графы 2 раздела 11 формы N 14-страховщик должен отсутствовать и в графе 2 раздела 11 формы N 7-страховщик и в графе 2 раздела 5 формы N 7а-страховщик;

в контрольных соотношениях 15, 17, 19, 21, 23, 25 показатель графы 2 раздела 11 формы N 14-страховщик должен присутствовать или в графе 2 раздела 11 формы N 7-страховщик или в графе 2 раздела 5 формы N 7а-страховщик.

26. Если второй разряд кода банковского вклада (гр. 6 раздела 11) X2 = 1, то в графе 2 количество цифр = 10 цифрам.

27. Если второй разряд кода банковского вклада (гр. 6 раздела 11) X2 = 2, то в графе 2 количество цифр = 6 цифрам.

28. В графе 5 количество цифр = 10 цифрам.

29. Если второй разряд кода банковского вклада (гр. 6 раздела 11) X2 = 4 или 5 или 6, то первый разряд кода нерезидента (гр. 2 раздела 11) должен состоять из трех цифр и присутствовать в Общероссийском классификаторе стран мира (ОКСМ).

Подраздел 11.1 "Банковские вклады (депозиты), в том числе удостоверенные депозитными сертификатами, у банков которых возникли обстоятельства, не зависящие от действий страховой организации, повлекшие нарушения, устраняемые в соответствии с абзацем 4 пункта 4 Требований"

1. Если в разделе 11 десятый разряд кода банковского вклада (гр. 6 раздела 11) X10 = 2, то показатели граф 2, 3, 4 раздела 11 должны присутствовать в графах 1, 2, 3 подраздела 11.1.

2. Если в подразделе 11.1 третий разряд кода ценной бумаги, присвоенного до возникновения обстоятельств, (гр. 6 подраздела 11.1) X3 = 1, то срок от даты, предшествующей возникновению обстоятельств, повлекших нарушения, (гр. 4 подраздела 11.1), до отчетной даты 91 день.

3. Если в подразделе 11.1 третий разряд кода ценной бумаги, присвоенного после возникновения обстоятельств, (гр. 6 подраздела 11.1) X3 = 2, то срок от даты возникновения того обстоятельства, которое возникло раньше других обстоятельств, повлекших нарушения, (гр. 4 подраздела 11.1) до отчетной даты 90 дней.

4. В подразделе 11.1 по каждому активу, имеющему одинаковое значение гр. 1, 2, 3, дата, предшествующая возникновению обстоятельств, повлекших нарушения, (гр. 4 подраздела 11.1), отраженная по строке, где третий разряд кода ценной бумаги, присвоенного до возникновения обстоятельств, (гр. 6 подраздела 11.1) X3 = 1, < даты возникновения того обстоятельства, которое возникло раньше других обстоятельств, повлекших нарушения, (гр. 4 подраздела 11.1), отраженной по строке, где третий разряд кода ценной бумаги, присвоенного после возникновения обстоятельств, (гр. 6 подраздела 11.1) X3 = 2.

5. В подразделе 11.1 по каждому активу, имеющему одинаковое значение гр. 1, 2, 3, первый разряд кода ценной бумаги, присвоенного до возникновения обстоятельств, (гр. 6 подраздела 11.1) X1, отраженного по строке, где указана дата, предшествующая возникновению обстоятельств, повлекших нарушения, (гр. 4 подраздела 11.1), = первому разряду кода ценной бумаги, присвоенного после возникновения обстоятельств, (гр. 6 подраздела 11.1) X1, отраженного по строке, где указана дата возникновения того обстоятельства, которое возникло позже других обстоятельств, повлекших нарушения, (гр. 4 подраздела 11.1).

Раздел 12 "Активы, необходимые для осуществления финансово-хозяйственной деятельности, за исключением недвижимого имущества"

1. Если гр. 4 или гр. 5 0, то гр. 1, 3 0.

2. Стр. "Итого", гр. 4, 5 = сумма показателей предыдущих строк раздела 12, гр. 4, 5.

3. Стр. 1, гр. 1 = 1.

4. По каждой строке, кроме строки 1, значение графы 1 = значению графы 1 предыдущей строки + 1.

Раздел 13 "Объекты интеллектуасльной собственности и иные активы, кроме активов, отраженных по строкам 020 - 188 раздела 1"

1. Если гр. 4 или гр. 5 0, то гр. 1, 3 0.

2. Стр. "Итого", гр. 4, 5 = сумма показателей предыдущих строк раздела 13, гр. 4, 5.

3. Стр. 1, гр. 1 = 1.

4. По каждой строке, кроме строки 1, значение графы 1 = значению графы 1 предыдущей строки + 1.

Раздел 14 "Дебиторская задолженность"

1. Если гр. 5 или гр. 6 0, то гр. 1, 3, 4 0.

2. Если третий разряд кода дебиторской задолженности (гр. 4 раздела 14) X3 = 1 или 2, то гр. 2 0.

3. Если третий разряд кода дебиторской задолженности (гр. 4 раздела 14) X3 = 3 или 4 или 5, то гр. 2 = 0.

4. Стр. "Итого", гр. 5, 6 = сумма показателей предыдущих строк раздела 14, гр. 5, 6.

5. Стр. 1, гр. 1 = 1.

6. По каждой строке, кроме строки 1, значение графы 1 = значению графы 1 предыдущей строки + 1.

7. Если второй, третий разряд кода дебиторской задолженности (гр. 4 раздела 14) X2 = 1 или 2 или 3, X3 = 1 или 2, то в графе 2 количество цифр = от 1 до 4 или 10.

8. Если второй, третий разряд кода дебиторской задолженности (гр. 4 раздела 14) X2 = 4 или 5 или 6, X3 = 1 или 2, то в графе 2 количество цифр = 6 цифрам.

9. Если второй разряд кода дебиторской задолженности (гр. 4 раздела 14) X2 = 4 или 5 или 6, то первый разряд кода нерезидента (гр. 2 раздела 14) должен состоять из трех цифр и присутствовать в Общероссийском классификаторе стран мира (ОКСМ).

Раздел 15 "Денежные средства"

1. Если гр. 5 или 6 или 7 или 8 0, то гр. 1, 3, 4 0.

2. Если третий разряд кода денежных средств (гр. 4 раздела 15) X3 = 1 или 2 или 3, то гр. 2 0.

3. Если третий разряд кода денежных средств (гр. 4 раздела 15) X3 = 5, то гр. 2 = 0.

4. Стр. "Итого", гр. 5, 6, 7, 8 = сумма показателей предыдущих строк раздела 15, гр. 5, 6, 7, 8.

5. Стр. 1, гр. 1 = 1.

6. По каждой строке, кроме строки 1, значение графы 1 = значению графы 1 предыдущей строки + 1.

7. Если гр. (5 + 7) 0, четвертый разряд кода денежных средств (гр. 4 раздела 15) X4 = 1, то в подразделе 1.2 формы N 12-страховщик в графе 1 должен присутствовать показатель графы 2 раздела 15 формы N 14-страховщик и графа 5 0.

8. Если гр. (6 + 8) 0, четвертый разряд кода денежных средств (гр. 4 раздела 15) X4 = 1, то в подразделе 1.2 формы N 12-страховщик в графе 1 должен присутствовать показатель графы 2 раздела 15 формы N 14-страховщик и графа 7 0.

9. Если гр. (5 + 7) 0, четвертый разряд кода денежных средств (гр. 4 раздела 15) X4 = 2, то в подразделе 2.2 формы N 12-страховщик в графе 1 должен присутствовать показатель графы 2 раздела 15 формы N 14-страховщик и графа 5 0.

10. Если гр. (6 + 8) 0, четвертый разряд кода денежных средств (гр. 4 раздела 15) X4 = 2, то в подразделе 2.2 формы N 12-страховщик в графе 1 должен присутствовать показатель графы 2 раздела 15 формы N 14-страховщик и графа 7 0.

11. Если первый разряд кода денежных средств (гр. 4 раздела 15) X1 = 01, то показатель графы 2 раздела 15 формы N 14-страховщик должен отсутствовать в графе 2 раздела 15 формы N 7-страховщик.

12. Если первый разряд кода денежных средств (гр. 4 раздела 15) X1 = 02, то показатель графы 2 раздела 15 формы N 14-страховщик должен присутствовать в графе 2 раздела 15 формы N 7-страховщик.

13. Если первый разряд кода денежных средств (гр. 4 раздела 15) X1 = 03, то показатель графы 2 раздела 15 формы N 14-страховщик должен отсутствовать в графе 2 раздела 15 формы N 7-страховщик.

14. Если первый разряд кода денежных средств (гр. 4 раздела 15) X1 = 04, то показатель графы 2 раздела 15 формы N 14-страховщик должен присутствовать в графе 2 раздела 15 формы N 7-страховщик.

15. Если первый разряд кода денежных средств (гр. 4 раздела 15) X1 = 05, то показатель графы 2 раздела 15 формы N 14-страховщик должен отсутствовать в графе 2 раздела 15 формы N 7-страховщик.

16. Если первый разряд кода денежных средств (гр. 4 раздела 15) X1 = 06, то показатель графы 2 раздела 15 формы N 14-страховщик должен присутствовать в графе 2 раздела 15 формы N 7-страховщик.

17. Если первый разряд кода денежных средств (гр. 4 раздела 15) X1 = 07, то показатель графы 2 раздела 15 формы N 14-страховщик должен отсутствовать в графе 2 раздела 15 формы N 7-страховщик.

18. Если первый разряд кода денежных средств (гр. 4 раздела 15) X1 = 08, то показатель графы 2 раздела 15 формы N 14-страховщик должен присутствовать в графе 2 раздела 15 формы N 7-страховщик.

19. Если первый разряд кода денежных средств (гр. 4 раздела 15) X1 = 09, то показатель графы 2 раздела 15 формы N 14-страховщик должен отсутствовать в графе 2 раздела 15 формы N 7-страховщик.

20. Если первый разряд кода денежных средств (гр. 4 раздела 15) X1 = 10, то показатель графы 2 раздела 15 формы N 14-страховщик должен присутствовать в графе 2 раздела 15 формы N 7-страховщик.

21. Если первый разряд кода денежных средств (гр. 4 раздела 15) X1 = 11, то показатель графы 2 раздела 15 формы N 14-страховщик должен отсутствовать в графе 2 раздела 15 формы N 7-страховщик.

22. Если первый разряд кода денежных средств (гр. 4 раздела 15) X1 = 12, то показатель графы 2 раздела 15 формы N 14-страховщик должен присутствовать в графе 2 раздела 15 формы N 7-страховщик.

Если в файле описания страховой организации поле "Обязательное медицинское страхование" = 1 и поле "Страхование иное, чем страхование жизни" = 0, то следует иметь в виду следующее:

в контрольных соотношениях 11, 15, 19, 21 показатель графы 2 раздела 15 формы N 14-страховщик должен отсутствовать в графе 2 раздела 6 формы N 7а-страховщик;

в контрольных соотношениях 12, 16, 20, 22 показатель графы 2 раздела 15 формы N 14-страховщик должен присутствовать в графе 2 раздела 6 формы N 7а-страховщик.

Если в файле описания страховой организации поле "Обязательное медицинское страхование" = 1 и поле "Страхование иное, чем страхование жизни" = 1, то следует иметь в виду следующее:

в контрольных соотношениях 11, 13, 15, 17, 19, 21 показатель графы 2 раздела 15 формы N 14-страховщик должен отсутствовать и в графе 2 раздела 15 формы N 7-страховщик и в графе 2 раздела 6 формы N 7а-страховщик;

в контрольных соотношениях 12, 14, 16, 18, 20, 22 показатель графы 2 раздела 15 формы N 14-страховщик должен присутствовать или в графе 2 раздела 15 формы N 7-страховщик или в графе 2 раздела 6 формы N 7а-страховщик.

23. Если второй разряд кода денежных средств (гр. 4 раздела 15) X2 = 1 или 2 или 3, то в графе 2 количество цифр = 10 цифрам.

24. Если второй разряд кода денежных средств (гр. 4 раздела 15) X2 = 4 или 5 или 6, то в графе 2 количество цифр = 6 цифрам.

25. Если второй разряд кода денежных средств (гр. 4 раздела 15) X2 = 4 или 5 или 6, то первый разряд кода нерезидента (гр. 2 раздела 15) должен состоять из трех цифр и присутствовать в Общероссийском классификаторе стран мира (ОКСМ).

Раздел 16 "Слитки золота, серебра, платины и палладия, а также памятные монеты Российской Федерации из драгоценных металлов"

1. Если гр. 5 или гр. 6 0, то гр. 1, 2, 4 0.

2. Стр. "Итого", гр. 5, 6 = сумма показателей предыдущих строк раздела 16, гр. 5, 6.

3. Стр. 1, гр. 1 = 1.

4. По каждой строке, кроме строки 1, значение графы 1 = значению графы 1 предыдущей строки + 1.

Если в файле описания страховой организации поле "Страхование жизни" = 1 или поле "Страхование иное, чем страхование жизни" = 1 или поле "Перестрахование принятое" = 1 или поле "Обязательное страхование гражданской ответственности владельцев транспортных средств" = 1, то применяются контрольные соотношения 5 - 16:

5. Если первый разряд кода слитков, памятных монет (гр. 4 раздела 16) X1 = 01, то показатель графы 2 раздела 16 формы N 14-страховщик должен отсутствовать в графе 2 раздела 16 формы N 7-страховщик;

6. Если первый разряд кода слитков, памятных монет (гр. 4 раздела 16) X1 = 02, то показатель графы 2 раздела 16 формы N 14-страховщик должен присутствовать в графе 2 раздела 16 формы N 7-страховщик;

7. Если первый разряд кода слитков, памятных монет (гр. 4 раздела 16) X1 = 03, то показатель графы 2 раздела 16 формы N 14-страховщик должен отсутствовать в графе 2 раздела 16 формы N 7-страховщик;

8. Если первый разряд кода слитков, памятных монет (гр. 4 раздела 16) X1 = 04, то показатель графы 2 раздела 16 формы N 14-страховщик должен присутствовать в графе 2 раздела 16 формы N 7-страховщик;

9. Если первый разряд кода слитков, памятных монет (гр. 4 раздела 16) X1 = 05, то показатель графы 2 раздела 16 формы N 14-страховщик должен отсутствовать в графе 2 раздела 16 формы N 7-страховщик;

10. Если первый разряд кода слитков, памятных монет (гр. 4 раздела 16) X1 = 06, то показатель графы 2 раздела 16 формы N 14-страховщик должен присутствовать в графе 2 раздела 16 формы N 7-страховщик;

11. Если первый разряд кода слитков, памятных монет (гр. 4 раздела 16) X1 = 07, то показатель графы 2 раздела 16 формы N 14-страховщик должен отсутствовать в графе 2 раздела 16 формы N 7-страховщик;

12. Если первый разряд кода слитков, памятных монет (гр. 4 раздела 16) X1 = 08, то показатель графы 2 раздела 16 формы N 14-страховщик должен присутствовать в графе 2 раздела 16 формы N 7-страховщик;

13. Если первый разряд кода слитков, памятных монет (гр. 4 раздела 16) X1 = 09, то показатель графы 2 раздела 16 формы N 14-страховщик должен отсутствовать в графе 2 раздела 16 формы N 7-страховщик;

14. Если первый разряд кода слитков, памятных монет (гр. 4 раздела 16) X1 = 10, то показатель графы 2 раздела 16 формы N 14-страховщик должен присутствовать в графе 2 раздела 16 формы N 7-страховщик;

15. Если первый разряд кода слитков, памятных монет (гр. 4 раздела 16) X1 = 11, то показатель графы 2 раздела 16 формы N 14-страховщик должен отсутствовать в графе 2 раздела 16 формы N 7-страховщик;

16. Если первый разряд кода слитков, памятных монет (гр. 4 раздела 16) X1 = 12, то показатель графы 2 раздела 16 формы N 14-страховщик должен присутствовать в графе 2 раздела 16 формы N 7-страховщик.

17. В графе 2 количество цифр = 10 цифрам.

Раздел 17 "Займы предоставленные"

1. Если гр. 5 или гр. 6 0, то гр. 1, 2, 4 0.

2. Стр. "Итого", гр. 5, 6 = сумма показателей предыдущих строк раздела 17, гр. 5, 6.

3. Стр. 1, гр. 1 = 1.

4. По каждой строке, кроме строки 1, значение графы 1 = значению графы 1 предыдущей строки + 1.

5. Если графа 5 0, в графе 2 отражен регистрационный номер страховой организации, четвертый разряд кода займа (гр. 4 раздела 17) X4 = 1, то в подразделе 1.1 формы N 12-страховщик в графе 2 должен присутствовать показатель графы 2 раздела 17 формы N 14-страховщик и графа 4 0.

6. Если графа 6 0, в графе 2 отражен регистрационный номер страховой организации, четвертый разряд кода займа (гр. 4 раздела 17) X4 = 1, то в подразделе 1.1 формы N 12-страховщик в графе 2 должен присутствовать показатель графы 2 раздела 17 формы N 14-страховщик и графа 6 0.

7. Если графа 5 0, в графе 2 отражен код нерезидента, который является страховой организацией, четвертый разряд кода займа (гр. 4 раздела 17) X4 = 1, то в подразделе 1.1 формы N 12-страховщик в графе 2 должен присутствовать показатель графы 2 раздела 17 формы N 14-страховщик и графа 4 0.

8. Если графа 6 0, в графе 2 отражен код нерезидента, который является страховой организацией, четвертый разряд кода займа (гр. 4 раздела 17) X4 = 1, то в подразделе 1.1 формы N 12-страховщик в графе 2 должен присутствовать показатель графы 2 раздела 17 формы N 14-страховщик и графа 6 0.

9. Если графа 5 0, в графе 2 отражен ИНН заемщика, который является организацией иной, чем страховая организация, четвертый разряд кода займа (гр. 4 раздела 17) X4 = 1, то в подразделе 1.2 формы N 12-страховщик в графе 1 должен присутствовать показатель графы 2 раздела 17 формы N 14-страховщик и графа 5 0.

10. Если графа 6 0, в графе 2 отражен ИНН заемщика, который является организацией иной, чем страховая организация, четвертый разряд кода займа (гр. 4 раздела 17) X4 = 1, то в подразделе 1.2 формы N 12-страховщик в графе 1 должен присутствовать показатель графы 2 раздела 17 формы N 14-страховщик и графа 7 0.

11. Если графа 5 0, в графе 2 отражен код нерезидента, который не является страховой организацией, четвертый разряд кода займа (гр. 4 раздела 17) X4 = 1, то в подразделе 1.2 формы N 12-страховщик в графе 1 должен присутствовать показатель графы 2 раздела 17 формы N 14-страховщик и графа 5 0.

12. Если графа 6 0, в графе 2 отражен код нерезидента, который не является страховой организацией, четвертый разряд кода займа (гр. 4 раздела 17) X4 = 1, то в подразделе 1.2 формы N 12-страховщик в графе 1 должен присутствовать показатель графы 2 раздела 17 формы N 14-страховщик и графа 7 0.

13. Если графа 5 0, в графе 2 отражен регистрационный номер страховой организации, четвертый разряд кода займа (гр. 4 раздела 17), X4 = 2, то в подразделе 2.1 формы N 12-страховщик в графе 2 должен присутствовать показатель графы 2 раздела 17 формы N 14-страховщик и графа 4 0.

14. Если графа 6 0, в графе 2 отражен регистрационный номер страховой организации, четвертый разряд кода займа (гр. 4 раздела 17), X4 = 2, то в подразделе 2.1 формы N 12-страховщик в графе 2 должен присутствовать показатель графы 2 раздела 17 формы N 14-страховщик и графа 6 0.

15. Если графа 5 0, в графе 2 отражен код нерезидента, который является страховой организацией, четвертый разряд кода займа (гр. 4 раздела 17), X4 = 2, то в подразделе 2.1 формы N 12-страховщик в графе 2 должен присутствовать показатель графы 2 раздела 17 формы N 14-страховщик и графа 4 0.

16. Если графа 6 0, в графе 2 отражен код нерезидента, который является страховой организацией, четвертый разряд кода займа (гр. 4 раздела 17), X4 = 2, то в подразделе 2.1 формы N 12-страховщик в графе 2 должен присутствовать показатель графы 2 раздела 17 формы N 14-страховщик и графа 6 0.

17. Если графа 5 0, в графе 2 отражен ИНН заемщика, который является организацией иной, чем страховая организация, четвертый разряд кода займа (гр. 4 раздела 17), X4 = 2, то в подразделе 2.2 формы N 12-страховщик в графе 1 должен присутствовать показатель графы 2 раздела 17 формы N 14-страховщик и графа 5 0.

18. Если графа 6 0, в графе 2 отражен ИНН заемщика, который является организацией иной, чем страховая организация, четвертый разряд кода займа (гр. 4 раздела 17), X4 = 2, то в подразделе 2.2 формы N 12-страховщик в графе 1 должен присутствовать показатель графы 2 раздела 17 формы N 14-страховщик и графа 7 0.

19. Если графа 5 0, в графе 2 отражен код нерезидента, который не является страховой организацией, четвертый разряд кода займа (гр. 4 раздела 17), X4 = 2, то в подразделе 2.2 формы N 12-страховщик в графе 1 должен присутствовать показатель графы 2 раздела 17 формы N 14-страховщик и графа 5 0.

20. Если графа 6 0, в графе 2 отражен код нерезидента, который не является страховой организацией, четвертый разряд кода займа (гр. 4 раздела 17), X4 = 2, то в подразделе 2.2 формы N 12-страховщик в графе 1 должен присутствовать показатель графы 2 раздела 17 формы N 14-страховщик и графа 7 0.

21. Если второй разряд кода займа предоставленного (гр. 4 раздела 17) X2 = 1 или 2 или 3 и займ предоставлен организации иной, чем страховая организация, то в графе 2 количество цифр = 10 цифрам.

22. Если второй разряд кода займа предоставленного (гр. 4 раздела 17) X2 = 4 или 5 или 6, то в графе 2 количество цифр = 6 цифрам.

23. Если второй разряд кода займа предоставленного (гр. 4 раздела 17) X2 = 1 или 2 или 3 и займ предоставлен страховой организации, то в графе 2 количество цифр = от 1 до 4 цифр, иначе дать разъяснение в пояснительной записке.

Раздел 19 "Результаты размещения собственных средств страховой организации"

Подраздел 19.1 "Результаты размещения собственных средств страховой организации в размерах наибольшего из двух показателей, указанных в пункте 7 Требований, предъявляемых к составу и структуре активов, принимаемых для покрытия собственных средств страховщика"

1. Гр. 5, стр. 020 - 175 = (гр. 3 - гр. 4), стр. 020 - 175 (если результат 0).

2. Гр. 6, стр. 020 - 175 = (гр. 3 - гр. 4), стр. 020 - 175 (если результат < 0).

3. Гр. 9, стр. 020 - 175 = (гр. 7 - гр. 8), стр. 020 - 175 (если результат 0).

4. Гр. 10, стр. 020 - 175 = (гр. 7 - гр. 8), стр. 020 - 175 (если результат < 0).

5. Стр. 020, гр. 3, 4, 7, 8 = сумма показателей строк 021, 022, 023, 031, 032, 033, гр. 3, 4, 7, 8.

6. Стр. 040, гр. 3, 4, 7, 8 = сумма показателей строк 041, 042, гр. 3, 4, 7, 8.

7. Стр. 101, гр. 3, 4, 7, 8 стр. 100, гр. 3, 4, 7, 8.

8. Стр. 102, гр. 3, 4, 7, 8 стр. 101, гр. 3, 4, 7, 8.

9. Стр. 190, гр. 3, 4, 7, 8 = сумма показателей строк 020, 040, 050, 070, 080, 085, 090, 100, 110, 160, 161, 170, 171, 175, гр. 3, 4, 7, 8.

Подраздел 19.2 "Результаты размещения собственных средств страховой организации в размерах, превышающих наибольший из двух показателей, указанных в пункте 7 Требований, предъявляемых к составу и структуре активов, принимаемых для покрытия собственных средств страховщика"

1. Гр. 5, стр. 020 - 189 = (гр. 3 - гр. 4), стр. 020 - 189 (если результат 0).

2. Гр. 6, стр. 020 - 189 = (гр. 3 - гр. 4), стр. 020 - 189 (если результат < 0).

3. Гр. 9, стр. 020 - 189 = (гр. 7 - гр. 8), стр. 020 - 189 (если результат 0).

4. Гр. 10, стр. 020 - 189 = (гр. 7 - гр. 8), стр. 020 - 189 (если результат < 0).

5. Стр. 020, гр. 3, 4, 7, 8 = сумма показателей строк 021, 022, 023, 031, 032, 033, гр. 3, 4, 7, 8.

6. Стр. 040, гр. 3, 4, 7, 8 = сумма показателей строк 041, 042, гр. 3, 4, 7, 8.

7. Стр. 101, гр. 3, 4, 7, 8 стр. 100, гр. 3, 4, 7, 8.

8. Стр. 102, гр. 3, 4, 7, 8 стр. 101, гр. 3, 4, 7, 8.

9. Стр. 185, гр. 3, 4, 7, 8 стр. (186 + 187), гр. 3, 4, 7, 8.

10. Стр. 190, гр. 3, 4, 7, 8 = сумма показателей строк 020, 040, 050, 070, 080, 085, 090, 100, 110, 160, 161, 170, 171, 175, 185, 188, 189, гр. 3, 4, 7, 8.

Подраздел 19.1 "Результаты размещения собственных средств страховой организации в размерах наибольшего из двух показателей, указанных в пункте 7 Требований, предъявляемых к составу и структуре активов, принимаемых для покрытия собственных средств страховщика" и подраздел 19.2 "Результаты размещения собственных средств страховой организации в размерах, превышающих наибольший из двух показателей, указанных в пункте 7 Требований, предъявляемых к составу и структуре активов, принимаемых для покрытия собственных средств страховщика"

Если в файле описания страховой организации поле "Страхование жизни" = 1 или поле "Перестрахование принятое" = 1 или поле "Страхование иное, чем страхование жизни" = 1, то применяются контрольные соотношения 1 - 4:

1. Подраздел 19.1, стр. (020 + 040 + 050 + 070 + 080 + 085 + 090 + 101), гр. 3, 7 + подраздел 19.2, стр. (020 + 040 + 050 + 070 + 080 + 085 + 090 + 101 + 185), гр. 3, 7 стр. 180, гр. 3, 4, форма N 2-страховщик;

2. Подраздел 19.1, стр. (020 + 040 + 050 + 070 + 080 + 085 + 090 + 101), гр. 4, 8 + подраздел 19.2, стр. (020 + 040 + 050 + 070 + 080 + 085 + 090 + 101 + 185) форма N 2-страховщик, стр. 190, гр. 3, 4;

3. Подраздел 19.1, стр. ((100 - 101) + 110 + 160 + 161 + 170 + 171 + 175), гр. 3, 7 + подраздел 19.2, стр. ((100 - 101) + 110 + 160 + 161 + 170 + 171 + 175 + 188), гр. 3, 7 форма N 2-страховщик, стр. 210, гр. 3, 4;

4. Подраздел 19.1, стр. ((100 - 101) + 110 + 160 + 161 + 170 + 171 + 175), гр. 4, 8 + подраздел 19.2, стр. ((100 - 101) + 110 + 160 + 161 + 170 + 171 + 175 + 188) форма N 2-страховщик, стр. 220, гр. 3, 4.

Если в файле описания страховой организации поле "Обязательное медицинское страхование" = 1 и поле "Страхование иное, чем страхование жизни" = 0, то применяются контрольные соотношения 5, 6:

5. Подраздел 19.1, стр. (020 + 040 + 050 + 070 + 080 + 085 + 090 + 101), гр. 3, 7 + подраздел 19.2, стр. (020 + 040 + 050 + 070 + 080 + 085 + 090 + 101 + 185), гр. 3, 7 форма N 2а-страховщик, стр. 180, гр. 3, 4;

6. Подраздел 19.1, стр. (020 + 040 + 050 + 070 + 080 + 085 + 090 + 101), гр. 4, 8 + подраздел 19.2, стр. (020 + 040 + 050 + 070 + 080 + 085 + 090 + 101 + 185) форма N 2а-страховщик, стр. 190, гр. 3, 4.

Соотношения, требующие пояснений

1. Если пятнадцатый разряд кода ценной бумаги (X15) = 2, десятый разряд банковского вклада, управляющей компании, (X10) = 2, то в файле пояснительной записки с кодом раздела 23 требуется раскрыть информацию о мерах, принятых страховой организацией по устранению нарушений, возникших по обстоятельствам, не зависящим от действий страховой организации.

2. Если второй разряд кода ценной бумаги, банковского вклада, дебиторской задолженности, денежных средств (X2) = 2 или 3, то в файле пояснительной записки с кодом раздела 24 требуется раскрыть информацию о наименовании юридического лица (банка, в котором страховая организация имеет денежные средства на счетах или вклады), являющегося нерезидентом Российской Федерации; наименовании активов (денежные средства на счетах и вклады в банке); номере лицензии (разрешения) на осуществление банковских операций для каждого банка, наименовании уполномоченного органа, выдавшего лицензию (разрешение).

Раздел 5 "Векселя организаций, в том числе банков"

1. Если гр. 12 0 и одиннадцатый разряд кода ценной бумаги (гр. 10, гр. 32 раздела 5) X11 = 02 или 03 или 04 или 07 или 08 или 10, то требуется представить информацию рейтингового агентства, подтверждающую присвоение векселедателю или акцептанту, если векселедателем и акцептантом являются разные организации, рейтинга с указанием типа этого рейтинга.

2. Если гр. 12 0 и пятый разряд кода ценной бумаги (гр. 10, гр. 32 раздела 5) X5 = 4, то в специальном разделе пояснительной записки требуется указать наименование банка, векселя которого приобретены страховой организацией, номер лицензии (разрешения) на осуществление банковских операций и наименование уполномоченного органа, выдавшего лицензию (разрешение).

Раздел 7 "Ипотечные сертификаты участия"

1. Если гр. 8 0, то в файле пояснительной записки с кодом раздела 25 необходимо указать полное фирменное наименование регистратора, осуществляющего ведение реестра владельцев ипотечных сертификатов участия.

Раздел 8 "Инвестиционные паи паевых инвестиционных фондов"

1. Если гр. 9 0, то в файле пояснительной записки с кодом раздела 26 необходимо указать регистрационный номер и дату регистрации правил доверительного управления паевым инвестиционным фондом.

Раздел 9 "Долевое участие в общих фондах банковского управления (ОФБУ)"

1. Если гр. 8 0, то в файле пояснительной записки с кодом раздела 27 необходимо указать расшифровку состава портфеля инвестиций, сформированного в соответствии с инвестиционной декларацией, с указанием наименования общего фонда банковского управления.

Структурные соотношения

Если первый разряд кода всех видов активов, представляющих собственные средства страховой организации, (X1) = 01 или 02, то применяются структурные соотношения 1 - 19:

1. Сумма вложений в ценные бумаги в разделе 3, гр. 11, первый, второй, третий, пятый разряды кода ценной бумаги которых (гр. 7 раздела 3) X1 = 01 или 02, X2 = 1 или 2 или 3, X3 = 1, X5 = 2 или 3, ;

2. Сумма вложений в ценные бумаги одного субъекта Российской Федерации в разделе 3, гр. 11, первый, второй, третий, пятый разряды кода ценной бумаги которых (гр. 7 раздела 3) X1 = 01 или 02, X2 = 1 или 2 или 3, X3 = 1, X5 = 2 и которые имеют одинаковый ИНН эмитента (гр. 2 раздела 3), ;

3. Сумма вложений в муниципальные ценные бумаги одного органа местного самоуправления в разделе 3, гр. 11, первый, второй, третий, пятый разряды кода ценной бумаги которых (гр. 7 раздела 3) X1 = 01 или 02, X2 = 1 или 2 или 3, X3 = 1, X5 = 3 и которые имеют одинаковый ИНН эмитента (гр. 2 раздела 3), ;

4. Сумма вложений в векселя банков и банковские вклады (депозиты), в том числе удостоверенные депозитными сертификатами, в банках, имеющих рейтинг, соответственно в разделе 5, гр. 12, первый, пятый, одиннадцатый разряды кода ценной бумаги которых (гр. 10 раздела 5) X1 = 01 или 02, X5 = 4, X11 = 02 или 03 или 04 или 07 или 08 или 10, и в разделе 11, гр. 8, первый, третий, разряды кода банковского вклада которых (гр. 6 раздела 11) X1 = 01 или 02, X3 = 1, ;

5. Сумма вложений в векселя банков и банковские вклады (депозиты), в том числе удостоверенные депозитными сертификатами, в банках, не имеющих рейтинг, соответственно в разделе 5, гр. 12, первый, пятый, одиннадцатый разряды кода ценной бумаги которых (гр. 10 раздела 5) X1 = 01 или 02, X5 = 4, X11 = 11, и в разделе 11, гр. 8, первый, третий разряды кода банковского вклада которых (гр. 6 раздела 11) X1 = 01 или 02, X3 = 2, ;

6. Сумма вложений в векселя банков и банковские вклады (депозиты), в том числе удостоверенные депозитными сертификатами, в банках соответственно в разделе 5, гр. 12, первый, пятый разряды кода ценной бумаги которых (гр. 10 раздела 5) X1 = 01 или 02, X5 = 4; в разделе 11, гр. 8, первый разряд кода банковского вклада которых (гр. 6 раздела 11) X1 = 01 или 02, ;

7. Сумма вложений в векселя банков и банковские вклады (депозиты), в том числе удостоверенные депозитными сертификатами, в одном банке, который идентифицируется одинаковым ИНН или кодом нерезидента (гр. 2 разделов 5, 11), и соответственно в разделе 5, гр. 12, первый, пятый, одиннадцатый разряды кода ценной бумаги которых (гр. 10 раздела 5) X1 = 01 или 02, X5 = 4, X11 = 02 или 03 или 04 или 07 или 08 или 10; в разделе 11, гр. 8, первый, третий разряды кода банковского вклада которых (гр. 6 раздела 11) X1 = 01 или 02, X3 = 1, ;

8. Сумма вложений в акции в разделе 6, гр. 11, первый разряд кода ценной бумаги которых (гр. 7 раздела 6) X1 = 01 или 02, ;

9. Сумма вложений в облигации в разделе 4, гр. 11, первый, второй, третий, пятый, десятый разряды кода ценной бумаги которых (гр. 7 раздела 4) X1 = 01 или 02, X2 = 1 или 2 или 3, X3 = 1, X5 = 4 или 7 или 8, X10 = 2; X1 = 01 или 02, X2 = 4 или 5 или 6 или 7 или 8 или 9, X3 = 1, X5 = 1 или 2 или 3 или 4 или 7 или 8, X10 = 2, ;

10. Сумма вложений в векселя организаций, за исключением векселей банков, в разделе 5, гр. 12, первый, второй, третий, пятый разряды кода ценной бумаги которых (гр. 10 раздела 5) X1 = 01 или 02, X2 = 1 или 2 или 3, X3 = 4, X5 = 7 или 8; X1 = 01 или 02, X2 = 4 или 5 или 6, X3 = 4, X5 = 7 или 8, ;

11. Сумма вложений в инвестиционные паи паевых инвестиционных фондов и долевое участие в общих фондах банковского управления соответственно в разделе 8, гр. 9, первый разряд кода ценной бумаги которых (гр. 5 раздела 8) X1 = 01 или 02, в разделе 9, гр. 8, первый разряд кода сертификата долевого участия которых (гр. 6 раздела 9) X1 = 01 или 02, ;

12. Сумма вложений в долевое участие в общих фондах банковского управления одного доверительного управляющего, который идентифицируется одинаковым ИНН (гр. 2 раздела 9), в разделе 9, гр. 8, первый разряд кода сертификата долевого участия которых (гр. 6 раздела 9) X1 = 01 или 02, ;

13. Сумма вложений в ценные бумаги, эмитенты которых имеют одинаковый ИНН, код нерезидента (гр. 2 разделов 4, 6) в разделе 4, гр. 11 первый разряд кода ценной бумаги которых (гр. 7 раздела 4) X1 = 01 или 02, в разделе 6, гр. 11, первый разряд кода ценной бумаги которых (гр. 7 раздела 6) X1 = 01 или 02, ;

14. Сумма вложений в недвижимое имущество в разделе 10, гр. 8, первый разряд кода недвижимого имущества которых (гр. 6 раздела 10) X1 = 01 или 02, ;

15. Сумма вложений в один объект недвижимости в разделе 10, гр. 8, первый разряд кода недвижимости которого (гр. 6 раздела 10) X1 = 01 или 02, который идентифицируется кадастровым (условным) номером объекта недвижимости, кодом одного объекта недвижимости (гр. 3 раздела 10), ;

16. Сумма вложений в слитки золота, серебра, платины и палладия, а также памятные монеты Российской Федерации из драгоценных металлов в разделе 16, гр. 6, первый разряд кода слитков, памятных монет Российской Федерации из драгоценных металлов которых (гр. 4 раздела 16) X1 = 01 или 02, ;

17. Суммарная величина стоимости ипотечных ценных бумаг, за исключением суммарной величины стоимости облигаций и жилищных облигаций с ипотечным покрытием, по которым для обеспечения обязательств предоставлена государственная гарантия Российской Федерации, в разделе 4, гр. 11, первый, третий, десятый разряды кода ценной бумаги которых (гр. 7 раздела 4) X1 = 01 или 02, X3 = 6 или 7, X10 = 2, и в разделе 7, гр. 8 первый, третий разряды кода ценной бумаги которых (гр. 4 раздела 7) X1 = 01 или 02, X3 = 8, ;

18. Суммарная величина стоимости активов, необходимых для осуществления финансово-хозяйственной деятельности, за исключением недвижимого имущества, а также непросроченной дебиторской задолженности организаций и физических лиц в разделе 12, гр. 5, первый разряд кода активов, необходимых для осуществления финансово-хозяйственной деятельности, за исключением недвижимого имущества, которых (гр. 3 раздела 12) X1 = 01 или 02 и в разделе 14, гр. 6, первый, третий, шестой разряды кода дебиторской задолженности которых (гр. 4 раздела 14) X1 = 01 или 02, X3 = 1 или 3, X6 = 01 или 02 или 03 или 04 или 05 или 09 или 99, ;

19. Сумма вложений в разделах 4, гр. 11; 5, гр. 12; 6, гр. 11; 10, гр. 8; 11, гр. 8; 12, гр. 5; 13, гр. 5; 14, гр. 6; 15, гр. (6 + 8), первый, второй разряды кода которых (гр. 3 разделов 12, 13; гр. 4 разделов 14, 15; гр. 6 разделов 10, 11; гр. 7 разделов 4, 6, гр. 10 раздела 5) X1 = 01 или 02, X2 = 4 или 5 или 6 или 7 или 8 или 9, .

Если первый разряд кода всех видов активов, представляющих собственные средства страховой организации, (X1) = 03 или 04, то применяются структурные соотношения 20 - 23:

20. Сумма займов, предоставленных дочерним и зависимым обществам в разделе 17, гр. 6, первый, четвертый разряды кода займа которых (гр. 4 раздела 17) X1 = 03 или 04, X4 = 1 или 2, ;

21. Сумма займов, предоставленных другим организациям в разделе 17, гр. 6, первый, четвертый разряды кода займа которых (гр. 4 раздела 17) X1 = 03 или 04, X4 = 3, ;

22. Сумма вложений в объекты интеллектуальной собственности в разделе 13, гр. 5, первый, четвертый разряды кода объектов интеллектуальной собственности и иных активов, кроме активов, отраженных по строкам 020 - 188 раздела 1, которых (гр. 3 раздела 13) X1 = 03 или 04, X4 = 06, ;

23. Для займов привлеченных в разделе 1, стр. 019, гр. 4, .

Если первый разряд кода всех видов активов, представляющих собственные средства страховой организации, (X1) = 05 или 06, то применяются структурные соотношения 24 - 42:

24. Сумма вложений в ценные бумаги в разделе 3, гр. 11, первый, второй, третий, пятый разряды кода ценной бумаги которых (гр. 7 раздела 3) X1 = 05 или 06, X2 = 1 или 2 или 3, X3 = 1, X5 = 2 или 3, ;

25. Сумма вложений в ценные бумаги одного субъекта Российской Федерации в разделе 3, гр. 11, первый, второй, третий, пятый разряды кода ценной бумаги которых (гр. 7 раздела 3) X1 = 05 или 06, X2 = 1 или 2 или 3, X3 = 1, X5 = 2 и которые имеют одинаковый ИНН эмитента (гр. 2 раздела 3), ;

26. Сумма вложений в муниципальные ценные бумаги одного органа местного самоуправления в разделе 3, гр. 11, первый, второй, третий, пятый разряды кода ценной бумаги которых (гр. 7 раздела 3) X1 = 05 или 06, X2 = 1 или 2 или 3, X3 = 1, X5 = 3 и которые имеют одинаковый ИНН эмитента (гр. 2 раздела 3), ;

27. Сумма вложений в векселя банков и банковские вклады (депозиты), в том числе удостоверенные депозитными сертификатами, в банках, имеющих рейтинг, соответственно в разделе 5, гр. 12, первый, пятый, одиннадцатый разряды кода ценной бумаги которых (гр. 10 раздела 5) X1 = 05 или 06, X5 = 4, X11 = 02 или 03 или 04 или 07 или 08 или 10 и в разделе 11, гр. 8, первый, третий, разряды кода банковского вклада которых (гр. 6 раздела 11) X1 = 05 или 06, X3 = 1, ;

28. Сумма вложений в векселя банков и банковские вклады (депозиты), в том числе удостоверенные депозитными сертификатами, в банках, не имеющих рейтинг, соответственно в разделе 5, 12, первый, пятый, одиннадцатый разряды кода ценной бумаги которых (гр. 10 раздела 5) X1 = 05 или 06, X5 = 4, X11 = 11; и в разделе 11, гр. 8, первый, третий разряды кода банковского вклада которых (гр. 6 раздела 11) X1 = 05 или 06, X3 = 2, ;

29. Сумма вложений в векселя банков и банковские вклады (депозиты), в том числе удостоверенные депозитными сертификатами, в банках соответственно в разделе 5, гр. 12, первый, пятый разряды кода ценной бумаги которых (гр. 10 раздела 5) X1 = 05 или 06, X5 = 4; в разделе 11, гр. 8, первый разряд кода банковского вклада которых (гр. 6 раздела 11) X1 = 05 или 06, ;

30. Сумма вложений в векселя банков и банковские вклады (депозиты), в том числе удостоверенные депозитными сертификатами, в одном банке, который идентифицируется одинаковым ИНН или кодом нерезидента (гр. 2 разделов 5, 11) и соответственно в разделе 5, гр. 12, первый, пятый, одиннадцатый разряды кода ценной бумаги которых (гр. 10 раздела 5) X1 = 05 или 06, X5 = 4, X11 = 02 или 03 или 04 или 07 или 08 или 10; в разделе 11, гр. 8, первый, третий разряды кода банковского вклада которых (гр. 6 раздела 11) X1 = 05 или 06, X3 = 1, ;

31. Сумма вложений в акции в разделе 6, гр. 11, первый разряд кода ценной бумаги которых (гр. 7 раздела 6) X1 = 05 или 06, ;

32. Сумма вложений в облигации в разделе 4, гр. 11, первый, второй, третий, пятый, десятый разряды кода ценной бумаги которых (гр. 7 раздела 4) X1 = 05 или 06, X2 = 1 или 2 или 3, X3 = 1, X5 = 4 или 7 или 8, X10 = 2; X1 = 05 или 06, X2 = 4 или 5 или 6 или 7 или 8 или 9, X3 = 1, X5 = 1 или 2 или 3 или 4 или 7 или 8, X10 = 2, ;

33. Сумма вложений в векселя организаций, за исключением векселей банков, в разделе 5, гр. 12, первый, второй, третий, пятый разряды кода ценной бумаги которых (гр. 10 раздела 5) X1 = 05 или 06, X2 = 1 или 2 или 3, X3 = 4, X5 = 7 или 8; X1 = 05 или 06, X2 = 4 или 5 или 6, X3 = 4, X5 = 7 или 8, ;

34. Сумма вложений в инвестиционные паи паевых инвестиционных фондов и долевое участие в общих фондах банковского управления соответственно в разделе 8, гр. 9, первый разряд кода ценной бумаги которых (гр. 5 раздела 8) X1 = 05 или 06, в разделе 9, гр. 8, первый разряд кода сертификата долевого участия которых (гр. 6 раздела 9) X1 = 05 или 06, ;

35. Сумма вложений в долевое участие в общих фондах банковского управления одного доверительного управляющего, который идентифицируется одинаковым ИНН (гр. 2 раздела 9), в разделе 9, гр. 8, первый разряд кода сертификата долевого участия которых (гр. 6 раздела 9) X1 = 05 или 06, ;

36. Сумма вложений в ценные бумаги, эмитенты которых имеют одинаковый ИНН, код нерезидента (гр. 2 разделов 4, 6) в разделе 4, гр. 11, первый разряд кода ценной бумаги которых (гр. 7 раздела 4) X1 = 05 или 06, в разделе 6, гр. 11, первый разряд кода ценной бумаги которых (гр. 7 раздела 6) X1 = 05 или 06, ;

37. Сумма вложений в недвижимое имущество в разделе 10, гр. 8, первый разряд кода недвижимого имущества которых (гр. 6 раздела 10) X1 = 05 или 06, ;

38. Сумма вложений в один объект недвижимого имущества в разделе 10, гр. 8, который идентифицируется кадастровым (условным) номером объекта недвижимости, кодом одного объекта недвижимости (гр. 3 раздела 10), первый разряд кода недвижимого имущества которых (гр. 6 раздела 10) X1 = 05 или 06, ;

39. Сумма вложений в слитки золота, серебра, платины и палладия, а также памятные монеты Российской Федерации из драгоценных металлов в разделе 16, гр. 6, первый разряд кода слитков, памятных монет Российской Федерации из драгоценных металлов которых (гр. 4 раздела 16) X1 = 05 или 06, ;

40. Суммарная величина стоимости ипотечных ценных бумаг, за исключением суммарной величины стоимости облигаций и жилищных облигаций с ипотечным покрытием, по которым для обеспечения обязательств предоставлена государственная гарантия Российской Федерации, в разделе 4, гр. 11, первый, третий, десятый разряды кода ценной бумаги которых (гр. 7 раздела 4) X1 = 05 или 06, X3 = 6 или 7, X10 = 2, в разделе 7, гр. 8, первый, третий разряды кода ценной бумаги которых (гр. 4 раздела 7) X1 = 05 или 06, X3 = 8, ;

41. Суммарная величина стоимости активов, необходимых для осуществления финансово-хозяйственной деятельности, за исключением недвижимого имущества, а также непросроченной дебиторской задолженности организаций и физических лиц в разделе 12, гр. 5, первый разряд кода активов, необходимых для осуществления финансово-хозяйственной деятельности, за исключением недвижимого имущества которых (гр. 3 раздела 12) X1 = 05 или 06 и в разделе 14, гр. 6, первый, третий, шестой разряды кода дебиторской задолженности которых (гр. 4 раздела 14) X1 = 05 или 06, X3 = 1 или 3, X6 = 01 или 02 или 03 или 04 или 05 или 09 или 99, ;

42. Сумма вложений в разделах 4, гр. 11; 5, гр. 12; 6, гр. 11; 10, гр. 8; 11, гр. 8; 12, гр. 5; 13, гр. 5; 14, гр. 6; 15, гр. (6 + 8); первый, второй разряды кода которых (гр. 3 раздела 12, 13; гр. 4 разделов 14, 15; гр. 6 разделов 10, 11; гр. 7 разделов 4, 6; гр. 10 раздела 5) X1 = 05 или 06, X2 = 4 или 5 или 6 или 7 или 8 или 9 .

Если первый разряд кода всех видов активов, представляющих собственные средства страховой организации, (X1) = 07 или 08, то применяются контрольные соотношения 43 - 46:

43. Сумма займов, предоставленных дочерним и зависимым обществам в разделе 17, гр. 6, первый, четвертый разряды кода займа которых (гр. 4 раздела 17) X1 = 07 или 08, X4 = 1 или 2, ;

44. Сумма займов, предоставленных другим организациям в разделе 17, гр. 6, первый, четвертый разряды кода займа которых (гр. 4 раздела 17) X1 = 07 или 08, X4 = 3, ;

45. Сумма вложений в объекты интеллектуальной собственности в разделе 13, гр. 5, первый, четвертый разряды кода объектов интеллектуальной собственности и иных активов, кроме активов, отраженных по строкам 020 - 188 раздела 1, которых (гр. 3 раздела 13) X1 = 07 или 08, X4 = 06, ;

46. Для займов привлеченных в разделе 1, стр. 019, гр. 4, .

Если первый разряд кода всех видов активов, представляющих собственные средства страховой организации, (X1) = 09 или 10, то применяются структурные соотношения 47 - 65:

47. Сумма вложений в ценные бумаги в разделе 3, гр. 11, первый, второй, третий, пятый разряды кода ценной бумаги которых (гр. 7 раздела 3) X1 = 09 или 10, X2 = 1 или 2 или 3, X3 = 1, X5 = 2 или 3, ;

48. Сумма вложений в ценные бумаги одного субъекта Российской Федерации в разделе 3, гр. 11, первый, второй, третий, пятый разряды кода ценной бумаги которых (гр. 7 раздела 3) X1 = 09 или 10, X2 = 1 или 2 или 3, X3 = 1, X5 = 2 и которые имеют одинаковый ИНН эмитента (гр. 2 раздела 3), ;

49. Сумма вложений в муниципальные ценные бумаги одного органа местного самоуправления в разделе 3, гр. 11, первый, второй, третий, пятый разряды кода ценной бумаги которых (гр. 7 раздела 3) X1 = 09 или 10, X2 = 1 или 2 или 3, X3 = 1, X5 = 3 и которые имеют одинаковый ИНН эмитента (гр. 2 раздела 3), ;

50. Сумма вложений в векселя банков и банковские вклады (депозиты), в том числе удостоверенные депозитными сертификатами, в банках, имеющих рейтинг, в разделе 5, гр. 12, первый, пятый, одиннадцатый разряды кода ценной бумаги которых (гр. 10 раздела 5) X1 = 09 или 10, X5 = 4, X11 = 02 или 03 или 04 или 07 или 08 или 10 и в разделе 11, гр. 8, первый, третий, десятый разряды кода банковского вклада которых (гр. 6 раздела 11) X1 = 09 или 10, X3 = 1, ;

51. Сумма вложений в векселя банков и банковские вклады (депозиты), в том числе удостоверенные депозитными сертификатами, в банках, не имеющих рейтинг, соответственно в разделе 5, гр. 12, первый, пятый, одиннадцатый разряды кода ценной бумаги которых (гр. 10 раздела 5) X1 = 09 или 10, X5 = 4, X11 = 11; X1 = 09 или 10, X5 = 4, X11 = 02 или 03 или 04 или 07 или 08 или 10; и в разделе 11, гр. 8, первый, третий разряды кода банковского вклада которых (гр. 6 раздела 11) X1 = 09 или 10, X3 = 2; X1 = 09 или 10, X3 = 1, ;

52. Сумма вложений в векселя банков и банковские вклады (депозиты), в том числе удостоверенные депозитными сертификатами, в банках соответственно в разделе 5, гр. 12, первый, пятый разряды кода ценной бумаги которых (гр. 10 раздела 5) X1 = 09 или 10, X5 = 4; и в разделе 11, гр. 8, первый разряд кода банковского вклада которых (гр. 6 раздела 11) X1 = 09 или 10, ;

53. Сумма вложений в векселя банков и банковские вклады (депозиты), в том числе удостоверенные депозитными сертификатами, в одном банке, который идентифицируется одинаковым ИНН или кодом нерезидента (гр. 2 разделов 5, 11), и соответственно в разделе 5, гр. 12, первый, пятый, одиннадцатый разряды кода ценной бумаги которых (гр. 10 раздела 5) X1 = 09 или 10, X5 = 4, X11 = 02 или 03 или 04 или 07 или 08 или 10, в разделе 11, гр. 8, первый, третий разряды кода банковского вклада которых (гр. 6 раздела 11) X1 = 09 или 10, X3 = 1, ;

54. Сумма вложений в акции в разделе 6, гр. 11, первый разряд кода ценной бумаги которых (гр. 7 раздела 6) X1 = 09 или 10, ;

55. Сумма вложений в облигации в разделе 4, гр. 11, первый, второй, третий, пятый, десятый разряды кода ценной бумаги которых (гр. 7 раздела 4) X1 = 09 или 10, X2 = 1 или 2 или 3, X3 = 1, X5 = 4 или 7 или 8, X10 = 2; X1 = 09 или 10, X2 = 4 или 5 или 6 или 7 или 8 или 9, X3 = 1, X5 = 1 или 2 или 3 или 4 или 7 или 8, X10 = 2, ;

56. Сумма вложений в векселя организаций, за исключением векселей банков, в разделе 5, гр. 12, первый, второй, третий, пятый разряды кода ценной бумаги которых (гр. 10 раздела 5) X1 = 09 или 10, X2 = 1 или 2 или 3, X3 = 4, X5 = 7 или 8; X1 = 09 или 10, X2 = 4 или 5 или 6, X3 = 4, X5 = 7 или 8, ;

57. Сумма вложений в инвестиционные паи паевых инвестиционных фондов и долевое участие в общих фондах банковского управления соответственно в разделе 8, гр. 9, первый разряд кода ценной бумаги которых (гр. 5 раздела 8) X1 = 09 или 10, в разделе 9, гр. 8, первый разряд кода сертификата долевого участия которых (гр. 6 раздела 9) X1 = 09 или 10, ;

58. Сумма вложений в долевое участие в общих фондах банковского управления одного доверительного управляющего, который идентифицируется одинаковым ИНН (гр. 2 раздела 9), в разделе 9, гр. 8, первый разряд кода сертификата долевого участия которых (гр. 6 раздела 9) X1 = 09 или 10, ;

59. Сумма вложений в ценные бумаги, эмитенты которых имеют одинаковый ИНН, код нерезидента (гр. 2 разделов 4, 6) в разделе 4, гр. 11, первый разряд кода ценной бумаги которых (гр. 7 раздела 4) X1 = 09 или 10, в разделе 6, гр. 11, первый разряд кода ценной бумаги которых (гр. 7 раздела 6) X1 = 09 или 10, ;

60. Сумма вложений в недвижимое имущество в разделе 10, гр. 8, первый разряд кода недвижимого имущества которых (гр. 6 раздела 10) X1 = 09 или 10, ;

61. Сумма вложений в один объект недвижимого имущества в разделе 10, гр. 8, который идентифицируется кадастровым (условным) номером объекта недвижимости, кодом одного объекта недвижимости (гр. 3 раздела 10), первый разряд кода недвижимого имущества которых (гр. 6 раздела 10) X1 = 09 или 10, ;

62. Сумма вложений в слитки золота, серебра, платины и палладия, а также памятные монеты Российской Федерации из драгоценных металлов в разделе 16, гр. 6, первый разряд кода слитков, памятных монет Российской Федерации из драгоценных металлов которых (гр. 4 раздела 16) X1 = 09 или 10, ;

63. Суммарная величина стоимости ипотечных ценных бумаг, за исключением суммарной величины стоимости облигаций и жилищных облигаций с ипотечным покрытием, по которым для обеспечения обязательств предоставлена государственная гарантия Российской Федерации, в разделе 4, гр. 11, первый, третий, десятый разряды кода ценной бумаги которых (гр. 7 раздела 4) X1 = 09 или 10, X3 = 6 или 7, X10 = 2, в разделе 7, гр. 8, первый, третий разряды кода ценной бумаги которых (гр. 4 раздела 7) X1 = 09 или 10, X3 = 8, ;

64. Суммарная величина стоимости активов, необходимых для осуществления финансово-хозяйственной деятельности, за исключением недвижимого имущества, а также непросроченной дебиторской задолженности организаций и физических лиц в разделе 12, гр. 5, первый разряд кода активов, необходимых для осуществления финансово-хозяйственной деятельности, за исключением недвижимого имущества которых (гр. 3 раздела 12) X1 = 09 или 10 и в разделе 14, гр. 6, первый, третий, шестой разряды кода дебиторской задолженности которых (гр. 4 раздела 14) X1 = 09 или 10, X3 = 1 или 3, X6 = 01 или 02 или 03 или 04 или 05 или 09 или 99, ;

65. Сумма вложений в разделах 4, гр. 11; 5, гр. 12; 6, гр. 11; 10, гр. 8; 11, гр. 8; 12, гр. 5; 13, гр. 5; 14, гр. 6; 15, гр. (6 + 8), первый, второй разряды кода которых (гр. 3 разделов 12, 13; гр. 4 разделов 14, 15; гр. 6 разделов 10, 11; гр. 7 разделов 4, 6; гр. 10 раздела 5) X1 = 09 или 10, X2 = 4 или 5 или 6 или 7 или 8 или 9, .

Если первый разряд кода всех видов активов, представляющих собственные средства страховой организации, (X1) = 11 или 12, то применяются структурные соотношения 66 - 84:

66. Сумма вложений в ценные бумаги в разделе 3, гр. 11, первый, второй, третий, пятый разряды кода ценной бумаги которых (гр. 7 раздела 3) X1 = 11 или 12, X2 = 1 или 2 или 3, X3 = 1, X5 = 2 или 3, ;

67. Сумма вложений в ценные бумаги одного субъекта Российской Федерации в разделе 3, гр. 11, первый, второй, третий, пятый разряды кода ценной бумаги которых (гр. 7 раздела 3) X1 = 11 или 12, X2 = 1 или 2 или 3, X3 = 1, X5 = 2 и которые имеют одинаковый ИНН эмитента (гр. 2 раздела 3), ;

68. Сумма вложений в муниципальные ценные бумаги одного органа местного самоуправления в разделе 3, гр. 11, первый, второй, третий, пятый разряды кода ценной бумаги которых (гр. 7 раздела 3) X1 = 11 или 12, X2 = 1 или 2 или 3, X3 = 1, X5 = 3 и которые имеют одинаковый ИНН эмитента (гр. 2 раздела 3), ;

69. Сумма вложений в векселя банков и банковские вклады (депозиты), в том числе удостоверенные депозитными сертификатами, в банках, имеющих рейтинг, соответственно в разделе 5, гр. 12, первый, пятый, одиннадцатый разряды кода ценной бумаги которых (гр. 10 раздела 5) X1 = 11 или 12, X5 = 4, X11 = 02 или 03 или 04 или 07 или 08 или 10, и в разделе 11, гр. 8, первый, третий, разряды кода банковского вклада которых (гр. 6 раздела 11) X1 = 11 или 12, X3 = 1, ;

70. Сумма вложений в векселя банков и банковские вклады (депозиты), в том числе удостоверенные депозитными сертификатами, в банках, не имеющих рейтинг, соответственно в разделе 5, гр. 12, первый, пятый, одиннадцатый разряды кода ценной бумаги которых (гр. 10 раздела 5) X1 = 11 или 12, X5 = 4, X11 = 11; X1 = 11 или 12, X5 = 4, X11 = 02 или 03 или 04 или 07 или 08 или 10; и в разделе 11, гр. 8, первый, третий разряды кода банковского вклада которых (гр. 6 раздела 11) X1 = 11 или 12, X3 = 2; X1 = 11 или 12, X3 = 1, ;

71. Сумма вложений в векселя банков и банковские вклады (депозиты), в том числе удостоверенные депозитными сертификатами, в банках соответственно в разделе 5, гр. 12, первый, пятый разряды кода ценной бумаги которых (гр. 10 раздела 5) X1 = 11 или 12, X5 = 4; и в разделе 11, гр. 8, первый разряд кода банковского вклада которых (гр. 6 раздела 11) X1 = 11 или 12, ;

72. Сумма вложений в векселя банков и банковские вклады (депозиты), в том числе удостоверенные депозитными сертификатами, в одном банке, который идентифицируется одинаковым ИНН или кодом нерезидента (гр. 2 разделов 5, 11), и соответственно в разделе 5, гр. 12, первый, пятый, одиннадцатый, пятнадцатый разряды кода ценной бумаги которых (гр. 10 раздела 5) X1 = 11 или 12, X5 = 4, X11 = 02 или 03 или 04 или 07 или 08 или 10; и в разделе 11, гр. 8, первый, третий разряды кода банковского вклада которых (гр. 6 раздела 11) X1 = 11 или 12, X3 = 1, ;

73. Сумма вложений в акции в разделе 6, гр. 11, первый разряд кода ценной бумаги которых (гр. 7 раздела 6) X1 = 11 или 12, ;

74. Сумма вложений в облигации в разделе 4, гр. 11, первый, второй, третий, пятый, десятый разряды кода ценной бумаги которых (гр. 7 раздела 4) X1 = 11 или 12, X2 = 1 или 2 или 3, X3 = 1, X5 = 4 или 7 или 8, X10 = 2; X1 = 11 или 12, X2 = 4 или 5 или 6 или 7 или 8 или 9, X3 = 1, X5 = 1 или 2 или 3 или 4 или 7 или 8, X10 = 2, ;

75. Сумма вложений в векселя организаций, за исключением векселей банков, в разделе 5, гр. 12, первый, второй, третий, пятый, разряды кода ценной бумаги которых (гр. 10 раздела 5) X1 = 11 или 12, X2 = 1 или 2 или 3, X3 = 4, X5 = 7 или 8; X1 = 11 или 12, X2 = 4 или 5 или 6, X3 = 4, X5 = 7 или 8, ;

76. Сумма вложений в инвестиционные паи паевых инвестиционных фондов и долевое участие в общих фондах банковского управления соответственно в разделе 8, гр. 9, первый разряд кода ценной бумаги которых (гр. 5 раздела 8) X1 = 11 или 12, в разделе 9, гр. 8, первый разряд кода сертификата долевого участия которых (гр. 6 раздела 9) X1 = 11 или 12, ;

77. Сумма вложений в долевое участие в общих фондах банковского управления одного доверительного управляющего, который идентифицируется одинаковым ИНН (гр. 2 раздела 9), в разделе 9, гр. 8, первый разряд кода сертификата долевого участия которых (гр. 6 раздела 9) X1 = 11 или 12, ;

78. Сумма вложений в ценные бумаги, эмитенты которых имеют одинаковый ИНН, код нерезидента (гр. 2 разделов 4, 6) в разделе 4, гр. 11, первый разряд кода ценной бумаги которых (гр. 7 раздела 4) X1 = 11 или 12, в разделе 6, гр. 11, первый разряд кода ценной бумаги которых (гр. 7 раздела 6) X1 = 11 или 12, ;

79. Сумма вложений в недвижимое имущество в разделе 10, гр. 8, первый разряд кода недвижимого имущества которых (гр. 6 раздела 10) X1 = 11 или 12, ;

80. Сумма вложений в один объект недвижимого имущества в разделе 10, гр. 8, который идентифицируется кадастровым (условным) номером объекта недвижимости, кодом одного объекта недвижимости (гр. 3 раздела 10), первый разряд кода недвижимого имущества которых (гр. 6 раздела 10) X1 = 11 или 12, ;

81. Сумма вложений в слитки золота, серебра, платины и палладия, а также памятные монеты Российской Федерации из драгоценных металлов в разделе 16, гр. 6, первый разряд кода слитков, памятных монет Российской Федерации из драгоценных металлов которых (гр. 4 раздела 16) X1 = 11 или 12, ;

82. Суммарная величина стоимости ипотечных ценных бумаг, за исключением суммарной величины стоимости облигаций и жилищных облигаций с ипотечным покрытием, по которым для обеспечения обязательств предоставлена государственная гарантия Российской Федерации, в разделе 4, гр. 11, первый, третий, десятый разряды кода ценной бумаги которых (гр. 7 раздела 4) X1 = 11 или 12, X3 = 6 или 7, X10 = 2, в разделе 7, гр. 8, первый, третий разряды кода ценной бумаги которых (гр. 4 раздела 7) X1 = 11 или 12, X3 = 8, ;

83. Суммарная величина стоимости активов, необходимых для осуществления финансово-хозяйственной деятельности, за исключением недвижимого имущества, а также непросроченной дебиторской задолженности организаций и физических лиц в разделе 12, гр. 5, первый разряд кода активов, необходимых для осуществления финансово-хозяйственной деятельности, за исключением недвижимого имущества которых (гр. 3 раздела 12) X1 = 11 или 12 и в разделе 14, гр. 6, первый, третий, шестой разряды кода дебиторской задолженности которых (гр. 4 раздела 14) X1 = 11 или 12, X3 = 1 или 3, X6 = 01 или 02 или 03 или 04 или 05 или 09 или 99, ;

84. Сумма вложений в разделах 4, гр. 11; 5, гр. 12; 6, гр. 11; 10, гр. 8; 11, гр. 8; 12, гр. 5; 13, гр. 5; 14, гр. 6; 15, гр. (6 + 8), первый, второй разряды кода которых (гр. 3 разделов 12, 13; гр. 4 разделов 14, 15; гр. 6 разделов 10, 11; гр. 7 разделов 4, 6; гр. 10 раздела 5) X1 = 11 или 12, X2 = 4 или 5 или 6 или 7 или 8 или 9, ;

Если стр. 014, гр. 3, 4 0, то применяются контрольные соотношения 85, 86:

85. Если стр. 014, гр. 4 > 0, то для суммы активов, которые служат предметом залога или источником оплаты кредитору денежных сумм по обязательствам гаранта (поручителя) в разделах 2, гр. 7; 3, гр. 11; 4, гр. 11; 5, гр. 12; 6, гр. 11; 7, гр. 8; 8, гр. 9; 9, гр. 8; 10, гр. 8; 11, гр. 8; 12, гр. 5; 13, гр. 5; 14, гр. 6; 15, гр. (6 + 8); 16, гр. 6; 17, гр. 6, второй разряд кода активов которых X2 = 1 или 2 или 4 или 5 или 7 или 8, .

86. В разделе 1 стр. 190, гр. (3 + 4), (5 + 6) = стр. 014, гр. 3, 4.

Если в файле описания страховой организации поле "Обязательное медицинское страхование" = 1 и поле "Страхование иное, чем страхование жизни" = 0, то применяются структурные соотношения 1 - 23, 47 - 86.

Соотношения активов, принимаемых для покрытия собственных средств без ограничения на суммарную стоимость

Если первый разряд кода всех видов активов, представляющих собственные средства страховой организации, (X1) = 01 или 02, то применяются структурные соотношения 1 - 6:

1. Сумма вложений в ценные бумаги в разделе 2, гр. 7, первый, второй, пятый разряды кода ценной бумаги которых (гр. 3 раздела 2) X1 = 01 или 02, X2 = 1 или 2 или 3, X5 = 1, ;

2. Суммарная величина стоимости облигаций, по которым для обеспечения обязательств предоставлена государственная гарантия Российской Федерацией, в разделе 4, гр. 11, первый, второй, третий, пятый, десятый разряды кода ценной бумаги которых (раздел 4, гр. 7) X1 = 01 или 02, X2 = 1 или 2 или 3, X3 = 1, X5 = 4 или 7, X10 = 1, ;

3. Сумма денежных средств в разделе 15, гр. (6 + 8), первый разряд кода денежных средств которых (гр. 4 раздела 15) X1 = 01 или 02, ;

4. Суммарная величина стоимости дебиторской задолженности по причитающемуся к получению (начисленному) процентному (купонному) доходу по активам, указанным в подпунктах 1, 2, 3, 5, 6, 8 и 15 пункта 7 Требований, в разделе 14, гр. 6, первый, третий, шестой разряды кода дебиторской задолженности которых (гр. 4 раздела 14) X1 = 01 или 02, X3 = 1, X6 = 06 или 07 или 08, ;

5. Суммарная величина стоимости дебиторской задолженности по налогам и сборам (включая авансовые платежи и переплату по ним), уменьшенной на сумму кредиторской задолженности по налогам и сборам в разделе 14, гр. 6, первый, третий разряды кода дебиторской задолженности которых (гр. 4 раздела 14) X1 = 01 или 02, X3 = 5, ;

6. В разделе 1 стр. 104, гр. 5 .

Если первый разряд кода всех видов активов, представляющих собственные средства страховой организации, (X1) = 03 или 04, то применяются структурные соотношения 7 - 12:

7. Сумма вложений в ценные бумаги в разделе 2, гр. 7, первый, второй, пятый разряды кода ценной бумаги которых (гр. 3 раздела 2) X1 = 03 или 04, X2 = 1 или 2 или 3, X5 = 1, ;

8. Суммарная величина стоимости облигаций, по которым для обеспечения обязательств предоставлена государственная гарантия Российской Федерацией, в разделе 4, гр. 11, первый, второй, третий, пятый, десятый разряды кода ценной бумаги которых (гр. 7 раздела 4) X1 = 03 или 04, X2 = 1 или 2 или 3, X3 = 1, X5 = 4 или 7, X10 = 1, ;

9. Сумма денежных средств в разделе 15, гр. (6 + 8), первый разряд кода денежных средств которых (гр. 4 раздела 15) X1 = 03 или 04, ;

10. Суммарная величина стоимости дебиторской задолженности по причитающемуся к получению (начисленному) процентному (купонному) доходу по активам, указанным в подпунктах 1, 2, 3, 5, 6, 8 и 15 пункта 7 Требований, в разделе 14, гр. 6, первый, третий, шестой разряды кода дебиторской задолженности которых (гр. 4 раздела 14) X1 = 03 или 04, X3 = 1 или 2, X6 = 06 или 07 или 08, ;

11. Суммарная величина стоимости дебиторской задолженности по налогам и сборам (включая авансовые платежи и переплату по ним), уменьшенной на сумму кредиторской задолженности по налогам и сборам, в разделе 14, гр. 6, первый, третий разряды кода дебиторской задолженности которых (гр. 4 раздела 14) X1 = 03 или 04, X3 = 5, ;

12. В разделе 1 стр. 104, гр. 6 .

Если первый разряд кода всех видов активов, представляющих собственные средства страховой организации, (X1) = 05 или 06, то применяются структурные соотношения 13 - 18:

13. Сумма вложений в ценные бумаги в разделе 2, гр. 7, первый, второй, пятый разряды кода ценной бумаги которых (гр. 3 раздела 2) X1 = 05 или 06, X2 = 1 или 2 или 3, X5 = 1, ;

14. Суммарная величина стоимости облигаций, по которым для обеспечения обязательств предоставлена государственная гарантия Российской Федерацией, в разделе 4, гр. 11, первый, второй, третий, пятый, десятый разряды кода ценной бумаги которых (гр. 7 раздела 4) X1 = 05 или 06, X2 = 1 или 2 или 3, X3 = 1, X5 = 4 или 7, X10 = 1, ;

15. Сумма денежных средств в разделе 15, гр. (6 + 8), первый разряд кода денежных средств которых (гр. 4 раздела 15) X1 = 05 или 06, ;

16. Суммарная величина стоимости дебиторской задолженности по причитающемуся к получению (начисленному) процентному (купонному) доходу по активам, указанным в подпунктах 1, 2, 3, 5, 6, 8 и 15 пункта 7 Требований, в разделе 14, гр. 6, первый, третий, шестой разряды кода дебиторской задолженности которых (гр. 4 раздела 14) X1 = 05 или 06, X3 = 1, X6 = 06 или 07 или 08, ;

17. Суммарная величина стоимости дебиторской задолженности по налогам и сборам (включая авансовые платежи и переплату по ним), уменьшенной на сумму кредиторской задолженности по налогам и сборам, в разделе 14, гр. 6, первый, третий разряды кода дебиторской задолженности которых (гр. 4 раздела 14) X1 = 05 или 06, X3 = 5, ;

18. В разделе 1 стр. 104, гр. 5 .

Если первый разряд кода всех видов активов, представляющих собственные средства страховой организации, (X1) = 07 или 08, то применяются структурные соотношения 19 - 24:

19. Сумма вложений в ценные бумаги в разделе 2, гр. 7, первый, второй, пятый разряды кода ценной бумаги которых (гр. 3 раздела 2) X1 = 07 или 08, X2 = 1 или 2 или 3, X5 = 1, ;

20. Суммарная величина стоимости облигаций, по которым для обеспечения обязательств предоставлена государственная гарантия Российской Федерацией, в разделе 4, гр. 11, первый, второй, третий, пятый, десятый разряды кода ценной бумаги которых (гр. 7 раздела 4) X1 = 07 или 08, X2 = 1 или 2 или 3, X3 = 1, X5 = 4 или 7, X10 = 1 ;

21. Сумма денежных средств в разделе 15, гр. (6 + 8), первый разряд кода денежных средств которых (гр. 4 раздела 15) X1 = 07 или 08, ;

22. Суммарная величина стоимости дебиторской задолженности по причитающемуся к получению (начисленному) процентному (купонному) доходу по активам, указанным в подпунктах 1, 2, 3, 5, 6, 8 и 15 пункта 7 Требований, в разделе 14, гр. 6, первый, третий, шестой разряды кода дебиторской задолженности которых (гр. 4 раздела 14) X1 = 07 или 08, X3 = 1 или 2, X6 = 06 или 07 или 08, ;

23. Суммарная величина стоимости дебиторской задолженности по налогам и сборам (включая авансовые платежи и переплату по ним), уменьшенной на сумму кредиторской задолженности по налогам и сборам, в разделе 14, гр. 6, первый, третий разряды кода дебиторской задолженности которых (гр. 4 раздела 14) X1 = 07 или 08, X3 = 5, ;

24. В разделе 1 стр. 104, гр. 6 .

Если первый разряд кода всех видов активов, представляющих собственные средства страховой организации, (X1) = 09 или 10, то применяются структурные соотношения 25 - 30:

25. Сумма вложений в ценные бумаги в разделе 2, гр. 7, первый, второй, пятый разряды кода ценной бумаги которых (гр. 3 раздела 2) X1 = 09 или 10, X2 = 1 или 2 или 3, X5 = 1, ;

26. Суммарная величина стоимости облигаций, по которым для обеспечения обязательств предоставлена государственная гарантия Российской Федерацией, в разделе 4, гр. 11, первый, второй, третий, пятый, десятый разряды кода ценной бумаги которых (гр. 7 раздела 4) X1 = 09 или 10, X2 = 1 или 2 или 3, X3 = 1, X5 = 4 или 7, X10 = 1, ;

27. Сумма денежных средств в разделе 15, гр. (6 + 8), первый разряд кода денежных средств которых (гр. 4 раздела 15) X1 = 09 или 10, ;

28. Суммарная величина стоимости дебиторской задолженности по причитающемуся к получению (начисленному) процентному (купонному) доходу по активам, указанным в подпунктах 1, 2, 3, 5, 6, 8 и 15 пункта 7 Требований, в разделе 14, гр. 6, первый, третий, шестой разряды кода дебиторской задолженности которых (гр. 4 раздела 14) X1 = 09 или 10, X3 = 1, X6 = 06 или 07 или 08, ;

29. Суммарная величина стоимости дебиторской задолженности по налогам и сборам (включая авансовые платежи и переплату по ним), уменьшенной на сумму кредиторской задолженности по налогам и сборам, в разделе 14, гр. 6, первый, третий разряды кода дебиторской задолженности которых (гр. 4 раздела 14) X1 = 09 или 10, X3 = 5, ;

30. В разделе 1 стр. 104, гр. 5 .

Если первый разряд кода всех видов активов, представляющих собственные средства страховой организации, (X1) = 11 или 12, то применяются структурные соотношения 31 - 36:

31. Сумма вложений в ценные бумаги в разделе 2, гр. 7, первый, второй, пятый разряды кода ценной бумаги которых (гр. 3 раздела 2) X1 = 11 или 12, X2 = 1 или 2 или 3, X5 = 1, ;

32. Суммарная величина стоимости облигаций, по которым для обеспечения обязательств предоставлена государственная гарантия Российской Федерацией, в разделе 4, гр. 11, первый, второй, третий, пятый, десятый разряды кода ценной бумаги которых (гр. 7 раздела 4) X1 = 11 или 12, X2 = 1 или 2 или 3, X3 = 1, X5 = 4 или 7, X10 = 1, ;

33. Сумма денежных средств в разделе 15, гр. (6 + 8), первый разряд кода денежных средств которых (гр. 4 раздела 15) X1 = 11 или 12, ;

34. Суммарная величина стоимости дебиторской задолженности по причитающемуся к получению (начисленному) процентному (купонному) доходу по активам, указанным в подпунктах 1, 2, 3, 5, 6, 8 и 15 пункта 7 Требований, в разделе 14, гр. 6, первый, третий, шестой разряды кода дебиторской задолженности которых (гр. 4 раздела 14) X1 = 11 или 12, X3 = 1, X6 = 06 или 07 или 08, ;

35. Суммарная величина стоимости дебиторской задолженности по налогам и сборам (включая авансовые платежи и переплату по ним), уменьшенной на сумму кредиторской задолженности по налогам и сборам, в разделе 14, гр. 6, первый, третий разряды кода дебиторской задолженности которых (гр. 4 раздела 14) X1 = 11 или 12, X3 = 5, ;

36. В разделе 1 стр. 104, гр. 5 .

Если в файле описания страховой организации поле "Обязательное медицинское страхование" = 1 и поле "Страхование иное, чем страхование жизни" = 0, то применяются структурные соотношения 1 - 12, 25 - 36.

19. Отчет о размещении средств страховых резервов (форма N 7-страховщик) и Отчет о составе активов, принимаемых для покрытия собственных средств (форма N 14-страховщик)

Взаимоувязка показателей Бухгалтерского баланса страховой организации (форма N 1-страховщик) с показателями Отчета о размещении средств страховых резервов (форма N 7-страховщик) и Отчета о составе активов, принимаемых для покрытия собственных средств (форма N 14-страховщик)

1. Стр. 110, гр. 3, 4 суммы показателей в форме N 14-страховщик, раздел 13, гр. 4, 5, третий, четвертый разряды кода объектов интеллектуальной собственности и иных активов, кроме отраженных по строкам 020 - 188 раздела 1, которых (гр. 3 раздела 13) X3 = 3, X4 = 05 или 06 или 07.

2. Стр. 121, гр. 3, 4 суммы показателей в форме N 7-страховщик, подраздел 10.1, все подразделы 10.2, гр. 7, 8, третий, четвертый разряды кода недвижимости которых (гр. 6 подразделов 10.1, 10.2) X3 = 1, X4 = 010; в форме N 14-страховщик раздел 10, гр. 7, 8, третий, четвертый разряды кода недвижимости которых (гр. 6 раздела 10) X3 = 1, X4 = 010.

3. Стр. 122, гр. 3, 4 суммы показателей в форме N 7-страховщик, подраздел 10.1, все подразделы 10.2, гр. 7, 8, третий, четвертый разряды кода недвижимости которых (гр. 6 подразделов 10.1, 10.2) X3 = 1, X4 = 030 или 031 или 035 или 036 или 037 или 040 или 041 или 050 или 051; в форме N 14-страховщик, раздел 10, гр. 7, 8, третий, четвертый разряды кода недвижимости которых (гр. 6 раздела 10) X3 = 1, X4 = 030 или 031 или 035 или 036 или 037 или 040 или 041 или 050 или 051.

4. Стр. 131, гр. 3, 4 суммы показателей в форме N 7-страховщик, подраздел 6.1, 6.2, гр. 9, 11, четвертый разряд кода кода ценной бумаги которых (гр. 7 подразделов 6.1, 6.2) X4 = 1 или 2; в форме N 14-страховщик, раздел 6, гр. 9, 11, четвертый разряд кода ценной бумаги которых (гр. 7 раздела 6) X4 = 1 или 2.

5. Стр. 132, гр. 3, 4 суммы показателей в форме N 7-страховщик, подраздел 4.1, все подразделы 4.2, гр. 9, 11, раздел 5, гр. 11, 12, четвертый разряд кода ценной бумаги которых (гр. 7 подразделов 4.1, 4.2, гр. 10 раздела 5) X4 = 1 или 2; в форме N 14-страховщик, раздел 4, гр. 9, 11, раздел 5, гр. 11, 12, раздел 17, гр. 5, 6, четвертый разряд кода ценной бумаги которых (гр. 7 раздела 4, гр. 10 раздела 5, гр. 4 раздела 17) X4 = 1 или 2.

6. Стр. 133, гр. 3, 4 суммы показателей в форме N 14-страховщик, раздел 13, гр. 4, 5, третий, четвертый разряды кода объектов интеллектуальной собственности и иных активов, кроме отраженных по строкам 020 - 188 раздела 1, которых (гр. 3 раздела 13) X3 = 6, X4 = 01 или 02.

7. Стр. 134, гр. 3, 4 суммы показателей в форме N 7-страховщик, подраздел 6.1, всех подразделов 6.2, гр. 9, 11, четвертый разряд кода ценной бумаги которых (гр. 7 подразделов 6.1, 6.2) X4 = 3; в форме N 14-страховщик, раздел 6, гр. 9, 11, четвертый разряд кода ценной бумаги которых (гр. 7 раздела 6) X4 = 3.

8. Стр. 135, гр. 3, 4 суммы показателей в форме N 7-страховщик, подраздел 4.1, всех подразделов 4.2, гр. 9, 11, раздел 5, гр. 11, 12, четвертый разряд кода ценной бумаги которых (гр. 7 подразделов 4.1, 4.2, гр. 10 раздела 5) X4 = 3; в форме N 14-страховщик, раздел 4, гр. 9, 11, раздел 5, гр. 11, 12, раздел 17 гр. 5, 6, четвертый разряд кода ценной бумаги которых (гр. 7 раздела 4, гр. 10 раздела 5, гр. 4 раздела 17) X4 = 3.

9. Стр. 136, гр. 3, 4 суммы показателей в форме N 14-страховщик, раздел 13, гр. 4, 5, третий, четвертый разряды кода объектов интеллектуальной собственности и иных активов, кроме отраженных по строкам 020 - 188 раздела 1, которых (гр. 3 раздела 13) X3 = 6, X4 = 03.

10. Стр. 141, гр. 3, 4 суммы показателей в форме N 7-страховщик, подраздел 2.1, всех подразделов 2.2, стр. "Итого", гр. 5, 7; подраздел 3.1, всех подразделов 3.2, стр. "Итого", гр. 9, 11; в форме N 14-страховщик, раздел 2, стр. "Итого", гр. 5, 7, раздел 3, стр. "Итого", гр. 9, 11.

11. Стр. 142, гр. 3, 4 суммы показателей в форме N 7-страховщик и в форме N 14-страховщик, раздел 11, гр. 7, 8, пятый разряд кода банковского вклада которых (гр. 6 раздела 11) X5 = 1 или 2.

12. Стр. 145, гр. 3, 4 суммы показателей в форме N 7-страховщик раздел 7, стр. "Итого" гр. 6, 8, раздел 8, стр. "Итого", гр. 7, 9, раздел 9, стр. "Итого", гр. 7, 8, раздел 17, гр. 5, 6, подраздел 10.1, всех подразделов 10.2, гр. 7, 8, третий, четвертый разряды кода недвижимости которых (гр. 6 подразделов 10.1, 10.2) X3 = 1, X4 = 020 или 100; в форме N 14-страховщик, раздел 7, стр. "Итого", гр. 6, 8, раздел 8, стр. "Итого", гр. 7, 9, раздел 9, стр. "Итого", гр. 7, 8 раздела 10, гр. 7, 8, третий, четвертый разряды кода недвижимости которых (гр. 6 раздела 10) X3 = 1, X4 = 020 или 100 или 110 или 120 или 130 или 140.

13. Стр. 190, гр. 3, 4 сумма показателей в форме N 14-страховщик, раздел 14, гр. 5, 6, пятый разряд кода дебиторской задолженности которых (гр. 4 раздела 14) X5 = 6.

14. Стр. 200, гр. 3, 4 сумма показателей в форме N 14-страховщик, раздел 14, гр. 5, 6, пятый разряд кода дебиторской задолженности которых (гр. 4 раздела 14) X5 = 1 или 2 или 3 или 4 или 5.

15. Стр. 210, гр. 3, 4 суммы показателей в форме N 7-страховщик, подраздел 10.1, всех подразделов 10.2, гр. 7, 8, третий, четвертый разряды кода недвижимости которых (гр. 6 подразделов 10.1, 10.2) X3 = 2, X4 = 010 или 020 или 030 или 031 или 035 или 036 или 037 или 040 или 041 или 050 или 051 или 100; в форме N 14-страховщик, раздел 10, гр. 7, 8, третий, четвертый разряды кода недвижимости которых (гр. 6 раздела 10) X3 = 2, X4 = 010 или 020 или 030 или 031 или 035 или 036 или 037 или 040 или 041 или 050 или 051 или 100 или 110 или 120 или 130 или 140, раздел 12 гр. 4, 5, третий, четвертый разряды кода актива, необходимого для осуществления финансово-хозяйственной деятельности, которых (гр. 3 раздела 12) X3 = 1, X4 = 1 или 2 или 3 или 4 или 5, раздел 13, гр. 4, 5, третий, четвертый разряды кода иных активов, кроме отраженных по строкам 020 - 188 раздела 1, которых (гр. 3 раздела 13) X3 = 1, X4 = 01 или 02 или 03.

16. Стр. 220, гр. 3, 4 суммы показателей в форме N 7-страховщик, подраздел 10.1, всех подразделов 10.2, гр. 7, 8, третий, четвертый разряды кода недвижимости которых (гр. 6 подразделов 10.1, 10.2) X3 = 1 или 2, X4 = 060; в форме N 14-страховщик, раздел 10, гр. 7, 8, третий, четвертый разряды кода недвижимости которых (гр. 6 раздела 10) X3 = 1 или 2, X4 = 060, раздел 13, гр. 4, 5, третий, четвертый разряды кода иных активов, кроме отраженных по строкам 020 - 188 раздела 1, которых (гр. 3 раздела 13) X3 = 2 или 4, X4 = 01 или 02 или 03 или 04 или 05 или 06 или 07 или 12 или 13 или 14 или 15 или 16 или 17 или 18 или 19 или 20, иначе дать разъяснение в пояснительной записке.

17. Стр. 230, гр. 3, 4 в форме N 14-страховщик, раздел 1, стр. 104, гр. (3 + 4), (5 + 6).

18. Стр. 241, гр. 3, 4 суммы показателей в форме N 14-страховщик, раздел 13, гр. 4, 5, третий, четвертый разряды кода иных активов, кроме отраженных по строкам 020 - 188 раздела 1, которых (гр. 3 раздела 13) X3 = 5, X4 = 08.

19. Стр. 242, гр. 3, 4 суммы показателей в форме N 14-страховщик, раздел 13, гр. 4, 5, третий, четвертый разряды кода иных активов, кроме отраженных по строкам 020 - 188 раздела 1, которых (гр. 3 раздела 13) X3 = 5, X4 = 09.

20. Стр. 245, гр. 3, 4 суммы показателей в форме N 14-страховщик, раздел 13, гр. 4, 5, третий, четвертый разряды кода иных активов, кроме отраженных по строкам 020 - 188 раздела 1, которых (гр. 3 раздела 13) X3 = 5, X4 = 10.

21. Стр. 250, гр. 3, 4 суммы показателей в форме N 14-страховщик, раздел 13, гр. 4, 5, третий, четвертый разряды кода иных активов, кроме отраженных по строкам 020 - 188 раздела 1, которых (гр. 3 раздела 13) X3 = 7, X4 = 11.

22. Стр. 260, гр. 3, 4 суммы показателей в формах N 7-страховщик и N 14-страховщик, раздел 15, стр. "Итого", гр. (5 + 7), (6 + 8), раздел 11, гр. 7, 8, пятый разряд кода банковского вклада которых (гр. 6 раздела 11) X5 = 3.

23. Стр. 270, гр. 3, 4 суммы показателей в форме N 7-страховщик, раздел 16, строка "Итого", гр. 5, 6; в форме N 14-страховщик, раздел 16, строка "Итого" гр. 5, 6, раздел 13, гр. 4, 5, третий, четвертый разряды кода иных активов, кроме отраженных по строкам 020 - 188 раздела 1, которых (гр. 3 раздела 13) X3 = 7, X4 = 30.

II. Порядок взаимоувязки показателей кодов активов годового Отчета о размещении средств страховых резервов (форма N 7-страховщик) и Отчета о составе активов, принимаемых для покрытия собственных средств (форма N 14-страховщик)

1. Отчет о размещении средств страховых резервов (форма N 7-страховщик)

В Отчете о размещении средств страховых резервов (форма N 7-страховщик) необходимо обеспечить соблюдение следующих контрольных соотношений кодов активов, принимаемых для покрытия страховых резервов, и иных кодов, используемых при заполнении формы N 7-страховщик.

Если в кодах активов и иных кодах, используемых при заполнении формы N 7-страховщик, одно или несколько значащих значений разрядов, состоящих из двух или более десятичных разрядов, являются резервными, т.е. проставляется 0, то количество нулей при их заполнении должно равняться значению десятичных разрядов.

Коды активов, принимаемых для покрытия страховых резервов

1. Первый (X1) и второй (X2) разряды кодов всех видов активов, принимаемых для покрытия страховых резервов

1. В разделах 2 - 16 первый разряд кодов всех видов активов (X1) = 1 или 2.

2. В разделе 17 первый разряд кода всех видов активов (X1) = 1.

3. В разделах 4, 6 второй разряд кода всех видов активов (X2) = 1 или 2 или 3.

4. В разделах 5, 10, 11, 12, 13, 14, 15, 16, 17 второй разряд кода всех видов активов (X2) = 1 или 2.

5. В разделах 2, 3, 7, 8, 9 второй разряд кода всех видов активов (X2) = 1.

6. Если в разделе 4 третий разряд кода ценной бумаги (X3) = 2, то второй разряд кода ценной бумаги (X2) = 1.

2. Код ценной бумаги

1. В разделах 2, 3 третий разряд кода ценной бумаги (X3) = 1.

2. В разделе 4 третий разряд кода ценной бумаги (X3) = 1 или 2 или 6 или 7.

3. В разделе 5 третий разряд кода ценной бумаги (X3) = 4.

4. В разделе 6 третий разряд кода ценной бумаги (X3) = 3.

5. В разделе 7 третий разряд кода ценной бумаги (X3) = 8.

6. В разделе 8 третий разряд кода ценной бумаги (X3) = 5.

7. В разделах 2, 3 четвертый разряд кода ценной бумаги (X4) = 0.

8. Если в разделе 4 пятый разряд кода ценной бумаги (X5) = 1 или 2 или 3, то четвертый разряд кода ценной бумаги (X4) = 0.

9. Если в разделе 4 пятый разряд кода ценной бумаги (X5) = 4 или 6 или 7, то четвертый разряд кода ценной бумаги (X4) = 1 или 2 или 3.

10. Если в разделах 5, 6 пятый разряд кода ценной бумаги (X5) = 4 или 7, то четвертый разряд кода ценной бумаги (X4) = 1 или 2 или 3.

11. В разделах 7, 8 четвертый разряд кода ценной бумаги (X4) = 1 или 2 или 3.

12. В разделе 2 пятый разряд кода ценной бумаги (X5) = 1.

13. В разделе 3 пятый разряд кода ценной бумаги (X5) = 2 или 3.

14. Если в разделе 4 третий разряд кода ценной бумаги (X3) = 1 и второй разряд кода ценной бумаги (X2) = 1, то пятый разряд кода ценной бумаги (X5) = 4 или 7.

15. Если в разделе 4 третий разряд кода ценной бумаги (X3) = 2 и второй разряд кода ценной бумаги (X2) = 1, то пятый разряд кода ценной бумаги (X5) = 7.

16. Если в разделе 4 третий разряд кода ценной бумаги (X3) = 6 или 7 и второй разряд кода ценной бумаги (X2) = 1, то пятый разряд кода ценной бумаги (X5) = 4 или 6.

17. Если в разделе 4 третий разряд кода ценной бумаги (X3) = 1 и второй разряд кода ценной бумаги (X2) = 2 или 3, то пятый разряд кода ценной бумаги (X5) = 1 или 2 или 3 или 4 или 7.

18. Если в разделе 4 третий разряд кода ценной бумаги (X3) = 6 и второй разряд кода ценной бумаги (X2) = 2 или 3, то пятый разряд кода ценной бумаги (X5) = 4 или 7.

19. В разделе 5 пятый разряд кода ценной бумаги (X5) = 4 или 7.

20. В разделе 6 пятый разряд кода ценной бумаги (X5) = 4 или 7.

21. В разделе 7 пятый разряд кода ценной бумаги (X5) = 2.

22. В разделах 2, 3, 4, 6, 7, 8 шестой разряд кода ценной бумаги (X6) = 1 или 2.

23. Если в графе 10 раздела 5 пятый разряд кода ценной бумаги (X5) = 4, то шестой разряд кода ценной бумаги (X6) = 1 или 2 или 3 или 4 или 5.

24. Если в графе 10 раздела 5 пятый разряд кода ценной бумаги (X5) = 7, то шестой разряд кода ценной бумаги (X6) = 1 или 2 или 3 или 4 или 5.

25. В разделах 2, 3, 5 седьмой разряд кода ценной бумаги (X7) = 1 или 2.

26. Если в разделе 4 третий разряд кода ценной бумаги (X3) = 1 или 6 или 7, то седьмой разряд кода ценной бумаги (X7) = 1 или 2.

27. Если в разделе 4 третий разряд кода ценной бумаги (X3) = 2, то седьмой разряд кода ценной бумаги (X7) = 0.

28. В разделе 7 седьмой разряд кода ценной бумаги (X7) = 0.

29. В разделе 6 седьмой разряд кода ценной бумаги (X7) = 1 или 2 или 3 или 4 или 5 или 6.

30. В разделе 8 седьмой разряд кода ценной бумаги (X7) = 1 или 2.

31. Если в разделе 4 третий разряд кода ценной бумаги (X3) = 1 и второй разряд кода ценной бумаги (X2) = 1, то восьмой разряд кода ценной бумаги (X8) = 1 или 2.

32. Если в разделе 4 третий разряд кода ценной бумаги (X3) = 1 или 6 и второй разряд кода ценной бумаги (X2) = 2 или 3, то восьмой разряд кода ценной бумаги (X8) = 0.

33. Если в разделе 4 третий разряд кода ценной бумаги (X3) = 6 или 7 и второй код ценной бумаги (X2) = 1, то восьмой разряд кода ценной бумаги (X8) = 0.

34. В разделе 6 восьмой разряд кода ценной бумаги (X8) = 1 или 2.

35. В разделах 2, 3, 7, 8 восьмой разряд кода ценной бумаги (X8) = 0.

36. В разделах 2, 3, 4, 5 девятый разряд кода ценной бумаги (X9) = 1 или 2 или 3 или 4.

37. В разделах 6, 8 девятый разряд кода ценной бумаги (X9) = 5.

38. В разделе 7 девятый разряд кода ценной бумаги (X9) = 2 или 3 или 4.

39. Если в разделе 4 третий разряд кода ценной бумаги (X3) = 1 и второй разряд кода ценной бумаги (X2) = 1, то десятый разряд кода ценной бумаги (X10) = 1 или 2.

40. Если в разделе 4 третий разряд кода ценной бумаги (X3) = 6 или 7 и второй разряд кода ценной бумаги (X2) = 1, то десятый разряд кода ценной бумаги (X10) = 2.

41. Если в разделе 4 третий разряд кода ценной бумаги (X3) = 2, то десятый разряд кода ценной бумаги (X10) = 0.

42. Если в разделе 4 третий разряд кода ценной бумаги (X3) = 1 или 6 и второй разряд кода ценной бумаги (X2) = 2 или 3, то десятый разряд кода ценной бумаги (X10) = 0.

43. В разделах 2, 3, 5, 6, 7, 8 десятый разряд кода ценной бумаги (X10) = 0.

44. Если в разделе 2 пятнадцатый разряд кода ценной бумаги (X15) = 1, то одиннадцатый разряд кода ценной бумаги (X11) = 00.

45. Если в разделе 2 пятнадцатый разряд кода ценной бумаги (X15) = 2, то одиннадцатый разряд кода ценной бумаги (X11) = 01.

46. В разделе 3 одиннадцатый разряд кода ценной бумаги (X11) = 01 или 02 или 03 или 04 или 07 или 10.

47. Если в разделе 4 второй разряд кода ценной бумаги (X2) = 1, третий разряд кода ценной бумаги (X3) = 1, пятый разряд кода ценной бумаги (X5) = 4, десятый разряд кода ценной бумаги (X10) = 2, то одиннадцатый разряд кода ценной бумаги (X11) = 01 или 02 или 03 или 04 или 07 или 08 или 10.

48. Если в разделе 4 второй разряд кода ценной бумаги (X2) = 1, третий разряд кода ценной бумаги (X3) = 1, пятый разряд кода ценной бумаги (X5) = 7, десятый разряд кода ценной бумаги (X10) = 2, то одиннадцатый разряд кода ценной бумаги (X11) = 01 или 02 или 03 или 04 или 07 или 10.

49. Если в разделе 4 второй разряд кода ценной бумаги (X2) = 1, третий разряд кода ценной бумаги (X3) = 1, пятый разряд кода ценной бумаги (X5) = 7, десятый разряд кода ценной бумаги (X10) = 1, пятнадцатый разряд кода ценной бумаги (X15) = 1, то одиннадцатый разряд кода ценной бумаги (X11) = 00.

50. Если в разделе 4 второй разряд кода ценной бумаги (X2) = 1, третий разряд кода ценной бумаги (X3) = 1, пятый разряд кода ценной бумаги (X5) = 7, десятый разряд кода ценной бумаги (X10) = 1 и пятнадцатый разряд кода ценной бумаги (X15) = 2, то одиннадцатый разряд кода ценной бумаги (X11) = 01.

51. Если в разделе 4 второй разряд кода ценной бумаги (X2) = 1, третий разряд кода ценной бумаги (X3) = 6 или 7, пятый разряд кода ценной бумаги (X5) = 4, десятый разряд кода ценной бумаги (X10) = 2, то одиннадцатый разряд кода ценной бумаги (X11) = 01 или 02 или 03 или 04 или 07 или 08 или 10.

52. Если в разделе 4 второй разряд кода ценной бумаги (X2) = 1, третий разряд кода ценной бумаги (X3) = 6 или 7, пятый разряд кода ценной бумаги (X5) = 6, десятый разряд кода ценной бумаги (X10) = 2, то одиннадцатый разряд кода ценной бумаги (X11) = 01 или 02 или 03 или 04 или 07 или 10.

53. Если в разделе 4 второй разряд кода ценной бумаги (X2) = 2, третий разряд кода ценной бумаги (X3) = 1 или 6, то одиннадцатый разряд кода ценной бумаги (X11) = 02 или 03 или 04.

54. Если в разделе 4 второй разряд кода ценной бумаги (X2) = 3, третий разряд кода ценной бумаги (X3) = 1 или 6, то одиннадцатый разряд кода ценной бумаги (X11) = 01.

55. Если в разделе 4 третий разряд кода ценной бумаги (X3) = 2, то одиннадцатый разряд кода ценной бумаги (X11) = 00.

56. Если в разделе 5 второй разряд кода ценной бумаги (X2) = 1, пятый разряд кода ценной бумаги (X5) = 4, то одиннадцатый разряд кода ценной бумаги (X11) = 02 или 03 или 04 или 07 или 08 или 10 или 11.

57. Если в разделе 5 второй разряд кода ценной бумаги (X2) = 1, пятый разряд кода ценной бумаги (X5) = 7, то одиннадцатый разряд кода ценной бумаги (X11) = 02 или 03 или 04 или 07 или 10.

58. Если в разделе 5 второй разряд кода ценной бумаги (X2) = 2, пятый разряд кода ценной бумаги (X5) = 4, то одиннадцатый разряд кода ценной бумаги (X11) = 02 или 03 или 04 или 11.

59. Если в разделе 5 второй разряд кода ценной бумаги (X2) = 2, пятый разряд кода ценной бумаги (X5) = 7, то одиннадцатый разряд кода ценной бумаги (X11) = 02 или 03 или 04.

60. Если в разделе 6 второй разряд кода ценной бумаги (X2) = 1, пятый разряд кода ценной бумаги (X5) = 4, то одиннадцатый разряд кода ценной бумаги (X11) = 01 или 02 или 03 или 04 или 07 или 08 или 10.

61. Если в разделе 6 второй разряд кода ценной бумаги (X2) = 1, пятый разряд кода ценной бумаги (X5) = 7, то одиннадцатый разряд кода ценной бумаги (X11) = 01 или 02 или 03 или 04 или 07 или 10.

62. Если в разделе 6 второй разряд кода ценной бумаги (X2) = 2, пятый разряд кода ценной бумаги (X5) = 4 или 7, то одиннадцатый разряд кода ценной бумаги (X11) = 02 или 03 или 04.

63. Если в разделе 6 второй разряд кода ценной бумаги (X2) = 3, пятый разряд кода ценной бумаги (X5) = 4 или 7, то одиннадцатый разряд кода ценной бумаги (X11) = 01.

64. Если в разделе 7 пятнадцатый разряд кода ценной бумаги (X15) = 1, то одиннадцатый разряд кода ценной бумаги (X11) = 00, двенадцатый разряд кода ценной бумаги (X12) = 000.

65. Если в разделе 7 пятнадцатый разряд кода ценной бумаги (X15) = 2, то одиннадцатый разряд кода ценной бумаги (X11) = 12, двенадцатый разряд кода ценной бумаги (X12) = 008.

66. Если в разделе 8 пятнадцатый разряд кода ценной бумаги (X15) = 1, то одиннадцатый разряд кода ценной бумаги (X11) = 00, двенадцатый разряд кода ценной бумаги (X12) = 000.

67. Если в разделе 8 пятнадцатый разряд кода ценной бумаги (X15) = 2, то одиннадцатый разряд кода ценной бумаги (X11) = 12, двенадцатый разряд кода ценной бумаги (X12) = 008.

68. Если в разделах 3, 6 пятнадцатый разряд кода ценной бумаги (X15) = 1, одиннадцатый разряд кода ценной бумаги (X11) = 01, то двенадцатый разряд кода ценной бумаги (X12) = 001.

69. Если в разделах 3, 6 пятнадцатый разряд кода ценной бумаги (X15) = 2, одиннадцатый разряд кода ценной бумаги (X11) = 01, то двенадцатый разряд кода ценной бумаги (X12) = 002 или 003 или 004 или 006 или 007.

70. Если в разделе 4 второй разряд кода ценной бумаги (X2) = 1, третий разряд кода ценной бумаги (X3) = 1, десятый разряд кода ценной бумаги (X10) = 1, одиннадцатый разряд кода ценной бумаги (X11) = 00 и пятнадцатый разряд кода ценной бумаги (X15) = 1, то двенадцатый разряд кода ценной бумаги (X12) = 000.

71. Если в разделе 4 второй разряд кода ценной бумаги (X2) = 1, третий разряд кода ценной бумаги (X3) = 1, десятый разряд кода ценной бумаги (X10) = 1, одиннадцатый разряд кода ценной бумаги (X11) = 01 и пятнадцатый разряд кода ценной бумаги (X15) = 2, то двенадцатый разряд кода ценной бумаги (X12) = 000.

72. Если в разделе 4 второй разряд кода ценной бумаги (X2) = 1, третий разряд кода ценной бумаги (X3) = 1 или 6 или 7, десятый разряд кода ценной бумаги (X10) = 2, одиннадцатый разряд кода ценной бумаги (X11) = 01 и пятнадцатый разряд кода ценной бумаги (X15) = 1, то двенадцатый разряд кода ценной бумаги (X12) = 001.

73. Если в разделе 4 второй разряд кода ценной бумаги (X2) = 1, третий разряд кода ценной бумаги (X3) = 1 или 6 или 7, десятый разряд кода ценной бумаги (X10) = 2, одиннадцатый разряд кода ценной бумаги (X11) = 01 и пятнадцатый разряд кода ценной бумаги (X15) = 2, то двенадцатый разряд кода ценной бумаги (X12) = 002 или 003 или 004 или 006 или 007.

74. Если в разделах 3, 4, 5, 6 пятнадцатый разряд кода ценной бумаги (X15) = 1, одиннадцатый разряд кода ценной бумаги (X11) = 02, то двенадцатый разряд кода ценной бумаги (X12) = 011 или 012 или 013 или 014 или 015 или 016 или 017 или 018 или 019 или 020 или 021 или 022 или 023.

75. Если в разделах 3, 4, 6 пятнадцатый разряд кода ценной бумаги (X15) = 2, одиннадцатый разряд кода ценной бумаги (X11) = 02, то двенадцатый разряд кода ценной бумаги (X12) = 024 или 025 или 026 или 027 или 028 или 029 или 030 или 031 или 032 или 033 или 034 или 040.

76. Если в разделе 5 пятнадцатый разряд кода ценной бумаги (X15) = 2, одиннадцатый разряд кода ценной бумаги (X11) = 02, то двенадцатый разряд кода ценной бумаги (X12) = 024 или 025 или 026 или 027 или 028 или 029 или 030 или 031 или 032 или 033 или 034.

77. Если в разделах 3, 4, 5, 6 пятнадцатый разряд кода ценной бумаги (X15) = 1, одиннадцатый разряд кода ценной бумаги (X11) = 03, то двенадцатый разряд кода ценной бумаги (X12) = 041 или 042 или 043 или 044 или 045 или 046 или 047 или 048 или 049 или 050 или 051 или 052 или 053.

78. Если в разделах 3, 4, 6 пятнадцатый разряд кода ценной бумаги (X15) = 2, одиннадцатый разряд кода ценной бумаги (X11) = 03, то двенадцатый разряд кода ценной бумаги (X12) = 054 или 055 или 056 или 057 или 058 или 059 или 060 или 061 или 062 или 063 или 070.

79. Если в разделе 5 пятнадцатый разряд кода ценной бумаги (X15) = 2, одиннадцатый разряд кода ценной бумаги (X11) = 03, то двенадцатый разряд кода ценной бумаги (X12) = 054 или 055 или 056 или 057 или 058 или 059 или 060 или 061 или 062 или 063.

80. Если в разделах 3, 4, 5, 6 пятнадцатый разряд кода ценной бумаги (X15) = 1, одиннадцатый разряд кода ценной бумаги (X11) = 04, то двенадцатый разряд кода ценной бумаги (X12) = 071 или 072 или 073 или 074 или 075 или 076 или 077 или 078 или 079 или 080 или 081 или 082 или 083.

81. Если в разделах 3, 4, 6 пятнадцатый разряд кода ценной бумаги (X15) = 2, одиннадцатый разряд кода ценной бумаги (X11) = 04, то двенадцатый разряд кода ценной бумаги (X12) = 084 или 085 или 086 или 087 или 088 или 089 или 090 или 091 или 092 или 093 или 094 или 099.

82. Если в разделе 5 пятнадцатый разряд кода ценной бумаги (X15) = 2, одиннадцатый разряд кода ценной бумаги (X11) = 04, то двенадцатый разряд кода ценной бумаги (X12) = 084 или 085 или 086 или 087 или 088 или 089 или 090 или 091 или 092 или 093 или 094.

83. Если в разделах 3, 4, 5, 6 пятнадцатый разряд кода ценной бумаги (X15) = 1, одиннадцатый разряд кода ценной бумаги (X11) = 07, то двенадцатый разряд кода ценной бумаги (X12) = 201 или 202 или 203 или 204 или 205 или 206.

84. Если в разделах 3, 4, 6 пятнадцатый разряд кода ценной бумаги (X15) = 2, одиннадцатый разряд кода ценной бумаги (X11) = 07, то двенадцатый разряд кода ценной бумаги (X12) = 207 или 208 или 209 или 210 или 220.

85. Если в разделе 5 пятнадцатый разряд кода ценной бумаги (X15) = 2, одиннадцатый разряд кода ценной бумаги (X11) = 07, то двенадцатый разряд кода ценной бумаги (X12) = 207 или 208 или 209 или 210.

86. Если в разделах 4, 5, 6 пятнадцатый разряд кода ценной бумаги (X15) = 1, пятый разряд кода ценной бумаги (X5) = 4, одиннадцатый разряд кода ценной бумаги (X11) = 08, то двенадцатый разряд кода ценной бумаги (X12) = 221 или 222 или 223 или 224 или 225 или 226 или 227 или 228 или 229 или 230 или 231 или 232 или 233 или 234 или 235 или 236 или 237 или 238.

87. Если в разделах 4, 6 пятнадцатый разряд кода ценной бумаги (X15) = 2, пятый разряд кода ценной бумаги (X5) = 4, одиннадцатый разряд кода ценной бумаги (X11) = 08, то двенадцатый разряд кода ценной бумаги (X12) = 240 или 241 или 242 или 243 или 244 или 245 или 246 или 247 или 248 или 249 или 250 или 251 или 260.

88. Если в разделе 5 пятнадцатый разряд кода ценной бумаги (X15) = 2, пятый разряд кода ценной бумаги (X5) = 4, одиннадцатый разряд кода ценной бумаги (X11) = 08, то двенадцатый разряд кода ценной бумаги (X12) = 240 или 241 или 242 или 243 или 244 или 245 или 246 или 247 или 248 или 249 или 250 или 251.

89. Если в разделах 3, 4, 5, 6 пятнадцатый разряд кода ценной бумаги (X15) = 1, одиннадцатый разряд кода ценной бумаги (X11) = 10, то двенадцатый разряд кода ценной бумаги (X12) = 996 или 997.

90. Если в разделах 3, 4, 6 пятнадцатый разряд кода ценной бумаги (X15) = 2, одиннадцатый разряд кода ценной бумаги (X11) = 10, то двенадцатый разряд кода ценной бумаги (X12) = 990 или 998 или 999.

91. Если в разделе 5 пятнадцатый разряд кода ценной бумаги (X15) = 2, одиннадцатый разряд кода ценной бумаги (X11) = 10, то двенадцатый разряд кода ценной бумаги (X12) = 998 или 999.

92. Если в разделе 5 одиннадцатый разряд кода ценной бумаги (X11) = 11, то двенадцатый разряд кода ценной бумаги (X12) = 000.

93. Если в разделе 3 пятый разряд кода ценной бумаги (X5) = 2, одиннадцатый разряд кода ценной бумаги (X11) = 02 или 03 или 04 или 07, то соответственно тринадцатый разряд кода ценной бумаги (X13) = 2.

94. Если в разделе 3 пятый разряд кода ценной бумаги (X5) = 3, одиннадцатый разряд кода ценной бумаги (X11) = 02 или 03 или 04 или 07, то соответственно тринадцатый разряд кода ценной бумаги (X13) = 3.

95. Если в разделе 4 пятый разряд кода ценной бумаги (X5) = 1, второй разряд кода ценной бумаги (X2) = 2, одиннадцатый разряд кода ценной бумаги (X11) = 02 или 03 или 04, то тринадцатый разряд кода ценной бумаги (X13) = 1.

96. Если в разделе 4 пятый разряд кода ценной бумаги (X5) = 2, второй разряд кода ценной бумаги (X2) = 2, одиннадцатый разряд кода ценной бумаги (X11) = 02 или 03 или 04, то тринадцатый разряд кода ценной бумаги (X13) = 2.

97. Если в разделе 4 пятый разряд кода ценной бумаги (X5) = 3, второй разряд кода ценной бумаги (X2) = 2, одиннадцатый разряд кода ценной бумаги (X11) = 02 или 03 или 04, то тринадцатый разряд кода ценной бумаги (X13) = 3.

98. Если в разделе 4 пятый разряд кода ценной бумаги (X5) = 6, второй разряд кода ценной бумаги (X2) = 1, третий разряд кода ценной бумаги (X3) = 6 или 7, одиннадцатый разряд кода ценной бумаги (X11) = 02 или 03 или 04 или 07, то тринадцатый разряд кода ценной бумаги (X13) = 4.

99. Если в разделе 4 пятый разряд кода ценной бумаги (X5) = 7, второй разряд кода ценной бумаги (X2) = 2, одиннадцатый разряд кода ценной бумаги (X11) = 02 или 03 или 04, то тринадцатый разряд кода ценной бумаги (X13) = 4.

100. Если в разделе 4 пятый разряд кода ценной бумаги (X5) = 7, второй разряд кода ценной бумаги (X2) = 1, одиннадцатый разряд кода ценной бумаги (X11) = 02 или 03 или 04 или 07, то тринадцатый разряд кода ценной бумаги (X13) = 4.

101. Если в разделах 4, 6 пятый разряд кода ценной бумаги (X5) = 4, второй разряд кода ценной бумаги (X2) = 1, одиннадцатый разряд кода ценной бумаги (X11) = 02 или 03 или 04 или 07 или 08, то тринадцатый разряд кода ценной бумаги (X13) = 5.

102. Если в разделах 4, 6 пятый разряд кода ценной бумаги (X5) = 4, второй разряд кода ценной бумаги (X2) = 2, одиннадцатый разряд кода ценной бумаги (X11) = 02 или 03 или 04, то тринадцатый разряд кода ценной бумаги (X13) = 5.

103. Если в разделе 6 пятый разряд кода ценной бумаги (X5) = 7, второй разряд кода ценной бумаги (X2) = 2, одиннадцатый разряд кода ценной бумаги (X11) = 02 или 03 или 04, то тринадцатый разряд кода ценной бумаги (X13) = 4.

104. Если в разделе 4 третий разряд кода ценной бумаги (X3) = 2, то тринадцатый разряд кода ценной бумаги (X13) = 0.

105. Если в разделе 5 пятый разряд кода ценной бумаги (X5) = 4, второй разряд кода ценной бумаги (X2) = 1, одиннадцатый разряд кода ценной бумаги (X11) = 02 или 03 или 04 или 07 или 08, то тринадцатый разряд кода ценной бумаги (X13) = 5.

106. Если в разделе 5 пятый разряд кода ценной бумаги (X5) = 7, второй разряд кода ценной бумаги (X2) = 1, одиннадцатый разряд кода ценной бумаги (X11) = 02 или 03 или 04 или 07, то тринадцатый разряд кода ценной бумаги (X13) = 4.

107. Если в разделе 5 пятый разряд кода ценной бумаги (X5) = 4, второй разряд кода ценной бумаги (X2) = 2, одиннадцатый разряд кода ценной бумаги (X11) = 02 или 03 или 04, то тринадцатый разряд кода ценной бумаги (X13) = 5.

108. Если в разделе 5 пятый разряд кода ценной бумаги (X5) = 7, второй разряд кода ценной бумаги (X2) = 2, одиннадцатый разряд кода ценной бумаги (X11) = 02 или 03 или 04, то тринадцатый разряд кода ценной бумаги (X13) = 4.

109. Если в разделе 6 пятый разряд кода ценной бумаги (X5) = 7, второй разряд кода ценной бумаги (X2) = 1, одиннадцатый разряд кода ценной бумаги (X11) = 02 или 03 или 04 или 07, то тринадцатый разряд кода ценной бумаги (X13) = 4.

110. Если в разделах 3, 4, 5, 6 одиннадцатый разряд кода ценной бумаги (X11) = 10, то тринадцатый разряд кода ценной бумаги (X13) = 0.

111. Если в разделе 5 одиннадцатый разряд кода ценной бумаги (X11) = 11, то тринадцатый разряд кода ценной бумаги (X13) = 0.

112. Если в разделах 3, 4, 5, 6 второй разряд кода ценной бумаги (X2) = 1, одиннадцатый разряд кода ценной бумаги (X11) = 02 или 03 или 04, то четырнадцатый разряд кода ценной бумаги (X14) = 1 или 2.

113. Если в разделах 3, 4, 5, 6 второй разряд кода ценной бумаги (X2) = 2, одиннадцатый разряд кода ценной бумаги (X11) = 02 или 03 или 04, то четырнадцатый разряд кода ценной бумаги (X14) = 1.

114. Если в разделах 3, 4, 5, 6 одиннадцатый разряд кода ценной бумаги (X11) = 07 или 08 или 10, то четырнадцатый разряд кода ценной бумаги (X14) = 0.

115. Если в разделе 4 третий разряд кода ценной бумаги (X3) = 2, то четырнадцатый разряд кода ценной бумаги (X14) = 0.

116. Если в разделе 5 одиннадцатый разряд кода ценной бумаги (X11) = 11, то четырнадцатый разряд кода ценной бумаги (X14) = 0.

117. Если в разделах 3, 6 одиннадцатый разряд кода ценной бумаги (X11) = 01, то тринадцатый, четырнадцатый разряды кода ценной бумаги (X13, X14) = 0.

118. Если в разделе 2 пятнадцатый разряд кода ценной бумаги (X15) = 1, одиннадцатый разряд кода ценной бумаги (X11) = 00, то двенадцатый, тринадцатый, четырнадцатый разряды кода ценной бумаги (X12, X13, X14) = 0.

119. Если в разделе 2 пятнадцатый разряд кода ценной бумаги (X15) = 2, одиннадцатый разряд кода ценной бумаги (X11) = 01, то двенадцатый, тринадцатый, четырнадцатый разряд кода ценной бумаги (X12, X13, X14) = 0.

120. Если в разделе 4 десятый разряд кода ценной бумаги (X10) = 1, пятнадцатый разряд кода ценной бумаги (X15) = 1, то тринадцатый, четырнадцатый разряды кода ценной бумаги (X13, X14) = 0.

121. Если в разделе 4 десятый разряд кода ценной бумаги (X10) = 1, пятнадцатый разряд кода ценной бумаги (X15) = 2 и одиннадцатый разряд кода ценной бумаги (X11) = 01, то тринадцатый, четырнадцатый разряды кода ценной бумаги (X13, X14) = 0.

122. В разделах 7, 8 тринадцатый, четырнадцатый разряды кода ценной бумаги (X13, X14) = 0.

123. В разделах 2, 3, 4, 5, 6, 7, 8 пятнадцатый разряд кода ценной бумаги (X15) = 1 или 2.

124. Если в разделе 4 третий разряд кода ценной бумаги (X3) = 2, то пятнадцатый разряд кода ценной бумаги (X15) = 0.

125. Если в графе 10 раздела 5 шестой разряд кода ценной бумаги (X6) = 3, то значения всех разрядов кода ценной бумаги в графе 10 = значениям всех разрядов кода ценной бумаги в графе 32.

126. Если в графе 10 раздела 5 шестой разряд кода ценной бумаги (X6) = 2, то первый разряд кода ценной бумаги (X1) в графе 10 = первому разряду кода ценной бумаги (X1) в графе 32.

127. В разделе 8 пятый разряд кода ценной бумаги (X5) = 1.

128. Если в графе 10 раздела 5 шестой разряд кода ценной бумаги (X6) = 2, то в графе 32 шестой разряд кода ценной бумаги (X6) = 2.

129. Если в графе 10 раздела 5 шестой разряд кода ценной бумаги (X6) = 3, то в графе 32 шестой разряд кода ценной бумаги (X6) = 3.

130. В разделе 5 восьмой разряд кода ценной бумаги (X8) = 1 или 2 или 3 или 4.

131. В разделах 2, 3, 4, 5, 6, 7, 8 код ценной бумаги = 18 цифрам.

3. Код сертификата долевого участия

1. В разделе 9 третий разряд кода сертификата долевого участия (X3) = 1.

2. В разделе 9 четвертый разряд кода сертификата долевого участия (X4) = 1 или 2 или 3.

3. В разделе 9 пятый разряд кода сертификата долевого участия (X5) = 4 или 7.

4. В разделе 9 код сертификата долевого участия = 5 цифрам.

4. Код недвижимости

1. В разделе 10 третий разряд кода недвижимости (X3) = 1 или 2.

2. В разделе 10 четвертый разряд кода недвижимости (X4) = 010 или 020 или 030 или 031 или 035 или 036 или 037 или 040 или 041 или 050 или 051 или 060 или 100.

3. В разделе 10 пятый разряд кода недвижимости (X5) = 0 или 1 или 2.

4. В разделе 10 код недвижимости = 7 цифрам.

5. Код банковского вклада

1. В разделе 11 третий разряд кода банковского вклада (X3) = 1 или 2.

2. В разделе 11 четвертый разряд кода банковского вклада (X4) = 1 или 2 или 3.

3. В разделе 11 пятый разряд кода банковского вклада (X5) = 1 или 2 или 3.

4. Если в разделе 11 второй разряд кода банковского вклада (X2) = 1, третий разряд кода банковского вклада (X3) = 1, то шестой разряд кода банковского вклада (X6) = 02 или 03 или 04 или 07 или 08 или 10.

5. Если в разделе 11 второй разряд кода банковского вклада (X2) = 2, третий разряд кода банковского вклада (X3) = 1, то шестой разряд кода банковского вклада (X6) = 02 или 03 или 04.

6. Если в разделе 11 третий разряд кода банковского вклада (X3) = 2, то шестой разряд кода банковского вклада (X6) = 00.

7. Если в разделе 11 десятый разряд кода банковского вклада (X10) = 1 и шестой разряд кода банковского вклада (X6) = 02, то седьмой разряд кода банковского вклада (X7) = 011 или 012 или 013 или 014 или 015 или 016 или 017 или 018 или 019 или 020 или 021 или 022 или 023.

8. Если в разделе 11 десятый разряд кода банковского вклада (X10) = 2 и шестой разряд кода банковского вклада (X6) = 02, то седьмой разряд кода банковского вклада (X7) = 024 или 025 или 026 или 027 или 028 или 029 или 030 или 031 или 032 или 033 или 034.

9. Если в разделе 11 десятый разряд кода банковского вклада (X10) = 1 и шестой разряд кода банковского вклада (X6) = 03, то седьмой разряд банковского вклада (X7) = 041 или 042 или 043 или 044 или 045 или 046 или 047 или 048 или 049 или 050 или 051 или 052 или 053.

10. Если в разделе 11 десятый разряд кода банковского вклада (X10) = 2 и шестой разряд кода банковского вклада (X6) = 03, то седьмой разряд кода банковского вклада (X7) = 054 или 055 или 056 или 057 или 058 или 059 или 060 или 061 или 062 или 063.

11. Если в разделе 11 десятый разряд кода банковского вклада (X10) = 1 и шестой разряд кода банковского вклада (X6) = 04, то седьмой разряд кода банковского вклада (X7) = 071 или 072 или 073 или 074 или 075 или 076 или 077 или 078 или 079 или 080 или 081 или 082 или 083.

12. Если в разделе 11 десятый разряд кода банковского вклада (X10) = 2 и шестой разряд кода банковского вклада (X6) = 04, то седьмой разряд кода банковского вклада (X7) = 084 или 085 или 086 или 087 или 088 или 089 или 090 или 091 или 092 или 093 или 094.

13. Если в разделе 11 десятый разряд кода банковского вклада (X10) = 1 и шестой разряд кода банковского вклада (X6) = 07, то седьмой разряд кода банковского вклада (X7) = 201 или 202 или 203 или 204 или 205 или 206.

14. Если в разделе 11 десятый разряд кода банковского вклада (X10) = 2 и шестой разряд кода банковского вклада (X6) = 07, то седьмой разряд кода банковского вклада (X7) = 207 или 208 или 209 или 210.

15. Если в разделе 11 десятый разряд кода банковского вклада (X10) = 1 и шестой разряд кода банковского вклада (X6) = 08, то седьмой разряд кода банковского вклада (X7) = 221 или 222 или 223 или 224 или 225 или 226 или 227 или 228 или 229 или 230 или 231 или 232 или 233 или 234 или 235 или 236 или 237 или 238.

16. Если в разделе 11 десятый разряд кода банковского вклада (X10) = 2 и шестой разряд кода банковского вклада (X6) = 08, то седьмой разряд кода банковского вклада (X7) = 240 или 241 или 242 или 243 или 244 или 245 или 246 или 247 или 248 или 249 или 250 или 251.

17. Если в разделе 11 десятый разряд кода банковского вклада (X10) = 1 и шестой разряд кода банковского вклада (X6) = 10, то седьмой разряд кода банковского вклада (X7) = 996 или 997.

18. Если в разделе 11 десятый разряд кода банковского вклада (X10) = 2 и шестой разряд кода банковского вклада (X6) = 10, то седьмой разряд кода банковского вклада (X7) = 998 или 999.

19. Если в разделе 11 третий разряд кода банковского вклада (X3) = 1 и шестой разряд кода банковского вклада (X6) = 02 или 03 или 04 или 07 или 08, то восьмой разряд кода банковского вклада (X8) = 5.

20. Если в разделе 11 второй разряд кода банковского вклада (X2) = 1, третий разряд кода банковского вклада (X3) = 1, шестой разряд кода банковского вклада (X6) = 02 или 03 или 04, то девятый разряд кода банковского вклада (X9) = 1 или 2.

21. Если в разделе 11 второй разряд кода банковского вклада (X2) = 2, третий разряд кода банковского вклада (X3) = 1 и шестой разряд кода банковского вклада (X6) = 02 или 03 или 04, то девятый разряд кода банковского вклада (X9) = 1.

22. Если в разделе 11 второй разряд кода банковского вклада (X2) = 1, третий разряд кода банковского вклада (X3) = 1 и шестой разряд кода банковского вклада (X6) = 07 или 08 или 10, то девятый разряд кода банковского вклада (X9) = 0.

23. Если в разделе 11 третий разряд кода банковского вклада (X3) = 2 и шестой разряд кода банковского вклада (X6) = 00, то седьмой, восьмой, девятый разряды кода банковского вклада (X7, X8, X9) = 0.

24. В разделе 11 десятый разряд кода банковского вклада (X10) = 1 или 2.

25. Если в разделе 11 третий разряд кода банковского вклада (X3) = 1 и шестой разряд кода банковского вклада (X6) = 10, то восьмой разряд кода банковского вклада (X8) = 0.

26. В разделе 11 код банковского вклада = 13 цифрам.

6. Код доли перестраховщика

1. Если в разделе 12 второй разряд кода доли перестраховщика (X2) = 1, то (X3) = 3 или 4.

2. В разделе 12 четвертый разряд кода доли перестраховщика (X4) = 1 или 2 или 3.

3. Если в разделе 12 первый разряд кода доли перестраховщика (X1) = 2, то пятый разряд кода доли перестраховщика (X5) = 1 или 2 или 3 или 4.

4. Если в разделе 12 первый разряд кода доли перестраховщика (X1) = 1, то пятый разряд кода доли перестраховщика (X5) = 0.

5. Если в разделе 12 третий разряд кода доли перестраховщика (X3) = 3, то шестой разряд кода доли перестраховщика (X6) = 02 или 03 или 04 или 05 или 06.

6. Если в разделе 12 третий разряд кода доли перестраховщика (X3) = 4, то шестой разряд кода доли перестраховщика (X6) = 00.

7. Если в разделе 12 десятый разряд кода доли перестраховщика (X10) = 1, третий разряд кода доли перестраховщика (X3) = 3 и шестой разряд кода доли перестраховщика (X6) = 02, то седьмой разряд кода доли перестраховщика (X7) = 011 или 012 или 013 или 014 или 015 или 016 или 017 или 018 или 019 или 020 или 021 или 022 или 023.

8. Если в разделе 12 десятый разряд кода доли перестраховщика (X10) = 2, третий разряд кода доли перестраховщика (X3) = 3 и шестой разряд кода доли перестраховщика (X6) = 02, то седьмой разряд кода доли перестраховщика (X7) = 024 или 025 или 026 или 027 или 028 или 029 или 030 или 031 или 032 или 033 или 034.

9. Если в разделе 12 десятый разряд кода доли перестраховщика (X10) = 1, третий разряд кода доли перестраховщика (X3) = 3 и шестой разряд кода доли перестраховщика (X6) = 03, то седьмой разряд доли перестраховщика (X7) = 041 или 042 или 043 или 044 или 045 или 046 или 047 или 048 или 049 или 050 или 051 или 052 или 053.

10. Если в разделе 12 десятый разряд кода доли перестраховщика (X10) = 2, третий разряд кода доли перестраховщика (X3) = 3 и шестой разряд кода доли перестраховщика (X6) = 03, то седьмой разряд кода доли перестраховщика (X7) = 054 или 055 или 056 или 057 или 058 или 059 или 060 или 061 или 062 или 063.

11. Если в разделе 12 десятый разряд кода доли перестраховщика (X10) = 1, третий разряд кода доли перестраховщика (X3) = 3 и шестой разряд кода доли перестраховщика (X6) = 04, то седьмой разряд кода доли перестраховщика (X7) = 071 или 072 или 073 или 074 или 075 или 076 или 077 или 078 или 079 или 080 или 081 или 082 или 083.

12. Если в разделе 12 десятый разряд кода доли перестраховщика (X10) = 2, третий разряд кода доли перестраховщика (X3) = 3 и шестой разряд кода доли перестраховщика (X6) = 04, то седьмой разряд кода доли перестраховщика (X7) = 084 или 085 или 086 или 087 или 088 или 089 или 090 или 091 или 092 или 093 или 094.

13. Если в разделе 12 десятый разряд кода доли перестраховщика (X10) = 1, третий разряд кода доли перестраховщика (X3) = 3 и шестой разряд кода доли перестраховщика (X6) = 05, то седьмой разряд кода доли перестраховщика (X7) = 100 или 101 или 102 или 103 или 104 или 105.

14. Если в разделе 12 десятый разряд кода доли перестраховщика (X10) = 2, третий разряд кода доли перестраховщика (X3) = 3 и шестой разряд кода доли перестраховщика (X6) = 05, то седьмой разряд кода доли перестраховщика (X7) = 106 или 107 или 108 или 109 или 110 или 111 или 112 или 113 или 114 или 115 или 116 или 117.

15. Если в разделе 12 десятый разряд кода доли перестраховщика (X10) = 1, третий разряд кода доли перестраховщика (X3) = 3 и шестой разряд кода доли перестраховщика (X6) = 06, то седьмой разряд кода доли перестраховщика (X7) = 118 или 119 или 120 или 121 или 122 или 123.

16. Если в разделе 12 десятый разряд кода доли перестраховщика (X10) = 2, третий разряд кода доли перестраховщика (X3) = 3 и шестой разряд кода доли перестраховщика (X6) = 06, то седьмой разряд кода доли перестраховщика (X7) = 124 или 125 или 126 или 127 или 128 или 129 или 130 или 131 или 132 или 133.

17. Если в разделе 12 третий разряд кода доли перестраховщика (X3) = 3, то восьмой разряд кода доли перестраховщика (X8) = 6.

18. Если в разделе 12 третий разряд кода доли перестраховщика (X3) = 3, то девятый разряд кода доли перестраховщика (X9) = 1 или 2.

19. Если в разделе 12 третий разряд кода доли перестраховщика (X3) = 4 и шестой разряд кода доли перестраховщика (X6) = 00, то седьмой, восьмой, девятый разряды кода доли перестраховщика (X7, X8, X9) = 0.

22. В разделе 12 десятый разряд кода доли перестраховщика (X10) = 1 или 2.

В электронном документе нумерация пунктов соответствует официальному источнику.

23. Если в разделе 12 второй разряд кода доли перестраховщика (X2) = 2, то третий разряд кода доли перестраховщика (X3) = 3.

24. В разделе 12 код доли перестраховщика = 13 цифрам.

7. Код депо премий

1. В разделе 13 третий разряд кода депо премий (X3) = 1.

2. В разделе 13 четвертый разряд кода депо премий (X4) = 1 или 2 или 3.

3. В разделе 13 пятый, шестой разряды кода депо премий (X5, X6) = 00.

4. В разделе 13 седьмой разряд кода депо премий (X7) = 1 или 2 или 3 или 4 или 5.

5. В разделе 13 код депо премий = 7 цифрам.

8. Код дебиторской задолженности

1. В разделе 14 третий разряд кода дебиторской задолженности (X3) = 2 или 3 или 4 или 5 или 6 или 7 или 8 или 9.

2. Если в разделе 14 третий разряд кода дебиторской задолженности (X3) = 2 или 4 или 5 или 7 или 8 или 9, то четвертый разряд кода дебиторской задолженности (X4) = 1 или 2 или 3.

3. Если в разделе 14 третий разряд кода дебиторской задолженности (X3) = 3 или 6, то четвертый разряд кода дебиторской задолженности (X4) = 0.

4. В разделе 14 пятый разряд кода дебиторской задолженности (X5) = 1 или 2 или 4 или 5.

5. В разделе 14 шестой разряд кода дебиторской задолженности (X6) = 1 или 2 или 3.

6. В разделе 14 седьмой разряд кода дебиторской задолженности (X7) = 1 или 2 или 3 или 4 или 5.

7. В разделе 14 код дебиторской задолженности = 7 цифрам.

8. Если в разделе 14 пятый разряд кода дебиторской задолженности (X5) = 1, то третий разряд кода дебиторской задолженности (X3) = 2.

9. Код денежных средств

1. В разделе 15 третий разряд кода денежных средств (X3) = 1 или 2 или 3 или 5.

2. Если в разделе 15 третий разряд кода денежных средств (X3) = 1 или 2 или 3, то четвертый разряд кода денежных средств (X4) = 1 или 2 или 3.

3. Если в разделе 15 третий разряд кода денежных средств (X3) = 5, то четвертый разряд кода денежных средств (X4) = 0.

4. Если в разделе 15 третий разряд кода денежных средств (X3) = 2 или 5 и второй разряд кода денежных средств (X2) = 2, то пятый разряд кода денежных средств (X5) = 1 или 2 или 3 или 4 или 5.

5. Если в разделе 15 третий разряд кода денежных средств (X3) = 1 или 3 или 5 и второй разряд кода денежных средств (X2) = 1, то пятый разряд кода денежных средств (X5) = 6.

6. В разделе 15 код денежных средств = 5 цифрам.

10. Код слитков, памятных монет

1. В разделе 16 третий разряд кода слитков, памятных монет (X3) = 9.

2. В разделе 16 четвертый разряд кода слитков, памятных монет (X4) = 4 или 5 или 6 или 7 или 8.

3. В разделе 16 пятый разряд кода слитков, памятных монет (X5) = 0.

4. В разделе 16 код слитков, памятных монет = 5 цифрам.

11. Код займа страхователя по договорам страхования жизни

1. В разделе 17 третий разряд кода займа страхователя по договорам страхования жизни (X3) = 1 или 2 или 3.

2. Если в разделе 17 третий разряд кода займа страхователя по договорам страхования жизни (X3) = 1 или 2 или 3, то четвертый разряд кода займа страхователя по договорам страхования жизни (X4) = 1 или 2 или 3 или 4.

3. Если в разделе 17 третий разряд кода займа страхователя по договорам страхования жизни (X3) = 1 или 2 или 3, то пятый разряд кода займа страхователя по договорам страхования жизни (X5) = 1 или 2 или 3 или 4.

4. Если в разделе 17 третий разряд кода займа страхователя по договорам страхования жизни (X3) = 1 или 2 или 3, то шестой разряд кода займа страхователя по договорам страхования жизни (X6) = 1 или 2 или 3 или 4.

5. Если в разделе 17 третий разряд кода займа страхователя по договорам страхования жизни (X3) = 1 или 2 или 3, то седьмой разряд кода займа страхователя по договорам страхования жизни (X7) = 1 или 2 или 3.

6. В разделе 17 код займа страхователя по договорам страхования жизни = 7 цифрам.

Иные коды

1. Код управляющей компании (доверительного управляющего)

В подразделах 2.2, 3.2, 4.2, 6.2, 10.2, 19.1.1, 19.2.1:

1. В подразделах 2.2, 3.2, 4.2, 6.2, 10.2, 19.1.1, 19.2.1 первый разряд кода управляющей компании (доверительного управляющего) (X1) = 1.

2. В подразделах 2.2, 3.2, 4.2, 6.2 второй разряд кода управляющей компании (X2) = 1.

3. В подразделе 10.2 второй разряд кода доверительного управляющего (X2) = 2.

4. В подразделах 19.1.1, 19.2.1 второй разряд кода управляющей компании (доверительного управляющего) (X2) = 1 или 2.

5. В подразделах 2.2, 3.2, 4.2, 6.2 третий разряд кода управляющей компании (X3) = 1 или 2 или 3 или 4 или 5 или 6.

6. Если в подразделах 19.1.1, 19.2.1 второй разряд кода управляющей компании (доверительного управляющего) (X2) = 1, то третий разряд кода управляющей компании (X3) = 1 или 2 или 3 или 4 или 5 или 6.

7. В подразделе 10.2 третий разряд кода доверительного управляющего (X3) = 0.

8. Если в подразделах 19.1.1, 19.2.1 второй разряд кода управляющей компании (доверительного управляющего) (X2) = 2, то третий разряд кода управляющей компании (X3) = 0.

9. В подразделах 2.2, 3.2, 4.2, 6.2, 10.2, 19.1.1, 19.2.1 четвертый разряд кода управляющей компании (доверительного управляющего) (X4) = 1 или 2 или 3.

10. В подразделах 2.2, 3.2, 4.2, 6.2, 10.2, 19.1.1, 19.2.1 пятый разряд кода управляющей компании (доверительного управляющего) (X5) = 0.

11. В подразделах 2.2, 3.2, 4.2, 6.2 шестой разряд кода управляющей компании (X6) = 02 или 03 или 04 или 07 или 08 или 10 или 12.

12. Если в подразделах 19.1.1, 19.2.1 второй разряд кода управляющей компании (доверительного управляющего) (X2) = 1, то шестой разряд кода управляющей компании (X6) = 02 или 03 или 04 или 07 или 08 или 10 или 12.

13. В подразделах 10.2 шестой разряд кода доверительного управляющего (X6) = 02 или 03 или 04 или 07 или 08 или 10.

14. Если в подразделах 19.1.1, 19.2.1 второй разряд кода управляющей компании (доверительного управляющего) (X2) = 2, то шестой разряд кода управляющей (доверительного управляющего) компании (X6) = 02 или 03 или 04 или 07 или 08 или 10.

15. Если в подразделах 2.2, 3.2, 4.2, 6.2, 10.2, 19.1.1, 19.2.1 десятый разряд кода управляющей компании (доверительного управляющего) (X10) = 1 и шестой разряд кода управляющей компании (доверительного управляющего) (X6) = 02, то седьмой разряд кода управляющей компании (X7) = 011 или 012 или 013 или 014 или 015 или 016 или 017 или 018 или 019 или 020 или 021 или 022 или 023.

16. Если в подразделах 2.2, 3.2, 4.2, 6.2, 10.2, 19.1.1, 19.2.1 десятый разряд кода управляющей компании (доверительного управляющего) (X10) = 2 и шестой разряд кода управляющей компании (X6) = 02, то седьмой разряд кода управляющей компании (доверительного управляющего) (X7) = 024 или 025 или 026 или 027 или 028 или 029 или 030 или 031 или 032 или 033 или 034.

17. Если в подразделах 2.2, 3.2, 4.2, 6.2, 10.2, 19.1.1, 19.2.1 десятый разряд кода управляющей компании (доверительного управляющего) (X10) = 1 и шестой разряд кода управляющей компании (X6) = 03, то седьмой разряд кода управляющей компании (доверительного управляющего) (X7) = 041 или 042 или 043 или 044 или 045 или 046 или 047 или 048 или 049 или 050 или 051 или 052 или 053.

18. Если в подразделах 2.2, 3.2, 4.2, 6.2, 10.2, 19.1.1, 19.2.1 десятый разряд кода управляющей компании (доверительного управляющего) (X10) = 2 и шестой разряд кода управляющей компании (доверительного управляющего) (X6) = 03, то седьмой разряд кода управляющей компании (доверительного управляющего) (X7) = 054 или 055 или 056 или 057 или 058 или 059 или 060 или 061 или 062 или 063.

19. Если в подразделах 2.2, 3.2, 4.2, 6.2, 10.2, 19.1.1, 19.2.1 десятый разряд кода управляющей компании (доверительного управляющего) (X10) = 1 и шестой разряд кода управляющей компании (доверительного управляющего) (X6) = 04, то седьмой разряд кода управляющей компании (доверительного управляющего) (X7) = 071 или 072 или 073 или 074 или 075 или 076 или 077 или 078 или 079 или 080 или 081 или 082 или 083.

20. Если в подразделах 2.2, 3.2, 4.2, 6.2, 10.2, 19.1.1, 19.2.1 десятый разряд кода управляющей компании (доверительного управляющего) (X10) = 2 и шестой разряд кода управляющей компании (доверительного управляющего) (X6) = 04, то седьмой разряд кода управляющей компании (доверительного управляющего) (X7) = 084 или 085 или 086 или 087 или 088 или 089 или 090 или 091 или 092 или 093 или 094.

21. Если в подразделах 2.2, 3.2, 4.2, 6.2, 10.2, 19.1.1, 19.2.1 десятый разряд кода управляющей компании (доверительного управляющего) (X10) = 1 и шестой разряд кода управляющей компании (доверительного управляющего) (X6) = 07, то седьмой разряд кода управляющей компании (доверительного управляющего) (X7) = 201 или 202 или 203 или 204 или 205 или 206.

22. Если в подразделах 2.2, 3.2, 4.2, 6.2, 10.2, 19.1.1, 19.2.1 десятый разряд кода управляющей компании (доверительного управляющего) (X10) = 2 и шестой разряд кода управляющей компании (доверительного управляющего) (X6) = 07, то седьмой разряд кода управляющей компании (доверительного управляющего) (X7) = 207 или 208 или 209 или 210.

23. Если в подразделах 2.2, 3.2, 4.2, 6.2, 10.2, 19.1.1, 19.2.1 десятый разряд кода управляющей компании (доверительного управляющего) (X10) = 1 и шестой разряд кода управляющей компании (доверительного управляющего) (X6) = 08, то седьмой разряд кода управляющей компании (доверительного управляющего) (X10) = 221 или 222 или 223 или 224 или 225 или 226 или 227 или 228 или 229 или 230 или 231 или 232 или 233 или 234 или 235 или 236 или 237 или 238.

24. Если в подразделах 2.2, 3.2, 4.2, 6.2, 10.2, 19.1.1, 19.2.1 десятый разряд кода управляющей компании (доверительного управляющего) (X10) = 2 и шестой разряд кода управляющей компании (доверительного управляющего) (X6) = 08, то седьмой разряд кода управляющей компании (доверительного управляющего) (X7) = 240 или 241 или 242 или 243 или 244 или 245 или 246 или 247 или 248 или 249 или 250 или 251.

25. Если в подразделах 2.2, 3.2, 4.2, 6.2, 10.2, 19.1.1, 19.2.1 десятый разряд кода управляющей компании (доверительного управляющего) (X10) = 1 и шестой разряд кода управляющей компании (доверительного управляющего) (X6) = 10, то седьмой разряд кода управляющей компании (доверительного управляющего) (X7) = 996 или 997.

26. Если в подразделах 2.2, 3.2, 4.2, 6.2, 10.2, 19.1.1, 19.2.1 десятый разряд кода управляющей компании (доверительного управляющего) (X10) = 2 и шестой разряд кода управляющей компании (доверительного управляющего) (X6) = 10, то седьмой разряд кода управляющей компании (доверительного управляющего) (X7) = 998 или 999.

27. Если в подразделах 2.2, 3.2, 4.2, 6.2 десятый разряд кода управляющей компании (X10) = 1 или 2 и шестой разряд кода управляющей компании (X6) = 12, то седьмой разряд кода управляющей компании (X7) = 000.

28. Если в подразделах 19.1.1, 19.2.1 второй разряд кода управляющей компании (доверительного управляющего) (X2) = 1, и шестой разряд кода управляющей (доверительного управляющего) компании (X6) = 12, то седьмой разряд кода управляющей компании (доверительного управляющего) (X7) = 000.

29. Если в подразделах 2.2, 3.2, 4.2, 6.2 шестой разряд кода управляющей компании (X6) = 02 или 03 или 04 или 07 или 08 или 10, то восьмой разряд кода управляющей компании (X8) = 7.

30. Если в подразделе 10.2 шестой разряд кода доверительного управляющего (X6) = 02 или 03 или 04 или 07 или 08 или 10, то восьмой разряд кода доверительного управляющего (X8) = 8.

31. Если в подразделах 19.1.1, 19.2.1 второй, шестой разряды кода управляющей компании (доверительного управляющего) (X2) = 1, (X6) = 02 или 03 или 04 или 07 или 08 или 10, то восьмой разряд кода управляющей компании (доверительного управляющего) (X8) = 7.

32. Если в подразделах 19.1.1, 19.2.1 второй, шестой разряды кода управляющей компании (доверительного управляющего) (X2) = 2, (X6) = 02 или 03 или 04 или 07 или 08 или 10, то восьмой разряд кода управляющей компании (доверительного управляющего) (X8) = 8.

33. Если в подразделах 2.2, 3.2, 4.2, 6.2 шестой разряд кода управляющей компании (X6) = 12, то восьмой разряд кода управляющей компании (X8) = 0.

34. Если в подразделах 19.1.1, 19.2.1 второй, шестой разряды кода управляющей компании (доверительного управляющего) (X2) = 1, (X6) = 12, то восьмой разряд кода управляющей компании (доверительного управляющего) (X8) = 0.

35. Если в подразделах 2.2, 3.2, 4.2, 6.2, 10.2, 19.1.1, 19.2.1 шестой разряд кода управляющей компании (доверительного управляющего) (X6) = 02 или 03 или 04, то девятый разряд кода управляющей компании (доверительного управляющего) (X9) = 1 или 2.

36. Если в подразделах 2.2, 3.2, 4.2, 6.2 шестой разряд кода управляющей компании (X6) = 07 или 08 или 10 или 12, то девятый разряд кода управляющей компании (X9) = 0.

37. Если в подразделе 10.2 шестой разряд кода доверительного управляющего (X6) = 07 или 08 или 10, то девятый разряд кода доверительного управляющего (X9) = 0.

38. Если в подразделах 19.1.1, 19.2.1 второй, шестой разряды кода управляющей компании (доверительного управляющего) (X2) = 1, (X6) = 07 или 08 или 10, или 12, то девятый разряд кода управляющей компании (доверительного управляющего) (X9) = 0.

39. Если в подразделах 19.1.1, 19.2.1 второй, шестой разряды кода управляющей компании (доверительного управляющего) (X2) = 2, (X6) = 07 или 08 или 10, то девятый разряд кода управляющей компании (доверительного управляющего) (X9) = 0.

40. В подразделах 2.2, 3.2, 4.2, 6.2, 10.2, 19.1.1, 19.2.1 десятый разряд кода управляющей компании (доверительного управляющего) (X10) = 1 или 2.

41. В подразделах 2.2, 3.2, 4.2, 6.2, 10.2 код управляющей компании (доверительного управляющего) = 13 цифрам.

2. Код ценной бумаги, код банковского вклада, код доли перестраховщика, код управляющей компании (доверительного управляющего) до возникновения обстоятельств, отраженный по строке, что и дата, предшествующая возникновению обстоятельств, повлекших нарушения, устраняемые в соответствии с п. 14 Правил

1. В подразделах 2.1.1, 2.2.1, 7.1, 8.1 первый разряд кода ценной бумаги до возникновения обстоятельств, повлекших нарушения, устраняемые в соответствии с пунктом 14 Правил, (X1) = 00.

2. Если в подразделах 4.1, 4.2 десятый разряд кода ценной бумаги (X10) = 1, пятнадцатый разряд кода ценной бумаги (X15) = 2, то в подразделах 4.1.1, 4.2.1 первый разряд кода ценной бумаги до возникновения обстоятельств, повлекших нарушения, устраняемые в соответствии с пунктом 14 Правил, (X1) = 00.

3. В подразделах 3.1.1, 3.2.1, 6.1.1, 6.2.1 первый разряд кода ценной бумаги до возникновения обстоятельств, повлекших нарушения, устраняемые в соответствии с пунктом 14 Правил, (X1) = 01 или 02 или 03 или 04 или 07 или 08 или 10.

4. Если в подразделах 4.1, 4.2 десятый разряд кода ценной бумаги (X10) = 2, пятнадцатый разряд кода ценной бумаги (X15) = 2, то в подразделах 4.1.1, 4.2.1 первый разряд кода ценной бумаги до возникновения обстоятельств, повлекших нарушения, устраняемые в соответствии с пунктом 14 Правил, (X1) = 01 или 02 или 03 или 04 или 07 или 08 или 10.

5. В подразделе 5.1 первый разряд кода ценной бумаги до возникновения обстоятельств, повлекших нарушения, устраняемые в соответствии с пунктом 14 Правил, (X1) = 02 или 03 или 04 или 07 или 08 или 10 или 11.

6. В подразделах 2.1.1, 2.2.1, 3.1.1, 3.2.1, 4.1.1, 4.2.1, 5.1, 6.1.1, 6.2.1, 7.1, 8.1 третий разряд кода ценной бумаги до возникновения обстоятельств, повлекших нарушения, устраняемые в соответствии с пунктом 14 Правил, (X3) = 1.

Если срок от даты, предшествующей возникновению обстоятельств, повлекших нарушения, до отчетной даты 91 день и третий разряд кода ценной бумаги до возникновения обстоятельств, повлекших нарушения, устраняемые в соответствии с пунктом 14 Правил, (X3) = 1, то для контрольных соотношений 7 - 25:

7. Если в подразделах 2.1.1, 2.2.1, 7.1, 8.1 первый разряд кода ценной бумаги до возникновения обстоятельств, повлекших нарушения, устраняемые в соответствии с пунктом 14 Правил, (X1) = 00, то второй разряд кода ценной бумаги до возникновения обстоятельств, повлекших нарушения, устраняемые в соответствии с пунктом 14 Правил, (X2) = 000.

8. Если в подразделах 4.1, 4.2 десятый разряд кода ценной бумаги (X10) = 1, пятнадцатый разряд кода ценной бумаги (X15) = 2, в подразделах 4.1.1, 4.2.1 первый разряд кода ценной бумаги до возникновения обстоятельств, повлекших нарушения, устраняемые в соответствии с пунктом 14 Правил, (X1) = 00, то второй разряд кода ценной бумаги до возникновения обстоятельств, повлекших нарушения, устраняемые в соответствии с пунктом 14 Правил, (X2) = 000.

9. Если в подразделах 3.1.1, 3.2.1, 6.1.1, 6.2.1 первый разряд кода ценной бумаги до возникновения обстоятельств, повлекших нарушения, устраняемые в соответствии с пунктом 14 Правил, (X1) = 01, то второй разряд кода ценной бумаги до возникновения обстоятельств, повлекших нарушения, устраняемые в соответствии с пунктом 14 Правил, (X2) = 001.

10. Если в подразделах 4.1, 4.2 десятый разряд кода ценной бумаги (X10) = 2, пятнадцатый разряд кода ценной бумаги (X15) = 2, в подразделах 4.1.1, 4.2.1 первый разряд кода ценной бумаги до возникновения обстоятельств, повлекших нарушения, устраняемые в соответствии с пунктом 14 Правил, (X1) = 01, то второй разряд кода ценной бумаги до возникновения обстоятельств, повлекших нарушения, устраняемые в соответствии с пунктом 14 Правил, (X2) = 001.

11. Если в подразделах 3.1.1, 3.2.1, 5.1, 6.1.1, 6.2.1 первый разряд кода ценной бумаги до возникновения обстоятельств, повлекших нарушения, устраняемые в соответствии с пунктом 14 Правил, (X1) = 02, то второй разряд кода ценной бумаги до возникновения обстоятельств, повлекших нарушения, устраняемые в соответствии с пунктом 14 Правил, (X2) = 011 или 012 или 013 или 014 или 015 или 016 или 017 или 018 или 019 или 020 или 021 или 022 или 023.

12. Если в подразделах 4.1, 4.2 десятый разряд кода ценной бумаги (X10) = 2, пятнадцатый разряд кода ценной бумаги (X15) = 2, в подразделах 4.1.1, 4.2.1 первый разряд кода ценной бумаги до возникновения обстоятельств, повлекших нарушения, устраняемые в соответствии с пунктом 14 Правил, (X1) = 02, то второй разряд кода ценной бумаги до возникновения обстоятельств, повлекших нарушения, устраняемые в соответствии с пунктом 14 Правил, (X2) = 011 или 012 или 013 или 014 или 015 или 016 или 017 или 018 или 019 или 020 или 021 или 022 или 023.

13. Если в подразделах 3.1.1, 3.2.1, 5.1, 6.1.1, 6.2.1 первый разряд кода ценной бумаги до возникновения обстоятельств, повлекших нарушения, устраняемые в соответствии с пунктом 14 Правил, (X1) = 03, то второй разряд кода ценной бумаги до возникновения обстоятельств, повлекших нарушения, устраняемые в соответствии с пунктом 14 Правил, (X2) = 041 или 042 или 043 или 044 или 045 или 046 или 047 или 048 или 049 или 050 или 051 или 052 или 053.

14. Если в подразделах 4.1, 4.2 десятый разряд кода ценной бумаги (X10) = 2, пятнадцатый разряд кода ценной бумаги (X15) = 2, в подразделах 4.1.1, 4.2.1 первый разряд кода ценной бумаги до возникновения обстоятельств, повлекших нарушения, устраняемые в соответствии с пунктом 14 Правил, (X1) = 03, то второй разряд кода ценной бумаги (X2) = 041 или 042 или 043 или 044 или 045 или 046 или 047 или 048 или 049 или 050 или 051 или 052 или 053.

15. Если в подразделах 3.1.1, 3.2.1, 5.1, 6.1.1, 6.2.1 первый разряд кода ценной бумаги до возникновения обстоятельств, повлекших нарушения, устраняемые в соответствии с пунктом 14 Правил, (X1) = 04, то второй разряд кода ценной бумаги до возникновения обстоятельств, повлекших нарушения, устраняемые в соответствии с пунктом 14 Правил, (X2) = 071 или 072 или 073 или 074 или 075 или 076 или 077 или 078 или 079 или 080 или 081 или 082 или 083.

16. Если в подразделах 4.1, 4.2 десятый разряд кода ценной бумаги (X10) = 2, пятнадцатый разряд кода ценной бумаги (X15) = 2, в подразделах 4.1.1, 4.2.1 первый разряд кода ценной бумаги до возникновения обстоятельств, повлекших нарушения, устраняемые в соответствии с пунктом 14 Правил, (X1) = 04, то второй разряд кода ценной бумаги (X2) = 071 или 072 или 073 или 074 или 075 или 076 или 077 или 078 или 079 или 080 или 081 или 082 или 083.

17. Если в подразделах 3.1.1, 3.2.1, 5.1, 6.1.1, 6.2.1 первый разряд кода ценной бумаги (X1) = 07, то второй разряд кода ценной бумаги (X2) = 201 или 202 или 203 или 204 или 205 или 206.

18. Если в подразделах 4.1, 4.2 десятый разряд кода ценной бумаги (X10) = 2, пятнадцатый разряд кода ценной бумаги (X15) = 2, в подразделах 4.1.1, 4.2.1 первый разряд кода ценной бумаги до возникновения обстоятельств, повлекших нарушения, устраняемые в соответствии с пунктом 14 Правил, (X1) = 07, то второй разряд кода ценной бумаги до возникновения обстоятельств, повлекших нарушения, устраняемые в соответствии с пунктом 14 Правил, (X2) = 201 или 202 или 203 или 204 или 205 или 206.

19. Если в подразделах 3.1.1, 3.2.1, 5.1, 6.1.1, 6.2.1 первый разряд кода ценной бумаги до возникновения обстоятельств, повлекших нарушения, устраняемые в соответствии с пунктом 14 Правил, (X1) = 08, то второй разряд кода ценной бумаги до возникновения обстоятельств, повлекших нарушения, устраняемые в соответствии с пунктом 14 Правил, (X2) = 221 или 222 или 223 или 224 или 225 или 226 или 227 или 228 или 229 или 230 или 231 или 232 или 233 или 234 или 235 или 236 или 237 или 238.

20. Если в подразделах 4.1, 4.2 десятый разряд кода ценной бумаги (X10) = 2, пятнадцатый разряд кода ценной бумаги (X15) = 2, в подразделах 4.1.1, 4.2.1 первый разряд кода ценной бумаги до возникновения обстоятельств, повлекших нарушения, устраняемые в соответствии с пунктом 14 Правил, (X1) = 08, то второй разряд кода ценной бумаги до возникновения обстоятельств, повлекших нарушения, устраняемые в соответствии с пунктом 14 Правил, (X2) = 221 или 222 или 223 или 224 или 225 или 226 или 227 или 228 или 229 или 230 или 231 или 232 или 233 или 234 или 235 или 236 или 237 или 238.

21. Если в подразделах 3.1.1, 3.2.1, 5.1, 6.1.1, 6.2.1 первый разряд кода ценной бумаги до возникновения обстоятельств, повлекших нарушения, устраняемые в соответствии с пунктом 14 Правил, (X1) = 10, то второй разряд кода ценной бумаги до возникновения обстоятельств, повлекших нарушения, устраняемые в соответствии с пунктом 14 Правил, (X2) = 996 или 997.

22. Если в подразделах 4.1, 4.2 десятый разряд кода ценной бумаги (X10) = 2, пятнадцатый разряд кода ценной бумаги (X15) = 2, в подразделах 4.1.1, 4.2.1 первый разряд кода ценной бумаги до возникновения обстоятельств, повлекших нарушения, устраняемые в соответствии с пунктом 14 Правил, (X1) = 10, то второй разряд кода ценной бумаги до возникновения обстоятельств, повлекших нарушения, устраняемые в соответствии с пунктом 14 Правил, (X2) = 996 или 997.

23. Если в разделе 11 третий разряд кода банковского вклада (X3) = 1, десятый разряд кода банковского вклада (X10) = 2, то в подразделе 11.1 первый разряд кода банковского вклада до возникновения обстоятельств, повлекших нарушения, устраняемые в соответствии с пунктом 14 Правил, (X1) = 02 или 03 или 04 или 07 или 08 или 10.

24. Если в разделе 11 третий разряд кода банковского вклада (X3) = 2, десятый разряд кода банковского вклада (X10) = 2, то в подразделе 11.1 первый разряд кода банковского вклада до возникновения обстоятельств, повлекших нарушения, устраняемые в соответствии с пунктом 14 Правил, (X1) = 00.

25. В подразделе 11.1 третий разряд кода банковского вклада до возникновения обстоятельств, повлекших нарушения, устраняемые в соответствии с пунктом 14 Правил, (X3) = 1.

Если срок от даты, предшествующей возникновению обстоятельств, повлекших нарушения, до отчетной даты 91 день и третий разряд кода банковского вклада до возникновения обстоятельств, повлекших нарушения, устраняемые в соответствии с пунктом 14 Правил, (X3) = 1, то для контрольных соотношений 26 - 32:

26. Если в подразделе 11.1 первый разряд кода банковского вклада до возникновения обстоятельств, повлекших нарушения, устраняемые в соответствии с пунктом 14 Правил, (X1) = 02, то второй разряд кода банковского вклада до возникновения обстоятельств, повлекших нарушения, устраняемые в соответствии с пунктом 14 Правил, (X2) = 011 или 012 или 013 или 014 или 015 или 016 или 017 или 018 или 019 или 020 или 021 или 022 или 023.

27. Если в подразделе 11.1 первый разряд кода банковского вклада до возникновения обстоятельств, повлекших нарушения, устраняемые в соответствии с пунктом 14 Правил, (X1) = 03, то второй разряд кода банковского вклада до возникновения обстоятельств, повлекших нарушения, устраняемые в соответствии с пунктом 14 Правил, (X2) = 041 или 042 или 043 или 044 или 045 или 046 или 047 или 048 или 049 или 050 или 051 или 052 или 053.

28. Если в подразделе 11.1 первый разряд кода банковского вклада до возникновения обстоятельств, повлекших нарушения, устраняемые в соответствии с пунктом 14 Правил, (X1) = 04, то второй разряд кода банковского вклада до возникновения обстоятельств, повлекших нарушения, устраняемые в соответствии с пунктом 14 Правил, (X2) = 071 или 072 или 073 или 074 или 075 или 076 или 077 или 078 или 079 или 080 или 081 или 082 или 083.

29. Если в подразделе 11.1 первый разряд кода банковского вклада до возникновения обстоятельств, повлекших нарушения, устраняемые в соответствии с пунктом 14 Правил, (X1) = 07, то второй разряд кода ценной бумаги до возникновения обстоятельств, повлекших нарушения, устраняемые в соответствии с пунктом 14 Правил, (X2) = 201 или 202 или 203 или 204 или 205 или 206.

30. Если в подразделе 11.1 первый разряд кода банковского вклада до возникновения обстоятельств, повлекших нарушения, устраняемые в соответствии с пунктом 14 Правил, (X1) = 08, то второй разряд кода банковского вклада до возникновения обстоятельств, повлекших нарушения, устраняемые в соответствии с пунктом 14 Правил, (X2) = 221 или 222 или 223 или 224 или 225 или 226 или 227 или 228 или 229 или 230 или 231 или 232 или 233 или 234 или 235 или 236 или 237 или 238.

31. Если в подразделе 11.1 первый разряд кода банковского вклада до возникновения обстоятельств, повлекших нарушения, устраняемые в соответствии с пунктом 14 Правил, (X1) = 10, то второй разряд кода банковского вклада до возникновения обстоятельств, повлекших нарушения, устраняемые в соответствии с пунктом 14 Правил, (X2) = 996 или 997.

32. Если в подразделе 11.1 первый разряд кода банковского вклада до возникновения обстоятельств, повлекших нарушения, устраняемые в соответствии с пунктом 14 Правил, (X1) = 00, то второй разряд кода банковского вклада до возникновения обстоятельств, повлекших нарушения, устраняемые в соответствии с пунктом 14 Правил, (X2) = 000.

33. Если в разделе 12 третий разряд кода доли перестраховщика (X3) = 3, десятый разряд кода доли перестраховщика (X10) = 2, то в подразделе 12.1 первый разряд кода доли перестраховщика до возникновения обстоятельств, повлекших нарушения, устраняемые в соответствии с пунктом 14 Правил, (X1) = 02 или 03 или 04 или 05 или 06.

34. Если в разделе 12 третий разряд кода доли перестраховщика (X3) = 4, десятый разряд кода доли перестраховщика (X10) = 2, то в подразделе 12.1 первый разряд кода доли перестраховщика до возникновения обстоятельств, повлекших нарушения, устраняемые в соответствии с пунктом 14 Правил, (X1) = 00.

35. В подразделе 12.1 третий разряд кода доли перестраховщика до возникновения обстоятельств, повлекших нарушения, устраняемые в соответствии с пунктом 14 Правил, (X3) = 1.

Если срок от даты, предшествующей возникновению обстоятельств, повлекших нарушения, до отчетной даты 91 день и третий разряд кода доли перестраховщика до возникновения обстоятельств, повлекших нарушения, устраняемые в соответствии с пунктом 14 Правил, (X3) = 1, то для контрольных соотношений 36 - 41:

36. Если в подразделе 12.1 первый разряд кода доли перестраховщика до возникновения обстоятельств, повлекших нарушения, устраняемые в соответствии с пунктом 14 Правил, (X1) = 02, то второй разряд кода доли перестраховщика до возникновения обстоятельств, повлекших нарушения, устраняемые в соответствии с пунктом 14 Правил, (X2) = 011 или 012 или 013 или 014 или 015 или 016 или 017 или 018 или 019 или 020 или 021 или 022 или 023.

37. Если в подразделе 12.1 первый разряд кода доли перестраховщика до возникновения обстоятельств, повлекших нарушения, устраняемые в соответствии с пунктом 14 Правил, (X1) = 03, то второй разряд кода доли перестраховщика до возникновения обстоятельств, повлекших нарушения, устраняемые в соответствии с пунктом 14 Правил, (X2) = 041 или 042 или 043 или 044 или 045 или 046 или 047 или 048 или 049 или 050 или 051 или 052 или 053.

38. Если в подразделе 12.1 первый разряд кода доли перестраховщика до возникновения обстоятельств, повлекших нарушения, устраняемые в соответствии с пунктом 14 Правил, (X1) = 04, то второй разряд кода доли перестраховщика до возникновения обстоятельств, повлекших нарушения, устраняемые в соответствии с пунктом 14 Правил, (X2) = 071 или 072 или 073 или 074 или 075 или 076 или 077 или 078 или 079 или 080 или 081 или 082 или 083.

39. Если в подразделе 12.1 первый разряд кода доли перестраховщика до возникновения обстоятельств, повлекших нарушения, устраняемые в соответствии с пунктом 14 Правил, (X1) = 05, то второй разряд кода доли перестраховщика до возникновения обстоятельств, повлекших нарушения, устраняемые в соответствии с пунктом 14 Правил, (X2) = 100 или 101 или 102 или 103 или 104 ил 105.

40. Если в подразделе 12.1 первый разряд кода доли перестраховщика до возникновения обстоятельств, повлекших нарушения, устраняемые в соответствии с пунктом 14 Правил, (X1) = 06, то второй разряд кода доли перестраховщика до возникновения обстоятельств, повлекших нарушения, устраняемые в соответствии с пунктом 14 Правил, (X2) = 118 или 119 или 120 или 121 или 122 или 123.

41. Если в подразделе 12.1 первый разряд кода доли перестраховщика до возникновения обстоятельств, повлекших нарушения, устраняемые в соответствии с пунктом 14 Правил, (X1) = 00, то второй разряд кода доли перестраховщика до возникновения обстоятельств, повлекших нарушения, устраняемые в соответствии с пунктом 14 Правил, (X2) = 000.

42. Если в коде управляющей компании в подразделах 2.2, 3.2, 4.2, 6.2 шестой разряд кода управляющей компании (X6) = 02. или 03 или 04 или 07 или 08 или 10, восьмой разряд кода управляющей компании (X8) = 7, десятый разряд кода управляющей компании (X10) = 2, то в разделе 18 первый разряд кода управляющей компании до возникновения обстоятельств, повлекших нарушения, устраняемые в соответствии с пунктом 14 Правил, (X1) = 02, или 03 или 04 или 07 или 08 или 10.

43. Если в коде управляющей компании в подразделах 2.2, 3.2, 4.2, 6.2 шестой разряд кода управляющей компании (X6) = 12, восьмой разряд кода управляющей компании (X8) = 7, десятый разряд кода управляющей компании (X10) = 2, то в разделе 18 первый разряд кода управляющей компании до возникновения обстоятельств, повлекших нарушения, устраняемые в соответствии с пунктом 14 Правил, (X1) = 12.

44. Если в коде управляющей компании в подразделах 2.2, 3.2, 4.2, 6.2 восьмой разряд кода управляющей компании (X8) = 7, десятый разряд кода управляющей компании (X10) = 2, то в разделе 18 третий разряд кода управляющей компании до возникновения обстоятельств, повлекших нарушения, устраняемые в соответствии с пунктом 14 Правил, (X3) = 7.

45. Если в коде управляющей компании в подразделах 2.2, 3.2, 4.2, 6.2 восьмой разряд кода управляющей компании (X8) = 7, десятый разряд кода управляющей компании (X10) = 2, то в разделе 18 четвертый разряд кода управляющей компании до возникновения обстоятельств, повлекших нарушения, устраняемые в соответствии с пунктом 14 Правил, (X4) = 1.

Если срок от даты, предшествующей возникновению обстоятельств, повлекших нарушения, до отчетной даты 91 день и третий, четвертый разряды кода управляющей компании, присвоенного до возникновения обстоятельств, повлекших нарушения, устраняемые в соответствии с пунктом 14 Правил, X3 = 7, X4 = 1, то для контрольных соотношений 46 - 52:

46. Если в разделе 18 первый разряд кода управляющей компании до возникновения обстоятельств, повлекших нарушения, устраняемые в соответствии с пунктом 14 Правил, (X1) = 02, то второй разряд кода управляющей компании до возникновения обстоятельств, повлекших нарушения, устраняемые в соответствии с пунктом 14 Правил, (X2) = 011 или 012 или 013 или 014 или 015 или 016 или 017 или 018 или 019 или 020 или 021 или 022 или 023.

47. Если в разделе 18 первый разряд кода управляющей компании до возникновения обстоятельств, повлекших нарушения, устраняемые в соответствии с пунктом 14 Правил, (X1) = 03, то второй разряд кода управляющей компании до возникновения обстоятельств, повлекших нарушения, устраняемые в соответствии с пунктом 14 Правил, (X2) = 041 или 042 или 043 или 044 или 045 или 046 или 047 или 048 или 049 или 050 или 051 или 052 или 053.

48. Если в разделе 18 первый разряд кода управляющей компании до возникновения обстоятельств, повлекших нарушения, устраняемые в соответствии с пунктом 14 Правил, (X1) = 04, то второй разряд кода управляющей компании до возникновения обстоятельств, повлекших нарушения, устраняемые в соответствии с пунктом 14 Правил, (X2) = 071 или 072 или 073 или 074 или 075 или 076 или 077 или 078 или 079 или 080 или 081 или 082 или 083.

49. Если в разделе 18 первый разряд кода управляющей компании до возникновения обстоятельств, повлекших нарушения, устраняемые в соответствии с пунктом 14 Правил, (X1) = 07, то второй разряд кода управляющей компании до возникновения обстоятельств, повлекших нарушения, устраняемые в соответствии с пунктом 14 Правил, (X2) = 201 или 202 или 203 или 204 или 205 или 206.

50. Если в разделе 18 первый разряд кода управляющей компании до возникновения обстоятельств, повлекших нарушения, устраняемые в соответствии с пунктом 14 Правил, (X1) = 08, то второй разряд кода управляющей компании до возникновения обстоятельств, повлекших нарушения, устраняемые в соответствии с пунктом 14 Правил, (X2) = 221 или 222 или 223 или 224 или 225 или 226 или 227 или 228 или 229 или 230 или 231 или 232 или 233 или 234 или 235 или 236 или 237 или 238.

51. Если в разделе 18 первый разряд кода управляющей компании до возникновения обстоятельств, повлекших нарушения, устраняемые в соответствии с пунктом 14 Правил, (X1) = 10, то второй разряд кода управляющей компании до возникновения обстоятельств, повлекших нарушения, устраняемые в соответствии с пунктом 14 Правил, (X2) = 996 или 997.

52. Если в разделе 18 первый разряд кода управляющей компании до возникновения обстоятельств, повлекших нарушения, устраняемые в соответствии с пунктом 14 Правил, (X1) = 12, то второй разряд кода управляющей компании до возникновения обстоятельств, повлекших нарушения, устраняемые в соответствии с пунктом 14 Правил, (X2) = 000.

53. Если в коде доверительного управляющего в подразделе 10.2 восьмой разряд кода доверительного управляющего (X8) = 8, десятый разряд кода доверительного управляющего (X10) = 2, то в разделе 18 третий разряд кода доверительного управляющего до возникновения обстоятельств, повлекших нарушения, устраняемые в соответствии с пунктом 14 Правил, (X3) = 8.

54. Если в коде доверительного управляющего в подразделе 10.2 восьмой разряд кода доверительного управляющего (X8) = 8, десятый разряд кода доверительного управляющего (X10) = 2, то в разделе 18 четвертый разряд кода доверительного управляющего до возникновения обстоятельств, повлекших нарушения, устраняемые в соответствии с пунктом 14 Правил, (X4) = 1.

Если срок от даты, предшествующей возникновению обстоятельств, повлекших нарушения, до отчетной даты 91 день и третий, четвертый разряды кода доверительного управляющего, до возникновения обстоятельств, повлекших нарушения, устраняемые в соответствии с пунктом 14 Правил, X3 = 8, X4 = 1, то для контрольных соотношений 55 - 61:

55. Если в коде доверительного управляющего в подразделе 10.2 восьмой разряд кода доверительного управляющего (X8) = 8, десятый разряд кода доверительного управляющего (X10) = 2, то в разделе 18 первый разряд кода доверительного управляющего до возникновения обстоятельств, повлекших нарушения, устраняемые в соответствии с пунктом 14 Правил, (X1) = 02 или 03 или 04 или 07 или 08 или 10.

56. Если в разделе 18 первый разряд кода доверительного управляющего до возникновения обстоятельств, повлекших нарушения, устраняемые в соответствии с пунктом 14 Правил, (X1) = 02, то второй разряд кода доверительного управляющего до возникновения обстоятельств, повлекших нарушения, устраняемые в соответствии с пунктом 14 Правил, (X2) = 011 или 012 или 013 или 014 или 015 или 016 или 017 или 018 или 019 или 020 или 021 или 022 или 023.

57. Если в разделе 18 первый разряд кода доверительного управляющего до возникновения обстоятельств, повлекших нарушения, устраняемые в соответствии с пунктом 14 Правил, (X1) = 03, то второй разряд кода доверительного управляющего до возникновения обстоятельств, повлекших нарушения, устраняемые в соответствии с пунктом 14 Правил, (X2) = 041 или 042 или 043 или 044 или 045 или 046 или 047 или 048 или 049 или 050 или 051 или 052 или 053.

58. Если в разделе 18 первый разряд кода доверительного управляющего до возникновения обстоятельств, повлекших нарушения, устраняемые в соответствии с пунктом 14 Правил, (X1) = 04, то второй разряд кода доверительного управляющего до возникновения обстоятельств, повлекших нарушения, устраняемые в соответствии с пунктом 14 Правил, (X2) = 071 или 072 или 073 или 074 или 075 или 076 или 077 или 078 или 079 или 080 или 081 или 082 или 083.

59. Если в разделе 18 первый разряд кода доверительного управляющего до возникновения обстоятельств, повлекших нарушения, устраняемые в соответствии с пунктом 14 Правил, (X1) = 07, то второй разряд кода доверительного управляющего до возникновения обстоятельств, повлекших нарушения, устраняемые в соответствии с пунктом 14 Правил, (X2) = 201 или 202 или 203 или 204 или 205 или 206.

60. Если в разделе 18 первый разряд кода доверительного управляющего до возникновения обстоятельств, повлекших нарушения, устраняемые в соответствии с пунктом 14 Правил, (X1) = 08, то второй разряд кода доверительного управляющего до возникновения обстоятельств, повлекших нарушения, устраняемые в соответствии с пунктом 14 Правил, (X2) = 221 или 222 или 223 или 224 или 225 или 226 или 227 или 228 или 229 или 230 или 231 или 232 или 233 или 234 или 235 или 236 или 237 или 238.

61. Если в разделе 18 первый разряд кода доверительного управляющего до возникновения обстоятельств, повлекших нарушения, устраняемые в соответствии с пунктом 14 Правил, (X1) = 10, то второй разряд кода доверительного управляющего до возникновения обстоятельств, повлекших нарушения, устраняемые в соответствии с пунктом 14 Правил, (X2) = 996 или 997.

62. В подразделах 2.1.1, 2.2.1, 3.1.1, 3.2.1, 4.1.1, 4.2.1, 5.1, 6.1.1, 6.2.1, 7.1, 8.1 код ценной бумаги до возникновения обстоятельств, повлекших нарушения, устраняемые в соответствии с пунктом 14 Правил, = 6 цифрам.

63. В подразделе 11.1 код банковского вклада до возникновения обстоятельств, повлекших нарушения, устраняемые в соответствии с пунктом 14 Правил, = 6 цифрам.

64. В подразделе 12.1 код доли перестраховщика до возникновения обстоятельств, повлекших нарушения, устраняемые в соответствии с пунктом 14 Правил, = 6 цифрам.

65. В подразделе 18 код управляющего компанией (доверительного управляющего) до возникновения обстоятельств, повлекших нарушения, устраняемые в соответствии с пунктом 14 Правил, = 7 цифрам.

3. Код ценной бумаги, код банковского вклада, код доли перестраховщика, код управляющей компании (доверительного управляющего) после возникновения обстоятельств, повлекших нарушения, устраняемые в соответствии с пунктом 14 Правил, отраженный по строке, что и дата возникновения обстоятельств, повлекших нарушения, устраняемые в соответствии с пунктом 14 Правил, которое возникло раньше других обстоятельств, повлекших нарушения

1. В подразделах 2.1.1, 2.2.1 первый разряд кода ценной бумаги после возникновения обстоятельств, повлекших нарушения, устраняемые в соответствии с пунктом 14 Правил, (X1) = 01.

2. Если в подразделах 4.1, 4.2 десятый разряд кода ценной бумаги (X10) = 1, пятнадцатый разряд кода ценной бумаги (X15) = 2, то в подразделах 4.1.1, 4.2.1 первый разряд кода ценной бумаги после возникновения обстоятельств, повлекших нарушения, устраняемые в соответствии с пунктом 14 Правил, (X1) = 01.

3. В подразделах 7.1, 8.1 первый разряд кода ценной бумаги после возникновения обстоятельств, повлекших нарушения, устраняемые в соответствии с пунктом 14 Правил, (X1) = 12.

4. В подразделах 3.1.1, 3.2.1, 6.1.1, 6.2.1 первый разряд кода ценной бумаги после возникновения обстоятельств, повлекших нарушения, устраняемые в соответствии с пунктом 14 Правил, (X1) = 01 или 02 или 03 или 04 или 07 или 08 или 10.

5. Если в подразделах 4.1, 4.2 десятый разряд кода ценной бумаги (X10) = 2, пятнадцатый разряд кода ценной бумаги (X15) = 2, то в подразделах 4.1.1, 4.2.1 первый разряд кода ценной бумаги после возникновения обстоятельств, повлекших нарушения, устраняемые в соответствии с пунктом 14 Правил, (X1) = 01 или 02 или 03 или 04 или 07 или 08 или 10.

6. В подразделе 5.1 первый разряд кода ценной бумаги после возникновения обстоятельств, повлекших нарушения, устраняемые в соответствии с пунктом 14 Правил, (X1) = 02 или 03 или 04 или 07 или 08 или 10 или 11.

7. В подразделах 2.1.1, 2.2.1, 3.1.1, 3.2.1, 4.1.1, 4.2.1, 5.1, 6.1.1, 6.2.1, 7.1, 8.1 третий разряд кода ценной бумаги после возникновения обстоятельств, повлекших нарушения, устраняемые в соответствии с пунктом 14 Правил, (X3) = 2.

Если срок от даты возникновения того обстоятельства, повлекшего нарушение, которое возникло раньше других обстоятельств, повлекших нарушения, до отчетной даты 90 дней и третий разряд кода ценной бумаги после возникновения обстоятельств, повлекших нарушения, устраняемые в соответствии с пунктом 14 Правил, (X3) = 2, то для контрольных соотношений 8 - 24:

8. Если в подразделах 2.1.1, 2.2.1 первый разряд кода ценной бумаги после возникновения обстоятельств, повлекших нарушения, устраняемые в соответствии с пунктом 14 Правил, (X1) = 01, то второй разряд кода ценной бумаги после возникновения обстоятельств, повлекших нарушения, устраняемые в соответствии с пунктом 14 Правил, (X2) = 007.

9. Если в подразделах 4.1, 4.2 десятый разряд кода ценной бумаги (X10) = 1, пятнадцатый разряд кода ценной бумаги (X15) = 2, в подразделах 4.1.1, 4.2.1 первый разряд кода ценной бумаги после возникновения обстоятельств, повлекших нарушения, устраняемые в соответствии с пунктом 14 Правил, (X1) = 01, то второй разряд кода ценной бумаги после возникновения обстоятельств, повлекших нарушения, устраняемые в соответствии с пунктом 14 Правил, (X2) = 000.

10. Если в подразделах 7.1, 8.1 первый разряд кода ценной бумаги после возникновения обстоятельств, повлекших нарушения, устраняемые в соответствии с пунктом 14 Правил, (X1) = 12, то второй разряд кода ценной бумаги после возникновения обстоятельств, повлекших нарушения, устраняемые в соответствии с пунктом 14 Правил, (X2) = 008.

11. Если в подразделах 3.1.1, 3.2.1, 6.1.1, 6.2.1 первый разряд кода ценной бумаги после возникновения обстоятельств, повлекших нарушения, устраняемые в соответствии с пунктом 14 Правил, (X1) = 01, то второй разряд кода ценной бумаги после возникновения обстоятельств, повлекших нарушения, устраняемые в соответствии с пунктом 14 Правил, (X2) = 002 или 003 или 004 или 006.

12. Если в подразделах 4.1, 4.2 десятый разряд кода ценной бумаги (X10) = 2, пятнадцатый разряд кода ценной бумаги (X15) = 2, в подразделах 4.1.1, 4.2.1 первый разряд кода ценной бумаги после возникновения обстоятельств, повлекших нарушения, устраняемые в соответствии с пунктом 14 Правил, (X1) = 01, то второй разряд кода ценной бумаги после возникновения обстоятельств, повлекших нарушения, устраняемые в соответствии с пунктом 14 Правил, (X2) = 002 или 003 или 004 или 006.

13. Если в подразделах 3.1.1, 3.2.1, 5.1, 6.1.1, 6.2.1 первый разряд кода ценной бумаги после возникновения обстоятельств, повлекших нарушения, устраняемые в соответствии с пунктом 14 Правил, (X1) = 02, то второй разряд кода ценной бумаги после возникновения обстоятельств, повлекших нарушения, устраняемые в соответствии с пунктом 14 Правил, (X2) = 024 или 025 или 026 или 027 или 028 или 029 или 030 или 031 или 032 или 033 или 034.

14. Если в подразделах 4.1, 4.2 десятый разряд кода ценной бумаги (X10) = 2, пятнадцатый разряд кода ценной бумаги (X15) = 2, в подразделах 4.1.1, 4.2.1 первый разряд кода ценной бумаги после возникновения обстоятельств, повлекших нарушения, устраняемые в соответствии с пунктом 14 Правил, (X1) = 02, то второй разряд кода ценной бумаги после возникновения обстоятельств, повлекших нарушения, устраняемые в соответствии с пунктом 14 Правил, (X2) = 024 или 025 или 026 или 027 или 028 или 029 или 030 или 031 или 032 или 033 или 034.

15. Если в подразделах 3.1.1, 3.2.1, 5.1, 6.1.1, 6.2.1 первый разряд кода ценной бумаги после возникновения обстоятельств, повлекших нарушения, устраняемые в соответствии с пунктом 14 Правил, (X1) = 03, то второй разряд кода ценной бумаги после возникновения обстоятельств, повлекших нарушения, устраняемые в соответствии с пунктом 14 Правил, (X2) = 054 или 055 или 056 или 057 или 058 или 059 или 060 или 061 или 062 или 063.

16. Если в подразделах 4.1, 4.2 десятый разряд кода ценной бумаги (X10) = 2, пятнадцатый разряд кода ценной бумаги (X15) = 2, в подразделах 4.1.1, 4.2.1 первый разряд кода ценной бумаги после возникновения обстоятельств, повлекших нарушения, устраняемые в соответствии с пунктом 14 Правил, (X1) = 03, то второй разряд кода ценной бумаги после возникновения обстоятельств, повлекших нарушения, устраняемые в соответствии с пунктом 14 Правил, (X2) = 054 или 055 или 056 или 057 или 058 или 059 или 060 или 061 или 062 или 063.

17. Если в подразделах 3.1.1, 3.2.1, 5.1, 6.1.1, 6.2.1 первый разряд кода ценной бумаги после возникновения обстоятельств, повлекших нарушения, устраняемые в соответствии с пунктом 14 Правил, (X1) = 04, то второй разряд кода ценной бумаги после возникновения обстоятельств, повлекших нарушения, устраняемые в соответствии с пунктом 14 Правил, (X2) = 084 или 085 или 086 или 087 или 088 или 089 или 090 или 091 или 092 или 093 или 094.

18. Если в подразделах 4.1, 4.2 десятый разряд кода ценной бумаги (X10) = 2, пятнадцатый разряд кода ценной бумаги (X15) = 2, в подразделах 4.1.1, 4.2.1 первый разряд кода ценной бумаги после возникновения обстоятельств, повлекших нарушения, устраняемые в соответствии с пунктом 14 Правил, (X1) = 04, то второй разряд кода ценной бумаги после возникновения обстоятельств, повлекших нарушения, устраняемые в соответствии с пунктом 14 Правил, (X2) = 084 или 085 или 086 или 087 или 088 или 089 или 090 или 091 или 092 или 093 или 094.

19. Если в подразделах 3.1.1, 3.2.1, 5.1, 6.1.1, 6.2.1 первый разряд кода ценной бумаги после возникновения обстоятельств, повлекших нарушения, устраняемые в соответствии с пунктом 14 Правил, (X1) = 07, то второй разряд кода ценной бумаги после возникновения обстоятельств, повлекших нарушения, устраняемые в соответствии с пунктом 14 Правил, (X2) = 207 или 208 или 209 или 210.

20. Если в подразделах 4.1, 4.2 десятый разряд кода ценной бумаги (X10) = 2, пятнадцатый разряд кода ценной бумаги (X15) = 2, в подразделах 4.1.1, 4.2.1 первый разряд кода ценной бумаги после возникновения обстоятельств, повлекших нарушения, устраняемые в соответствии с пунктом 14 Правил, (X1) = 07, то второй разряд кода ценной бумаги после возникновения обстоятельств, повлекших нарушения, устраняемые в соответствии с пунктом 14 Правил, (X2) = 207 или 208 или 209 или 210.

21. Если в подразделах 3.1.1, 3.2.1, 5.1, 6.1.1, 6.2.1 первый разряд кода ценной бумаги после возникновения обстоятельств, повлекших нарушения, устраняемые в соответствии с пунктом 14 Правил, (X1) = 08, то второй разряд кода ценной бумаги после возникновения обстоятельств, повлекших нарушения, устраняемые в соответствии с пунктом 14 Правил, (X2) = 240 или 241 или 242 или 243 или 244 или 245 или 246 или 247 или 248 или 249 или 250 или 251.

22. Если в подразделах 4.1, 4.2 десятый разряд кода ценной бумаги (X10) = 2, пятнадцатый разряд кода ценной бумаги (X15) = 2, в подразделах 4.1.1, 4.2.1 первый разряд кода ценной бумаги после возникновения обстоятельств, повлекших нарушения, устраняемые в соответствии с пунктом 14 Правил, (X1) = 08, то второй разряд кода ценной бумаги после возникновения обстоятельств, повлекших нарушения, устраняемые в соответствии с пунктом 14 Правил, (X2) = 240 или 241 или 242 или 243 или 244 или 245 или 246 или 247 или 248 или 249 или 250 или 251.

23. Если в подразделах 3.1.1, 3.2.1, 5.1, 6.1.1, 6.2.1 первый разряд кода ценной бумаги после возникновения обстоятельств, повлекших нарушения, устраняемые в соответствии с пунктом 14 Правил, (X1) = 10, то второй разряд кода ценной бумаги после возникновения обстоятельств, повлекших нарушения, устраняемые в соответствии с пунктом 14 Правил, (X2) = 998 или 999.

24. Если в подразделах 4.1, 4.2 десятый разряд кода ценной бумаги (X10) = 2, пятнадцатый разряд кода ценной бумаги (X15) = 2, в подразделах 4.1.1, 4.2.1 первый разряд кода ценной бумаги после возникновения обстоятельств, повлекших нарушения, устраняемые в соответствии с пунктом 14 Правил, (X1) = 10, то второй разряд кода ценной бумаги после возникновения обстоятельств, повлекших нарушения, устраняемые в соответствии с пунктом 14 Правил, (X2) = 998 или 999.

25. Если в разделе 11 третий разряд кода банковского вклада (X3) = 1, десятый разряд кода банковского вклада (X10) = 2, в подразделе 11.1 первый разряд кода банковского вклада после возникновения обстоятельств, повлекших нарушения, устраняемые в соответствии с пунктом 14 Правил, (X1) = 02 или 03 или 04 или 07 или 08 или 10.

26. Если в разделе 11 третий разряд кода банковского вклада (X3) = 2, десятый разряд кода банковского вклада (X10) = 2, в подразделе 11.1 первый разряд кода банковского вклада после возникновения обстоятельств, повлекших нарушения, устраняемые в соответствии с пунктом 14 Правил, (X1) = 00.

27. В подразделе 11.1 третий разряд кода банковского вклада после возникновения обстоятельств, повлекших нарушения, устраняемые в соответствии с пунктом 14 Правил, (X3) = 2.

Если срок от даты возникновения того обстоятельства, повлекшего нарушение, которое возникло раньше других обстоятельств, повлекших нарушения, до отчетной даты 90 дней и третий разряд кода банковского вклада после возникновения обстоятельств, повлекших нарушения, устраняемые в соответствии с пунктом 14 Правил, (X3) = 2, то для контрольных соотношений 28 - 34:

28. Если в подразделе 11.1 первый разряд кода банковского вклада после возникновения обстоятельств, повлекших нарушения, устраняемые в соответствии с пунктом 14 Правил, (X1) = 02, то второй разряд кода банковского вклада после возникновения обстоятельств, повлекших нарушения, устраняемые в соответствии с пунктом 14 Правил, (X2) = 024 или 025 или 026 или 027 или 028 или 029 или 030 или 031 или 032 или 033 или 034.

29. Если в подразделе 11.1 первый разряд кода банковского вклада после возникновения обстоятельств, повлекших нарушения, устраняемые в соответствии с пунктом 14 Правил, (X1) = 03, то второй разряд кода банковского вклада после возникновения обстоятельств, повлекших нарушения, устраняемые в соответствии с пунктом 14 Правил, (X2) = 054 или 055 или 056 или 057 или 058 или 059 или 060 или 061 или 062 или 063.

30. Если в подразделе 11.1 первый разряд кода банковского вклада после возникновения обстоятельств, повлекших нарушения, устраняемые в соответствии с пунктом 14 Правил, (X1) = 04, то второй разряд кода банковского вклада после возникновения обстоятельств, повлекших нарушения, устраняемые в соответствии с пунктом 14 Правил, (X2) = 084 или 085 или 086 или 087 или 088 или 089 или 090 или 091 или 092 или 093 или 094.

31. Если в подразделе 11.1 первый разряд кода банковского вклада после возникновения обстоятельств, повлекших нарушения, устраняемые в соответствии с пунктом 14 Правил, (X1) = 07, то второй разряд кода банковского вклада после возникновения обстоятельств, повлекших нарушения, устраняемые в соответствии с пунктом 14 Правил, (X2) = 207 или 208 или 209 или 210.

32. Если в подразделе 11.1 первый разряд кода банковского вклада после возникновения обстоятельств, повлекших нарушения, устраняемые в соответствии с пунктом 14 Правил, (X1) = 08, то второй разряд кода банковского вклада после возникновения обстоятельств, повлекших нарушения, устраняемые в соответствии с пунктом 14 Правил, (X2) = 240 или 241 или 242 или 243 или 244 или 245 или 246 или 247 или 248 или 249 или 250 или 251.

33. Если в подразделе 11.1 первый разряд кода банковского вклада после возникновения обстоятельств, повлекших нарушения, устраняемые в соответствии с пунктом 14 Правил, (X1) = 10, то второй разряд кода банковского вклада после возникновения обстоятельств, повлекших нарушения, устраняемые в соответствии с пунктом 14 Правил, (X2) = 998 или 999.

34. Если в подразделе 11.1 первый разряд кода банковского вклада после возникновения обстоятельств, повлекших нарушения, устраняемые в соответствии с пунктом 14 Правил, (X1) = 00, то второй разряд кода банковского вклада после возникновения обстоятельств, повлекших нарушения, устраняемые в соответствии с пунктом 14 Правил, (X2) = 000.

35. Если в разделе 12 третий разряд кода доли перестраховщика (X3) = 3, десятый разряд кода доли перестраховщика (X10) = 2, то в подразделе 12.1 первый разряд кода доли перестраховщика после возникновения обстоятельств, повлекших нарушения, устраняемые в соответствии с пунктом 14 Правил, (X1) = 02 или 03 или 04 или 05 или 06.

36. Если в разделе 12 третий разряд кода доли перестраховщика (X3) = 4, десятый разряд кода доли перестраховщика (X10) = 2, то в подразделе 12.1 первый разряд кода доли перестраховщика после возникновения обстоятельств, повлекших нарушения, устраняемые в соответствии с пунктом 14 Правил, (X1) = 00.

37. В подразделе 12.1 третий разряд кода доли перестраховщика после возникновения обстоятельств, повлекших нарушения, устраняемые в соответствии с пунктом 14 Правил, (X3) = 2.

Если срок от даты возникновения того обстоятельства, повлекшего нарушение, которое возникло раньше других обстоятельств, повлекших нарушения, до отчетной даты 90 дней и третий разряд кода доли перестраховщика после возникновения обстоятельств, повлекших нарушения, устраняемые в соответствии с пунктом 14 Правил, (X3) = 2, то для контрольных соотношений 38 - 43:

38. Если в подразделе 12.1 первый разряд кода доли перестраховщика после возникновения обстоятельств, повлекших нарушения, устраняемые в соответствии с пунктом 14 Правил, (X1) = 02, то второй разряд кода доли перестраховщика после возникновения обстоятельств, повлекших нарушения, устраняемые в соответствии с пунктом 14 Правил, (X2) = 024 или 025 или 026 или 027 или 028 или 029 или 030 или 031 или 032 или 033 или 034.

39. Если в подразделе 12.1 первый разряд кода доли перестраховщика после возникновения обстоятельств, повлекших нарушения, устраняемые в соответствии с пунктом 14 Правил, (X1) = 03, то второй разряд кода доли перестраховщика после возникновения обстоятельств, повлекших нарушения, устраняемые в соответствии с пунктом 14 Правил, (X2) = 054 или 055 или 056 или 057 или 058 или 059 или 060 или 061 или 062 или 063.

40. Если в подразделе 12.1 первый разряд кода доли перестраховщика после возникновения обстоятельств, повлекших нарушения, устраняемые в соответствии с пунктом 14 Правил, (X1) = 04, то второй разряд кода доли перестраховщика после возникновения обстоятельств, повлекших нарушения, устраняемые в соответствии с пунктом 14 Правил, (X2) = 084 или 085 или 086 или 087 или 088 или 089 или 090 или 091 или 092 или 093 или 094.

41. Если в подразделе 12.1 первый разряд кода доли перестраховщика после возникновения обстоятельств, повлекших нарушения, устраняемые в соответствии с пунктом 14 Правил, (X1) = 05, то второй разряд кода доли перестраховщика после возникновения обстоятельств, повлекших нарушения, устраняемые в соответствии с пунктом 14 Правил, (X2) = 106 или 107 или 108 или 109 или 110 или 111 или 112 или 113 или 114 или 115 или 116 или 117.

42. Если в подразделе 12.1 первый разряд кода доли перестраховщика после возникновения обстоятельств, повлекших нарушения, устраняемые в соответствии с пунктом 14 Правил, (X1) = 06, то второй разряд кода доли перестраховщика после возникновения обстоятельств, повлекших нарушения, устраняемые в соответствии с пунктом 14 Правил, (X2) = 124 или 125 или 126 или 127 или 128 или 129 или 130 или 131 или 132 или 133.

43. Если в подразделе 12.1 первый разряд кода доли перестраховщика после возникновения обстоятельств, повлекших нарушения, устраняемые в соответствии с пунктом 14 Правил, (X1) = 00, то второй разряд кода доли перестраховщика после возникновения обстоятельств, повлекших нарушения, устраняемые в соответствии с пунктом 14 Правил, (X2) = 000.

44. Если в коде управляющей компании в подразделах 2.2, 3.2, 4.2, 6.2 шестой разряд кода управляющей компании (X6) = 02 или 03 или 04 или 07 или 08 или 09 или 10, восьмой разряд кода управляющей компании (X8) = 7, десятый разряд кода управляющей компании (X10) = 2, то в разделе 18 первый разряд кода управляющей компании после возникновения обстоятельств, повлекших нарушения, устраняемые в соответствии с пунктом 14 Правил, (X1) = 02 или 03 или 04 или 07 или 08 или 09 или 10.

45. Если в коде управляющей компании в подразделах 2.2, 3.2, 4.2, 6.2 шестой разряд кода управляющей компании (X6) = 12, восьмой разряд кода управляющей компании (X8) = 7, десятый разряд кода управляющей компании (X10) = 2, то в разделе 18 первый разряд кода управляющей компании после возникновения обстоятельств, повлекших нарушения, устраняемые в соответствии с пунктом 14 Правил, (X1) = 12.

46. Если в коде управляющей компании в подразделах 2.2, 3.2, 4.2, 6.2 восьмой разряд кода управляющей компании (X8) = 7, десятый разряд кода управляющей компании (X10) = 2, то в разделе 18 третий разряд кода управляющей компании после возникновения обстоятельств, повлекших нарушения, устраняемые в соответствии с пунктом 14 Правил, (X3) = 7.

47. В разделе 18 четвертый разряд кода управляющей компании после возникновения обстоятельств, повлекших нарушения, устраняемые в соответствии с пунктом 14 Правил, (X4) = 2.

Если срок от даты возникновения того обстоятельства, повлекшего нарушение, которое возникло раньше других обстоятельств, повлекших нарушения, до отчетной даты 90 дней и третий, четвертый разряды кода управляющей компании после возникновения обстоятельств, повлекших нарушения, устраняемые в соответствии с пунктом 14 Правил, (X3) = 7, (X4) = 2, то для контрольных соотношений 48 - 55:

48. Если в разделе 18 первый разряд кода управляющей компании после возникновения обстоятельств, повлекших нарушения, устраняемые в соответствии с пунктом 14 Правил, (X1) = 02, то второй разряд кода управляющей компании (доверительного управляющего) после возникновения обстоятельств, повлекших нарушения, устраняемые в соответствии с пунктом 14 Правил, (X2) = 024 или 025 или 026 или 027 или 028 или 029 или 030 или 031 или 032 или 033 или 034.

49. Если в разделе 18 первый разряд кода управляющей компании после возникновения обстоятельств, повлекших нарушения, устраняемые в соответствии с пунктом 14 Правил, (X1) = 03, то второй разряд кода управляющей компании после возникновения обстоятельств, повлекших нарушения, устраняемые в соответствии с пунктом 14 Правил, (X2) = 054 или 055 или 056 или 057 или 058 или 059 или 060 или 061 или 062 или 063.

50. Если в разделе 18 первый разряд кода управляющей компании после возникновения обстоятельств, повлекших нарушения, устраняемые в соответствии с пунктом 14 Правил, (X1) = 04, то второй разряд кода управляющей компании после возникновения обстоятельств, повлекших нарушения, устраняемые в соответствии с пунктом 14 Правил, (X2) = 084 или 085 или 086 или 087 или 088 или 089 или 090 или 091 или 092 или 093 или 094.

51. Если в разделе 18 первый разряд кода управляющей компании после возникновения обстоятельств, повлекших нарушения, устраняемые в соответствии с пунктом 14 Правил, (X1) = 07, то второй разряд кода управляющей компании после возникновения обстоятельств, повлекших нарушения, устраняемые в соответствии с пунктом 14 Правил, (X2) = 207 или 208 или 209 или 210.

52. Если в разделе 18 первый разряд кода управляющей компании после возникновения обстоятельств, повлекших нарушения, устраняемые в соответствии с пунктом 14 Правил, (X1) = 08, то второй разряд кода управляющей компании после возникновения обстоятельств, повлекших нарушения, устраняемые в соответствии с пунктом 14 Правил, (X2) = 240 или 241 или 242 или 243 или 244 или 245 или 246 или 247 или 248 или 249 или 250 или 251.

53. Если в разделе 18 первый разряд кода управляющей компании после возникновения обстоятельств, повлекших нарушения, устраняемые в соответствии с пунктом 14 Правил, (X1) = 10, то второй разряд кода управляющей компании после возникновения обстоятельств, повлекших нарушения, устраняемые в соответствии с пунктом 14 Правил, (X2) = 998 или 999.

54. Если в коде управляющей компании в подразделах 2.2, 3.2, 4.2, 6.2 восьмой разряд кода управляющей компании (X8) = 7, десятый разряд кода управляющей компании (X10) = 2, в разделе 18 первый разряд кода управляющей компании после возникновения обстоятельств, повлекших нарушения, устраняемые в соответствии с пунктом 14 Правил, (X1) = 12, то второй разряд кода управляющей компании после возникновения обстоятельств, повлекших нарушения, устраняемые в соответствии с пунктом 14 Правил, (X2) = 000.

55. Если в коде доверительного управляющего в подразделе 10.2 восьмой разряд кода доверительного управляющего (X8) = 8, десятый разряд кода доверительного управляющего (X10) = 2, то в разделе 18 первый разряд кода управляющей компании после возникновения обстоятельств, повлекших нарушения, устраняемые в соответствии с пунктом 14 Правил, (X1) = 02 или 03 или 04 или 07 или 08 или 09 или 10.

56. Если в коде доверительного управляющего в подразделе 10.2 восьмой разряд кода доверительного управляющего (X8) = 8, десятый разряд кода доверительного управляющего (X10) = 2, то в разделе 18 третий разряд кода доверительного управляющего после возникновения обстоятельств, повлекших нарушения, устраняемые в соответствии с пунктом 14 Правил, (X3) = 8.

57. В разделе 18 четвертый разряд кода доверительного управляющего после возникновения обстоятельств, повлекших нарушения, устраняемые в соответствии с пунктом 14 Правил, (X4) = 2.

Если срок от даты возникновения того обстоятельства, повлекшего нарушение, которое возникло раньше других обстоятельств, повлекших нарушения, до отчетной даты 90 дней и третий, четвертый разряды кода доверительного управляющего до возникновения обстоятельств, повлекших нарушения, устраняемые в соответствии с пунктом 14 Правил, (X3) = 8, (X4) = 2, то для контрольных соотношений 58 - 63:

58. Если в разделе 18 первый разряд кода доверительного управляющего после возникновения обстоятельств, повлекших нарушения, устраняемые в соответствии с пунктом 14 Правил, (X1) = 02, то второй разряд кода доверительного управляющего (X2) = 024 или 025 или 026 или 027 или 028 или 029 или 030 или 031 или 032 или 033 или 034.

59. Если в разделе 18 первый разряд кода доверительного управляющего после возникновения обстоятельств, повлекших нарушения, устраняемые в соответствии с пунктом 14 Правил, (X1) = 03, то второй разряд кода доверительного управляющего (X2) = 054 или 055 или 056 или 057 или 058 или 059 или 060 или 061 или 062 или 063.

60. Если в разделе 18 первый разряд кода доверительного управляющего после возникновения обстоятельств, повлекших нарушения, устраняемые в соответствии с пунктом 14 Правил, (X1) = 04, то второй разряд кода доверительного управляющего (X2) = 084 или 085 или 086 или 087 или 088 или 089 или 090 или 091 или 092 или 093 или 094.

61. Если в разделе 18 первый разряд кода доверительного управляющего после возникновения обстоятельств, повлекших нарушения, устраняемые в соответствии с пунктом 14 Правил, (X1) = 07, то второй разряд кода доверительного управляющего (X2) = 207 или 208 или 209 или 210.

62. Если в разделе 18 первый разряд кода доверительного управляющего после возникновения обстоятельств, повлекших нарушения, устраняемые в соответствии с пунктом 14 Правил, (X1) = 08, то второй разряд кода доверительного управляющего (X2) = 240 или 241 или 242 или 243 или 244 или 245 или 246 или 247 или 248 или 249 или 250 или 251.

63. Если в разделе 18 первый разряд кода доверительного управляющего после возникновения обстоятельств, повлекших нарушения, устраняемые в соответствии с пунктом 14 Правил, (X1) = 10, то второй разряд кода доверительного управляющего (X2) = 998 или 999.

Если срок от даты возникновения того обстоятельства, повлекшего нарушение, которое возникло раньше других обстоятельств, повлекших нарушения, до отчетной даты 90 дней и третий разряд кода ценной бумаги (X3) = 2, то для контрольных соотношений 64 - 77:

64. Если в разделе 1 стр. 190, гр. 3, 5 < стр. 010, гр. 3, 5, в разделах 3.1, 3.2, 6.1, 6.2 двенадцатый разряд кода ценной бумаги (X12) = 007, в подразделах 3.1.1, 3.2.1, 6.1.1, 6.2.1 первый разряд кода ценной бумаги после возникновения обстоятельств, повлекших нарушения, устраняемые в соответствии с пунктом 14 Правил, (X1) = 01, то второй разряд кода ценной бумаги после возникновения обстоятельств, повлекших нарушения, устраняемые в соответствии с пунктом 14 Правил, (X2) = 007.

65. Если в разделе 1 стр. 190, гр. 3, 5 < стр. 010, гр. 3, 5, в разделах 4.1, 4.2 десятый разряд кода ценной бумаги (X10) = 2, двенадцатый разряд кода ценной бумаги (X12) = 007, в подразделах 4.1.1, 4.2.1 первый разряд кода ценной бумаги после возникновения обстоятельств, повлекших нарушения, устраняемые в соответствии с пунктом 14 Правил, (X1) = 01, то второй разряд кода ценной бумаги после возникновения обстоятельств, повлекших нарушения, устраняемые в соответствии с пунктом 14 Правил, (X2) = 007.

66. Если в разделе 1 стр. 190, гр. 3, 5 < стр. 010, гр. 3, 5, в разделах 3.1, 3.2, 6.1, 6.2 двенадцатый разряд кода ценной бумаги (X12) = 040, в подразделах 3.1.1, 3.2.1, 6.1.1, 6.2.1 первый разряд кода ценной бумаги после возникновения обстоятельств, повлекших нарушения, устраняемые в соответствии с пунктом 14 Правил, (X1) = 02, то второй разряд кода ценной бумаги после возникновения обстоятельств, повлекших нарушения, устраняемые в соответствии с пунктом 14 Правил, (X2) = 040.

67. Если в разделе 1 стр. 190, гр. 3, 5 < стр. 010, гр. 3, 5, в разделах 4.1, 4.2 десятый разряд кода ценной бумаги (X10) = 2, двенадцатый разряд кода ценной бумаги (X12) = 040, в подразделах 4.1.1, 4.2.1 первый разряд кода ценной бумаги после возникновения обстоятельств, повлекших нарушения, устраняемые в соответствии с пунктом 14 Правил, (X1) = 02, то второй разряд кода ценной бумаги после возникновения обстоятельств, повлекших нарушения, устраняемые в соответствии с пунктом 14 Правил, (X2) = 040.

68. Если в разделе 1 стр. 190, гр. 3, 5 < стр. 010, гр. 3, 5, в разделах 3.1, 3.2, 6.1, 6.2 двенадцатый разряд кода ценной бумаги (X12) = 070, в подразделах 3.1.1, 3.2.1, 6.1.1, 6.2.1 первый разряд кода ценной бумаги после возникновения обстоятельств, повлекших нарушения, устраняемые в соответствии с пунктом 14 Правил, (X1) = 03, то второй разряд кода ценной бумаги после возникновения обстоятельств, повлекших нарушения, устраняемые в соответствии с пунктом 14 Правил, (X2) = 070.

69. Если в разделе 1 стр. 190, гр. 3, 5 < стр. 010, гр. 3, 5, в разделах 4.1, 4.2 десятый разряд кода ценной бумаги (X10) = 2, двенадцатый разряд кода ценной бумаги (X12) = 070, в подразделах 4.1.1, 4.2.1 первый разряд кода ценной бумаги после возникновения обстоятельств, повлекших нарушения, устраняемые в соответствии с пунктом 14 Правил, (X1) = 03, то второй разряд кода ценной бумаги после возникновения обстоятельств, повлекших нарушения, устраняемые в соответствии с пунктом 14 Правил, (X2) = 070.

70. Если в разделе 1 стр. 190, гр. 3, 5 < стр. 010, гр. 3, 5, в разделах 3.1, 3.2, 6.1, 6.2 двенадцатый разряд кода ценной бумаги (X12) = 099, в подразделах 3.1.1, 3.2.1, 6.1.1, 6.2.1 первый разряд кода ценной бумаги после возникновения обстоятельств, повлекших нарушения, устраняемые в соответствии с пунктом 14 Правил, (X1) = 04, то второй разряд кода ценной бумаги после возникновения обстоятельств, повлекших нарушения, устраняемые в соответствии с пунктом 14 Правил, (X2) = 099.

71. Если в разделе 1 стр. 190, гр. 3, 5 < стр. 010, гр. 3, 5, в разделах 4.1, 4.2 десятый разряд кода ценной бумаги (X10) = 2, двенадцатый разряд кода ценной бумаги (X12) = 099, в подразделах 4.1.1, 4.2.1 первый разряд кода ценной бумаги после возникновения обстоятельств, повлекших нарушения, устраняемые в соответствии с пунктом 14 Правил, (X1) = 04, то второй разряд кода ценной бумаги после возникновения обстоятельств, повлекших нарушения, устраняемые в соответствии с пунктом 14 Правил, (X2) = 099.

72. Если в разделе 1 стр. 190, гр. 3, 5 < стр. 010, гр. 3, 5, в разделах 3.1, 3.2, 6.1, 6.2 двенадцатый разряд кода ценной бумаги (X12) = 220, в подразделах 3.1.1, 3.2.1, 6.1.1, 6.2.1 первый разряд кода ценной бумаги после возникновения обстоятельств, повлекших нарушения, устраняемые в соответствии с пунктом 14 Правил, (X1) = 07, то второй разряд кода ценной бумаги после возникновения обстоятельств, повлекших нарушения, устраняемые в соответствии с пунктом 14 Правил, (X2) = 220.

73. Если в разделе 1 стр. 190, гр. 3, 5 < стр. 010, гр. 3, 5, в разделах 4.1, 4.2 десятый разряд кода ценной бумаги (X10) = 2, двенадцатый разряд кода ценной бумаги (X12) = 220, в подразделах 4.1.1, 4.2.1 первый разряд кода ценной бумаги после возникновения обстоятельств, повлекших нарушения, устраняемые в соответствии с пунктом 14 Правил, (X1) = 07, то второй разряд кода ценной бумаги после возникновения обстоятельств, повлекших нарушения, устраняемые в соответствии с пунктом 14 Правил, (X2) = 220.

74. Если в разделе 1 стр. 190, гр. 3, 5 < стр. 010, гр. 3, 5, в разделах 3.1, 3.2, 6.1, 6.2 двенадцатый разряд кода ценной бумаги (X12) = 260, в подразделах 3.1.1, 3.2.1, 6.1.1, 6.2.1 первый разряд кода ценной бумаги после возникновения обстоятельств, повлекших нарушения, устраняемые в соответствии с пунктом 14 Правил, (X1) = 08, то второй разряд кода ценной бумаги после возникновения обстоятельств, повлекших нарушения, устраняемые в соответствии с пунктом 14 Правил, (X2) = 260.

75. Если в разделе 1 стр. 190, гр. 3, 5 < стр. 010, гр. 3, 5, в разделах 4.1, 4.2 десятый разряд кода ценной бумаги (X10) = 2, двенадцатый разряд кода ценной бумаги (X12) = 260, в подразделах 4.1.1, 4.2.1 первый разряд кода ценной бумаги после возникновения обстоятельств, повлекших нарушения, устраняемые в соответствии с пунктом 14 Правил, (X1) = 08, то второй разряд кода ценной бумаги после возникновения обстоятельств, повлекших нарушения, устраняемые в соответствии с пунктом 14 Правил, (X2) = 260.

76. Если в разделе 1 стр. 190, гр. 3, 5 < стр. 010, гр. 3, 5 в разделах 3.1, 3.2, 6.1, 6.2 двенадцатый разряд кода ценной бумаги (X12) = 990, в подразделах 3.1.1, 3.2.1, 6.1.1, 6.2.1 первый разряд кода ценной бумаги после возникновения обстоятельств, повлекших нарушения, устраняемые в соответствии с пунктом 14 Правил, (X1) = 10, то второй разряд кода ценной бумаги после возникновения обстоятельств, повлекших нарушения, устраняемые в соответствии с пунктом 14 Правил, (X2) = 990.

77. Если в разделе 1 стр. 190, гр. 3, 5 < стр. 010, гр. 3, 5, в разделах 4.1, 4.2 десятый разряд кода ценной бумаги (X10) = 2, двенадцатый разряд кода ценной бумаги (X12) = 990, в подразделах 4.1.1, 4.2.1 первый разряд кода ценной бумаги после возникновения обстоятельств, повлекших нарушения, устраняемые в соответствии с пунктом 14 Правил, (X1) = 10, то второй разряд кода ценной бумаги после возникновения обстоятельств, повлекших нарушения, устраняемые в соответствии с пунктом 14 Правил, (X2) = 990.

78. В подразделах 2.1.1, 2.2.1, 3.1.1, 3.2.1, 4.1.1, 4.2.1, 5.1, 6.1.1, 6.2.1, 7.1, 8.1 код ценной бумаги после возникновения обстоятельств, повлекших нарушения, устраняемые в соответствии с пунктом 14 Правил, = 6 цифрам.

79. В подразделе 11.1 код банковского вклада после возникновения обстоятельств, повлекших нарушения, устраняемые в соответствии с пунктом 14 Правил, = 6 цифрам.

80. В подразделе 12.1 код доли перестраховщика после возникновения обстоятельств, повлекших нарушения, устраняемые в соответствии с пунктом 14 Правил, = 6 цифрам.

81. В подразделе 18 код управляющего компанией (доверительного управляющего) после возникновения обстоятельств, повлекших нарушения, устраняемые в соответствии с пунктом 14 Правил, = 7 цифрам.

4. Код обстоятельств, не зависящих от действий страховщика, повлекших нарушения, устраняемые в соответствии с пунктом 14 Правил

1. Если в подразделах 2.1.1, 2.2.1 первый, второй, третий разряды кода ценной бумаги после возникновения обстоятельств, повлекших нарушения, устраняемые в соответствии с пунктом 14 Правил: (X1) = 01, (X2) = 007, (X3) = 2, то первый разряд кода обстоятельств (X1) = 01.

2. Если в подразделах 7.1, 8.1 первый, второй, третий разряды кода ценной бумаги после возникновения обстоятельств, повлекших нарушения, устраняемые в соответствии с пунктом 14 Правил: (X1) = 12, (X2) = 008, (X3) = 2, то первый разряд кода обстоятельств (X1) = 01.

3. Если в подразделах 3.1.1, 3.2.1, 6.1.1, 6.2.1 второй, третий разряды кода ценной бумаги после возникновения обстоятельств, повлекших нарушения, устраняемые в соответствии с пунктом 14 Правил, (X2) = 007 или 040 или 070 или 099 или 220 или 260 или 990, X3 = 2, то первый разряд кода обстоятельств (X1) = 01.

4. Если в подразделах 4.1, 4.2 десятый разряд кода ценной бумаги (X10) = 1, пятнадцатый разряд кода ценной бумаги (X15) = 2, в подразделах 4.1.1, 4.2.1 первый, второй, третий разряды кода ценной бумаги после возникновения обстоятельств, повлекших нарушения, устраняемые в соответствии с пунктом 14 Правил, (X1) = 01, (X2) = 000, X3 = 2, то первый разряд кода обстоятельств (X1) = 01.

5. Если в подразделах 4.1, 4.2 десятый разряд кода ценной бумаги (X10) = 2, пятнадцатый разряд кода ценной бумаги (X15) = 2, в подразделах 4.1.1, 4.2.1 второй, третий разряды кода ценной бумаги после возникновения обстоятельств, повлекших нарушения, устраняемые в соответствии с пунктом 14 Правил, (X2) = 007 или 040 или 070 или 099 или 220 или 260 или 990, X3 = 2, то первый разряд кода обстоятельств (X1) = 01.

6. Если в подразделах 2.1.1, 2.2.1, 3.3.1, 3.2.1, 4.1.1, 4.2.1, 6.1.1, 6.2.1 первый, второй, третий разряды кода ценной бумаги после возникновения обстоятельств, повлекших нарушения, устраняемые в соответствии с пунктом 14 Правил: (X1) = 01, (X2) = 007, (X3) = 2, то первый разряд кода обстоятельств той же ценной бумаги (X1) 02 или 03 или 04 или 05 или 07 или 08 или 09 или 10 или 11 или 12.

7. Если в подразделах 3.1.1, 3.2.1, 6.1.1, 6.2.1 первый, второй, третий разряды кода ценной бумаги после возникновения обстоятельств, повлекших нарушения, устраняемые в соответствии с пунктом 14 Правил: (X1) = 01, (X2) = 002 или 003 или 004 или 006, (X3) = 2, то первый разряд кода обстоятельств (X1) = 02.

8. Если в подразделах 4.1, 4.2 десятый разряд кода ценной бумаги (X10) = 2, пятнадцатый разряд кода ценной бумаги (X15) = 2, в подразделах 4.1.1, 4.2.1 первый, второй, третий разряды кода ценной бумаги после возникновения обстоятельств, повлекших нарушения, устраняемые в соответствии с пунктом 14 Правил: (X1) = 01, (X2) = 002 или 003 или 004 или 006, (X3) = 2, то первый разряд кода обстоятельств (X1) = 02.

9. Если в подразделах 3.1.1, 3.2.1, 5.1, 6.1.1, 6.2.1 первый, третий разряды кода ценной бумаги после возникновения обстоятельств, повлекших нарушения, устраняемые в соответствии с пунктом 14 Правил, (X1) = 02 или 03 или 04, (X3) = 2, то первый разряд кода обстоятельств (X1) = 03.

10. Если в подразделах 4.1, 4.2 десятый разряд кода ценной бумаги (X10) = 2, пятнадцатый разряд кода ценной бумаги (X15) = 2, в подразделах 4.1.1, 4.2.1 первый, третий разряды кода ценной бумаги после возникновения обстоятельств, повлекших нарушения, устраняемые в соответствии с пунктом 14 Правил, (X1) = 02 или 03 или 04, (X3) = 2, то первый разряд кода обстоятельств (X1) = 03.

11. Если в подразделах 3.1.1, 3.2.1, 2.1, 5.1, 6.1.1, 6.2.1 первый, третий разряды кода ценной бумаги после возникновения обстоятельств, повлекших нарушения, устраняемые в соответствии с пунктом 14 Правил: (X1) = 07 или 08 или 10, (X3) = 2, то первый разряд кода обстоятельств (X1) = 04.

12. Если в подразделах 4.1, 4.2 десятый разряд кода ценной бумаги (X10) = 2, пятнадцатый разряд кода ценной бумаги (X15) = 2, в подразделах 4.1.1, 4.2.1 первый, третий разряды кода ценной бумаги после возникновения обстоятельств, повлекших нарушения, устраняемые в соответствии с пунктом 14 Правил: (X1) = 07 или 08 или 10, (X3) = 2, то первый разряд кода обстоятельств (X1) = 04.

13. В подразделе 5.1 если первый разряд кода обстоятельств (X1) 03 или 04, то первый разряд кода обстоятельств (X1) = 07 или 08 или 09 или 10 или 11 или 12.

14. Если в подразделах 2.1.1, 2.2.1, 3.1.1, 3.2.1, 4.1.1, 4.2.1, 6.1.1, 6.2.1, 7.1, 8.1 первый разряд кода обстоятельств (X1) 01 или 02 или 03 или 04, то первый разряд кода обстоятельств (X1) = 12.

15. В подразделе 11.1 первый разряд кода обстоятельств (X1) 01 или 02.

16. Если в разделе 11 третий разряд кода банковского вклада (X3) = 1, десятый разряд кода банковского вклада (X10) = 2, в подразделе 11.1 первый, третий разряды кода банковского вклада после возникновения обстоятельств, повлекших нарушения, устраняемые в соответствии с пунктом 14 Правил: (X1) = 02 или 03 или 04, X3 = 2, то первый разряд кода обстоятельств (X1) = 03.

17. Если в разделе 11 третий разряд кода банковского вклада (X3) = 1, десятый разряд кода банковского вклада (X10) = 2, в подразделе 11.1 первый, третий разряды кода банковского вклада после возникновения обстоятельств, повлекших нарушения, устраняемые в соответствии с пунктом 14 Правил: (X1) = 07 или 08 или 10, (X3) = 2, то первый разряд кода обстоятельств (X1) = 04.

18. Если в разделе 11 третий разряд кода банковского вклада (X3) = 1, десятый разряд кода банковского вклада (X10) = 2, в подразделе 11.1 первый разряд кода обстоятельств (X1) 03 или 04, то первый разряд кода обстоятельств (X1) = 07 или 08 или 09 или 10 или 11 или 12.

19. Если в разделе 11 третий разряд кода банковского вклада (X3) = 2, десятый разряд кода банковского вклада (X10) = 2, в подразделе 11.1 первый разряд кода обстоятельств (X1) 03 или 04, то первый разряд кода обстоятельств (X1) = 07 или 08 или 09 или 10 или 11 или 12.

20. В подразделе 12.1 первый разряд кода обстоятельств (X1) 01 или 02.

21. Если в разделе 12 третий разряд кода доли перестраховщика (X3) = 3, десятый разряд кода доли перестраховщика (X10) = 2, в подразделе 12.1 первый, третий разряды кода доли перестраховщика после возникновения обстоятельств, повлекших нарушения, устраняемые в соответствии с пунктом 14 Правил: (X1) = 02 или 03 или 04 или 05 или 06, (X3) = 2, то первый разряд кода обстоятельств (X1) = 03.

22. Если в разделе 12 третий разряд кода доли перестраховщика (X3) = 3, десятый разряд кода доли перестраховщика (X10) = 2, в подразделе 12.1 первый, третий разряды кода доли перестраховщика после возникновения обстоятельств, повлекших нарушения, устраняемые в соответствии с пунктом 14 Правил: (X1) = 07 или 08 или 10, (X3) = 2, то первый разряд кода обстоятельств (X1) = 04.

23. Если в разделе 12 третий разряд кода доли перестраховщика (X3) = 3, десятый разряд кода доли перестраховщика (X10) = 2, в подразделе 12.1 первый разряд кода обстоятельств (X1) 03 или 04, то первый разряд кода обстоятельств (X1) = 12.

24. Если в разделе 12 третий разряд кода доли перестраховщика (X3) = 4, десятый разряд кода доли перестраховщика (X10) = 2, то первый разряд кода обстоятельств (X1) = 12.

25. Если в разделе 18 первый, четвертый разряды кода управляющей компании (доверительного управляющего) после возникновения обстоятельств, повлекших нарушения, устраняемые в соответствии с пунктом 14 Правил: (X1) = 02 или 03 или 04, (X4) = 2, то первый разряд кода обстоятельств (X1) = 03.

26. Если в разделе 18 первый, четвертый разряды кода управляющей компании (доверительного управляющего) после возникновения обстоятельств, повлекших нарушения, устраняемые в соответствии с пунктом 14 Правил: (X1) = 07 или 08 или 09, (X4) = 2, то первый разряд кода обстоятельств (X1) = 04.

27. Если в разделе 18 первый, четвертый разряды кода управляющей компании (доверительного управляющего) после возникновения обстоятельств, повлекших нарушения, устраняемые в соответствии с пунктом 14 Правил: (X1) = 12, (X4) = 2, то первый разряд кода обстоятельств (X1) = 05.

28. Если в разделе 18 первый разряд кода обстоятельств (X1) 02 или 03 или 04 или 05, то первый разряд кода обстоятельств (X1) = 07 или 08 или 09 или 10 или 11 или 12.

29. В подразделах 2.1.1, 2.2.1, 3.1.1, 3.2.1, 4.1.1, 4.2.1, 5.1, 6.1.1, 6.2.1, 7.1, 8.1, 11.1, 12.1 код обстоятельств = 2 цифрам.

2. Отчет о составе активов, принимаемых для покрытия собственных средств (форма N 14-страховщик)

В Отчете о составе активов, принимаемых для покрытия собственных средств (форма N 14-страховщик), необходимо обеспечить соблюдение следующих контрольных соотношений кодов активов, принимаемых для покрытия собственных средств страховой организации, и иных кодов, используемых при заполнении формы N 14-страховщик.

Если в кодах активов и иных кодах, используемых при заполнении формы N 14-страховщик, одно или несколько значащих значений разрядов, состоящих из двух или более десятичных разрядов, являются резервными, т.е. проставляется 0, то количество нулей при их заполнении должно равняться значению десятичных разрядов.

Коды активов, принимаемых для покрытия собственных средств страховой организации

1. Первый (X1) и второй (X2) разряды кодов всех видов активов, принимаемых для покрытия собственных средств страховой организации

Если в разделе 1 стр. 014, гр. 3, 4 > стр. 015, гр. 3, 4 и стр. 015, гр. 3, 4 стр. 016, гр. 3, 4 и стр. 018, гр. 3, 4 = 0, то:

1. В разделах 2 - 12, 14 - 16 первый разряд кода всех видов активов, принимаемых для покрытия собственных средств страховой организации в размере, равном или превышающем минимальный размер уставного капитала, (X1) = 01 или 02 или 03 или 04.

2. В разделах 13, 17 первый разряд кода всех видов активов, принимаемых для покрытия собственных средств страховой организации в размере, превышающем минимальный размер уставного капитала, (X1) = 03 или 04.

Если в разделе 1 стр. 014 гр. 3, 4 = стр. 015, гр. 3, 4 и стр. 015, гр. 3, 4 > стр. 016, гр. 3, 4, то:

3. В разделах 2 - 12, 14 - 16 первый разряд кода всех видов активов, принимаемых для покрытия собственных средств страховой организации в размере, равном минимальному размеру уставного капитала, (X1) = 01 или 02.

Если в разделе 1 стр. 014, гр. 3, 4 > стр. 016, гр. 3, 4 и стр. 016, гр. 3, 4 стр. 015, гр. 3, 4 и стр. 017, гр. 3, 4 = 0, то:

4. В разделах 2 - 12, 14 - 16 первый разряд кода всех видов активов, принимаемых для покрытия собственных средств страховой организации в размере, равном или превышающем нормативный размер маржи платежеспособности, (X1) = 05 или 06 или 07 или 08.

5. В разделах 13, 17 первый разряд кода всех видов активов, принимаемых для покрытия собственных средств страховой организации в размере, превышающем нормативный размер маржи платежеспособности, (X1) = 07 или 08.

Если в разделе 1 стр. 014, гр. 3, 4 = стр. 016, гр. 3, 4 и стр. 015, гр. 3, 4 < стр. 016, гр. 3, 4, то:

6. В разделах 2 - 12, 14 - 16 первый разряд кода всех видов активов, принимаемых для покрытия собственных средств страховой организации в размере, равном нормативному размеру маржи платежеспособности, (X1) = 05 или 06.

Если в разделе 1 стр. 014, гр. 3, 4 = стр. 015, гр. 3, 4 и стр. 015, гр. 3, 4 = стр. 016, гр. 3, 4, то:

Если в разделе 1 стр. 014, гр. 3, 4 = стр. 015, гр. 3, 4 и стр. 015, гр. 3, 4 = стр. 016, гр. 3, 4 или, если стр. 014, гр. 3, 4 = стр. 016, гр. 3, 4 и стр. 016, гр. 3, 4 = стр. 015, гр. 3, 4, то:

7. В разделах 2 - 12, 14 - 16 первый разряд кода всех видов активов, представляющих собственные средства страховой организации в размере, равному минимальному размеру уставного капитала и нормативному размеру маржи платежеспособности, (X1) = 09 или 10.

Если в разделе 1, стр. 014, гр. 3, 4 > 0 и стр. 014, гр. 3, 4 < стр. 015, гр. 3, 4 и стр. 014, гр. 3, 4 < стр. 016, гр. 3, 4, то:

8. В разделах 2 - 12, 14 - 16 первый разряд кода всех видов активов, представляющих собственные средства страховой организации в размере меньше минимального размера уставного капитала или нормативного размера маржи платежеспособности (X1) = 11 или 12.

9. В разделах 2, 3, 7, 8, 9, 16 второй разряд кода всех видов активов (X2) = 1 или 2 или 3.

10. В разделах 4, 6 второй разряд кода всех видов активов (X2) = 1 или 2 или 3 или 4 или 5 или 6 или 7 или 8 или 9.

11. В разделах 5, 10, 11, 12, 14, 17 второй разряд кода всех видов активов (X2) = 1 или 2 или 3 или 4 или 5 или 6.

12. Если в разделе 13 третий, четвертый разряд кода объекта интеллектуальной собственности и иных активов, кроме отраженных по строкам 020 - 188 раздела 1, принимаемых для покрытия собственных средств страховой организации в размере, превышающем наибольший из двух показателей, указанных в пункте 7 Требований, (X3) = 1 или 6, (X4) = 01 или 02 или 03, то второй разряд кода объекта интеллектуальной собственности и иных для активов, кроме отраженных по строкам 020 - 188 раздела 1, принимаемых для покрытия собственных средств страховой организации в размере, превышающем наибольший из двух показателей, указанных в пункте 7 Требований, (X2) = 1 или 2 или 3 или 4 или 5 или 6.

13. Если в разделе 13 третий, четвертый разряд кода объекта интеллектуальной собственности и иных активов, кроме отраженных по строкам 020 - 188 раздела 1, принимаемых для покрытия собственных средств страховой организации в размере, превышающем наибольший из двух показателей, указанных в пункте 7 Требований, (X3) = 3 или 4, (X4) = 05, то второй разряд кода объекта интеллектуальной собственности и иных для активов, кроме отраженных по строкам 020 - 188 раздела 1, принимаемых для покрытия собственных средств страховой организации в размере, превышающем наибольший из двух показателей, указанных в пункте 7 Требований, (X2) = 3 или 6.

14. Если в разделе 13 третий, четвертый разряд кода объекта интеллектуальной собственности и иных активов, кроме отраженных по строкам 020 - 188 раздела 1, принимаемых для покрытия собственных средств страховой организации в размере, превышающем наибольший из двух показателей, указанных в пункте 7 Требований, (X3) = 3 или 4, (X4) = 06 или 07, то второй разряд кода объекта интеллектуальной собственности и иных для активов, кроме отраженных по строкам 020 - 188 раздела 1, принимаемых для покрытия собственных средств страховой организации в размере, превышающем наибольший из двух показателей, указанных в пункте 7 Требований, (X2) = 1 или 2 или 3 или 4 или 5 или 6.

15. Если в разделе 13 третий, четвертый разряд кода объекта интеллектуальной собственности и иных активов, кроме отраженных по строкам 020 - 188 раздела 1, принимаемых для покрытия собственных средств страховой организации в размере, превышающем наибольший из двух показателей, указанных в пункте 7 Требований, (X3) = 5, (X4) = 08 или 09 или 10, то второй разряд кода объекта интеллектуальной собственности и иных для активов, кроме отраженных по строкам 020 - 188 раздела 1, принимаемых для покрытия собственных средств страховой организации в размере, превышающем наибольший из двух показателей, указанных в пункте 7 Требований, (X2) = 3 или 6, иное требуется пояснить в записке.

16. Если в разделе 13 третий, четвертый разряд кода объекта интеллектуальной собственности и иных активов, кроме отраженных по строкам 020 - 188 раздела 1, принимаемых для покрытия собственных средств страховой организации в размере, превышающем наибольший из двух показателей, указанных в пункте 7 Требований, (X3) = 7, (X4) = 11, то второй разряд кода объекта интеллектуальной собственности и иных для активов, кроме отраженных по строкам 020 - 188 раздела 1, принимаемых для покрытия собственных средств страховой организации в размере, превышающем наибольший из двух показателей, указанных в пункте 7 Требований, (X2) = 3 или 6.

17. Если в разделе 13 третий, четвертый разряд кода объекта интеллектуальной собственности и иных активов, кроме отраженных по строкам 020 - 188 раздела 1, принимаемых для покрытия собственных средств страховой организации в размере, превышающем наибольший из двух показателей, указанных в пункте 7 Требований, (X3) = 7, (X4) = 30, то второй разряд кода объекта интеллектуальной собственности и иных для активов, кроме отраженных по строкам 020 - 188 раздела 1, принимаемых для покрытия собственных средств страховой организации в размере, превышающем наибольший из двух показателей, указанных в пункте 7 Требований, (X2) = 3 или 6, иное требуется пояснить в записке.

18. Если в разделе 15 третий разряд кода денежных средств (X3) = 1 или 2 или 3 или 4, то второй разряд кода денежных средств (X2) = 1 или 2 или 3 или 4 или 5 или 6.

19. Если в разделе 15 третий разряд кода денежных средств (X3) = 5, то второй разряд кода денежных средств (X2) = 3 или 6.

Если в файле описания страховой организации поле "Обязательное медицинское страхование" = 1 и поле "Страхование иное, чем страхование жизни" = 0, то для контрольных соотношений 20 - 24:

20. Если в разделе 1 стр. 014, гр. 3, 4 > стр. 015, гр. 3, 4 и стр. 015, гр. 3, 4 стр. 016, гр. 3, 4 и стр. 018, гр. 3, 4 = 0, то в разделах 7, 9, 10, 12, 14, 16 первый разряд кода всех видов активов, принимаемых для покрытия собственных средств страховой организации в размере, равном или превышающем минимальный размер уставного капитала, (X1) = 01 или 03.

21. Если в разделе 1 стр. 014, гр. 3, 4 > стр. 015, гр. 3, 4 и стр. 015, гр. 3, 4 стр. 016, гр. 3, 4 и стр. 018, гр. 3, 4 = 0, то в разделах 13, 17 первый разряд кода все видов активов, принимаемых для покрытия собственных средств страховой организации в размере, превышающем минимальный размер уставного капитала, (X1) = 03.

22. Если в разделе 1 стр. 014 гр. 3, 4 = стр. 015, гр. 3, 4 и стр. 015, гр. 3, 4 > стр. 016, гр. 3, 4, то в разделах 7, 9, 10, 12, 14, 16, первый разряд кода всех видов активов, принимаемых для покрытия собственных средств страховой организации в размере, равном минимальному размеру уставного капитала, (X1) = 01.

23. Если в разделе 1 стр. 014, гр. 3, 4 = стр. 015, гр. 3, 4 и стр. 015, гр. 3, 4 = стр. 016, р. 3, 4, то в разделах 7, 9, 10, 12, 14, 16 первый разряд кода всех видов активов, представляющих собственные средства страховой организации в размере, равному минимальному размеру уставного капитала и нормативному размеру маржи платежеспособности, (X1) = 09.

24. Если в разделе 1, стр. 014, гр. 3, 4 > 0 и стр. 014, гр. 3, 4 < стр. 015, гр. 3, 4 и стр. 014, гр. 3, 4 < стр. 016, гр. 3, 4, то в разделах 7, 9, 10, 12, 14, 16 первый разряд кода всех видов активов, представляющих собственные средства страховой организации в размере меньше минимального размера уставного капитала или нормативного размера маржи платежеспособности (X1) = 11.

25. Если в разделе 13 третий, четвертый разряд кода объекта интеллектуальной собственности и иных активов, кроме отраженных по строкам 020 - 188 раздела 1, принимаемых для покрытия собственных средств страховой организации в размере, превышающем наибольший из двух показателей, указанных в пункте 7 Требований, (X3) = 2, (X4) = 12 или 13 или 14 или 15 или 16 или 17 или 18 или 19 или 20, то второй разряд кода объекта интеллектуальной собственности и иных для активов, кроме отраженных по строкам 020 - 188 раздела 1, принимаемых для покрытия собственных средств страховой организации в размере, превышающем наибольший из двух показателей, указанных в пункте 7 Требований, (X2) = 1 или 2 или 3 или 4 или 5 или 6.

26. Если в графе 10 раздела 5 пятый разряд кода ценной бумаги (X5) = 7 или 8 и шестой разряд кода ценной бумаги (X6) = 2 или 3 или 4 или 5, то первый разряд кода ценной бумаги (X1) = 01 или 02 или 03 или 04 или 05 или 06 или 07 или 08 или 09 или 10 или 11 или 12.

27. Если в графе 10 раздела 5 пятый разряд кода ценной бумаги (X5) = 7 или 8 и шестой разряд кода ценной бумаги (X6) = 1, то первый разряд кода ценной бумаги (X1) = 01 или 02 или 03 или 04 или 05 или 06 или 07 или 08 или 09 или 10 или 11 или 12.

2. Код ценной бумаги

1. В разделах 2, 3 третий разряд кода ценной бумаги (X3) = 1.

2. В разделе 4 третий разряд кода ценной бумаги (X3) = 1 или 6 или 7.

3. В разделе 5 третий разряд кода ценной бумаги (X3) = 4.

4. В разделе 6 третий разряд кода ценной бумаги (X3) = 3.

5. В разделе 7 третий разряд кода ценной бумаги (X3) = 8.

6. В разделе 8 третий разряд кода ценной бумаги (X3) = 5.

7. В разделах 2, 3 четвертый разряд кода ценной бумаги (X4) = 0.

8. Если в разделе 4 пятый разряд кода ценной бумаги (X5) = 1 или 2 или 3, то четвертый разряд кода ценной бумаги (X4) = 0.

9. Если в разделе 4 пятый разряд кода ценной бумаги (X5) = 4 или 6 или 7 или 8, то четвертый разряд кода ценной бумаги (X4) = 1 или 2 или 3.

10. Если в разделах 5, 6 пятый разряд кода ценной бумаги (X5) = 4 или 7 или 8, то четвертый разряд кода ценной бумаги (X4) = 1 или 2 или 3.

11. В разделах 7, 8 четвертый разряд кода ценной бумаги (X4) = 1 или 2 или 3.

12. В разделе 2 пятый разряд кода ценной бумаги (X5) = 1

13. В разделе 3 пятый разряд кода ценной бумаги (X5) = 2 или 3.

14. Если в разделе 4 третий разряд кода ценной бумаги (X3) = 1, второй разряд кода ценной бумаги (X2) = 1 или 2 или 3, то пятый разряд кода ценной бумаги (X5) = 4 или 7 или 8.

15. Если в разделе 4 третий разряд кода ценной бумаги (X3) = 6 или 7, второй разряд кода ценной бумаги (X2) = 1 или 2 или 3, то пятый разряд кода ценной бумаги (X5) = 4 или 6.

16. Если в разделе 4 третий разряд кода ценной бумаги (X3) = 1, второй разряд кода ценной бумаги (X2) = 4 или 5 или 6 или 7 или 8 или 9, то пятый разряд кода ценной бумаги (X5) = 1 или 2 или 3 или 4 или 7 или 8.

17. Если в разделе 4 третий разряд кода ценной бумаги (X3) = 6, второй разряд кода ценной бумаги (X2) = 4 или 5 или 6 или 7 или 8 или 9, то пятый разряд кода ценной бумаги (X5) = 4 или 7.

18. В разделе 5 пятый разряд кода ценной бумаги (X5) = 4 или 7 или 8.

19. В разделе 6 пятый разряд кода ценной бумаги (X5) = 4 или 7 или 8.

20. В разделе 7 пятый разряд кода ценной бумаги (X5) = 2.

21. В разделах 2, 3, 4, 6, 7, 8 шестой разряд кода ценной бумаги (X6) = 1 или 2.

22. В графе 10 раздела 5 шестой разряд кода ценной бумаги (X6) = 1 или 2 или 3 или 4 или 5.

23. Если в графе 10 раздела 5 шестой разряд кода ценной бумаги (X6) = 2, то в графе 32 шестой разряд кода ценной бумаги (X6) = 2.

24. В разделах 2, 3, 5 седьмой разряд кода ценной бумаги (X7) = 1 или 2.

25. Если в разделе 4 третий разряд кода ценной бумаги (X3) = 1 или 6 или 7, то седьмой разряд кода ценной бумаги (X7) = 1 или 2.

26. В разделе 7 седьмой разряд кода ценной бумаги (X7) = 0.

27. В разделе 6 седьмой разряд кода ценной бумаги (X7) = 1 или 2 или 3 или 4 или 5 или 6.

28. В разделе 8 седьмой разряд кода ценной бумаги (X7) = 1 или 2 или 3.

29. Если в разделе 4 третий разряд кода ценной бумаги (X3) = 1, второй разряд кода ценной бумаги (X2) = 1 или 2 или 3, то восьмой разряд кода ценной бумаги (X8) = 1 или 2.

30. Если в разделе 4 третий разряд кода ценной бумаги (X3) = 1 или 6, второй разряд кода ценной бумаги (X2) = 4 или 5 или 6 или 7 или 8 или 9, то восьмой разряд кода ценной бумаги (X8) = 0.

31. Если в разделе 4 третий разряд кода ценной бумаги (X3) = 6 или 7, второй разряд кода ценной бумаги (X2) = 1 или 2 или 3, то восьмой разряд кода ценной бумаги (X8) = 0.

32. В разделе 6 восьмой разряд кода ценной бумаги (X8) = 1 или 2.

33. В разделах 2, 3, 7, 8 восьмой разряд кода ценной бумаги (X8) = 0.

34. В разделах 2, 3, 4, 5 девятый разряд кода ценной бумаги (X9) = 1 или 2 или 3 или 4.

35. В разделах 6, 8 девятый разряд кода ценной бумаги (X9) = 5.

36. В разделе 7 девятый разряд кода ценной бумаги (X9) = 2 или 3 или 4.

37. Если в разделе 4 третий разряд кода ценной бумаги (X3) = 6 или 7, второй разряд кода ценной бумаги (X2) = 1 или 2 или 3, то десятый разряд кода ценной бумаги (X10) = 2.

38. Если в разделе 4 третий разряд кода ценной бумаги (X3) = 1, второй разряд кода ценной бумаги (X2) = 1 или 2 или 3, то десятый разряд кода ценной бумаги (X10) = 1 или 2.

39. Если в разделе 4 третий разряд кода ценной бумаги (X3) = 1 или 6, второй разряд кода ценной бумаги (X2) = 4 или 5 или 6 или 7 или 8 или 9, то десятый разряд кода ценной бумаги (X10) = 0.

40. В разделах 2, 3, 5, 6, 7, 8 десятый разряд кода ценной бумаги (X10) = 0.

Если в разделах 2, 3, 4, 5, 6, 7, 8 первый разряд кода ценной бумаги (X1) = 01 или 02, то для контрольных соотношений 41 - 117:

41. Если в разделе 2 пятнадцатый разряд кода ценной бумаги (X15) = 1, то одиннадцатый разряд кода ценной бумаги (X11) = 00.

42. Если в разделе 2 пятнадцатый разряд кода ценной бумаги (X15) = 2, то одиннадцатый разряд кода ценной бумаги (X11) = 01.

43. В разделе 3 одиннадцатый разряд кода ценной бумаги (X11) = 01 или 02 или 03 или 04 или 07 или 10.

44. Если в разделе 4 второй разряд кода ценной бумаги (X2) = 1 или 2 или 3, третий разряд кода ценной бумаги (X3) = 1, пятый разряд кода ценной бумаги (X5) = 4, десятый разряд кода ценной бумаги (X10) = 2, то одиннадцатый разряд кода ценной бумаги (X11) = 01 или 02 или 03 или 04 или 07 или 08 или 10.

45. Если в разделе 4 второй разряд кода ценной бумаги (X2) = 1 или 2 или 3, третий разряд кода ценной бумаги (X3) = 1, пятый разряд кода ценной бумаги (X5) = 7, десятый разряд кода ценной бумаги (X10) = 2, то одиннадцатый разряд кода ценной бумаги (X11) = 01 или 02 или 03 или 04 или 07 или 10.

46. Если в разделе 4 второй разряд кода ценной бумаги (X2) = 1 или 2 или 3, третий разряд кода ценной бумаги (X3) = 1, пятый разряд кода ценной бумаги (X5) = 7, десятый разряд кода ценной бумаги (X10) = 1, пятнадцатый разряд кода ценной бумаги (X15) = 1, то одиннадцатый разряд кода ценной бумаги (X11) = 00.

47. Если в разделе 4 второй разряд кода ценной бумаги (X2) = 1 или 2 или 3, третий разряд кода ценной бумаги (X3) = 1, пятый разряд кода ценной бумаги (X5) = 7, десятый разряд кода ценной бумаги (X10) = 1 и пятнадцатый разряд кода ценной бумаги (X15) = 2, то одиннадцатый разряд кода ценной бумаги (X11) = 01.

48. Если в разделе 4 второй разряд кода ценной бумаги (X2) = 1 или 2 или 3, третий разряд кода ценной бумаги (X3) = 6 или 7, пятый разряд кода ценной бумаги (X5) = 4, десятый разряд кода ценной бумаги (X10) = 2, то одиннадцатый разряд кода ценной бумаги (X11) = 01 или 02 или 03 или 04 или 07 или 08 или 10.

49. Если в разделе 4 второй разряд кода ценной бумаги (X2) = 1 или 2 или 3, третий разряд кода ценной бумаги (X3) = 6 или 7, пятый разряд кода ценной бумаги (X5) = 6, десятый разряд кода ценной бумаги (X10) = 2, то одиннадцатый разряд кода ценной бумаги (X11) = 01 или 02 или 03 или 04 или 07 или 10.

50. Если в разделе 4 второй разряд кода ценной бумаги (X2) = 4 или 5 или 6, третий разряд кода ценной бумаги (X3) = 1 или 6, то одиннадцатый разряд кода ценной бумаги (X11) = 02 или 03 или 04.

51. Если в разделе 4 второй разряд кода ценной бумаги (X2) = 7 или 8 или 9, третий разряд кода ценной бумаги (X3) = 1 или 6, то одиннадцатый разряд кода ценной бумаги (X11) = 01.

52. Если в разделе 5 второй разряд кода ценной бумаги (X2) = 1 или 2 или 3, пятый разряд кода ценной бумаги (X5) = 4, то одиннадцатый разряд кода ценной бумаги (X11) = 02 или 03 или 04 или 07 или 08 или 10 или 11.

53. Если в разделе 5 второй разряд кода ценной бумаги (X2) = 1 или 2 или 3, пятый разряд кода ценной бумаги (X5) = 7 или 8, то одиннадцатый разряд кода ценной бумаги (X11) = 02 или 03 или 04 или 07 или 10.

54. Если в разделе 5 второй разряд кода ценной бумаги (X2) = 4 или 5 или 6, пятый разряд кода ценной бумаги (X5) = 4, то одиннадцатый разряд кода ценной бумаги (X11) = 02 или 03 или 04 или 11.

55. Если в разделе 5 второй разряд кода ценной бумаги (X2) = 4 или 5 или 6, пятый разряд кода ценной бумаги (X5) = 7 или 8, то одиннадцатый разряд кода ценной бумаги (X11) = 02 или 03 или 04.

56. Если в разделе 6 второй разряд кода ценной бумаги (X2) = 1 или 2 или 3, пятый разряд кода ценной бумаги (X5) = 4, то одиннадцатый разряд кода ценной бумаги (X11) = 01 или 02 или 03 или 04 или 07 или 08 или 10.

57. Если в разделе 6 второй разряд кода ценной бумаги (X2) = 1 или 2 или 3, пятый разряд кода ценной бумаги (X5) = 7 или 8, то одиннадцатый разряд кода ценной бумаги (X11) = 01 или 02 или 03 или 04 или 07 или 10.

58. Если в разделе 6 второй разряд кода ценной бумаги (X2) = 4 или 5 или 6, то одиннадцатый разряд кода ценной бумаги (X11) = 02 или 03 или 04.

59. Если в разделе 6 второй разряд кода ценной бумаги (X2) = 7 или 8 или 9, то одиннадцатый разряд кода ценной бумаги (X11) = 01.

60. Если в разделе 7 пятнадцатый разряд кода ценной бумаги (X15) = 1, то одиннадцатый разряд кода ценной бумаги (X11) = 00, двенадцатый разряд кода ценной бумаги (X12) = 000.

61. Если в разделе 7 пятнадцатый разряд кода ценной бумаги (X15) = 2, то одиннадцатый разряд кода ценной бумаги (X11) = 12, двенадцатый разряд кода ценной бумаги (X12) = 008.

62. Если в разделе 8 пятнадцатый разряд кода ценной бумаги (X15) = 1, то одиннадцатый разряд кода ценной бумаги (X11) = 00, двенадцатый разряд кода ценной бумаги (X12) = 000.

63. Если в разделе 8 пятнадцатый разряд кода ценной бумаги (X15) = 2, то одиннадцатый разряд кода ценной бумаги (X11) = 12, двенадцатый разряд кода ценной бумаги (X12) = 008.

64. Если в разделах 3, 6 пятнадцатый разряд кода ценной бумаги (X15) = 1, одиннадцатый разряд кода ценной бумаги (X11) = 01, то двенадцатый разряд кода ценной бумаги (X12) = 001.

65. Если в разделах 3, 6 пятнадцатый разряд кода ценной бумаги (X15) = 2, одиннадцатый разряд кода ценной бумаги (X11) = 01, то двенадцатый разряд кода ценной бумаги (X12) = 002 или 003 или 004 или 006 или 007.

66. Если в разделе 4 второй разряд кода ценной бумаги (X2) = 1 или 2 или 3, третий разряд кода ценной бумаги (X3) = 1, десятый разряд кода ценной бумаги (X10) = 1, одиннадцатый разряд кода ценной бумаги (X11) = 00 и пятнадцатый разряд кода ценной бумаги (X15) = 1, то двенадцатый разряд кода ценной бумаги (X12) = 000.

67. Если в разделе 4 второй разряд кода ценной бумаги (X2) = 1 или 2 или 3, третий разряд кода ценной бумаги (X3) = 1, десятый разряд кода ценной бумаги (X10) = 1, одиннадцатый разряд кода ценной бумаги (X11) = 01 и пятнадцатый разряд кода ценной бумаги (X15) = 2, то двенадцатый разряд кода ценной бумаги (X12) = 000.

68. Если в разделе 4 второй разряд кода ценной бумаги (X2) = 1 или 2 или 3, третий разряд кода ценной бумаги (X3) = 1 или 6 или 7, десятый разряд кода ценной бумаги (X10) = 2, одиннадцатый разряд кода ценной бумаги (X11) = 01 и пятнадцатый разряд кода ценной бумаги (X15) = 1, то двенадцатый разряд кода ценной бумаги (X12) = 001.

69. Если в разделе 4 второй разряд кода ценной бумаги (X2) = 1 или 2 или 3, третий разряд кода ценной бумаги (X3) = 1 или 6 или 7, десятый разряд кода ценной бумаги (X10) = 2, одиннадцатый разряд кода ценной бумаги (X11) = 01 и пятнадцатый разряд кода ценной бумаги (X15) = 2, то двенадцатый разряд кода ценной бумаги (X12) = 002 или 003 или 004 или 006 или 007.

70. Если в разделах 3, 4, 5, 6 пятнадцатый разряд кода ценной бумаги (X15) = 1, одиннадцатый разряд кода ценной бумаги (X11) = 02, то двенадцатый разряд кода ценной бумаги (X12) = 011 или 012 или 013 или 014 или 015 или 016 или 017 или 018 или 019 или 020 или 021 или 022 или 023.

71. Если в разделах 3, 4, 6 пятнадцатый разряд кода ценной бумаги (X15) = 2, одиннадцатый разряд кода ценной бумаги (X11) = 02, то двенадцатый разряд кода ценной бумаги (X12) = 024 или 025 или 026 или 027 или 028 или 029 или 030 или 031 или 032 или 033 или 034 или 040.

72. Если в разделе 5 пятнадцатый разряд кода ценной бумаги (X15) = 2, одиннадцатый разряд кода ценной бумаги (X11) = 02, то двенадцатый разряд кода ценной бумаги (X12) = 024 или 025 или 026 или 027 или 028 или 029 или 030 или 031 или 032 или 033 или 034.

73. Если в разделах 3, 4, 5, 6 пятнадцатый разряд кода ценной бумаги (X15) = 1, одиннадцатый разряд кода ценной бумаги (X11) = 03, то двенадцатый разряд кода ценной бумаги (X12) = 041 или 042 или 043 или 044 или 045 или 046 или 047 или 048 или 049 или 050 или 051 или 052 или 053.

74. Если в разделах 3, 4, 6 пятнадцатый разряд кода ценной бумаги (X15) = 2, одиннадцатый разряд кода ценной бумаги (X11) = 03, то двенадцатый разряд кода ценной бумаги (X12) = 054 или 055 или 056 или 057 или 058 или 059 или 060 или 061 или 062 или 063 или 070.

75. Если в разделе 5 пятнадцатый разряд кода ценной бумаги (X15) = 2, одиннадцатый разряд кода ценной бумаги (X11) = 03, то двенадцатый разряд кода ценной бумаги (X12) = 054 или 055 или 056 или 057 или 058 или 059 или 060 или 061 или 062 или 063.

76. Если в разделах 3, 4, 5, 6 пятнадцатый разряд кода ценной бумаги (X15) = 1, одиннадцатый разряд кода ценной бумаги (X11) = 04, то двенадцатый разряд кода ценной бумаги (X12) = 071 или 072 или 073 или 074 или 075 или 076 или 077 или 078 или 079 или 080 или 081 или 082 или 083.

77. Если в разделах 3, 4, 6 пятнадцатый разряд кода ценной бумаги (X15) = 2, одиннадцатый разряд кода ценной бумаги (X11) = 04, то двенадцатый разряд кода ценной бумаги (X12) = 084 или 085 или 086 или 087 или 088 или 089 или 090 или 091 или 092 или 093 или 094 или 099.

78. Если в разделе 5 пятнадцатый разряд кода ценной бумаги (X15) = 2, одиннадцатый разряд кода ценной бумаги (X11) = 04, то двенадцатый разряд кода ценной бумаги (X12) = 084 или 085 или 086 или 087 или 088 или 089 или 090 или 091 или 092 или 093 или 094.

79. Если в разделах 3, 4, 5, 6 пятнадцатый разряд кода ценной бумаги (X15) = 1, одиннадцатый разряд кода ценной бумаги (X11) = 07, то двенадцатый разряд кода ценной бумаги (X12) = 201 или 202 или 203 или 204 или 205 или 206.

80. Если в разделах 3, 4, 6 пятнадцатый разряд кода ценной бумаги (X15) = 2, одиннадцатый разряд кода ценной бумаги (X11) = 07, то двенадцатый разряд кода ценной бумаги (X12) = 207 или 208 или 209 или 210 или 220.

81. Если в разделе 5 пятнадцатый разряд кода ценной бумаги (X15) = 2, одиннадцатый разряд кода ценной бумаги (X11) = 07, то двенадцатый разряд кода ценной бумаги (X12) = 207 или 208 или 209 или 210.

82. Если в разделах 4, 5, 6 пятнадцатый разряд кода ценной бумаги (X15) = 1, пятый разряд кода ценной бумаги (X5) = 4 и одиннадцатый разряд кода ценной бумаги (X11) = 08, то двенадцатый разряд кода ценной бумаги (X12) = 221 или 222 или 223 или 224 или 225 или 226 или 227 или 228 или 229 или 230 или 231 или 232 или 233 или 234 или 235 или 236 или 237 или 238.

83. Если в разделах 4, 6 пятнадцатый разряд кода ценной бумаги (X15) = 2, пятый разряд кода ценной бумаги (X5) = 4 и одиннадцатый разряд кода ценной бумаги (X11) = 08, то двенадцатый разряд кода ценной бумаги (X12) = 240 или 241 или 242 или 243 или 244 или 245 или 246 или 247 или 248 или 249 или 250 или 251 или 260.

84. Если в разделе 5 пятнадцатый разряд кода ценной бумаги (X15) = 2, пятый разряд кода ценной бумаги (X5) = 4 и одиннадцатый разряд кода ценной бумаги (X11) = 08, то двенадцатый разряд кода ценной бумаги (X12) = 240 или 241 или 242 или 243 или 244 или 245 или 246 или 247 или 248 или 249 или 250 или 251.

85. Если в разделах 3, 4, 5, 6 пятнадцатый разряд кода ценной бумаги (X15) = 1, одиннадцатый разряд кода ценной бумаги (X11) = 10, то двенадцатый разряд кода ценной бумаги (X12) = 996 или 997.

86. Если в разделах 3, 4, 6 пятнадцатый разряд кода ценной бумаги (X15) = 2, одиннадцатый разряд кода ценной бумаги (X11) = 10, то двенадцатый разряд кода ценной бумаги (X12) = 990 или 998 или 999.

87. Если в разделе 5 пятнадцатый разряд кода ценной бумаги (X15) = 2, одиннадцатый разряд кода ценной бумаги (X11) = 10, то двенадцатый разряд кода ценной бумаги (X12) = 998 или 999.

88. Если в разделе 5 одиннадцатый разряд кода ценной бумаги (X11) = 11, то двенадцатый разряд кода ценной бумаги (X12) = 000.

89. Если в разделе 4 десятый разряд кода ценной бумаги (X10) = 2, одиннадцатый разряд кода ценной бумаги (X11) = 01, двенадцатый разряд кода ценной бумаги (X12) = 001, то тринадцатый разряд кода ценной бумаги (X13) = 0.

90. Если в разделе 4 десятый разряд кода ценной бумаги (X10) = 2, одиннадцатый разряд кода ценной бумаги (X11) = 01, двенадцатый разряд кода ценной бумаги (X12) = 002 или 003 или 004 или 006 или 007, то тринадцатый разряд кода ценной бумаги (X13) = 0.

91. Если в разделе 3 пятый разряд кода ценной бумаги (X5) = 2, одиннадцатый разряд кода ценной бумаги (X11) = 02 или 03 или 04 или 07, то соответственно тринадцатый разряд кода ценной бумаги (X13) = 2.

92. Если в разделе 3 пятый разряд кода ценной бумаги (X5) = 3, одиннадцатый разряд кода ценной бумаги (X11) = 02 или 03 или 04 или 07, то соответственно тринадцатый разряд кода ценной бумаги (X13) = 3.

93. Если в разделе 4 пятый разряд кода ценной бумаги (X5) = 1, второй разряд кода ценной бумаги (X2) = 4 или 5 или 6, одиннадцатый разряд кода ценной бумаги (X11) = 02 или 03 или 04, то тринадцатый разряд кода ценной бумаги (X13) = 1.

94. Если в разделе 4 пятый разряд кода ценной бумаги (X5) = 2, второй разряд кода ценной бумаги (X2) = 4 или 5 или 6, одиннадцатый разряд кода ценной бумаги (X11) = 02 или 03 или 04, то тринадцатый разряд кода ценной бумаги (X13) = 2.

95. Если в разделе 4 пятый разряд кода ценной бумаги (X5) = 3, второй разряд кода ценной бумаги (X2) = 4 или 5 или 6, одиннадцатый разряд кода ценной бумаги (X11) = 02 или 03 или 04, то тринадцатый разряд кода ценной бумаги (X13) = 3.

96. Если в разделе 4 пятый разряд кода ценной бумаги (X5) = 6, второй разряд кода ценной бумаги (X2) = 1 или 2 или 3, третий разряд кода ценной бумаги (X3) = 6 или 7, одиннадцатый разряд кода ценной бумаги (X11) = 02 или 03 или 04 или 07, то тринадцатый разряд кода ценной бумаги (X13) = 4.

97. Если в разделе 4 пятый разряд кода ценной бумаги (X5) = 7, второй разряд кода ценной бумаги (X2) = 4 или 5 или 6, одиннадцатый разряд кода ценной бумаги (X11) = 02 или 03 или 04, то тринадцатый разряд кода ценной бумаги (X13) = 4.

98. Если в разделе 4 пятый разряд кода ценной бумаги (X5) = 7, второй разряд кода ценной бумаги (X2) = 1 или 2 или 3, одиннадцатый разряд кода ценной бумаги (X11) = 02 или 03 или 04 или 07, то тринадцатый разряд кода ценной бумаги (X13) = 4.

99. Если в разделе 4 пятый разряд кода ценной бумаги (X5) = 8, второй разряд кода ценной бумаги (X2) = 1 или 2 или 3, одиннадцатый разряд кода ценной бумаги (X11) = 02 или 03 или 04 или 07, то тринадцатый разряд кода ценной бумаги (X13) = 6.

100. Если в разделах 4, 6 пятый разряд кода ценной бумаги (X5) = 4, второй разряд кода ценной бумаги (X2) = 1 или 2 или 3, одиннадцатый разряд кода ценной бумаги (X11) = 02 или 03 или 04 или 07 или 08, то тринадцатый разряд кода ценной бумаги (X13) = 5.

101. Если в разделах 4, 6 пятый разряд кода ценной бумаги (X5) = 4, второй разряд кода ценной бумаги (X2) = 4 или 5 или 6, одиннадцатый разряд кода ценной бумаги (X11) = 02 или 03 или 04, то тринадцатый разряд кода ценной бумаги (X13) = 5.

102. Если в разделе 6 пятый разряд кода ценной бумаги (X5) = 7, второй разряд кода ценной бумаги (X2) = 4 или 5 или 6, одиннадцатый разряд кода ценной бумаги (X11) = 02 или 03 или 04, то тринадцатый разряд кода ценной бумаги (X13) = 4.

103. Если в разделах 4, 6 пятый разряд кода ценной бумаги (X5) = 8, второй разряд кода ценной бумаги (X2) = 4 или 5 или 6, одиннадцатый разряд кода ценной бумаги (X11) = 02 или 03 или 04, то тринадцатый разряд кода ценной бумаги (X13) = 6.

104. Если в разделе 5 пятый разряд кода ценной бумаги (X5) = 4, второй разряд кода ценной бумаги (X2) = 1 или 2 или 3, одиннадцатый разряд кода ценной бумаги (X11) = 02 или 03 или 04 или 07 или 08, то тринадцатый разряд кода ценной бумаги (X13) = 5.

105. Если в разделе 5 пятый разряд кода ценной бумаги (X5) = 7, второй разряд кода ценной бумаги (X2) = 1 или 2 или 3, одиннадцатый разряд кода ценной бумаги (X11) = 02 или 03 или 04 или 07, то тринадцатый разряд кода ценной бумаги (X13) = 4.

106. Если в разделе 5 пятый разряд кода ценной бумаги (X5) = 4, второй разряд кода ценной бумаги (X2) = 4 или 5 или 6, одиннадцатый разряд кода ценной бумаги (X11) = 02 или 03 или 04, то тринадцатый разряд кода ценной бумаги (X13) = 5.

107. Если в разделе 5 пятый разряд кода ценной бумаги (X5) = 7, второй разряд кода ценной бумаги (X2) = 4 или 5 или 6, одиннадцатый разряд кода ценной бумаги (X11) = 02 или 03 или 04, то тринадцатый разряд кода ценной бумаги (X13) = 4.

108. Если в разделе 5 пятый разряд кода ценной бумаги (X5) = 8, второй разряд кода ценной бумаги (X2) = 1 или 2 или 3, одиннадцатый разряд кода ценной бумаги (X11) = 02 или 03 или 04 или 07, то тринадцатый разряд кода ценной бумаги (X13) = 6.

109. Если в разделе 5 пятый разряд кода ценной бумаги (X5) = 8, второй разряд кода ценной бумаги (X2) = 4 или 5 или 6, одиннадцатый разряд кода ценной бумаги (X11) = 02 или 03 или 04, то тринадцатый разряд кода ценной бумаги (X13) = 6.

110. Если в разделе 6 пятый разряд кода ценной бумаги (X5) = 7, второй разряд кода ценной бумаги (X2) = 1 или 2 или 3, одиннадцатый разряд кода ценной бумаги (X11) = 02 или 03 или 04 или 07, то тринадцатый разряд кода ценной бумаги (X13) = 4.

111. Если в разделе 6 пятый разряд кода ценной бумаги (X5) = 8, второй разряд кода ценной бумаги (X2) = 1 или 2 или 3, одиннадцатый разряд кода ценной бумаги (X11) = 02 или 03 или 04 или 07, то тринадцатый разряд кода ценной бумаги (X13) = 6.

112. Если в разделах 3, 4, 5, 6 одиннадцатый разряд кода ценной бумаги (X11) = 10, то тринадцатый разряд кода ценной бумаги (X13) = 0.

113. Если в разделе 5 одиннадцатый разряд кода ценной бумаги (X11) = 11, то тринадцатый разряд кода ценной бумаги (X13) = 0.

114. Если в разделах 3, 4, 5, 6 второй разряд кода ценной бумаги (X2) = 1 или 2 или 3, одиннадцатый разряд кода ценной бумаги (X11) = 02 или 03 или 04, то четырнадцатый разряд кода ценной бумаги (X14) = 1 или 2.

115. Если в разделах 3, 4, 5, 6 второй разряд кода ценной бумаги (X2) = 4 или 5 или 6, одиннадцатый разряд кода ценной бумаги (X11) = 02 или 03 или 04, то четырнадцатый разряд кода ценной бумаги (X14) = 1.

116. Если в разделе 5 одиннадцатый разряд кода ценной бумаги (X11) = 11, то четырнадцатый разряд кода ценной бумаги (X14) = 0.

117. Если в разделах 3, 4, 5, 6 одиннадцатый разряд кода ценной бумаги (X11) = 07 или 08 или 10, то четырнадцатый разряд кода ценной бумаги (X14) = 0.

118. Если в разделах 3, 6 одиннадцатый разряд кода ценной бумаги (X11) = 01, то тринадцатый, четырнадцатый разряды кода ценной бумаги (X13, X14) = 0.

119. Если в разделе 2 пятнадцатый разряд кода ценной бумаги (X15) = 1, одиннадцатый разряд кода ценной бумаги (X11) = 00, то двенадцатый, тринадцатый, четырнадцатый разряды кода ценной бумаги (X12, X13, X14) = 0.

120. Если в разделе 2 пятнадцатый разряд кода ценной бумаги (X15) = 2, одиннадцатый разряд кода ценной бумаги (X11) = 01, то двенадцатый, тринадцатый, четырнадцатый разряды кода ценной бумаги (X12, X13, X14) = 0.

121. Если в разделе 4 десятый разряд кода ценной бумаги (X10) = 1, пятнадцатый разряд кода ценной бумаги (X15) = 1, то тринадцатый, четырнадцатый разряды кода ценной бумаги (X13, X14) = 0.

122. Если в разделе 4 десятый разряд кода ценной бумаги (X10) = 1, пятнадцатый разряд кода ценной бумаги (X15) = 2 и одиннадцатый разряд кода ценной бумаги (X11) = 01, то тринадцатый, четырнадцатый разряды кода ценной бумаги (X13, X14) = 0.

123. В разделах 7, 8 тринадцатый, четырнадцатый разряды кода ценной бумаги (X13, X14) = 0.

124. В разделах 2, 3, 4, 5, 6, 8 пятнадцатый разряд кода ценной бумаги (X15) = 1 или 2.

125. В разделе 7 пятнадцатый разряд кода ценной бумаги (X15) = 1 или 2.

126. Если в разделах 2, 3, 4, 5, 6, 7, 8 первый разряд кода ценной бумаги (X1) = 03 или 04, то одиннадцатый, двенадцатый, тринадцатый, четырнадцатый, пятнадцатый разряды кода ценной бумаги (X11, X12, X13, X14, X15) = 0.

Если в разделах 2, 3, 4, 5, 6, 7, 8 первый разряд кода ценной бумаги (X1) = 05 или 06, то для контрольных соотношений 121 - 199:

127. Если в разделе 2 пятнадцатый разряд кода ценной бумаги (X15) = 1, то одиннадцатый разряд кода ценной бумаги (X11) = 00.

128. Если в разделе 2 пятнадцатый разряд кода ценной бумаги (X15) = 2, то одиннадцатый разряд кода ценной бумаги (X11) = 01.

129. В разделе 3 одиннадцатый разряд кода ценной бумаги (X11) = 01 или 02 или 03 или 04 или 07 или 10.

130. Если в разделе 4 второй разряд кода ценной бумаги (X2) = 1 или 2 или 3, третий разряд кода ценной бумаги (X3) = 1, пятый разряд кода ценной бумаги (X5) = 4, десятый разряд кода ценной бумаги (X10) = 2, то одиннадцатый разряд кода ценной бумаги (X11) = 01 или 02 или 03 или 04 или 07 или 08 или 10.

131. Если в разделе 4 второй разряд кода ценной бумаги (X2) = 1 или 2 или 3, третий разряд кода ценной бумаги (X3) = 1, пятый разряд кода ценной бумаги (X5) = 7, десятый разряд кода ценной бумаги (X10) = 2, то одиннадцатый разряд кода ценной бумаги (X11) = 01 или 02 или 03 или 04 или 07 или 10.

132. Если в разделе 4 второй разряд кода ценной бумаги (X2) = 1 или 2 или 3, третий разряд кода ценной бумаги (X3) = 1, пятый разряд кода ценной бумаги (X5) = 7, десятый разряд кода ценной бумаги (X10) = 1, пятнадцатый разряд кода ценной бумаги (X15) = 1, то одиннадцатый разряд кода ценной бумаги (X11) = 00.

133. Если в разделе 4 второй разряд кода ценной бумаги (X2) = 1 или 2 или 3, третий разряд кода ценной бумаги (X3) = 1, пятый разряд кода ценной бумаги (X5) = 7, десятый разряд кода ценной бумаги (X10) = 1 и пятнадцатый разряд кода ценной бумаги (X15) = 2, то одиннадцатый разряд кода ценной бумаги (X11) = 01.

134. Если в разделе 4 второй разряд кода ценной бумаги (X2) = 1 или 2 или 3, третий разряд кода ценной бумаги (X3) = 6 или 7, пятый разряд кода ценной бумаги (X5) = 4, десятый разряд кода ценной бумаги (X10) = 2, то одиннадцатый разряд кода ценной бумаги (X11) = 01 или 02 или 03 или 04 или 07 или 08 или 10.

135. Если в разделе 4 второй разряд кода ценной бумаги (X2) = 1 или 2 или 3, третий разряд кода ценной бумаги (X3) = 6 или 7, пятый разряд кода ценной бумаги (X5) = 6, десятый разряд кода ценной бумаги (X10) = 2, то одиннадцатый разряд кода ценной бумаги (X11) = 01 или 02 или 03 или 04 или 07 или 10.

136. Если в разделе 4 второй разряд кода ценной бумаги (X2) = 4 или 5 или 6, третий разряд кода ценной бумаги (X3) = 1 или 6, то одиннадцатый разряд кода ценной бумаги (X11) = 02 или 03 или 04.

137. Если в разделе 4 второй разряд кода ценной бумаги (X2) = 7 или 8 или 9, третий разряд кода ценной бумаги (X3) = 1 или 6, то одиннадцатый разряд кода ценной бумаги (X11) = 01.

138. Если в разделе 5 второй разряд кода ценной бумаги (X2) = 1 или 2 или 3, пятый разряд кода ценной бумаги (X5) = 4, то одиннадцатый разряд кода ценной бумаги (X11) = 02 или 03 или 04 или 07 или 08 или 10 или 11.

139. Если в разделе 5 второй разряд кода ценной бумаги (X2) = 1 или 2 или 3, пятый разряд кода ценной бумаги (X5) = 7 или 8, то одиннадцатый разряд кода ценной бумаги (X11) = 02 или 03 или 04 или 07 или 10.

140. Если в разделе 5 второй разряд кода ценной бумаги (X2) = 4 или 5 или 6, пятый разряд кода ценной бумаги (X5) = 4, то одиннадцатый разряд кода ценной бумаги (X11) = 02 или 03 или 04 или 11.

141. Если в разделе 5 второй разряд кода ценной бумаги (X2) = 4 или 5 или 6, пятый разряд кода ценной бумаги (X5) = 7 или 8, то одиннадцатый разряд кода ценной бумаги (X11) = 02 или 03 или 04.

142. Если в разделе 6 второй разряд кода ценной бумаги (X2) = 1 или 2 или 3, пятый разряд кода ценной бумаги (X5) = 4, то одиннадцатый разряд кода ценной бумаги (X11) = 01 или 02 или 03 или 04 или 07 или 08 или 10.

143. Если в разделе 6 второй разряд кода ценной бумаги (X2) = 1 или 2 или 3, пятый разряд кода ценной бумаги (X5) = 7 или 8, то одиннадцатый разряд кода ценной бумаги (X11) = 01 или 02 или 03 или 04 или 07 или 10.

144. Если в разделе 6 второй разряд кода ценной бумаги (X2) = 4 или 5 или 6, то одиннадцатый разряд кода ценной бумаги (X11) = 02 или 03 или 04.

145. Если в разделе 6 второй разряд кода ценной бумаги (X2) = 7 или 8 или 9, то одиннадцатый разряд кода ценной бумаги (X11) = 01.

146. Если в разделе 7 пятнадцатый разряд кода ценной бумаги (X15) = 1, то одиннадцатый разряд кода ценной бумаги (X11) = 00, двенадцатый разряд кода ценной бумаги (X12) = 000.

147. Если в разделе 7 пятнадцатый разряд кода ценной бумаги (X15) = 2, то одиннадцатый разряд кода ценной бумаги (X11) = 12, двенадцатый разряд кода ценной бумаги (X12) = 008.

148. Если в разделе 8 пятнадцатый разряд кода ценной бумаги (X15) = 1, то одиннадцатый разряд кода ценной бумаги (X11) = 00, двенадцатый разряд кода ценной бумаги (X12) = 000.

149. Если в разделе 8 пятнадцатый разряд кода ценной бумаги (X15) = 2, то одиннадцатый разряд кода ценной бумаги (X11) = 12, двенадцатый разряд кода ценной бумаги (X12) = 008.

150. Если в разделах 3, 6 пятнадцатый разряд кода ценной бумаги (X15) = 1, одиннадцатый разряд кода ценной бумаги (X11) = 01, то двенадцатый разряд кода ценной бумаги (X12) = 001.

151. Если в разделах 3, 6 пятнадцатый разряд кода ценной бумаги (X15) = 2, одиннадцатый разряд кода ценной бумаги (X11) = 01, то двенадцатый разряд кода ценной бумаги (X12) = 002 или 003 или 004 или 006 или 007.

152. Если в разделе 4 второй разряд кода ценной бумаги (X2) = 1 или 2 или 3, третий разряд кода ценной бумаги (X3) = 1, десятый разряд кода ценной бумаги (X10) = 1, одиннадцатый разряд кода ценной бумаги (X11) = 00 и пятнадцатый разряд кода ценной бумаги (X15) = 1, то двенадцатый разряд кода ценной бумаги (X12) = 000.

153. Если в разделе 4 второй разряд кода ценной бумаги (X2) = 1 или 2 или 3, третий разряд кода ценной бумаги (X3) = 1, десятый разряд кода ценной бумаги (X10) = 1, одиннадцатый разряд кода ценной бумаги (X11) = 01 и пятнадцатый разряд кода ценной бумаги (X15) = 2, то двенадцатый разряд кода ценной бумаги (X12) = 000.

154. Если в разделе 4 второй разряд кода ценной бумаги (X2) = 1 или 2 или 3, третий разряд кода ценной бумаги (X3) = 1 или 6 или 7, десятый разряд кода ценной бумаги (X10) = 2, одиннадцатый разряд кода ценной бумаги (X11) = 01 и пятнадцатый разряд кода ценной бумаги (X15) = 1, то двенадцатый разряд кода ценной бумаги (X12) = 001.

155. Если в разделе 4 второй разряд кода ценной бумаги (X2) = 1 или 2 или 3, третий разряд кода ценной бумаги (X3) = 1 или 6 или 7, десятый разряд кода ценной бумаги (X10) = 2, одиннадцатый разряд кода ценной бумаги (X11) = 01 и пятнадцатый разряд кода ценной бумаги (X15) = 2, то двенадцатый разряд кода ценной бумаги (X12) = 002 или 003 или 004 или 006 или 007.

156. Если в разделах 3, 4, 5, 6 пятнадцатый разряд кода ценной бумаги (X15) = 1, одиннадцатый разряд кода ценной бумаги (X11) = 02, то двенадцатый разряд кода ценной бумаги (X12) = 011 или 012 или 013 или 014 или 015 или 016 или 017 или 018 или 019 или 020 или 021 или 022 или 023.

157. Если в разделах 3, 4, 6 пятнадцатый разряд кода ценной бумаги (X15) = 2, одиннадцатый разряд кода ценной бумаги (X11) = 02, то двенадцатый разряд кода ценной бумаги (X12) = 024 или 025 или 026 или 027 или 028 или 029 или 030 или 031 или 032 или 033 или 034 или 040.

158. Если в разделе 5 пятнадцатый разряд кода ценной бумаги (X15) = 2, одиннадцатый разряд кода ценной бумаги (X11) = 02, то двенадцатый разряд кода ценной бумаги (X12) = 024 или 025 или 026 или 027 или 028 или 029 или 030 или 031 или 032 или 033 или 034.

159. Если в разделах 3, 4, 5, 6 пятнадцатый разряд кода ценной бумаги (X15) = 1, одиннадцатый разряд кода ценной бумаги (X11) = 03, то двенадцатый разряд кода ценной бумаги (X12) = 041 или 042 или 043 или 044 или 045 или 046 или 047 или 048 или 049 или 050 или 051 или 052 или 053.

160. Если в разделах 3, 4, 6 пятнадцатый разряд кода ценной бумаги (X15) = 2, одиннадцатый разряд кода ценной бумаги (X11) = 03, то двенадцатый разряд кода ценной бумаги (X12) = 054 или 055 или 056 или 057 или 058 или 059 или 060 или 061 или 062 или 063 или 070.

161. Если в разделе 5 пятнадцатый разряд кода ценной бумаги (X15) = 2, одиннадцатый разряд кода ценной бумаги (X11) = 03, то двенадцатый разряд кода ценной бумаги (X12) = 054 или 055 или 056 или 057 или 058 или 059 или 060 или 061 или 062 или 063.

162. Если в разделах 3, 4, 5, 6 пятнадцатый разряд кода ценной бумаги (X15) = 1, одиннадцатый разряд кода ценной бумаги (X11) = 04, то двенадцатый разряд кода ценной бумаги (X12) = 071 или 072 или 073 или 074 или 075 или 076 или 077 или 078 или 079 или 080 или 081 или 082 или 083.

163. Если в разделах 3, 4, 6 пятнадцатый разряд кода ценной бумаги (X15) = 2, одиннадцатый разряд кода ценной бумаги (X11) = 04, то двенадцатый разряд кода ценной бумаги (X12) = 084 или 085 или 086 или 087 или 088 или 089 или 090 или 091 или 092 или 093 или 094 или 099.

164. Если в разделе 5 пятнадцатый разряд кода ценной бумаги (X15) = 2, одиннадцатый разряд кода ценной бумаги (X11) = 04, то двенадцатый разряд кода ценной бумаги (X12) = 084 или 085 или 086 или 087 или 088 или 089 или 090 или 091 или 092 или 093 или 094.

165. Если в разделах 3, 4, 5, 6 пятнадцатый разряд кода ценной бумаги (X15) = 1, одиннадцатый разряд кода ценной бумаги (X11) = 07, то двенадцатый разряд кода ценной бумаги (X12) = 201 или 202 или 203 или 204 или 205 или 206.

166. Если в разделах 3, 4, 6 пятнадцатый разряд кода ценной бумаги (X15) = 2, одиннадцатый разряд кода ценной бумаги (X11) = 07, то двенадцатый разряд кода ценной бумаги (X12) = 207 или 208 или 209 или 210 или 220.

167. Если в разделе 5 пятнадцатый разряд кода ценной бумаги (X15) = 2, одиннадцатый разряд кода ценной бумаги (X11) = 07, то двенадцатый разряд кода ценной бумаги (X12) = 207 или 208 или 209 или 210.

168. Если в разделах 4, 5, 6 пятнадцатый разряд кода ценной бумаги (X15) = 1, пятый разряд кода ценной бумаги (X5) = 4 и одиннадцатый разряд кода ценной бумаги (X11) = 08, то двенадцатый разряд кода ценной бумаги (X12) = 221 или 222 или 223 или 224 или 225 или 226 или 227 или 228 или 229 или 230 или 231 или 232 или 233 или 234 или 235 или 236 или 237 или 238.

169. Если в разделах 4, 6 пятнадцатый разряд кода ценной бумаги (X15) = 2, пятый разряд кода ценной бумаги (X5) = 4 и одиннадцатый разряд кода ценной бумаги (X11) = 08, то двенадцатый разряд кода ценной бумаги (X12) = 240 или 241 или 242 или 243 или 244 или 245 или 246 или 247 или 248 или 249 или 250 или 251 или 260.

170. Если в разделе 5 пятнадцатый разряд кода ценной бумаги (X15) = 2, пятый разряд кода ценной бумаги (X5) = 4 и одиннадцатый разряд кода ценной бумаги (X11) = 08, то двенадцатый разряд кода ценной бумаги (X12) = 240 или 241 или 242 или 243 или 244 или 245 или 246 или 247 или 248 или 249 или 250 или 251.

171. Если в разделах 3, 4, 5, 6 пятнадцатый разряд кода ценной бумаги (X15) = 1, одиннадцатый разряд кода ценной бумаги (X11) = 10, то двенадцатый разряд кода ценной бумаги (X12) = 996 или 997.

172. Если в разделах 3, 4, 6 пятнадцатый разряд кода ценной бумаги (X15) = 2, одиннадцатый разряд код ценной бумаги (X11) = 10, то двенадцатый разряд кода ценной бумаги (X12) = 990 или 998 или 999.

173. Если в разделе 5 пятнадцатый разряд кода ценной бумаги (X15) = 2, одиннадцатый разряд кода ценной бумаги (X11) = 10, то двенадцатый разряд кода ценной бумаги (X12) = 998 или 999.

174. Если в разделе 5 одиннадцатый разряд кода ценной бумаги (X11) = 11, то двенадцатый разряд кода ценной бумаги (X12) = 000.

175. Если в разделе 4 десятый разряд кода ценной бумаги (X10) = 2, одиннадцатый разряд кода ценной бумаги (X11) = 01, двенадцатый разряд кода ценной бумаги (X12) = 001, то тринадцатый разряд кода ценной бумаги (X13) = 0.

176. Если в разделе 4 десятый разряд кода ценной бумаги (X10) = 2, одиннадцатый разряд кода ценной бумаги (X11) = 01, двенадцатый разряд кода ценной бумаги (X12) = 002 или 003 или 004 или 006 или 007, то тринадцатый разряд кода ценной бумаги (X13) = 0.

177. Если в разделе 3 пятый разряд кода ценной бумаги (X5) = 2, одиннадцатый разряд кода ценной бумаги (X11) = 02 или 03 или 04 или 07, то соответственно тринадцатый разряд кода ценной бумаги (X13) = 2.

178. Если в разделе 3 пятый разряд кода ценной бумаги (X5) = 3, одиннадцатый разряд кода ценной бумаги (X11) = 02 или 03 или 04 или 07, то соответственно тринадцатый разряд кода ценной бумаги (X13) = 3.

179. Если в разделе 4 пятый разряд кода ценной бумаги (X5) = 1, второй разряд кода ценной бумаги (X2) = 4 или 5 или 6, одиннадцатый разряд кода ценной бумаги (X11) = 02 или 03 или 04, то тринадцатый разряд кода ценной бумаги (X13) = 1.

180. Если в разделе 4 пятый разряд кода ценной бумаги (X5) = 2, второй разряд кода ценной бумаги (X2) = 4 или 5 или 6, одиннадцатый разряд кода ценной бумаги (X11) = 02 или 03 или 04, то тринадцатый разряд кода ценной бумаги (X13) = 2.

181. Если в разделе 4 пятый разряд кода ценной бумаги (X5) = 3, второй разряд кода ценной бумаги (X2) = 4 или 5 или 6, одиннадцатый разряд кода ценной бумаги (X11) = 02 или 03 или 04, то тринадцатый разряд кода ценной бумаги (X13) = 3.

182. Если в разделе 4 пятый разряд кода ценной бумаги (X5) = 6, второй разряд кода ценной бумаги (X2) = 1 или 2 или 3, третий разряд кода ценной бумаги (X3) = 6 или 7, одиннадцатый разряд кода ценной бумаги (X11) = 02 или 03 или 04 или 07, то тринадцатый разряд кода ценной бумаги (X13) = 4.

183. Если в разделе 4 пятый разряд кода ценной бумаги (X5) = 7, второй разряд кода ценной бумаги (X2) = 4 или 5 или 6, одиннадцатый разряд кода ценной бумаги (X11) = 02 или 03 или 04, то тринадцатый разряд кода ценной бумаги (X13) = 4.

184. Если в разделе 4 пятый разряд кода ценной бумаги (X5) = 7, второй разряд кода ценной бумаги (X2) = 1 или 2 или 3, одиннадцатый разряд кода ценной бумаги (X11) = 02 или 03 или 04 или 07, то тринадцатый разряд кода ценной бумаги (X13) = 4.

185. Если в разделе 4 пятый разряд кода ценной бумаги (X5) = 8, второй разряд кода ценной бумаги (X2) = 1 или 2 или 3, одиннадцатый разряд кода ценной бумаги (X11) = 02 или 03 или 04 или 07, то тринадцатый разряд кода ценной бумаги (X13) = 6.

186. Если в разделах 4, 6 пятый разряд кода ценной бумаги (X5) = 4, второй разряд кода ценной бумаги (X2) = 1 или 2 или 3, одиннадцатый разряд кода ценной бумаги (X11) = 02 или 03 или 04 или 07 или 08, то тринадцатый разряд кода ценной бумаги (X13) = 5.

187. Если в разделах 4, 6 пятый разряд кода ценной бумаги (X5) = 4, второй разряд кода ценной бумаги (X2) = 4 или 5 или 6, одиннадцатый разряд кода ценной бумаги (X11) = 02 или 03 или 04, то тринадцатый разряд кода ценной бумаги (X13) = 5.

188. Если в разделе 6 пятый разряд кода ценной бумаги (X5) = 7, второй разряд кода ценной бумаги (X2) = 4 или 5 или 6, одиннадцатый разряд кода ценной бумаги (X11) = 02 или 03 или 04, то тринадцатый разряд кода ценной бумаги (X13) = 4.

189. Если в разделах 4, 6 пятый разряд кода ценной бумаги (X5) = 8, второй разряд кода ценной бумаги (X2) = 4 или 5 или 6, одиннадцатый разряд кода ценной бумаги (X11) = 02 или 03 или 04, то тринадцатый разряд кода ценной бумаги (X13) = 6.

190. Если в разделе 5 пятый разряд кода ценной бумаги (X5) = 4, второй разряд кода ценной бумаги (X2) = 1 или 2 или 3, одиннадцатый разряд кода ценной бумаги (X11) = 02 или 03 или 04 или 07 или 08, то тринадцатый разряд кода ценной бумаги (X13) = 5.

191. Если в разделе 5 пятый разряд кода ценной бумаги (X5) = 7, второй разряд кода ценной бумаги (X2) = 1 или 2 или 3, одиннадцатый разряд кода ценной бумаги (X11) = 02 или 03 или 04 или 07, то тринадцатый разряд кода ценной бумаги (X13) = 4.

192. Если в разделе 5 пятый разряд кода ценной бумаги (X5) = 4, второй разряд кода ценной бумаги (X2) = 4 или 5 или 6, одиннадцатый разряд кода ценной бумаги (X11) = 02 или 03 или 04, то тринадцатый разряд кода ценной бумаги (X13) = 5.

193. Если в разделе 5 пятый разряд кода ценной бумаги (X5) = 7, второй разряд кода ценной бумаги (X2) = 4 или 5 или 6, одиннадцатый разряд кода ценной бумаги (X11) = 02 или 03 или 04, то тринадцатый разряд кода ценной бумаги (X13) = 4.

194. Если в разделе 5 пятый разряд кода ценной бумаги (X5) = 8, второй разряд кода ценной бумаги (X2) = 1 или 2 или 3, одиннадцатый разряд кода ценной бумаги (X11) = 02 или 03 или 04 или 07, то тринадцатый разряд кода ценной бумаги (X13) = 6.

195. Если в разделе 5 пятый разряд кода ценной бумаги (X5) = 8, второй разряд кода ценной бумаги (X2) = 4 или 5 или 6, одиннадцатый разряд кода ценной бумаги (X11) = 02 или 03 или 04, то тринадцатый разряд кода ценной бумаги (X13) = 6.

196. Если в разделе 6 пятый разряд кода ценной бумаги (X5) = 7, второй разряд кода ценной бумаги (X2) = 1 или 2 или 3, одиннадцатый разряд кода ценной бумаги (X11) = 02 или 03 или 04 или 07, то тринадцатый разряд кода ценной бумаги (X13) = 4.

197. Если в разделе 6 пятый разряд кода ценной бумаги (X5) = 8, второй разряд кода ценной бумаги (X2) = 1 или 2 или 3, одиннадцатый разряд кода ценной бумаги (X11) = 02 или 03 или 04 или 07, то тринадцатый разряд кода ценной бумаги (X13) = 6.

198. Если в разделах 3, 4, 5, 6 одиннадцатый разряд кода ценной бумаги (X11) = 10, то тринадцатый разряд кода ценной бумаги (X13) = 0.

199. Если в разделе 5 одиннадцатый разряд кода ценной бумаги (X11) = 11, то тринадцатый разряд кода ценной бумаги (X13) = 0.

200. Если в разделах 3, 4, 5, 6 второй разряд кода ценной бумаги (X2) = 1 или 2 или 3, одиннадцатый разряд кода ценной бумаги (X11) = 02 или 03 или 04, то четырнадцатый разряд кода ценной бумаги (X14) = 1 или 2.

201. Если в разделах 3, 4, 5, 6 второй разряд кода ценной бумаги (X2) = 4 или 5 или 6, одиннадцатый разряд кода ценной бумаги (X11) = 02 или 03 или 04, то четырнадцатый разряд кода ценной бумаги (X14) = 1.

202. Если в разделе 5 одиннадцатый разряд кода ценной бумаги (X11) = 11, то четырнадцатый разряд кода ценной бумаги (X14) = 0.

203. Если в разделах 3, 4, 5, 6 одиннадцатый разряд кода ценной бумаги (X11) = 07 или 08 или 10, то четырнадцатый разряд кода ценной бумаги (X14) = 0.

204. Если в разделах 3, 6 одиннадцатый разряд кода ценной бумаги (X11) = 01, то тринадцатый, четырнадцатый разряды кода ценной бумаги (X13, X14) = 0.

205. Если в разделе 2 пятнадцатый разряд кода ценной бумаги (X15) = 1, одиннадцатый разряд кода ценной бумаги (X11) = 00, то двенадцатый, тринадцатый, четырнадцатый разряды кода ценной бумаги (X12, X13, X14) = 0.

206. Если в разделе 2 пятнадцатый разряд кода ценной бумаги (X15) = 2, одиннадцатый разряд кода ценной бумаги (X11) = 01, то двенадцатый, тринадцатый, четырнадцатый разряды кода ценной бумаги (X12, X13, X14) = 0.

207. Если в разделе 4 десятый разряд кода ценной бумаги (X10) = 1, пятнадцатый разряд кода ценной бумаги (X15) = 1, то тринадцатый, четырнадцатый разряды кода ценной бумаги (X13, X14) = 0.

208. Если в разделе 4 десятый разряд кода ценной бумаги (X10) = 1, пятнадцатый разряд кода ценной бумаги (X15) = 2 и одиннадцатый разряд кода ценной бумаги (X11) = 01, то тринадцатый, четырнадцатый разряды кода ценной бумаги (X13, X14) = 0.

209. В разделах 7, 8 тринадцатый, четырнадцатый разряды кода ценной бумаги (X13, X14) = 0.

210. В разделах 2, 3, 4, 5, 6, 8 пятнадцатый разряд кода ценной бумаги (X15) = 1 или 2.

211. В разделе 7 пятнадцатый разряд кода ценной бумаги (X15) = 1 или 2.

212. Если в разделах 2, 3, 4, 5, 6, 7, 8 первый разряд кода ценной бумаги (X1) = 07 или 08, то одиннадцатый, двенадцатый, тринадцатый, четырнадцатый, пятнадцатый разряды кода ценной бумаги (X11, X12, X13, X14, X15) = 0.

Если в разделах 2, 3, 4, 5, 6, 7, 8 первый разряд кода ценной бумаги (X1) = 09 или 10, то для контрольных соотношений 201 - 279:

213. Если в разделе 2 пятнадцатый разряд кода ценной бумаги (X15) = 1, то одиннадцатый разряд кода ценной бумаги (X11) = 00.

214. Если в разделе 2 пятнадцатый разряд кода ценной бумаги (X15) = 2, то одиннадцатый разряд кода ценной бумаги (X11) = 01.

215. В разделе 3 одиннадцатый разряд кода ценной бумаги (X11) = 01 или 02 или 03 или 04 или 07 или 10.

216. Если в разделе 4 второй разряд кода ценной бумаги (X2) = 1 или 2 или 3, третий разряд кода ценной бумаги (X3) = 1, пятый разряд кода ценной бумаги (X5) = 4, десятый разряд кода ценной бумаги (X10) = 2, то одиннадцатый разряд кода ценной бумаги (X11) = 01 или 02 или 03 или 04 или 07 или 08 или 10.

217. Если в разделе 4 второй разряд кода ценной бумаги (X2) = 1 или 2 или 3, третий разряд кода ценной бумаги (X3) = 1, пятый разряд кода ценной бумаги (X5) = 7, десятый разряд кода ценной бумаги (X10) = 2, то одиннадцатый разряд кода ценной бумаги (X11) = 01 или 02 или 03 или 04 или 07 или 10.

218. Если в разделе 4 второй разряд кода ценной бумаги (X2) = 1 или 2 или 3, третий разряд кода ценной бумаги (X3) = 1, пятый разряд кода ценной бумаги (X5) = 7, десятый разряд кода ценной бумаги (X10) = 1, пятнадцатый разряд кода ценной бумаги (X15) = 1, то одиннадцатый разряд кода ценной бумаги (X11) = 00.

219. Если в разделе 4 второй разряд кода ценной бумаги (X2) = 1 или 2 или 3, третий разряд кода ценной бумаги (X3) = 1, пятый разряд кода ценной бумаги (X5) = 7, десятый разряд кода ценной бумаги (X10) = 1 и пятнадцатый разряд кода ценной бумаги (X15) = 2, то одиннадцатый разряд кода ценной бумаги (X11) = 01.

220. Если в разделе 4 второй разряд кода ценной бумаги (X2) = 1 или 2 или 3, третий разряд кода ценной бумаги (X3) = 6 или 7, пятый разряд кода ценной бумаги (X5) = 4, десятый разряд кода ценной бумаги (X10) = 2, то одиннадцатый разряд кода ценной бумаги (X11) = 01 или 02 или 03 или 04 или 07 или 08 или 10.

221. Если в разделе 4 второй разряд кода ценной бумаги (X2) = 1 или 2 или 3, третий разряд кода ценной бумаги (X3) = 6 или 7, пятый разряд кода ценной бумаги (X5) = 6, десятый разряд кода ценной бумаги (X10) = 2, то одиннадцатый разряд кода ценной бумаги (X11) = 01 или 02 или 03 или 04 или 07 или 10.

222. Если в разделе 4 второй разряд кода ценной бумаги (X2) = 4 или 5 или 6, третий разряд кода ценной бумаги (X3) = 1 или 6, то одиннадцатый разряд кода ценной бумаги (X11) = 02 или 03 или 04.

223. Если в разделе 4 второй разряд кода ценной бумаги (X2) = 7 или 8 или 9, третий разряд кода ценной бумаги (X3) = 1 или 6, то одиннадцатый разряд кода ценной бумаги (X11) = 01.

224. Если в разделе 5 второй разряд кода ценной бумаги (X2) = 1 или 2 или 3, пятый разряд кода ценной бумаги (X5) = 4, то одиннадцатый разряд кода ценной бумаги (X11) = 02 или 03 или 04 или 07 или 08 или 10 или 11.

225. Если в разделе 5 второй разряд кода ценной бумаги (X2) = 1 или 2 или 3, пятый разряд кода ценной бумаги (X5) = 7 или 8, то одиннадцатый разряд кода ценной бумаги (X11) = 02 или 03 или 04 или 07 или 10.

226. Если в разделе 5 второй разряд кода ценной бумаги (X2) = 4 или 5 или 6, пятый разряд кода ценной бумаги (X5) = 4, то одиннадцатый разряд кода ценной бумаги (X11) = 02 или 03 или 04 или 11.

227. Если в разделе 5 второй разряд кода ценной бумаги (X2) = 4 или 5 или 6, пятый разряд кода ценной бумаги (X5) = 7 или 8, то одиннадцатый разряд кода ценной бумаги (X11) = 02 или 03 или 04.

228. Если в разделе 6 второй разряд кода ценной бумаги (X2) = 1 или 2 или 3, пятый разряд кода ценной бумаги (X5) = 4, то одиннадцатый разряд кода ценной бумаги (X11) = 01 или 02 или 03 или 04 или 07 или 08 или 10.

229. Если в разделе 6 второй разряд кода ценной бумаги (X2) = 1 или 2 или 3, пятый разряд кода ценной бумаги (X5) = 7 или 8, то одиннадцатый разряд кода ценной бумаги (X11) = 01 или 02 или 03 или 04 или 07 или 10.

230. Если в разделе 6 второй разряд кода ценной бумаги (X2) = 4 или 5 или 6, то одиннадцатый разряд кода ценной бумаги (X11) = 02 или 03 или 04.

231. Если в разделе 6 второй разряд кода ценной бумаги (X2) = 7 или 8 или 9, то одиннадцатый разряд кода ценной бумаги (X11) = 01.

232. Если в разделе 7 пятнадцатый разряд кода ценной бумаги (X15) = 1, то одиннадцатый разряд кода ценной бумаги (X11) = 00, двенадцатый разряд кода ценной бумаги (X12) = 000.

233. Если в разделе 7 пятнадцатый разряд кода ценной бумаги (X15) = 2, то одиннадцатый разряд кода ценной бумаги (X11) = 12, двенадцатый разряд кода ценной бумаги (X12) = 008.

234. Если в разделе 8 пятнадцатый разряд кода ценной бумаги (X15) = 1, то одиннадцатый разряд кода ценной бумаги (X11) = 00, двенадцатый разряд кода ценной бумаги (X12) = 000.

235. Если в разделе 8 пятнадцатый разряд кода ценной бумаги (X15) = 2, то одиннадцатый разряд кода ценной бумаги (X11) = 12, двенадцатый разряд кода ценной бумаги (X12) = 008.

236. Если в разделах 3, 6 пятнадцатый разряд кода ценной бумаги (X15) = 1, одиннадцатый разряд кода ценной бумаги (X11) = 01, то двенадцатый разряд кода ценной бумаги (X12) = 001.

237. Если в разделах 3, 6 пятнадцатый разряд кода ценной бумаги (X15) = 2, одиннадцатый разряд кода ценной бумаги (X11) = 01, то двенадцатый разряд кода ценной бумаги (X12) = 002 или 003 или 004 или 006 или 007.

238. Если в разделе 4 второй разряд кода ценной бумаги (X2) = 1 или 2 или 3, третий разряд кода ценной бумаги (X3) = 1, десятый разряд кода ценной бумаги (X10) = 1, одиннадцатый разряд кода ценной бумаги (X11) = 00 и пятнадцатый разряд кода ценной бумаги (X15) = 1, то двенадцатый разряд кода ценной бумаги (X12) = 000.

239. Если в разделе 4 второй разряд кода ценной бумаги (X2) = 1 или 2 или 3, третий разряд кода ценной бумаги (X3) = 1, десятый разряд кода ценной бумаги (X10) = 1, одиннадцатый разряд кода ценной бумаги (X11) = 01 и пятнадцатый разряд кода ценной бумаги (X15) = 2, то двенадцатый разряд кода ценной бумаги (X12) = 000.

240. Если в разделе 4 второй разряд кода ценной бумаги (X2) = 1 или 2 или 3, третий разряд кода ценной бумаги (X3) = 1 или 6 или 7, десятый разряд кода ценной бумаги (X10) = 2, одиннадцатый разряд кода ценной бумаги (X11) = 01 и пятнадцатый разряд кода ценной бумаги (X15) = 1, то двенадцатый разряд кода ценной бумаги (X12) = 001.

241. Если в разделе 4 второй разряд кода ценной бумаги (X2) = 1 или 2 или 3, третий разряд кода ценной бумаги (X3) = 1 или 6 или 7, десятый разряд кода ценной бумаги (X10) = 2, одиннадцатый разряд кода ценной бумаги (X11) = 01 и пятнадцатый разряд кода ценной бумаги (X15) = 2, то двенадцатый разряд кода ценной бумаги (X12) = 002 или 003 или 004 или 006 или 007.

242. Если в разделах 3, 4, 5, 6 пятнадцатый разряд кода ценной бумаги (X15) = 1, одиннадцатый разряд кода ценной бумаги (X11) = 02, то двенадцатый разряд кода ценной бумаги (X12) = 011 или 012 или 013 или 014 или 015 или 016 или 017 или 018 или 019 или 020 или 021 или 022 или 023.

243. Если в разделах 3, 4, 6 пятнадцатый разряд кода ценной бумаги (X15) = 2, одиннадцатый разряд кода ценной бумаги (X11) = 02, то двенадцатый разряд кода ценной бумаги (X12) = 024 или 025 или 026 или 027 или 028 или 029 или 030 или 031 или 032 или 033 или 034 или 040.

244. Если в разделе 5 пятнадцатый разряд кода ценной бумаги (X15) = 2, одиннадцатый разряд кода ценной бумаги (X11) = 02, то двенадцатый разряд кода ценной бумаги (X12) = 024 или 025 или 026 или 027 или 028 или 029 или 030 или 031 или 032 или 033 или 034.

245. Если в разделах 3, 4, 5, 6 пятнадцатый разряд кода ценной бумаги (X15) = 1, одиннадцатый разряд кода ценной бумаги (X11) = 03, то двенадцатый разряд кода ценной бумаги (X12) = 041 или 042 или 043 или 044 или 045 или 046 или 047 или 048 или 049 или 050 или 051 или 052 или 053.

246. Если в разделах 3, 4, 6 пятнадцатый разряд кода ценной бумаги (X15) = 2, одиннадцатый разряд кода ценной бумаги (X11) = 03, то двенадцатый разряд кода ценной бумаги (X12) = 054 или 055 или 056 или 057 или 058 или 059 или 060 или 061 или 062 или 063 или 070.

247. Если в разделе 5 пятнадцатый разряд кода ценной бумаги (X15) = 2, одиннадцатый разряд кода ценной бумаги (X11) = 03, то двенадцатый разряд кода ценной бумаги (X12) = 054 или 055 или 056 или 057 или 058 или 059 или 060 или 061 или 062 или 063.

248. Если в разделах 3, 4, 5, 6 пятнадцатый разряд кода ценной бумаги (X15) = 1, одиннадцатый разряд кода ценной бумаги (X11) = 04, то двенадцатый разряд кода ценной бумаги (X12) = 071 или 072 или 073 или 074 или 075 или 076 или 077 или 078 или 079 или 080 или 081 или 082 или 083.

249. Если в разделах 3, 4, 5, 6 пятнадцатый разряд кода ценной бумаги (X15) = 2, одиннадцатый разряд кода ценной бумаги (X11) = 04, то двенадцатый разряд кода ценной бумаги (X12) = 084 или 085 или 086 или 087 или 088 или 089 или 090 или 091 или 092 или 093 или 094 или 099.

250. Если в разделе 5 пятнадцатый разряд кода ценной бумаги (X15) = 2, одиннадцатый разряд кода ценной бумаги (X11) = 04, то двенадцатый разряд кода ценной бумаги (X12) = 084 или 085 или 086 или 087 или 088 или 089 или 090 или 091 или 092 или 093 или 094.

251. Если в разделах 3, 4, 5, 6 пятнадцатый разряд кода ценной бумаги (X15) = 1, одиннадцатый разряд кода ценной бумаги (X11) = 07, то двенадцатый разряд кода ценной бумаги (X12) = 201 или 202 или 203 или 204 или 205 или 206.

252. Если в разделах 3, 4, 5, 6 пятнадцатый разряд кода ценной бумаги (X15) = 2, одиннадцатый разряд кода ценной бумаги (X11) = 07, то двенадцатый разряд кода ценной бумаги (X12) = 207 или 208 или 209 или 210 или 220.

253. Если в разделе 5 пятнадцатый разряд кода ценной бумаги (X15) = 2, одиннадцатый разряд кода ценной бумаги (X11) = 07, то двенадцатый разряд кода ценной бумаги (X12) = 207 или 208 или 209 или 210.

254. Если в разделах 4, 5, 6 пятнадцатый разряд кода ценной бумаги (X15) = 1, пятый разряд кода ценной бумаги (X5) = 4 и одиннадцатый разряд кода ценной бумаги (X11) = 08, то двенадцатый разряд кода ценной бумаги (X12) = 221 или 222 или 223 или 224 или 225 или 226 или 227 или 228 или 229 или 230 или 231 или 232 или 233 или 234 или 235 или 236 или 237 или 238.

255. Если в разделах 4, 6 пятнадцатый разряд кода ценной бумаги (X15) = 2, пятый разряд кода ценной бумаги (X5) = 4 и одиннадцатый разряд кода ценной бумаги (X11) = 08, то двенадцатый разряд кода ценной бумаги (X12) = 240 или 241 или 242 или 243 или 244 или 245 или 246 или 247 или 248 или 249 или 250 или 251 или 260.

256. Если в разделе 5 пятнадцатый разряд кода ценной бумаги (X15) = 2, пятый разряд кода ценной бумаги (X5) = 4 и одиннадцатый разряд кода ценной бумаги (X11) = 08, то двенадцатый разряд кода ценной бумаги (X12) = 240 или 241 или 242 или 243 или 244 или 245 или 246 или 247 или 248 или 249 или 250 или 251.

257. Если в разделах 3, 4, 5, 6 пятнадцатый разряд кода ценной бумаги (X15) = 1, одиннадцатый разряд кода ценной бумаги (X11) = 10, то двенадцатый разряд кода ценной бумаги (X12) = 996 или 997.

258. Если в разделах 3, 4, 6 пятнадцатый разряд кода ценной бумаги (X15) = 2, одиннадцатый разряд код ценной бумаги (X11) = 10, то двенадцатый разряд кода ценной бумаги (X12) = 990 или 998 или 999.

259. Если в разделе 5 пятнадцатый разряд кода ценной бумаги (X15) = 2, одиннадцатый разряд код ценной бумаги (X11) = 10, то двенадцатый разряд кода ценной бумаги (X12) = 998 или 999.

260. Если в разделе 5 одиннадцатый разряд кода ценной бумаги (X11) = 11, то двенадцатый разряд кода ценной бумаги (X12) = 000.

261. Если в разделе 4 десятый разряд кода ценной бумаги (X10) = 2, одиннадцатый разряд кода ценной бумаги (X11) = 01, двенадцатый разряд кода ценной бумаги (X12) = 001, то тринадцатый разряд кода ценной бумаги (X13) = 0.

262. Если в разделе 4 десятый разряд кода ценной бумаги (X10) = 2, одиннадцатый разряд кода ценной бумаги (X11) = 01, двенадцатый разряд кода ценной бумаги (X12) = 002 или 003 или 004 или 006, то тринадцатый разряд кода ценной бумаги (X13) = 0.

263. Если в разделе 3 пятый разряд кода ценной бумаги (X5) = 2, одиннадцатый разряд кода ценной бумаги (X11) = 02 или 03 или 04 или 07, то соответственно тринадцатый разряд кода ценной бумаги (X13) = 2.

264. Если в разделе 3 пятый разряд кода ценной бумаги (X5) = 3, одиннадцатый разряд кода ценной бумаги (X11) = 02 или 03 или 04 или 07, то соответственно тринадцатый разряд кода ценной бумаги (X13) = 3.

265. Если в разделе 4 пятый разряд кода ценной бумаги (X5) = 1, второй разряд кода ценной бумаги (X2) = 4 или 5 или 6, одиннадцатый разряд кода ценной бумаги (X11) = 02 или 03 или 04, то тринадцатый разряд кода ценной бумаги (X13) = 1.

266. Если в разделе 4 пятый разряд кода ценной бумаги (X5) = 2, второй разряд кода ценной бумаги (X2) = 4 или 5 или 6, одиннадцатый разряд кода ценной бумаги (X11) = 02 или 03 или 04, то тринадцатый разряд кода ценной бумаги (X13) = 2.

267. Если в разделе 4 пятый разряд кода ценной бумаги (X5) = 3, второй разряд кода ценной бумаги (X2) = 4 или 5 или 6, одиннадцатый разряд кода ценной бумаги (X11) = 02 или 03 или 04, то тринадцатый разряд кода ценной бумаги (X13) = 3.

268. Если в разделе 4 пятый разряд кода ценной бумаги (X5) = 6, второй разряд кода ценной бумаги (X2) = 1 или 2 или 3, третий разряд кода ценной бумаги (X3) = 6 или 7, одиннадцатый разряд кода ценной бумаги (X11) = 02 или 03 или 04 или 07, то тринадцатый разряд кода ценной бумаги (X13) = 4.

269. Если в разделе 4 пятый разряд кода ценной бумаги (X5) = 7, второй разряд кода ценной бумаги (X2) = 4 или 5 или 6, одиннадцатый разряд кода ценной бумаги (X11) = 02 или 03 или 04, то тринадцатый разряд кода ценной бумаги (X13) = 4.

270. Если в разделе 4 пятый разряд кода ценной бумаги (X5) = 7, второй разряд кода ценной бумаги (X2) = 1 или 2 или 3, одиннадцатый разряд кода ценной бумаги (X11) = 02 или 03 или 04 или 07, то тринадцатый разряд кода ценной бумаги (X13) = 4.

271. Если в разделе 4 пятый разряд кода ценной бумаги (X5) = 8, второй разряд кода ценной бумаги (X2) = 1 или 2 или 3, одиннадцатый разряд кода ценной бумаги (X11) = 02 или 03 или 04 или 07, то тринадцатый разряд кода ценной бумаги (X13) = 6.

272. Если в разделах 4, 6 пятый разряд кода ценной бумаги (X5) = 4, второй разряд кода ценной бумаги (X2) = 1 или 2 или 3, одиннадцатый разряд кода ценной бумаги (X11) = 02 или 03 или 04 или 07 или 08, то тринадцатый разряд кода ценной бумаги (X13) = 5.

273. Если в разделах 4, 6 пятый разряд кода ценной бумаги (X5) = 4, второй разряд кода ценной бумаги (X2) = 4 или 5 или 6, одиннадцатый разряд кода ценной бумаги (X11) = 02 или 03 или 04, то тринадцатый разряд кода ценной бумаги (X13) = 5.

274. Если в разделе 6 пятый разряд кода ценной бумаги (X5) = 7, второй разряд кода ценной бумаги (X2) = 4 или 5 или 6, одиннадцатый разряд кода ценной бумаги (X11) = 02 или 03 или 04, то тринадцатый разряд кода ценной бумаги (X13) = 4.

275. Если в разделах 4, 6 пятый разряд кода ценной бумаги (X5) = 8, второй разряд кода ценной бумаги (X2) = 4 или 5 или 6, одиннадцатый разряд кода ценной бумаги (X11) = 02 или 03 или 04, то тринадцатый разряд кода ценной бумаги (X13) = 6.

276. Если в разделе 5 пятый разряд кода ценной бумаги (X5) = 4, второй разряд кода ценной бумаги (X2) = 1 или 2 или 3, одиннадцатый разряд кода ценной бумаги (X11) = 02 или 03 или 04 или 07 или 08, то тринадцатый разряд кода ценной бумаги (X13) = 5.

277. Если в разделе 5 пятый разряд кода ценной бумаги (X5) = 7, второй разряд кода ценной бумаги (X2) = 1 или 2 или 3, одиннадцатый разряд кода ценной бумаги (X11) = 02 или 03 или 04 или 07, то тринадцатый разряд кода ценной бумаги (X13) = 4.

278. Если в разделе 5 пятый разряд кода ценной бумаги (X5) = 4, второй разряд кода ценной бумаги (X2) = 4 или 5 или 6, одиннадцатый разряд кода ценной бумаги (X11) = 02 или 03 или 04, то тринадцатый разряд кода ценной бумаги (X13) = 5.

279. Если в разделе 5 пятый разряд кода ценной бумаги (X5) = 7, второй разряд кода ценной бумаги (X2) = 4 или 5 или 6, одиннадцатый разряд кода ценной бумаги (X11) = 02 или 03 или 04, то тринадцатый разряд кода ценной бумаги (X13) = 4.

280. Если в разделе 5 пятый разряд кода ценной бумаги (X5) = 8, второй разряд кода ценной бумаги (X2) = 1 или 2 или 3, одиннадцатый разряд кода ценной бумаги (X11) = 02 или 03 или 04 или 07, то тринадцатый разряд кода ценной бумаги (X13) = 6.

281. Если в разделе 5 пятый разряд кода ценной бумаги (X5) = 8, второй разряд кода ценной бумаги (X2) = 4 или 5 или 6, одиннадцатый разряд кода ценной бумаги (X11) = 02 или 03 или 04, то тринадцатый разряд кода ценной бумаги (X13) = 6.

282. Если в разделе 6 пятый разряд кода ценной бумаги (X5) = 7, второй разряд кода ценной бумаги (X2) = 1 или 2 или 3, одиннадцатый разряд кода ценной бумаги (X11) = 02 или 03 или 04 или 07, то тринадцатый разряд кода ценной бумаги (X13) = 4.

283. Если в разделе 6 пятый разряд кода ценной бумаги (X5) = 8, второй разряд кода ценной бумаги (X2) = 1 или 2 или 3, одиннадцатый разряд кода ценной бумаги (X11) = 02 или 03 или 04 или 07, то тринадцатый разряд кода ценной бумаги (X13) = 6.

284. Если в разделах 3, 4, 5, 6 одиннадцатый разряд кода ценной бумаги (X11) = 10, то тринадцатый разряд кода ценной бумаги (X13) = 0.

285. Если в разделе 5 одиннадцатый разряд кода ценной бумаги (X11) = 11, то тринадцатый разряд кода ценной бумаги (X13) = 0.

286. Если в разделах 3, 4, 5, 6 второй разряд кода ценной бумаги (X2) = 1 или 2 или 3, одиннадцатый разряд кода ценной бумаги (X11) = 02 или 03 или 04, то четырнадцатый разряд кода ценной бумаги (X14) = 1 или 2.

287. Если в разделах 3, 4, 5, 6 второй разряд кода ценной бумаги (X2) = 4 или 5 или 6, одиннадцатый разряд кода ценной бумаги (X11) = 02 или 03 или 04, то четырнадцатый разряд кода ценной бумаги (X14) = 1.

288. Если в разделе 5 одиннадцатый разряд кода ценной бумаги (X11) = 11, то четырнадцатый разряд кода ценной бумаги (X14) = 0.

289. Если в разделах 3, 4, 5, 6 одиннадцатый разряд кода ценной бумаги (X11) = 07 или 08 или 10, то четырнадцатый разряд кода ценной бумаги (X14) = 0.

290. Если в разделах 3, 6 одиннадцатый разряд кода ценной бумаги (X11) = 01, то тринадцатый, четырнадцатый разряды кода ценной бумаги (X13, X14) = 0.

291. Если в разделе 2 пятнадцатый разряд кода ценной бумаги (X15) = 1, одиннадцатый разряд кода ценной бумаги (X11) = 00, то двенадцатый, тринадцатый, четырнадцатый разряды кода ценной бумаги (X12, X13, X14) = 0.

292. Если в разделе 2 пятнадцатый разряд кода ценной бумаги (X15) = 2, одиннадцатый разряд кода ценной бумаги (X11) = 01, то двенадцатый, тринадцатый, четырнадцатый разряды кода ценной бумаги (X12, X13, X14) = 0.

293. Если в разделе 4 десятый разряд кода ценной бумаги (X10) = 1, пятнадцатый разряд кода ценной бумаги (X15) = 1, то тринадцатый, четырнадцатый разряды кода ценной бумаги (X13, X14) = 0.

294. Если в разделе 4 десятый разряд кода ценной бумаги (X10) = 1, пятнадцатый разряд кода ценной бумаги (X15) = 2 и одиннадцатый разряд кода ценной бумаги (X11) = 01, то тринадцатый, четырнадцатый разряды кода ценной бумаги (X13, X14) = 0.

295. В разделах 7, 8 тринадцатый, четырнадцатый разряды кода ценной бумаги (X13, X14) = 0.

296. В разделах 2, 3, 4, 5, 6, 8 пятнадцатый разряд кода ценной бумаги (X15) = 1 или 2.

297. В разделе 7 пятнадцатый разряд кода ценной бумаги (X15) = 1 или 2.

Если в разделах 2, 3, 4, 5, 6, 7, 8 первый разряд кода ценной бумаги (X1) = 11 или 12, то для контрольных соотношений 280 - 368:

298. Если в разделах 2 пятнадцатый разряд кода ценной бумаги (X15) = 1, то одиннадцатый разряд кода ценной бумаги (X11) = 00.

299. Если в разделах 2 пятнадцатый разряд кода ценной бумаги (X15) = 2, то одиннадцатый разряд кода ценной бумаги (X11) = 01.

300. В разделе 3 одиннадцатый разряд кода ценной бумаги (X11) = 01 или 02 или 03 или 04 или 07 или 10.

301. Если в разделе 4 второй разряд кода ценной бумаги (X2) = 1 или 2 или 3, третий разряд кода ценной бумаги (X3) = 1, пятый разряд кода ценной бумаги (X5) = 4, десятый разряд кода ценной бумаги (X10) = 2, то одиннадцатый разряд кода ценной бумаги (X11) = 01 или 02 или 03 или 04 или 07 или 08 или 10.

302. Если в разделе 4 второй разряд кода ценной бумаги (X2) = 1 или 2 или 3, третий разряд кода ценной бумаги (X3) = 1, пятый разряд кода ценной бумаги (X5) = 7, десятый разряд кода ценной бумаги (X10) = 2, то одиннадцатый разряд кода ценной бумаги (X11) = 01 или 02 или 03 или 04 или 07 или 10.

303. Если в разделе 4 второй разряд кода ценной бумаги (X2) = 1 или 2 или 3, третий разряд кода ценной бумаги (X3) = 1, пятый разряд кода ценной бумаги (X5) = 7, десятый разряд кода ценной бумаги (X10) = 1 и пятнадцатый разряд кода ценной бумаги (X15) = 1, то одиннадцатый разряд кода ценной бумаги (X11) = 00.

304. Если в разделе 4 второй разряд кода ценной бумаги (X2) = 1 или 2 или 3, третий разряд кода ценной бумаги (X3) = 1, пятый разряд кода ценной бумаги (X5) = 7, десятый разряд кода ценной бумаги (X10) = 1 и пятнадцатый разряд кода ценной бумаги (X15) = 2, то одиннадцатый разряд кода ценной бумаги (X11) = 01.

305. Если в разделе 4 второй разряд кода ценной бумаги (X2) = 1 или 2 или 3, третий разряд кода ценной бумаги (X3) = 6 или 7, пятый разряд кода ценной бумаги (X5) = 4, десятый разряд кода ценной бумаги (X10) = 2, то одиннадцатый разряд кода ценной бумаги (X11) = 01 или 02 или 03 или 04 или 07 или 08 или 10.

306. Если в разделе 4 второй разряд кода ценной бумаги (X2) = 1 или 2 или 3, третий разряд кода ценной бумаги (X3) = 6 или 7, пятый разряд кода ценной бумаги (X5) = 6, десятый разряд кода ценной бумаги (X10) = 2, то одиннадцатый разряд кода ценной бумаги (X11) = 01 или 02 или 03 или 04 или 07 или 10.

307. Если в разделе 4 второй разряд кода ценной бумаги (X2) = 4 или 5 или 6, третий разряд кода ценной бумаги (X3) = 1 или 6, то одиннадцатый разряд кода ценной бумаги (X11) = 02 или 03 или 04.

308. Если в разделе 4 второй разряд кода ценной бумаги (X2) = 7 или 8 или 9, третий разряд кода ценной бумаги (X3) = 1 или 6, то одиннадцатый разряд кода ценной бумаги (X11) = 01.

309. Если в разделе 5 второй разряд кода ценной бумаги (X2) = 1 или 2 или 3, пятый разряд кода ценной бумаги (X5) = 4, то одиннадцатый разряд кода ценной бумаги (X11) = 02 или 03 или 04 или 07 или 08 или 10 или 11.

310. Если в разделе 5 второй разряд кода ценной бумаги (X2) = 1 или 2 или 3, пятый разряд кода ценной бумаги (X5) = 7 или 8, то одиннадцатый разряд кода ценной бумаги (X11) = 02 или 03 или 04 или 07 или 10.

311. Если в разделе 5 второй разряд кода ценной бумаги (X2) = 4 или 5 или 6, пятый разряд кода ценной бумаги (X5) = 4, то одиннадцатый разряд кода ценной бумаги (X11) = 02 или 03 или 04 или 11.

312. Если в разделе 5 второй разряд кода ценной бумаги (X2) = 4 или 5 или 6, пятый разряд кода ценной бумаги (X5) = 7 или 8, то одиннадцатый разряд кода ценной бумаги (X11) = 02 или 03 или 04.

313. Если в разделе 6 второй разряд кода ценной бумаги (X2) = 1 или 2 или 3, пятый разряд кода ценной бумаги (X5) = 4, то одиннадцатый разряд кода ценной бумаги (X11) = 01 или 02 или 03 или 04 или 07 или 08 или 10.

314. Если в разделе 6 второй разряд кода ценной бумаги (X2) = 1 или 2 или 3, пятый разряд кода ценной бумаги (X5) = 7 или 8, то одиннадцатый разряд кода ценной бумаги (X11) = 01 или 02 или 03 или 04 или 07 или 10.

315. Если в разделе 6 второй разряд кода ценной бумаги (X2) = 4 или 5 или 6, то одиннадцатый разряд кода ценной бумаги (X11) = 02 или 03 или 04.

316. Если в разделе 6 второй разряд кода ценной бумаги (X2) = 7 или 8 или 9, то одиннадцатый разряд кода ценной бумаги (X11) = 01.

317. Если в разделе 7 пятнадцатый разряд кода ценной бумаги (X15) = 1, то одиннадцатый разряд кода ценной бумаги (X11) = 00, двенадцатый разряд кода ценной бумаги (X12) = 000.

318. Если в разделе 7 пятнадцатый разряд кода ценной бумаги (X15) = 2, то одиннадцатый разряд кода ценной бумаги (X11) = 12, двенадцатый разряд кода ценной бумаги (X12) = 008.

319. Если в разделе 8 пятнадцатый разряд кода ценной бумаги (X15) = 1, то одиннадцатый разряд кода ценной бумаги (X11) = 00, двенадцатый разряд кода ценной бумаги (X12) = 000.

320. Если в разделе 8 пятнадцатый разряд кода ценной бумаги (X15) = 2, то одиннадцатый разряд кода ценной бумаги (X11) = 12, двенадцатый разряд кода ценной бумаги (X12) = 008.

321. Если в разделах 3, 6 пятнадцатый разряд кода ценной бумаги (X15) = 1, одиннадцатый разряд кода ценной бумаги (X11) = 01, то двенадцатый разряд кода ценной бумаги (X12) = 001.

322. Если в разделах 3, 6 пятнадцатый разряд кода ценной бумаги (X15) = 2, одиннадцатый разряд кода ценной бумаги (X11) = 01, то двенадцатый разряд кода ценной бумаги (X12) = 002 или 003 или 004 или 006 или 007.

323. Если в разделе 4 второй разряд кода ценной бумаги (X2) = 1 или 2 или 3, третий разряд кода ценной бумаги (X3) = 1, десятый разряд кода ценной бумаги (X10) = 1, одиннадцатый разряд кода ценной бумаги (X11) = 00 и пятнадцатый разряд кода ценной бумаги (X15) = 1, то двенадцатый разряд кода ценной бумаги (X12) = 000.

324. Если в разделе 4 второй разряд кода ценной бумаги (X2) = 1 или 2 или 3, третий разряд кода ценной бумаги (X3) = 1, десятый разряд кода ценной бумаги (X10) = 1, одиннадцатый разряд кода ценной бумаги (X11) = 01 и пятнадцатый разряд кода ценной бумаги (X15) = 2, то двенадцатый разряд кода ценной бумаги (X12) = 000.

325. Если в разделе 4 второй разряд кода ценной бумаги (X2) = 1 или 2 или 3, третий разряд кода ценной бумаги (X3) = 1 или 6 или 7, десятый разряд кода ценной бумаги (X10) = 2, одиннадцатый разряд кода ценной бумаги (X11) = 01 и пятнадцатый разряд кода ценной бумаги (X15) = 1, то двенадцатый разряд кода ценной бумаги (X12) = 001.

326. Если в разделе 4 второй разряд кода ценной бумаги (X2) = 1 или 2 или 3, третий разряд кода ценной бумаги (X3) = 1 или 6 или 7, десятый разряд кода ценной бумаги (X10) = 2, одиннадцатый разряд кода ценной бумаги (X11) = 01 и пятнадцатый разряд кода ценной бумаги (X15) = 2, то двенадцатый разряд кода ценной бумаги (X12) = 002 или 003 или 004 или 006 или 007.

327. Если в разделах 3, 4, 6 пятнадцатый разряд кода ценной бумаги (X15) = 1, одиннадцатый разряд кода ценной бумаги (X11) = 02, то двенадцатый разряд кода ценной бумаги (X12) = 011 или 012 или 013 или 014 или 015 или 016 или 017 или 018 или 019 или 020 или 021 или 022 или 023.

328. Если в разделах 3, 4, 6 пятнадцатый разряд кода ценной бумаги (X15) = 2, одиннадцатый разряд кода ценной бумаги (X11) = 02, то двенадцатый разряд кода ценной бумаги (X12) = 024 или 025 или 026 или 027 или 028 или 029 или 030 или 031 или 032 или 033 или 034 или 040.

329. Если в разделе 5 пятнадцатый разряд кода ценной бумаги (X15) = 2, одиннадцатый разряд кода ценной бумаги (X11) = 02, то двенадцатый разряд кода ценной бумаги (X12) = 024 или 025 или 026 или 027 или 028 или 029 или 030 или 031 или 032 или 033 или 034.

330. Если в разделах 3, 4, 5, 6 пятнадцатый разряд кода ценной бумаги (X15) = 1, одиннадцатый разряд кода ценной бумаги (X11) = 03, то двенадцатый разряд кода ценной бумаги (X12) = 041 или 042 или 043 или 044 или 045 или 046 или 047 или 048 или 049 или 050 или 051 или 052 или 053.

331. Если в разделах 3, 4, 6 пятнадцатый разряд кода ценной бумаги (X15) = 2, одиннадцатый разряд кода ценной бумаги (X11) = 03, то двенадцатый разряд кода ценной бумаги (X12) = 054 или 055 или 056 или 057 или 058 или 059 или 060 или 061 или 062 или 063 или 070.

332. Если в разделе 5 пятнадцатый разряд кода ценной бумаги (X15) = 2, одиннадцатый разряд кода ценной бумаги (X11) = 03, то двенадцатый разряд кода ценной бумаги (X12) = 054 или 055 или 056 или 057 или 058 или 059 или 060 или 061 или 062 или 063.

333. Если в разделах 3, 4, 5, 6 пятнадцатый разряд кода ценной бумаги (X15) = 1, одиннадцатый разряд кода ценной бумаги (X11) = 04, то двенадцатый разряд кода ценной бумаги (X12) = 071 или 072 или 073 или 074 или 075 или 076 или 077 или 078 или 079 или 080 или 081 или 082 или 083.

334. Если в разделах 3, 4, 6 пятнадцатый разряд кода ценной бумаги (X15) = 2, одиннадцатый разряд кода ценной бумаги (X11) = 04, то двенадцатый разряд кода ценной бумаги (X12) = 084 или 085 или 086 или 087 или 088 или 089 или 090 или 091 или 092 или 093 или 094 или 099.

335. Если в разделе 5 пятнадцатый разряд кода ценной бумаги (X15) = 2, одиннадцатый разряд кода ценной бумаги (X11) = 04, то двенадцатый разряд кода ценной бумаги (X12) = 084 или 085 или 086 или 087 или 088 или 089 или 090 или 091 или 092 или 093 или 094.

336. Если в разделах 3, 4, 5, 6 пятнадцатый разряд кода ценной бумаги (X15) = 1, одиннадцатый разряд кода ценной бумаги (X11) = 07, то двенадцатый разряд кода ценной бумаги (X12) = 201 или 202 или 203 или 204 или 205 или 206.

337. Если в разделах 3, 4, 6 пятнадцатый разряд кода ценной бумаги (X15) = 2, одиннадцатый разряд кода ценной бумаги (X11) = 07, то двенадцатый разряд кода ценной бумаги (X12) = 207 или 208 или 209 или 210 или 220.

338. Если в разделе 5 пятнадцатый разряд кода ценной бумаги (X15) = 2, одиннадцатый разряд кода ценной бумаги (X11) = 07, то двенадцатый разряд кода ценной бумаги (X12) = 207 или 208 или 209 или 210.

339. Если в разделах 4, 5, 6 пятнадцатый разряд кода ценной бумаги (X15) = 1, пятый разряд кода ценной бумаги (X5) = 4 и одиннадцатый разряд кода ценной бумаги (X11) = 08, то двенадцатый разряд кода ценной бумаги (X12) = 221 или 222 или 223 или 224 или 225 или 226 или 227 или 228 или 229 или 230 или 231 или 232 или 233 или 234 или 235 или 236 или 237 или 238.

340. Если в разделах 4, 5, 6 пятнадцатый разряд кода ценной бумаги (X15) = 2, пятый разряд кода ценной бумаги (X5) = 4 и одиннадцатый разряд кода ценной бумаги (X11) = 08, то двенадцатый разряд кода ценной бумаги (X12) = 240 или 241 или 242 или 243 или 244 или 245 или 246 или 247 или 248 или 249 или 250 или 251 или 260.

341. Если в разделе 5 пятнадцатый разряд кода ценной бумаги (X15) = 2, пятый разряд кода ценной бумаги (X5) = 4 и одиннадцатый разряд кода ценной бумаги (X11) = 08, то двенадцатый разряд кода ценной бумаги (X12) = 240 или 241 или 242 или 243 или 244 или 245 или 246 или 247 или 248 или 249 или 250 или 251.

342. Если в разделах 3, 4, 5, 6 пятнадцатый разряд кода ценной бумаги (X15) = 1, одиннадцатый разряд кода ценной бумаги (X11) = 10, то двенадцатый разряд кода ценной бумаги (X12) = 996 или 997.

343. Если в разделах 3, 4, 6 пятнадцатый разряд кода ценной бумаги (X15) = 2, одиннадцатый разряд кода ценной бумаги (X11) = 10, то двенадцатый разряд кода ценной бумаги (X12) = 990 или 998 или 999.

344. Если в разделе 5 пятнадцатый разряд кода ценной бумаги (X15) = 2, одиннадцатый разряд кода ценной бумаги (X11) = 10, то двенадцатый разряд кода ценной бумаги (X12) = 998 или 999.

345. Если в разделе 5 одиннадцатый разряд кода ценной бумаги (X11) = 11, то двенадцатый разряд кода ценной бумаги (X12) = 000.

346. Если в разделе 4 десятый разряд кода ценной бумаги (X10) = 2, одиннадцатый разряд кода ценной бумаги (X11) = 01, двенадцатый разряд кода ценной бумаги (X12) = 001, то тринадцатый разряд кода ценной бумаги (X13) = 0.

347. Если в разделе 4 десятый разряд кода ценной бумаги (X10) = 2, одиннадцатый разряд кода ценной бумаги (X11) = 01, двенадцатый разряд кода ценной бумаги (X12) = 002 или 003 или 004 или 006 или 007, то тринадцатый разряд кода ценной бумаги (X13) = 0.

348. Если в разделе 3 пятый разряд кода ценной бумаги (X5) = 2 и одиннадцатый разряд кода ценной бумаги (X11) = 02 или 03 или 04 или 07, то соответственно тринадцатый разряд кода ценной бумаги (X13) = 2.

349. Если в разделе 3 пятый разряд кода ценной бумаги (X5) = 3 и одиннадцатый разряд кода ценной бумаги (X11) = 02 или 03 или 04 или 07, то соответственно тринадцатый разряд кода ценной бумаги (X13) = 3.

350. Если в разделе 4 пятый разряд кода ценной бумаги (X5) = 1, второй разряд кода ценной бумаги (X2) = 4 или 5 или 6, одиннадцатый разряд кода ценной бумаги (X11) = 02 или 03 или 04, то тринадцатый разряд кода ценной бумаги (X13) = 1.

351. Если в разделе 4 пятый разряд кода ценной бумаги (X5) = 2, второй разряд кода ценной бумаги (X2) = 4 или 5 или 6, одиннадцатый разряд кода ценной бумаги (X11) = 02 или 03 или 04, то тринадцатый разряд кода ценной бумаги (X13) = 2.

352. Если в разделе 4 пятый разряд кода ценной бумаги (X5) = 3, второй разряд кода ценной бумаги (X2) = 4 или 5 или 6, одиннадцатый разряд кода ценной бумаги (X11) = 02 или 03 или 04, то тринадцатый разряд кода ценной бумаги (X13) = 3.

353. Если в разделе 4 пятый разряд кода ценной бумаги (X5) = 6, второй разряд кода ценной бумаги (X2) = 1 или 2 или 3, третий разряд кода ценной бумаги (X3) = 6 или 7, одиннадцатый разряд кода ценной бумаги (X11) = 02 или 03 или 04 или 07, то тринадцатый разряд кода ценной бумаги (X13) = 4.

354. Если в разделе 4 пятый разряд кода ценной бумаги (X5) = 7, второй разряд кода ценной бумаги (X2) = 4 или 5 или 6, одиннадцатый разряд кода ценной бумаги (X11) = 02 или 03 или 04, то тринадцатый разряд кода ценной бумаги (X13) = 4.

355. Если в разделе 4 пятый разряд кода ценной бумаги (X5) = 7, второй разряд кода ценной бумаги (X2) = 1 или 2 или 3, одиннадцатый разряд кода ценной бумаги (X11) = 02 или 03 или 04 или 07, то тринадцатый разряд кода ценной бумаги (X13) = 4.

356. Если в разделе 4 пятый разряд кода ценной бумаги (X5) = 8, второй разряд кода ценной бумаги (X2) = 1 или 2 или 3, одиннадцатый разряд кода ценной бумаги (X11) = 02 или 03 или 04 или 07, то тринадцатый разряд кода ценной бумаги (X13) = 6.

357. Если в разделах 4, 6 пятый разряд кода ценной бумаги (X5) = 4, второй разряд кода ценной бумаги (X2) = 1 или 2 или 3, одиннадцатый разряд кода ценной бумаги (X11) = 02 или 03 или 04 или 07 или 08, то тринадцатый разряд кода ценной бумаги (X13) = 5.

358. Если в разделах 4, 6 пятый разряд кода ценной бумаги (X5) = 4, второй разряд кода ценной бумаги (X2) = 4 или 5 или 6, одиннадцатый разряд кода ценной бумаги (X11) = 02 или 03 или 04, то тринадцатый разряд кода ценной бумаги (X13) = 5.

359. Если в разделе 6 пятый разряд кода ценной бумаги (X5) = 7, второй разряд кода ценной бумаги (X2) = 4 или 5 или 6, одиннадцатый разряд кода ценной бумаги (X11) = 02 или 03 или 04, то тринадцатый разряд кода ценной бумаги (X13) = 4.

360. Если в разделах 4, 6 пятый разряд кода ценной бумаги (X5) = 8, второй разряд кода ценной бумаги (X2) = 4 или 5 или 6, одиннадцатый разряд кода ценной бумаги (X11) = 02 или 03 или 04, то тринадцатый разряд кода ценной бумаги (X13) = 6.

361. Если в разделе 5 пятый разряд кода ценной бумаги (X5) = 4, второй разряд кода ценной бумаги (X2) = 1 или 2 или 3, одиннадцатый разряд кода ценной бумаги (X11) = 02 или 03 или 04 или 07 или 08, то тринадцатый разряд кода ценной бумаги (X13) = 5.

362. Если в разделе 5 пятый разряд кода ценной бумаги (X5) = 7, второй разряд кода ценной бумаги (X2) = 1 или 2 или 3, одиннадцатый разряд кода ценной бумаги (X11) = 02 или 03 или 04 или 07, то тринадцатый разряд кода ценной бумаги (X13) = 4.

363. Если в разделе 5 пятый разряд кода ценной бумаги (X5) = 4, второй разряд кода ценной бумаги (X2) = 4 или 5 или 6, одиннадцатый разряд кода ценной бумаги (X11) = 02 или 03 или 04, то тринадцатый разряд кода ценной бумаги (X13) = 5.

364. Если в разделе 5 пятый разряд кода ценной бумаги (X5) = 7, второй разряд кода ценной бумаги (X2) = 4 или 5 или 6, одиннадцатый разряд кода ценной бумаги (X11) = 02 или 03 или 04, то тринадцатый разряд кода ценной бумаги (X13) = 4.

365. Если в разделе 5 пятый разряд кода ценной бумаги (X5) = 8, второй разряд кода ценной бумаги (X2) = 1 или 2 или 3, одиннадцатый разряд кода ценной бумаги (X11) = 02 или 03 или 04 или 07, то тринадцатый разряд кода ценной бумаги (X13) = 6.

366. Если в разделе 5 пятый разряд кода ценной бумаги (X5) = 8, второй разряд кода ценной бумаги (X2) = 4 или 5 или 6, одиннадцатый разряд кода ценной бумаги (X11) = 02 или 03 или 04, то тринадцатый разряд кода ценной бумаги (X13) = 6.

367. Если в разделе 6 пятый разряд кода ценной бумаги (X5) = 7, второй разряд кода ценной бумаги (X2) = 1 или 2 или 3, одиннадцатый разряд кода ценной бумаги (X11) = 02 или 03 или 04 или 07, то тринадцатый разряд кода ценной бумаги (X13) = 4.

368. Если в разделе 6 пятый разряд кода ценной бумаги (X5) = 8, второй разряд кода ценной бумаги (X2) = 1 или 2 или 3, одиннадцатый разряд кода ценной бумаги (X11) = 02 или 03 или 04 или 07, то тринадцатый разряд кода ценной бумаги (X13) = 6.

369. Если в разделах 3, 4, 5, 6 одиннадцатый разряд кода ценной бумаги (X11) = 10, то тринадцатый разряд кода ценной бумаги (X13) = 0.

370. Если в разделе 5 одиннадцатый разряд кода ценной бумаги (X11) = 11, то тринадцатый разряд кода ценной бумаги (X13) = 0.

371. Если в разделах 3, 4, 5, 6 второй разряд кода ценной бумаги (X2) = 1 или 2 или 3, одиннадцатый разряд кода ценной бумаги (X11) = 02 или 03 или 04, то четырнадцатый разряд кода ценной бумаги (X14) = 1 или 2.

372. Если в разделах 3, 4, 5, 6 второй разряд кода ценной бумаги (X2) = 4 или 5 или 6, одиннадцатый разряд кода ценной бумаги (X11) = 02 или 03 или 04, то четырнадцатый разряд кода ценной бумаги (X14) = 1.

373. Если в разделе 5 одиннадцатый разряд кода ценной бумаги (X11) = 11, то четырнадцатый разряд кода ценной бумаги (X14) = 0.

374. Если в разделах 3, 4, 5, 6 одиннадцатый разряд кода ценной бумаги (X11) = 07 или 08 или 10, то четырнадцатый разряд кода ценной бумаги (X14) = 0.

375. Если в разделах 3, 6 одиннадцатый разряд кода ценной бумаги (X11) = 01, то четырнадцатый разряд кода ценной бумаги (X13, X14) = 0.

376. Если в разделе 2 пятнадцатый разряд кода ценной бумаги (X15) = 1, одиннадцатый разряд кода ценной бумаги (X11) = 00, то двенадцатый, тринадцатый, четырнадцатый разряды кода ценной бумаги (X12, X13, X14) = 0.

377. Если в разделе 2 пятнадцатый разряд кода ценной бумаги (X15) = 2, одиннадцатый разряд кода ценной бумаги (X11) = 01, то двенадцатый, тринадцатый, четырнадцатый разряды кода ценной бумаги (X12, X13, X14) = 0.

378. Если в разделе 4 десятый разряд кода ценной бумаги (X10) = 1, пятнадцатый разряд кода ценной бумаги (X15) = 1, то двенадцатый, тринадцатый, четырнадцатый разряды кода ценной бумаги (X13, X14) = 0.

379. Если в разделе 4 десятый разряд кода ценной бумаги (X10) = 1, пятнадцатый разряд кода ценной бумаги (X15) = 2 и одиннадцатый разряд кода ценной бумаги (X11) = 01, то двенадцатый, тринадцатый, четырнадцатый разряды кода ценной бумаги (X13, X14) = 0.

380. В разделах 7, 8 тринадцатый, четырнадцатый разряды кода ценной бумаги (X13, X14) = 0.

381. В разделах 2, 3, 4, 5, 6, 8 пятнадцатый разряд кода ценной бумаги (X15) = 1 или 2.

382. В разделе 7 пятнадцатый разряд кода ценной бумаги (X15) = 1 или 2.

383. Если в графе 10 раздела 5 шестой разряд кода ценной бумаги (X6) = 3, то значения всех разрядов кода ценной бумаги в графе 32 = значениям всех разрядов кода ценной бумаги в графе 10.

384. Если в графе 10 раздела 5 шестой разряд кода ценной бумаги (X6) = 2, то первый разряд кода ценной бумаги (X1) в графе 10 = первому разряду кода ценной бумаги (X1) в графе 32.

385. В разделе 8 пятый разряд кода ценной бумаги (X5) = 1.

386. Если в графе 10 раздела 5 шестой разряд кода ценной бумаги (X6) = 3, то в графе 32 шестой разряд кода ценной бумаги (X6) = 3.

387. В разделе 3 тринадцатый разряд кода ценной бумаги (X13) = 0 или 2 или 3 или 7; в разделе 4 тринадцатый разряд кода ценной бумаги (X13) = 0 или 1 или 2 или 3 или 4 или 5 или 6 или 7.

388. Если в разделе 4 тринадцатый разряд кода ценной бумаги (X13) = 7, то второй разряд кода ценной бумаги (X2) = 4 или 5 или 6, третий разряд кода ценной бумаги (X3) = 1, одиннадцатый разряд кода ценной бумаги (X11) = 02 или 03 или 04, иначе пояснить.

389. В разделе 5 восьмой разряд кода ценной бумаги (X8) = 1 или 2 или 3 или 4.

390. В разделах 2, 3, 4, 5, 6, 7, 8 код ценной бумаги = 19 цифрам.

3. Код сертификата долевого участия

1. В разделе 9 третий разряд кода сертификата долевого участия (X3) = 1.

2. В разделе 9 четвертый разряд кода сертификата долевого участия (X4) = 1 или 2 или 3.

3. В разделе 9 пятый разряд кода сертификата долевого участия (X5) = 4 или 7.

4. В разделе 9 код сертификата долевого участия = 6 цифрам.

4. Код недвижимого имущества

1. В разделе 10 третий разряд кода недвижимого имущества (X3) = 1 или 2.

2. В разделе 10 четвертый разряд кода недвижимого имущества (X4) = 010 или 020 или 030 или 031 или 035 или 036 или 037 или 040 или 041 или 050 или 051 или 060 или 100 или 110 или 120 или 130 или 140.

3. В разделе 10 пятый разряд кода недвижимого имущества (X5) = 0 или 1 или 2 или 3.

4. В разделе 10 код недвижимого имущества = 8 цифрам.

5. Код банковского вклада

1. В разделе 11 третий разряд кода банковского вклада (X3) = 1 или 2.

2. В разделе 11 четвертый разряд кода банковского вклада (X4) = 1 или 2 или 3.

3. В разделе 11 пятый разряд кода банковского вклада (X5) = 1 или 2 или 3.

Если в разделе 11 первый разряд кода банковского вклада (X1) = 01 или 02 и в разделе 1 стр. 014, гр. 3, 4 > стр. 015, гр. 3, 4 и стр. 015, гр. 3, 4 > стр. 016, гр. 3, 4 или стр. 014, гр. 3, 4 = стр. 015, гр. 3, 4 и стр. 015, гр. 3, 4 > стр. 016, гр. 3, 4 или стр. 014, гр. 3, 4 > стр. 015, гр. 3, 4 и стр. 015, гр. 3, 4 = стр. 016, гр. 3, 4, то для контрольных соотношений 4 - 24:

4. Если в разделе 11 третий разряд кода банковского вклада (X3) = 1, второй разряд кода банковского вклада (X2) = 1 или 2 или 3, то шестой разряд кода банковского вклада (X6) = 02 или 03 или 04 или 07 или 08 или 10.

5. Если в разделе 11 третий разряд кода банковского вклада (X3) = 1, второй разряд кода банковского вклада (X2) = 4 или 5 или 6, то шестой разряд кода банковского вклада (X6) = 02 или 03 или 04.

6. Если в разделе 11 десятый разряд кода банковского вклада (X10) = 1, шестой разряд кода банковского вклада (X6) = 02, то седьмой разряд кода банковского вклада (X7) = 011 или 012 или 013 или 014 или 015 или 016 или 017 или 018 или 019 или 020 или 021 или 022 или 023.

7. Если в разделе 11 десятый разряд кода банковского вклада (X10) = 2, шестой разряд кода банковского вклада (X6) = 02, то седьмой разряд кода банковского вклада (X7) = 024 или 025 или 026 или 027 или 028 или 029 или 030 или 031 или 032 или 033 или 034.

8. Если в разделе 11 десятый разряд кода банковского вклада (X10) = 1, шестой разряд кода банковского вклада (X6) = 03, то седьмой разряд кода банковского вклада (X7) = 041 или 042 или 043 или 044 или 045 или 046 или 047 или 048 или 049 или 050 или 051 или 052 или 053.

9. Если в разделе 11 десятый разряд кода банковского вклада (X10) = 2, шестой разряд кода банковского вклада (X6) = 03, то седьмой разряд кода банковского вклада (X7) = 054 или 055 или 056 или 057 или 058 или 059 или 060 или 061 или 062 или 063.

10. Если в разделе 11 десятый разряд кода банковского вклада (X10) = 1, шестой разряд кода банковского вклада (X6) = 04, то седьмой разряд кода банковского вклада (X7) = 071 или 072 или 073 или 074 или 075 или 076 или 077 или 078 или 079 или 080 или 081 или 082 или 083.

11. Если в разделе 11 десятый разряд кода банковского вклада (X10) = 2, шестой разряд кода банковского вклада (X6) = 04, то седьмой разряд кода банковского вклада (X7) = 084 или 085 или 086 или 087 или 088 или 089 или 090 или 091 или 092 или 093 или 094.

12. Если в разделе 11 десятый разряд кода банковского вклада (X10) = 1, шестой разряд кода банковского вклада (X6) = 07, то седьмой разряд кода банковского вклада (X7) = 201 или 202 или 203 или 204 или 205 или 206.

13. Если в разделе 11 десятый разряд кода банковского вклада (X10) = 2, шестой разряд кода банковского вклада (X6) = 07, то седьмой разряд кода банковского вклада (X7) = 207 или 208 или 209 или 210.

14. Если в разделе 11 десятый разряд кода банковского вклада (X10) = 1, шестой разряд кода банковского вклада (X6) = 08, то седьмой разряд кода банковского вклада (X7) = 221 или 222 или 223 или 224 или 225 или 226 или 227 или 228 или 229 или 230 или 231 или 232 или 233 или 234 или 235 или 236 или 237 или 238.

15. Если в разделе 11 десятый разряд кода банковского вклада (X10) = 2, шестой разряд кода банковского вклада (X6) = 08, то седьмой разряд кода банковского вклада (X7) = 240 или 241 или 242 или 243 или 244 или 245 или 246 или 247 или 248 или 249 или 250 или 251.

16. Если в разделе 11 десятый разряд кода банковского вклада (X10) = 1, шестой разряд кода банковского вклада (X6) = 10, то седьмой разряд кода банковского вклада (X7) = 996 или 997.

17. Если в разделе 11 десятый разряд кода банковского вклада (X10) = 2, шестой разряд кода банковского вклада (X6) = 10, то седьмой разряд кода банковского вклада (X7) = 998 или 999.

18. Если в разделе 11 третий разряд кода банковского вклада (X3) = 1, шестой разряд кода банковского вклада (X6) = 02 или 03 или 04 или 07 или 08, то восьмой разряд кода банковского вклада (X8) = 5.

19. Если в разделе 11 третий разряд кода банковского вклада (X3) = 1, второй разряд кода банковского вклада (X2) = 4 или 5 или 6, шестой разряд кода банковского вклада (X6) = 02 или 03 или 04, то девятый разряд кода банковского вклада (X9) = 1.

20. Если в разделе 11 третий разряд кода банковского вклада (X3) = 1, второй разряд кода банковского вклада (X2) = 1 или 2 или 3, шестой разряд кода банковского вклада (X6) = 02 или 03 или 04, то девятый разряд кода банковского вклада (X9) = 1 или 2.

21. Если в разделе 11 третий разряд кода банковского вклада (X3) = 1, шестой разряд кода банковского вклада (X6) = 10, то восьмой разряд кода банковского вклада (X8) = 0.

22. Если в разделе 11 третий разряд кода банковского вклада (X3) = 1, второй разряд кода банковского вклада (X2) = 1 или 2 или 3, шестой разряд кода банковского вклада (X6) = 07 или 08 или 10, то девятый разряд кода банковского вклада (X9) = 0.

23. В разделе 11 десятый разряд кода банковского вклада (X10) = 1 или 2.

24. Если в разделе 11 третий разряд кода банковского вклада (X3) = 2, то шестой, седьмой, восьмой, девятый, разряды кода банковского вклада (X6, X7, X8, X9) = 0.

25. Если в разделе 11 первый разряд кода банковского вклада (X1) = 03 или 04, то шестой, седьмой, восьмой, девятый десятый разряды кода банковского вклада (X6, X7, X8, X9, X10) = 0.

Если в разделе 11 первый разряд кода банковского вклада (X1) = 05 или 06 и в разделе 1 стр. 014, гр. 3, 4 > стр. 016, гр. 3, 4 и стр. 016, гр. 3, 4 > стр. 015, гр. 3, 4 или стр. 014, гр. 3, 4 = стр. 016, гр. 3, 4 и стр. 016, гр. 3, 4 > стр. 015, гр. 3, 4 или стр. 014, гр. 3, 4 > стр. 0116, гр. 3, 4 и стр. 016, гр. 3, 4 = стр. 015, гр. 3, 4, то для контрольных соотношений 25 - 46:

26. Если в разделе 11 третий разряд кода банковского вклада (X3) = 1, второй разряд кода банковского вклада (X2) = 1 или 2 или 3, то шестой разряд кода банковского вклада (X6) = 02 или 03 или 04 или 07 или 08 или 10.

27. Если в разделе 11 третий разряд кода банковского вклада (X3) = 1, второй разряд кода банковского вклада (X2) = 4 или 5 или 6, то шестой разряд кода банковского вклада (X6) = 02 или 03 или 04.

28. Если в разделе 11 десятый разряд кода банковского вклада (X10) = 1, шестой разряд кода банковского вклада (X6) = 02, то седьмой разряд кода банковского вклада (X7) = 011 или 012 или 013 или 014 или 015 или 016 или 017 или 018 или 019 или 020 или 021 или 022 или 023.

29. Если в разделе 11 десятый разряд кода банковского вклада (X10) = 2, шестой разряд кода банковского вклада (X6) = 02, то седьмой разряд кода банковского вклада (X7) = 024 или 025 или 026 или 027 или 028 или 029 или 030 или 031 или 032 или 033 или 034.

30. Если в разделе 11 десятый разряд кода банковского вклада (X10) = 1, шестой разряд кода банковского вклада (X6) = 03, то седьмой разряд кода банковского вклада (X7) = 041 или 042 или 043 или 044 или 045 или 046 или 047 или 048 или 049 или 050 или 051 или 052 или 053.

31. Если в разделе 11 десятый разряд кода банковского вклада (X10) = 2, шестой разряд кода банковского вклада (X6) = 03, то седьмой разряд кода банковского вклада (X7) = 054 или 055 или 056 или 057 или 058 или 059 или 060 или 061 или 062 или 063.

32. Если в разделе 11 десятый разряд кода банковского вклада (X10) = 1, шестой разряд кода банковского вклада (X6) = 04, то седьмой разряд кода банковского вклада (X7) = 071 или 072 или 073 или 074 или 075 или 076 или 077 или 078 или 079 или 080 или 081 или 082 или 083.

33. Если в разделе 11 десятый разряд кода банковского вклада (X10) = 2, шестой разряд кода банковского вклада (X6) = 04, то седьмой разряд кода банковского вклада (X7) = 084 или 085 или 086 или 087 или 088 или 089 или 090 или 091 или 092 или 093 или 094.

34. Если в разделе 11 десятый разряд кода банковского вклада (X10) = 1, шестой разряд кода банковского вклада (X6) = 07, то седьмой разряд кода банковского вклада (X7) = 201 или 202 или 203 или 204 или 205 или 206.

35. Если в разделе 11 десятый разряд кода банковского вклада (X10) = 2, шестой разряд кода банковского вклада (X6) = 07, то седьмой разряд кода банковского вклада (X7) = 207 или 208 или 209 или 210.

36. Если в разделе 11 десятый разряд кода банковского вклада (X10) = 1, шестой разряд кода банковского вклада (X6) = 08, то седьмой разряд кода банковского вклада (X7) = 221 или 222 или 223 или 224 или 225 или 226 или 227 или 228 или 229 или 230 или 231 или 232 или 233 или 234 или 235 или 236 или 237 или 238.

37. Если в разделе 11 десятый разряд кода банковского вклада (X10) = 2, шестой разряд кода банковского вклада (X6) = 08, то седьмой разряд кода банковского вклада (X7) = 240 или 241 или 242 или 243 или 244 или 245 или 246 или 247 или 248 или 249 или 250 или 251.

38. Если в разделе 11 десятый разряд кода банковского вклада (X10) = 1, шестой разряд кода банковского вклада (X6) = 10, то седьмой разряд кода банковского вклада (X7) = 996 или 997.

39. Если в разделе 11 десятый разряд кода банковского вклада (X10) = 2, шестой разряд кода банковского вклада (X6) = 10, то седьмой разряд кода банковского вклада (X7) = 998 или 999.

40. Если в разделе 11 третий разряд кода банковского вклада (X3) = 1, шестой разряд кода банковского вклада (X6) = 02 или 03 или 04 или 07 или 08, то восьмой разряд кода банковского вклада (X8) = 5.

41. Если в разделе 11 третий разряд кода банковского вклада (X3) = 1, второй разряд кода банковского вклада (X2) = 4 или 5 или 6, шестой разряд кода банковского вклада (X6) = 02 или 03 или 04, то девятый разряд кода банковского вклада (X9) = 1.

42. Если в разделе 11 третий разряд кода банковского вклада (X3) = 1, второй разряд кода банковского вклада (X2) = 1 или 2 или 3, шестой разряд кода банковского вклада (X6) = 02 или 03 или 04, то девятый разряд кода банковского вклада (X9) = 1 или 2.

43. Если в разделе 11 третий разряд кода банковского вклада (X3) = 1, шестой разряд кода банковского вклада (X6) = 10, то восьмой разряд кода банковского вклада (X8) = 0.

44. Если в разделе 11 третий разряд кода банковского вклада (X3) = 1, второй разряд кода банковского вклада (X2) = 1 или 2 или 3, шестой разряд кода банковского вклада (X6) = 07 или 08 или 10, то девятый разряд кода банковского вклада (X9) = 0.

45. В разделе 11 десятый разряд кода банковского вклада (X10) = 1 или 2.

46. Если в разделе 11 третий разряд кода банковского вклада (X3) = 2, то шестой, седьмой, восьмой, девятый разряды кода банковского вклада (X6, X7, X8, X9) = 0.

47. Если в разделе 11 первый разряд кода банковского вклада (X11) = 07 или 08, то шестой, седьмой, восьмой, девятый, десятый разряды кода банковского вклада (X6, X7, X8, X9, X10) = 0.

Если в разделе 11 первый разряд кода банковского вклада (X1) = 09 или 10 и в разделе 1 стр. 014, гр. 3, 4 = стр. 015, гр. 3, 4 = стр. 016, гр. 3, 4, то для контрольных соотношений 48 - 68:

48. Если в разделе 11 третий разряд кода банковского вклада (X3) = 1, второй разряд кода банковского вклада (X2) = 1 или 2 или 3, то шестой разряд кода банковского вклада (X6) = 02 или 03 или 04 или 07 или 08 или 10.

49. Если в разделе 11 третий разряд кода банковского вклада (X3) = 1, второй разряд кода банковского вклада (X2) = 4 или 5 или 6, то шестой разряд кода банковского вклада (X6) = 02 или 03 или 04.

50. Если в разделе 11 десятый разряд кода банковского вклада (X10) = 1, шестой разряд кода банковского вклада (X6) = 02, то седьмой разряд кода банковского вклада (X7) = 011 или 012 или 013 или 014 или 015 или 016 или 017 или 018 или 019 или 020 или 021 или 022 или 023.

51. Если в разделе 11 десятый разряд кода банковского вклада (X10) = 2, шестой разряд кода банковского вклада (X6) = 02, то седьмой разряд кода банковского вклада (X7) = 024 или 025 или 026 или 027 или 028 или 029 или 030 или 031 или 032 или 033 или 034.

52. Если в разделе 11 десятый разряд кода банковского вклада (X10) = 1, шестой разряд кода банковского вклада (X6) = 03, то седьмой разряд кода банковского вклада (X7) = 041 или 042 или 043 или 044 или 045 или 046 или 047 или 048 или 049 или 050 или 051 или 052 или 053.

53. Если в разделе 11 десятый разряд кода банковского вклада (X10) = 2, шестой разряд кода банковского вклада (X6) = 03, то седьмой разряд кода банковского вклада (X7) = 054 или 055 или 056 или 057 или 058 или 059 или 060 или 061 или 062 или 063.

54. Если в разделе 11 десятый разряд кода банковского вклада (X10) = 1, шестой разряд кода банковского вклада (X6) = 04, то седьмой разряд кода банковского вклада (X7) = 071 или 072 или 073 или 074 или 075 или 076 или 077 или 078 или 079 или 080 или 081 или 082 или 083.

55. Если в разделе 11 десятый разряд кода банковского вклада (X10) = 2, шестой разряд кода банковского вклада (X6) = 04, то седьмой разряд кода банковского вклада (X7) = 084 или 085 или 086 или 087 или 088 или 089 или 090 или 091 или 092 или 093 или 094.

56. Если в разделе 11 десятый разряд кода банковского вклада (X10) = 1, шестой разряд кода банковского вклада (X6) = 07, то седьмой разряд кода банковского вклада (X7) = 201 или 202 или 203 или 204 или 205 или 206.

57. Если в разделе 11 десятый разряд кода банковского вклада (X10) = 2, шестой разряд кода банковского вклада (X6) = 07, то седьмой разряд кода банковского вклада (X7) = 207 или 208 или 209 или 210.

58. Если в разделе 11 десятый разряд кода банковского вклада (X10) = 1, шестой разряд кода банковского вклада (X6) = 08, то седьмой разряд кода банковского вклада (X7) = 221 или 222 или 223 или 224 или 225 или 226 или 227 или 228 или 229 или 230 или 231 или 232 или 233 или 234 или 235 или 236 или 237 или 238.

59. Если в разделе 11 десятый разряд кода банковского вклада (X10) = 2, шестой разряд кода банковского вклада (X6) = 08, то седьмой разряд кода банковского вклада (X7) = 240 или 241 или 242 или 243 или 244 или 245 или 246 или 247 или 248 или 249 или 250 или 251.

60. Если в разделе 11 десятый разряд кода банковского вклада (X10) = 1, шестой разряд кода банковского вклада (X6) = 10, то седьмой разряд кода банковского вклада (X7) = 996 или 997.

61. Если в разделе 11 десятый разряд кода банковского вклада (X10) = 2, шестой разряд кода банковского вклада (X6) = 10, то седьмой разряд кода банковского вклада (X7) = 998 или 999.

62. Если в разделе 11 третий разряд кода банковского вклада (X3) = 1, шестой разряд кода банковского вклада (X6) = 02 или 03 или 04 или 07 или 08, то восьмой разряд кода банковского вклада (X8) = 5.

63. Если в разделе 11 третий разряд кода банковского вклада (X3) = 1, второй разряд кода банковского вклада (X2) = 4 или 5 или 6, шестой разряд кода банковского вклада (X6) = 02 или 03 или 04, то девятый разряд кода банковского вклада (X9) = 1.

64. Если в разделе 11 третий разряд кода банковского вклада (X3) = 1, второй разряд кода банковского вклада (X2) = 1 или 2 или 3, шестой разряд кода банковского вклада (X6) = 02 или 03 или 04, то девятый разряд кода банковского вклада (X9) = 1 или 2.

65. Если в разделе 11 третий разряд кода банковского вклада (X3) = 1, шестой разряд кода банковского вклада (X6) = 10, то восьмой разряд кода банковского вклада (X8) = 0.

66. Если в разделе 11 третий разряд кода банковского вклада (X3) = 1, второй разряд кода банковского вклада (X2) = 1 или 2 или 3, шестой разряд кода банковского вклада (X6) = 07 или 08 или 10, то девятый разряд кода банковского вклада (X9) = 0.

67. В разделе 11 десятый разряд кода банковского вклада (X10) = 1 или 2.

68. Если в разделе 11 третий разряд кода банковского вклада (X3) = 2, то шестой, седьмой, восьмой, девятый разряды кода банковского вклада (X6, X7, X8, X9) = 0.

Если в разделе 11 первый разряд кода банковского вклада (X1) = 11 или 12 и в разделе 1 стр. 014, гр. 3, 4 < стр. 015, гр. 3, 4 < стр. 016, гр. 3, 4, то для контрольных соотношений 69 - 88:

68. Если в разделе 11 третий разряд кода банковского вклада (X3) = 1, второй разряд кода банковского вклада (X2) = 1 или 2 или 3, то шестой разряд кода банковского вклада (X6) = 02 или 03 или 04 или 07 или 08 или 10.

69. Если в разделе 11 третий разряд кода банковского вклада (X3) = 1, второй разряд кода банковского вклада (X2) = 4 или 5 или 6, то шестой разряд кода банковского вклада (X6) = 02 или 03 или 04.

70. Если в разделе 11 десятый разряд кода банковского вклада (X10) = 1, шестой разряд кода банковского вклада (X6) = 02, то седьмой разряд кода банковского вклада (X7) = 011 или 012 или 013 или 014 или 015 или 016 или 017 или 018 или 019 или 020 или 021 или 022 или 023.

71. Если в разделе 11 десятый разряд кода банковского вклада (X10) = 2, шестой разряд кода банковского вклада (X6) = 02, то седьмой разряд кода банковского вклада (X7) = 024 или 025 или 026 или 027 или 028 или 029 или 030 или 031 или 032 или 033 или 034.

72. Если в разделе 11 десятый разряд кода банковского вклада (X10) = 1, шестой разряд кода банковского вклада (X6) = 03, то седьмой разряд кода банковского вклада (X7) = 041 или 042 или 043 или 044 или 045 или 046 или 047 или 048 или 049 или 050 или 051 или 052 или 053.

73. Если в разделе 11 десятый разряд кода банковского вклада (X10) = 2, шестой разряд кода банковского вклада (X6) = 03, то седьмой разряд кода банковского вклада (X7) = 054 или 055 или 056 или 057 или 058 или 059 или 060 или 061 или 062 или 063.

74. Если в разделе 11 десятый разряд кода банковского вклада (X10) = 1, шестой разряд кода банковского вклада (X6) = 04, то седьмой разряд кода банковского вклада (X7) = 071 или 072 или 073 или 074 или 075 или 076 или 077 или 078 или 079 или 080 или 081 или 082 или 083.

75. Если в разделе 11 десятый разряд кода банковского вклада (X10) = 2, шестой разряд кода банковского вклада (X6) = 04, то седьмой разряд кода банковского вклада (X7) = 084 или 085 или 086 или 087 или 088 или 089 или 090 или 091 или 092 или 093 или 094.

76. Если в разделе 11 десятый разряд кода банковского вклада (X10) = 1, шестой разряд кода банковского вклада (X6) = 07, то седьмой разряд кода банковского вклада (X7) = 201 или 202 или 203 или 204 или 205 или 206.

77. Если в разделе 11 десятый разряд кода банковского вклада (X10) = 2, шестой разряд кода банковского вклада (X6) = 07, то седьмой разряд кода банковского вклада (X7) = 207 или 208 или 209 или 210.

78. Если в разделе 11 десятый разряд кода банковского вклада (X10) = 1, шестой разряд кода банковского вклада (X6) = 08, то седьмой разряд кода банковского вклада (X7) = 221 или 222 или 223 или 224 или 225 или 226 или 227 или 228 или 229 или 230 или 231 или 232 или 233 или 234 или 235 или 236 или 237 или 238.

79. Если в разделе 11 десятый разряд кода банковского вклада (X10) = 2, шестой разряд кода банковского вклада (X6) = 08, то седьмой разряд кода банковского вклада (X7) = 240 или 241 или 242 или 243 или 244 или 245 или 246 или 247 или 248 или 249 или 250 или 251.

80. Если в разделе 11 десятый разряд кода банковского вклада (X10) = 1, шестой разряд кода банковского вклада (X6) = 10, то седьмой разряд кода банковского вклада (X7) = 996 или 997.

81. Если в разделе 11 десятый разряд кода банковского вклада (X10) = 2, шестой разряд кода банковского вклада (X6) = 10, то седьмой разряд кода банковского вклада (X7) = 998 или 999.

82. Если в разделе 11 третий разряд кода банковского вклада (X3) = 1, шестой разряд кода банковского вклада (X6) = 02 или 03 или 04 или 07 или 08, то восьмой разряд кода банковского вклада (X8) = 5.

83. Если в разделе 11 третий разряд кода банковского вклада (X3) = 1, второй разряд кода банковского вклада (X2) = 4 или 5 или 6, шестой разряд кода банковского вклада (X6) = 02 или 03 или 04, то девятый разряд кода банковского вклада (X9) = 1.

84. Если в разделе 11 третий разряд кода банковского вклада (X3) = 1, второй разряд кода банковского вклада (X2) = 1 или 2 или 3, шестой разряд кода банковского вклада (X6) = 02 или 03 или 04, то девятый разряд кода банковского вклада (X9) = 1 или 2.

85. Если в разделе 11 третий разряд кода банковского вклада (X3) = 1, шестой разряд кода банковского вклада (X6) = 10, то восьмой разряд кода банковского вклада (X8) = 0.

86. Если в разделе 11 третий разряд кода банковского вклада (X3) = 1, второй разряд кода банковского вклада (X2) = 1 или 2 или 3, шестой разряд кода банковского вклада (X6) = 07 или 08 или 10, то девятый разряд кода банковского вклада (X9) = 0.

87. В разделе 11 десятый разряд кода банковского вклада (X10) = 1 или 2.

88. Если в разделе 11 третий разряд кода банковского вклада (X3) = 2, то шестой, седьмой, восьмой, девятый разряды кода банковского вклада (X6, X7, X8, X9) = 0.

89. В разделе 11 код банковского вклада = 14 цифрам.

6. Код актива, необходимого для осуществления финансово-хозяйственной деятельности, за исключением недвижимого имущества

1. В разделе 12 третий разряд кода актива, необходимого для осуществления финансово-хозяйственной деятельности, за исключением недвижимого имущества, (X3) = 1.

2. В разделе 12 четвертый разряд кода актива, необходимого для осуществления финансово-хозяйственной деятельности, за исключением недвижимого имущества, (X4) = 1 или 2 или 3 или 4 или 5.

3. В разделе 12 код актива, необходимого для осуществления финансово-хозяйственной деятельности, = 5 цифрам.

7. Код объекта интеллектуальной собственности и иных активов, кроме отраженных по строкам 020 - 188 раздела 1, принимаемых для покрытия собственных средств страховой организации, в размере, превышающем наибольший из двух показателей, указанных в пункте 7 Требований

1. В разделе 13 третий разряд кода объекта интеллектуальной собственности и иных активов, кроме отраженных по строкам раздела 1, принимаемых для покрытия собственных средств страховой организации в размере, превышающем наибольший из двух показателей, указанных в пункте 7 Требований (X3) = 1 или 2 или 3 или 4 или 5 или 6 или 7.

2. Если в разделе 13 третий разряд кода объекта интеллектуальной собственности и иных активов, кроме отраженных по строкам 020 - 188 раздела 1, принимаемых для покрытия собственных средств страховой организации в размере, превышающем наибольший из двух показателей, указанных в пункте 7 Требований (X3) = 1 или 6, то четвертый разряд кода объекта интеллектуальной собственности и иных активов, кроме отраженных по строкам 020 - 188 раздела 1, принимаемых для покрытия собственных средств страховой организации в размере, превышающем наибольший из двух показателей, указанных в пункте 7 Требований (X4) = 01 или 02 или 03.

3. Если в разделе 13 третий разряд кода объекта интеллектуальной собственности и иных активов, кроме отраженных по строкам 020 - 188 раздела 1, принимаемых для покрытия собственных средств страховой организации в размере, превышающем наибольший из двух показателей, указанных в пункте 7 Требований (X3) = 3 или 4, то четвертый разряд кода объекта интеллектуальной собственности и иных активов, кроме отраженных по строкам 020 - 188 раздела 1, принимаемых для покрытия собственных средств страховой организации в размере, превышающем наибольший из двух показателей, указанных в пункте 7 Требований (X4) = 05 или 06 или 07.

4. Если в разделе 13 третий разряд кода объекта интеллектуальной собственности и иных активов, кроме отраженных по строкам 020 - 188 раздела 1, принимаемых для покрытия собственных средств страховой организации в размере, превышающем наибольший из двух показателей, указанных в пункте 7 Требований (X3) = 5, то четвертый разряд кода объекта интеллектуальной собственности и иных активов, кроме отраженных по строкам 020 - 188 раздела 1, принимаемых для покрытия собственных средств страховой организации в размере, превышающем наибольший из двух показателей, указанных в пункте 7 Требований (X4) = 08 или 09 или 10.

5. Если в разделе 13 третий разряд кода объекта интеллектуальной собственности и иных активов, кроме отраженных по строкам 020 - 188 раздела 1, принимаемых для покрытия собственных средств страховой организации в размере, превышающем наибольший из двух показателей, указанных в пункте 7 Требований (X3) = 7, то четвертый разряд кода объекта интеллектуальной собственности и иных активов, кроме отраженных по строкам 020 - 188 раздела 1, принимаемых для покрытия собственных средств страховой организации в размере, превышающем наибольший из двух показателей, указанных в пункте 7 Требований (X4) = 11 или 30.

6. Если в разделе 13 третий разряд кода объекта интеллектуальной собственности и иных активов, кроме отраженных по строкам 020 - 188 раздела 1, принимаемых для покрытия собственных средств страховой организации в размере, превышающем наибольший из двух показателей, указанных в пункте 7 Требований (X3) = 2, то четвертый разряд кода объекта интеллектуальной собственности и иных активов, кроме отраженных по строкам 020 - 188 раздела 1, принимаемых для покрытия собственных средств страховой организации в размере, превышающем наибольший из двух показателей, указанных в пункте 7 Требований (X4) = 01 или 02 или 03 или 12 или 13 или 14 или 15 или 16 или 17 или 18 или 19 или 20.

7. В разделе 13 код объекта интеллектуальной собственности и иных активов, кроме отраженных по строкам 020 - 188 раздела 1, принимаемых для покрытия собственных средств страховой организации в размере, превышающем наибольший из двух показателей, указанных в пункте 7 Требований = 6 цифрам.

8. Код дебиторской задолженности организаций и физических лиц (граждан)

1. В разделе 14, если первый разряд кода дебиторской задолженности (X1) = 01 или 02 или 05 или 06 или 09 или 10 или 11 или 12, то третий разряд кода дебиторской задолженности (X3) = 1 или 3 или 5.

2. В разделе 14, если третий разряд кода дебиторской задолженности (X3) = 1 или 2, то четвертый разряд кода дебиторской задолженности (X4) = 1 или 2 или 3.

3. Если в разделе 14 третий разряд кода дебиторской задолженности (X3) = 3 или 4 или 5, то четвертый разряд кода дебиторской задолженности (X4) = 0.

4. Если в разделе 14 третий разряд кода дебиторской задолженности (X3) = 1 или 3, то пятый разряд кода дебиторской задолженности (X5) = 1 или 2 или 3 или 4 или 5 или 6.

5. Если в разделе 14 третий разряд кода дебиторской задолженности (X3) = 1 или 2, то шестой разряд кода дебиторской задолженности (X6) = 01 или 02 или 03 или 04 или 05 или 06 или 07 или 08 или 09 или 99.

6. Если в разделе 14 третий разряд кода дебиторской задолженности (X3) = 3 или 4, то шестой разряд кода дебиторской задолженности (X6) = 01 или 02 или 04 или 05 или 09 или 99.

7. Если в разделе 14 первый разряд кода дебиторской задолженности (X1) = 03 или 04 или 07 или 08, то третий разряд кода дебиторской задолженности (X3) = 1 или 2 или 3 или 4 или 5.

8. Если в разделе 14 третий разряд кода дебиторской задолженности (X3) = 2 или 4 или 5, то четвертый, пятый разряды кода дебиторской задолженности (X5) = 0.

9. Если в разделе 14 третий разряд кода дебиторской задолженности (X3) = 5, то шестой разряд кода дебиторской задолженности (X6) = 00.

10. В разделе 14 код дебиторской задолженности = 8 цифрам.

9. Код денежных средств

1. В разделе 15 третий разряд кода денежных средств (X3) = 1 или 2 или 3 или 5.

2. Если в разделе 15 третий разряд кода денежных средств (X3) = 1 или 2 или 3, то четвертый разряд кода денежных средств (X4) = 1 или 2 или 3.

3. Если в разделе 15 третий разряд кода денежных средств (X3) = 5, то четвертый разряд кода денежных средств (X4) = 0.

4. Если в разделе 15 третий разряд кода денежных средств (X3) = 1, второй разряд кода денежных средств (X2) = 1 или 2 или 3, то пятый разряд кода денежных средств (X5) = 6.

5. Если в разделе 15 третий разряд кода денежных средств (X3) = 2, второй разряд кода денежных средств (X2) = 4 или 5 или 6, то пятый разряд кода денежных средств (X5) = 1 или 2 или 3 или 4 или 5.

6. Если в разделе 15 третий разряд кода денежных средств (X3) = 3, второй разряд кода денежных средств (X2) = 1 или 2 или 3, то пятый разряд кода денежных средств (X5) = 6.

7. Если в разделе 15 третий разряд кода денежных средств (X3) = 3, второй разряд кода денежных средств (X2) = 4 или 5 или 6, то пятый разряд кода денежных средств (X5) = 1 или 2 или 3 или 4 или 5.

8. Если в разделе 15 третий разряд кода денежных средств (X3) = 5, второй разряд кода денежных средств (X2) = 1 или 2 или 3, то пятый разряд кода денежных средств (X5) = 6.

9. Если в разделе 15 третий разряд кода денежных средств (X3) = 5, второй разряд кода денежных средств (X2) = 4 или 5 или 6, то пятый разряд кода денежных средств (X5) = 1 или 2 или 3 или 4 или 5.

10. В разделе 15 код денежных средств = 6 цифрам.

10. Код слитков, памятных монет

1. В разделе 16 третий разряд кода слитков, памятных монет (X3) = 9.

2. В разделе 16 четвертый разряд кода слитков, памятных монет (X4) = 4 или 5 или 6 или 7 или 8.

3. В разделе 16 пятый разряд кода слитков, памятных монет (X5) = 0.

4. В разделе 16 код слитков, памятных монет = 6 цифрам.

11. Код займа предоставленного

1. В разделе 17 третий разряд кода займа предоставленного (X3) = 1.

2. В разделе 17 четвертый разряд кода займа предоставленного (X4) = 1 или 2 или 3.

3. В разделе 17 пятый разряд кода займа предоставленного (X5) = 1 или 2 или 3.

4. В разделе 17 код займа предоставленного = 6 цифрам.

Иные коды

1. Код ценной бумаги, код банковского вклада до возникновения обстоятельств, отраженный по строке, что и дата, предшествующая возникновению обстоятельств, повлекших нарушения, устраняемые в соответствии с абзацем 4 пункта 4 Требований

1. В подразделах 2.1, 7.1, 8.1 первый разряд кода ценной бумаги до возникновения обстоятельств, повлекших нарушения, устраняемые в соответствии с абзацем 4 пункта 4 Требований (X1) = 00.

2. Если в разделе 4 десятый разряд кода ценной бумаги (X10) = 1, пятнадцатый разряд кода ценной бумаги (X15) = 2, то в подразделе 4.1 первый разряд кода ценной бумаги до возникновения обстоятельств, повлекших нарушения, устраняемые в соответствии с абзацем 4 пункта 4 Требований (X1) = 00.

3. В подразделах 3.1, 6.1 первый разряд кода ценной бумаги до возникновения обстоятельств, повлекших нарушения, устраняемые в соответствии с абзацем 4 пункта 4 Требований (X1) = 01 или 02 или 03 или 04 или 07 или 08 или 10.

4. Если в разделе 4 десятый разряд кода ценной бумаги (X10) = 2, пятнадцатый разряд кода ценной бумаги (X15) = 2, то в подразделе 4.1 первый разряд кода ценной бумаги до возникновения обстоятельств, повлекших нарушения, устраняемые в соответствии с абзацем 4 пункта 4 Требований (X1) = 01 или 02 или 03 или 04 или 07 или 08 или 10.

5. В подразделе 5.1 первый разряд кода ценной бумаги до возникновения обстоятельств, повлекших нарушения, устраняемые в соответствии с абзацем 4 пункта 4 Требований (X1) = 02 или 03 или 04 или 07 или 08 или 10 или 11.

6. В подразделах 2.1, 3.1, 4.1, 5.1, 6.1, 7.1, 8.1 третий разряд кода ценной бумаги до возникновения обстоятельств, повлекших нарушения, устраняемые в соответствии с абзацем 4 пункта 4 Требований (X3) = 1.

Если срок от даты, предшествующей возникновению обстоятельства, повлекшего нарушения, до отчетной даты 91 день и третий разряд кода ценной бумаги до возникновения обстоятельств, повлекших нарушения, устраняемые в соответствии с абзацем 4 пункта 4 Требований (X3) = 1, то для контрольных соотношений 7 - 25:

7. В подразделах 2.1, 7.1, 8.1 первый разряд кода ценной бумаги до возникновения обстоятельств, повлекших нарушения, устраняемые в соответствии с абзацем 4 пункта 4 Требований (X1) = 00, второй разряд кода ценной бумаги до возникновения обстоятельств, повлекших нарушения, устраняемые в соответствии с абзацем 4 пункта 4 Требований (X2) = 000.

8. Если в разделе 4 десятый разряд кода ценной бумаги (X10) = 1, пятнадцатый разряд кода ценной бумаги (X15) = 2, то в подразделе 4.1 первый разряд кода ценной бумаги до возникновения обстоятельств, повлекших нарушения, устраняемые в соответствии с абзацем 4 пункта 4 Требований (X1) = 00, то второй разряд кода ценной бумаги до возникновения обстоятельств, повлекших нарушения, устраняемые в соответствии с абзацем 4 пункта 4 Требований (X2) = 000.

9. Если в подразделах 3.1, 6.1 первый разряд кода ценной бумаги до возникновения обстоятельств, повлекших нарушения, устраняемые в соответствии с абзацем 4 пункта 4 Требований (X1) = 01, то второй разряд кода ценной бумаги до возникновения обстоятельств, повлекших нарушения, устраняемые в соответствии с абзацем 4 пункта 4 Требований (X2) = 001.

10. Если в разделе 4 десятый разряд кода ценной бумаги (X10) = 2, пятнадцатый разряд кода ценной бумаги (X15) = 2, в подразделе 4.1 первый разряд кода ценной бумаги до возникновения обстоятельств, повлекших нарушения, устраняемые в соответствии с абзацем 4 пункта 4 Требований (X1) = 01, то второй разряд кода ценной бумаги до возникновения обстоятельств, повлекших нарушения, устраняемые в соответствии с абзацем 4 пункта 4 Требований (X2) = 001.

11. Если в подразделах 3.1, 5.1, 6.1 первый разряд кода ценной бумаги до возникновения обстоятельств, повлекших нарушения, устраняемые в соответствии с абзацем 4 пункта 4 Требований (X1) = 02, то второй разряд кода ценной бумаги до возникновения обстоятельств, повлекших нарушения, устраняемые в соответствии с абзацем 4 пункта 4 Требований (X2) = 011 или 012 или 013 или 014 или 015 или 016 или 017 или 018 или 019 или 020 или 021 или 022 или 023.

12. Если в разделе 4 десятый разряд кода ценной бумаги (X10) = 2, пятнадцатый разряд кода ценной бумаги (X15) = 2, в подразделе 4.1 первый разряд кода ценной бумаги до возникновения обстоятельств, повлекших нарушения, устраняемые в соответствии с абзацем 4 пункта 4 Требований (X1) = 02, то второй разряд кода ценной бумаги до возникновения обстоятельств, повлекших нарушения, устраняемые в соответствии с абзацем 4 пункта 4 Требований (X2) = 011 или 012 или 013 или 014 или 015 или 016 или 017 или 018 или 019 или 020 или 021 или 022 или 023.

13. Если в подразделах 3.1, 5.1, 6.1 первый разряд кода ценной бумаги до возникновения обстоятельств, повлекших нарушения, устраняемые в соответствии с абзацем 4 пункта 4 Требований (X1) = 03, то второй разряд кода ценной бумаги до возникновения обстоятельств, повлекших нарушения, устраняемые в соответствии с абзацем 4 пункта 4 Требований (X2) = 041 или 042 или 043 или 044 или 045 или 046 или 047 или 048 или 049 или 050 или 051 или 052 или 053.

14. Если в разделе 4 десятый разряд кода ценной бумаги (X10) = 2, пятнадцатый разряд кода ценной бумаги (X15) = 2, в подразделе 4.1 первый разряд кода ценной бумаги до возникновения обстоятельств, повлекших нарушения, устраняемые в соответствии с абзацем 4 пункта 4 Требований (X1) = 03, то второй разряд кода ценной бумаги до возникновения обстоятельств, повлекших нарушения, устраняемые в соответствии с абзацем 4 пункта 4 Требований (X2) = 041 или 042 или 043 или 044 или 045 или 046 или 047 или 048 или 049 или 050 или 051 или 052 или 053.

15. Если в подразделах 3.1, 5.1, 6.1 первый разряд кода ценной бумаги до возникновения обстоятельств, повлекших нарушения, устраняемые в соответствии с абзацем 4 пункта 4 Требований (X1) = 04, то второй разряд кода ценной бумаги до возникновения обстоятельств, повлекших нарушения, устраняемые в соответствии с абзацем 4 пункта 4 Требований (X2) = 071 или 072 или 073 или 074 или 075 или 076 или 077 или 078 или 079 или 080 или 081 или 082 или 083.

16. Если в разделе 4 десятый разряд кода ценной бумаги (X10) = 2, пятнадцатый разряд кода ценной бумаги (X15) = 2, в подразделе 4.1 первый разряд кода ценной бумаги до возникновения обстоятельств, повлекших нарушения, устраняемые в соответствии с абзацем 4 пункта 4 Требований (X1) = 04, то второй разряд кода ценной бумаги до возникновения обстоятельств, повлекших нарушения, устраняемые в соответствии с абзацем 4 пункта 4 Требований (X2) = 071 или 072 или 073 или 074 или 075 или 076 или 077 или 078 или 079 или 080 или 081 или 082 или 083.

17. Если в подразделах 3.1, 5.1, 6.1 первый разряд кода ценной бумаги до возникновения обстоятельств, повлекших нарушения, устраняемые в соответствии с абзацем 4 пункта 4 Требований (X1) = 07, то второй разряд кода ценной бумаги до возникновения обстоятельств, повлекших нарушения, устраняемые в соответствии с абзацем 4 пункта 4 Требований (X2) = 201 или 202 или 203 или 204 или 205 или 206.

18. Если в разделе 4 десятый разряд кода ценной бумаги (X10) = 2, пятнадцатый разряд кода ценной бумаги (X15) = 2, в подразделе 4.1 первый разряд кода ценной бумаги до возникновения обстоятельств, повлекших нарушения, устраняемые в соответствии с абзацем 4 пункта 4 Требований (X1) = 07, то второй разряд кода ценной бумаги до возникновения обстоятельств, повлекших нарушения, устраняемые в соответствии с абзацем 4 пункта 4 Требований (X2) = 201 или 202 или 203 или 204 или 205 или 206.

19. Если в подразделах 3.1, 5.1, 6.1 первый разряд кода ценной бумаги до возникновения обстоятельств, повлекших нарушения, устраняемые в соответствии с абзацем 4 пункта 4 Требований (X1) = 08, то второй разряд кода ценной бумаги до возникновения обстоятельств, повлекших нарушения, устраняемые в соответствии с абзацем 4 пункта 4 Требований (X2) = 221 или 222 или 223 или 224 или 225 или 226 или 227 или 228 или 229 или 230 или 231 или 232 или 233 или 234 или 235 или 236 или 237 или 238.

20. Если в разделе 4 десятый разряд кода ценной бумаги (X10) = 2, пятнадцатый разряд кода ценной бумаги (X15) = 2, в подразделе 4.1 первый разряд кода ценной бумаги до возникновения обстоятельств, повлекших нарушения, устраняемые в соответствии с абзацем 4 пункта 4 Требований (X1) = 08, то второй разряд кода ценной бумаги до возникновения обстоятельств, повлекших нарушения, устраняемые в соответствии с абзацем 4 пункта 4 Требований (X2) = 221 или 222 или 223 или 224 или 225 или 226 или 227 или 228 или 229 или 230 или 231 или 232 или 233 или 234 или 235 или 236 или 237 или 238.

21. Если в подразделах 3.1, 5.1, 6.1 первый разряд кода ценной бумаги возникновения обстоятельств, повлекших нарушения, устраняемые в соответствии с абзацем 4 пункта 4 Требований (X1) = 10, то второй разряд кода ценной бумаги до возникновения обстоятельств, повлекших нарушения, устраняемые в соответствии с абзацем 4 пункта 4 Требований (X2) = 996 или 997.

22. Если в разделе 4 десятый разряд кода ценной бумаги (X10) = 2, пятнадцатый разряд кода ценной бумаги (X15) = 2, в подразделе 4.1 первый разряд кода ценной бумаги до возникновения обстоятельств, повлекших нарушения, устраняемые в соответствии с абзацем 4 пункта 4 Требований (X1) = 10, то второй разряд кода ценной бумаги до возникновения обстоятельств, повлекших нарушения, устраняемые в соответствии с абзацем 4 пункта 4 Требований (X2) = 996 или 997.

23. Если в разделе 11 третий разряд кода банковского вклада (X3) = 1, десятый разряд кода банковского вклада (X10) = 2, то в подразделе 11.1 первый разряд кода банковского вклада до возникновения обстоятельств, повлекших нарушения, устраняемые в соответствии с абзацем 4 пункта 4 Требований (X1) = 02 или 03 или 04 или 07 или 08 или 10.

24. Если в разделе 11 третий разряд кода банковского вклада (X3) = 2, десятый разряд кода банковского вклада (X10) = 2, то в подразделе 11.1 первый разряд кода банковского вклада до возникновения обстоятельств, повлекших нарушения, устраняемые в соответствии с абзацем 4 пункта 4 Требований (X1) = 00.

25. В подразделе 11.1 третий разряд кода банковского вклада до возникновения обстоятельств, повлекших нарушения, устраняемые в соответствии с абзацем 4 пункта 4 Требований (X3) = 1.

Если срок от даты, предшествующей возникновению обстоятельств, повлекших нарушения, до отчетной даты 91 день и третий разряд кода банковского вклада до возникновения обстоятельств, повлекших нарушения, устраняемые в соответствии с абзацем 4 пункта 4 Требований (X3) = 1, то для контрольных соотношений 26 - 32:

26. Если в подразделе 11.1 первый разряд кода банковского вклада до возникновения обстоятельств, повлекших нарушения, устраняемые в соответствии с абзацем 4 пункта 4 Требований (X1) = 02, то второй разряд кода банковского вклада до возникновения обстоятельств, повлекших нарушения, устраняемые в соответствии с абзацем 4 пункта 4 Требований (X2) = 011 или 012 или 013 или 014 или 015 или 016 или 017 или 018 или 019 или 020 или 021 или 022 или 023.

27. Если в подразделе 11.1 первый разряд кода банковского вклада до возникновения обстоятельств, повлекших нарушения, устраняемые в соответствии с абзацем 4 пункта 4 Требований (X1) = 03, то второй разряд кода банковского вклада до возникновения обстоятельств, повлекших нарушения, устраняемые в соответствии с абзацем 4 пункта 4 Требований (X2) = 041 или 042 или 043 или 044 или 045 или 046 или 047 или 048 или 049 или 050 или 051 или 052 или 053.

28. Если в подразделе 11.1 первый разряд кода банковского вклада до возникновения обстоятельств, повлекших нарушения, устраняемые в соответствии с абзацем 4 пункта 4 Требований (X1) = 04, то второй разряд кода банковского вклада до возникновения обстоятельств, повлекших нарушения, устраняемые в соответствии с абзацем 4 пункта 4 Требований (X2) = 071 или 072 или 073 или 074 или 075 или 076 или 077 или 078 или 079 или 080 или 081 или 082 или 083.

29. В подразделе 11.1, если первый разряд кода банковского вклада до возникновения обстоятельств, повлекших нарушения, устраняемые в соответствии с абзацем 4 пункта 4 Требований (X1) = 07, то второй разряд кода ценной бумаги до возникновения обстоятельств, повлекших нарушения, устраняемые в соответствии с абзацем 4 пункта 4 Требований (X2) = 201 или 202 или 203 или 204 или 205 или 206.

30. Если в подразделе 11.1 первый разряд кода банковского вклада до возникновения обстоятельств, повлекших нарушения, устраняемые в соответствии с абзацем 4 пункта 4 Требований (X1) = 08, то второй разряд кода банковского вклада до возникновения обстоятельств, повлекших нарушения, устраняемые в соответствии с абзацем 4 пункта 4 Требований (X2) = 221 или 222 или 223 или 224 или 225 или 226 или 227 или 228 или 229 или 230 или 231 или 232 или 233 или 234 или 235 или 236 или 237 или 238.

31. Если в подразделе 11.1 первый разряд кода банковского вклада до возникновения обстоятельств, повлекших нарушения, устраняемые в соответствии с абзацем 4 пункта 4 Требований (X1) = 10, то второй разряд кода банковского вклада до возникновения обстоятельств, повлекших нарушения, устраняемые в соответствии с абзацем 4 пункта 4 Требований (X2) = 996 или 997.

32. Если в подразделе 11.1 первый разряд кода банковского вклада до возникновения обстоятельств, повлекших нарушения, устраняемые в соответствии с абзацем 4 пункта 4 Требований (X1) = 00, то второй разряд кода банковского вклада до возникновения обстоятельств, повлекших нарушения, устраняемые в соответствии с абзацем 4 пункта 4 Требований (X2) = 000.

33. В подразделах 2.1, 3.1, 4.1, 5.1, 6.1, 7.1, 8.1 код ценной бумаги до возникновения обстоятельств, повлекших нарушения, устраняемые в соответствии с абзацем 4 пункта 4 Требований = 6 цифрам.

34. В подразделе 11.1 код банковского вклада до возникновения обстоятельств, повлекших нарушения, устраняемые в соответствии с абзацем 4 пункта 4 Требований = 6 цифрам.

2. Код ценной бумаги, код банковского вклада после возникновения обстоятельств, повлекших нарушения, устраняемые в соответствии с абзацем 4 пункта 4 Требований, отраженный по строке, что и дата возникновения обстоятельства, повлекшего нарушения, устраняемые в соответствии с абзацем 4 пункта 4 Требований, которое возникло раньше других обстоятельств, повлекших нарушения

1. В подразделах 2.1 первый разряд кода ценной бумаги после возникновения обстоятельств, повлекших нарушения, устраняемые в соответствии с абзацем 4 пункта 4 Требований, (X1) = 01.

2. Если в разделе 4 десятый разряд кода ценной бумаги (X10) = 1, пятнадцатый разряд кода ценной бумаги (X15) = 2, то в подразделе 4.1 первый разряд кода ценной бумаги после возникновения обстоятельств, повлекших нарушения, устраняемые в соответствии с абзацем 4 пункта 4 Требований, (X1) = 01.

3. В подразделах 7.1, 8.1 первый разряд кода ценной бумаги после возникновения обстоятельств, повлекших нарушения, устраняемые в соответствии с абзацем 4 пункта 4 Требований, (X1) = 12.

4. В подразделах 3.1, 6.1 первый разряд кода ценной бумаги после возникновения обстоятельств, повлекших нарушения, устраняемые в соответствии с абзацем 4 пункта 4 Требований (X1) = 01 или 02 или 03 или 04 или 07 или 08 или 10.

5. Если в разделе 4 десятый разряд кода ценной бумаги (X10) = 2, пятнадцатый разряд кода ценной бумаги (X15) = 2, то в подразделе 4.1 первый разряд кода ценной бумаги после возникновения обстоятельств, повлекших нарушения, устраняемые в соответствии с абзацем 4 пункта 4 Требований, (X1) = 01 или 02 или 03 или 04 или 07 или 08 или 10.

6. В подразделе 5.1 первый разряд кода ценной бумаги после возникновения обстоятельств, повлекших нарушения, устраняемые в соответствии с абзацем 4 пункта 4 Требований (X1) = 02 или 03 или 04 или 07 или 08 или 10 или 11.

7. В подразделах 2.1, 3.1, 4.1, 5.1, 6.1, 7.1, 8.1 третий разряд кода ценной бумаги после возникновения обстоятельств, повлекших нарушения, устраняемые в соответствии с абзацем 4 пункта 4 Требований (X3) = 2.

Если срок от даты возникновения того обстоятельства, повлекшего нарушение, которое возникло раньше других обстоятельств, повлекших нарушения, до отчетной даты 90 дней и третий разряд кода ценной бумаги после возникновения обстоятельств, повлекших нарушения, устраняемые в соответствии с абзацем 4 пункта 4 Требований, (X3) = 2, то для контрольных соотношений 8 - 24:

8. Если в подразделе 2.1 первый разряд кода ценной бумаги после возникновения обстоятельств, повлекших нарушения, устраняемые в соответствии с абзацем 4 пункта 4 Требований, (X1) = 01, то второй разряд кода ценной бумаги после возникновения обстоятельств, повлекших нарушения, устраняемые в соответствии с абзацем 4 пункта 4 Требований, (X2) = 007.

9. Если в разделе 4 десятый разряд кода ценной бумаги (X10) = 1, пятнадцатый разряд кода ценной бумаги (X15) = 2, в подразделе 4.1 первый разряд кода ценной бумаги после возникновения обстоятельств, повлекших нарушения, устраняемые в соответствии с абзацем 4 пункта 4 Требований, (X1) = 01, то второй разряд кода ценной бумаги после возникновения обстоятельств, повлекших нарушения, устраняемые в соответствии с абзацем 4 пункта 4 Требований, (X2) = 000.

10. Если в подразделах 7.1, 8.1 первый разряд кода ценной бумаги после возникновения обстоятельств, повлекших нарушения, устраняемые в соответствии с абзацем 4 пункта 4 Требований, (X1) = 12, то второй разряд кода ценной бумаги после возникновения обстоятельств, повлекших нарушения, устраняемые в соответствии с абзацем 4 пункта 4 Требований, (X2) = 008.

11. Если в подразделах 3.1, 6.1 первый разряд кода ценной бумаги после возникновения обстоятельств, повлекших нарушения, устраняемые в соответствии с абзацем 4 пункта 4 Требований, (X1) = 01, то второй разряд кода ценной бумаги после возникновения обстоятельств, повлекших нарушения, устраняемые в соответствии с абзацем 4 пункта 4 Требований, (X2) = 002 или 003 или 004 или 006.

12. Если в разделе 4 десятый разряд кода ценной бумаги (X10) = 2, пятнадцатый разряд кода ценной бумаги (X15) = 2, в подразделе 4.1 первый разряд кода ценной бумаги после возникновения обстоятельств, повлекших нарушения, устраняемые в соответствии с абзацем 4 пункта 4 Требований, (X1) = 01, то второй разряд кода ценной бумаги после возникновения обстоятельств, повлекших нарушения, устраняемые в соответствии с абзацем 4 пункта 4 Требований, (X2) = 002 или 003 или 004 или 006.

13. Если в подразделах 3.1, 5.1, 6.1 первый разряд кода ценной бумаги после возникновения обстоятельств, повлекших нарушения, устраняемые в соответствии с абзацем 4 пункта 4 Требований, (X1) = 02, то второй разряд кода ценной бумаги после возникновения обстоятельств, повлекших нарушения, устраняемые в соответствии с абзацем 4 пункта 4 Требований, (X2) = 024 или 025 или 026 или 027 или 028 или 029 или 030 или 031 или 032 или 033 или 034.

14. Если в разделе 4 десятый разряд кода ценной бумаги (X10) = 2, пятнадцатый разряд кода ценной бумаги (X15) = 2, в подразделе 4.1 первый разряд кода ценной бумаги после возникновения обстоятельств, повлекших нарушения, устраняемые в соответствии с абзацем 4 пункта 4 Требований, (X1) = 02, то второй разряд кода ценной бумаги после возникновения обстоятельств, повлекших нарушения, устраняемые в соответствии с абзацем 4 пункта 4 Требований, (X2) = 024 или 025 или 026 или 027 или 028 или 029 или 030 или 031 или 032 или 033 или 034.

15. Если в подразделах 3.1, 5.1, 6.1 первый разряд кода ценной бумаги после возникновения обстоятельств, повлекших нарушения, устраняемые в соответствии с абзацем 4 пункта 4 Требований, (X1) = 03, то второй разряд кода ценной бумаги после возникновения обстоятельств, повлекших нарушения, устраняемые в соответствии с абзацем 4 пункта 4 Требований, (X2) = 054 или 055 или 056 или 057 или 058 или 059 или 060 или 061 или 062 или 063.

16. Если в разделе 4 десятый разряд кода ценной бумаги (X10) = 2, пятнадцатый разряд кода ценной бумаги (X15) = 2, в подразделе 4.1 первый разряд кода ценной бумаги после возникновения обстоятельств, повлекших нарушения, устраняемые в соответствии с абзацем 4 пункта 4 Требований, (X1) = 03, то второй разряд кода ценной бумаги после возникновения обстоятельств, повлекших нарушения, устраняемые в соответствии с абзацем 4 пункта 4 Требований, (X2) = 054 или 055 или 056 или 057 или 058 или 059 или 060 или 061 или 062 или 063.

17. Если в подразделах 3.1, 5.1, 6.1 первый разряд кода ценной бумаги после возникновения обстоятельств, повлекших нарушения, устраняемые в соответствии с абзацем 4 пункта 4 Требований, (X1) = 04, то второй разряд кода ценной бумаги после возникновения обстоятельств, повлекших нарушения, устраняемые в соответствии с абзацем 4 пункта 4 Требований, (X2) = 084 или 085 или 086 или 087 или 088 или 089 или 090 или 091 или 092 или 093 или 094.

18. Если в разделе 4 десятый разряд кода ценной бумаги (X10) = 2, пятнадцатый разряд кода ценной бумаги (X15) = 2, в подразделе 4.1 первый разряд кода ценной бумаги после возникновения обстоятельств, повлекших нарушения, устраняемые в соответствии с абзацем 4 пункта 4 Требований, (X1) = 04, то второй разряд кода ценной бумаги после возникновения обстоятельств, повлекших нарушения, устраняемые в соответствии с абзацем 4 пункта 4 Требований, (X2) = 084 или 085 или 086 или 087 или 088 или 089 или 090 или 091 или 092 или 093 или 094.

19. Если в подразделах 3.1, 5.1, 6.1 первый разряд кода ценной бумаги после возникновения обстоятельств, повлекших нарушения, устраняемые в соответствии с абзацем 4 пункта 4 Требований, (X1) = 07, то второй разряд кода ценной бумаги после возникновения обстоятельств, повлекших нарушения, устраняемые в соответствии с абзацем 4 пункта 4 Требований, (X2) = 207 или 208 или 209 или 210.

20. Если в разделе 4 десятый разряд кода ценной бумаги (X10) = 2, пятнадцатый разряд кода ценной бумаги (X15) = 2, в подразделе 4.1 первый разряд кода ценной бумаги после возникновения обстоятельств, повлекших нарушения, устраняемые в соответствии с абзацем 4 пункта 4 Требований, (X1) = 07, то второй разряд кода ценной бумаги после возникновения обстоятельств, повлекших нарушения, устраняемые в соответствии с абзацем 4 пункта 4 Требований, (X2) = 207 или 208 или 209 или 210.

21. Если в подразделах 3.1, 5.1, 6.1 первый разряд кода ценной бумаги после возникновения обстоятельств, повлекших нарушения, устраняемые в соответствии с абзацем 4 пункта 4 Требований, (X1) = 08, то второй разряд кода ценной бумаги после возникновения обстоятельств, повлекших нарушения, устраняемые в соответствии с абзацем 4 пункта 4 Требований, (X2) = 240 или 241 или 242 или 243 или 244 или 245 или 246 или 247 или 248 или 249 или 250 или 251.

22. Если в разделе 4 десятый разряд кода ценной бумаги (X10) = 2, пятнадцатый разряд кода ценной бумаги (X15) = 2, в подразделе 4.1 первый разряд кода ценной бумаги после возникновения обстоятельств, повлекших нарушения, устраняемые в соответствии с абзацем 4 пункта 4 Требований, (X1) = 08, то второй разряд кода ценной бумаги после возникновения обстоятельств, повлекших нарушения, устраняемые в соответствии с абзацем 4 пункта 4 Требований, (X2) = 240 или 241 или 242 или 243 или 244 или 245 или 246 или 247 или 248 или 249 или 250 или 251.

23. Если в подразделах 3.1, 5.1, 6.1 первый разряд кода ценной бумаги после возникновения обстоятельств, повлекших нарушения, устраняемые в соответствии с абзацем 4 пункта 4 Требований, (X1) = 10, то второй разряд кода ценной бумаги после возникновения обстоятельств, повлекших нарушения, устраняемые в соответствии с абзацем 4 пункта 4 Требований, (X2) = 998 или 999.

24. Если в разделе 4 десятый разряд кода ценной бумаги (X10) = 2, пятнадцатый разряд кода ценной бумаги (X15) = 2, в подразделе 4.1 первый разряд кода ценной бумаги после возникновения обстоятельств, повлекших нарушения, устраняемые в соответствии с абзацем 4 пункта 4 Требований, (X1) = 10, то второй разряд кода ценной бумаги после возникновения обстоятельств, повлекших нарушения, устраняемые в соответствии с абзацем 4 пункта 4 Требований, (X2) = 998 или 999.

25. Если в разделе 11 третий разряд кода банковского вклада (X3) = 1, десятый разряд кода банковского вклада (X10) = 2, в подразделе 11.1 первый разряд кода банковского вклада после возникновения обстоятельств, повлекших нарушения, устраняемые в соответствии с абзацем 4 пункта 4 Требований, (X1) = 02 или 03 или 04 или 07 или 08 или 10.

26. Если в разделе 11 третий разряд кода банковского вклада (X3) = 2, десятый разряд кода банковского вклада (X10) = 2, в подразделе 11.1 первый разряд кода банковского вклада после возникновения обстоятельств, повлекших нарушения, устраняемые в соответствии с абзацем 4 пункта 4 Требований, (X1) = 00.

27. В подразделе 11.1 третий разряд кода банковского вклада после возникновения обстоятельств, повлекших нарушения, устраняемые в соответствии с абзацем 4 пункта 4 Требований, (X3) = 2.

Если срок от даты возникновения того обстоятельства, повлекшего нарушение, которое возникло раньше других обстоятельств, повлекших нарушения, до отчетной даты 90 дней и третий разряд кода банковского вклада после возникновения обстоятельств, повлекших нарушения, устраняемые в соответствии с абзацем 4 пункта 4 Требований, (X3) = 2, то для контрольных соотношений 28 - 34:

28. Если в подразделе 11.1 первый разряд кода банковского вклада после возникновения обстоятельств, повлекших нарушения, устраняемые в соответствии с абзацем 4 пункта 4 Требований, (X1) = 02, то второй разряд кода банковского вклада после возникновения обстоятельств, повлекших нарушения, устраняемые в соответствии с абзацем 4 пункта 4 Требований, (X2) = 024 или 025 или 026 или 027 или 028 или 029 или 030 или 031 или 032 или 033 или 034.

29. Если в подразделе 11.1 первый разряд кода банковского вклада после возникновения обстоятельств, повлекших нарушения, устраняемые в соответствии с абзацем 4 пункта 4 Требований, (X1) = 03, то второй разряд кода банковского вклада после возникновения обстоятельств, повлекших нарушения, устраняемые в соответствии с абзацем 4 пункта 4 Требований, (X2) = 054 или 055 или 056 или 057 или 058 или 059 или 060 или 061 или 062 или 063.

30. Если в подразделе 11.1 первый разряд кода банковского вклада после возникновения обстоятельств, повлекших нарушения, устраняемые в соответствии с абзацем 4 пункта 4 Требований, (X1) = 04, то второй разряд кода банковского вклада после возникновения обстоятельств, повлекших нарушения, устраняемые в соответствии с абзацем 4 пункта 4 Требований, (X2) = 084 или 085 или 086 или 087 или 088 или 089 или 090 или 091 или 092 или 093 или 094.

31. Если в подразделе 11.1 первый разряд кода банковского вклада после возникновения обстоятельств, повлекших нарушения, устраняемые в соответствии с абзацем 4 пункта 4 Требований, (X1) = 07, то второй разряд кода банковского вклада после возникновения обстоятельств, повлекших нарушения, устраняемые в соответствии с абзацем 4 пункта 4 Требований, (X2) = 207 или 208 или 209 или 210.

32. Если в подразделе 11.1 первый разряд кода банковского вклада после возникновения обстоятельств, повлекших нарушения, устраняемые в соответствии с абзацем 4 пункта 4 Требований, (X1) = 08, то второй разряд кода банковского вклада после возникновения обстоятельств, повлекших нарушения, устраняемые в соответствии с абзацем 4 пункта 4 Требований, (X2) = 240 или 241 или 242 или 243 или 244 или 245 или 246 или 247 или 248 или 249 или 250 или 251.

33. Если в подразделе 11.1 первый разряд кода банковского вклада после возникновения обстоятельств, повлекших нарушения, устраняемые в соответствии с абзацем 4 пункта 4 Требований, (X1) = 10, то второй разряд кода банковского вклада после возникновения обстоятельств, повлекших нарушения, устраняемые в соответствии с абзацем 4 пункта 4 Требований, (X2) = 998 или 999.

34. Если в подразделе 11.1 первый разряд кода банковского вклада после возникновения обстоятельств, повлекших нарушения, устраняемые в соответствии с абзацем 4 пункта 4 Требований, (X1) = 00, то второй разряд кода банковского вклада после возникновения обстоятельств, повлекших нарушения, устраняемые в соответствии с абзацем 4 пункта 4 Требований, (X2) = 000.

Если срок от даты возникновения того обстоятельства, повлекшего нарушение, которое возникло раньше других обстоятельств, повлекших нарушения, до отчетной даты 90 дней и третий разряд кода ценной бумаги после возникновения обстоятельств, повлекших нарушения, устраняемые в соответствии с абзацем 4 пункта 4 Требований, (X3) = 2, то для контрольных соотношений 35 - 48:

35. Если в разделе 1, стр. стр. 190, гр. (3 + 4), (5 + 6) < стр. 014, гр. 3, 4, в разделах 3, 6 двенадцатый разряд кода ценной бумаги (X12) = 007, в подразделах 3.1, 6.1 первый разряд кода ценной бумаги после возникновения обстоятельств, повлекших нарушения, устраняемые в соответствии с абзацем 4 пункта 4 Требований, (X1) = 01, то второй разряд кода ценной бумаги после возникновения обстоятельств, повлекших нарушения, устраняемые в соответствии с абзацем 4 пункта 4 Требований, (X2) = 007.

36. Если в разделе 1, стр. 1 стр. 190, гр. (3 + 4), (5 + 6) < стр. 014, гр. 3, 4, в разделе 4 десятый разряд кода ценной бумаги (X10) = 2, двенадцатый разряд кода ценной бумаги (X12) = 007, в подразделе 4.1 первый разряд кода ценной бумаги после возникновения обстоятельств, повлекших нарушения, устраняемые в соответствии с абзацем 4 пункта 4 Требований, (X1) = 01, то второй разряд кода ценной бумаги после возникновения обстоятельств, повлекших нарушения, устраняемые в соответствии с абзацем 4 пункта 4 Требований, (X2) = 007.

37. Если в разделе 1, стр. стр. 190, гр. (3 + 4), (5 + 6) < стр. 014, гр. 3, 4, в разделах 3, 6 двенадцатый разряд кода ценной бумаги (X12) = 040, в подразделах 3.1, 6.1 первый разряд кода ценной бумаги после возникновения обстоятельств, повлекших нарушения, устраняемые в соответствии с абзацем 4 пункта 4 Требований, (X1) = 02, то второй разряд кода ценной бумаги после возникновения обстоятельств, повлекших нарушения, устраняемые в соответствии с абзацем 4 пункта 4 Требований, (X2) = 040.

38. Если в разделе 1, стр. 1 стр. 190, гр. (3 + 4), (5 + 6) < стр. 014, гр. 3, 4, в разделе 4 десятый разряд кода ценной бумаги (X10) = 2, двенадцатый разряд кода ценной бумаги (X12) = 040, в подразделе 4.1 первый разряд кода ценной бумаги после возникновения обстоятельств, повлекших нарушения, устраняемые в соответствии с абзацем 4 пункта 4 Требований, (X1) = 02, то второй разряд кода ценной бумаги после возникновения обстоятельств, повлекших нарушения, устраняемые в соответствии с абзацем 4 пункта 4 Требований, (X2) = 040.

39. Если в разделе 1, стр. стр. 190, гр. (3 + 4), (5 + 6) < стр. 014, гр. 3, 4 в разделах 3, 6 двенадцатый разряд кода ценной бумаги (X12) = 070, в подразделах 3.1, 6.1 первый разряд кода ценной бумаги после возникновения обстоятельств, повлекших нарушения, устраняемые в соответствии с абзацем 4 пункта 4 Требований, (X1) = 03, то второй разряд кода ценной бумаги после возникновения обстоятельств, повлекших нарушения, устраняемые в соответствии с абзацем 4 пункта 4 Требований, (X2) = 070.

40. Если в разделе 1, стр. 1 стр. 190, гр. (3 + 4), (5 + 6) < стр. 014, гр. 3, 4, в разделе 4 десятый разряд кода ценной бумаги (X10) = 2, двенадцатый разряд кода ценной бумаги (X12) = 070, в подразделе 4.1 первый разряд кода ценной бумаги после возникновения обстоятельств, повлекших нарушения, устраняемые в соответствии с абзацем 4 пункта 4 Требований, (X1) = 03, то второй разряд кода ценной бумаги после возникновения обстоятельств, повлекших нарушения, устраняемые в соответствии с абзацем 4 пункта 4 Требований, (X2) = 070.

41. Если в разделе 1, стр. стр. 190, гр. (3 + 4), (5 + 6) < стр. 014, гр. 3, 4, в разделах 3, 6 двенадцатый разряд кода ценной бумаги (X12) = 099, в подразделах 3.1, 6.1 первый разряд кода ценной бумаги после возникновения обстоятельств, повлекших нарушения, устраняемые в соответствии с абзацем 4 пункта 4 Требований, (X1) = 04, то второй разряд кода ценной бумаги после возникновения обстоятельств, повлекших нарушения, устраняемые в соответствии с абзацем 4 пункта 4 Требований, (X2) = 099.

42. Если в разделе 1, стр. 1 стр. 190, гр. (3 + 4), (5 + 6) < стр. 014, гр. 3, 4, в разделе 4 десятый разряд кода ценной бумаги (X10) = 2, двенадцатый разряд кода ценной бумаги (X12) = 099, в подразделе 4.1 первый разряд кода ценной бумаги после возникновения обстоятельств, повлекших нарушения, устраняемые в соответствии с абзацем 4 пункта 4 Требований, (X1) = 04, то второй разряд кода ценной бумаги после возникновения обстоятельств, повлекших нарушения, устраняемые в соответствии с абзацем 4 пункта 4 Требований, (X2) = 099.

43. Если в разделе 1, стр. стр. 190, гр. (3 + 4), (5 + 6) < стр. 014, гр. 3, 4, в разделах 3, 6 двенадцатый разряд кода ценной бумаги (X12) = 220, в подразделах 3.1, 6.1 первый разряд кода ценной бумаги после возникновения обстоятельств, повлекших нарушения, устраняемые в соответствии с абзацем 4 пункта 4 Требований, (X1) = 07, то второй разряд кода ценной бумаги после возникновения обстоятельств, повлекших нарушения, устраняемые в соответствии с абзацем 4 пункта 4 Требований, (X2) = 220.

44. Если в разделе 1, стр. 1 стр. 190, гр. (3 + 4), (5 + 6) < стр. 014, гр. 3, 4, в разделе 4 десятый разряд кода ценной бумаги (X10) = 2, двенадцатый разряд кода ценной бумаги (X12) = 220, в подразделе 4.1 первый разряд кода ценной бумаги после возникновения обстоятельств, повлекших нарушения, устраняемые в соответствии с абзацем 4 пункта 4 Требований, (X1) = 07, то второй разряд кода ценной бумаги после возникновения обстоятельств, повлекших нарушения, устраняемые в соответствии с абзацем 4 пункта 4 Требований, (X2) = 220.

45. Если в разделе 1, стр. стр. 190, гр. (3 + 4), (5 + 6) < стр. 014, гр. 3, 4, в разделах 3, 6 двенадцатый разряд кода ценной бумаги (X12) = 260, в подразделах 3.1, 6.1 первый разряд кода ценной бумаги после возникновения обстоятельств, повлекших нарушения, устраняемые в соответствии с абзацем 4 пункта 4 Требований, (X1) = 08, то второй разряд кода ценной бумаги после возникновения обстоятельств, повлекших нарушения, устраняемые в соответствии с абзацем 4 пункта 4 Требований, (X2) = 260.

46. Если в разделе 1, стр. 1 стр. 190, гр. (3 + 4), (5 + 6) < стр. 014, гр. 3, 4, в разделе 4 десятый разряд кода ценной бумаги (X10) = 2, двенадцатый разряд кода ценной бумаги (X12) = 260, в подразделе 4.1 первый разряд кода ценной бумаги после возникновения обстоятельств, повлекших нарушения, устраняемые в соответствии с абзацем 4 пункта 4 Требований, (X1) = 08, то второй разряд кода ценной бумаги после возникновения обстоятельств, повлекших нарушения, устраняемые в соответствии с абзацем 4 пункта 4 Требований, (X2) = 260.

47. Если в разделе 1, стр. стр. 190, гр. (3 + 4), (5 + 6) < стр. 014, гр. 3, 4, в разделах 3, 6 двенадцатый разряд кода ценной бумаги (X12) = 990, в подразделах 3.1, 6.1 первый разряд кода ценной бумаги после возникновения обстоятельств, повлекших нарушения, устраняемые в соответствии с абзацем 4 пункта 4 Требований, (X1) = 10, то второй разряд кода ценной бумаги после возникновения обстоятельств, повлекших нарушения, устраняемые в соответствии с абзацем 4 пункта 4 Требований, (X2) = 990.

48. Если в разделе 1, стр. 1 стр. 190, гр. (3 + 4), (5 + 6) < стр. 014, гр. 3, 4, в разделе 4 десятый разряд кода ценной бумаги (X10) = 2, двенадцатый разряд кода ценной бумаги (X12) = 990, в подразделе 4.1 первый разряд кода ценной бумаги после возникновения обстоятельств, повлекших нарушения, устраняемые в соответствии с абзацем 4 пункта 4 Требований, (X1) = 10, то второй разряд кода ценной бумаги после возникновения обстоятельств, повлекших нарушения, устраняемые в соответствии с абзацем 4 пункта 4 Требований, (X2) = 990.

49. В подразделах 2.1, 3.1, 4.1, 5.1, 6.1, 7.1, 8.1 код ценной бумаги после возникновения обстоятельств, повлекших нарушения, устраняемые в соответствии с абзацем 4 пункта 4 Требований = 6 цифрам.

50. В подразделе 11.1 код банковского вклада после возникновения обстоятельств, повлекших нарушения, устраняемые в соответствии с абзацем 4 пункта 4 Требований = 6 цифрам.

3. Код обстоятельств, не зависящих от действий страховщика, повлекших нарушения, устраняемые в соответствии с абзацем 4 пункта 4 Требований

1. Если в подразделах 2.1 первый, второй, третий разряды кода ценной бумаги после возникновения обстоятельств, повлекших нарушения, устраняемые в соответствии с абзацем 4 пункта 4 Требований, (X1) = 01, (X2) = 007, (X3) = 2, то первый разряд кода обстоятельств (X1) = 01.

2. Если в подразделах 7.1, 8.1 первый, второй, третий разряды кода ценной бумаги после возникновения обстоятельств, повлекших нарушения, устраняемые в соответствии с абзацем 4 пункта 4 Требований, (X1) = 12, (X2) = 008, (X3) = 2, то первый разряд кода обстоятельств (X1) = 01.

3. Если в подразделах 3.1, 6.1 второй, третий разряды кода ценной бумаги после возникновения обстоятельств, повлекших нарушения, устраняемые в соответствии с абзацем 4 пункта 4 Требований, (X2) = 007 или 040 или 070 или 099 или 220 или 260 или 990, (X3) = 2, то первый разряд кода обстоятельств (X1) = 01.

4. Если в разделе 4 десятый разряд кода ценной бумаги (X10) = 1, пятнадцатый разряд кода ценной бумаги (X15) = 2, в подразделе 4.1 первый разряд кода ценной бумаги после возникновения обстоятельств, повлекших нарушения, устраняемые в соответствии с абзацем 4 пункта 4 Требований, (X1) = 01, (X2) = 007, X3 = 2, то первый разряд кода обстоятельств (X1) = 01.

5. Если в разделе 4 десятый разряд кода ценной бумаги (X10) = 2, пятнадцатый разряд кода ценной бумаги (X15) = 2, в подразделе 4.1 второй, третий разряды кода ценной бумаги после возникновения обстоятельств, повлекших нарушения, устраняемые в соответствии с абзацем 4 пункта 4 Требований, (X2) = 007 или 040 или 070 или 099 или 220 или 260 или 990, X3 = 2, то первый разряд кода обстоятельств (X1) = 01.

6. Если в подразделах 2.1, 3.1, 4.1, 6.1, 7.1, 8.1 первый, второй, третий разряды кода ценной бумаги после возникновения обстоятельств, повлекших нарушения, устраняемые в соответствии с абзацем 4 пункта 4 Требований, (X1) = 01, (X2) = 007 или 040 или 070 или 099 или 220 или 260 или 990, (X3) = 2, и первый разряд кода обстоятельств (X1) = 01, то первый разряд кода обстоятельств той же ценной бумаги (X1) 02 или 03 или 04 или 12.

7. Если в подразделах 3.1, 6.1 первый, второй, третий разряды кода ценной бумаги после возникновения обстоятельств, повлекших нарушения, устраняемые в соответствии с абзацем 4 пункта 4 Требований, (X1) = 01, (X2) = 002 или 003 или 004 или 006, (X3) = 2, то первый разряд кода обстоятельств (X1) = 02.

8. Если в разделе 4 десятый разряд кода ценной бумаги (X10) = 2, пятнадцатый разряд кода ценной бумаги (X15) = 2, в подразделе 4.1 первый разряд кода ценной бумаги после возникновения обстоятельств, повлекших нарушения, устраняемые в соответствии с абзацем 4 пункта 4 Требований, (X1) = 01, (X2) = 002 или 003 или 004 или 006, (X3) = 2, то первый разряд кода обстоятельств (X1) = 02.

9. Если в подразделах 3.1, 5.1, 6.1 первый, третий разряды кода ценной бумаги после возникновения обстоятельств, повлекших нарушения, устраняемые в соответствии с абзацем 4 пункта 4 Требований, (X1) = 02 или 03 или 04, (X3) = 2, то первый разряд кода обстоятельств (X1) = 03.

10. Если в разделе 4 десятый разряд кода ценной бумаги (X10) = 2, пятнадцатый разряд кода ценной бумаги (X15) = 2, в подразделе 4.1 первый разряд кода ценной бумаги после возникновения обстоятельств, повлекших нарушения, устраняемые в соответствии с абзацем 4 пункта 4 Требований, (X1) = 02 или 03 или 04, (X3) = 2, то первый разряд кода обстоятельств (X1) = 03.

11. Если в подразделах 3.1, 5.1, 6.1 первый, третий разряды кода ценной бумаги после возникновения обстоятельств, повлекших нарушения, устраняемые в соответствии с абзацем 4 пункта 4 Требований, (X1) = 07 или 08 или 10, (X3) = 2, то первый разряд кода обстоятельств (X1) = 04.

12. Если в разделе 4 десятый разряд кода ценной бумаги (X10) = 2, пятнадцатый разряд кода ценной бумаги (X15) = 2, в подразделе 4.1 первый разряд кода ценной бумаги после возникновения обстоятельств, повлекших нарушения, устраняемые в соответствии с абзацем 4 пункта 4 Требований, (X1) = 07 или 08 или 10, (X3) = 2, то первый разряд кода обстоятельств (X1) = 04.

13. В подразделе 5.1 если первый разряд кода обстоятельств (X1) 03 или 04, то первый разряд кода обстоятельств (X1) = 07 или 08 или 09 или 10 или 11 или 12.

14. Если в подразделах 2.1, 3.1, 4.1, 6.1, 7.1, 8.1 первый разряд кода обстоятельств (X1) 01 или 02 или 03 или 04, то первый разряд кода обстоятельств (X1) = 12.

15. В подразделе 11.1 первый разряд кода обстоятельств (X1) 01 или 02.

16. Если в разделе 11 третий разряд кода банковского вклада (X3) = 1, десятый разряд кода банковского вклада (X10) = 2, в подразделе 11.1 первый, третий разряды кода банковского вклада после возникновения обстоятельств, повлекших нарушения, устраняемые в соответствии с абзацем 4 пункта 4 Требований, (X1) = 02 или 03 или 04, X3 = 2, то первый разряд кода обстоятельств (X1) = 03.

17. Если в разделе 11 третий разряд кода банковского вклада (X3) = 1, десятый разряд кода банковского вклада (X10) = 2, в подразделе 11.1 первый, третий разряды кода банковского вклада после возникновения обстоятельств, повлекших нарушения, устраняемые в соответствии с абзацем 4 пункта 4 Требований, (X1) = 07 или 08 или 10, X3 = 2, то первый разряд кода обстоятельств (X1) = 04.

18. Если в разделе 11 третий разряд кода банковского вклада (X3) = 1, десятый разряд кода банковского вклада (X10) = 2, в подразделе 11.1 первый разряд кода обстоятельств (X1) 03 или 04, то первый разряд кода обстоятельств (X1) = 07 или 08 или 09 или 10 или 11 или 12.

19. Если в разделе 11 третий разряд кода банковского вклада (X3) = 2, десятый разряд кода банковского вклада (X10) = 2, в подразделе 11.1 первый разряд кода обстоятельств (X1) 03 или 04, то первый разряд кода обстоятельств (X1) = 07 или 08 или 09 или 10 или 11 или 12.

20. В подразделах 2.1, 3.1, 4.1, 5.1, 6.1, 8.1, 11.1 код обстоятельств = 2 цифрам.