Свод правил. Места дислокации подразделений пожарной охраны. Порядок и методика определения. СП 11.13130.2009

(утв. приказом МЧС РФ от 25.03.2009 N 181)
Редакция от 09.12.2010 — Действует
Показать изменения

УТВЕРЖДЕН
Приказом МЧС России
от 25 марта 2009 г. N 181

Дата введения -
1 мая 2009 года

СВОД ПРАВИЛ

МЕСТА ДИСЛОКАЦИИ ПОДРАЗДЕЛЕНИЙ ПОЖАРНОЙ ОХРАНЫ

ПОРЯДОК И МЕТОДИКА ОПРЕДЕЛЕНИЯ

LOCATION OF FIRE SERVICE DIVISIONS. PROCEDURE AND METHODS OF DETERMINATION

СП 11.13130.2009

(в ред. Приказа МЧС РФ от 09.12.2010 N 642)

Предисловие

Цели и принципы стандартизации в Российской Федерации установлены Федеральным законом от 27 декабря 2002 г. N 184-ФЗ "О техническом регулировании", а правила применения сводов правил - Постановлением Правительства Российской Федерации "О порядке разработки и утверждения сводов правил" от 19 ноября 2008 г. N 858.

Сведения о своде правил

1. Разработан ФГУ ВНИИПО МЧС России.

2. Внесен Техническим комитетом по стандартизации ТК 274 "Пожарная безопасность".

3. Утвержден и введен в действие Приказом МЧС России от 25 марта 2009 г. N 181.

4. Зарегистрирован Федеральным агентством по техническому регулированию и метрологии.

5. Введен впервые.

Информация об изменениях к настоящему своду правил публикуется в ежегодно издаваемом информационном указателе "Национальные стандарты", а текст изменений и поправок - в ежемесячно издаваемых информационных указателях "Национальные стандарты". В случае пересмотра (замены) или отмены настоящего свода правил соответствующее уведомление будет опубликовано в ежемесячно издаваемом информационном указателе "Национальные стандарты". Соответствующая информация, уведомление и тексты размещаются также в информационной системе общего пользования - на официальном сайте разработчика (ФГУ ВНИИПО МЧС России) в сети Интернет.

1. Область применения

1.1. Настоящий свод правил разработан в соответствии со статьями 76 и 97 Федерального закона от 22 июля N 123-ФЗ "Технический регламент о требованиях пожарной безопасности".

1.2. Настоящий свод правил является нормативным документом по пожарной безопасности добровольного применения и устанавливает требования пожарной безопасности к определению числа и мест дислокации подразделений пожарной охраны на территории поселений, городских округов (далее - населенных пунктов) и производственных объектов.

1.3. Настоящим сводом правил следует руководствоваться при определении числа и мест дислокации подразделений пожарной охраны, независимо от вида пожарной охраны.

1.4. Настоящий свод правил не распространяется на объекты производства, переработки, хранения радиоактивных и взрывчатых веществ и материалов, объекты уничтожения и хранения химического оружия и средств взрывания, наземные космические объекты и стартовые комплексы, горные выработки.

2. Термины и определения

В настоящем своде правил применены следующие термины с соответствующими определениями:

2.1. Оперативное подразделение пожарной охраны: подразделение, созданное для тушения пожаров и проведения связанных с ними аварийно-спасательных работ, размещаемое в здании пожарного депо.

2.2. Дежурный караул: самостоятельное оперативное подразделение пожарной части, личный состав которого выезжает на тушение пожаров с использованием пожарной техники.

2.3. Место дислокации подразделения пожарной охраны: место на территории населенного пункта или производственного объекта, на котором следует расположить (расположено) пожарное депо.

2.4. Пожарное депо: специальное здание (сооружение), в котором размещаются личный состав и пожарная техника оперативного подразделения пожарной охраны.

2.5. Объект предполагаемого пожара: здание, сооружение, строение, технологическая установка, склады для хранения материальных ценностей под открытым небом, в которых возможно возникновение пожара.

2.6. Схема развития пожара: геометрические закономерности изменения площади пожара при горении соответствующего вида пожарной нагрузки.

2.7. Максимально допустимое расстояние: наибольшее расстояние по уличной сети дорог населенного пункта или производственного объекта от пожарного депо до объекта предполагаемого пожара, при котором гарантируется достижение соответствующей цели выезда оперативного подразделения пожарной охраны на пожар.

2.8. Пространственная зона размещения пожарного депо: часть территории населенного пункта или производственного объекта, на которой целесообразно разместить подразделение пожарной охраны (пожарное депо) для защиты одного объекта предполагаемого пожара.

2.9. Область пересечения пространственных зон размещения пожарного депо: часть территории населенного пункта или производственного объекта, на которой целесообразно разместить подразделение пожарной охраны (пожарное депо) для защиты двух и более объектов предполагаемого пожара.

2.10. Цель выезда подразделения пожарной охраны на пожар: условие тушения пожара, при выполнении которого обеспечивается предотвращение соответствующего нежелательного события на пожаре.

2.11. Время прибытия первого подразделения к месту вызова: время следования оперативного подразделения пожарной охраны от места получения сообщения о пожаре (от пожарного депо) до объекта предполагаемого пожара.

3. Порядок определения числа и мест дислокации подразделений пожарной охраны

3.1. Определение числа и мест дислокации подразделений пожарной охраны проводится для существующих или проектируемых населенных пунктов (их микрорайонов) или производственных объектов.

3.2. Определение числа и мест дислокации подразделений пожарной охраны производится в три этапа:

- предварительный;

- проведения расчетов;

- подготовки заключения.

3.2.1. Предварительный этап подготовки к проведению расчетов по определению числа и мест дислокации подразделений пожарной охраны на территории населенных пунктов или производственных объектов предусматривает определение исполнителя, целей и условий проведения работы.

Предварительный этап переговоров проводится для определения:

- целей, задач и критериев решения задачи;

- содержания и последовательности проведения расчетов;

- объема и порядка представления исполнителю документов, необходимых для проведения расчетов;

- сроков проведения расчетов, отражаемых в календарном плане работ.

По результатам предварительного этапа работы составляется техническое задание исполнителю на осуществление работ по определению числа и мест дислокации подразделений пожарной охраны для населенных пунктов или производственных объектов.

Срок проведения работ определяется сложностью градостроительной структуры населенного пункта (для производственных объектов - сложностью его инфраструктуры) и объемом необходимых исходных данных по объектам предполагаемого пожара, но, как правило, не превышает шести месяцев с момента получения комплекта необходимых материалов и документов в полном объеме и выполнения всех иных условий проведения расчетов, определяемых техническим заданием.

Исходные данные для определения числа и мест дислокации подразделений пожарной охраны представляются:

- для населенных пунктов - органами исполнительной власти (администрацией) населенных пунктов;

- для производственных объектов - собственником(ми) объекта или лицом(ми), уполномоченным(ми) владеть, пользоваться или распоряжаться зданиями (сооружениями) производственного объекта.

3.2.2. Этап проведения расчетов включает в себя:

- анализ представленной технической и проектной документации с целью идентификации составляющих объектов предполагаемого пожара, расположенных на территории населенных пунктов или производственных объектов;

- проверку соответствия систем обеспечения пожарной безопасности объектов предполагаемого пожара в населенных пунктах или на производственных объектах установленным требованиям;

- обоснование и согласование с органами исполнительной власти населенного пункта или собственником(ми) производственного объекта целей выезда дежурного караула пожарной охраны на пожар;

- определение параметров систем противопожарной защиты объектов предполагаемого пожара;

- выбор наиболее пожароопасных объектов предполагаемого пожара в населенных пунктах или на производственных объектах;

- выбор вида горючего вещества или материала в помещении наиболее пожароопасных объектов предполагаемого пожара;

- проведение расчетов по методикам настоящего свода правил.

3.2.3. Этап подготовки заключения предусматривает формирование исполнителем отчетных материалов по результатам определения числа и мест дислокации подразделений пожарной охраны и представление необходимого количества экземпляров заключения, ранее согласованного с заказчиком.

В заключении по результатам определения числа и мест дислокации подразделений пожарной охраны приводится следующая информация:

- технико-экономические и другие характеристики населенного пункта или производственного объекта;

- наиболее пожароопасные объекты предполагаемого пожара;

- исходные данные для проведения расчетов по каждому объекту предполагаемого пожара;

- результаты расчетов по методикам, представленным в настоящем своде правил;

- возможные варианты дислокации подразделений пожарной охраны на территории населенного пункта или производственного объекта;

- цели выезда подразделений пожарной охраны на пожар для каждого объекта предполагаемого пожара, которые обеспечиваются в результате реализации предлагаемого варианта дислокации;

- предложения по минимизации числа подразделений пожарной охраны и условия для их минимизации.

Заключение о необходимом числе и местах дислокации оперативных подразделений пожарной охраны подписывается исполнителем (руководителем организации) и согласовывается с Главным управлением МЧС России по соответствующему субъекту Российской Федерации (в случаях, когда это предусматривается техническим заданием на выполнение работы).

Расчет дислокации подразделений пожарной охраны для населенных пунктов или производственных объектов, в эксплуатационной документации которых содержатся сведения, составляющие государственную тайну, осуществляется в соответствии с законодательством Российской Федерации о государственной тайне.

4. Методика определения числа и мест дислокации подразделений пожарной охраны

4.1. Число и места дислокации подразделений пожарной охраны на территории населенного пункта или производственного объекта определяются на основании расчетного определения максимально допустимого расстояния от объекта предполагаемого пожара до ближайшего пожарного депо, определения пространственных зон размещения пожарного депо для каждого объекта предполагаемого пожара и областей пересечения указанных пространственных зон для всей совокупности объектов предполагаемого пожара.

4.2. Определение мест дислокации подразделений пожарной охраны начинается с составления списка объектов предполагаемого пожара, расположенных на территории населенного пункта или производственного объекта.

4.3. Для каждого объекта предполагаемого пожара рассчитывается максимально допустимое расстояние от него до ближайшего пожарного депо в зависимости от цели выезда дежурного караула на пожар и выбранной схемы его развития.

Максимально допустимое расстояние от объекта предполагаемого пожара до ближайшего пожарного депо определяется для одной или одновременно нескольких из нижеприведенных целей выезда подразделений пожарной охраны на пожар:

- цель N 1: ликвидация пожара прежде, чем его площадь превысит площадь, которую может потушить один дежурный караул.

Эта цель должна достигаться всегда и как самостоятельная (и единственная), обычно реализуется при тушении пожара на открытом пространстве, когда время его ликвидации не ограничено, а также в зданиях (сооружениях) большой площади, с высокими пределами огнестойкости строительных конструкций и при отсутствии людей, которых необходимо эвакуировать силами дежурного караула (производственные и складские помещения большого объема);

- цель N 2: ликвидация пожара прежде, чем наступит предел огнестойкости строительных конструкций в помещении пожара;

- цель N 3: ликвидация пожара прежде, чем опасные факторы пожара достигнут критических для жизни людей значений.

Эта цель подлежит реализации при тушении пожаров в зданиях с массовым пребыванием людей, когда расчетное время эвакуации людей из здания больше необходимого времени эвакуации людей (то есть, когда опасность для жизни людей наступает до того, как они эвакуируются из здания), и их эвакуация не завершилась до прибытия пожарных подразделений, а также при ликвидации пожаров в помещениях, из которых эвакуация людей невозможна без причинения вреда их жизни (помещения с послеоперационными больными, подключенными к аппаратам искусственного поддержания жизнедеятельности организма, помещения с людьми в барокамерах и др.) или нецелесообразна по условиям технологического процесса.

Максимально допустимое расстояние от объекта предполагаемого пожара до ближайшего пожарного депо определяют для одной из выбранных схем развития пожара:

а) горение твердых веществ и материалов на площади в виде круга;

б) горение твердых веществ и материалов на площади в виде полосы с постоянной шириной;

в) горение свободно растекающихся легко воспламеняющихся жидкостей и горючих жидкостей (ЛВЖ и ГЖ), а также расплавов твердых горючих материалов;

г) горение ЛВЖ и ГЖ, а также расплавов твердых горючих материалов на постоянной площади (в обваловании).

4.4. Расчет максимально допустимого расстояния осуществляется в следующей последовательности:

- выбор наиболее пожароопасного помещения на объекте предполагаемого пожара (определяется по минимальному значению необходимого времени эвакуации людей из помещений при пожаре), для сооружения осуществляется выбор варианта, при котором реализуется наибольшая площадь возможного пожара;

- выбор наиболее пожароопасного вида горючего вещества или материала в помещении (определяется по минимальному значению необходимого времени эвакуации людей из помещения при пожаре для случаев горения различных веществ и материалов в этом помещении), для сооружения осуществляется выбор горючего вещества или материала, при горении которого реализуется наибольшая площадь возможного пожара;

- выбор схемы развития пожара;

- выбор цели(ей) выезда на пожар дежурного караула подразделения пожарной охраны;

- расчет максимально допустимого расстояния по методике, приведенной в разделе 5 настоящего свода правил.

4.5. По величине максимально допустимого расстояния для каждого рассматриваемого объекта предполагаемого пожара на территории населенного пункта или производственного объекта определяется (очерчивается) пространственная зона допустимого размещения подразделения пожарной охраны (пожарного депо). Тем самым определяется территория потенциально возможной дислокации подразделения пожарной охраны для защиты рассматриваемого объекта предполагаемого пожара.

В общем случае максимально допустимое расстояние от объекта предполагаемого пожара до ближайшего пожарного депо следует определять по уличной сети дорог населенного пункта или производственного объекта (см. рисунок 1).

Для построения пространственной зоны потенциально возможного размещения пожарного депо в виде простой геометрической фигуры (например, круга, шестиугольника и др.) допускается использовать не максимально допустимое расстояние, а радиус окружности, описанной вокруг пространственной зоны (расстояние по воздушной прямой от объекта предполагаемого пожара до потенциального места размещения пожарного депо), рассчитанный с учетом коэффициента непрямолинейности уличной сети дорог в населенном пункте или на производственном объекте.

4.6. Число и места дислокации подразделений пожарной охраны определяют по областям пересечения пространственных зон потенциально возможного размещения пожарных депо для всей совокупности объектов предполагаемого пожара по методике, приведенной в разделе 6 настоящего свода правил.

5. Методика определения максимально допустимого расстояния от объекта предполагаемого пожара до ближайшего пожарного депо

Расчет максимально допустимого расстояния от объекта предполагаемого пожара до ближайшего здания пожарного депо производится в следующей последовательности:

5.1. Выбирают объект предполагаемого пожара (здание или сооружение, которое подлежит защите).

5.2. Рассчитывают по методике Приложения А к настоящему своду правил

необходимое время эвакуации людей из помещения при пожаре - тау__нб . В качестве помещений пожара следует выбирать несколько помещений с различными видами и схемами размещения горючих материалов.

5.3. Выбирают (обосновывают) наиболее пожароопасное помещение в здании (помещение, для которого тау__нб = min).

5.4. Выбирают наиболее пожароопасный вид горючего материала в помещении пожара (материала, для которого тау__нб = min).

5.5. Выбирают (обосновывают) расчетную схему развития пожара в защищаемом помещении. В качестве расчетной выбирают одну из приведенных в

5.9 настоящей Методики расчетных схем развития пожара в помещении, для которого тау_нб = min.

5.6. Выбирают цели выезда оперативных подразделений пожарной охраны на пожар в здании.

Цель N 1 выбирают для всех открытых пожаров (пожаров на открытом пространстве вне зданий и сооружений).

Цели N 1 и N 2 выбирают для всех внутренних (закрытых) пожаров (пожаров внутри зданий и сооружений).

Одновременное достижение целей N 1, N 2 и N 3 выбирают для внутренних пожаров только в том случае, когда эвакуация людей из помещения пожара невозможна без причинения вреда их жизни (помещения с послеоперационными больными, подключенными к аппаратам искусственного поддержания жизнедеятельности организма, помещения с людьми в барокамерах и др.) или нецелесообразна по условиям технологического процесса.

5.7. Подбирают необходимые исходные данные для проведения расчетов

максимально допустимого расстояния по дорогам населенного пункта или

производственного объекта от здания (сооружения) до пожарного депо - l_i (где i - номер цели выезда подразделений пожарной охраны на пожар).

5.8. Определяют расчетным путем по формулам (16) - (24) необходимые для проведения расчетов l_i параметры.

5.9. Рассчитывают значения максимально допустимого расстояния от

объекта предполагаемого пожара до ближайшего здания пожарного депо l_i для каждой из рассматриваемых целей и соответствующих схем развития пожара по формулам:

а) для случая кругового распространения пламени по поверхности твердых веществ и материалов:

(1)
(2)
(3)

(4)

б) для случая горения твердых веществ и материалов на площади в виде полосы с постоянной шириной:

(5)
(6)
(7)
(8)
(9)

в) для случая горения свободно растекающихся ЛВЖ и ГЖ, а также расплавов твердых горючих материалов, если g >= пси Q_ст / (J_тр ро):

(10)
(11)
(12)

г) для случая горения ЛВЖ и ГЖ, а также расплавов твердых горючих материалов на постоянной площади (в обваловании):

(13)
(14)
(15)
(16)
(17)
(18)
(19)
(20)
(21)
(22)
(23)
(24)
(25)
(26)
(27)
(28)
(29)
(30)
(31)
(32)

где:

l_i - максимально допустимое расстояние по дорогам населенного пункта или производственного объекта от здания (сооружения) до пожарного депо при i-той цели выезда на пожар, км;

ипсилон_сл - скорость следования подразделения пожарной охраны на место пожара (оценивается для наиболее неблагоприятных влияющих на нее факторов (состояние дорог, особенности ландшафта, климатические особенности периода года и др.), км/ч;

тау_по - время от момента возникновения пожара до момента наступления предела огнестойкости строительных конструкций, мин. (определяют по таблице 21 Федерального закона от 22 июля 2008 г. N 123-ФЗ "Технический регламент о требованиях пожарной безопасности");

S_пож - площадь возможного пожара на момент подачи огнетушащего средства, кв. м. В формулах (13) и (23) S_пож принимают равной площади поверхности горящей жидкости (площади обвалования). В формулах (2) и (3) параметр S_пож определяют из выражения:

(33)

В формулах (6) - (9) параметр S_пож определяют из выражения:

(34)

где:

S_пом - площадь помещения пожара, кв. м;

тау_нб - необходимое время эвакуации людей из помещения (здания, сооружения) при пожаре, мин. (определяют по ГОСТ 12.1.004-91* "Система стандартов безопасности труда. Пожарная безопасность. Общие требования" или по методике, изложенной в Приложении А, настоящего свода правил);

S_пол - площадь горящей полосы, кв. м;

g - расход жидкости, вытекающей из поврежденного аппарата, куб. м/мин.;

пси - массовая скорость выгорания жидкости, кг/(кв. м x мин.);

Q_ст - фактический расход огнетушащего вещества, который подразделение пожарной охраны может подать в очаг пожара, л/с;

J_тр - требуемая интенсивность подачи огнетушащего вещества при тушении пожара, л/(кв. м x с);

ро - плотность жидкости, кг/куб. м;

5 - размерный коэффициент в формулах (16), (25), отражающий расход воды на тушение пожара с учетом расходов на прекращение горения, охлаждение и пропитку материала, л/кв. м;

тау_об - время от момента возникновения пожара до момента его обнаружения, мин.;

тау_с - время от момента обнаружения пожара до момента сообщения о нем в пожарную охрану, мин.;

тау_сб - время сбора личного состава по тревоге, мин.;

тау_бр - время от момента прибытия на пожар до момента подачи огнетушащего средства из первого ствола в очаг пожара (время боевого развертывания), мин.;

a - размерный комплекс, определяемый по формуле (26), мин.(-1) ;

b - размерный комплекс, определяемый по формуле (27), кв. м; А, В, К, П, Р - безразмерные комплексы;

ипсилон_л - линейная скорость распространения пламени по данному материалу, м/мин.;

2 - размерный коэффициент в формуле(4) (19), м /л;

m - ширина горящей полосы материала, м;

n - число направлений распространения пламени по полосе, ед.;

h - толщина слоя растекающейся жидкости на полу, м;

0,5 - размерный коэффициент в формулах (22), (23), (24), (25), (28), отражающий потери воды при тушении пожара, л/м(4) ;

d - длина горящей полосы материала, м.

5.10. Если для объекта предполагаемого пожара при обосновании места дислокации подразделения пожарной охраны (расположения пожарного депо) предусматривается одновременное выполнение всех трех целей выезда на пожар, то рассчитывают все три максимально допустимых расстояния l_! , l_2 , l_3 . При положительных значениях данных расстояний в дальнейших расчетах по определению места расположения пожарного депо используют меньшее из тех значений, которые превышают минимально допустимое значение l_min(доп) = 500 м.

5.11. В тех случаях, когда значение одного или нескольких из l_1 получается равным или меньше минимально допустимого значения l_min(доп) , то это свидетельствует о том, что при выбранной цели выезда на пожар анализируемый объект предполагаемого пожара при заданных исходных данных невозможно защитить силами подразделения пожарной охраны, дислоцированного за пределами минимально допустимого расстояния (достижение i-той цели выезда на пожар выполнить при заданных исходных данных не удастся). В этом случае необходимо изменить исходные данные таким образом, чтобы l_i , соответствующие выбранной цели, стали больше l_min(доп) .

5.12. Если после изменения исходных данных не удается добиться того, чтобы все l_i стали больше l_min(доп) , то необходимо отказаться от той цели выезда на пожар территориальных подразделений пожарной охраны, для которой l_i меньше l_min(доп) . В этом случае следует рассмотреть вопрос о создании подразделения пожарной охраны непосредственно на объекте предполагаемого пожара или предложить к реализации систему обеспечения пожарной безопасности объекта, при которой станет возможным выполнение желаемых целей выезда на пожар (например, путем повышения пределов огнестойкости строительных конструкций, увеличения необходимого времени эвакуации людей за счет реализации дополнительных мер пожарной безопасности, уменьшения времени обнаружения пожара в результате применения автоматической пожарной сигнализации, внедрения автоматических систем пожаротушения и др.).

5.13. Исходные данные для расчета максимально допустимого расстояния от объекта предполагаемого пожара до ближайшего пожарного депо для рассматриваемых целей и соответствующих схем пожаров определяют по справочной литературе. В случае их отсутствия в справочной литературе исходные данные определяют экспериментально для соответствующей комбинации горючих материалов рассматриваемого объекта предполагаемого пожара.

6. Методика определения областей пересечения пространственных зон размещения пожарного депо

6.1. Области пересечения пространственных зон для обоснования мест целесообразного размещения пожарных депо определяют:

- графическим методом определения областей пересечения пространственных зон размещения пожарных депо;

- методом компьютерной реализации алгоритма определения областей пересечения пространственных зон размещения пожарных депо.

6.2. Графический метод определения областей пересечения пространственных зон размещения пожарных депо может использоваться для населенных пунктов и производственных объектов с невысокой плотностью застройки зданиями (сооружениями), когда обеспечивается наглядное представление зон на карте населенного пункта или плане производственного объекта и предполагает:

- выбор геометрической фигуры представления пространственных зон размещения пожарных депо;

- построение на карте населенного пункта или плане производственного объекта пространственных зон размещения пожарных депо вокруг каждого объекта предполагаемого пожара;

- определение областей на территории населенного пункта или производственного объекта, в которых пересекаются пространственные зоны, построенные вокруг каждого объекта предполагаемого пожара;

- последовательное размещение в каждой из определенных областей здания пожарного депо и последующее исключение из рассмотрения объектов, защита которых обеспечивается подразделением пожарной охраны, дислоцированным в этом депо. Данная процедура выполняется до тех пор, пока не будет обеспечена противопожарная защита всех объектов населенного пункта или производственного объекта;

- рассмотрение других возможных вариантов размещения пожарных депо на территории населенного пункта или производственного объекта. Для этого рассматривают размещение пожарных депо в иных областях пересечения пространственных зон;

- выбор из всех найденных вариантов размещения оптимального с точки зрения минимизации количества пожарных депо и возможности размещения зданий депо в соответствующих областях.

В случаях, когда максимально допустимое расстояние от объекта предполагаемого пожара до ближайшего пожарного депо сопоставимо по своей величине с линейными размерами территории населенного пункта или производственного объекта, допускается размещать пожарное депо на любом участке территории населенного пункта или производственного объекта свободным от других объектов (здания, сооружения, транспортные магистрали, водоемы, лесные массивы и т.д.). В этом случае пространственной зоной размещения пожарного депо является вся территория населенного пункта или производственного объекта, свободная от других объектов.

6.3. Метод компьютерной реализации алгоритма определения областей пересечения пространственных зон размещения пожарных депо предполагает:

- выбор геометрической фигуры представления пространственных зон размещения пожарных депо;

- построение для каждого объекта предполагаемого пожара пространственной зоны, в которой может быть размещено здание пожарного депо. Границы пространственной зоны определяют на основании максимально допустимого расстояния от объекта предполагаемого пожара до здания пожарного депо;

- определение всех областей пересечения пространственных зон двух объектов предполагаемого пожара. Полученные области пересечения являются потенциальными местами дислокации подразделений пожарной охраны для защиты двух объектов предполагаемого пожара;

- определение областей пересечения пространственных зон трех объектов предполагаемого пожара. Для этого последовательно перебирают полученные области пересечения пространственных зон двух объектов и находят области их пересечения с пространственными зонами остальных объектов. Полученные области пересечения являются потенциальными местами дислокации подразделений пожарной охраны для защиты трех объектов предполагаемого пожара;

- определение областей пересечения пространственных зон четырех объектов предполагаемого пожара. Для этого последовательно перебирают области пересечения пространственных зон трех объектов предполагаемого пожара и находят области их пересечения с пространственными зонами остальных объектов. Полученные области пересечения являются потенциальными местами дислокации подразделений пожарной охраны для защиты четырех объектов предполагаемого пожара. Описанную процедуру продолжают до тех пор, пока не будет найдена пространственная область (или несколько областей), в которой пересекаются пространственные зоны максимального количества объектов предполагаемого пожара, равного К;

- размещение в одной из найденных областей пересечения первого пожарного депо. Оно обеспечивает противопожарную защиту рассматриваемых К объектов, пространственные зоны которых пересекаются в данной области. Объекты предполагаемого пожара, противопожарная защита которых обеспечена первым депо, исключают из списка этих объектов;

- повторение процедуры нахождения областей пересечения пространственных зон для оставшихся объектов предполагаемого пожара. В результате определяют область пересечения для размещения второго пожарного депо;

- исключение из списка объектов предполагаемого пожара всех объектов, противопожарная защита которых обеспечена вторым депо;

- поиск области пересечения, в которой размещают третье пожарное депо;

- повторение вышеописанной процедуры определения мест дислокации подразделений пожарной охраны на территории населенного пункта или производственного объекта до тех пор, пока из списка объектов предполагаемого пожара не исключены все рассматриваемые объекты. В результате определяют один из вариантов дислокации подразделений пожарной охраны (размещения пожарных депо) на территории населенного пункта или производственного объекта;

- определение других вариантов размещения пожарных депо на территории населенного пункта или производственного объекта. Для этого повторяют вышеописанную процедуру, выбирая другие области пересечения для размещения пожарных депо. Критерием выбора областей пересечения является количество пересекающихся пространственных зон объектов предполагаемого пожара, которое должно быть меньше максимального значения К;

- выбор из всех найденных вариантов размещения пожарных депо варианта с наименьшим количеством пожарных депо. Если таких вариантов несколько, то решение о выборе варианта размещения принимают с учетом критериев, в которых отражены условия запрещения размещения зданий пожарных депо в полученных областях пересечения: отсутствие в данных областях участков для размещения пожарных депо (размещение на этом участке других зданий, сооружений, а также транспортных магистралей, водоемов, лесных массивов и т.д.).

Приложение А

(рекомендуемое)

ИНТЕГРАЛЬНАЯ МЕТОДИКА
ОПРЕДЕЛЕНИЯ НЕОБХОДИМОГО ВРЕМЕНИ ЭВАКУАЦИИ ЛЮДЕЙ ИЗ ПОМЕЩЕНИЯ ПРИ ПОЖАРЕ

(в ред. Приказа МЧС РФ от 09.12.2010 N 642)

А.1. Введение

Необходимое время эвакуации людей определяется по времени, при котором значения опасных факторов пожара (повышенной температуры среды, дальности видимости в дыму, повышенных концентраций токсичных продуктов горения и пониженной концентрации кислорода) на высоте верхнего уровня рабочей зоны достигают критических для жизни людей (или их ориентации в пространстве) величин.

А.2. Последовательность расчета необходимого времени эвакуации людей из помещения при пожаре

Расчет необходимого времени эвакуации людей из помещения при пожаре производится в следующем порядке:

А.2.1. Рассчитывают отношение тепла, которое может выделиться при сгорании 1 кг горючего материала, к теплосодержанию воздуха в помещении до пожара m (1/кг):

, (А.1)

где - коэффициент полноты горения;

Q(р)_н - низшая рабочая теплота сгорания горючего материала, Дж/кг;

с_р0 - изобарная среднеобъемная теплоемкость газов в помещении до пожара, Дж/(кг·K);

ро_m0 - среднеобъемная плотность газов в помещении до пожара, кг/м3;

V - свободный объем помещения, м3;

T_m0 - среднеобъемная температура среды в помещении до пожара, K.

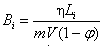
А.2.2. Определяют комплекс B_i (кг/м3) для каждого i-ого газа:

, (А.2)

где L_i - масса i-ого газа, выделяющегося (поглощающегося) при сгорании единицы массы горючего материала (положительное число для токсичных продуктов горения и отрицательное для кислорода), кг/кг;

фи - безразмерный коэффициент потерь тепла на нагрев ограждающих конструкций помещения.

А.2.3. Определяют комплекс В_пв для случая потери видимости в дыму:

, (А.3)

где l_пв - предельная дальность видимости в дыму, м;

D - дымообразующая способность горящего материала, (Нп·м2/кг).

А.2.4. Вычисляют для каждой рабочей зоны безразмерный параметр высоты верхнего уровня рабочей зоны размещения людей в помещении:

, (А.4)

где Z - безразмерный параметр неравномерности распределения опасных факторов пожара по высоте помещения;

h - высота отметки (размещения площадки), на которой находятся люди в помещении, м;

H - высота помещения, м;

1,7 - высота рабочей зоны (средний рост человека), м;

- разность отметок пола в помещении, равная нулю при горизонтальном его расположении, м.

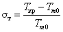
А.2.5. Оценивают безразмерные показатели опасности температуры (сигма_т), потери видимости в дыму (С_i) и токсичных продуктов горения или кислорода (G_пв) для критических значений соответствующих опасных факторов пожара:

, (А.5)
, (А.6)
, (А.7)

где сигма_т - безразмерный показатель опасности температуры;

С_i - безразмерный показатель опасности для i-ого газа;

G_пв - безразмерный показатель опасности для случая потери видимости в дыму;

X_m0i - среднеобъемная концентрация i-ого газа в помещении до пожара, кг/м3;

X_крi - критическая концентрация i-ого газа для жизни человека, кг/м3;

Т_кр - критическая для жизни людей температура среды в помещении при пожаре, K;

альфа - коэффициент отражения поверхностей (предметов) на путях эвакуации;

E - начальная освещенность поверхностей в помещении, лк.

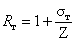
А.2.6. Рассчитывают интегральные показатели опасности температуры (R_т), токсичных продуктов горения или кислорода (R_i) и потери видимости в дыму (R_пв) по формулам:

, (А.8)
, (А.9)
. (А.10)

Отрицательное значение интегрального показателя опасности температуры, потери видимости в дыму, токсичных продуктов горения или кислорода означает, что данный опасный фактор пожара при данном варианте пожара не представляет опасности для жизни людей и в дальнейших расчетах не учитывается.

А.2.7. Устанавливают ведущий (появляющийся раньше других) опасный фактор пожара для людей:

. (А.11)

А.2.8. Рассчитывают критическую массу горючего материала (кг) для анализируемого помещения:

. (А.12)

А.2.9. Найденное значение М_кр сравнивают со всей массой горючей нагрузки в помещении М_ф, которая может быть охвачена пламенем при данной схеме развития пожара. Если выполняется условие

, (А.13)

то рассматриваемая схема для людей, находящихся на заданном, а также нижележащих уровнях по высоте помещения, не опасна и для этих уровней далее не учитывается.

Если условие (А.13) не выполняется, то данный вариант развития пожара представляет опасность для людей и расчет следует продолжить, используя полученное значение критической массы горючей нагрузки (ГН).

А.2.10. Для каждого из возможных вариантов развития пожара в помещении определяют параметры A и n. При наличии в помещении нескольких видов ГН и (или) нескольких возможных способов ее размещения следует определить соответствующее количество вариантов (расчетных схем) развития пожара и присвоить им индексы - порядковые номера. Каждый j-й вариант характеризуется двумя параметрами А_j и n_j, которые определяются по формулам:

А.2.10.1. Для случая стационарного горения легковоспламеняющихся жидкостей (ЛВЖ) или горючих жидкостей (ГЖ) на постоянной площади (оборудованной средствами, предотвращающими растекание жидкости):

, (А.14)

где - удельная массовая скорость выгорания, кг/(м2·с);

S_п - площадь пожара, м2.

А.2.10.2. Для случая горения свободно растекающихся ЛВЖ и ГЖ:

, (А.15)

где g - расход вытекающей жидкости, м3/с;

- толщина слоя растекающейся жидкости, м.

А.2.10.3. Для случая кругового распространения пламени по равномерно распределенным на площади твердым веществам и материалам, когда время охвата пламенем любой из ее сторон превышает 60 с:

а) при наклоне поверхности ГН к плоскости горизонта не более 30° (например, покрытие пола или ряды кресел на нем):

, (А.16)

где - средняя скорость распространения пламени по ГН, м/с;

б) при наклоне поверхности ГН к плоскости горизонта более 30° (например, одиночный занавес или облицовочное покрытие стены):

, (А.17)

где , - скорости распространения пламени по ГН вверх и в горизонтальном направлении соответственно, м/с.

А.2.10.4. Для случая горения горизонтальной полосы твердых горючих материалов:

, (А.18)

где k - число направлений распространения пламени на полосе твердых горючих материалов;

a - ширина горящей полосы твердых горючих материалов, м.

А.2.10.5. Для случая горения твердых веществ и материалов в виде пакета параллельных вертикальных поверхностей (например, декорации, ткани на вешалках):

. (А.19)

А.2.11. Рассчитывают критическую продолжительность пожара для всех не исключенных из рассмотрения вариантов развития пожара (с):

, (А.20)

где j = 1, 2, 3, 4, 5 - порядковые номера (индексы) опасных вариантов (схем) развития пожара.

А.2.12. Устанавливают наиболее опасный вариант развития пожара для рассматриваемого уровня расположения людей и определяют для него критическую продолжительность пожара:

. (А.21)

А.2.13. Определяют необходимое время эвакуации людей из помещения при пожаре (с):

. (А.22)

А.3. Исходные данные для расчета

Точность определения необходимого времени эвакуации людей по предлагаемой методике во многом зависит от объективности выбора исходных данных, входящих в расчетные зависимости.

Конструктивно-планировочное решение и функциональное назначение помещения определяют:

- свободный объем помещения V (в затруднительных случаях допускается принимать свободный объем равным 0,8 геометрического);

- высоту помещения H (если потолок помещения не плоский, высота определяется как отношение геометрического объема к площади пола);

- высоту каждого уровня расположения людей h;

- возможные варианты развития пожара, а также материал ГН, способ ее размещения и фактическую массу М_ф для каждого варианта;

- начальную температуру воздуха в помещении Т_м0 (определяется по нормативным документам или результатам конкретных измерений, а в затруднительных случаях принимается Т_м0=293 K);

- коэффициент отражения предметов на путях эвакуации альфа;

- начальную освещенность поверхностей в помещении E, лк.

Необходимые для расчета характеристики ГН (удельная скорость выгорания , скорости распространения пламени , , , низшая теплота сгорания Q(р)_н, коэффициент полноты горения , состав токсичных продуктов горения и удельное выделение каждого из них L_i дымообразующая способность горючего материала D) определяются по данным пожарно-технической литературы или в результате экспериментов. Если ГН представляет собой композицию различных материалов, допускается расчет необходимых показателей пожарной опасности ГН по соответствующим характеристикам этих материалов с учетом их процентного содержания в композиции. При отсутствии данных об удельном выделении одного или нескольких токсичных продуктов сгорания ГН соответствующие ОФП допускается не учитывать. При отсутствии данных о теплоте сгорания материалов, коэффициенте отражения предметов на путях эвакуации и начальной освещенности в помещении допускается принимать Q(р)_н = 50 МДж/кг, альфа = 0,3 и E = 50 лк. Критическую для жизни людей температуру среды в помещении при пожаре принимают равной Т_кр = 343 K.

Критические концентрации токсичных продуктов горения принимаются по литературным данным для условий одноразового воздействия на эвакуирующихся в течение нескольких минут при средних физических нагрузках и по критерию сохранения ими способности реально оценивать окружающую обстановку, уверенно принимать и выполнять соответствующие решения. Для наиболее распространенных продуктов горения критические концентрации газов равны: окись углерода X_CO = 0,00116 кг/м3; двуокись углерода X_CO^2 = 0,11 кг/м3; хлористый водород X_HC^1 = 0,023 кг/м3; цианистый водород X_HCN = 0,2 * 10^-3 кг/м3; фосген X_COC1^2 = 0,2 * 10^-3 кг/м3; окислы азота X_NO^2 = 1 * 10-3 кг/м3; сероводород X_H^2S = 1,1 * 10^-3 кг/м3. Предельная концентрация кислорода X_o^2 = 0,226 кг/м3. При отсутствии данных о критических концентрациях других токсичных продуктов соответствующие опасные факторы пожара допускается не учитывать.