Приказ ФСТ РФ от 12.12.2011 N 796-Э

"Об утверждении Административного регламента предоставления Федеральной службой по тарифам государственной услуги по формированию и ведению Федерального информационного реестра гарантирующих поставщиков и зон их деятельности"
Редакция от 12.12.2011 — Документ утратил силу, см. «Приказ ФАС РФ от 30.07.2019 N 1031/19»
Показать изменения

Зарегистрировано в Минюсте РФ 21 февраля 2012 г. N 23289


ФЕДЕРАЛЬНАЯ СЛУЖБА ПО ТАРИФАМ

ПРИКАЗ
от 12 декабря 2011 г. N 796-э

ОБ УТВЕРЖДЕНИИ АДМИНИСТРАТИВНОГО РЕГЛАМЕНТА ПРЕДОСТАВЛЕНИЯ ФЕДЕРАЛЬНОЙ СЛУЖБОЙ ПО ТАРИФАМ ГОСУДАРСТВЕННОЙ УСЛУГИ ПО ФОРМИРОВАНИЮ И ВЕДЕНИЮ ФЕДЕРАЛЬНОГО ИНФОРМАЦИОННОГО РЕЕСТРА ГАРАНТИРУЮЩИХ ПОСТАВЩИКОВ И ЗОН ИХ ДЕЯТЕЛЬНОСТИ

В соответствии с положениями Федеральных законов от 26 марта 2003 г. N 35-ФЗ "Об электроэнергетике" (Собрание законодательства Российской Федерации, 2003, N 13, ст. 1177; 2004, N 35, ст. 3607; 2005, N 1 (часть I), ст. 37; 2006, N 52 (часть I), ст. 5498; 2007, N 45, ст. 5427; 2008, N 29 (часть I), ст. 3418; N 52 (часть I), ст. 6236; 2009, N 48, ст. 5711; 2010, N 11, ст. 1175; N 31, ст. 4165, ст. 4157, ст. 4158, ст. 4160; 2011, N 1, ст. 13; N 11 ст. 1502; N 23, ст. 3263; N 30 (часть I), ст. 4590; N 30 (часть I), ст. 4596; Российская газета, N 278, 09.12.2011) от 27 июля 2010 г. N 210-ФЗ "Об организации предоставления государственных и муниципальных услуг" (Собрание законодательства Российской Федерации, 2010, N 31, ст. 4179; 2011, N 15, ст. 2038; N 27, ст. 3873, ст. 3880; N 29, ст. 4291; N 30 (часть I), ст. 4587; Российская газета, N 278, 09.12.2011), постановлением Правительства Российской Федерации от 16 мая 2011 г. N 373 "О разработке и утверждении административных регламентов исполнения государственных функций и административных регламентов предоставления государственных услуг" (Собрание законодательства Российской Федерации, 2011, N 22, ст. 3169; N 35, ст. 5092), постановлением Правительства Российской Федерации от 31 августа 2006 г. N 530 "Об утверждении Основных положений функционирования розничных рынков электрической энергии" (Собрание законодательства Российской Федерации, 2006, N 37, ст. 3876; 2007, N 30, ст. 3940; 2008, N 2, ст. 84; N 3, ст. 182; N 27, ст. 3285; 2009, N 12, ст. 1441; N 20, ст. 2475; N 25, ст. 3073; N 41, ст. 4771; N 43, ст. 5066; 2010, N 10, ст. 1082; N 21, ст. 2610; N 25, ст. 3175; N 49, ст. 6521; 2011, N 11, ст. 1524; N 22, ст. 3168; N 20, ст. 2831; N 45, ст. 6404), постановлением Правительства Российской Федерации от 30 июня 2004 г. N 332 "Об утверждении Положения о Федеральной службе по тарифам" (Собрание законодательства Российской Федерации, 2004, N 29, ст. 3049; 2006, N 3, ст. 301; N 23, ст. 2522; N 48, ст. 5032; N 50, ст. 5354; 2007, N 16, ст. 1912; N 25, ст. 3039; N 32, ст. 4145; 2008, N 7, ст. 597; N 17, ст. 1897; N 23, ст. 2719; N 38, ст. 4309; N 46, ст. 5337; 2009, N 1, ст. 142; N 3, ст. 378; N 6, ст. 738; N 9, ст. 1119; N 18 (часть II), ст. 2249; N 33, ст. 4086; 2010, N 9, ст. 960; N 13, ст. 1514; N 25, ст. 3169; N 26, ст. 3350; N 30, ст. 4096; N 45, ст. 5851; 2011, N 14, ст. 1935; N 32, ст. 4831) приказываю:

1. Утвердить прилагаемый Административный регламент предоставления Федеральной службой по тарифам государственной услуги по формированию и ведению Федерального информационного реестра гарантирующих поставщиков и зон их деятельности.

2. Признать утратившим силу приказ Федеральной службы по тарифам от 24 ноября 2008 г. N 423-э "Об утверждении Административного регламента исполнения государственной функции Федеральной службы по тарифам по формированию и ведению Федерального информационного реестра гарантирующих поставщиков и зон их деятельности" (зарегистрирован Минюстом России 16 февраля 2009 г., регистрационный N 13342).

3. Настоящий приказ вступает в силу в установленном порядке.

Руководитель
Федеральной службы по тарифам
С.НОВИКОВ

Приложение
к приказу
Федеральной службы по тарифам
от 12 декабря 2011 г. N 796-э

АДМИНИСТРАТИВНЫЙ РЕГЛАМЕНТ ПРЕДОСТАВЛЕНИЯ ФЕДЕРАЛЬНОЙ СЛУЖБОЙ ПО ТАРИФАМ ГОСУДАРСТВЕННОЙ УСЛУГИ ПО ФОРМИРОВАНИЮ И ВЕДЕНИЮ ФЕДЕРАЛЬНОГО ИНФОРМАЦИОННОГО РЕЕСТРА ГАРАНТИРУЮЩИХ ПОСТАВЩИКОВ И ЗОН ИХ ДЕЯТЕЛЬНОСТИ

I. Общие положения

Предмет регулирования регламента

1. Предметом регулирования настоящего Административного регламента (далее - Регламент) является определение порядка административных процедур (действий) при предоставлении Федеральной службой по тарифам государственной услуги по формированию и ведению Федерального информационного реестра гарантирующих поставщиков и зон их деятельности (далее - Реестр) в соответствии с Основными положениями функционирования розничных рынков электрической энергии, утвержденными постановлением Правительства Российской Федерации от 31 августа 2006 г. N 530 (далее - Основные положения), а также перечень и формы документов, предоставляемых при обращении за предоставлением указанной государственной услуги.

Круг заявителей

2. За получением государственной услуги вправе обратиться следующие лица (круг заявителей):

- юридическое лицо;

- физическое лицо.

Требования к порядку информирования о предоставлении государственной услуги

3. Требования к порядку информирования о предоставлении государственной услуги.

1) Информация о месте нахождения и графике работы.

Место нахождения Федеральной службы по тарифам - 109074, г. Москва, Китайгородский проезд, д. 7.

График работы Федеральной службы по тарифам:

День недели Время работы Перерыв
Понедельник с 9-00 до 18-00 с 12-00 до 12-45
Вторник с 9-00 до 18-00 с 12-00 до 12-45
Среда с 9-00 до 18-00 с 12-00 до 12-45
Четверг с 9-00 до 18-00 с 12-00 до 12-45
Пятница с 9-00 до 16-45 с 12-00 до 12-45
Суббота выходной день
Воскресенье выходной день

2) Справочные телефоны ответственного за предоставление государственной услуги структурного подразделения Федеральной службы по тарифам:

+7 (495) 620-51-36

+7 (495) 620-51-35

+7 (495) 620-50-49

телефон-автоинформатор - отсутствует.

3) Адрес официального сайта Федеральной службы по тарифам в сети Интернет - www.fstrf.ru.

Адрес раздела официального сайта Федеральной службы по тарифам, на котором размещается актуальная информация о предоставлении государственной услуги: http://www.fstrf.ru/about/activity/gp.

Адрес электронной почты ответственного структурного подразделения Федеральной службы по тарифам за предоставление государственной услуги - efeoktistova(a)fstrf.ru.

4) Порядок получения информации заявителями по вопросам предоставления государственной услуги, в том числе с использованием федеральной государственной информационной системы "Единый портал государственных и муниципальных услуг (функций)".

Информирование о предоставлении государственной услуги осуществляется путем:

- размещения информации о порядке предоставления государственной услуги в сети Интернет на официальном сайте Федеральной службы по тарифам и сайте федеральной государственной информационной системы "Единый портал государственных и муниципальных услуг (функций)";

- опубликования в Информационном бюллетене Федеральной службы по тарифам;

- предоставления разъяснений по запросам заинтересованных лиц, поданных в письменной или электронной форме, а также по телефону и (или) факсу.

5) Порядок, форма и место размещения информации, в том числе на стендах в местах предоставления государственной услуги и услуг, которые являются необходимыми и обязательными для предоставления государственной услуги, а также на официальных сайтах федерального органа исполнительной власти, предоставляющего государственную услугу, организаций, участвующих в предоставлении государственной услуги, в сети Интернет, а также в федеральной государственной информационной системе "Единый портал государственных и муниципальных услуг (функций)".

Указанная в подпунктах 1 - 4 пункта 3 настоящего Регламента информация размещается на информационных стендах в месте нахождения ответственного за предоставление государственной услуги структурного подразделения Федеральной службы по тарифам, а также размещается в сети Интернет.

Для получения разъяснений по вопросам предоставления государственной услуги юридические или физические лица могут обратиться:

- по почте - направив письменное обращение по адресу, указанному в подпункте 1 пункта 3 настоящего Регламента;

- лично - по месту нахождения Федеральной службы по тарифам, в том числе по телефонам (факсу), указанным в подпункте 2 пункта 3 настоящего Регламента;

- в электронном виде - направив обращение по электронной почте на адрес, указанный в подпункте 3 пункта 3 настоящего Регламента, в том числе с использованием федеральной государственной информационной системы "Единый портал государственных и муниципальных услуг (функций)", в порядке, установленном законодательством.

Ответ на обращение направляется в установленном законодательством порядке.

II. Стандарт предоставления государственной услуги

Наименование государственной услуги

4. Наименование государственной услуги - государственная услуга по формированию и ведению Федерального информационного реестра гарантирующих поставщиков и зон их деятельности (далее - государственная услуга) включает в себя:

- включение организаций в Реестр;

- исключение организаций из Реестра;

- внесение изменений в Реестр (изменение границ зон деятельности гарантирующих поставщиков, изменение наименования гарантирующих поставщиков, смена организационно-правовой формы гарантирующих поставщиков, смена или преобразование территориальных сетевых организаций в границах зон деятельности гарантирующих поставщиков и т.п.);

- выдача выписок из Реестра.

Наименование федерального органа исполнительной власти, предоставляющего государственную услугу

5. Наименование федерального органа исполнительной власти, предоставляющего государственную услугу - Федеральная служба по тарифам (далее - ФСТ России).

Структурное подразделение Федеральной службы по тарифам, ответственное за предоставление государственной услуги, определяется приказом Федеральной службы по тарифам.

Иные федеральные органы исполнительной власти и органы государственных внебюджетных фондов, организации не принимают участия в предоставлении государственной услуги.

Обращение заявителя за предоставлением государственной услуги не требует обращения заявителя в иные государственные и муниципальные органы.

Запрещается требовать от заявителя при обращении за предоставлением государственной услуги осуществления действий, в том числе согласований и (или) обращения в иные государственные органы и организации, за исключением получения услуг, включенных в перечень услуг, которые являются необходимыми и обязательными для предоставления государственных услуг, утвержденный Правительством Российской Федерации.

Описание результата предоставления государственной услуги

6. Результатом предоставления государственной услуги по включению (исключению) организаций в (из) Реестр(а), внесению изменений в Реестр является приказ Федеральной службы по тарифам о включении (исключении) организаций в (из) Реестр(а), внесении изменений в Реестр.

Результат предоставления государственной услуги по включению (исключению) организаций в (из) Реестр(а), внесению изменений в Реестр (в виде копии приказа Федеральной службы по тарифам) направляется уполномоченному органу исполнительной власти субъекта Российской Федерации, направившему в Федеральную службу по тарифам заявление (обращение) о включении (исключении) организации в (из) Реестр(а), внесении изменений в Реестр, и организациям, в отношении которых приняты соответствующие решения, почтовой связью; по желанию сторон также может быть выдан на руки в рабочее время ответственным за предоставление государственной услуги структурным подразделением Федеральной службы по тарифам.

Результатом предоставления государственной услуги по выдаче выписок из Реестра является выписка из Реестра - документ, подтверждающий на указанную дату наличие регистрации гарантирующего поставщика в Реестре.

Срок предоставления государственной услуги

7. Срок предоставления государственной услуги, в том числе с учетом необходимости обращения в организации, участвующие в предоставлении государственной услуги, срок приостановления предоставления государственной услуги, срок выдачи (направления) документов, являющихся результатом предоставления государственной услуги.

1) Государственная услуга предоставляется в срок не более 30 дней с даты регистрации заявления (обращения) в ФСТ России.

2) Рассмотрение заявления (обращения) может быть приостановлено в случае запроса дополнительных документов, подтверждающих или уточняющих сведения, указанные в заявлении (обращении).

Приостановление срока в таком случае действует с даты соответствующего письменного запроса ФСТ России.

3) Срок выдачи (направления) документов, являющихся результатом предоставления государственной услуги.

Уведомление с приложением копии приказа ФСТ России о включении (исключении) организаций в (из) Реестр(а) в соответствии с Приложениями N N 8, 9 соответственно направляется уполномоченному органу исполнительной власти субъекта Российской Федерации, а также организациям, включенным (исключенным) в (из) Реестр(а), в течение 10 календарных дней со дня утверждения приказа ФСТ России.

Перечень нормативных правовых актов, регулирующих отношения, возникающие в связи с предоставлением государственной услуги

8. Перечень нормативных правовых актов, регулирующих отношения, возникающие в связи с предоставлением государственной услуги:

- Федеральный закон от 26 марта 2003 года N 35-ФЗ "Об электроэнергетике" (Собрание законодательства Российской Федерации, 2003, N 13, ст. 1177; 2004, N 35, ст. 3607; 2005, N 1 (часть I), ст. 37; 2006, N 52 (часть I), ст. 5498; 2007, N 45, ст. 5427; 2008, N 29 (часть I), ст. 3418; N 52 (часть I), ст. 6236; 2009, N 48, ст. 5711; 2010, N 11, ст. 1175; N 31, ст. 4165, ст. 4157, ст. 4158, ст. 4160; 2011, N 1, ст. 13; N 11, ст. 1502; N 23, ст. 3263; N 30 (часть I), ст. 4590; N 30 (часть I), ст. 4596; Российская газета, N 278, 09.12.2011);

- Федеральный закон от 27 июля 2010 года N 210-ФЗ "Об организации предоставления государственных и муниципальных услуг" (Собрание законодательства Российской Федерации, 2010, N 31, ст. 4179; 2011, N 15, ст. 2038; N 27, ст. 3873, ст. 3880; N 29, ст. 4291; N 30 (часть I), ст. 4587; Российская газета, N 278, 09.12.2011);

- Постановление Правительства Российской Федерации от 31 августа 2006 года N 530 "Об утверждении основных положений функционирования розничных рынков электрической энергии" (Собрание законодательства Российской Федерации, 2006, N 37, ст. 3876; 2007, N 30, ст. 3940; 2008, N 2, ст. 84; N 3, ст. 182; N 27, ст. 3285; 2009, N 12, ст. 1441; N 20, ст. 2475; N 25, ст. 3073; N 41, ст. 4771; N 43, ст. 5066; 2010, N 10, ст. 1082; N 21, ст. 2610; N 25, ст. 3175; N 49, ст. 6521; 2011, N 11, ст. 1524; N 22, ст. 3168; N 20, ст. 2831; N 45, ст. 6404);

- Постановление Правительства Российской Федерации от 30 июня 2004 года N 332 "Об утверждении положения о Федеральной службе по тарифам" (Собрание законодательства Российской Федерации, 2004, N 29, ст. 3049; 2006, N 3, ст. 301; N 23, ст. 2522; N 48, ст. 5032; N 50, ст. 5354; 2007, N 16, ст. 1912; N 25, ст. 3039; N 32, ст. 4145; 2008, N 7, ст. 597; N 17, ст. 1897; N 23, ст. 2719; N 38, ст. 4309; N 46, ст. 5337; 2009, N 1, ст. 142; N 3, ст. 378; N 6, ст. 738; N 9, ст. 1119; N 18 (часть II), ст. 2249; N 33, ст. 4086; 2010, N 9, ст. 960; N 13, ст. 1514; N 25, ст. 3169; N 26, ст. 3350; N 30, ст. 4096; N 45, ст. 5851; 2011, N 14, ст. 1935; N 32, ст. 4831; N 42, ст. 5925).

Исчерпывающий перечень документов, необходимых в соответствии с нормативными правовыми актами для предоставления государственной услуги

9. Исчерпывающий перечень документов, необходимых в соответствии с нормативными правовыми актами для предоставления государственной услуги.

1) Исчерпывающий перечень документов, необходимых в соответствии с нормативными правовыми актами для предоставления государственной услуги по включению организации в Реестр.

Основанием для рассмотрения вопроса о включении организации в Реестр является соответствующее заявление (обращение) уполномоченного органа исполнительной власти субъекта Российской Федерации о включении в Реестр в соответствии с Приложением N 1 к настоящему Регламенту.

К заявлению (обращению) должны быть приложены обосновывающие документы в соответствии с Приложением N 2 к настоящему Регламенту.

Заявление (обращение) о включении в Реестр с прилагаемыми документами представляется в количестве 2 (двух) экземпляров.

2) Исчерпывающий перечень документов, необходимых в соответствии с нормативными правовыми актами для предоставления государственной услуги по исключению организации из Реестра.

Основанием для рассмотрения вопроса об исключении организации из Реестра является соответствующее заявление (обращение) уполномоченного органа исполнительной власти субъекта Российской Федерации об исключении организации из Реестра в соответствии с Приложением N 3 к настоящему Регламенту, а также иные документы, полученные от федеральных органов исполнительной власти, органов исполнительной власти субъектов Российской Федерации, органов местного самоуправления, юридических и (или) физических лиц, иных источников информации, свидетельствующие о лишении организации статуса гарантирующего поставщика (отмены согласования границ зоны деятельности).

К заявлению (обращению) должны быть приложены обосновывающие документы в соответствии с Приложением N 4 к настоящему Регламенту.

Заявление (обращение) об исключении из Реестра с прилагаемыми документами представляется в количестве 2 (двух) экземпляров.

3) Исчерпывающий перечень документов, необходимых в соответствии с нормативными правовыми актами для предоставления государственной услуги по внесению изменений в Реестр.

Основанием для рассмотрения вопроса о внесении изменений в Реестр является соответствующее заявление (обращение) уполномоченного органа исполнительной власти субъекта Российской Федерации о внесении изменений в Реестр в соответствии с Приложением N 5 к настоящему Регламенту, а также иные документы, свидетельствующие о произошедших изменениях (изменение границ зоны деятельности гарантирующего поставщика, изменение наименования, смена организационно-правовой формы, смена территориальной сетевой организации и т.п.).

К заявлению (обращению) должны быть приложены обосновывающие документы в соответствии с Приложением N 6 к настоящему Регламенту.

Заявление (обращение) о внесении изменений в Реестр с прилагаемыми документами представляется в количестве 2 (двух) экземпляров.

4) Исчерпывающий перечень документов, необходимых в соответствии с нормативными правовыми актами для предоставления государственной услуги по выдаче выписок из Реестра.

Основанием для выдачи выписки из Реестра является мотивированное заявление (обращение) организации, включенной в Реестр, а также юридических и физических лиц, заинтересованных в получении выписки из Реестра в соответствии с Приложением N 7 к настоящему Регламенту.

Исчерпывающий перечень документов, необходимых в соответствии с нормативными правовыми актами для предоставления государственной услуги, которые находятся в распоряжении государственных органов, органов местного самоуправления и иных органов, участвующих в предоставлении государственных или муниципальных услуг

10. Исчерпывающий перечень документов, необходимых в соответствии с нормативными правовыми актами для предоставления государственной услуги, которые находятся в распоряжении государственных органов, органов местного самоуправления и иных органов, участвующих в предоставлении государственных или муниципальных услуг:

1) Для обращения за предоставлением государственной услуги не требуется документов, выдаваемых организациями, участвующими в предоставлении иных государственных услуг.

Иные организации не принимают участия в процессе предоставления государственной услуги.

2) Запрещается требовать от заявителя при обращении за предоставлением государственной услуги осуществления действий, в том числе:

- представления документов и информации или осуществления действий, представление или осуществление которых не предусмотрено нормативными правовыми актами, регулирующими отношения, возникающие в связи с предоставлением государственной услуги;

- представления документов и информации, которые в соответствии с нормативными правовыми актами Российской Федерации, нормативными правовыми актами субъектов Российской Федерации и муниципальными правовыми актами находятся в распоряжении государственных органов, предоставляющих государственную услугу, иных государственных органов, органов местного самоуправления и (или) подведомственных государственным органам и органам местного самоуправления организаций, участвующих в предоставлении государственных или муниципальных услуг, за исключением документов, указанных в части 6 статьи 7 Федерального закона от 27 июля 2010 года N 210-ФЗ "Об организации предоставления государственных и муниципальных услуг".

Исчерпывающий перечень оснований для отказа в приеме документов, необходимых для предоставления государственной услуги

11. Оснований для отказа в приеме документов, необходимых для предоставления государственной услуги, не имеется.

Исчерпывающий перечень оснований для приостановления или отказа в предоставлении государственной услуги

12. Предоставление государственной услуги может быть приостановлено в случае запроса дополнительных документов, подтверждающих или уточняющих сведения, указанные в заявлении (обращении), а также при отсутствии необходимых сведений или материалов, указанных в приложениях к настоящему Регламенту.

В случае приостановления рассмотрения заявления (обращения) с обосновывающими документами срок его рассмотрения прерывается с даты письменного запроса ФСТ России и продолжается со дня регистрации в ФСТ России ответа на данный запрос.

В предоставлении государственной услуги может быть отказано в случае, если представленные заявление (обращение) и материалы, необходимые для рассмотрения вопроса, связанного с формированием и ведением Реестра, не соответствуют требованиям, установленным настоящим Регламентом.

Перечень услуг, которые являются необходимыми и обязательными для предоставления государственной услуги, в том числе сведения о документе (документах), выдаваемом (выдаваемых) организациями, участвующими в предоставлении государственной услуги

13. Для предоставления государственной услуги необходимо наличие:

- принятого уполномоченным органом исполнительной власти субъекта Российской Федерации решения о присвоении (лишении) организации статуса гарантирующего поставщика, согласовании границ зон деятельности гарантирующих поставщиков, переименовании гарантирующего поставщика, смене организационно-правовой формы гарантирующего поставщика и т.п.;

- обращения уполномоченного органа исполнительной власти субъекта Российской Федерации об изменении (объединении или разделении) границ смежных зон деятельности гарантирующих поставщиков, а также письменного согласия на такое изменение зон деятельности всех гарантирующих поставщиков, границы зон деятельности которых изменяются.

Порядок, размер и основания взимания государственной пошлины или иной платы, взимаемой за предоставление государственной услуги

14. Государственная пошлина или иная плата за предоставление государственной услуги не взимается.

Порядок, размер и основания взимания платы за предоставление услуг, которые являются необходимыми и обязательными для предоставления государственной услуги, включая информацию о методике расчета такой платы

15. Платные государственные услуги, являющиеся необходимыми и обязательными для предоставления государственной услуги, отсутствуют.

Максимальный срок ожидания в очереди при подаче запроса о предоставлении государственной услуги, а также при получении результата предоставления такой услуги

16. Максимальный срок ожидания в очереди для подачи заявления (обращения) и прилагаемых к нему обосновывающих материалов в подразделение Федеральной службы по тарифам, ответственное за прием и регистрацию поступающей корреспонденции, а также получения результатов предоставления услуги в подразделении Федеральной службы по тарифам, ответственном за предоставление услуги, составляет 30 минут.

В течение вышеуказанного срока ожидания в очереди не включается время обеденного перерыва и нерабочее время.

Срок и порядок регистрации запроса заявителя о предоставлении государственной услуги, в том числе в электронной форме

17. Поданное заявителем заявление (обращение) и прилагаемые к нему материалы, в том числе и поступившее по почте, а также поданное с использованием федеральной государственной информационной системы "Единый портал государственных и муниципальных услуг (функций)" в электронном виде, регистрируется в день его поступления в Федеральную службу по тарифам с присвоением ему регистрационного номера и проставлением штампа.

При последующей работе с этим документом, в том числе при направлении сторонами письменной корреспонденции в Федеральную службу по тарифам по вопросу предоставления государственной услуги, обязательна ссылка на данный регистрационный номер в тексте направляемой корреспонденции. Документы, не содержащие ссылки на номер и дату поданного заявления (обращения), могут быть возвращены в Управление, ответственное за прием поступающей в адрес Федеральной службы по тарифам корреспонденции, если номер и дату не удается установить.

Требования к помещениям, в которых предоставляется государственная услуга, к месту ожидания и приема заявителей, размещению и оформлению визуальной, текстовой и мультимедийной информации о порядке предоставления такой услуги

18. Помещения, в которых предоставляется государственная услуга, должны быть оборудованы системами кондиционирования и обогрева воздуха, телефонной и факсимильной связью, компьютерами, подключенными к сети Интернет, шкафами для верхней одежды, а также системами проведения видеоконференций.

Информационные щиты, визуальная, текстовая и мультимедийная информация о порядке предоставления государственной услуги размещаются на стенах в непосредственной близости от входной двери (дверей) кабинетов структурного подразделения Федеральной службы по тарифам, указанного в подпункте 5 пункта 3 настоящего Регламента.

Показатели доступности и качества государственной услуги, в том числе количество взаимодействий заявителя с должностными лицами при предоставлении государственной услуги и их продолжительность, возможность получения государственной услуги в многофункциональном центре предоставления государственных и муниципальных услуг, возможность получения информации о ходе предоставления государственной услуги, в том числе с использованием информационно-коммуникационных технологий

19. Показателями доступности и качества государственной услуги являются возможность реализации заявителем права:

- получать государственную услугу своевременно и в соответствии с положениями настоящего Регламента;

- представлять, в том числе и по своей инициативе, дополнительные документы и материалы и (или) обращаться с просьбой об их истребовании, в том числе в электронной форме;

- определять количество взаимодействий с должностными лицами Федеральной службы по тарифам при предоставлении государственной услуги.

Иные требования, в том числе учитывающие особенности предоставления государственной услуги в многофункциональных центрах предоставления государственных и муниципальных услуг и особенности предоставления государственной услуги в электронной форме

20. Государственная услуга в многофункциональных центрах предоставления государственных и муниципальных услуг не предоставляется.

В электронном виде государственная услуга предоставляется с использованием функционала государственной информационной системы "Единый портал государственных и муниципальных услуг (функций)".

III. Состав, последовательность и сроки выполнения административных процедур (действий), требования к порядку их выполнения, в том числе особенности выполнения административных процедур (действий) в электронной форме

Исчерпывающий перечень административных процедур

21. Государственная услуга предоставляется в срок не более 30 дней с даты регистрации заявления (обращения) в ФСТ России.

1) Административные процедуры:

- прием заявления (обращения) с прилагаемыми документами от заявителя;

- передача материалов в структурное подразделение, ответственное за предоставление государственной услуги;

- проверка заявления с прилагаемыми к нему документами на предмет соответствия требованиям настоящего Регламента;

- анализ заявления (обращения) и представленных к нему обосновывающих материалов на предмет соответствия требованиям Основных положений и настоящего Регламента;

- запрос дополнительных сведений (при необходимости);

- принятие решений по включению (исключению) организаций в (из) Реестр(а), внесению изменений в Реестр;

- направление уведомления заявителям о принятых решениях по включению (исключению) организаций в (из) Реестр(а);

- опубликование информации о решениях, принятых по включению (исключению) организаций в (из) Реестр(а), внесению изменений в Реестр;

- подготовка и выдача выписок из Реестра на основании мотивированного запроса.

2) Состав документов, которые необходимы Федеральной службе по тарифам для предоставления государственной услуги в рамках межведомственного информационного взаимодействия.

Федеральная служба по тарифам для предоставления государственной услуги не осуществляет межведомственное информационное взаимодействие.

Федеральная служба по тарифам не взаимодействует с иными органами государственной власти, органами местного самоуправления и организациями, участвующими в предоставлении государственных услуг.

Порядок осуществления административных действий в электронной форме, в том числе с использованием федеральной государственной информационной системы "Единый портал государственных и муниципальных услуг (функций)"

22. Порядок осуществления административных действий в электронной форме, в том числе с использованием федеральной государственной информационной системы "Единый портал государственных и муниципальных услуг (функций)".

1) Предоставление информации заявителям и обеспечение доступа заявителей к сведениям о государственной услуге осуществляется путем размещения информации о порядке предоставление услуги на сайте федеральной государственной информационной системы "Единый портал государственных и муниципальных услуг (функций)".

2) Подача заявителем заявления и иных документов, необходимых для предоставления государственной услуги, и прием таких запросов на предоставление государственной услуги может осуществляться с использованием функционала федеральной государственной информационной системы "Единый портал государственных и муниципальных услуг (функций)" и функционала ФГИС ЕИАС ФСТ России.

3) Получение заявителем сведений о ходе рассмотрения его заявления может осуществляться путем направления электронных писем на адрес электронной почты, указанный в подпункте 3 пункта 3 настоящего Регламента.

4) Органы государственных внебюджетных фондов, иные органы государственной власти, органы местного самоуправления и организации не участвуют в предоставлении государственной услуги. Взаимодействие Федеральной службы по тарифам в процессе предоставление государственной услуги с указанными органами и организациями осуществляется в установленном законодательством Российской Федерации порядке.

5) Получение заявителем результата предоставления государственной услуги может быть осуществлено в электронной форме. По запросу заявителя, поданному в том числе и по электронной почте на адрес, указанный в подпункте 3 пункта 3 настоящего Регламента, решение Федеральной службы по тарифам направляется заявителю в отсканированной форме (в форматах .TIFF, .PDF, .JPEG).

Направление вышеуказанного решения осуществляется на адрес электронной почты, указанный в запросе заявителя, а в случае отсутствия адреса для направления решения в запросе - на адрес электронной почты, с которого поступил запрос.

Блок-схема предоставления государственной услуги

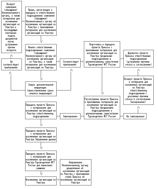
23. Блок-схема административных процедур представлена в Приложении N 16 к настоящему Регламенту.

Описание административных процедур предоставления государственной услуги

24. Описание административных процедур предоставления государственной услуги.

1) Административные процедуры по поступившему в Федеральную службу по тарифам заявлению (обращению):

- прием заявления (обращения) с прилагаемыми документами от заявителя;

- передача материалов в структурное подразделение, ответственное за предоставление государственной услуги;

- проверка заявления с прилагаемыми к нему документами на предмет соответствия требованиям настоящего Регламента.

1.1) Основанием для начала исполнения данных административных процедур является поступившее в Федеральную службу по тарифам заявление (обращение) с приложенными к нему материалами.

1.2) Прием материалов от заявителей осуществляется структурным подразделением Федеральной службы по тарифам, ответственным за прием поступающей в адрес Федеральной службы по тарифам письменной корреспонденции.

Принятые от заявителя материалы в течение 1 (одного) рабочего дня с даты их поступления передаются структурным подразделением, ответственным за прием поступающей в адрес Федеральной службы по тарифам корреспонденции, в структурное подразделение Федеральной службы по тарифам, ответственное за предоставление государственной услуги.

1.3) Проверка поступившего заявления (обращения) и приложенных к нему материалов на соответствие установленным требованиям осуществляется сотрудником структурного подразделения Федеральной службы по тарифам, назначаемым руководителем или заместителем руководителя структурного подразделения Федеральной службы по тарифам, ответственного за предоставление услуги.

2) Административные процедуры при рассмотрении заявления (обращения) о включении (исключении) организаций в (из) Реестр(а), внесении изменений в Реестр с прилагаемыми документами по существу:

- анализ заявления (обращения) и представленных к нему обосновывающих материалов на предмет соответствия требованиям Основных положений и настоящего Регламента;

- запрос дополнительных сведений (при необходимости);

- принятие решений по включению (исключению) организаций в (из) Реестр(а), внесению изменений в Реестр;

- направление уведомления заявителям о принятых решениях по включению (исключению) организаций в (из) Реестр(а);

- опубликование информации о решениях, принятых по включению (исключению) организаций в (из) Реестр(а), внесению изменений в Реестр.

2.1) Основанием для предоставления государственной услуги является заявление (обращение), поданное в ФСТ России уполномоченным органом исполнительной власти субъекта Российской Федерации, а также иными юридическими и физическими лицами:

- основанием для рассмотрения вопросов, связанных с включением (исключением) организаций в (из) Реестр(а), внесением изменений в Реестр, является соответствующее заявление (обращение) уполномоченного органа исполнительной власти субъекта Российской Федерации;

- основанием для выдачи выписки из Реестра является мотивированное заявление (обращение) организации, включенной в Реестр, а также другого заинтересованного в получении выписки лица.

2.2) Заявление (обращение) подается в письменном виде в ФСТ России. Документы, необходимые для представления в ФСТ России, вместе с заявлением (обращением) по вопросам, связанным с формированием и ведением Реестра, представлены в подпунктах 1 - 3 пункта 9 настоящего Регламента.

Документы представляются в ФСТ России в подлиннике или в форме копии, заверенной заявителем или нотариусом.

2.3) Уполномоченные органы исполнительной власти субъектов Российской Федерации предоставляют в сроки, предусмотренные Основными положениями и настоящим Регламентом, данные и сведения, необходимые для рассмотрения вопросов по формированию и ведению Реестра, а также иную необходимую информацию по запросу ФСТ России.

В случае если у организации, включенной в Реестр, произошли изменения, влекущие за собой внесение изменений в Реестр (изменение границ зоны деятельности гарантирующего поставщика, изменение наименования гарантирующего поставщика, смена организационно-правовой формы гарантирующего поставщика и т.п.), уполномоченный орган исполнительной власти субъекта Российской Федерации письменно уведомляет об этом ФСТ России в течение 10 календарных дней со дня, когда уполномоченный орган исполнительной власти субъекта Российской Федерации узнал о данном изменении, с приложением надлежащим образом заверенных копий документов, подтверждающих такие изменения.

В случае присвоения территориальной сетевой организации статуса гарантирующего поставщика в соответствии с пунктом 51 Основных положений последняя в 3-дневный срок с даты получения такого статуса также представляет в ФСТ России документы, свидетельствующие о приобретении статуса гарантирующего поставщика.

2.4) Реестр представляет собой единую информационную базу данных, содержащую в бумажной и электронной форме информацию об организациях (юридических лицах), которым в установленном Основными положениями порядке присвоен статус гарантирующего поставщика, а также о зонах и сроках их деятельности в качестве гарантирующих поставщиков.

2.5) Формирование и ведение Реестра осуществляются путем внесения в единую информационную базу данных сведений об организациях, получивших статус гарантирующего поставщика, о зонах и сроках их деятельности в качестве гарантирующего поставщика, обновления этих сведений, исключения указанных сведений из базы данных по форме, приведенной в Приложении N 12 к настоящему Регламенту.

Формирование Реестра осуществляется на основании сведений, предоставляемых уполномоченным органом исполнительной власти субъекта Российской Федерации:

об организациях, которые направили заявление об отказе от статуса гарантирующего поставщика;

об организациях, которым отказано в присвоении статуса гарантирующего поставщика с указанием причин такого отказа;

об организациях, которые лишены статуса гарантирующего поставщика (Приложение N 13 к настоящему Регламенту).

2.6) Начальник структурного подразделения ФСТ России, ответственного за предоставление государственной услуги, путем проставления письменной резолюции поручает рассмотрение заявления (обращения) начальнику отдела не позднее одного рабочего дня, следующего за днем поступления заявления (обращения) в структурное подразделение ФСТ России, ответственное за предоставление государственной услуги. В отсутствие начальника структурного подразделения ФСТ России, ответственного за предоставление государственной услуги, данное поручение дается лицом, его замещающим. В случае отсутствия начальника отдела (лица, его замещающего) данное поручение дается иному должностному лицу отдела, замещающему начальника отдела. Контроль за соблюдением сроков прохождения заявления (обращения) и передача его в отдел осуществляются должностным лицом структурного подразделения ФСТ России, ответственного за ведение делопроизводства.

Начальник отдела (лицо, его замещающее) путем проставления письменной резолюции поручает рассмотрение заявления (обращения) конкретному должностному лицу отдела.

Должностным лицом, осуществляющим рассмотрение заявления (обращения) и поступившей информации, до принятия решения проводится проверка достоверности заявленных сведений и прилагаемых документов, а также анализ представленных материалов на соответствие их требованиям, установленным Основными положениями и настоящим Регламентом. Представленные сведения и документы считаются достоверными, пока не будет доказано обратное.

2.7) В случае необходимости получения дополнительной информации и (или) соответствующего заключения, необходимой(го) для предоставления государственной услуги, отдел запрашивает ее (его) у гарантирующих поставщиков электрической энергии, уполномоченных органов исполнительной власти субъектов Российской Федерации, федеральных органов исполнительной власти, органов исполнительной власти субъектов Российской Федерации и органов местного самоуправления или иных организаций, а также у соответствующего структурного подразделения ФСТ России, уполномоченного осуществлять государственное регулирование в электроэнергетической отрасли, и структурного подразделения, осуществляющего нормативно-правовое обеспечение ФСТ России.

Запрос о предоставлении необходимой информации либо соответствующего заключения подготавливается должностным лицом отдела, осуществляющим рассмотрение заявления (обращения), визируется им и начальником отдела (лицом, его замещающим), подписывается начальником структурного подразделения ФСТ России, ответственного за предоставление государственной услуги, и (или) его заместителем. После подписания запроса он не позднее следующего рабочего дня регистрируется должностным лицом структурного подразделения ФСТ России, ответственным за ведение делопроизводства, и передается в структурное подразделение ФСТ России, ответственное за регистрацию корреспонденции ФСТ России.

При направлении такого запроса срок, указанный в подпункте 1 пункта 7 настоящего Регламента, приостанавливается и продолжает истекать с момента получения ответа на данный запрос.

В случае получения запроса от структурного подразделения ФСТ России, ответственного за предоставление государственной услуги, о предоставлении дополнительной информации соответствующее структурное подразделение ФСТ России, уполномоченное осуществлять государственное регулирование в электроэнергетической отрасли, и структурное подразделение, осуществляющее нормативно-правовое обеспечение ФСТ России, в течение 5 календарных дней, следующих за днем поступления данного запроса, предоставляет такую информацию и (или) соответствующее заключение в структурное подразделение ФСТ России, ответственное за предоставление государственной услуги.

2.8) В случае если представленные заявление (обращение) и материалы для включения (исключения) организаций в (из) Реестр(а), внесения изменений в Реестр не соответствуют требованиям, установленным Основными положениями и настоящим Регламентом (документы представлены не в полном объеме, не по установленным формам, не содержат сведений, наличие которых необходимо для принятия решения о включении (исключении) организаций в (из) Реестр(а), внесении изменений в Реестр), представленные материалы возвращаются заявителю с письменным указанием оснований, по которым они возвращаются, и делопроизводство по ним прекращается.

2.9) Возврат заявления (обращения) и материалов для включения (исключения) организаций в (из) Реестр(а), внесения изменений в Реестр не является препятствием для повторного обращения с заявлением (обращением) о включении (исключении) в (из) Реестр(а), внесении изменений в Реестр после устранения заявителем причин, послуживших основанием для их возврата.

2.10) В случае если по результатам проведенного анализа будет установлено, что представленные материалы для включения (исключения) организаций в (из) Реестр(а), внесения изменений в Реестр соответствуют требованиям, установленным Основными положениями и настоящим Регламентом, отделом подготавливается проект приказа ФСТ России о включении (исключении) организации в (из) Реестр(а), внесении изменений в Реестр, который направляется вместе с заявлением (обращением) и прилагаемыми материалами для согласования (визирования) в структурное подразделение ФСТ России, уполномоченное осуществлять государственное регулирование в электроэнергетической отрасли, а также в структурное подразделение, осуществляющее нормативно-правовое обеспечение ФСТ России, а затем уполномоченному заместителю Руководителя ФСТ России для его визирования.

Структурное подразделение ФСТ России, уполномоченное осуществлять государственное регулирование в электроэнергетической отрасли, а также структурное подразделение, осуществляющее нормативно-правовое обеспечение ФСТ России, в течение 5 календарных дней, следующих за днем поступления документов, указанных в первом абзаце настоящего пункта, осуществляют их согласование (визирование) или возвращают в структурное подразделение ФСТ России, ответственное за предоставление государственной услуги, с указанием причин отказа в согласовании (визировании).

После согласования (визирования) структурным подразделением ФСТ России, уполномоченным осуществлять государственное регулирование в электроэнергетической отрасли, а также структурным подразделением, осуществляющим нормативно-правовое обеспечение ФСТ России, и уполномоченным заместителем руководителя ФСТ России должностное лицо, осуществляющее рассмотрение заявления (обращения), передает проект приказа с обосновывающими материалами не позднее рабочего дня, следующего за днем их согласования (визирования), в структурное подразделение ФСТ России, ответственное за прием и регистрацию поступающей в ФСТ России корреспонденции, которое в установленном порядке передает их руководителю ФСТ России для вынесения решения.

2.11) Исключение организации из Реестра осуществляется одновременно с включением гарантирующего поставщика, которому были переданы обязательства по всем заключенным на момент передачи прав и обязанностей договорам энергоснабжения (договорам купли-продажи (поставки) электрической энергии), либо одновременно с изменением границ зоны деятельности гарантирующего поставщика, ранее включенного в Реестр.

Включение организации в Реестр осуществляется одновременно с исключением гарантирующего поставщика, которым были переданы обязательства по всем заключенным на момент передачи прав и обязанностей договорам энергоснабжения (договорам купли-продажи (поставки) электрической энергии) новому гарантирующему поставщику, либо одновременно с изменением границ зоны деятельности гарантирующего поставщика, ранее включенного в Реестр.

2.12) После рассмотрения заявления (обращения) и проверки заявленных сведений принимается соответствующее решение о принятии мер по рассматриваемому вопросу, связанному с формированием и ведением Реестра, либо об отказе в принятии таких мер.

Мерами, принятыми в данном случае по вопросу, связанному с формированием и ведением Реестра, являются:

- включение организации в Реестр;

- исключение организации из Реестра;

- внесение изменений в Реестр.

После принятия ФСТ России вышеуказанных мер сведения о гарантирующем поставщике вносятся в информационную базу данных.

Критерием принятия решений является соответствие представленных заявителем материалов требованиям, установленным настоящим Регламентом.

Решение об отказе, указанное в части первой настоящего пункта Регламента, подготавливается должностным лицом отдела, осуществляющим рассмотрение заявления (обращения), проверяется и визируется начальником отдела, а в случае его отсутствия - лицом, его замещающим, и подписывается начальником структурного подразделения ФСТ России, ответственного за предоставление государственной услуги. В отсутствие начальника структурного подразделения ФСТ России, ответственного за предоставление государственной услуги, решение подписывается лицом, его замещающим. После подписания решения об отказе начальником структурного подразделения ФСТ России, ответственного за предоставление государственной услуги, оно не позднее следующего рабочего дня регистрируется должностным лицом структурного подразделения ФСТ России, ответственным за ведение делопроизводства, и передается в структурное подразделение ФСТ России, ответственное за регистрацию корреспонденции ФСТ России, для его отправки.

Решение об отказе в принятии мер, указанных в настоящем пункте Регламента, должно быть мотивированным.

2.13) ФСТ России вправе провести независимую экспертную оценку обоснованности принятого решения уполномоченного органа исполнительной власти субъекта Российской Федерации в части присвоения (лишения) организации статуса гарантирующего поставщика, изменения границ зон деятельности гарантирующих поставщиков. Результаты экспертной оценки учитываются при рассмотрении заявления (обращения).

2.14) В Реестр включаются коммерческие организации (юридические лица), получившие в установленном порядке в соответствующей зоне деятельности статус гарантирующего поставщика.

Организации, включенной в Реестр, присваивается регистрационный номер, который состоит из 2 (двух) цифровых групп, разделенных между собой слешем.

Первая группа цифр соответствует коду, присвоенному субъекту Российской Федерации, а также г. Байконур, где организация, включенная в Реестр, осуществляет свою деятельность (Приложение N 15 к настоящему Регламенту).

Вторая группа цифр соответствует порядковому номеру, присвоенному организации при включении ее в Реестр по соответствующему субъекту Российской Федерации.

Регистрационный номер после исключения гарантирующего поставщика из Реестра в дальнейшем не используется.

2.15) Организация, которой в установленном законодательством Российской Федерации порядке статус гарантирующего поставщика присвоен по нескольким зонам деятельности, расположенным на территории разных субъектов Российской Федерации, вносится в Реестр по каждому субъекту Российской Федерации, и ей присваивается регистрационный номер, первая группа цифр которого соответствует коду региона, в котором такая организация осуществляет функции гарантирующего поставщика.

2.16) Гарантирующие поставщики, включенные в Реестр, ежегодно до 15 апреля текущего года направляют по почте в адрес ФСТ России анкету, приведенную в Приложении N 11 к настоящему Регламенту, иные сведения и документы с подтверждением данных, отраженных в Реестре, за отчетный год, предшествующий году направления данных. Анкета гарантирующего поставщика должна быть заверена печатью и подписью руководителя организации. Для хозяйствующих субъектов, осуществляющих деятельность менее года, представляются данные за последний отчетный период.

Уполномоченные органы исполнительной власти субъектов Российской Федерации ежегодно до 15 апреля текущего года направляют по почте в адрес ФСТ России подтверждение данных, отраженных в Реестре, за отчетный год, предшествующий году направления данных. Подтверждение данных представляется уполномоченными органами исполнительной власти субъектов Российской Федерации по форме, приведенной в Приложении N 14 к настоящему Регламенту. Форма подтверждения данных, отраженных в Реестре, должна быть заверена печатью и подписью руководителя уполномоченного органа исполнительной власти субъекта Российской Федерации.

Должностным лицом, осуществляющим рассмотрение поступившей информации, проводится анализ содержащихся в ней сведений и проверяется их соответствие данным, отраженным в Реестре.

При несоответствии данных, отраженных в Реестре, с данными, представленными гарантирующим поставщиком и уполномоченным органом исполнительной власти субъекта Российской Федерации, в том числе смена местонахождения, почтового адреса, телефонов организации, должностным лицом, осуществляющим рассмотрение заявления (обращения) и поступившей информации, вносятся соответствующие изменения в информационную базу Реестра.

2.17) Указанные в подпункте 2.16 пункта 24 настоящего Регламента изменения не приводят к процедуре внесения изменений в Реестр.

3) Административные процедуры при рассмотрении заявления (обращения) о предоставления выписки из Реестра.

3.1) Организации, включенные в Реестр, а также другие заинтересованные юридические и физические лица могут получить выписку из Реестра по форме, приведенной в Приложении N 10 к настоящему Регламенту, после письменного обращения.

3.2) Основанием для подготовки и выдачи выписки из Реестра является мотивированное заявление (обращение) организации, включенной Реестр, а также юридических и физических лиц, заинтересованных в получении выписки из Реестра, в соответствии с Приложением N 7 к настоящему Регламенту.

3.3) Заявление (обращение) о выдаче выписки из Реестра подается в письменном виде в ФСТ России.

Выписка из Реестра представляется по конкретному гарантирующему поставщику, включенному в Реестр.

Запрос на представление выписки из Реестра на всех гарантирующих поставщиков, включенных в Реестр, исполнению не подлежит, о чем лицо, направившее подобный запрос, уведомляется в течение месяца.

3.4) Выписка из Реестра подготавливается должностным лицом отдела в течение 14 рабочих дней с момента получения заявления (обращения), визируется начальником отдела и (или) лицом, его замещающим, начальником структурного подразделения ФСТ России, ответственного за предоставление государственной услуги (его заместителем), и подписывается заместителем руководителя ФСТ России.

3.5) После подписания выписки из Реестра она регистрируется в структурном подразделение ФСТ России, ответственном за регистрацию корреспонденции ФСТ России, заверяется печатью ФСТ России и направляется адресату в установленном порядке.

3.6) В случае обращения организации, включенной в Реестр, а также другого заинтересованного лица с просьбой представить информацию о нахождении той или иной организации либо нескольких организаций в Реестре данная информация предоставляется в форме письменного разъяснения, подготовленного отделом, о нахождении (ненахождении) конкретной организации в Реестре.

4) Конечный результат предоставления государственной услуги.

Конечным результатом предоставления государственной услуги по включению организации в Реестр является:

- приказ ФСТ России о включении организации в Реестр;

- уведомление о включении организации в Реестр;

- отказ во включении организации в Реестр.

Конечным результатом предоставления государственной услуги по исключению организации из Реестра является:

- приказ ФСТ России об исключении организации из Реестра;

- уведомление об исключении организации из Реестра;

- отказ в исключении организации из Реестра.

Конечным результатом предоставления государственной услуги по внесению изменений в Реестр является:

- приказ ФСТ России о внесении изменений в Реестр;

- отказ во внесении изменений в Реестр.

Конечным результатом предоставления государственной услуги по выдаче выписок из Реестра является:

- выписка из Реестра;

- отказ в предоставлении выписки из Реестра.

5) Результат административной процедуры и порядок передачи результата.

Результатом административной процедуры является приказ Федеральной службы по тарифам о включении (исключении) организаций в (из) Реестр(а), внесении изменений в Реестр, выписка из Реестра.

Передача результата в виде уведомления или письма ФСТ России с приложением копии приказа ФСТ России направляется уполномоченному органу исполнительной власти субъекта Российской Федерации в течение 10 календарных дней.

IV. Формы контроля за исполнением Регламента

Порядок осуществления текущего контроля за соблюдением и исполнением ответственными должностными лицами положений Регламента и иных нормативных правовых актов, устанавливающих требования к предоставлению государственной услуги, а также принятием ими решений

25. Текущий контроль за соблюдением ответственными должностными лицами положений настоящего Регламента осуществляется заместителем руководителя Федеральной службы по тарифам, курирующим предоставление государственной услуги и руководителем структурного подразделения Федеральной службы по тарифам, ответственного за предоставление государственной услуги.

Порядок и периодичность осуществления плановых и внеплановых проверок полноты и качества предоставления государственной услуги, в том числе порядок и формы контроля за полнотой и качеством предоставления государственной услуги

26. Порядок и периодичность осуществления плановых и внеплановых проверок полноты и качества предоставления государственной услуги, в том числе порядок и формы контроля за полнотой и качеством предоставления государственной услуги, определяется решениями руководителя Федеральной службы по тарифам.

Ответственность должностных лиц ФСТ России за решения и действия (бездействие), принимаемые (осуществляемые) ими в ходе предоставления государственной услуги

27. Должностные лица Федеральной службы по тарифам несут персональную ответственность за решения и действия (бездействие), принимаемые (осуществляемые) ими в ходе предоставления государственной услуги в порядке, установленном законодательством о государственной гражданской службе.

Положения, характеризующие требования к порядку и формам контроля за предоставлением государственной услуги, в том числе со стороны граждан, их объединений и организаций

28. Общественный контроль за соблюдением должностными лицами - сотрудниками Федеральной службы по тарифам, принимающими участие в процессе предоставления государственной услуги, положений настоящего Регламента осуществляется Общественным советом при Федеральной службе по тарифам.

Заинтересованные лица, в том числе граждане, их объединения и организации, вправе осуществлять общественный контроль за исполнением положений настоящего Регламента в рамках деятельности Общественного совета при Федеральной службе по тарифам.

V. Досудебный (внесудебный) порядок обжалования решений и действий (бездействия) органа, предоставляющего государственную услугу, а также их должностных лиц

Информация для заявителя о его праве на досудебное (внесудебное) обжалование действий (бездействия) и решений, принятых (осуществляемых) в ходе предоставления государственной услуги

29. Заявитель может обратиться с жалобой, в том числе в следующих случаях:

- нарушение срока регистрации запроса заявителя о предоставлении государственной услуги;

- нарушение срока предоставления государственной услуги;

- требование у заявителя документов, не предусмотренных нормативными правовыми актами Российской Федерации, нормативными правовыми актами субъектов Российской Федерации, муниципальными правовыми актами для предоставления государственной услуги;

- отказ в приеме документов, предоставление которых предусмотрено нормативными правовыми актами Российской Федерации, нормативными правовыми актами субъектов Российской Федерации, муниципальными правовыми актами для предоставления государственной услуги, у заявителя;

- отказ в предоставлении государственной услуги, если основания отказа не предусмотрены федеральными законами и принятыми в соответствии с ними иными нормативными правовыми актами Российской Федерации, нормативными правовыми актами субъектов Российской Федерации, муниципальными правовыми актами;

- затребование с заявителя при предоставлении государственной услуги платы, не предусмотренной нормативными правовыми актами Российской Федерации, нормативными правовыми актами субъектов Российской Федерации, муниципальными правовыми актами;

- отказ органа, предоставляющего государственную услугу, должностного лица органа, предоставляющего государственную услугу, в исправлении допущенных опечаток и ошибок в выданных в результате предоставления государственной услуги документах либо нарушение установленного срока таких исправлений.

Предмет досудебного (внесудебного) обжалования

30. Предметом обжалования является нарушение должностными лицами Федеральной службы по тарифам положений настоящего Регламента.

Основания для начала процедуры досудебного (внесудебного) обжалования

31. Основанием для начала процедуры досудебного (внесудебного) обжалования является получение Федеральной службой по тарифам письменной жалобы на бумажном носителе, а также в электронной форме.

Жалоба должна содержать:

- наименование органа, предоставляющего государственную услугу, должностного лица органа, предоставляющего государственную услугу, либо государственного служащего, решения и действия (бездействие) которых обжалуются;

- фамилию, имя, отчество (последнее - при наличии), сведения о месте жительства заявителя - физического лица либо наименование, сведения о месте нахождения заявителя - юридического лица, а также номер (номера) контактного телефона, адрес (адреса) электронной почты (при наличии) и почтовый адрес, по которым должен быть направлен ответ заявителю;

- сведения об обжалуемых решениях и действиях (бездействии) органа, предоставляющего государственную услугу, должностного лица органа, предоставляющего государственную услугу, либо государственного служащего;

- доводы, на основании которых заявитель не согласен с решением и действием (бездействием) органа, предоставляющего государственную услугу, должностного лица органа, предоставляющего государственную услугу, либо государственного служащего.

Заявителем могут быть представлены документы (при наличии), подтверждающие доводы заявителя, либо их копии.

Сроки рассмотрения жалобы (претензии)

32. Жалоба, поступившая в Федеральную службу по тарифам, подлежит рассмотрению должностным лицом, наделенным полномочиями по рассмотрению жалоб, в течение пятнадцати рабочих дней со дня ее регистрации, а в случае обжалования отказа Федеральной службы по тарифам, а также должностного лица Федеральной службы по тарифам в приеме документов у заявителя либо в исправлении допущенных опечаток и ошибок или в случае обжалования нарушения установленного срока таких исправлений - в течение пяти рабочих дней со дня ее регистрации.

Правительство Российской Федерации вправе установить случаи, при которых срок рассмотрения жалобы может быть сокращен.

Результат досудебного (внесудебного) обжалования

33. Результат досудебного (внесудебного) обжалования.

1) По результатам рассмотрения жалобы ФСТ России принимает одно из следующих решений:

- удовлетворяет жалобу, в том числе в форме отмены принятого решения, исправления допущенных ФСТ России опечаток и ошибок в выданных в результате предоставления государственной услуги документах, возврата заявителю денежных средств, взимание которых не предусмотрено нормативными правовыми актами Российской Федерации, нормативными правовыми актами субъектов Российской Федерации, муниципальными правовыми актами, а также в иных формах;

- отказывает в удовлетворении жалобы.

2) Не позднее дня, следующего за днем принятия решения, указанного в подпункте 1 пункта 33 настоящего Регламента, заявителю в письменной форме и по желанию заявителя в электронной форме направляется мотивированный ответ о результатах рассмотрения жалобы.

3) В случае установления в ходе или по результатам рассмотрения жалобы признаков состава административного правонарушения или преступления должностное лицо, наделенное полномочиями по рассмотрению жалоб в соответствии с пунктом 31 настоящего Регламента, незамедлительно направляет имеющиеся материалы в органы прокуратуры.

Приложение N 1
к Административному регламенту
предоставления ФСТ России государственной
услуги по формированию и ведению Федерального
информационного реестра гарантирующих
поставщиков и зон их деятельности,
утвержденному приказом ФСТ России
от 12 декабря 2011 г. N 796-э

На бланке Уполномоченного органа 
исполнительной власти субъекта 
Российской Федерации 
 
                       ЗАЯВЛЕНИЕ (ОБРАЩЕНИЕ)
       о включении в Федеральный информационный реестр
       гарантирующих поставщиков и зон их деятельности
 
Прошу включить ___________________________________________________
                     (наименование гарантирующего поставщика) 
на территории ____________________________________________________
                (наименование субъекта(ов) Российской Федерации, 
                             границы зоны деятельности) 
в  Федеральный  информационный  реестр гарантирующих поставщиков и
зон их деятельности.
Приложения: ______________________________________________________
                          (краткое изложение приложений) 
________________________ __________ _____________________________
(должность руководителя)  (подпись)            (Ф.И.О.) 
 
М.П. 
 
"__" _________ 20__ г. 
 
 
 

Приложение N 2
к Административному регламенту
предоставления ФСТ России государственной
услуги по формированию и ведению Федерального
информационного реестра гарантирующих
поставщиков и зон их деятельности,
утвержденному приказом ФСТ России
от 12 декабря 2011 г. N 796-э

ПЕРЕЧЕНЬ ДОКУМЕНТОВ, ПРЕДОСТАВЛЯЕМЫХ ПО ВОПРОСУ ВКЛЮЧЕНИЯ ОРГАНИЗАЦИИ В РЕЕСТР

- анкета гарантирующего поставщика в соответствии с Приложением N 11 к настоящему Регламенту;

- надлежащим образом заверенная копия решения уполномоченного органа исполнительной власти субъекта Российской Федерации о согласовании границ зон деятельности гарантирующих поставщиков;

- надлежащим образом заверенная копия акта взаиморасчетов с организациями - продавцами электроэнергии и сетевыми организациями, либо соглашение об урегулировании задолженности, либо решение суда - в отношении организаций, которым статус присваивается в соответствии с пп. "б", "в" п. 36 Основных положений;

- надлежащим образом заверенная копия соглашения энергосбытовой организации с единым хозяйствующим субъектом на железнодорожном транспорте в случае, если статус гарантирующего поставщика присвоен в соответствии с пп. "в" п. 36 Основных положений, документы о приемке потребителей на дату вступления в силу Основных положений;

- документы, подтверждающие отсутствие связи с Единой энергетической системой России или функционирование в пределах технологически изолированных территориальных электроэнергетических систем в случае, если статус гарантирующего поставщика присвоен в соответствии с пп. "г" п. 36 Основных положений;

- копия свидетельства о включении организации в реестр субъектов оптового рынка;

- нотариально заверенная копия устава юридического лица;

- надлежащим образом заверенная копия свидетельства о государственной регистрации юридического лица;

- надлежащим образом заверенная копия свидетельства о постановке на учет в налоговом органе юридического лица, образованного в соответствии с законодательством Российской Федерации, по месту нахождения на территории Российской Федерации;

- надлежащим образом заверенная копия выписки из Единого государственного реестра юридических лиц;

- надлежащим образом заверенная копия соглашения органов исполнительной власти соответствующих субъектов Российской Федерации о регулировании деятельности гарантирующего поставщика в случае расположения зоны деятельности гарантирующего поставщика на территории более одного субъекта Российской Федерации;

- иные документы, подтверждающие присвоение организации статуса гарантирующего поставщика (согласование границ зоны деятельности).

Заявителем может быть представлена иная дополнительная информация, необходимая для более быстрого и полного рассмотрения вопроса о включении организации в Реестр.

Приложение N 3
к Административному регламенту
предоставления ФСТ России государственной
услуги по формированию и ведению Федерального
информационного реестра гарантирующих
поставщиков и зон их деятельности,
утвержденному приказом ФСТ России
от 12 декабря 2011 г. N 796-э

На бланке Уполномоченного органа 
исполнительной власти субъекта 
Российской Федерации 
 
                        ЗАЯВЛЕНИЕ (ОБРАЩЕНИЕ)
      об исключении из Федерального информационного реестра
         гарантирующих поставщиков и зон их деятельности 
 
Прошу исключить __________________________________________________
                     (наименование гарантирующего поставщика) 
из  Федерального информационного реестра гарантирующих поставщиков
и зон их деятельности в связи с 
__________________________________________________________________
        (причина лишения статуса гарантирующего поставщика)
Приложения: ______________________________________________________
                        (краткое изложение приложений) 
________________________ ___________ _____________________________
(должность руководителя)  (подпись)            (Ф.И.О.) 
 
М.П. 
 
"__" _________ 20__ г. 
 
 
 

Приложение N 4
к Административному регламенту
предоставления ФСТ России государственной
услуги по формированию и ведению Федерального
информационного реестра гарантирующих
поставщиков и зон их деятельности,
утвержденному приказом ФСТ России
от 12 декабря 2011 г. N 796-э

ПЕРЕЧЕНЬ ДОКУМЕНТОВ, ПРЕДОСТАВЛЯЕМЫХ ПО ВОПРОСУ ИСКЛЮЧЕНИЯ ОРГАНИЗАЦИИ ИЗ РЕЕСТРА

- надлежащим образом заверенная копия решения уполномоченного органа исполнительной власти субъекта Российской Федерации о внесении изменений в решение в части лишения статуса гарантирующего поставщика (отмены согласования границ зоны деятельности);

- надлежащим образом заверенные копии договоров о передаче прав и обязанностей гарантирующего поставщика другой организации на период до смены гарантирующего поставщика по результатам конкурса в случае, если организация лишается статуса гарантирующего поставщика на основании п. 42 Основных положений;

- реестр потребителей, передаваемых гарантирующему поставщику, в случае, если организация лишается статуса гарантирующего поставщика на основании п. 42 Основных положений;

- надлежащим образом заверенные копии документов, подтверждающих принятие решения о реорганизации организации, в случае, если организация лишается статуса гарантирующего поставщика на основании п. 42 Основных положений;

- документы, подтверждающие принятие решения о смене собственника генерирующих объектов и объектов электросетевого хозяйства в случае, если организация лишается статуса гарантирующего поставщика на основании пп. "г" п. 36 Основных положений;

- надлежащим образом заверенная копия договора о передаче объектов электросетевого хозяйства или генерирующих объектов в случае, если организация лишается статуса гарантирующего поставщика на основании пп. "г" п. 36 Основных положений;

- надлежащим образом заверенная копия акта приема-передачи генерирующих объектов и объектов электросетевого хозяйства, технологически не связанных с Единой энергетической системой России, в случае, если организация лишается статуса гарантирующего поставщика на основании пп. "г" п. 36 Основных положений;

- надлежащим образом заверенные копии актов взаиморасчетов с организациями - продавцами электроэнергии и сетевыми организациями;

- надлежащим образом заверенная копия вступившего в законную силу решения суда, подтверждающая неурегулированную задолженность гарантирующего поставщика перед организациями, осуществляющими поставку электрической энергии или оказание услуг по передаче электрической энергии за 2 и более расчетных периода, в случае если организация лишается статуса гарантирующего поставщика на основании п. 40 Основных положений;

- иные документы, подтверждающие лишение организации статуса гарантирующего поставщика (отмены согласования границ зоны деятельности).

Заявителем может быть представлена иная дополнительная информация, необходимая для более быстрого и полного рассмотрения вопроса об исключении организации из Реестра.

Приложение N 5
к Административному регламенту
предоставления ФСТ России государственной
услуги по формированию и ведению Федерального
информационного реестра гарантирующих
поставщиков и зон их деятельности,
утвержденному приказом ФСТ России
от 12 декабря 2011 г. N 796-э

На бланке Уполномоченного органа 
исполнительной власти субъекта 
Российской Федерации 
 
                         ЗАЯВЛЕНИЕ (ОБРАЩЕНИЕ)
     о внесении изменений в Федеральный информационный реестр
          гарантирующих поставщиков и зон их деятельности 
 
Прошу   внести   изменения   в   Федеральный информационный реестр
гарантирующих   поставщиков   и   зон   их  деятельности в связи с
__________________________________________________________________
(указать    причину:    изменение    границ    зоны   деятельности
гарантирующего поставщика, наименования организации и пр.)
 
Приложения: ______________________________________________________
                         (краткое изложение приложений) 
________________________ _________ _______________________________
(должность руководителя) (подпись)             (Ф.И.О.) 
 
М.П. 
 
"__" _________ 20__ г. 
 
 
 

Приложение N 6
к Административному регламенту
предоставления ФСТ России государственной
услуги по формированию и ведению Федерального
информационного реестра гарантирующих
поставщиков и зон их деятельности,
утвержденному приказом ФСТ России
от 12 декабря 2011 г. N 796-э

ПЕРЕЧЕНЬ ДОКУМЕНТОВ, ПРЕДОСТАВЛЯЕМЫХ ПО ВОПРОСУ ВНЕСЕНИЯ ИЗМЕНЕНИЙ В РЕЕСТР

- надлежащим образом заверенная копия решения уполномоченного органа исполнительной власти субъекта Российской Федерации о внесении изменений в решение в части изменения границ зоны деятельности гарантирующего поставщика или наименования (организационно-правовой формы) гарантирующего поставщика (если в случаях, предусмотренных Основными положениями, окончательное решение об изменении (объединении или разделении) границ смежных зон деятельности гарантирующих поставщиков принимается ФСТ России, то уполномоченным органом исполнительной власти субъекта Российской Федерации представляется проект решения);

- письменное согласие гарантирующих поставщиков в случае изменения их границ зон деятельности;

- надлежащим образом заверенные копии документов, на основании которых было осуществлено преобразование гарантирующего поставщика (либо принято решение о переименовании, смене организационно-правовой формы, смене территориальной сетевой организации);

- анкета гарантирующего поставщика в соответствии с Приложением N 11 к настоящему Регламенту;

- надлежащим образом заверенная копия свидетельства о государственной регистрации юридического лица;

- надлежащим образом заверенная копия свидетельства о постановке на учет в налоговом органе юридического лица, образованного в соответствии с законодательством Российской Федерации, по месту нахождения на территории Российской Федерации;

- надлежащим образом заверенная копия выписки из Единого государственного реестра юридических лиц;

- нотариально заверенная копия устава юридического лица (с изменениями);

- иные документы, подтверждающие произошедшие изменения.

Заявителем может быть представлена иная дополнительная информация, необходимая для более быстрого и полного рассмотрения вопроса о внесении изменений в Реестр.

Приложение N 7
к Административному регламенту
предоставления ФСТ России государственной
услуги по формированию и ведению Федерального
информационного реестра гарантирующих
поставщиков и зон их деятельности,
утвержденному приказом ФСТ России
от 12 декабря 2011 г. N 796-э

На бланке организации 
 
                      ЗАЯВЛЕНИЕ (ОБРАЩЕНИЕ)
     о предоставлении выписки из Федерального информационного
      реестра гарантирующих поставщиков и зон их деятельности
 
Прошу предоставить выписку из Федерального информационного реестра
гарантирующих поставщиков и зон их деятельности на _______________
__________________________________________________________________
                     (наименование организации) 
__________________________________________________________________
                   (местонахождение организации) 
для ______________________________________________________________
                      (цель получения выписки) 
________________________ _________ _______________________________
(должность руководителя) (подпись)            (Ф.И.О.) 
М.П. 
 
"__" _________ 20__ г. 
 
 
 

Приложение N 8
к Административному регламенту
предоставления ФСТ России государственной
услуги по формированию и ведению Федерального
информационного реестра гарантирующих
поставщиков и зон их деятельности,
утвержденному приказом ФСТ России
от 12 декабря 2011 г. N 796-э

На бланке ФСТ России
 
                           УВЕДОМЛЕНИЕ
          о включении в Федеральный информационный реестр
          гарантирующих поставщиков и зон их деятельности
 
Настоящим Федеральная служба по тарифам уведомляет, что 
__________________________________________________________________
                     (наименование организации) 
включена  приказом  ФСТ  России от "__" ________________ N _____ в
Федеральный  информационный реестр гарантирующих поставщиков и зон
их деятельности на территории 
__________________________________________________________________
         (наименование субъекта(ов) Российской Федерации) 
под регистрационным номером _____________________________ 
 
Приложение. Копия приказа ФСТ России на ____ л. в ____ экз. 
_________ _____________________
(подпись)      (Ф.И.О.) 
 
 
 

Приложение N 9
к Административному регламенту
предоставления ФСТ России государственной
услуги по формированию и ведению Федерального
информационного реестра гарантирующих
поставщиков и зон их деятельности,
утвержденному приказом ФСТ России
от 12 декабря 2011 г. N 796-э

На бланке ФСТ России
 
                            УВЕДОМЛЕНИЕ
      об исключении из Федерального информационного реестра
         гарантирующих поставщиков и зон их деятельности 
 
Настоящим Федеральная служба по тарифам уведомляет, что 
__________________________________________________________________
                   (наименование организации) 
исключена  приказом  ФСТ  России  от "__" ____________ N ______ из
Федерального  информационного  реестра гарантирующих поставщиков и
зон их деятельности.
 
Приложение. Копия приказа ФСТ России на ____ л. в ____ экз. 
 
___________ _____________________
 (подпись)        (Ф.И.О.) 
 
 
 

Приложение N 10
к Административному регламенту
предоставления ФСТ России государственной
услуги по формированию и ведению Федерального
информационного реестра гарантирующих
поставщиков и зон их деятельности,
утвержденному приказом ФСТ России
от 12 декабря 2011 г. N 796-э

На бланке ФСТ России 
 
                 ВЫПИСКА <*> N ___________________
      из Федерального информационного реестра гарантирующих
                 поставщиков и зон их деятельности 
 
1. Выписка составлена по состоянию на ____________________________
                                                (дата) 
2. Наименование юридического лица ________________________________
                                 (полное наименование организации)
3. Юридический адрес _____________________________________________
4. Регистрационный номер в Реестре _______________________________
5. Уведомление ___________________________________________________
                   (дата и номер уведомления о включении в Реестр)
6. Решение о включении в Реестр __________________________________
7.  Решение  об  исключении из Реестра (в соответствующих случаях)
_______________
8. Границы зоны деятельности гарантирующего поставщика ___________
__________________________________________________________________
__________________________________________________________________
9. Срок деятельности в качестве гарантирующего поставщика ________
__________________________________________________________________
 
___________ _____________________
 (подпись)         (Ф.И.О.) 
 
М.П. 
_____________________
<*>  Выписка  является  единственным документом, подтверждающим на
указанную  дату  наличие  регистрации  гарантирующего поставщика в
Реестре.
 
 
 

Приложение N 11
к Административному регламенту
предоставления ФСТ России государственной
услуги по формированию и ведению Федерального
информационного реестра гарантирующих
поставщиков и зон их деятельности,
утвержденному приказом ФСТ России
от 12 декабря 2011 г. N 796-э

На бланке организации 
 
                           АНКЕТА <*>
 
1. Полное наименование организации; 
2. Юридический адрес, фактический адрес, почтовый адрес; 
3. Данные о государственной регистрации - ОГРН, ИНН; 
4.  Фамилия,  имя,  отчество  руководителя,  телефон,  факс, адрес
электронной почты;
5.   Сведения   о   границах   зоны   деятельности  гарантирующего
поставщика;
6. Сведения о сроках деятельности гарантирующего поставщика; 
7.   Перечень   видов   деятельности, осуществляемых гарантирующим
поставщиком  (купля-продажа  (поставка) электрической энергии либо
купля-продажа (поставка) электрической энергии и оказание услуг по
передаче электрической энергии);
8.  Годовой  объем  электрической  энергии,  покупаемой на оптовом
рынке;
9.  Величина  объема  поставки электрической энергии для снабжения
граждан-потребителей   и   (или)   финансируемых   за счет средств
бюджетов   различных   уровней   потребителей,   энергопринимающие
устройства которых присоединены к принадлежащим таким организациям
на   праве   собственности   или   на   ином   законном  основании
электрическим сетям;
9.1.  в  том  числе  с  выделением  объема  поставки электрической
энергии для снабжения граждан-потребителей.
 
Руководитель организации _____________ ______________________ 
                            (подпись)          (Ф.И.О.) 
 
М.П. 
______________________
<*> Анкета высылается в адрес ФСТ России. 
 
 
 

Приложение N 12
к Административному регламенту
предоставления ФСТ России государственной
услуги по формированию и ведению Федерального
информационного реестра гарантирующих
поставщиков и зон их деятельности,
утвержденному приказом ФСТ России
от 12 декабря 2011 г. N 796-э

ФЕДЕРАЛЬНЫЙ ИНФОРМАЦИОННЫЙ РЕЕСТР ГАРАНТИРУЮЩИХ ПОСТАВЩИКОВ И ЗОН ИХ ДЕЯТЕЛЬНОСТИ (ФОРМА)

Перечень организаций, получивших статус гарантирующего поставщика на территории соответствующего субъекта Российской Федерации, с указанием зон их деятельности

Регистрационный номер Полное наименование организации Юридический, фактический, почтовый адрес, данные о государственной регистрации - ОГРН, ИНН, Ф.И.О. руководителя организации, телефон, факс, адрес электронной почты Реквизиты заявления о приобретении (присвоении) статуса гарантирующего поставщика Реквизиты решения о включении организации в реестр субъектов оптового рынка Сведения о включении в сводный прогнозный баланс в текущем году Основание присвоения статуса гарантирующего поставщика Наименование и реквизиты акта Уполномоченного органа исполнительной власти субъекта Российской Федерации о присвоении статуса гарантирующего поставщика и согласовании зоны его деятельности Границы зоны деятельности гарантирующего поставщика, реквизиты соглашения органов исполнительной власти соответствующих субъектов в случае расположения зоны деятельности гарантирующего поставщика на территории более одного субъекта Российской Федерации Сроки деятельности гарантирующего поставщика Осуществляемые виды деятельности (купля-продажа электрической энергии либо купля-продажа электрической энергии и оказание услуг по передаче электрической энергии) Годовой объем электрической энергии, покупаемой на оптовом рынке Величина объема поставки электрической энергии для снабжения граждан-потребителей и (или) финансируемых за счет средств бюджетов различных уровней потребителей, энергопринимающие устройства которых присоединены к принадлежащим таким организациям на праве собственности или на ином законном основании электрическим сетям В т.ч. объем поставки электрической энергии для снабжения граждан-потребителей Реквизиты приказа ФСТ России о включении организации в Федеральный информационный реестр гарантирующих поставщиков и зон их деятельности (дата, номер)
1 2 3 4 5 6 7 8 9 10 11 12 13 14 15

Приложение N 13
к Административному регламенту
предоставления ФСТ России государственной
услуги по формированию и ведению Федерального
информационного реестра гарантирующих
поставщиков и зон их деятельности,
утвержденному приказом ФСТ России
от 12 декабря 2011 г. N 796-э

Таблица I. Перечень организаций, которые направили заявление об отказе от статуса гарантирующего поставщика

N п/п Полное наименование организации Местонахождение юридического лица, Ф.И.О. руководителя, телефон, факс, электронная почта Реквизиты заявления об отказе от статуса гарантирующего поставщика Дата осуществления записи
1 2 3 4 5

Таблица II. Перечень организаций, которым отказано в присвоении статуса гарантирующего поставщика, с указанием причин такого отказа

N п/п Полное наименование организации Местонахождение юридического лица, Ф.И.О. руководителя, телефон, факс, электронная почта Реквизиты заявления о приобретении (присвоении) статуса гарантирующего поставщика Реквизиты решения о включении организации в реестр субъектов оптового рынка Сведения о включении (невключении) в сводный прогнозный баланс в текущем году Наименование и реквизиты акта Уполномоченного органа исполнительной власти субъекта Российской Федерации об отказе в присвоении статуса гарантирующего поставщика Причины отказа в присвоении статуса гарантирующего поставщика и несогласовании зоны его деятельности Осуществляемые виды деятельности (купля-продажа электрической энергии либо купля-продажа электрической энергии и оказание услуг по передаче электрической энергии) Дата осуществления записи
1 2 3 4 5 6 7 8 9 10

Таблица III. Перечень организаций, которые лишены статуса гарантирующего поставщика

Регистрационный номер Полное наименование организации Местонахождение юридического лица, Ф.И.О. руководителя, телефон, факс, электронная почта Реквизиты заявления о приобретении (присвоении) статуса гарантирующего поставщика Реквизиты решения о включении организации в реестр субъектов оптового рынка Сведения о включении (невключении) в сводный прогнозный баланс в текущем году Наименование и реквизиты акта Уполномоченного органа исполнительной власти субъекта Российской Федерации о присвоении статуса гарантирующего поставщика и согласовании зоны его деятельности Границы зоны деятельности гарантирующего поставщика, реквизиты соглашения органов исполнительной власти соответствующих субъектов в случае расположения зоны деятельности гарантирующего поставщика на территории более одного субъекта Российской Федерации Осуществляемые виды деятельности (купля-продажа электрической энергии либо купля-продажа электрической энергии и оказание услуг по передаче электрической энергии) Годовой объем электрической энергии, покупаемой на оптовом рынке Объем поставки электрической энергии для снабжения граждан-потребителей и (или) финансируемых за счет средств бюджетов различных уровней потребителей либо реквизиты соглашения энергосбытовой организации с единым хозяйствующим субъектом на железнодорожном транспорте Основания лишения организации статуса гарантирующего поставщика Дата осуществления записи
1 2 3 4 5 6 7 8 9 10 11 12 13

Приложение N 14
к Административному регламенту
предоставления ФСТ России государственной
услуги по формированию и ведению Федерального
информационного реестра гарантирующих
поставщиков и зон их деятельности,
утвержденному приказом ФСТ России
от 12 декабря 2011 г. N 796-э

ФОРМА ПОДТВЕРЖДЕНИЯ ДАННЫХ <*> УПОЛНОМОЧЕННЫМ ОРГАНОМ ИСПОЛНИТЕЛЬНОЙ ВЛАСТИ СУБЪЕКТОВ РОССИЙСКОЙ ФЕДЕРАЦИИ

Регистрационный номер Полное наименование организации Юридический, фактический, почтовый адрес, данные о государственной регистрации - ОГРН, ИНН, Ф.И.О. руководителя организации, телефон, факс, адрес электронной почты Границы зоны деятельности гарантирующего поставщика Сроки деятельности гарантирующего поставщика Осуществляемые виды деятельности (купля-продажа электрической энергии либо купля-продажа электрической энергии и оказание услуг по передаче электрической энергии) Годовой объем электрической энергии, покупаемой на оптовом рынке Величина объема поставки электрической энергии для снабжения граждан-потребителей и (или) финансируемых за счет средств бюджетов различных уровней потребителей, энергопринимающие устройства которых присоединены к принадлежащим таким организациям на праве собственности или на ином законном основании электрическим сетям В т.ч. величина объема поставки электрической энергии для снабжения граждан-потребителей
1 2 3 4 5 6 7 8 9
Руководитель Уполномоченного органа      
исполнительной власти субъекта      
Российской Федерации ___________   __________________
  (подпись)   (Ф.И.О.)

М.П.

<*> Форма высылается в адрес ФСТ России.

Приложение 15
к Административному регламенту
предоставления ФСТ России государственной
услуги по формированию и ведению Федерального
информационного реестра гарантирующих
поставщиков и зон их деятельности,
утвержденному приказом ФСТ России
от 12 декабря 2011 г. N 796-э

КОДЫ РЕГИОНОВ

Код п/п Наименование региона
01 Республика Адыгея (Адыгея)
02 Республика Алтай
03 Республика Башкортостан
04 Республика Бурятия
05 Республика Дагестан
06 Республика Ингушетия
07 Кабардино-Балкарская Республика
08 Республика Калмыкия
09 Карачаево-Черкесская Республика
10 Республика Карелия
11 Республика Коми
12 Республика Марий Эл
13 Республика Мордовия
14 Республика Саха (Якутия)
15 Республика Северная Осетия - Алания
16 Республика Татарстан (Татарстан)
17 Республика Тыва
18 Удмуртская Республика
19 Республика Хакасия
20 Чеченская Республика
21 Чувашская Республика - Чувашия
22 Алтайский край
23 Краснодарский край
24 Красноярский край
25 Приморский край
26 Ставропольский край
27 Хабаровский край
28 Амурская область
29 Архангельская область
30 Астраханская область
31 Белгородская область
32 Брянская область
33 Владимирская область
34 Волгоградская область
35 Вологодская область
36 Воронежская область
37 Ивановская область
38 Иркутская область
39 Калининградская область
40 Калужская область
41 Камчатский край
42 Кемеровская область
43 Кировская область
44 Костромская область
45 Курганская область
46 Курская область
47 Ленинградская область
48 Липецкая область
49 Магаданская область
50 Московская область
51 Мурманская область
52 Нижегородская область
53 Новгородская область
54 Новосибирская область
55 Омская область
56 Оренбургская область
57 Орловская область
58 Пензенская область
59 Пермский край
60 Псковская область
61 Ростовская область
62 Рязанская область
63 Самарская область
64 Саратовская область
65 Сахалинская область
66 Свердловская область
67 Смоленская область
68 Тамбовская область
69 Тверская область
70 Томская область
71 Тульская область
72 Тюменская область
73 Ульяновская область
74 Челябинская область
75 Забайкальский край
76 Ярославская область
77 г. Москва
78 г. Санкт-Петербург
79 Еврейская автономная область
83 Ненецкий автономный округ
86 Ханты-Мансийский автономный округ - Югра
87 Чукотский автономный округ
89 Ямало-Ненецкий автономный округ
90 г. Байконур

Приложение N 16
к Административному регламенту
предоставления ФСТ России государственной
услуги по формированию и ведению Федерального
информационного реестра гарантирующих
поставщиков и зон их деятельности,
утвержденному приказом ФСТ России
от 12 декабря 2011 г. N 796-э

БЛОК-СХЕМА АДМИНИСТРАТИВНЫХ ПРОЦЕДУР

Блок-схема включения организаций в федеральный информационный реестр гарантирующих поставщиков и зон их деятельности

Блок-схема внесения изменений в федеральный информационный реестр гарантирующих поставщиков и зон их деятельности

Блок-схема исключения организаций из федерального информационного реестра гарантирующих поставщиков и зон их деятельности

Блок-схема предоставления выписки из федерального информационного реестра гарантирующих поставщиков и зон их деятельности

Прием, регистрация и передача в ответственное подразделение обращения организаций, а также других заинтересованных юридических и физических лиц о выдаче выписки из Реестра  
       
  \/  
  Подготовка выписки из Реестра ответственным отделом ответственного подразделения  
       
  \/  
  Визирование выписки из Реестра начальником ответственного отдела, начальником ответственного подразделения  
       
  \/  
  Подписание выписки из Реестра заместителем Руководителя ФСТ России  
       
  \/  
  Регистрация выписки из Реестра в Управлении делами (печать, исходящий номер) и направление выписки из Реестра адресату в установленном порядке