МУ 2.1.10.3014-12. Состояние здоровья населения в связи с состоянием окружающей среды и условиями проживания населения. Оценка радиационного риска у населения за счет длительного равномерного техногенного облучения в малых дозах

(утв. Главным государственным санитарным врачом РФ 18.04.2012)
Редакция от 18.04.2012 — Действует с 18.04.2012

Данный документ не поддерживается в сервисе Норматив


Утверждаю
Руководитель Федеральной службы
по надзору в сфере защиты прав
потребителей и благополучия человека,
Главный государственный
санитарный врач
Российской Федерации
Г.Г.ОНИЩЕНКО
18 апреля 2012 г.

Дата введения: с момента утверждения

2.1.10. СОСТОЯНИЕ ЗДОРОВЬЯ НАСЕЛЕНИЯ В СВЯЗИ С СОСТОЯНИЕМ ОКРУЖАЮЩЕЙ СРЕДЫ И УСЛОВИЯМИ ПРОЖИВАНИЯ НАСЕЛЕНИЯ

ОЦЕНКА РАДИАЦИОННОГО РИСКА У НАСЕЛЕНИЯ ЗА СЧЕТ ДЛИТЕЛЬНОГО РАВНОМЕРНОГО ТЕХНОГЕННОГО ОБЛУЧЕНИЯ В МАЛЫХ ДОЗАХ

МЕТОДИЧЕСКИЕ УКАЗАНИЯ
МУ 2.1.10.3014-12

1. Разработаны Федеральным бюджетным учреждением науки "Санкт-Петербургский научно-исследовательский институт радиационной гигиены имени профессора П.В. Рамзаева" (д.б.н. В.С. Репин, д.м.н. И.А. Зыкова, д.м.н. М.С. Николаевич, к.м.н. Т.М. Королева, Л.В. Репин, А.М. Библин); Федеральным государственным бюджетным учреждением "Медицинский радиологический научный центр" Министерства здравоохранения и социального развития (д.т.н. В.К. Иванов, д.м.н. А.Ф. Цыб, д.т.н. О.К. Власов, к.т.н. А.И. Горский, к.т.н. М.А. Максютов, к.б.н. В.В. Кащеев, А.Н. Меняйло, С.Ю. Чекин).

2. Рекомендованы к утверждению Комиссией по государственному санитарно-эпидемиологическому нормированию при Федеральной службе по надзору в сфере защиты прав потребителей и благополучия человека (протокол от 22 декабря 2011 г. N 2).

3. Утверждены Руководителем Федеральной службы по надзору в сфере защиты прав потребителей и благополучия человека, Главным государственным санитарным врачом Российской Федерации Г.Г. Онищенко 18 апреля 2012 г.

4. Введены в действие с момента утверждения.

5. Введены впервые.

I. Область применения

1.1. Настоящие методические указания (далее - МУ) устанавливают процедуру оценки популяционного избыточного пожизненного риска онкологической заболеваемости, связанной с длительным равномерным облучением тела в малых дозах от техногенных источников ионизирующих излучений (ИИИ) <*> с постоянной или изменяющейся во времени средней годовой дозой облучения населения, проживающего на территориях с повышенным вследствие аварии на Чернобыльской АЭС уровнем радиоактивного загрязнения.

<*> Далее по тексту, если прямо не сказано обратное, под словом "облучение" всегда подразумевается длительное равномерное облучение всего тела в малых дозах от техногенных ИИИ.

1.2. Количественные показатели пожизненного популяционного избыточного радиационного риска онкологической заболеваемости на уровне отдельного населенного пункта <*>, района или субъекта <**> Российской Федерации используются в системе социально-гигиенического мониторинга (далее - СГМ) для сравнительной оценки рисков и выявления причин повышенной заболеваемости злокачественными новообразованиями (далее - ЗНО) при одновременном воздействии на население различных вредных факторов среды обитания.

<*> Для оценки популяционного избыточного пожизненного риска на уровне населенного пункта численность населения должна быть не менее 1000 человек.

<**> При оценке риска на уровне района или субъекта РФ учитываются все населенные пункты, в которых проживает население, включая и населенные пункты с численностью менее 1000 человек.

1.3. МУ не включают оценку индивидуальных радиационных рисков и оценку радиационных рисков для следующих ситуаций облучения:

- облучение пациентов, персонала и населения при использовании ИИИ в медицине с целью диагностики и лечения;

- облучение, связанное с воздействием природных ИИИ;

- облучение персонала, состоящего на индивидуальном дозиметрическом контроле;

- облучение в больших дозах и/или с большой мощностью дозы;

- неравномерное облучение, связанное с поступлением в организм радионуклидов, неравномерно распределяющихся по телу (изотопы йода и др.).

1.4. МУ предназначены для организаций и специалистов, участвующих в анализе данных СГМ, характеризующих влияние радиационного воздействия на здоровье населения.

II. Общие положения

2.1. Для обеспечения единства подходов в оценке влияния неблагоприятных факторов внешней среды в системе СГМ коэффициенты радиационного риска оцениваются как вероятность возникновения ЗНО <*>, связанных с воздействием ионизирующего излучения (далее - ИИ).

<*> Вклад генетических наследственных эффектов в суммарный риск от воздействия малых доз ионизирующего излучения оценивается как незначительный; в связи с этим оценка радиационного риска по критерию "генетические последствия у потомства" в данном документе не производится.

2.2. Целью настоящих МУ является установление единой методики оценки риска возникновения ЗНО у населения для различных сценариев равномерного <*> техногенного облучения в малых дозах в течение различных периодов времени.

<*> Под равномерным облучением тела подразумевается внешнее и внутреннее облучение, при котором органы и ткани получают примерно равные поглощенные дозы, например, при проживании на территории, подвергшейся радиоактивному загрязнению в результате аварии на ЧАЭС.

2.3. Количественной мерой воздействия радиационного фактора на человека в данных МУ является средняя годовая эффективная доза <*> (СГЭД) внешнего и внутреннего облучения жителей за счет 137Cs, содержащегося в почве и в пищевых продуктах. Доза, обусловленная природным (фоновым) облучением, не учитывается.

<*> Использование величины эффективной дозы при оценке рисков в общем случае недопустимо, однако в ситуации равномерного техногенного облучения отличия величин поглощенных доз в органах и тканях, существенно влияющих на величину риска, от величины эффективной дозы незначительны, что позволяет использовать ее для оценки риска в рамках данных МУ.

2.4. В МУ приводятся методы оценки риска и/или ожидаемого количества вызванных облучением ЗНО для следующих сценариев длительного облучения <*>:

<*> Под длительным облучением в данном документе имеется в виду облучение в течение года и более.

2.4.1. Облучение населения в течение года <*>.

<*> Примеры I, II. Приложение 1 МУ.

2.4.2. Облучение населения (фиксированная когорта), исходя из предположения дальнейшего проживания на рассматриваемой территории в течение ряда лет <*>.

<*> Пример III. Приложение 1 МУ.

2.4.3. Облучение населения, проживавшего на рассматриваемой территории в течение ряда лет в любой период с 1987 года <*>.

<*> Пример IV. Приложение 1 МУ.

2.5. Оценка риска может осуществляться для следующих групп облучаемого населения:

- дети в возрасте 0 - 14 лет;

- подростки 15 - 17 лет;

- дети и подростки 0 - 17 лет;

- взрослое население от 18 лет и старше;

- все население в возрасте 0 - 85 лет и старше.

2.6. Применительно к ситуациям облучения, описанным в п. 2.4 МУ, рассматривается три варианта оценки ожидаемых последствий облучения:

- оценка текущей ситуации облучения (за счет облучения в течение одного календарного года);

- прогнозная оценка (за счет облучения в течение ряда последующих лет);

- ретроспективная оценка (за счет облучения в предшествующий период).

2.6.1. Оценка текущей ситуации. Для лиц, проживавших на данной территории на начало календарного года, оцениваются популяционные риски и число дополнительных случаев ЗНО только за счет облучения в течение одного года.

В данном варианте анализа имеется возможность:

- оценить пожизненный риск возникновения дополнительных случаев ЗНО для лиц, относящихся к конкретной возрастной группе, за счет облучения в рассматриваемом году;

- рассчитать возможное число дополнительных случаев ЗНО для заданной возрастной группы;

2.6.2. Прогнозная оценка. В данном варианте может быть дана консервативная оценка риска и ожидаемого числа дополнительных случаев ЗНО. Возможные последствия оцениваются исходя из предположения, что СГЭД не меняется на протяжении всего рассматриваемого периода;

2.6.3. Ретроспективная оценка. В этом варианте анализа производится оценка ожидаемого числа случаев ЗНО, обусловленных облучением за предшествующий период с учетом изменения общей численности населения (включая рождаемость, смертность, миграцию) и величины СГЭД в разные годы рассматриваемого периода.

3. Исходные данные для оценки риска

3.1. Популяционная оценка возможных последствий облучения производится как для населения в целом, так и для отдельных групп населения.

3.2. В оценках радиационного риска для конкретной группы населения используются данные о численности данной возрастной группы на том административном уровне, для которого производится такая оценка.

3.3. Информацию о половозрастной структуре населения следует брать только из официальных данных Федеральной службы государственной статистики.

3.4. Оценка риска возникновения ЗНО у населения, проживающего на территориях, подвергшихся радиоактивному загрязнению вследствие аварии на Чернобыльской АЭС, производится по величине СГЭД, рассчитанной в соответствии с МУ 2.6.1.579-96, МУ 2.6.1.1114-02, МУ 2.6.1.2004-05 и МУ 2.6.1.2222-07.

3.5. При отсутствии данных о средних дозах облучения населения в отдельных возрастных группах значения СГЭД принимаются одинаковыми для всего населения в пределах административно-территориальной единицы, для которой осуществляется оценка риска.

3.6. Для сценария п. 2.4.2 МУ риски рассчитываются только для лиц, входящих в изучаемую группу на начало первого года периода облучения (фиксированная когорта).

4. Оценка радиационного риска в различных возрастных группах населения

4.1. Для сценариев облучения в пп. 2.4.1 и 2.4.2 МУ расчет риска возникновения ЗНО для конкретной возрастной группы населения производится путем умножения средней величины СГЭД в течение периода облучения на соответствующий коэффициент риска из Таблицы 4.1 МУ <*>.

<*> Методика вычисления коэффициентов риска изложена в Приложении 2 МУ.

Риск = СГЭД (Зв) x Коэффициент риска (1)

Если используемая величина средней годовой эффективной дозы выражена в милизивертах (мЗв) в формуле (1), следует умножить значение дозы на 0,001:

Риск = СГЭД (мЗв) x 0,001 x Коэффициент риска (2)

Количество дополнительных случаев заболевания ЗНО в рассматриваемой возрастной группе в течение предстоящей жизни вычисляется путем умножения значения Риска на Общую численность населения данной территории и на Долю данной возрастной группы в общей численности населения территории <*>:

<*> В случае отсутствия данных о возрастном составе населения данной территории рекомендуется использовать данные о возрастном составе более крупной административно-территориальной единицы, включающей данную территорию. Доля численности возрастных групп в общей численности населения для РФ в целом приведена в Таблице 4.2.

Кол-во заболеваний = Численность населения x Доля населения x Риск (3) <*>

<*> Вместо произведения Численность населения x Доля населения можно использовать значение Численность возрастной группы, произведение используется в ситуации отсутствия данных о возрастной структуре населения на конкретном административно-территориальном уровне. В этом случае в качестве значения величины Численность населения используются данные территориального уровня, а в качестве коэффициента Доля населения - данные с более высокого уровня.

Доля населения = Число людей в группе / Общая численность населения (4)

4.2. Для сценария облучения, описанного в п. 2.4.3 МУ, оценка риска не производится. Оценивается общее количество ЗНО только у фактически проживавшего на данной территории в конкретные годы населения, за счет облучения в течение всего прошедшего периода, путем сложения произведений величины риска на численность населения за каждый год облучения:

Количество ЗНО = Риск за i-й год x Численность населения на начало i-го года, (5)

где

Риск за i-й год вычисляется по формулам (1) или (2) с использованием Коэффициента риска, равного 0,08 и величины СГЭД за i-й год;

N - длительность периода облучения (лет).

4.3. Оценка числа дополнительных случаев ЗНО на уровне района производится путем суммирования рассчитанных значений количества ЗНО для каждого населенного пункта района, отнесенного к числу пострадавших в результате аварии на ЧАЭС. Приблизительная оценка числа случаев ЗНО в населенных пунктах с численностью населения менее 1000 человек производится по формулам (2) и (3). Величина риска оценивается при этом для фактических возрастных групп, проживающих в данном населенном пункте, и соответствующих значений СГЭД, а оценка количества ЗНО по формуле (3) производится при условии, что "Численность населения" - это фактическое число жителей в рассматриваемой возрастной группе.

Примеры расчета рисков приведены в Приложении 1 МУ.

Таблица 4.1. <*> Коэффициенты избыточного пожизненного риска онкологической заболеваемости в расчете на 1 Зв равномерного техногенного облучения в течение заданного периода времени

<*> Коэффициенты в данной таблице приведены с точностью до двух знаков после запятой и получены путем округления по стандартным математическим правилам.

Период облучения, лет
Возрастная группа на начало облучения12351020304050
Дети 0 - 14 лет0,170,330,480,771,422,473,263,854,25
Подростки 15 - 17 лет0,120,240,350,571,071,882,492,913,15
Дети и подростки 0 - 17 лет0,160,310,460,731,352,343,103,654,02
Взрослые от 18 лет и старше0,060,120,180,280,510,851,041,141,17
Все население0,080,160,230,370,671,121,421,611,70

Таблица 4.2. <*> Доля численности возрастных групп в общей численности населения для Российской Федерации в целом

<*> Значения, приведенные в таблице, получены путем округления до двух знаков после запятой на основе данных о возрастном составе населения РФ за 2008 год.

ГруппаДоля населения
Дети 0 - 14 лет0,15
Подростки 15 - 17 лет0,04
Дети и подростки 0 - 17 лет0,19
Взрослые от 18 лет и старше0,81
Все население1,00

Приложение 1
к МУ 2.1.10.3014-12

ПРИМЕРЫ ВЫПОЛНЕНИЯ РАСЧЕТОВ

Пример I

Задача:

Оценить пожизненный риск онкологической заболеваемости населения в г. "Н" Брянской области за счет воздействия внешнего и внутреннего облучения в течение 2001-го года, вызванного последствиями аварии на Чернобыльской АЭС.

Вычислить количество ЗНО, которые возникнут в течение предстоящей жизни по той же причине.

Решение:

Средняя индивидуальная годовая эффективная доза внешнего и внутреннего техногенного облучения у жителей г. "Н" в 2001 году составляла 0,54 мЗв <*>.

<*> Фактические данные о дозах облучения жителей в 2001 г. в конкретных населенных пунктах, загрязненных в результате аварии на ЧАЭС, могут быть получены из справочника "Средние годовые эффективные дозы облучения в 2001 г. жителей населенных пунктов РФ, отнесенных к зонам радиоактивного загрязнения по постановлению Правительства РФ N 1582 от 18 декабря 1997 года "Об утверждении Перечня населенных пунктов, находящихся в границах зон радиоактивного загрязнения вследствие катастрофы на Чернобыльской АЭС", под редакцией к.т.н. Брука Г.Я.

Вычислим риск онкологической заболеваемости по формуле:

Риск = СГЭД (мЗв) x 0,001 x Коэффициент риска

Коэффициент риска для группы "Все население" из Таблицы 4.1 при облучении в течение одного года равен 0,08.

Следовательно, для жителей г. "Н" значение пожизненного риска онкологической заболеваемости для всего населения от воздействия внешнего техногенного облучения в течение 2001 года равно:

Риск = 0,54 x 0,001 x 0,08 = 0,0000432 или 4,32 х 10(-5)

Количество ЗНО, которые могут возникнуть в течение предстоящей жизни по причине воздействия на жителей г. "Н" внешнего и внутреннего облучения в течение 2001-го года, вычисляется по формуле:

Количество ЗНО = Численность населения x Риск

Численность населения г. "Н" по данным Всероссийской переписи населения 2002 года составляла 43038 человек, следовательно, число случаев ЗНО, которые могут быть вызваны в течение предстоящей жизни у жителей, проживавших на начало 2001 года в г. "Н", воздействием внешнего и внутреннего облучения в течение 2001-го года равно:

Количество ЗНО = 43038 x 0,0000352 2 случая ЗНО.

Ответ:

В г. "Н" Брянской области для 43038 человек населения радиационный риск за счет дозы внешнего и внутреннего техногенного облучения в 2001 г. составляет 4,32 х 10(-5), что соответствует возникновению примерно 2 дополнительных случаев заболевания ЗНО в течение последующей жизни населения.

Пример II

Задача:

Оценить пожизненный риск онкологической заболеваемости для детей, проживавших в 2001-м году в г. "Н" Брянской области, за счет воздействия внешнего техногенного облучения в течение 2001-го года, вызванного последствиями аварии на Чернобыльской АЭС. Какое количество ЗНО может быть вызвано этим облучением?

Решение:

Средняя индивидуальная годовая эффективная доза внешнего и внутреннего техногенного облучения у жителей г. "Н" в 2001 году составляла 0,54 мЗв. Данные о дозе в группе "Дети 0 - 14 лет" отсутствуют, поэтому расчет производится для средней дозы на все население.

Вычислим риск онкологической заболеваемости по формуле:

Риск = СГЭД (мЗв) x 0,001 x Коэффициент риска

Коэффициент риска для группы "Дети 0 - 14 лет" из Таблицы 4.1 при облучении в течение одного года равен 0,17.

Следовательно, для детей, проживавших в течение 2001-го года в г. "Н", значение пожизненного риска онкологической заболеваемости от воздействия внешнего и внутреннего техногенного облучения в течение 2001 года равно:

Риск = 0,44 x 0,001 x 0,17 = 0,0000748 или 7,48 х 10(-5)

Абсолютное число случаев ЗНО, которые могут возникнуть в течение предстоящей жизни за счет воздействия на детское население г. "Н" внешнего и внутреннего техногенного облучения в течение 2001-го года, вычисляется по формуле:

Количество ЗНО = Численность населения x Доля населения x Риск

В связи с отсутствием данных об абсолютном числе детей в г. "Н" на начало 2001 года, при расчете количества заболеваний используется коэффициент из Таблицы 4.2, значение которого для возрастной группы "Дети 0 - 14 лет" равно 0,15.

Количество заболеваний = 43038 x 0,15 x 0,0000748 0,48 случая

Ответ:

В г. "Н" Брянской области для группы "Дети 0 - 14 лет" радиационный риск за счет дозы внешнего и внутреннего техногенного облучения в 2001 г. составляет 7,92 х 10(-5), что соответствует возникновению не более 1 дополнительного случая заболевания ЗНО в течение всей их последующей жизни.

Пример III

Задача:

Оценить избыточный пожизненный риск онкологической заболеваемости для детей 0 - 14 лет за счет воздействия внешнего и внутреннего техногенного облучения, вызванного последствиями аварии на Чернобыльской АЭС, из предположения, что они будут проживать в г. "Н" Брянской области на протяжении 2011 - 2040 годов. Оценить, какое количество ЗНО может быть вызвано этим облучением?

Консервативная прогнозная оценка последствий облучения производится для следующих условий:

1) Значение СГЭД в течение 2011 - 2040 годов не изменяется и равно значению СГЭД за 2011-й год - 0,6 мЗв/год.

2) Все люди, входящие в данную когорту на 2011 год, остаются проживать в данном населенном пункте.

3) Выбытие людей из данной когорты осуществляется только по причине смерти.

Решение:

Средняя индивидуальная годовая эффективная доза жителей г. "Н" в 2011 году составляла 0,6 мЗв <*>.

<*> Фактические данные о дозах облучения жителей в 2001 г. в конкретных населенных пунктах, загрязненных в результате аварии на ЧАЭС, могут быть получены из справочника "Средние годовые эффективные дозы облучения в 2001 г. жителей населенных пунктов РФ, отнесенных к зонам радиоактивного загрязнения по постановлению Правительства РФ N 1582 от 18 декабря 1997 года "Об утверждении Перечня населенных пунктов, находящихся в границах зон радиоактивного загрязнения вследствие катастрофы на Чернобыльской АЭС", под редакцией к.т.н. Брука Г.Я.

Вычислим риск онкологической заболеваемости по формуле:

Риск = СГЭД (мЗв) x 0,001 x Коэффициент риска

Коэффициент риска для группы "Дети 0 - 14 лет" из Таблицы 4.1 при облучении в течение 30 лет равен 3,26. Следовательно, значение пожизненного риска онкологической заболеваемости от воздействия внешнего и внутреннего техногенного облучения, при условии их проживания в этом населенном пункте в течение следующих 30 лет, равно:

Риск = 0,6 x 0,001 x 3,26 = 0,001956 или 1,96 х 10(-3)

Консервативная оценка абсолютного числа случаев ЗНО, которые могут возникнуть в течение предстоящей жизни за счет воздействия на лиц, входящих в рассматриваемую когорту, внешнего и внутреннего техногенного облучения в течение 2011 - 2040 годов, вычисляется по формуле:

Количество ЗНО = Численность населения x Доля населения x Риск

В связи с отсутствием данных об абсолютном числе детей в г. "Н" на начало 2011 года, при расчете количества заболеваний используется коэффициент из Таблицы 4.2, значение которого для возрастной группы "Дети 0 - 14 лет" равно 0,15.

Количество заболеваний = 43038 x 0,15 x 0,00196 12,6 случаев.

Ответ:

В г. "Н" Брянской области для лиц, входящих в группу "Дети 0 - 14 лет" на начало 2011 года, радиационный риск за счет внешнего и внутреннего техногенного облучения в 2011 - 2040 годах составляет 1,96 х 10(-3), что соответствует при консервативной оценке последствий облучения возникновению примерно 13 дополнительных случаев заболевания ЗНО в течение всей их последующей жизни.

Пример IV

Задача:

Дать ретроспективную оценку количества онкологических заболеваний, которые могли возникнуть по причине воздействия на жителей г. "Н" внешнего и внутреннего техногенного облучения в течение 1989 - 2009 годов, вызванного радиоактивным загрязнением территории вследствие аварии на ЧАЭС.

Дозы внутреннего и внешнего и внутреннего техногенного облучения, а также численность населения г. "Н" за 1989 - 2009 годы приведены в таблице:

ГодыСредняя доза внутреннего облучения Cs(137), мЗвСредняя доза внешнего облучения, мЗвЧисленность населения
19890,271,2144697
19900,170,9844200
19910,110,8443500
19920,080,7442400
19930,060,6642600
19940,070,6042800
19950,080,5643000
19960,120,5643300
19970,120,5343300
19980,110,5143300
19990,110,4843450
20000,110,4643600
20010,100,4443700
20020,410,4243038
20030,400,4143000
20040,390,3942850
20050,380,3842700
20060,370,3642500
20070,370,3542300
20080,360,3442200
20090,350,3341932

Решение:

Количество ЗНО вычисляется по формуле:

Количество ЗНО = Риск за i-й год x Численность населения на начало i-го года.

Пожизненный риск Риск_i за счет облучения в i-том году вычисляется по формуле:

Риск_i = СГЭД_i(мЗв) х 0,001 х Коэффициент риска.

СГЭД_i = СГЭД_i внутр + СГЭД_i внешн

Таким образом,

Риск_1989 = (0,27 + 1,21) х 0,001 х 0,08 = 0,0001184;

Риск_1990 = (0,17 + 0,98) х 0,001 х 0,08 = 0,000092;

Риск_1991 = (0,11 + 0,84) х 0,001 х 0,08 = 0,000076;

Риск_1992 = (0,08 + 0,74) х 0,001 х 0,08 = 0,0000656;

Риск_1993 = (0,06 + 0,66) х 0,001 х 0,08 = 0,0000576;

Риск_1994 = (0,07 + 0,60) х 0,001 х 0,08 = 0,000053;

Риск_1995 = (0,08 + 0,56) х 0,001 х 0,08 = 0,0000512;

Риск_1996 = (0,12 + 0,56) х 0,001 х 0,08 = 0,0000544;

Риск_1997 = (0,12 + 0,53) х 0,001 х 0,08 = 0,000052;

Риск_1998 = (0,11 + 0,51) х 0,001 х 0,08 = 0,0000496;

Риск_1999 = (0,11 + 0,48) х 0,001 х 0,08 = 0,0000472;

Риск_2000 = (0,11 + 0,46) х 0,001 х 0,08 = 0,0000456;

Риск_2001 = (0,10 + 0,44) х 0,001 х 0,08 = 0,0000432;

Риск_2002 = (0,41 + 0,42) х 0,001 х 0,08 = 0,0000664;

Риск_2003 = (0,40 + 0,41) х 0,001 х 0,08 = 0,0000648;

Риск_2004 = (0,39 + 0,39) х 0,001 х 0,08 = 0,0000624;

Риск_2005 = (0,38 + 0,38) х 0,001 х 0,08 = 0,0000608;

Риск_2006 = (0,37 + 0,36) х 0,001 х 0,08 = 0,0000584;

Риск_2007 = (0,37 + 0,35) х 0,001 х 0,08 = 0,0000576;

Риск_2008 = (0,36 + 0,34) х 0,001 х 0,08 = 0,000056;

Риск_2009 = (0,35 + 0,33) х 0,001 х 0,08 = 0,0000544.

Количество ЗНО = 0,0001184 x 44697 + 0,000092 x 44200 + 0,000076 x 43500 + 0,0000656 x 42400 + 0,0000576 x 42600 + 0,0000536 x 42800 + 0,0000512 x 43000 + 0,0000544 x 43300 + 0,000052 x 43300 + 0,0000496 x 43300 + 0,0000472 x 43450 + 0,0000456 x 43600 + 0,0000432 x 43700 + 0,0000664 x 43038 + 0,0000648 x 43000 + 0,0000624 x 42850 + 0,0000608 x 42700 + 0,0000584 x 42500 + 0,0000576 x 42300 + 0,000056 x 42200 + 0,0000544 x 41932 55,55

Ответ:

У населения г. "Н" по причине воздействия внешнего и внутреннего техногенного облучения на всех жителей, проживавших в течение 1989 - 2009 годов, могут возникнуть приблизительно 56 дополнительных случаев заболевания ЗНО в течение предстоящей жизни.

Приложение 2
к МУ 2.1.10.3014-12

МЕТОДИКА ВЫЧИСЛЕНИЯ КОЭФФИЦИЕНТОВ РИСКА

Для расчета Таблицы 4.1 использовалась следующая методика.

Коэффициенты радиационного риска возникновения солидных ЗНО у населения РФ рассчитаны на основе моделей, представленных в материалах Научного Комитета ООН по Действию Атомной Радиации за 2006 год <*>. Коэффициенты риска возникновения лейкозов рассчитаны на основе моделей, представленных в материалах Научного Комитета ООН по Действию Атомной Радиации за 2000 год <**>.

<*> United Nations Scientific Committee on the Effects of Atomic Radiation (UNSCEAR) 2006 Report to the General Assembly, with Scientific Annexes, New York, 2008.

<**> United Nations Scientific Committee on the Effects of Atomic Radiation (UNSCEAR) 2000 Report to the General Assembly, with Scientific Annexes, New York, 2000.

В расчетах коэффициентов радиационного риска использованы данные об уровнях онкологической заболеваемости, общей смертности и половозрастном составе населения Российской Федерации за 2008 год.

Коэффициенты риска включают в себя оценки для ЗНО следующих органов и тканей:

- пищевода;

- желудка;

- ободочной кишки;

- печени;

- легких;

- молочной железы у женщин;

- мочевого пузыря;

- щитовидной железы;

- мозга и центральной нервной системы;

- костей;

- кожи (за исключением меланомы);

- солидные ЗНО других органов и тканей;

- лимфоидной и кроветворной тканей (только лейкозы).

Вычисление коэффициентов риска, приведенных в Таблице 4.1, происходит в несколько этапов.

На первом этапе по методикам, описанным в докладе НКДАР ООН 2006 года, вычисляется избыточный абсолютный риск (Excess Absolute Risk, или EAR) заболеваемости для отдельных видов солидных раков и для лейкозов <*> у лиц определенного пола (s), облученных в дозе D в возрасте e и доживших до возраста a.

<*> Оценки для Лейкозов сделаны на основании моделей из отчета НКДАР ООН 2000 года.

Вычисление производится по аддитивной (формула П1) и мультипликативной (формула П2) моделям:

(П1)

, (П2)

где:

- фоновый (т.е. при отсутствии облучения) риск возникновения солидных ЗНО <*> отдельных локализаций (c) у лиц определенного пола (s) и возраста (a);

<*> Оценки для случаев заболевания лейкозами сделаны на основании моделей из отчета НКДАР ООН 2000 года.

1_s = female - функция, принимающая значение "1" для лиц женского пола и "0" для лиц мужского пола;

- коэффициенты модели. Значения коэффициентов для отдельных локализаций солидных раков (c) в аддитивной (add.) и мультипликативной (mult.) моделях приведены в Таблице П1.

При пролонгированном облучении в течение нескольких лет, начиная с возраста e, EAR в достигнутом возрасте t (t > e) вычисляется как сумма EAR от облучения в разные годы:

, (П3)

где:

EAR - избыточный абсолютный риск (по аддитивной или мультипликативной моделям);

s - пол облученного лица;

c - локализация ЗНО. Оценки производятся для 13 различных локализаций солидных ЗНО;

e - возраст начала облучения;

L_с- минимальный латентный период для радиогенных ЗНО локализации c. В данных МУ, в соответствии с рекомендациями 103 Публикации МКРЗ, L_с = 10 лет для всех локализаций солидных ЗНО <*>;

<*> При вычислении коэффициентов риска для лейкозов в соответствии с рекомендацией 103 Публикации МКРЗ использовано значение Lc = 2 года.

t - достигнутый возраст;

a - возраст при облучении;

D_а- годовая доза облучения в возрасте a;

a_max <= t- возраст окончания облучения;

{D} - массив доз облучения Da от возраста e до возраста amax (e <= a <= amax).

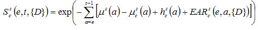
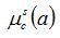
На втором этапе вычисляется функция здорового (по локализации c) дожития от возраста e до возраста t:

, (П4)

где:

- фоновый (т.е. при отсутствии облучения) риск смерти от всех причин для лиц пола s в возрасте a;

- фоновый риск смерти от ЗНО, локализации c, для лиц пола s в возрасте a;

- фоновый риск выявления <*> ЗНО локализации c, для лиц пола s в возрасте a.

<*> Использованы повозрастные показатели первичной постановки диагноза (инцидентность).

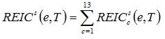
На третьем этапе для лиц обоих полов и каждого возраста на начало облучения вычисляются коэффициенты избыточного пожизненного радиационного риска онкологической заболеваемости REIC (Risk of Exposure-Induced Cancer incidence).

Данные коэффициенты учитывают вероятность здорового дожития лица определенного пола от возраста при облучении (e) до достигнутого возраста (t), обусловленную рисками как радиационной, так и нерадиационной природы. При делении избыточного пожизненного риска на величину дозы получается коэффициент избыточного пожизненного риска на единицу дозы <*>.

<*> При вычислении коэффициентов риска на единицу дозы величина избыточного абсолютного риска для данных МУ рассчитывалась для дозы 0,001 Зв.

, (П5)

где:

- функция здорового (по ЗНО локализации c) дожития до возраста t при облучении лица пола s в дозе D_е в возрасте e;

Т_MAX- максимальный возраст оценки риска (в данных МУ Т_MAX = 90 лет).

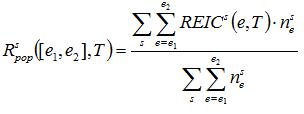
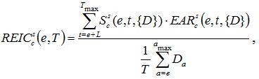
В случае пролонгированного облучения, приближенно заменяя интеграл в формуле П5 суммированием по целочисленным годам, с учетом П3 и П4, получаем коэффициент избыточного пожизненного радиационного риска онкологической заболеваемости REIC, нормированный на единицу дозы среднегодового облучения за период облучения T лет, для лиц возраста e на начало облучения:

(П6)

где:

Т_max - максимальный возраст дожития;

e - возраст начала облучения;

а_max - возраст окончания облучения;

Т = а_max - е + 1 - длительность периода облучения;

- средняя годовая доза облучения индивидуума за период T лет от возраста e до возраста а_max.

После этого производится усреднение коэффициентов, рассчитанных по аддитивной и мультипликативной моделям в соответствии с рекомендациями 103 Публикации МКРЗ: "весовые множители ERR:EAR <*> равны 0:1 для молочной железы и костного мозга и 1:0 для щитовидной железы и кожи, 0,3:0,7 для легкого и 0,5:0,5 для всех остальных локализаций".

<*> Аббревиатурам ERR и EAR соответствуют названия "модель относительного риска" (мультипликативная модель) и "модель абсолютного риска" (аддитивная модель) соответственно.

Далее рассчитывается суммарный коэффициент избыточного пожизненного радиационного риска онкологической заболеваемости REIC по всем локализациям ЗНО:

, (П7)

На четвертом этапе вычисляются коэффициенты избыточного риска возникновения ЗНО для возрастных групп, включающих на начало облучения лиц обоих полов в возрасте от до включительно. Распределение в данной группе лиц по полу и возрасту соответствует распределению в Российской популяции по данным Росстата за 2008 год. Коэффициенты рассчитываются для случая облучения данной возрастной группы в течение T лет.

, (П8)

Где:

n(5)_е - число лиц пола s, в возрасте e, по данным Росстата о половозрастном составе Российской популяции за 2008 год;

T - длительность периода облучения;

- общее число мужчин и женщин в возрастах от e1 до e2 по данным Росстата о половозрастном составе Российской популяции за 2008 год.

В Таблице 4.1 приведены коэффициенты избыточного пожизненного риска онкологической заболеваемости в расчете на 1 Зв равномерного техногенного облучения в течение заданного периода времени T (данные в столбцах) для различных возрастных групп на начало облучения (данные в строках).

Расчеты выполнены для следующих пар значений е1, е2 <*>:

<*> Данные Росстата не содержат повозрастных сведений о лицах старше 99 лет. Поэтому в расчетах все лица в возрасте 100 лет и старше считаются лицами в возрасте 100 лет.

Возрастная группа1 e2 e
Дети 0 - 14 лет014
Подростки 15 - 17 лет1517
Дети и подростки017
Взрослые18100 и старше
Все население0100 и старше

При вычислении коэффициентов риска в данных МУ использованы данные о структуре населения, заболеваемости и смертности в РФ за 2008 год.

Коэффициенты на единицу дозы рассчитаны с использованием величин доз D = 0,001 Зв.

Таблица П1. Коэффициенты модели оценки риска возникновения злокачественных новообразований НКДАР ООН 2006 г.

ПищеводЖелудокТолстая кишкаПеченьЛегкоеМолочн. железаМочевой пузырьЩитовид. железаКостьДр. новообр. кожиМозг и ЦНСДр. солидные
Модель EAR
альфа1,45293E-053,96925E-072,87527E-091,03736E-101,0083E-111,94038E-056,13572E-150,00026287004,92382E-052,20751E-07
бета000000009,3294E-065,24549E-0900
гамма000000000-0,273900
k 100000,4008001,36240000
k 201,82803,4794,21105,74800000
k 3003,204001,0860002,88502,161
k 40000000-0,38830000
Модель ERR
альфа0,527824025,0314808000,3951060,31822414922,10,89888538045,2007,43145143,22
бета00000000690379002615,2600
гамма000000000-0,27200
k 100001,48080000000
k 20-2,253-3,52600-2,3040-2,197-4,472-4,5950-2,939
k 30000000003,19601,645
k 40000000-0,440500-0,98970

Приложение 3
к МУ 2.1.10.3014-12

(справочное)

НОРМАТИВНЫЕ ССЫЛКИ

1. Федеральный закон от 30 марта 1999 г. N 52-ФЗ "О санитарно-эпидемиологическом благополучии населения".

2. Федеральный закон от 09.01.96 N 3-ФЗ "О радиационной безопасности населения".

3. СанПиН 2.6.1.2523-09 "Нормы радиационной безопасности (НРБ-99/2009)".

4. СП 2.6.1.2612-10 "Основные санитарные правила обеспечения радиационной безопасности (ОСПОРБ-99/2010)".

5. Постановление Правительства Российской Федерации от 16 июня 1997 г. N 718 "О порядке создания единой государственной системы контроля и учета индивидуальных доз облучения граждан".

6. Постановление Правительства Российской Федерации от 6 февраля 2006 г. N 60 "Об утверждении Положения о социально-гигиеническом мониторинге".

Официальный источник электронного документа содержит неточность: Постановление Правительства Российской Федерации N 60 принято 02.02.2006.

7. Приказ Министерства здравоохранения Российской Федерации от 31 июля 2000 г. N 298 "Об утверждении Положения о единой государственной системе контроля и учета индивидуальных доз облучения граждан".

8. Приказ Федеральной службы по надзору в сфере защиты прав потребителей и благополучия человека от 30 декабря 2005 г. N 810 "О Перечне показателей и данных для формирования Федерального информационного фонда социально-гигиенического мониторинга".

9. МУ 2.6.1.579-96 "Реконструкция средней накопленной в 1986 - 1995 гг. эффективной дозы облучения жителей населенных пунктов Российской Федерации, подвергшихся радиоактивному загрязнению вследствие аварии на Чернобыльской АЭС в 1986 году".

10. МУ 2.6.1.784-99 "Зонирование населенных пунктов Российской Федерации, подвергшихся радиоактивному загрязнению вследствие аварии на Чернобыльской АЭС, по критерию годовой дозы облучения населения".

11. МУ 2.6.1.1114-02 "Реконструкция средней накопленной в 1986 - 2001 гг. эффективной дозы облучения жителей населенных пунктов Российской Федерации, подвергшихся радиоактивному загрязнению вследствие аварии на Чернобыльской АЭС в 1986 году. Дополнение 1 к МУ 2.6.1.579-96)".

12. МУ 2.6.1.1868-04 "Внедрение показателей радиационной безопасности о состоянии объектов окружающей среды, в т.ч. продовольственного сырья и пищевых продуктов, в систему социально-гигиенического мониторинга".

13. МУ 2.6.1.2004-05 "Реконструкция средней (индивидуализированной) накопленной эффективной дозы облучения жителей населенных пунктов Российской Федерации, подвергшихся радиоактивному загрязнению вследствие аварии на Чернобыльской АЭС в 1986 году. Дополнение 2 к МУ 2.6.1.579-96".

14. МУ 2.6.1.2003-05 "Оценка средних годовых эффективных доз облучения критических групп жителей населенных пунктов Российской Федерации, подвергшихся радиоактивному загрязнению вследствие аварии на Чернобыльской АЭС".

15. МУ 2.6.1.2222-07 "Прогноз доз облучения населения радионуклидами цезия и стронция при их попадании в окружающую среду".

16. МР "Радиационный мониторинг доз облучения населения территории, подвергшихся радиоактивному загрязнению вследствие аварии на Чернобыльской АЭС".

17. МУ 2.6.1.2319-08 "Зонирование населенных пунктов Российской Федерации, подвергшихся радиоактивному загрязнению вследствие аварии на Чернобыльской АЭС, по критерию годовой дозы облучения населения. Дополнение 2 к МУ 2.6.1.784-99".

18. МР 2.6.1.0007-10 "Оценка доз облучения детей, проживающих на территориях, радиоактивно загрязненных вследствие аварии на Чернобыльской АЭС".

19. МР 2.6.1.0006-10 "Проведение комплексного экспедиционного радиационно-гигиенического обследования населенного пункта для оценки доз облучения населения".

20. МР "Социально-гигиенический мониторинг. Анализ медико-демографических и социально-экономических показателей на региональном уровне".

21. Информационно-методическое письмо Департамента Госсанэпиднадзора МЗ РФ N 1100/731-01-111 от 26 марта 2001 "Оценка риска многосредового воздействия химических веществ (расчет дозовой нагрузки, критерии оценки риска канцерогенных и неканцерогенных эффектов)".

Приложение 4
к МУ 2.1.10.3014-12

(справочное)

ТЕРМИНЫ И ОПРЕДЕЛЕНИЯ

Доза эффективная - величина, используемая как мера риска возникновения отдаленных последствий облучения всего тела человека и отдельных его органов и тканей с учетом их радиочувствительности. Она представляет сумму произведений эквивалентной дозы в органах и тканях на соответствующие взвешивающие коэффициенты.

Риск - вероятность наступления нежелательных последствий.

Радиационный риск индивидуальный - вероятность возникновения у человека или у его потомства какого-либо вредного эффекта в результате облучения.

Риск популяционный - сумма индивидуальных рисков для всех лиц, входящих в исследуемую популяцию.

Риск пожизненный - вероятность возникновения негативных последствий для здоровья по причине воздействия негативного фактора среды обитания в течение всей предстоящей жизни.

Риск избыточный - разница между оценкой риска, рассчитанной при условии воздействия конкретного негативного фактора среды обитания, и оценкой риска, рассчитанной при условии отсутствия воздействия названного фактора.

Фиксированная когорта - выборка, в которую не набирают новых членов, так как она фиксирована моментом определенного события ("нулевым моментом времени"); например, когорта выживших после взрыва атомной бомбы в Хиросиме.

Социально-гигиенический мониторинг (СГМ) - государственная система наблюдений за состоянием здоровья населения и среды обитания, их анализа, оценки и прогноза, а также определения причинно-следственных связей между состоянием здоровья населения и воздействием факторов среды обитания.

Малые дозы ионизирующего излучения - дозы, не превышающие 0,1 Гр.