Средства отображения информации индивидуального пользования. Общие эргономические требования и требования безопасности. ГОСТ р 50948-2001

(утв. Постановлением Госстандарта от 25.12.2001 N 576-СТ)
Редакция от 25.12.2001 — Действует с 01.07.2002

Утвержден и введен в действие
Постановлением Госстандарта
от 25 декабря 2001 г. N 576-ст

ГОСУДАРСТВЕННЫЙ СТАНДАРТ РОССИЙСКОЙ ФЕДЕРАЦИИ

СРЕДСТВА ОТОБРАЖЕНИЯ ИНФОРМАЦИИ ИНДИВИДУАЛЬНОГО ПОЛЬЗОВАНИЯ

ОБЩИЕ ЭРГОНОМИЧЕСКИЕ ТРЕБОВАНИЯ И ТРЕБОВАНИЯ БЕЗОПАСНОСТИ

ГОСТ Р 50948-2001

Display means for individual use. General ergonomic requirements and safety requirements

Дата введения 1 июля 2002 года

Предисловие

1 РАЗРАБОТАН Московским государственным институтом электроники и математики (технический университет), автономной некоммерческой организацией "Научно-технический центр сертификации электрооборудования ИСЭП" с участием ВНИИСтандарт, Научного центра социально-производственных проблем охраны труда

ВНЕСЕН Техническим комитетом по стандартизации ТК 407 "Средства отображения информации"

2 ПРИНЯТ И ВВЕДЕН В ДЕЙСТВИЕ Постановлением Госстандарта России от 25 декабря 2001 г. № 576-ст

3 Стандарт гармонизирован с международным стандартом ИСО 9241-3:1996 "Эргономические требования к работе с оконечными устройствами визуального отображения информации. Требования к визуальному отображению информации" в части нормирования визуальных эргономических параметров, с международным стандартом ИСО 9241-8:1997 "Эргономические требования к работе с оконечными устройствами визуального отображения информации. Требования к отображаемым цветам" в части нормирования цветовых параметров изображения и со стандартом MPR 1990:10 1990-12-31 "Руководство пользователя по оценке средств визуального отображения информации" (Швеция), рекомендованным директивой Европейского экономического сообщества, в части требований к параметрам эмиссионной безопасности

4 ВЗАМЕН ГОСТ Р 50948-96

1 Область применения

Настоящий стандарт распространяется на средства отображения информации индивидуального пользования на электронно-лучевых трубках (ЭЛТ) и на плоских дискретных экранах (дисплеи, видеомониторы, видеомодули, видеодисплейные терминалы), являющиеся оконечными устройствами отображения средств информатизации и вычислительной техники, а также на устройства отображения портативных компьютеров (далее - дисплеи).

Стандарт устанавливает общие эргономические требования к визуальным параметрам дисплеев, гармонизированные с международными стандартами ИСО 9241-3:1996, ИСО 9241-8:1997, а также требования безопасности к визуальным параметрам дисплеев и к параметрам полей, создаваемых дисплеями, являющихся вредными и опасными производственными факторами.

Требования настоящего стандарта обязательны при проектировании, изготовлении, эксплуатации и сертификации дисплеев.

2 Нормативные ссылки

В настоящем стандарте использованы ссылки на следующие стандарты:

ГОСТ 12.0.002-80 Система стандартов безопасности труда. Термины и определения

ГОСТ 27833-88 Средства отображения информации. Термины и определения

ГОСТ Р 50923-96 Дисплеи. Рабочее место оператора. Общие эргономические требования и требования к производственной среде. Методы измерения

ГОСТ Р 50949-2001 Средства отображения информации индивидуального пользования. Методы измерений и оценки эргономических параметров и параметров безопасности

ГОСТ Р 51658-2000 Фильтры-экраны защитные для средств отображения информации. Типы, основные параметры и методы измерений

3 Определения

В настоящем стандарте используют следующие термины с соответствующими определениями.

3.1 средство отображения информации индивидуального пользования: По ГОСТ 27833.

3.2 плоский дискретный экран: Дисплей с плоской (радиус кривизны более 2 м) поверхностью, предназначенной для отображения информации и имеющей активную область, состоящую из регулярной матрицы электрически изменяемых, дискретных элементов изображения (пикселей) в строках и столбцах.

3.3 опасный производственный фактор: По ГОСТ 12.0.002.

3.4 вредный производственный фактор: По ГОСТ 12.0.002.

3.5 дисплей (видеомодуль, видеомонитор, видеодисплейный терминал): Выходное электронное устройство, предназначенное для визуального отображения информации.

3.6 визуальные параметры дисплея (характеристики отображения и восприятия информации):

Параметры, определяющие качество зрительного восприятия информации на экране дисплея и безопасность пользователя.

3.7 эмиссионные параметры дисплея: Характеристики электростатического, переменных электрического и магнитного полей, создаваемых дисплеем.

3.8 оптимальный диапазон значений параметра: Диапазон значений параметра, установленный для данного типа дисплея, в пределах которого обеспечивается безошибочное считывание информации при времени реакции оператора, превышающем глобальный минимум латентного периода не более чем в 1,2 раза (приложение А).

3.9 предельно допустимый диапазон значений параметра: Диапазон значений параметра, установленный для данного типа дисплея, в пределах которого обеспечивается безошибочное считывание информации при времени реакции оператора, превышающем глобальный минимум латентного периода не более чем в 1,5 раза (приложение А).

3.10 яркость знака: Яркость, измеренная в центре матрицы знака при всех включенных элементах изображения.

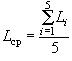
3.11 яркость фона: Яркость, создаваемая на рабочей поверхности экрана источниками внешней освещенности, и ореольная яркость от светящихся участков экрана, создаваемая за счет отражений светового потока в структуре экрана.

3.12 неравномерность яркости рабочего поля экрана: Наибольшее по модулю значение неравномерности d L_i, %, определяемое по формуле

где:

- средняя яркость рабочего поля экрана, кд/м2;

L_i - яркость изображения каждой из пяти точек экрана (в центре и по углам), кд/м2.

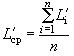
3.13 неравномерность яркости элементов знаков плоских дискретных экранов: Наибольшее по модулю значение неравномерности d L буква_i, %, определяемое по формуле

где

- средняя яркость элементов знакоместа, кд/м2;

L _i - - яркость i -го элемента в знакоместе, кд/м2;

n - число элементов экрана в знакоместе.

3.14 контраст изображения: Отношение максимальной яркости изображения L_макс к минимальной L_мин с учетом отражений, возникающих за счет внешней освещенности экрана.

3.15 кодирование яркостью: Изменение яркости фрагментов изображения для привлечения внимания пользователя.

3.16 уровни кодирования яркостью: Четыре уровня кодирования яркостью - 0 % (0*), 50 % (128*), 75 % (192*), 100 % (255*).

3.17 угловой размер знака: Угол между линиями, соединяющими крайние точки знака по высоте и глаз наблюдателя (при фронтальном наблюдении). Угловой размер знака a рассчитывают по формуле

где h - высота знака, мм;

l - расстояние от знака до глаза наблюдателя, мм.

* В скобках указаны уровни градационной шкалы яркости.

3.18 расстояние наблюдения: Расстояние между глазом оператора и центром знака, отображенного на экране.

3.19 проектное расстояние наблюдения: Расстояние между глазом оператора и центром знака, отображенного на экране, указанное в нормативной документации на дисплей.

3.20 угол наблюдения: Угол между нормалью, проведенной к поверхности экрана в месте отображения знака, и прямой, соединяющей глаз оператора с точкой пересечения нормали с поверхностью экрана.

3.21 пространственная нестабильность: Непреднамеренные изменения положения фрагментов изображения на экране.

3.22 временная нестабильность: Непреднамеренное изменение во времени яркости изображения на экране дисплея.

4 Общие эргономические требования

4.1 Требования к качеству восприятия информации, отображаемой на дисплеях

Для точного считывания информации и обеспечения комфортных условий ее восприятия работа с дисплеями должна проводиться при таких сочетаниях значений яркости и контраста изображения, внешней освещенности экрана, углового размера знака и угла наблюдения экрана, которые входят в оптимальные или предельно допустимые (при кратковременной работе) диапазоны.

Допустимые диапазоны значений внешней освещенности экрана, углового размера знака и угла наблюдения экрана для типов дисплеев, на которые этот стандарт распространяется, - по ГОСТ Р 50923; для других типов дисплеев - по ТУ на конкретный тип дисплея.

Диапазоны значений яркости и контраста изображения должны соответствовать указанным в 5.1 и 5.4.

Порядок определения оптимальных и предельно допустимых диапазонов основных визуальных параметров дисплея приведен в приложении А.

4.2 Эргономические требования к цветовым параметрам

4.2.1 При необходимости распознавания или идентификации цветовых параметров прикладная программа должна предлагать устанавливаемый по умолчанию набор цветов (см. 4.2.9 - 4.2.11), который соответствует требованиям настоящего стандарта. Если цвет может быть изменен пользователем, то должна быть предусмотрена возможность восстановления назначенного по умолчанию набора цветов.

4.2.2 При необходимости точной идентификации цвета в рядах буквенно-цифровых знаков и в полях ввода данных высота символа должна быть не менее 20 при проектном расстоянии наблюдения.

4.2.3 При необходимости точной идентификации цвета обособленного изображения (например знака или символа) угловой размер изображения должен быть не менее 30 при проектном расстоянии наблюдения (предпочтительно - 40 ).

4.2.4 Следует избегать применения насыщенного синего цвета для изображений, имеющих угловой размер менее 2°.

4.2.5 Для чтения текстов, буквенно-цифровых знаков и символов при отрицательной полярности изображения не следует применять синий и красный цвета спектра на темном фоне и красный цвет спектра на синем фоне.

4.2.6 Для чтения текстов, буквенно-цифровых знаков и символов при положительной полярности изображения не следует применять синий цвет спектра на красном фоне.

4.2.7 Насыщенные крайние цвета видимого спектра приводят к нежелательным эффектам глубины изображаемого пространства и не должны применяться для изображений, которые требуют непрерывного просмотра или чтения.

4.2.8 Для точного распознавания и идентификации цветов должны применяться цветное изображение переднего плана на ахроматическом фоне или ахроматическое изображение переднего плана на цветном фоне.

4.2.9 Число цветов, одновременно отображаемых на экране дисплея, должно быть минимальным. Для точной идентификации цвета каждый заданный по умолчанию набор цветов должен включать не более 11 цветов.

4.2.10 При необходимости проведения быстрого поиска, основанного на распознавании цветов, следует применять не более 6 различных цветов.

4.2.11 При необходимости вызова параметров цвета из памяти ЭВМ следует применять не более 6 различных цветов.

5 Требования безопасности к визуальным параметрам

5.1 Яркость знака должна быть не менее 35 кд/м2 для дисплеев на ЭЛТ и не менее 20 кд/м2 для плоских дискретных экранов.

5.2 Неравномерность яркости рабочего поля экрана должна быть не более 20 %.

5.3 Неравномерность яркости элементов знака должна быть не более 20 %.

5.4 Яркостный контраст изображения должен быть не менее 3:1 (для плоских дискретных экранов при угле наблюдения от минус 40° до плюс 40°). Яркостный контраст внутри знака и между знаками должен быть не менее 3:1.

5.5 Ширина контура знака должна быть от 0,25 до 0,5 мм.

5.6 Степень несведения цветов в любом месте многоцветного экрана для дисплеев на ЭЛТ должна быть не более 3,4 при проектном расстоянии наблюдения.

Примечание - Если в документации на дисплей не оговорено проектное расстояние наблюдения, то его принимают равным 50 см для дисплеев с размером экрана по диагонали 14" - 17" и 75 см - для экранов 19" - 21".

5.7 Временная нестабильность изображения (мелькания) для дисплеев на ЭЛТ и на плоских дискретных экранах не должна быть зафиксирована. Для дисплеев на ЭЛТ частота обновления изображения должна быть не менее 75 Гц при всех режимах разложения, гарантируемых нормативной документацией на конкретный тип дисплея и не менее 60 Гц для дисплеев на плоских дискретных экранах.

5.8 Амплитуда смещения изображения (пространственная нестабильность изображения - дрожание) должна быть не более 2 х 10(-4) l, где l - проектное расстояние наблюдения, мм.

5.9 Искажения изображения по рабочему полю

5.9.1 Изменение размеров однотипных знаков по рабочему полю должно быть в пределах ±5 % высоты знака.

5.9.2 Максимальная разность длин строк текста на рабочем поле должна быть не более 2 % средней длины строки.

5.9.3 Максимальная разность длин столбцов текста на рабочем поле должна быть не более 2 % средней длины столбца.

5.10 Отклонение формы рабочего поля от прямоугольника определяют по следующим формулам:

по вертикали

по горизонтали

по диагонали

где Н_1, H_2, B_1, B_2, D_1 и D_2 - значения длин крайнего левого и крайнего правого столбца, верхней, нижней строки и диагоналей на рабочем поле соответственно, мм.

6 Требования безопасности к параметрам создаваемых полей

6.1 Электростатический потенциал экрана дисплеев на ЭЛТ должен быть не более ±500 В.

6.2 Напряженность электрической составляющей переменного электромагнитного поля дисплея должна быть не более:

25 В/м - в диапазоне частот от 5 Гц до 2 кГц (для дисплеев на ЭЛТ - в точке, расположенной по нормали к центру экрана на расстоянии 0,5 м от экрана дисплея, а для дисплеев портативных компьютеров - в точке, расположенной по нормали к центру экрана на расстоянии 0,4 м от центра клавиатуры портативного компьютера);

2 ,5 В/м - в диапазоне частот от 2 до 400 кГц (для дисплеев на ЭЛТ - в точках, имеющих координаты 0°, 90°, 180°, 270° на расстоянии r = a /2 + 0,5 м, где а - габаритный размер дисплея, измеряемый по нормали к центру экрана. Для дисплеев портативных компьютеров - в точках, имеющих те же координаты, но на расстоянии 0,4 м от центра клавиатуры портативного компьютера).

6.3 Плотность магнитного потока должна быть не более:

250 нТл - в диапазоне частот от 5 Гц до 2 кГц;

25 нТл - в диапазоне частот от 2 до 400 кГц.

Плотность магнитного потока переменного электромагнитного поля дисплея на ЭЛТ устанавливают для обоих диапазонов частот в 48 точках (в горизонтальной плоскости, проходящей через центр экрана, а также в горизонтальных плоскостях, расположенных на 0,3 м выше и ниже указанной плоскости) через 22°30 от нормали к центру экрана, на расстоянии r = a /2 + 0,5 м, где а - габаритный размер дисплея по нормали к центру экрана. Плотность магнитного потока переменного электромагнитного поля дисплея портативного компьютера устанавливают для обоих диапазонов частот в тех же 48 точках, но на расстоянии r = a /2 + 0,4 м от центра клавиатуры портативного компьютера.

7 Требования к конструкции

7.1 Конструкция дисплея должна обеспечивать возможность фронтального наблюдения изображения на экране путем поворота корпуса дисплея вокруг вертикальной оси на ±30° и вокруг горизонтальной оси в пределах от плюс 30° до минус 15° с фиксированием дисплея в заданном положении.

7.2 Корпус дисплея должен быть окрашен в мягкие тона. Корпус дисплея, клавиатура и другие устройства персонального компьютера должны иметь матовую (диффузно отражающую) поверхность одного цвета и не иметь блестящих деталей, способных создавать блики.

7.3 На лицевой стороне корпуса дисплея не рекомендуется располагать органы управления. При необходимости расположения органов управления на лицевой панели они должны быть закрыты крышкой или утоплены в корпусе.

7.4 Конструкция дисплея должна предусматривать наличие органов регулирования яркости и контраста.

7.5 Конструкция дисплея должна обеспечивать максимально возможное снижение уровней электростатического и электромагнитного полей.

7.6 Если в комплект поставки дисплея входит защитный фильтр-экран, то этот фильтр должен быть сертифицирован на соответствие требованиям ГОСТ Р 51658 .

8 Методы контроля

8.1 Методы контроля эргономических параметров и параметров безопасности - по ГОСТ Р 50949 .

8.2 Если в комплект поставки дисплея входит защитный фильтр-экран, то все испытания дисплея на соответствие требованиям настоящего стандарта должны проводиться при установленном на дисплее фильтре.

ПРИЛОЖЕНИЕ А

(обязательное)

ОПРЕДЕЛЕНИЕ ОПТИМАЛЬНЫХ И ПРЕДЕЛЬНО ДОПУСТИМЫХ ДИАПАЗОНОВ ЗНАЧЕНИЙ ОСНОВНЫХ ВИЗУАЛЬНЫХ ПАРАМЕТРОВ ДИСПЛЕЯ

Диапазоны оптимальных и предельно допустимых значений основных визуальных параметров дисплея определяют путем статистического анализа скорости распознавания символов оператором при их случайном (равновероятном) предъявлении на экран дисплея и измерением латентного времени речевой реакции оператора.

Зависимость времени реакции оператора от параметров изображения (яркости, контраста, углового размера знака, расстояния наблюдения, внешней освещенности экрана) имеет четко выраженный минимум. Для каждого из этих переменных параметров определяют значения локальных минимумов, наименьший из которых - глобальный минимум - характеризует данный тип дисплея и условия его эксплуатации. Сочетание значений параметров, соответствующих глобальному минимуму, определяет наиболее комфортные условия. Диапазон изменения параметров, при которых время латентного периода речевой реакции не превышает значения глобального минимума в 1,2 раза, считают оптимальным. Предельно допустимым диапазоном значений параметров считают диапазон изменения параметров, при которых время латентного периода речевой реакции не превышает значения глобального минимума в 1,5 раза.

Оценка качества изображения и комфортности восприятия информации проводится на группе испытуемых операторов не менее 4 человек, которые должны иметь остроту зрения не менее 0,5 дптр (с коррекцией в случае необходимости) при установленном расстоянии наблюдения, нормальную контрастную чувствительность зрения и способность различать цвета.

На рабочем месте оператора должны быть обеспечены условия по ГОСТ Р 50923, если иное не оговорено в ТУ на дисплей конкретного типа.

Оценку качества восприятия проводят на стенде, содержащем персональный компьютер с программой автоматического предъявления информации и статистической обработки результатов испытания, устройство ввода времени латентного периода речевой реакции и испытуемый дисплей. Рабочее место должно быть оснащено необходимыми средствами измерения параметров испытания, а также устройством для изменения внешней освещенности экрана.

На экран дисплея выводят символы рабочего алфавита в случайной (равновероятной) последовательности. Программа предъявления информации должна содержать не менее 50 символов. Число программ предъявления должно быть не менее 100.

Перед началом работы операторы должны пройти тренировку для достижения стабильного уровня значений латентного периода речевой реакции при отсутствии непрогнозируемых ошибок.

Перед выводом символов на экран автоматически подается звуковой сигнал оператору для его готовности. Через 0,5 с после окончания сигнала на экран дисплея выводится символ в заданном участке экрана.

После окончания работы с программой из 50 символов проводят смену операторов.

До начала работы операторов, посредине смены и в конце работы обязательно проводят контрольное предъявление программы из 50 символов в фиксированных условиях наблюдения с целью проверки стабильности результатов и оценки утомленности операторов.

В процессе работы персональный компьютер автоматически регистрирует время латентного периода речевой реакции оператора по каждому символу. По результатам испытаний определяют зависимости времени латентного периода речевой реакции от значений всех переменных факторов. Полученные результаты статистически обрабатывают при доверительной вероятности 0,95. Определяются значения локальных и глобального минимумов в диапазонах изменения переменных факторов эксперимента.

Для уменьшения объема испытаний из перечня визуальных параметров дисплея в качестве переменного выбирают только яркость, для которой, изменяя параметры рабочего места (внешнюю освещенность и угол наблюдения экрана в пределах, оговоренных в ГОСТ Р 50923), а также изменяя угловой размер знака в пределах от 16 до 60, определяют оптимальный и предельно допустимый диапазоны.

Определяют диапазоны переменных факторов, в пределах которых время реакции оператора не превышает 1,2 времени латентного периода при глобальном минимуме (оптимальный диапазон) и 1,5 времени латентного периода при глобальном минимуме (предельно допустимый диапазон).

Ключевые слова: средства отображения информации, визуальный параметр, эмиссионный параметр, яркость, освещенность, контраст, угол наблюдения, безопасность пользователя