Приказ Минюста РФ от 25.07.2012 N 143

"Об утверждении Административного регламента Министерства юстиции Российской Федерации по предоставлению государственной услуги по выдаче физическим и юридическим лицам информации, содержащейся в реестре государственных нотариальных контор и контор нотариусов, занимающихся частной практикой"
Редакция от 25.07.2012 — Документ утратил силу, см. «Приказ Минюста РФ от 29.06.2015 N 147»

Зарегистрировано в Минюсте России 2 августа 2012 г. N 25080


МИНИСТЕРСТВО ЮСТИЦИИ РОССИЙСКОЙ ФЕДЕРАЦИИ

ПРИКАЗ
от 25 июля 2012 г. N 143

ОБ УТВЕРЖДЕНИИ АДМИНИСТРАТИВНОГО РЕГЛАМЕНТА МИНИСТЕРСТВА ЮСТИЦИИ РОССИЙСКОЙ ФЕДЕРАЦИИ ПО ПРЕДОСТАВЛЕНИЮ ГОСУДАРСТВЕННОЙ УСЛУГИ ПО ВЫДАЧЕ ФИЗИЧЕСКИМ И ЮРИДИЧЕСКИМ ЛИЦАМ ИНФОРМАЦИИ, СОДЕРЖАЩЕЙСЯ В РЕЕСТРЕ ГОСУДАРСТВЕННЫХ НОТАРИАЛЬНЫХ КОНТОР И КОНТОР НОТАРИУСОВ, ЗАНИМАЮЩИХСЯ ЧАСТНОЙ ПРАКТИКОЙ

В соответствии с Федеральным законом от 27 июля 2010 г. N 210-ФЗ "Об организации предоставления государственных и муниципальных услуг" (Собрание законодательства Российской Федерации, 2010, N 31, ст. 4179; 2011, N 15, ст. 2038; N 27, ст. 3880; N 29, ст. 4291; N 30, ст. 4587; N 49, ст. 7061), частью третьей статьи 1 Основ законодательства Российской Федерации о нотариате от 11 февраля 1993 г. N 4462-1 (Ведомости Съезда народных депутатов Российской Федерации и Верховного Совета Российской Федерации, 1993, N 10, ст. 357; Собрание законодательства Российской Федерации, 2003, N 50, ст. 4855; 2004, N 27, ст. 2711; N 35, ст. 3607; N 45, ст. 4377; 2005, N 27, ст. 2717; 2006, N 27, ст. 2881; 2007, N 1, ст. 21; N 27, ст. 3213; N 41, ст. 4845; N 43, ст. 5084; 2008, N 52, ст. 6236; 2009, N 1, ст. 14, 20; N 29, ст. 3642; 2010, N 28, ст. 3554; 2011, N 49, ст. 7064; N 50, ст. 7347), постановлением Правительства Российской Федерации от 16 мая 2011 г. N 373 "О разработке и утверждении административных регламентов исполнения государственных функций и административных регламентов предоставления государственных услуг" (Собрание законодательства Российской Федерации, 2011, N 22, ст. 3169, N 35, ст. 5092) приказываю:

1. Утвердить прилагаемый Административный регламент Министерства юстиции Российской Федерации по предоставлению государственной услуги по выдаче физическим и юридическим лицам информации, содержащейся в реестре государственных нотариальных контор и контор нотариусов, занимающихся частной практикой.

2. Признать утратившими силу:

главу 4 Порядка ведения реестра государственных нотариальных контор и контор нотариусов, занимающихся частной практикой, утвержденного приказом Министерства юстиции Российской Федерации от 2 декабря 2003 г. N 306 "Об утверждении порядка ведения реестра государственных нотариальных контор и контор нотариусов, занимающихся частной практикой" (зарегистрирован Минюстом России 8 декабря 2003 г., регистрационный N 5307), с изменениями, внесенными приказами Минюста России от 1 августа 2005 г. N 123 (зарегистрирован Минюстом России 15 августа 2005 г., регистрационный N 6901) и от 27 августа 2008 г. N 182 (зарегистрирован Минюстом России 2 сентября 2008 г., регистрационный N 12214), и приложение N 3 к Порядку ведения реестра государственных нотариальных контор и контор нотариусов, занимающихся частной практикой, утвержденному приказом Министерства юстиции Российской Федерации от 2 декабря 2003 г. N 306;

абзац пятый приказа Министерства юстиции Российской Федерации от 1 августа 2005 г. N 123 "О внесении изменений в приказ Министерства юстиции Российской Федерации от 2 декабря 2003 г. N 306" (зарегистрирован Минюстом России 15 августа 2005 г., регистрационный N 6901);

абзац пятый пункта 1 Изменений, вносимых в нормативные правовые акты Министерства юстиции Российской Федерации, утвержденных приказом Министерства юстиции Российской Федерации от 27 августа 2008 г. N 182 "О внесении изменений в нормативные правовые акты Министерства юстиции Российской Федерации" (зарегистрирован Минюстом России 2 сентября 2008 г., регистрационный N 12214).

Министр
А.В.КОНОВАЛОВ

Приложение
к приказу Министерства юстиции
Российской Федерации
от 25 июля 2012 г. N 143

АДМИНИСТРАТИВНЫЙ РЕГЛАМЕНТ
МИНИСТЕРСТВА ЮСТИЦИИ РОССИЙСКОЙ ФЕДЕРАЦИИ ПО ПРЕДОСТАВЛЕНИЮ ГОСУДАРСТВЕННОЙ УСЛУГИ ПО ВЫДАЧЕ ФИЗИЧЕСКИМ И ЮРИДИЧЕСКИМ ЛИЦАМ ИНФОРМАЦИИ, СОДЕРЖАЩЕЙСЯ В РЕЕСТРЕ ГОСУДАРСТВЕННЫХ НОТАРИАЛЬНЫХ КОНТОР И КОНТОР НОТАРИУСОВ, ЗАНИМАЮЩИХСЯ ЧАСТНОЙ ПРАКТИКОЙ

I. Общие положения

Предмет регулирования административного регламента

1. Административный регламент Министерства юстиции Российской Федерации по предоставлению государственной услуги по выдаче физическим и юридическим лицам информации, содержащейся в реестре государственных нотариальных контор и контор нотариусов, занимающихся частной практикой (далее - Административный регламент), устанавливает порядок и стандарт предоставления государственной услуги по выдаче физическим и юридическим лицам информации, содержащейся в реестре государственных нотариальных контор и контор нотариусов, занимающихся частной практикой (далее - государственная услуга).

2. В соответствии с частью третьей статьи 1 Основ законодательства Российской Федерации о нотариате от 11 февраля 1993 г. N 4462-1 (далее - Основы о нотариате) (Ведомости Съезда народных депутатов Российской Федерации и Верховного Совета Российской Федерации, 1993, N 10, ст. 357; Собрание законодательства Российской Федерации, 2003, N 50, ст. 4855; 2004, N 27, ст. 2711; N 35, ст. 3607; N 45, ст. 4377; 2005, N 27, ст. 2717; 2006, N 27, ст. 2881; 2007, N 1, ст. 21; N 27, ст. 3213; N 41, ст. 4845; N 43, ст. 5084; 2008, N 52, ст. 6236; 2009, N 1, ст. 14, 20; N 29, ст. 3642; 2010, N 28, ст. 3554; 2011, N 49, ст. 7064; N 50, ст. 7347; 2012, N 27, ст. 3587) реестр государственных нотариальных контор и контор нотариусов, занимающихся частной практикой (далее - реестр), ведет федеральный орган исполнительной власти, осуществляющий функции по контролю в сфере нотариата.

Круг заявителей

3. Заявителями при предоставлении государственной услуги являются: физические лица или уполномоченные ими представители; юридические лица или уполномоченные ими представители.

Требования к порядку информирования о предоставлении государственной услуги

4. Место нахождения Министерства юстиции Российской Федерации: 119991, г. Москва, ГСП-1, ул. Житная, д. 14.

Справочный телефон Министерства юстиции Российской Федерации: 8 (495) 955-59-99.

5. Место нахождения структурного подразделения Минюста России, ответственного за предоставление государственной услуги: 117292, г. Москва, ул. Кржижановского, д. 7, к. 1.

Справочные телефоны структурного подразделения Минюста России, ответственного за предоставление государственной услуги: 8 (499) 129-59-88, 125-03-91.

6. Адрес официального сайта Минюста России в сети Интернет: www.minjust.ru, адрес электронной почты: dpppreception@minjust.ru.

7. График работы Министерства юстиции Российской Федерации:

понедельник - четверг - с 9.00 до 12.00, с 12.45 до 18.00;

пятница - с 9.00 до 12.00, с 12.45 до 16.45;

суббота, воскресенье, нерабочие праздничные дни - выходные.

8. Заявители получают информацию по вопросам предоставления государственной услуги по справочным телефонам, а также в информационно-телекоммуникационных сетях общего пользования (в том числе в федеральной государственной информационной системе "Единый портал государственных и муниципальных услуг (функций)" (далее - Единый портал), на информационных стендах Минюста России, в средствах массовой информации.

9. На информационных стендах и интернет-сайте Минюста России размещается следующая информация:

извлечения из законодательных и иных нормативных правовых актов, содержащих нормы, регулирующие деятельность по предоставлению государственной услуги;

текст Административного регламента с приложениями (полная версия на интернет-сайте и извлечения на информационных стендах);

блок-схемы (приложение N 1 к Административному регламенту) и краткое описание порядка предоставления государственной услуги;

порядок информирования о ходе предоставления государственной услуги;

порядок получения консультаций (справок) по вопросам предоставления государственной услуги;

порядок обжалования решений, действий или бездействия федеральных государственных гражданских служащих (далее - государственные служащие), принятых в ходе предоставления государственной услуги.

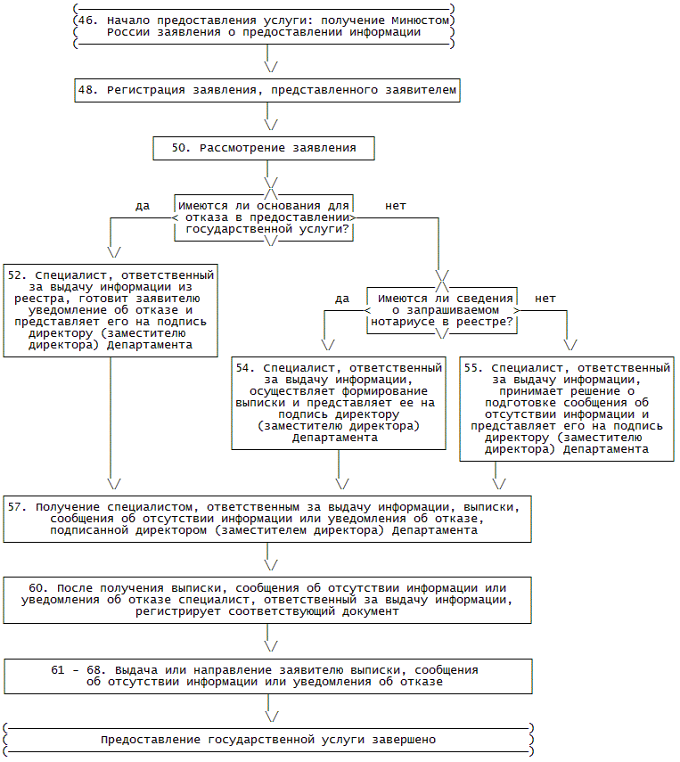
10. При ответах на телефонные звонки и устные обращения граждан государственные служащие подробно и в вежливой (корректной) форме информируют обратившихся по интересующим их вопросам. Ответ на телефонный звонок должен начинаться с информации о наименовании органа, в который позвонил гражданин, фамилии, имени, отчестве (последнее - при наличии) и должности государственного служащего, принявшего телефонный звонок.

При невозможности государственного служащего, принявшего звонок, самостоятельно ответить на поставленные вопросы телефонный звонок должен быть переадресован (переведен) на другое должностное лицо или обратившемуся гражданину должен быть сообщен телефонный номер, по которому можно получить необходимую информацию.

11. Консультирование по вопросам предоставления государственной услуги осуществляется федеральными государственными гражданскими служащими, ответственными за выдачу информации, содержащейся в реестре (далее - государственный служащий, ответственный за выдачу информации).

12. Консультации (справки) по вопросам предоставления государственной услуги предоставляются при личном общении, посредством интернет-сайта Минюста России, телефонной связи или электронной почты.

II. Стандарт предоставления государственной услуги

Наименование государственной услуги

13. Государственная услуга по выдаче физическим и юридическим лицам информации, содержащейся в реестре.

Наименование федерального органа исполнительной власти, предоставляющего государственную услугу

14. Государственная услуга предоставляется Министерством юстиции Российской Федерации.

Иные федеральные органы исполнительной власти и органы государственных внебюджетных фондов, организаций не принимают участия в предоставлении государственной услуги.

Обращение заявителя за оказанием государственной услуги не требует обращения заявителя в иные государственные и муниципальные органы.

Описание результата предоставления государственной услуги

15. Результатом предоставления государственной услуги является:

направление заявителю выписки из реестра (далее - выписка);

направление заявителю сообщения об отсутствии в реестре информации о запрашиваемом нотариусе (далее - сообщение об отсутствии информации);

направление заявителю уведомления об отказе в предоставлении государственной услуги (далее - уведомление об отказе).

Срок предоставления государственной услуги, срок выдачи (направления) документов, являющихся результатом предоставления государственной услуги

16. Срок предоставления государственной услуги не может превышать 10 дней со дня получения соответствующего заявления.

Днем получения заявления считается дата его регистрации в Минюсте России.

17. Срок выдачи (направления) документов, являющихся результатом предоставления государственной услуги, - 2 рабочих дня с момента получения государственным служащим, ответственным за выдачу информации, выписки, сообщения об отсутствии информации или уведомления об отказе, подписанного директором (заместителем директора) Департамента.

Перечень нормативных правовых актов, регулирующих предоставление государственной услуги, с указанием их реквизитов и источников опубликования

18. Предоставление государственной услуги осуществляется в соответствии с:

Конституцией Российской Федерации (Собрание законодательства Российской Федерации, 2009, N 4, ст. 445);

Основами законодательства Российской Федерации о нотариате;

Федеральным законом от 27 июля 2010 г. N 210-ФЗ "Об организации предоставления государственных и муниципальных услуг" (Собрание законодательства Российской Федерации, 2010, N 31, ст. 4179; 2011, N 15, ст. 2038; N 27, ст. 3880; N 29, ст. 4291; N 30, ст. 4587; N 49, ст. 7061);

Указом Президента Российской Федерации от 13 октября 2004 г. N 1313 "Вопросы Министерства юстиции Российской Федерации" (Собрание законодательства Российской Федерации, 2004, N 42, ст. 4108; 2005, N 44, ст. 4535; N 52, ст. 5690; 2006, N 12, ст. 1284; N 19, ст. 2070; N 23, ст. 2452; N 38, ст. 3975; N 39, ст. 4039; 2007, N 13, ст. 1530; N 20, ст. 2390; 2008, N 10, ст. 909; N 29, ст. 3473; N 43, ст. 4921; 2010, N 4, ст. 368; N 19, ст. 2300; 2011, N 21, ст. 2927, ст. 2930; N 29, ст. 4420);

постановлением Правительства Российской Федерации от 16 мая 2011 г. N 373 "О разработке и утверждении административных регламентов исполнения государственных функций и административных регламентов предоставления государственных услуг" (Собрание законодательства Российской Федерации, 2011, N 22, ст. 3169, N 35, ст. 5092);

приказом Министерства юстиции Российской Федерации от 2 декабря 2003 г. N 306 "Об утверждении Порядка ведения реестра государственных нотариальных контор и контор нотариусов, занимающихся частной практикой" (зарегистрирован Министерством юстиции Российской Федерации 8 декабря 2003 г., регистрационный N 5307) (с изменениями, внесенными приказами Министерства юстиции Российской Федерации от 1 августа 2005 г. N 123 "О внесении изменений в приказ Министерства юстиции Российской Федерации от 2 декабря 2003 г. N 306" (зарегистрирован Министерством юстиции Российской Федерации 15 августа 2005 г., регистрационный N 6901), от 1 марта 2006 г. N 31 "О внесении изменений в приказ Министерства юстиции Российской Федерации от 2 декабря 2003 г. N 306" (зарегистрирован Министерством юстиции Российской Федерации 20 марта 2006 г., регистрационный N 7596), от 14 июня 2007 г. N 124 "О внесении изменений в приказы Министерства юстиции Российской Федерации от 29 июля 2002 г. N 211 и от 2 декабря 2003 г. N 306" (зарегистрирован Министерством юстиции Российской Федерации 25 июня 2007 г., регистрационный N 9698), от 10 сентября 2007 г. N 184 "О внесении изменений в приказы Министерства юстиции Российской Федерации от 29 июля 2002 г. N 211 и от 2 декабря 2003 г. N 306" (зарегистрирован Министерством юстиции Российской Федерации 17 сентября 2007 г., регистрационный N 10148), от 27 августа 2008 г. N 182 "О внесении изменений в нормативные правовые акты Министерства юстиции Российской Федерации" (зарегистрирован Министерством юстиции Российской Федерации 2 сентября 2008 г., регистрационный N 12214) (Российская газета, 2003, N 257; 2005, N 185; 2006, N 66; Бюллетень нормативных актов федеральных органов исполнительной власти, 2007, N 27; Российская газета, 2007, N 213; 2008, N 188).

Исчерпывающий перечень документов, необходимых для предоставления государственной услуги

19. Для выдачи информации в Минюст России заявителем (его представителем) представляется заявление о предоставлении информации, содержащейся в реестре государственных нотариальных контор и контор нотариусов, занимающихся частной практикой (далее - заявление), по форме согласно приложению N 2 к Административному регламенту.

20. Заявление направляется в Минюст России в одном экземпляре лично заявителем (его представителем) либо почтовым отправлением.

Заявление может быть выполнено от руки, машинописным способом или распечатано посредством электронных печатающих устройств.

Заявление подписывается лично заявителем (его представителем).

Заявление может быть направлено в электронной виде с использованием сайта Минюста России в сети Интернет или Единого портала.

Заявление в электронном виде заполняется по форме, размещенной на сайте Минюста России в сети Интернет или на Едином портале.

21. Заявление должно содержать следующую информацию:

1) сведения о заявителе, в том числе:

для физического лица - фамилия, имя, отчество (последнее - при наличии), почтовый адрес, адрес электронной почты (при наличии), по которому должен быть направлен ответ;

для юридического лица - наименование юридического лица, дата его государственной регистрации, почтовый и фактический адреса места нахождения;

сведения о документах, уполномочивающих представителя физического лица или юридического лица подавать от их имени заявление;

2) известные заявителю сведения о нотариусе, в отношении которого запрашивается информация.

22. При предоставлении государственной услуги запрещается требовать от заявителя:

предоставления документов и информации или осуществления действий, представление или осуществление которых не предусмотрено нормативными правовыми актами, регулирующими отношения, возникающие в связи с предоставлением государственной услуги;

представления документов и информации, которые в соответствии с нормативными правовыми актами Российской Федерации, нормативными правовыми актами субъектов Российской Федерации и муниципальными правовыми актами находятся в распоряжении государственных органов, предоставляющих государственную услугу, иных государственных органов, органов местного самоуправления и (или) подведомственных государственным органам и органам местного самоуправления организаций, участвующих в предоставлении государственных или муниципальных услуг, за исключением документов, указанных в части 6 статьи 7 Федерального закона от 27 июля 2010 г. N 210-ФЗ "Об организации предоставления государственных и муниципальных услуг".

Исчерпывающий перечень оснований для отказа в приеме документов, необходимых для предоставления государственной услуги

23. Основания для отказа в приеме документов, необходимых для предоставления государственной услуги, отсутствуют.

Исчерпывающий перечень оснований для приостановления или отказа в предоставлении государственной услуги

24. Основания для приостановления предоставления государственной услуги отсутствуют.

25. В предоставлении государственной услуги отказывается, если:

1) в заявлении отсутствуют сведения, предусмотренные пунктом 21 Административного регламента;

2) в заявлении содержатся нецензурные либо оскорбительные выражения, угрозы жизни, здоровью и имуществу должностного лица, а также членов его семьи;

3) заявление не поддается прочтению;

4) фамилия или адрес заявителя не поддаются прочтению.

Перечень услуг, которые являются необходимыми и обязательными для предоставления государственной услуги, в том числе сведения о документе (документах), выдаваемом (выдаваемых) организациями, участвующими в предоставлении государственной услуги

26. Услуг, которые являются необходимыми и обязательными для предоставления государственной услуги, в том числе сведений о документе (документах), выдаваемом (выдаваемых) организациями, участвующими в предоставлении государственной услуги, не имеется.

Порядок, размер и основания взимания государственной пошлины или иной платы, взимаемой за предоставление государственной услуги

27. Предоставление государственной услуги осуществляется без взимания государственной пошлины или иной платы.

Максимальный срок ожидания в очереди при подаче запроса о предоставлении государственной услуги и при получении результата предоставления государственной услуги

28. Срок ожидания заявителя в очереди при подаче заявления не должен превышать 15 минут.

29. Срок ожидания заявителя в очереди при получении результата предоставления государственной услуги не должен превышать 15 минут.

Срок и порядок регистрации запроса заявителя о предоставлении государственной услуги

30. Документы, представленные лично заявителем (его представителем), а также направленные в почтовом отправлении, посредством электронной почты либо Единого портала регистрируются в Минюсте России в день их получения.

Требования к помещениям, в которых предоставляется государственная услуга, к месту ожидания и приема заявителей, размещению и оформлению визуальной, текстовой и мультимедийной информации о порядке предоставления государственной услуги

31. На здании рядом с входом должна быть размещена информационная табличка (вывеска), содержащая следующую информацию:

наименование федерального органа исполнительной власти, осуществляющего предоставление государственной услуги;

место нахождения и юридический адрес;

режим работы;

номера телефонов для справок;

адрес официального сайта федерального органа исполнительной власти.

32. Фасад здания должен быть оборудован осветительными приборами, позволяющими посетителям ознакомиться с информационными табличками.

33. Места для ожидания должны соответствовать комфортным условиям для заявителей, включая инвалидов, и оптимальным условиям работы государственных служащих.

34. Места для ожидания оборудуются стульями, выделяется место для оформления документов, предусматривающее столы с бумагой и канцелярскими принадлежностями.

35. Количество мест для ожидания определяется исходя из фактической нагрузки и возможностей для их размещения в здании, из них не менее одного места - для инвалидов.

36. Помещение для непосредственного взаимодействия государственных служащих с заявителями может быть организовано в виде отдельного кабинета либо в виде отдельного рабочего места для ведущего прием государственного служащего.

37. Кабинет приема заявителей должен быть оборудован информационной табличкой (вывеской) с указанием номера кабинета, фамилии, имени, отчества (последнее - при наличии) и должности государственного служащего, времени перерыва на обед, технического перерыва.

38. Каждое рабочее место государственных служащих должно быть оборудовано телефоном, персональным компьютером с возможностью доступа к необходимым информационным базам данных и печатающим устройством.

Показатели доступности и качества государственной услуги, в том числе количество взаимодействий заявителя с должностными лицами при предоставлении государственной услуги и их продолжительность, возможность получения государственной услуги в многофункциональном центре предоставления государственных и муниципальных услуг, возможность получения информации о ходе предоставления государственной услуги, в том числе с использованием информационно-коммуникационных технологий

39. Показателями доступности предоставления государственной услуги являются:

наличие полной и понятной информации о местах, порядке и сроках предоставления государственной услуги в общедоступных местах в здании Минюста России, в информационно-телекоммуникационных сетях общего пользования (в том числе в сети Интернет), средствах массовой информации, информационных материалах (брошюрах, буклетах);

наличие необходимого и достаточного количества государственных служащих, а также помещений, в которых осуществляются прием документов от заявителей (их представителей), выдача результата предоставления государственной услуги, в целях соблюдения установленных Административным регламентом сроков предоставления государственной услуги.

40. Качество предоставления государственной услуги характеризуется отсутствием:

очередей при приеме заявлений от заявителей (их представителей) и получении результатов предоставления государственной услуги заявителям (их представителям);

обоснованных жалоб на действия (бездействие) государственных служащих;

обоснованных жалоб на некорректное, невнимательное отношение государственных служащих к заявителям (их представителям).

41. Взаимодействие заявителя с государственными служащими осуществляется при личном обращении заявителя:

для подачи заявления;

за получением выписки;

за получением сообщения об отсутствии информации;

за получением уведомления об отказе.

42. Продолжительность взаимодействия заявителя с государственными служащими при предоставлении государственной услуги составляет 20 минут по каждому из указанных видов взаимодействия.

43. Государственная услуга не предоставляется в многофункциональном центре предоставления государственных и муниципальных услуг.

44. Заявитель имеет право на получение сведений о ходе предоставления государственной услуги при помощи телефона, электронной почты.

Для получения сведений о ходе рассмотрения заявления заявителем указываются (называются) дата и входящий номер заявления. Заявителю предоставляются сведения о том, на каком этапе предоставления государственной услуги находится представленное им заявление.

В случае направления заявления с использованием Единого портала для заявителя обеспечивается возможность мониторинга хода предоставления государственной услуги посредством Единого портала.

III. Состав, последовательность и сроки выполнения административных процедур (действий), требования к порядку их выполнения, в том числе особенности выполнения административных процедур (действий) в электронной форме

Состав и последовательность административных процедур

45. Предоставление государственной услуги включает в себя следующие административные процедуры:

1) прием и регистрация заявления, представленного заявителем (представителем заявителя);

2) рассмотрение заявления и формирование выписки либо подготовка сообщения об отсутствии информации или уведомления об отказе;

3) выдача либо направление заявителю (представителю заявителя) выписки, сообщения об отсутствии информации или уведомления об отказе.

Прием и регистрация заявления, представленного заявителем (представителем заявителя)

46. Основанием для начала административной процедуры является получение Минюстом России от заявителя в ходе личного приема, посредством почтового отправления, либо с использованием информационных ресурсов Минюста России в сети Интернет, либо через Единый портал заявления.

47. Для направления заявления в электронном виде на информационных ресурсах Минюста России в сети Интернет, а также на Едином портале обеспечивается доступность для копирования и заполнения в электронном виде формы заявления.

48. Поступившее в Минюст России заявление регистрируется государственным служащим отдела документационного обеспечения Департамента организации и контроля Минюста России в день их поступления.

Дата регистрации заявления в отделе документационного обеспечения Департамента организации и контроля Минюста России является началом исчисления срока предоставления государственной услуги.

49. Заявление после регистрации в установленном порядке в течение одного рабочего дня направляется в Департамент по вопросам правовой помощи и взаимодействия с судебной системой Минюста России (далее - Департамент).

50. Общий срок регистрации заявления не может превышать одного рабочего дня.

Рассмотрение заявления и формирование выписки либо подготовка сообщения об отсутствии информации или уведомления об отказе

51. Основанием для начала административной процедуры является получение государственным служащим, ответственным за выдачу информации, заявления.

52. В случаях, предусмотренных пунктом 25 Административного регламента, государственный служащий, ответственный за выдачу информации из реестра, готовит заявителю (его представителю) уведомление об отказе с указанием причины отказа в предоставлении государственной услуги и представляет его на подпись директору (заместителю директора) Департамента.

Уведомление об отказе с причинами отказа в предоставлении государственной услуги не направляется заявителю в случае, если фамилия и адрес заявителя не поддаются прочтению.

53. Государственный служащий, ответственный за выдачу информации, осуществляет поиск запрашиваемого нотариуса в реестре, который ведется на бумажных и электронных носителях.

54. После того как запрашиваемый нотариус найден в реестре, государственный служащий, ответственный за выдачу информации, осуществляет формирование выписки.

В выписке указывается следующая информация:

1) регистрационный номер нотариуса в реестре;

2) фамилия, имя, отчество (последнее - при наличии) нотариуса;

3) реквизиты приказа о наделении нотариуса полномочиями (наименование органа, издавшего приказ, дата, номер и заголовок);

4) реквизиты приказа о прекращении полномочий нотариуса (наименование органа, издавшего приказ, дата, номер и заголовок);

5) реквизиты лицензии на право нотариальной деятельности (наименование органа, выдавшего лицензию, дата, номер);

6) организационная форма (нотариус, работающий в государственной нотариальной конторе, или нотариус, занимающийся частной практикой);

7) нотариальный округ;

8) адрес государственной нотариальной конторы или адрес помещения для осуществления нотариальной деятельности нотариуса, занимающегося частной практикой;

9) телефон, адрес электронной почты нотариуса.

55. В случае отсутствия сведений о запрашиваемом нотариусе в реестре государственный служащий, ответственный за выдачу информации, принимает решение о подготовке сообщения об отсутствии информации.

56. При принятии решения о выдаче выписки либо сообщения об отсутствии информации государственный служащий, ответственный за выдачу информации, составляет соответственно проект выписки либо проект сообщения об отсутствии информации и представляет его на подпись директору (заместителю директора) Департамента.

57. После подписания выписки, сообщения об отсутствии информации либо уведомления об отказе соответствующие материалы передаются государственному служащему, ответственному за выдачу информации.

58. Общий срок рассмотрения заявления и формирования выписки либо подготовки сообщения об отсутствии информации или уведомления об отказе не должен превышать семи дней.

Выдача либо направление заявителю (представителю заявителя) выписки, сообщения об отсутствии информации или уведомления об отказе

59. Основанием для начала административной процедуры является получение государственным служащим, ответственным за выдачу информации, выписки, сообщения об отсутствии информации или уведомления об отказе, подписанной директором (заместителем директора) Департамента, для направления ее заявителю (представителю заявителя).

60. После получения выписки, сообщения об отсутствии информации или уведомления об отказе государственный служащий, ответственный за выдачу информации, регистрирует соответствующий документ.

61. Если в заявлении не указан способ предоставления выписки, сообщения об отсутствии информации или уведомления об отказе, соответствующие материалы направляются заявителю (представителю заявителя) почтовым отправлением.

62. В случае, если выписка, сообщение об отсутствии информации или уведомление об отказе выдается лично заявителю (представителю заявителя), государственный служащий, ответственный за выдачу информации, сообщает заявителю (представителю заявителя) по телефону или направляет в электронной форме информацию о порядке получения результатов оказания государственной услуги.

63. Для получения выписки, сообщения об отсутствии информации или уведомления об отказе непосредственно в Минюсте России заявитель (представитель заявителя) предъявляет следующие документы:

документ, удостоверяющий личность;

документ, подтверждающий полномочия представителя на получение выписки (если от имени заявителя действует представитель).

64. В случае отсутствия указанных документов государственный служащий, ответственный за выдачу информации, отказывает в передаче выписки, сообщения об отсутствии информации или уведомления об отказе лично заявителю (представителю заявителя), разъясняет причину отказа и осуществляет направление выписки, сообщения об отсутствии информации или уведомления об отказе почтовым отправлением или посредством электронной почты.

65. При получении выписки, сообщения об отсутствии информации или уведомления об отказе лично заявителем (представителем заявителя) он выполняет в заявлении надпись о факте получения выписки, сообщения об отсутствии информации или уведомления об отказе, заверяет надпись своей подписью и передает его государственному служащему, ответственному за выдачу информации.

В случае если заявитель (представитель заявителя) отказывается указывать на факт получения выписки, сообщения об отсутствии информации или уведомления об отказе государственным служащим, ответственным за выдачу информации, делается соответствующая надпись на заявлении.

66. Если заявитель (представитель заявителя) в течение одного рабочего дня с момента получения информации о готовности выписки, сообщения об отсутствии информации или уведомления об отказе не явился за ее получением, государственный служащий, ответственный за выдачу информации, передает ее в отдел документационного обеспечения Департамента организации и контроля Минюста России для отправки почтовым отправлением (в случае наличия в заявлении почтового адреса заявителя) либо посредством электронной почты (в случае наличия в заявлении адреса электронной почты заявителя).

67. Направление выписки, сообщения об отсутствии информации или уведомления об отказе в форме электронных документов осуществляется государственным служащим, ответственным за выдачу информации посредством электронной почты либо Единого портала.

68. При предоставлении сведений в виде электронного документа государственный служащий, ответственный за выдачу информации, направляет по выбору заявителя, указанному в заявлении, сообщение с приложением электронного документа.

69. Общий срок выдачи либо направления заявителю (представителю заявителя) выписки, сообщения об отсутствии информации или уведомления об отказе не должен превышать двух рабочих дней.

IV. Формы контроля за предоставлением государственной услуги

Порядок осуществления текущего контроля за соблюдением и исполнением ответственными должностными лицами положений Административного регламента и иных нормативных правовых актов, устанавливающих требования к предоставлению государственной услуги, а также принятием ими решений

70. Текущий контроль за соблюдением последовательности действий, определенных административными процедурами по предоставлению государственной услуги, осуществляется должностными лицами Минюста России, ответственными за организацию работы по предоставлению государственной услуги.

71. Текущий контроль осуществляется путем проведения должностным лицом, ответственным за организацию работы по предоставлению государственной услуги, проверок соблюдения и исполнения государственными служащими положений Административного регламента.

Порядок и периодичность осуществления плановых и внеплановых проверок полноты и качества предоставления государственной услуги, в том числе порядок и формы контроля за полнотой и качеством предоставления государственной услуги

72. Проверки могут быть плановыми (осуществляться на основании полугодовых или годовых планов работы Минюста России) и внеплановыми. Проверка также может проводиться по конкретному обращению заявителя.

73. Периодичность проверок устанавливается руководством Министерства юстиции Российской Федерации.

Для проведения проверки создается комиссия, в состав которой включаются государственные служащие Минюста России.

Проверка осуществляется на основании распоряжения Минюста России.

74. Результаты проверки оформляются актом, в котором отмечаются выявленные недостатки и предложения по их устранению.

Ответственность должностных лиц федерального органа исполнительной власти за решения и действия (бездействие), принимаемые (осуществляемые) ими в ходе предоставления государственной услуги

75. Ответственность государственных служащих за выполнение административных действий, входящих в состав административных процедур, закрепляется в их должностных регламентах в соответствии с требованиями законодательства Российской Федерации.

76. Государственный служащий, ответственный за выдачу информации, несет ответственность за:

соблюдение сроков и порядка приема заявления;

соблюдение порядка, в том числе сроков, выдачи выписки;

правильность оформления выписки.

77. По результатам проведенных проверок в случае выявления нарушений осуществляется привлечение виновных лиц к ответственности в соответствии с законодательством Российской Федерации.

Требования к порядку и формам контроля за предоставлением государственной услуги, в том числе со стороны граждан, их объединений и организаций

78. Контроль за рассмотрением своих заявлений могут осуществлять заявители на основании полученной в Минюсте России информации.

V. Досудебное (внесудебное) обжалование заявителем решений и действий (бездействия) органа, предоставляющего государственную услугу, должностного лица органа, предоставляющего государственную услугу, либо государственного служащего

79. Заявитель может обратиться с жалобой в том числе в следующих случаях:

1) нарушение срока регистрации запроса заявителя о предоставлении государственной услуги;

2) нарушение срока предоставления государственной услуги;

3) требование у заявителя документов, не предусмотренных нормативными правовыми актами Российской Федерации для предоставления государственной услуги;

4) отказ в приеме документов, предоставление которых предусмотрено нормативными правовыми актами Российской Федерации для предоставления государственной услуги, у заявителя;

5) отказ в предоставлении государственной услуги, если основания отказа не предусмотрены федеральными законами и принятыми в соответствии с ними иными нормативными правовыми актами Российской Федерации;

6) затребование с заявителя при предоставлении государственной услуги платы, не предусмотренной нормативными правовыми актами Российской Федерации;

7) отказ Минюста России, должностного лица Минюста России в исправлении допущенных опечаток и ошибок в выданных в результате предоставления государственной услуги документах либо нарушение установленного срока таких исправлений.

80. Жалоба подается в письменной форме на бумажном носителе либо в электронной форме в Минюст России. Жалобы на решения, принятые руководителем Минюста России, подаются в вышестоящий орган либо рассматриваются непосредственно Министром юстиции Российской Федерации

81. Жалоба может быть направлена по почте, с использованием информационно-телекоммуникационной сети "Интернет", официального сайта Минюста России, Единого портала, а также может быть принята при личном приеме заявителя.

82. Жалоба должна содержать:

1) наименование должностного лица Минюста России либо государственного служащего, решения и действия (бездействие) которых обжалуются;

2) фамилию, имя, отчество (последнее - при наличии), сведения о месте жительства заявителя - физического лица либо наименование, сведения о месте нахождения заявителя - юридического лица, а также номер (номера) контактного телефона, адрес (адреса) электронной почты (при наличии) и почтовый адрес, по которым должен быть направлен ответ заявителю;

3) сведения об обжалуемых решениях и действиях (бездействии) Минюста России, должностного лица Минюста России либо государственного служащего;

4) доводы, на основании которых заявитель не согласен с решением и действием (бездействием) Минюста России, должностного лица Минюста России либо государственного служащего. Заявителем могут быть представлены документы (при наличии), подтверждающие доводы заявителя, либо их копии.

83. Жалоба, поступившая в Минюст России, подлежит рассмотрению должностным лицом, наделенным полномочиями по рассмотрению жалоб, в течение пятнадцати рабочих дней со дня ее регистрации, а в случае обжалования отказа Минюста России, должностного лица Минюста России в приеме документов у заявителя либо в исправлении допущенных опечаток и ошибок или в случае обжалования нарушения установленного срока таких исправлений - в течение пяти рабочих дней со дня ее регистрации.

84. По результатам рассмотрения жалобы Минюст России принимает одно из следующих решений:

1) удовлетворяет жалобу, в том числе в форме отмены принятого решения, исправления допущенных Минюстом России опечаток и ошибок в выданных в результате предоставления государственной услуги документах, возврата заявителю денежных средств, взимание которых не предусмотрено нормативными правовыми актами Российской Федерации, а также в иных формах;

2) отказывает в удовлетворении жалобы.

85. Не позднее дня, следующего за днем принятия решения, указанного в пункте 84 Административного регламента, заявителю в письменной форме и по желанию заявителя в электронной форме направляется мотивированный ответ о результатах рассмотрения жалобы.

86. В случае установления в ходе или по результатам рассмотрения жалобы признаков состава административного правонарушения или преступления должностное лицо, наделенное полномочиями по рассмотрению жалоб в соответствии с пунктом 80 Административного регламента, незамедлительно направляет имеющиеся материалы в органы прокуратуры.

Приложение N 1
к Административному регламенту
Министерства юстиции Российской
Федерации по предоставлению
государственной услуги по выдаче
физическим и юридическим лицам
информации, содержащейся в реестре
государственных нотариальных
контор и контор нотариусов,
занимающихся частной практикой

БЛОК-СХЕМА
ПОСЛЕДОВАТЕЛЬНОСТИ ДЕЙСТВИЙ ПРИ ПРЕДОСТАВЛЕНИИ МИНИСТЕРСТВОМ ЮСТИЦИИ РОССИЙСКОЙ ФЕДЕРАЦИИ ГОСУДАРСТВЕННОЙ УСЛУГИ ПО ВЫДАЧЕ ФИЗИЧЕСКИМ И ЮРИДИЧЕСКИМ ЛИЦАМ ИНФОРМАЦИИ, СОДЕРЖАЩЕЙСЯ В РЕЕСТРЕ ГОСУДАРСТВЕННЫХ НОТАРИАЛЬНЫХ КОНТОР И КОНТОР НОТАРИУСОВ, ЗАНИМАЮЩИХСЯ ЧАСТНОЙ ПРАКТИКОЙ

Блок-схема
общей структуры последовательности действий при предоставлении Министерством юстиции Российской Федерации государственной услуги по выдаче физическим и юридическим лицам информации, содержащейся в реестре государственных нотариальных контор и контор нотариусов, занимающихся частной практикой

Блок-схема
последовательности действий при предоставлении Министерством юстиции Российской Федерации государственной услуги по выдаче физическим и юридическим лицам информации, содержащейся в реестре государственных нотариальных контор и контор нотариусов, занимающихся частной практикой

Приложение N 2
к Административному регламенту
Министерства юстиции Российской
Федерации по предоставлению
государственной услуги по выдаче
физическим и юридическим лицам
информации, содержащейся в реестре
государственных нотариальных
контор и контор нотариусов,
занимающихся частной практикой

Форма заявления
 
                                Директору Департамента по вопросам
                                 правовой помощи и взаимодействия
                                с судебной системой Минюста России
 
                                              Ф.И.О.
 
                         Заявление
     о предоставлении информации, содержащейся в реестре
   государственных нотариальных контор и контор нотариусов,
                занимающихся частной практикой
 
    Заявитель:   Ф.И.О.   физического   лица   либо   наименование
юридического  лица  (в  случае заполнения заявления представителем
физического  либо  юридического  лица  помимо Ф.И.О. представителя
указываются  данные  представляемого (Ф.И.О. физического лица либо
наименование юридического лица) __________________________________
_________________________________________________________________.
 
    Почтовый  адрес,  контактный  телефон/факс,  адрес электронной
почты  (юридическим  лицом  указываются также дата государственной
регистрации     и     фактический     адрес     места нахождения):
__________________________________________________________________
_________________________________________________________________.
 
    Прошу  Вас  предоставить  выписку  из  реестра государственных
нотариальных  контор  и  контор  нотариусов,  занимающихся частной
практикой,            содержащую            информацию          о:
__________________________________________________________________
__________________________________________________________________
_________________________________________________________________.
      (указать необходимую для предоставления информацию)
 
    Способ предоставления информации: ____________________________
_________________________________________________________________.
(лично,  почтовым отправлением, через представителя, в электронном
виде)
 
    (дата)                                               (подпись)