Приказ Росстрахнадзора от 28.06.96 N 02-02/18

"О методике расчета страховых тарифов по видам страхования, относящимся к страхованию жизни"
Редакция от 28.06.1996 — Документ утратил силу, см. «Приказ Минфина РФ от 30.01.2006 N 16Н»

ФЕДЕРАЛЬНАЯ СЛУЖБА РОССИИ ПО НАДЗОРУ ЗА СТРАХОВОЙ ДЕЯТЕЛЬНОСТЬЮ

ПРИКАЗ
от 28 июня 1996 г. N 02-02/18

О МЕТОДИКЕ РАСЧЕТА СТРАХОВЫХ ТАРИФОВ ПО ВИДАМ СТРАХОВАНИЯ, ОТНОСЯЩИМСЯ К СТРАХОВАНИЮ ЖИЗНИ

В целях установления единой методологической базы расчетов страховых тарифов по видам страхования, относящимся к страхованию жизни:

1. Одобрить Методику расчета страховых тарифов по видам страхования, относящимся к страхованию жизни.

2. Рекомендовать страховым организациям Российской Федерации использовать при подготовке документов для получения лицензии по страхованию жизни Методику расчета страховых тарифов по видам страхования, относящимся к страхованию жизни.

Руководитель
Росстрахнадзора
Ю.С.БУГАЕВ

МЕТОДИКА
РАСЧЕТА СТРАХОВЫХ ТАРИФОВ ПО ВИДАМ СТРАХОВАНИЯ, ОТНОСЯЩИМСЯ К СТРАХОВАНИЮ ЖИЗНИ

Настоящая Методика разработана в целях оказания методической помощи при расчете страховых тарифов по видам страхования, относящимся к страхованию жизни.

 

1. ОБЩИЕ ПОЛОЖЕНИЯ

К страхованию жизни относятся виды личного страхования, предусматривающие обязанность страховщика по страховым выплатам в следующих случаях:

- дожитие застрахованного лица до срока или возраста, установленного договором страхования;

- смерть застрахованного.

Договоры страхования жизни заключаются на срок не менее одного года <*>. При этом договоры страхования жизни, заключаемые на случай дожития застрахованного до определенного срока или возраста, могут устанавливать в качестве страхового случая факт дожития застрахованного до срока, установленного не ранее чем через год после вступления договора страхования в силу. Исключение составляют договоры страхования жизни, заключенные на условиях выплаты страховой ренты, вступающие в силу с момента уплаченного единовременно страхового взноса.

<*> "Условия лицензирования страховой деятельности на территории Российской Федерации" утверждены Приказом Росстрахнадзора N 02-02/08 от 19.05.94.

Страховой тариф (брутто - ставка) формируется из нетто - ставки и нагрузки. Настоящая методика устанавливает порядок расчета нетто - ставки страхового тарифа.

Нетто - ставка страхового тарифа по страхованию жизни на дожитие до срока или возраста, установленного договором страхования, или на случай смерти застрахованного исчисляется исходя из условия обеспечения эквивалентности между страховыми взносами и доходностью от инвестирования средств страховых резервов, с одной стороны, и размером подлежащего выплате страхового обеспечения, с другой, по всем договорам страхования, заключенным с таким условием.

Размер нетто - ставки страхового взноса по страхованию жизни исчисляется в зависимости от следующих факторов:

1) возраста и пола страхователя на момент вступления договора страхования в силу либо застрахованного лица, если договор страхования заключается о страховании третьего лица;

2) вида, размера и срока выплаты страхового обеспечения;

3) срока и периода уплаты страховых взносов;

4) срока действий договора страхования;

5) планируемой нормы доходности от инвестирования средств страховых резервов по страхованию жизни, принятой при расчете.

Страховое обеспечение по договорам страхования жизни может выплачиваться страховщиком в виде:

- единовременной выплаты;

- ренты (в течение срока, установленного в договоре страхования, - срочная рента или пожизненно - пожизненная рента).

В договоре страхования жизни выделяют период уплаты страховой премии, выжидательный период и период страховых выплат.

Период уплаты страховой премии - срок, определенный в договоре страхования жизни, в течение которого страхователь обязан уплатить установленную договором страховую премию. При этом страховая премия может быть уплачена единовременным платежом или в рассрочку в течение срока, установленного в договоре страхования, в том числе до момента события (возможного страхового случая), с наступлением которого у страховщика возникает обязанность по страховой выплате.

Выжидательный период устанавливается в договорах страхования жизни, заключенных с условием дожития застрахованного до срока, определенного в договоре страхования, и представляет собой период времени между исполнением страхователем в полном объеме обязательств по уплате страховой премии и наступлением периода страховых выплат.

Период страховых выплат - период, в течение которого возникают и исполняются страховщиком обязательства по осуществлению страховых выплат. Период страховых выплат устанавливается в договоре страхования. Сумма страховой выплаты может быть выплачена единовременно или в виде страховой ренты: срочной или пожизненной.

При расчете страховых тарифов по договорам страхования жизни, заключенным на случай смерти застрахованного, имеют в виду, что страховой случай и обязанности по страховой выплате возникают у страховщика в течение срока, установленного в договоре страхования - срока страхования. При этом договор страхования может быть заключен на определенный срок (не менее одного года) либо пожизненно.

При расчете страховых тарифов по договорам страхования жизни, заключенным на случай дожития застрахованного до срока или возраста, установленного договором, имеют в виду, что обязательства по страховой выплате (в период страховых выплат) возникают у страховщика только при исполнении страхователем в полном объеме обязанности по уплате страховой премии (в период уплаты страховой премии).

Долгосрочность действия договоров страхования жизни и специфика страхового обязательства по страховой выплате определяют требования к расчету страховых тарифов. При этом при расчете страховых тарифов по договорам страхования жизни принимают во внимание следующие обстоятельства:

- увеличение возраста застрахованного в течение срока действия договора страхования жизни изменяет вероятность наступления страхового случая, при этом вероятность страхового случая определяется на основании таблиц смертности;

- суммы страховых выплат, подлежащие выплате при наступлении страхового случая, определяются с учетом процентного дохода от инвестирования средств страховых резервов (суммы страховых взносов в размере нетто - ставки страхового тарифа, уплаченной по договору страхования).

Методика расчета страховых тарифов по видам страхования, относящимся к страхованию жизни, включает следующие основные этапы:

- по каждому риску рассчитывается ожидаемая стоимость страхового обеспечения на единицу страховой суммы, приведенная на момент заключения договора страхования (современная ожидаемая стоимость страхового обеспечения). Полученная величина принимается за единовременную нетто - ставку для конкретного риска. Совокупность нетто - ставок по всем рискам, рассчитанная с учетом характера рисков и их соотношения, представляет собой единовременную нетто - ставку по договору страхования;

- с учетом порядка уплаты взносов страховой премии, установленного договором страхования, определяется их ожидаемая стоимость, приведенная на начало действия договора страхования. В том случае, если условия договора страхования предполагают уплату страховой премии в рассрочку, полученная величина используется в качестве коэффициента рассрочки для расчета периодической годовой (месячной, квартальной, полугодовой) нетто - ставки;

- нетто - ставка по договору страхования, предусматривающему уплату страховой премии в рассрочку, определяется на основе единовременной нетто - ставки и соответствующих условиям страхования коэффициентов рассрочки;

- брутто - ставка рассчитывается на основании полученного значения нетто - ставки и принятой величины нагрузки с учетом, в необходимых случаях, характера распределения во времени расходов, входящих в нагрузку страховщика.

В настоящей Методике рассмотрен общий методический подход к расчету страховых тарифов по видам страхования, относящимся к страхованию жизни, и приведены методы их расчета для некоторых часто применяемых условий страхования.

Во всех случаях предполагается, что норма доходности, принятая при расчете страховых тарифов, постоянна в течение срока действия договора страхования, а доход от инвестирования средств страховых резервов определяется по формуле сложных процентов.

Расчеты страховых тарифов по видам страхования, относящимся к страхованию жизни, называют актуарными расчетами. При их проведении в большинстве стран принята единая система обозначений математических величин и показателей. С целью обеспечения единообразия расчетов такая система обозначений используется и в настоящей Методике.

Использование приближенных формул для высоких процентных ставок ведет к заметному огрублению полученных результатов. Поэтому для процентных ставок, превышающих 50%, рекомендуется использовать точные, а не приближенные формулы.

Примеры расчета страховых тарифов приводятся с использованием данных условной таблицы смертности населения при годовой норме доходности от инвестирования средств страховых резервов, составляющей пять процентов. При расчетах конкретных значений тарифных ставок необходимо использовать таблицы смертности, рассчитанные для региона, в котором проводится страхование, раздельно для мужчин и женщин в силу их различной средней продолжительности жизни. Кроме того, при страховании жизни групп населения, объединенных по некоторым специфическим признакам, например, по роду деятельности (шахтеры, металлурги и др.) или месту проживания (город, сельская местность) использование таблиц смертности, составленных конкретно для них, обеспечит более высокую надежность проводимых расчетов.

2. ОСНОВНЫЕ ПОКАЗАТЕЛИ, ТЕРМИНЫ И ОБОЗНАЧЕНИЯ

В целях обеспечения единообразия актуарных расчетов в настоящей Методике использованы следующие показатели, термины и обозначения.

2.1. ПРОЦЕНТНЫЕ СТАВКИ

2.1.1. Процентная ставка - величина дохода, приносимого единицей денежной суммы в течение определенного промежутка времени, обычно одного года, если не оговорено иного срока. Вместо выражения "процентная ставка" употребляют также термин "норма доходности".

2.1.2. i - эффективная процентная ставка. Определяет размер дохода, получаемого в конце года при инвестировании единичной денежной суммы на один год.

При инвестировании единичной суммы с эффективной процентной ставкой i через год будет получена сумма, равная (1 + i), рис. 1.

В финансовых расчетах часть используется также понятие процента, то есть размера дохода, приносимого денежной суммой в 100 единиц, или 100 i.

рис. 1.

2.1.3. i (m) - номинальная годовая процентная ставка - совокупный размер дохода, получаемого за год при инвестировании единичной денежной суммы с начислением процентов через равные промежутки времени m раз в течение года по формуле сложных процентов с годовой процентной ставкой i.

Номинальная процентная ставка рассчитывается по формуле

В том случае, если число периодов начисления процентов за год составляет m, по окончании каждого периода действия инвестиционного договора на вложенный капитал начисляются проценты по ставке, рис. 2.

рис. 2.
 

 

2.1.4. Доход от инвестирования денежной суммы исчисляется соразмерно времени инвестирования капитала.

В настоящей Методике расчет дохода, полученного от инвестирования страховых взносов, осуществляется с использованием сложных процентов.

В этом случае в конце каждого периода капитализации инвестированных средств полученный доход присоединяется к денежной сумме, которая имелась в момент инвестирования, и далее по истечении каждого периода капитализации происходит увеличение накопленной суммы в той же пропорции, то есть:

где: множитель наращения сложных процентов за t лет;

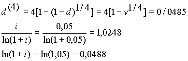
b = ln (1 + i) = - ln (1 - d) - "сила процента" или "сила роста".

Величина P в приведенном выражении представляет собой современную (приведенную, дисконтированную) стоимость выплаты (взноса) в размере S, которая должна быть произведена через t лет.

Сила процента (сила роста) характеризует размер дохода, полученного при непрерывном реинвестировании единичной денежной суммы за бесконечно малый промежуток времени. Сила процента (сила роста) может быть постоянной или изменяющейся во времени, она используется, как правило, для учета сложных закономерностей процесса накопления дохода на вложенный капитал. При постоянной силе процента накопленная стоимость

вложенного капитала P через время t будет измеряться величиной, равной

2.1.5. v - дисконтирующий множитель за 1 год, определяемый в соответствии с формулой:

v = 1
1+i

Дисконтирующий множитель показывает, какая сумма должна быть инвестирована в начале года с эффективной процентной ставкой i для получения в конце года денежной суммы в размере 1, рис. 3.

рис. 3.

Современная (дисконтирования) стоимость будущей выплаты (взноса) равна величине этой выплаты (взноса) S, умноженной на дисконтирующий множитель за соответствующее число лет:

Величина v называется дисконтирующим за t лет множителем.

2.1.6. d - эффективная ставка дисконтирования за год, или годовой дискон. Эффективная ставка дисконтирования представляет собой годовой доход, полученный при инвестировании суммы v с эффективной процентной ставкой i с целью получения в конце года единичной денежной суммы.

Эффективная ставка дисконтирования рассчитывается по формуле

d = 1 - v

Годовой дисконт d представляет собой дисконтированную стоимость процентной ставки. Его можно рассматривать как годовой доход, полученный в результате инвестирования суммы v с годовой процентной ставкой i.

2.1.7. Между величинами i, d, v существует следующая взаимосвязь:

d = 1 - v = 1 - 1/(1 + i) = i/(1 + i) = iv

2.1.8 - номинальная ставка дисконтирования.

Номинальная ставка дисконтирования характеризует размер дохода, полученного при реинвестировании единичной денежной суммы m раз в году.

При инвестировании единичной денежной суммы инвестор в начале каждого периода реинвестирования получает

доход в размере , а в конце года ему возвращается первоначально внесенный единичный взнос, рис. 4.
m

рис. 4.

Размер номинальной ставки дисконтирования рассчитывается в соответствии с формулой

2.1.9. В таблице 1 представлены эквивалентные выплаты, характеризующие различные способы получения дохода, исчисленного с единицы денежной суммы, в зависимости от способа инвестирования денежных средств.

ЭКВИВАЛЕНТНЫЕ ВЫПЛАТЫ ДОХОДА С ЕДИНИЧНОГО КАПИТАЛА

Таблица 1

Условия выплат Моменты времени
0 1/m ... k/m ... 1-1/m 1
Выплата процентов на единицу капитала один раз в конце года с эффективной процентной ставкой i 0 0 ... 0 ... 0 i
Выплата процентов на единицу капитала один раз в начале года с эффективной процентной ставкой i d 0 ... 0 ... 0 0
Выплата процентов на единицу вложенного капитала в конце каждого периода m раз в году с эффективной процентной ставкой 0 ... ...
             
Выплата процентов на единицу вложенного капитала в начале каждого периода m раз в году с эффективной процентной ставкой дисконтирования ... ... 0
             
Сила процента постоянна в течение всего периода инвестирования b

2.2. ПОКАЗАТЕЛИ, ХАРАКТЕРИЗУЮЩИЕ ПРОДОЛЖИТЕЛЬНОСТЬ ЖИЗНИ НАСЕЛЕНИЯ

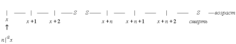
2.2.1. (х) - лицо в возрасте x лет.

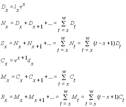
2.2.2. - показатель таблицы смертности, характеризующий число лиц из наблюдаемой совокупности, доживших до возраста x лет. Значения l приводятся в таблице смертности при целых x (x = 0, 1, 2,... w, где w - предельный возраст таблицы смертности).

2.2.3. - показатель таблицы смертности, характеризующий число лиц, умерших в возрасте от x лет до возраста x+1 год.

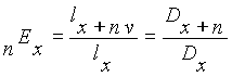
= вероятность для лица в возрасте x лет дожить до возраста x+n лет.
вероятность для лица в возрасте x лет умереть в течение предстоящих n лет.

Примечание. Если n = 1, то индекс 1 в двух вышестоящих обозначениях p и q опускается, так что px - вероятность того, что человек возраста x через год будет жив, qx - вероятность того, что человек возраста x умрет в предстоящем году.

2.2.6. - вероятность того, что лицо, возраста x лет, умрет в возрасте от x + n до x + n + 1 года.

2.2.7. - вероятность того, что лицо, возраста x лет, умрет в возрасте от x + n до x + n + m лет.

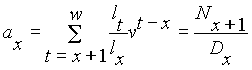
2.2.8. , , , , , - коммутационные функции - специальные функции, введенные для упрощения записи актуарных формул и снижения трудоемкости расчетов, проводимых вручную.

2.2.9. Рента - последовательные выплаты, производимые в сроки, установленные договором страхования, например, ежегодно, раз в полугодие, квартал, месяц или с другой периодичностью.

2.2.10. Рента немедленная - рента, выплата которой начинает производиться в течение первого года действия договора страхования.

2.2.11. Рента отсроченная - рента, выплата которой начинается после дожития застрахованным до определенного срока.

2.2.12. Рента пожизненная - рента, выплачиваемая до момента смерти застрахованного лица.

2.2.13. Рента временная - рента, выплачиваемая застрахованному, не долее установленного договором страхования числа лет, или определенного числа раз.

2.2.14. Рента пренумерандо - рента, выплачиваемая в начале каждого страхового года или другого установленного договором страхования периода.

2.2.15. Рента постнумерандо - рента, выплачиваемая в конце периода, установленного для очередной выплаты страхового обеспечения.

2.2.16. По размеру выплачиваемой ренты (пенсии) различаются условия страхования с постоянными и переменными размерами выплат страхового обеспечения. В последних размер ренты (пенсии) изменяется во времени, следуя установленной договором страхования закономерности.

2.2.17. Аннуитет - в страховании жизни - ожидаемая дисконтированная (приведенная на определенный момент действия договора страхования) стоимость последовательных страховых взносов или выплат.

Аннуитеты используются в актуарных расчетах для оценки современной или наращенной стоимости ренты (пенсии), а также и в качестве коэффициентов рассрочки при определении годичных, полугодовых, квартальных, месячных тарифных ставок, если условиями договора страхования предусмотрена уплата страховых взносов в рассрочку.

Аннуитеты применяются при расчете выкупных сумм, если предусматривается условие досрочного расторжения договора страхования или возврат страховых взносов в случае смерти застрахованного в период действия договора страхования, при расчете нетто - ставок в страховании на дожитие до определенного срока с условием выплаты страхового обеспечения в виде ренты (пенсии) и в ряде других случаев.

2.3. АКТУАРНЫЕ СИМВОЛЫ И ФОРМУЛЫ ДЛЯ РАСЧЕТА АННУИТЕТОВ

Представленные в настоящем разделе аннуитеты являются приведенной ожидаемой стоимостью страховых взносов или страхового обеспечения, выплачиваемого страховщиком страхователю в виде ренты (пенсии) постоянной величины до тех пор, пока застрахованный жив. При этом сумма взносов (ренты, пенсии) за год составляет единичную денежную сумму.

Для записи актуарных символов при расчете аннуитетов используются формулы, приведенные ниже.

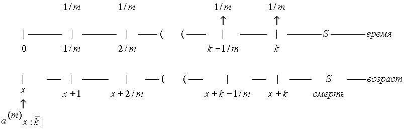
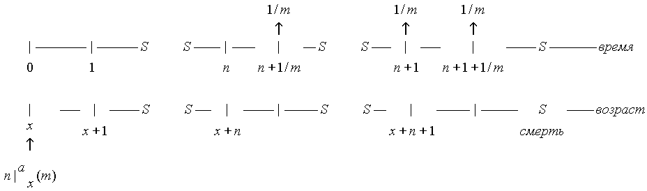
2.3.1. Символом - обозначается аннуитет постнумерандо. При этом индекс справа внизу (х) определяет возраст застрахованного на момент заключения договора страхования. В том случае, если буквы индекса внизу справа от символа, обозначающего аннуитет, разделены двоеточием, то последний знак в индексе означает срок действия договора страхования или период выплаты ренты (пенсии). Отсутствие символа внизу справа, обозначающего срок действия договора страхования, предполагает пожизненный аннуитет постнумерандо.

Индекс слева внизу (n), отделенный от символа "а" вертикальной чертой, используется для обозначения того, на сколько лет отложен срок начала уплаты взносов или выплаты страхового обеспечения (отложенный аннуитет постнумерандо). Отсутствие индекса внизу слева предполагает немедленный аннуитет постнумерандо.

Индекс вверху справа от символа "а", заключенный в круглые скобки (m), предназначен для указания числа периодических выплат ренты, пенсии (уплаты страховых взносов) в течение года. Если указанный индекс отсутствует, то это означает, что рента, пенсия выплачивается один раз в год, или что страховой взнос уплачивается ежегодно.

Символом с двумя точками сверху обозначается аннуитет пренумерандо. Индексы при символе "а" имеют то же значение, что и при обозначении аннуитета постнумерандо.

2.3.2. - немедленный пожизненный аннуитет постнумерандо - приведенная на начало действия договора страхования стоимость пожизненной ренты, пенсии, выплачиваемой с начала действия договора страхования в конце каждого истекшего страхового года до тех пор, пока застрахованный жив.

2.3.3. - немедленный пожизненный аннуитет пренумерандо -приведенная на начало действия договора страхования ожидаемая стоимость пожизненной ренты, пенсии, в размере 1, выплачиваемой немедленно в начале каждого истекшего года действия договора страхования до тех пор, пока застрахованный жив.

2.3.4. - отсроченный на n лет пожизненный аннуитет постнумерандо - приведенная на начало действия договора страхования ожидаемая стоимость пожизненной ренты, пенсии, отсроченной на n лет, при условии, что первая выплата производится через n+1 год после начала действия договора страхования в конце каждого страхового года, если застрахованный к этому времени жив.

2.3.5. - отсроченный на n лет пожизненный аннуитет пренумерандо - приведенная на начало действия договора страхования ожидаемая стоимость пожизненной ренты, пенсии, отсроченной на n лет при условии, что первая выплата производится через n лет после начала действия договора страхования в начале каждого страхового года, если застрахованный к этому времени жив.

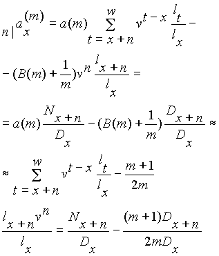
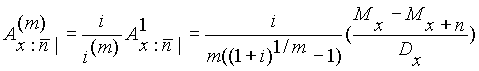
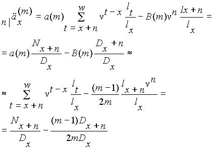
2.3.6. - пожизненный аннуитет постнумерандо, соответствующий приведенной на начало действия договора страхования ожидаемой стоимости пожизненной ренты, пенсии (взносов) в размере 1/m, выплачиваемой m раз в течение года (ежемесячно, ежеквартально, раз в полугодие). Первая выплата производится по истечении 1/m части года от начала действия договора страхования.

 

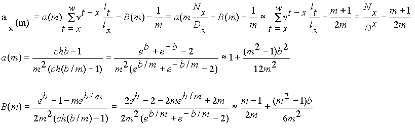
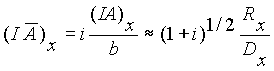
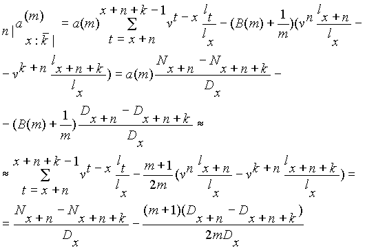
Для упрощения расчетов ниже приведены значения коэффициентов a(m) и B(m) для часто используемых значений m и i.

a(m)

m/i 5% 10% 15% 20% 30% 40% 50%
1 1.000000 1.000000 1.000000 1.000000 1.000000 1.000000 1.000000
2 1.000149 1.000568 1.001221 1.002079 1.004308 1.007093 1.010310
4 1.000186 1.000710 1.001527 1.002600 1.005389 1.008875 1.012908
12 1.000197 1.000752 1.001618 1.002754 1.005709 1.009404 1.013679

B(m)

m/i 5% 10% 15% 20% 30% 40% 50%
1 0.000000 0.000000 0.000000 0.000000 0.000000 0.000000 0.000000
2 0.256174 0.262202 0.268095 0.273861 0.285044 0.295804 0.306186
4 0.382717 0.390254 0.397622 0.404833 0.418824 0.432297 0.445309
12 0.466508 0.474491 0.482296 0.489936 0.504761 0.519039 0.532832

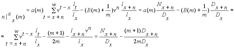
2.3.7. - немедленный пожизненный аннуитет пренумерандо, соответствующий ожидаемой стоимости на начало действия договора страхования пожизненной ренты, пенсии (страховых взносов) в размере 1/m, выплачиваемой m раз в течение года (ежемесячно, ежеквартально, раз в полугодие) до тех пор, пока застрахованный жив. Первая выплата совпадает с началом действия договора страхования.

2.3.8. - отсроченный на n лет пожизненный аннуитет постнумерандо, соответствующий приведенной на начало действия договора страхования ожидаемой стоимости пожизненной ренты, пенсии (взносов) в размере 1/m, выплачиваемой m раз в течение года (ежемесячно, ежеквартально, раз в полугодие). Первая выплата производится по истечении 1/m части года от начала действия договора страхования.

2.3.9. - отсроченный на n лет немедленный пожизненный аннуитет пренумерандо, соответствующий ожидаемой стоимости на начало действия договора страхования пожизненной ренты, пенсии (страховых взносов) в размере 1/m, выплачиваемой m раз в течение года (ежемесячно, ежеквартально, раз в полугодие) до тех пор, пока застрахованный жив. Первая выплата совпадает с началом действия договора страхования.

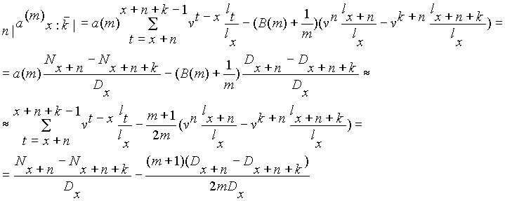
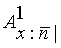
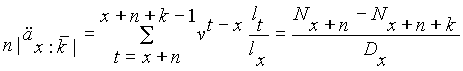
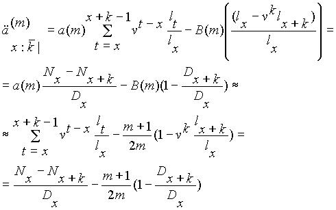
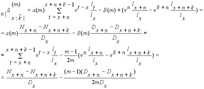
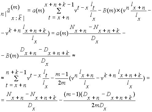
2.3.10. - временный немедленный аннуитет постнумерандо, соответствующий приведенной на начало действия договора страхования ожидаемой стоимости ренты, пенсии в размере единичной денежной суммы, выплачиваемой ежегодно в течение срока, установленного договором страхования (k лет), в конце каждого страхового года при условии, что застрахованный жив.

2.3.11. - временный немедленный аннуитет пренумерандо, соответствующий приведенной на начало действия договора страхования ожидаемой стоимости ренты, пенсии в размере единичной денежной суммы, выплачиваемой ежегодно в течение срока, установленного договором страхования (k лет), в начале каждого страхового года при условии, что застрахованный жив.

2.3.12. - временный отсроченный аннуитет постнумерандо, соответствующий приведенной на начало действия договора страхования ожидаемой стоимости отсроченной на m+1 год временной ренты в размере единичной денежной суммы, выплачиваемой ежегодно, начиная со срока, установленного договором страхования, в конце страхового года, в течение определенного договором числа лет (k лет), если застрахованный жив.

2.3.13. - временный отсроченный аннуитет пренумерандо, соответствующий ожидаемой стоимости отсроченной на m лет временной ренты в размере единичной денежной суммы, выплачиваемой ежегодно, начиная со срока, установленного договором страхования, в начале каждого страхового года, в течение определенного договором числа лет (k лет), если застрахованный жив.

2.3.14. - временный немедленный аннуитет постнумерандо, соответствующий приведенной на начало действия договора страхования ожидаемой стоимости временной ренты в размере 1/m части годовой ренты, выплачиваемой m раз в год в течение срока, установленного договором страхования (k лет), до тех пор, пока застрахованный жив. В случае смерти застрахованного в течение действия договора страхования выплата ренты прекращается. Первая выплата ренты производится по истечении 1/m части года от момента начала действия договора страхования.

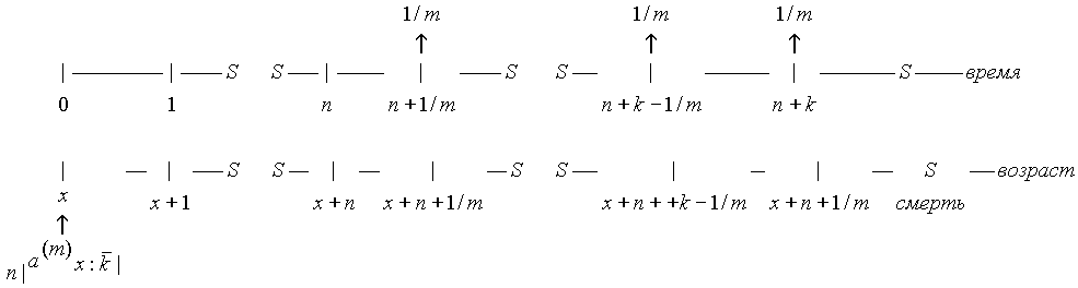
2.3.15. - временный немедленный аннуитет пренумерандо, соответствующий приведенной на начало действия договора страхования ожидаемой стоимости временной ренты в размере 1/m части годовой ренты, выплачиваемой m раз в год в течение срока, установленного договором страхования (k лет), до тех пор, пока застрахованный жив. В случае смерти застрахованного в течение действия договора страхования выплата ренты прекращается. Первая выплата ренты осуществляется в момент начала действия договора страхования.

2.3.16. - отсроченный на n лет временный немедленный аннуитет постнумерандо, соответствующий приведенной на начало действия договора страхования ожидаемой стоимости временной ренты в размере 1/m части годовой ренты, выплачиваемой m раз в год в течение срока, установленного договором страхования (k лет), до тех пор, пока застрахованный жив. В случае смерти застрахованного в течение действия договора страхования выплата ренты прекращается. Первая выплата ренты производится по истечении 1/m части года от момента начала действия договора страхования.

2.3.17. - отсроченный на n лет временный немедленный аннуитет пренумерандо, соответствующий приведенной на начало действия договора страхования ожидаемой стоимости временной ренты в размере 1/m части годовой ренты, выплачиваемой m раз в год в течение срока, установленного договором страхования (k лет), до тех пор, ока застрахованный жив. В случае смерти застрахованного в течение действия договора страхования выплата ренты прекращается. Первая выплата ренты осуществляется в момент начала действия договора страхования.

2.4. ОБОЗНАЧЕНИЯ, ИСПОЛЬЗУЕМЫЕ ПРИ РАСЧЕТЕ ЕДИНОВРЕМЕННЫХ НЕТТО - СТАВОК ПО СТРАХОВАНИЮ ЖИЗНИ

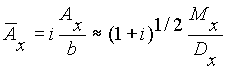
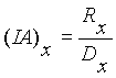
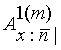
2.4.1. A - единовременная нетто - ставка, используемая при расчете страхового взноса, уплачиваемого при заключении пожизненного договора страхования на случай смерти лицом в возрасте x лет, с условием выплаты страхового обеспечения лицам, указанным в договоре или наследникам единовременно, в сумме, равной 1, в конце страхового года смерти.

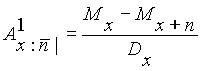
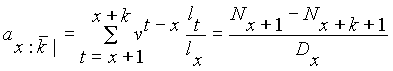
2.4.2. - единовременная нетто - ставка, применяемая при заключении договора страхования на определенный срок (n лет) лицом в возрасте x лет с условием выплаты страховой суммы в размере 1 в случае смерти застрахованного лица выгодоприобретателю (наследнику) по договору страхования в конце страхового года смерти, если застрахованное лицо умрет в течение срока действия договора страхования.

2.4.3. , соответствуют , определенным выше, но выплата страхового обеспечения производится сразу после смерти застрахованного.

2.4.4. , соответствуют и , определенным в п. п. 2.4.1 - 2.4.2, но выплата страхового обеспечения производится по истечении 1/m-ой части страхового года после смерти застрахованного.

2.4.5. или - единовременная нетто - ставка, устанавливаемая при заключении договора страхования с ицом в возрасте x лет с условием выплаты страховой суммы в размере единичной денежной суммы, при дожитии застрахованным до окончания действия договора страхования, заключенного на срок n лет.

2.4.6. - единовременная нетто - ставка, устанавливаемая при заключении договора смешанного страхования с лицом в возрасте x лет с условием выплаты страховой суммы в размере единичной денежной суммы, при дожитии застрахованным до окончания действия договора страхования, заключенного на срок n лет или в случае смерти застрахованного до окончания договора страхования.

2.4.7. единовременная нетто - ставка при пожизненном страховании лица в возрасте x лет на случай смерти. Если смерть произошла в промежутке от n - 1 до n лет после заключения договора страхования, то в конце страхового года, в котором наступила смерть застрахованного, выгодоприобретателю или наследникам выплачивается страховое обеспечение, численно равное количеству лет, прошедших с начала действия договора страхования (n).

2.4.8. - единовременная нетто - ставка, аналогичная , но выплата страхового обеспечения производится сразу после смерти.

2.4.9. - единовременная нетто - ставка при пожизненном страховании ица в возрасте x лет на случай смерти.

Выплата страхового обеспечения в размере t + (k/m) производится сразу после смерти застрахованного, если смерть наступила в промежутке [t+(k-1)/m, t+k/m] лет, где t - целое число страховых лет, прошедших с момента заключения договора страхования, k - часть текущего страхового года, в течение которой наступила смерть застрахованного, 1/m - часть страхового года, по истечении которой размер страхового обеспечения увеличивается на 1/m.

2.4.10. Если договор страхования на случай смерти заключается на n лет, то соответствующие единовременные взносы обозначаются через

3. МЕТОДЫ РАСЧЕТА ОЖИДАЕМОЙ СТОИМОСТИ СТРАХОВОГО ОБЕСПЕЧЕНИЯ, ПРИВЕДЕННОЙ СТОИМОСТИ СТРАХОВОГО ОБЕСПЕЧЕНИЯ, ПРИВЕДЕННОЙ НА НАЧАЛО ДЕЙСТВИЯ ДОГОВОРА СТРАХОВАНИЯ

Показатель ожидаемой стоимости страхового обеспечения, приведенной на начало действия договора страхования, является основой для расчета нетто - ставок по видам страхования, относящимся к страхованию жизни.

В страховании жизни выделяется два основных вида страхования:

- страхования на случай смерти;

- страхование на случай дожития застрахованного до окончания действия договора страхования или другого установленного договором события.

Условиями договора страхования может предусматриваться комбинация основных видов страхования.

3.1. СТРАХОВАНИЕ НА СЛУЧАЙ СМЕРТИ

Страхование на случай смерти может быть пожизненным или временным.

В пожизненном страховании на случай смерти страховщик принимает на себя обязательства, связанные с выплатой страховой суммы, установленной договором страхования, выгодоприобретателю или наследнику застрахованного сразу после его смерти, в конце страхового года, в котором наступила смерть застрахованного, или в конце определенной договором страхования части страхового года.

При временном страховании на случай смерти страховщик обязуется в случае смерти застрахованного в течение срока, установленного договором страхования, выплатить установленную сумму денег выгодоприобретателю (наследнику) застрахованного. Выплата страхового обеспечения может осуществляться сразу после смерти застрахованного, в конце страхового года, в котором наступила смерть застрахованного или в конце определенной договором страхования части страхового года.

В случае дожития застрахованного до окончания срока действия договора страхования страхование прекращается без денежной компенсации со стороны страховой организации.

В таблицах 2 и 3 представлены формулы для расчета ожидаемой стоимости страхового обеспечения, приведенной на начало действия договора страхования, при пожизненном и временном страховании на случай смерти.

ОЖИДАЕМАЯ СТОИМОСТЬ СТРАХОВОГО ОБЕСПЕЧЕНИЯ, ПРИВЕДЕННАЯ НА НАЧАЛО ДЕЙСТВИЯ ДОГОВОРА СТРАХОВАНИЯ, ПРИ ПОЖИЗНЕННОМ СТРАХОВАНИИ НА СЛУЧАЙ СМЕРТИ

Таблица 2

Величина страхового обеспечения Срок выплаты страхового обеспечения Формулы для расчета ожидаемой стоимости страхового обеспечения, приведенной на начало действия договора страхования
1 В конце страхового года, в котором наступила смерть застрахованного
1 Сразу после смерти застрахованного
1 В конце страхового года, в котором наступила смерть застрахованного
k, если смерть наступила в возрасте от x + k - 1 до x + k, k = 1, 2, 3... Сразу после смерти застрахованного
t, если смерть наступила в возрасте x + t лет Сразу после смерти застрахованного
k, если смерть наступила в возрасте от x + k - 1 до x + k, k = 1, 2, 3,.. В конце m-ой части страхового года, в котором наступила смерть застрахованного
k/m, если смерть наступила в возрасте от x + (k/m) - 1 до x + (k/m), k=1, 2, 3,.. Сразу после смерти застрахованного

ОЖИДАЕМАЯ СТОИМОСТЬ СТРАХОВОГО ОБЕСПЕЧЕНИЯ, ПРИВЕДЕННАЯ НА НАЧАЛО ДЕЙСТВИЯ ДОГОВОРА СТРАХОВАНИЯ, ПРИ ВРЕМЕННОМ (НА N ЛЕТ) СТРАХОВАНИИ НА СЛУЧАЙ СМЕРТИ <*>

Таблица 3

Величина страхового обеспечения Срок выплаты страхового обеспечения Формулы для расчета ожидаемой стоимости страхового обеспечения, приведенной на начало действия договора страхования
1 В конце страхового года, в котором наступила смерть застрахованного
1 Сразу после смерти застрахованного
1 В конце m-ой части страхового года, в котором наступила смерть застрахованного
k, если смерть наступила в возрасте от x + k - 1 до x + k, k = 1, 2, 3... В конце страхового года, в котором наступила смерть застрахованного
k, если смерть наступила в возрасте от x + k - 1 до x + k, k = 1, 2, 3,... Сразу после смерти застрахованного
k/m, если смерть наступила в возрасте от x + (k/m) - 1 до x + (k/m), k = 1, 2, 3,... Сразу после смерти застрахованного

<*> При дожитии застрахованного до окончания действия договора страхования ответственность страховщика по договору не наступает.

3.2. СТРАХОВАНИЕ НА СЛУЧАЙ ДОЖИТИЯ ЗАСТРАХОВАННОГО ДО ОКОНЧАНИЯ ДЕЙСТВИЯ ДОГОВОРА СТРАХОВАНИЯ

При страховании на дожитие до определенного договором страхования срока (события) страховая организация берет на себя обязательство выплатить застрахованному определенную договором страхования сумму денег единовременно или в виде ренты (пенсии), если застрахованное лицо доживет до установленного срока. В случае смерти застрахованного ранее наступления этого срока страховая организация либо освобождается от обязательств по договору страхования, либо возвращает выкупную сумму в размере, не превышающем сумму резерва взносов на момент смерти застрахованного.

В таблицах 4 - 5 представлены формулы для расчета ожидаемой стоимости страхового обеспечения, приведенной на начало действия договора страхования, по страхованию на дожитие до срока, установленного договором страхования с различными условиями выплаты страхового обеспечения.

ОЖИДАЕМАЯ СТОИМОСТЬ СТРАХОВОГО ОБЕСПЕЧЕНИЯ, ПРИВЕДЕННАЯ НА НАЧАЛО ДЕЙСТВИЯ ДОГОВОРА СТРАХОВАНИЯ, ПО СТРАХОВАНИЮ НА ДОЖИТИЕ ДО СРОКА, УСТАНОВЛЕННОГО ДОГОВОРОМ СТРАХОВАНИЯ С ВЫПЛАТОЙ СТРАХОВОГО ОБЕСПЕЧЕНИЯ ЕДИНОВРЕМЕННО И В ВИДЕ ПОЖИЗНЕННОЙ РЕНТЫ (ПЕНСИИ).

Таблица 4

Форма выплаты страхового обеспечения Величина страхового обеспечения Срок выплаты страхового обеспечения Формула для расчета ожидаемой стоимости страхового обеспечения, приведенной на начало действия договора страхования
единовременно 1 при дожитии до возраста x + n
в виде ежегодной пожизненной ренты 1, ежегодно, в конце года первая выплата через год после начала договора страхования
в виде ежегодной пожизненной ренты 1, в начале страхового года первая выплата немедленно после начала договора страхования
в виде ежегодной пожизненной ренты, отсроченной на n лет 1, ежегодно, в конце года первая выплата при достижении возраста, установленного договором страхования в (x + n + 1) год
в виде ежегодной пожизненной ренты, отсроченной на n лет 1, в начале страхового года первая выплата при достижении возраста, установленного договором страхования в (x + n) год
в виде пожизненной ренты, выплачиваемой m раз в году по 1/m, m раз в течение года первая выплата по истечении m-ой части года, последующие - в конце каждой m-ой части года
в виде пожизненной ренты, выплачиваемой m раз в году по 1/m, m раз в течение страхового года в начале каждого 1/m интервала времени первая выплата немедленно после начала договора страхования, последующие - в начале каждой m-ой части года
в виде пожизненной ренты, отсроченной на n лет, выплачиваемой m раз в году 1/m, m раз в год, в конце каждого 1/m интервала времени первая выплата при достижении возраста x + n + 1/m лет
в виде пожизненной ренты, отсроченной на n лет, выплачиваемой m раз в году 1/m, m раз в год, в начале каждого 1/m интервала времени первая выплата при достижении возраста x + n лет

ОЖИДАЕМАЯ СТОИМОСТЬ СТРАХОВОГО ОБЕСПЕЧЕНИЯ, ПРИВЕДЕННАЯ НА НАЧАЛО ДЕЙСТВИЯ ДОГОВОРА СТРАХОВАНИЯ, ПРИ СТРАХОВАНИИ НА ДОЖИТИЕ ЗАСТРАХОВАННОГО ДО СРОКА, УСТАНОВЛЕННОГО ДОГОВОРОМ СТРАХОВАНИЯ, С ВЫПЛАТОЙ СТРАХОВОГО ОБЕСПЕЧЕНИЯ В ВИДЕ РЕНТЫ (ПЕНСИИ) В ТЕЧЕНИЕ ОГРАНИЧЕННОГО ЧИСЛА ЛЕТ

Таблица 5

Срок первой выплаты ренты (пенсии) Величина страхового обеспечения при очередной выплате Периодичность выплат ренты (пенсии) Ожидаемая стоимость страхового обеспечения, приведенная на начало действия договора страхования
В конце первого года страхования 1 ежегодно в конце страхового года
Немедленно 1 ежегодно в начале страхового года
Через n + 1 год после начала действия договора страхования 1 ежегодно в конце страхового года
Через n лет после начала действия договора страхования 1 ежегодно в начале страхового года
В конце m-ой части первого года страхования 1/m m раз в течение страхового года, в конце каждой m-ой части года
Немедленно 1/m m раз в течение страхового года, в начале каждой m-ой части года
Через n + 1/m года после начала действия договора страхования 1/m m раз в течение страхового года, в конце каждой m-ой части года
Через n лет после начала действия договора страхования 1/m m раз в течение страхового года, в начале каждой m-ой части года

4. МЕТОДЫ РАСЧЕТА ЕДИНОВРЕМЕННЫХ НЕТТО - СТАВОК

4.1. МЕТОДЫ РАСЧЕТА ЕДИНОВРЕМЕННЫХ НЕТТО - СТАВОК ПО ВИДАМ СТРАХОВАНИЯ, ОТНОСЯЩИМСЯ К СТРАХОВАНИЮ ЖИЗНИ, УСЛОВИЯМИ ПРОВЕДЕНИЯ КОТОРЫХ НЕ ПРЕДУСМОТРЕН ВОЗВРАТ СТРАХОВЫХ ВЗНОСОВ ПРИ СМЕРТИ ЗАСТРАХОВАННОГО ДО НАСТУПЛЕНИЯ СТРАХОВОГО СЛУЧАЯ

В качестве единовременных нетто - ставок по видам страхования, относящимся к страхованию жизни, условиями проведения которых не предусмотрен возврат страховых взносов при смерти застрахованного до наступления страхового случая, используются показатели ожидаемой стоимости страхового обеспечения, приведенной на начало действия договора страхования, соответствующие условиям проведения страхования.

В том случае, если страховщик принимает на себя обязательства по выплате страхового обеспечения по нескольким рискам на одинаковую страховую сумму, соответствующие нетто - ставки суммируются. Если по разным рискам договором страхования установлен различный лимит ответственности страховщика, нетто - ставки суммируются с весами, учитывающими размер обеспечения по каждому риску.

4.2. МЕТОДЫ РАСЧЕТА ЕДИНОВРЕМЕННЫХ НЕТТО - СТАВОК ПО ВИДАМ СТРАХОВАНИЯ, ОТНОСЯЩИМСЯ К СТРАХОВАНИЮ ЖИЗНИ, УСЛОВИЯМИ ПРОВЕДЕНИЯ КОТОРЫХ ПРЕДУСМОТРЕН ВОЗВРАТ СТРАХОВЫХ ВЗНОСОВ ПРИ СМЕРТИ ЗАСТРАХОВАННОГО ДО НАСТУПЛЕНИЯ СТРАХОВОГО СЛУЧАЯ

По договорам страхования, условиями которых предусмотрен возврат страховых взносов при смерти застрахованного до наступления страхового случая, размер единовременной нетто - ставки, учитывающей дожитие или ренту, определяется в соответствии с формулой

H = B
1 - F

где: H - единовременная нетто - ставка;

В - приведенная на начало действия договора страхования ожидаемая стоимость страхового обеспечения соответствующая условиям проведения страхования (см. таблицы 2 - 5);

F - приведенная на начало действия договора страхования ожидаемая стоимость страхового взноса при смерти застрахованного до наступления страхового случая (см. таблицы 2 - 3).

5. МЕТОДЫ РАСЧЕТА НЕТТО - СТАВОК ПРИ УСЛОВИИ УПЛАТЫ СТРАХОВОЙ ПРЕМИИ В РАССРОЧКУ

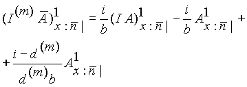
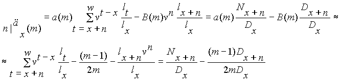
При условии уплаты страховой премии в рассрочку (ежегодно, раз в полугодие, ежеквартально, ежемесячно), с возвратом уплаченных взносов (с учетом их инвестирования или без такового) при смерти застрахованного до наступления страхового случая или без возврата взносов, уплаченных до наступления страхового случая, нетто - ставки рассчитываются путем деления единовременной нетто - ставки на коэффициенты рассрочки. В качестве коэффициентов рассрочки используются аннуитеты, соответствующие порядку уплаты взносов, установленному договором страхования, табл. 6.

КОЭФФИЦИЕНТЫ РАССРОЧКИ ДЛЯ РАСЧЕТА НЕТТО - СТАВОК

Таблица 6

Порядок уплаты страховых взносов Без возврата взносов Возврат взносов без учета их инвестирования Возврат взносов с учетом их инвестирования
пожизненная ежегодная уплата страховых взносов в начале страхового года --- ---
ежегодная уплата взносов в течение k лет в начале страхового года, если застрахованный жив
пожизненная уплата страховых взносов m раз в течение страхового года, в начале каждого m-го периода года --- ---
уплата взносов в течение действия k лет, m раз в течение года, в начале каждого m-го периода года, если застрахованный жив

Здесь есть стоимость на начальный момент времени t серии из n выплат в сумме 1 каждая, производимых через единичные интервалы времени, начиная с момента t. - стоимость на интервалы времени, начиная с момента t. - стоимость на начальный момент времени t серии из nm выплат в сумме 1/m каждая, производимых через интервалы времени 1/m, начиная с момента t. Значения , вычисляются по формулам:

Значения других актуарных символов приведены в таблицах 2 - 5.

ПРИМЕРЫ РАСЧЕТА НЕТТО - СТАВОК

Во всех примерах расчета нетто - ставок эффективная процентная ставка i = 0,05.

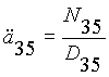
В момент заключения договора застрахованному x = 35 лет.

Нетто - ставки определяются на основе таблицы смертности, приведенной в Приложении, и соответствующих ей коммутационных чисел.

Во всех примерах, кроме примера 6, страховая сумма равна 1. Если по договору страхования предусмотрено увеличение страхового обеспечения в зависимости от времени, истекшего с момента заключения договора, то их величины составляют 1, 2, 3,... Формулы для расчета аннуитетов приведены в разделе 2.3.

Пример 1. Пожизненное страхование на случай смерти.

1.1. Единовременная нетто - ставка.

Если выплата страхового обеспечения производится в конце страхового года, в котором наступила смерть застрахованного,

Если выплата страхового обеспечения производится сразу после смерти застрахованного,

Если выплата страхового обеспечения производится в конце месяца, в котором наступила смерть застрахованного,

1.2. Страховые взносы уплачиваются ежегодно, в начале каждого года действия договора страхования. Выплата страхового обеспечения производится в конце страхового года, в котором наступила смерть застрахованного. Единовременная нетто - ставка, когда выплата производится в конце страхового года, в котором наступила смерть застрахованного,

Ожидаемая стоимость взносов, приведенная на начало действия договора страхования

Ежегодная нетто - ставка

1.3. Страховые взносы уплачиваются в течение 10 лет в рассрочку, по 12 раз в году, в начале каждого месяца. Выплата страхового обеспечения производится сразу после смерти застрахованного. Единовременная нетто - ставка при выплате страхового обеспечения сразу после смерти застрахованного равна

Ожидаемая стоимость накопленных взносов описывается аннуитетом

Отсюда, ежегодная нетто - ставка

Ежемесячная нетто - ставка

Пример 2. Страхование на дожитие до окончания действия договора страхования сроком на 10 лет без возврата взносов при недожитии.

2.1. Единовременная нетто - ставка

2.2. Страховые взносы уплачиваются ежегодно в начале страхового года в течение 10 лет. Их ожидаемая стоимость равна

Ежегодная нетто - ставка

Пример 3. Страхование на случай дожития до окончания действия договора страхования и смерти в течение действия договора страхования.
 

Срок действия договора 10 лет. В случае смерти застрахованного, страховое обеспечение выплачивается в конце месяца, в котором наступила смерть застрахованного.

Здесь - единовременная нетто - ставка по риску смерти с условием выплаты страхового возмещения в конце месяца, в котором наступила смерть застрахованного.

- единовременная нетто - ставка на дожитие застрахованного до окончания действия договора страхования (до 45 лет). Из предыдущего примера = 0,592

Единовременная нетто - ставка на случай смерти

Суммарная нетто - ставка

3.2. Взносы вносятся ежеквартально, в начале каждого квартала (m = 4). Их ожидаемая стоимость в момент заключения договора страхования

так, что величина годовой нетто - ставки

а ежеквартальная нетто - ставка

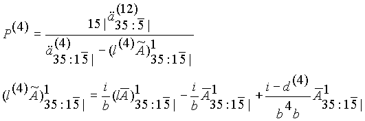
Пример 4. Страхование на дожитие до 50 лет
с выплатой страхового обеспечения в виде одинаковых по величине пенсий, выплачиваемых по 12 раз в течение года, начиная с возраста 50 лет, в течение 5 лет. Если застрахованный умирает до 50 лет, его семье возвращается нетто - взнос (или взносы). Страховые взносы возвращаются сразу после смерти застрахованного.
 

4.1. Страховые взносы возвращаются без учета их инвестирования. Ожидаемую стоимость страхового обеспечения определяем по формуле из раздела 2.3. Из условий страхования принимаем единовременный взнос на случай смерти равным , а ожидаемые пенсионные выплаты .

Единовременный нетто - взнос Y

4.2. Годовые взносы, одинаковые по величине, вносятся ежегодно в начале каждого квартала в течение 15 лет.

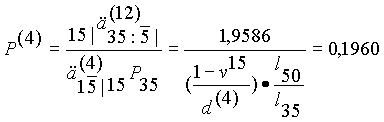
Годовой нетто - взнос P(4) определим по формуле, из главы 5, с учетом условий договора таблицы 6:

Подставляя сюда

получаем

Ежеквартальный нетто - взнос

4.3. В случае, если застрахованный умрет до получения первой пенсии, страховые взносы возвращаются с процентами. Единовременный нетто - взнос Y определим по формуле:

4.4. Годовые взносы, одинаковые по величине, вносятся ежегодно в начале каждого квартала в течение 15 лет.

Годовой нетто - взнос P(4) определим по формуле, из главы 5, с учетом условий договора таблицы 6:

Ежеквартальный нетто - взнос

Во всех приведенных примерах нетто - взносы приведены к единичной выплате. Если реальная выплата по условиям договора страхования должна быть равна C (или серия выплат - пенсий C, 2C, 3C,..), то полученные нетто - взносы надо умножить на c: годовые взносы равны CP, единовременный - CY. Если возраст застрахованного в момент заключения договора страхования равен x + u, где x - целое число, а 0 < u < 1, то единовременный нетто - взнос Y(x + u) и ежегодные нетто - взносы P(x + u) допускается определять линейной интерполяцией между нетто - взносами, соответствующими возрастам x и x + 1:

Y(x+u) = (1-u)Y(x)+uY(x+1),
P(x+u) = (1-u)P(x)+uP(x+1).

Приложение

УСЛОВНАЯ ТАБЛИЦА КОММУТАЦИОННЫХ ЧИСЕЛ ПРИ НОРМЕ ДОХОДНОСТИ I = 0,005

x Лет lx dx Dx Nx Sx Cx Mx Rx
0 100000 1923 100000 1963929 36345698 1831.43 6478 233048
1 98077 173 93407 1863929 34381770 156.92 4647 226570
2 97904 80 88802 1770522 32517841 69.11 4490 221923
3 97824 65 84504 1681720 30747319 53.48 4421 217433
4 97759 56 80427 1597216 29065599 43.88 4367 213012
5 97703 55 76553 1516789 27468383 41.04 4323 208645
6 97648 55 72866 1440237 25951593 39.09 4282 204321
7 97593 53 69358 1367370 24511357 35.87 4243 200039
8 97540 50 66019 1298013 23143987 32.23 4207 195795
9 97490 44 62843 1231994 21845974 27.01 4175 191588
10 97446 39 59823 1169151 20613980 22.80 4148 187413
11 97407 37 56952 1109327 19444829 20.60 4125 183265
12 97370 40 54219 1052376 18335502 21.21 4105 179139
13 97330 47 51616 998156 17283126 23.74 4084 175034
14 97283 60 49135 946540 16284970 28.86 4060 170951
15 97223 74 46766 897406 15338430 33.90 4031 166891
16 97149 88 44505 850640 14441024 38.39 3997 162860
17 97061 101 42347 806135 13590384 41.97 3959 158863
18 96960 111 40289 763787 12784250 43.93 3917 154904
19 96849 117 38326 723498 12020462 44.10 3873 150987
20 96732 121 36457 685172 11296964 43.43 3829 147114
21 96611 124 34678 648715 10611792 42.39 3785 143286
22 96487 127 32984 614037 9963078 41.35 3743 139500
23 96360 131 31372 581053 9349041 40.62 3702 135758
24 96229 134 29838 549681 8767988 39.57 3661 132056
25 96095 138 28377 519843 8218307 38.81 3621 128395
26 95957 141 26987 491466 7698464 37.77 3583 124774
27 95816 144 25664 464479 7206998 36.73 3545 121191
28 95672 148 24405 438815 6742519 35.96 3508 117646
29 95524 152 23207 414410 6303704 35.17 3472 114138
30 95372 159 22067 391202 5889294 35.04 3437 110666
31 95213 169 20981 369135 5498092 35.47 3402 107229
32 95044 183 19947 348154 5128956 36.58 3366 103827
33 94861 201 18960 328208 4780802 38.26 3330 100461
34 94660 220 18019 309248 4452594 39.88 3292 97131
35 94440 240 17121 291229 4143346 41.44 3252 93840
36 94200 257 16264 274108 3852118 42.26 3210 90588
37 93943 273 15448 257843 3578010 42.75 3168 87378
38 93670 286 14669 242396 3320167 42.66 3125 84210
39 93384 302 13928 227727 3077771 42.90 3083 81084
40 93082 321 13222 213799 2850044 43.43 3040 78002
41 92761 347 12549 200577 2636246 44.71 2996 74962
42 92414 382 11907 188028 2435669 46.87 2952 71966
43 92032 424 11293 176121 2247641 49.55 2905 69014
44 91608 471 10705 164828 2071520 52.42 2855 66110
45 91137 517 10143 154123 1906691 54.80 2803 63254
46 90620 559 9605 143980 1752568 56.43 2748 60452
47 90061 594 9092 134374 1608589 57.11 2691 57704
48 89467 622 8602 125283 1474214 56.95 2634 55012
49 88845 648 8135 116681 1348931 56.51 2577 52378
50 88197 676 7691 108546 1232250 56.14 2521 49800
51 87521 715 7269 100855 1123704 56.55 2465 47280
52 86806 769 6866 93586 1022849 57.93 2408 44815
53 86037 838 6481 86720 929262 60.12 2350 42407
54 85199 919 6112 80239 842542 62.79 2290 40056
55 84280 1005 5759 74127 762302 65.40 2227 37766
56 83275 1087 5419 68368 688176 67.37 2162 35539
57 82188 1159 5094 62949 619807 68.41 2095 33377
58 81029 1219 4783 57856 556858 68.52 2026 31282
59 79810 1273 4486 53073 499002 68.15 1958 29256
60 78537 1330 4205 48587 445929 67.81 1890 27298
61 77207 1400 3936 44382 397342 67.98 1822 25409
62 75807 1483 3681 40446 352959 68.58 1754 23587
63 74324 1578 3437 36765 312514 69.50 1685 21833
64 72746 1679 3204 33328 275749 70.43 1616 20148
65 71067 1785 2981 30124 242421 71.31 1545 18532
66 69282 1895 2768 27143 212297 72.10 1474 16987
67 67387 2007 2564 24375 185155 72.72 1402 15513
68 65380 2122 2369 21811 160780 73.23 1329 14111
69 63258 2237 2183 19442 138969 73.52 1256 12782
70 61021 2353 2006 17259 119526 73.65 1182 11526
71 58668 2466 1836 15254 102267 73.51 1109 10344
72 56202 2576 1675 13417 87014 73.14 1035 9235
73 53626 2680 1522 11742 73597 72.46 962 8200
74 50946 2777 1378 10219 61855 71.51 890 7238
75 48169 2862 1240 8842 51636 70.19 818 6349
76 45307 2936 1111 7601 42794 68.58 748 5531
77 42371 2994 990 6490 35193 66.60 679 4783
78 39377 3034 876 5500 28703 64.28 613 4103
79 36343 3052 770 4624 23202 61.58 548 3491
80 33291 3048 672 3855 18578 58.57 487 2942
81 30243 3017 581 3183 14723 55.21 428 2455
82 27226 2959 498 2602 11540 51.57 373 2027
83 24267 2872 423 2103 8939 47.67 321 1654
84 21395 2756 355 1680 6835 43.57 274 1333
85 18639 2612 295 1325 5155 39.33 230 1059
86 16027 2443 241 1031 3830 35.03 191 828
87 13584 2251 195 789 2799 30.74 156 638
88 11333 2039 155 595 2010 26.52 125 482
89 9294 1815 121 440 1415 22.48 99 357
90 7479 1584 93 319 976 18.69 76 258
91 5895 1353 70 226 657 15.20 57 182
92 4542 1129 51 157 430 12.08 42 124
93 3413 917 37 106 274 9.34 30 82
94 2496 725 25 69 168 7.04 21 52
95 1771 555 17 44 99 5.13 14 31
96 1216 411 11 27 55 3.62 9 17
97 805 292 7 15 29 2.45 5 9
98 513 200 4 8 13 1.60 3 4
99 313 131 2 4 5 1.00 1 1
100 182 182 1 1 1 0.00 0 0