Постановление Правительства РФ от 31.10.2011 N 874

"Об утверждении Правил предоставления и распределения субсидий из федерального бюджета бюджетам субъектов Российской Федерации на возмещение части затрат крестьянских (фермерских) хозяйств, включая индивидуальных предпринимателей, при оформлении в собственность используемых ими земельных участков из земель сельскохозяйственного назначения"
Редакция от 25.05.2016 — Документ не действует
Показать изменения

ПРАВИТЕЛЬСТВО РОССИЙСКОЙ ФЕДЕРАЦИИ

ПОСТАНОВЛЕНИЕ
от 31 октября 2011 г. N 874

ОБ УТВЕРЖДЕНИИ ПРАВИЛ ПРЕДОСТАВЛЕНИЯ И РАСПРЕДЕЛЕНИЯ СУБСИДИЙ ИЗ ФЕДЕРАЛЬНОГО БЮДЖЕТА БЮДЖЕТАМ СУБЪЕКТОВ РОССИЙСКОЙ ФЕДЕРАЦИИ НА ВОЗМЕЩЕНИЕ ЧАСТИ ЗАТРАТ КРЕСТЬЯНСКИХ (ФЕРМЕРСКИХ) ХОЗЯЙСТВ, ВКЛЮЧАЯ ИНДИВИДУАЛЬНЫХ ПРЕДПРИНИМАТЕЛЕЙ, ПРИ ОФОРМЛЕНИИ В СОБСТВЕННОСТЬ ИСПОЛЬЗУЕМЫХ ИМИ ЗЕМЕЛЬНЫХ УЧАСТКОВ ИЗ ЗЕМЕЛЬ СЕЛЬСКОХОЗЯЙСТВЕННОГО НАЗНАЧЕНИЯ

(в ред. Постановлений Правительства РФ от 06.03.2012 N 197, от 31.05.2012 N 538, от 29.11.2012 N 1234, от 03.04.2013 N 296, от 26.12.2014 N 1522, от 25.05.2016 N 464)

Правительство Российской Федерации постановляет:

Утвердить прилагаемые Правила предоставления и распределения субсидий из федерального бюджета бюджетам субъектов Российской Федерации на возмещение части затрат крестьянских (фермерских) хозяйств, включая индивидуальных предпринимателей, при оформлении в собственность используемых ими земельных участков из земель сельскохозяйственного назначения.

Председатель Правительства
Российской Федерации
В.ПУТИН

Утверждены
Постановлением Правительства
Российской Федерации
от 31 октября 2011 г. N 874

ПРАВИЛА ПРЕДОСТАВЛЕНИЯ И РАСПРЕДЕЛЕНИЯ СУБСИДИЙ ИЗ ФЕДЕРАЛЬНОГО БЮДЖЕТА БЮДЖЕТАМ СУБЪЕКТОВ РОССИЙСКОЙ ФЕДЕРАЦИИ НА ВОЗМЕЩЕНИЕ ЧАСТИ ЗАТРАТ КРЕСТЬЯНСКИХ (ФЕРМЕРСКИХ) ХОЗЯЙСТВ, ВКЛЮЧАЯ ИНДИВИДУАЛЬНЫХ ПРЕДПРИНИМАТЕЛЕЙ, ПРИ ОФОРМЛЕНИИ В СОБСТВЕННОСТЬ ИСПОЛЬЗУЕМЫХ ИМИ ЗЕМЕЛЬНЫХ УЧАСТКОВ ИЗ ЗЕМЕЛЬ СЕЛЬСКОХОЗЯЙСТВЕННОГО НАЗНАЧЕНИЯ

(в ред. Постановлений Правительства РФ от 26.12.2014 N 1522, от 25.05.2016 N 464)

1. Настоящие Правила устанавливают порядок и условия предоставления и распределения субсидий из федерального бюджета бюджетам субъектов Российской Федерации в целях софинансирования расходных обязательств субъектов Российской Федерации, связанных с возмещением части затрат крестьянских (фермерских) хозяйств, включая индивидуальных предпринимателей, при оформлении в собственность используемых ими земельных участков из земель сельскохозяйственного назначения в рамках реализации мероприятий Государственной программы развития сельского хозяйства и регулирования рынков сельскохозяйственной продукции, сырья и продовольствия на 2013 - 2020 годы, утвержденной постановлением Правительства Российской Федерации от 14 июля 2012 г. N 717 "О Государственной программе развития сельского хозяйства и регулирования рынков сельскохозяйственной продукции, сырья и продовольствия на 2013 - 2020 годы" (далее соответственно - крестьянские (фермерские) хозяйства, Государственная программа, субсидии).

2. Субсидии предоставляются на проведение кадастровых работ при оформлении в собственность используемых крестьянскими (фермерскими) хозяйствами земельных участков из земель сельскохозяйственного назначения в случаях:

а) уточнения местоположения границ земельных участков, предоставленных крестьянским (фермерским) хозяйствам на правах собственности, постоянного (бессрочного) пользования, пожизненного наследуемого владения или аренды с правом выкупа;

б) образования земельных участков в счет земельных долей, принадлежащих крестьянским (фермерским) хозяйствам на праве собственности и на праве аренды с последующим выкупом.

3. Право собственности на земельные участки и иные права, указанные в пункте 2 настоящих Правил (далее - земельные участки), должны быть зарегистрированы в Едином государственном реестре прав на недвижимое имущество и сделок с ним в установленном порядке.

4. Субсидия предоставляется бюджету субъекта Российской Федерации при соблюдении следующих условий:

а) наличие утвержденных государственных и (или) ведомственных целевых программ субъектов Российской Федерации и (или) муниципальных программ, предусматривающих мероприятие по возмещению части затрат крестьянских (фермерских) хозяйств при оформлении в собственность используемых ими земельных участков (далее - государственные и (или) муниципальные программы). При этом соответствующий индикатор государственной и (или) муниципальной программы не может быть ниже значения показателя результативности, устанавливаемого соглашением о предоставлении субсидии, заключенного между Министерством сельского хозяйства Российской Федерации и высшим исполнительным органом государственной власти субъекта Российской Федерации (далее - соглашение о предоставлении субсидии) по утверждаемой Министерством форме;

б) наличие в бюджете субъекта Российской Федерации (местном бюджете) бюджетных ассигнований на исполнение расходных обязательств субъекта Российской Федерации (муниципального образования), связанных с реализацией государственной и (или) муниципальных программ;

в) наличие нормативного правового акта субъекта Российской Федерации, устанавливающего порядок предоставления средств на возмещение части затрат крестьянских (фермерских) хозяйств при оформлении в собственность используемых ими земельных участков, в том числе сроки рассмотрения документов, представляемых крестьянскими (фермерскими) хозяйствами для получения указанных средств.

5. Документы, подтверждающие факт использования крестьянскими (фермерскими) хозяйствами земельных участков, определяются в соответствии с нормативными правовыми актами субъектов Российской Федерации, устанавливающими порядок предоставления крестьянским (фермерским) хозяйствам из бюджетов субъектов Российской Федерации средств на возмещение части затрат крестьянских (фермерских) хозяйств при оформлении в собственность используемых ими земельных участков.

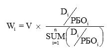
6. Размер субсидии, предоставляемой бюджету i-го субъекта Российской Федерации (), определяется по формуле:

где:

V - размер субсидий, предусмотренный федеральным законом о федеральном бюджете на соответствующий финансовый год и плановый период;

n - количество субъектов Российской Федерации, отвечающих требованиям, предусмотренным пунктом 3 настоящих Правил;

- доля площади земельных участков на территории i-го субъекта Российской Федерации в общей площади земельных участков в субъектах Российской Федерации;

- уровень расчетной бюджетной обеспеченности i-го субъекта Российской Федерации на очередной финансовый год после распределения дотаций, рассчитанный в соответствии с методикой распределения дотаций на выравнивание бюджетной обеспеченности субъектов Российской Федерации, утвержденной постановлением Правительства Российской Федерации от 22 ноября 2004 г. N 670 "О распределении дотаций на выравнивание бюджетной обеспеченности субъектов Российской Федерации".

Доля площади земельных участков на территории i-го субъекта Российской Федерации в общей площади земельных участков в субъектах Российской Федерации () определяется на основании данных органа, уполномоченного высшим исполнительным органом государственной власти субъекта Российской Федерации (далее - уполномоченный орган), на начало текущего финансового года по формуле:

где:

- площадь земельных участков, которые необходимо оформить в собственность крестьянских (фермерских) хозяйств, на территории i-го субъекта Российской Федерации;

- площадь земельных участков в субъектах Российской Федерации.

7. Распределение субсидий бюджетам субъектов Российской Федерации устанавливается федеральным законом о федеральном бюджете на соответствующий финансовый год и плановый период и (или) принятым в соответствии с ним актом Правительства Российской Федерации.

8. Объем бюджетных ассигнований бюджета субъекта Российской Федерации на финансовое обеспечение расходного обязательства субъекта Российской Федерации, софинансируемого за счет субсидии, утверждается законом субъекта Российской Федерации о бюджете субъекта Российской Федерации исходя из необходимости достижения установленных соглашением о предоставлении субсидии значений показателей результативности использования субсидии.

Уровень расходного обязательства Российской Федерации не может быть установлен выше 95 процентов и ниже 70 процентов.

Уровень софинансирования расходного обязательства субъекта Российской Федерации за счет субсидии () определяется по формуле:

где 0,7 - средний уровень софинансирования расходных обязательств субъектов Российской Федерации.

Уровень софинансирования расходных обязательств субъектов Российской Федерации утверждается правовым актом Министерства сельского хозяйства Российской Федерации в отношении субъектов Российской Федерации на соответствующий финансовый год и плановый период.

9. Предоставление субсидии осуществляется на основании соглашения о предоставлении субсидии.

Форма соглашения о предоставлении субсидии утверждается Министерством сельского хозяйства Российской Федерации в соответствии с положениями, определенными постановлением Правительства Российской Федерации от 30 сентября 2014 г. N 999 "О формировании, предоставлении и распределении субсидий из федерального бюджета бюджетам субъектов Российской Федерации".

10. Внесение в соглашение о предоставлении субсидии изменений, предусматривающих ухудшение значений показателей результативности использования субсидии, а также увеличение сроков реализации предусмотренных соглашением о предоставлении субсидии мероприятий, не допускается в течение всего периода действия соглашения о предоставлении субсидии, за исключением случаев, если выполнение условий предоставления субсидии оказалось невозможным вследствие обстоятельств непреодолимой силы, изменения значений целевых показателей и индикаторов Государственной программы, а также в случае существенного (более чем на 20 процентов) сокращения размера субсидии.

11. Перечисление субсидий осуществляется в установленном порядке на счета территориальных органов Федерального казначейства, открытые для учета поступлений и их распределения между бюджетами бюджетной системы Российской Федерации, для последующего перечисления в установленном порядке в бюджеты субъектов Российской Федерации с учетом требований и положений, определенных постановлением Правительства Российской Федерации от 30 сентября 2014 г. N 999 "О формировании, предоставлении и распределении субсидий из федерального бюджета бюджетам субъектов Российской Федерации".

12. Средства на возмещение части затрат крестьянских (фермерских) хозяйств на проведение кадастровых работ при оформлении в собственность используемых ими земельных участков предоставляются крестьянским (фермерским) хозяйствам исходя из расчета 1000 рублей за 1 гектар оформленных ими в собственность земельных участков.

13. В случае принятия решения Министерством сельского хозяйства Российской Федерации о передаче полномочий получателя средств федерального бюджета по перечислению субсидий территориальному органу Федерального казначейства, перечисление субсидий осуществляется на счета, открытые территориальным органам Федерального казначейства для учета операций со средствами, поступающими в бюджеты субъектов Российской Федерации, в порядке, установленном Федеральным казначейством.

Операции по кассовым расходам бюджета субъектов Российской Федерации, источником финансового обеспечения которых являются субсидии, осуществляются не позднее второго рабочего дня, следующего за днем предоставления получателями средств бюджета субъекта Российской Федерации в территориальный орган Федерального казначейства платежных документов, оформленных в установленном порядке.

14. Уполномоченный орган представляет в Министерство сельского хозяйства Российской Федерации следующие документы:

а) выписку из закона субъекта Российской Федерации о бюджете субъекта Российской Федерации и (или) выписки из нормативных правовых актов муниципальных образований, подтверждающие наличие в бюджете субъекта Российской Федерации (местном бюджете) бюджетных ассигнований на исполнение расходных обязательств субъекта Российской Федерации (муниципального образования), связанных с реализацией государственной и (или) муниципальных программ, предусматривающих возмещение части затрат крестьянских (фермерских) хозяйств при оформлении в собственность используемых ими земельных участков из земель сельскохозяйственного назначения, - в срок, который устанавливается Министерством сельского хозяйства Российской Федерации;

б) отчет о расходах бюджета субъекта Российской Федерации (местного бюджета), источником финансового обеспечения которых является субсидия, - по форме и в срок, которые устанавливаются Министерством сельского хозяйства Российской Федерации;

в) отчет о достижении значений показателей результативности использования субсидии, предусмотренных соглашением о предоставлении субсидии, - по форме и в срок, которые устанавливаются Министерством сельского хозяйства Российской Федерации.

15. В случае отсутствия в текущем финансовом году у субъекта Российской Федерации потребности в субсидии неиспользованная субсидия на основании письменного обращения уполномоченного органа перераспределяется между бюджетами других субъектов Российской Федерации, имеющих право на получение субсидий.

16. Эффективность осуществления расходов бюджетов субъектов Российской Федерации, источником финансового обеспечения которых являются субсидии, оценивается ежегодно Министерством сельского хозяйства Российской Федерации на основании достижения показателя результативности использования субсидий, определенного Государственной программой, - площадь земельных участков, оформленных в собственность крестьянских (фермерских) хозяйств.

17. Положения, касающиеся порядка возврата средств субъектами Российской Федерации в случае нарушения обязательств, предусмотренных соглашением о предоставлении субсидий в части выполнения (достижения) значений показателей результативности использования субсидии, включающего порядок расчета объема средств, подлежащих возврату, сроки возврата, основания для освобождения субъектов Российской Федерации от применения мер ответственности за нарушение обязательств, предусмотренных соглашением о предоставлении субсидий, а также порядка использования возвращенных средств главным распорядителем средств федерального бюджета, применяются в соответствии с постановлением Правительства Российской Федерации от 30 сентября 2014 г. N 999 "О формировании, предоставлении и распределении субсидий из федерального бюджета бюджетам субъектов Российской Федерации".

18. В случае отсутствия на 1 марта текущего финансового года соглашения о предоставлении субсидии Министерство сельского хозяйства Российской Федерации вправе перераспределить субсидию соответствующего субъекта Российской Федерации, утвержденную федеральным законом о федеральном бюджете на соответствующий финансовый год и плановый период и (или) актом Правительства Российской Федерации, между другими субъектами Российской Федерации, имеющими право на получение субсидии в соответствии с настоящими Правилами, и (или) на другие мероприятия Государственной программы.

Решения о распределении, перераспределении бюджетных ассигнований федерального бюджета на предоставление субсидии бюджету субъекта Российской Федерации не принимаются в случае, если соглашение о предоставлении субсидии не было заключено в силу обстоятельств непреодолимой силы.

19. Остаток субсидии, образовавшийся в соответствии с пунктами 15 и 18 настоящих Правил, перераспределяется на основании представленных уполномоченными органами субъектов Российской Федерации в Министерство сельского хозяйства Российской Федерации письменных обращений об увеличении годового объема выделяемых субсидий пропорционально удельному весу дополнительной потребности субъекта Российской Федерации в субсидии в общем объеме дополнительной потребности субъектов Российской Федерации в субсидиях с учетом фактического освоения средств за отчетный период.

Перераспределение субсидий между бюджетами субъектов Российской Федерации устанавливается федеральным законом о федеральном бюджете на соответствующий финансовый год и плановый период и (или) принятым в соответствии с ним актом Правительства Российской Федерации.

20. Операции по кассовым расходам бюджетов субъектов Российской Федерации (местных бюджетов), источником финансового обеспечения которых являются субсидии, в том числе их остаток, не использованный на 1 января текущего года, осуществляются с учетом особенностей, установленных федеральным законом о федеральном бюджете на текущий финансовый год и плановый период.

21. Не использованный на 1 января текущего финансового года остаток субсидий подлежит возврату в федеральный бюджет органами государственной власти субъектов Российской Федерации, за которыми в соответствии с законодательными и иными нормативными правовыми актами закреплены источники доходов бюджета субъекта Российской Федерации по возврату остатков субсидий, в соответствии с требованиями, установленными Бюджетным кодексом Российской Федерации и федеральным законом о федеральном бюджете на текущий финансовый год и плановый период.

В соответствии с решением Министерства сельского хозяйства Российской Федерации о наличии потребности в не использованном на 1 января текущего финансового года остатке субсидии средства в размере, не превышающем остатка субсидии, могут быть возвращены в текущем финансовом году в бюджет субъекта Российской Федерации для финансового обеспечения расходов, соответствующих целям предоставления субсидий.

В случае если неиспользованный остаток субсидии не перечислен в доход федерального бюджета, указанные средства подлежат взысканию в доход федерального бюджета в порядке, установленном Министерством финансов Российской Федерации.

22. В случае несоблюдения высшим исполнительным органом государственной власти субъекта Российской Федерации условий предоставления субсидии соответствующая информация направляется Министерством сельского хозяйства Российской Федерации в Министерство финансов Российской Федерации с предложением о приостановлении предоставления субсидии для принятия соответствующего решения в порядке, установленном Министерством финансов Российской Федерации.

23. В случае нарушения условий предоставления субсидии субъектом Российской Федерации к такому субъекту Российской Федерации применяются бюджетные меры принуждения, предусмотренные бюджетным законодательством Российской Федерации.

Решения о приостановлении перечисления (сокращении объема) субсидии бюджету субъекта Российской Федерации не принимаются в случае, если условия предоставления субсидии были не выполнены в силу обстоятельств непреодолимой силы.

24. Ответственность за достоверность представляемых в Министерство сельского хозяйства Российской Федерации сведений и соблюдение условий, установленных настоящими Правилами и соглашением о предоставлении субсидий, возлагается на высший исполнительный орган государственной власти субъекта Российской Федерации.

В случае несоблюдения условий, установленных соглашением о предоставлении субсидий и настоящими Правилами, соответствующие средства подлежат взысканию в доход федерального бюджета в соответствии с бюджетным законодательством Российской Федерации.

25. Контроль за соблюдением субъектами Российской Федерации условий предоставления субсидий осуществляется Министерством сельского хозяйства Российской Федерации и федеральным органом исполнительной власти, осуществляющим функции по контролю и надзору в финансово-бюджетной сфере. (в ред. Постановления Правительства РФ от 25.05.2016 N 464)