Постановление Правительства РФ от 28.02.2012 N 165

"Об утверждении Правил предоставления и распределения субсидий из федерального бюджета бюджетам субъектов Российской Федерации на развитие семейных животноводческих ферм"
Редакция от 30.04.2013 — Документ утратил силу, см. «Постановление Правительства РФ от 30.12.2016 N 1556»
Показать изменения

ПРАВИТЕЛЬСТВО РОССИЙСКОЙ ФЕДЕРАЦИИ

ПОСТАНОВЛЕНИЕ
от 28 февраля 2012 г. N 165

ОБ УТВЕРЖДЕНИИ ПРАВИЛ ПРЕДОСТАВЛЕНИЯ И РАСПРЕДЕЛЕНИЯ СУБСИДИЙ ИЗ ФЕДЕРАЛЬНОГО БЮДЖЕТА БЮДЖЕТАМ СУБЪЕКТОВ РОССИЙСКОЙ ФЕДЕРАЦИИ НА РАЗВИТИЕ СЕМЕЙНЫХ ЖИВОТНОВОДЧЕСКИХ ФЕРМ

(в ред. Постановлений Правительства РФ от 27.09.2012 N 990, от 30.04.2013 N 385)

Правительство Российской Федерации постановляет:

Утвердить прилагаемые Правила предоставления и распределения субсидий из федерального бюджета бюджетам субъектов Российской Федерации на развитие семейных животноводческих ферм.

Председатель Правительства
Российской Федерации
В.ПУТИН

Утверждены
постановлением Правительства
Российской Федерации
от 28 февраля 2012 г. N 165

ПРАВИЛА
ПРЕДОСТАВЛЕНИЯ И РАСПРЕДЕЛЕНИЯ СУБСИДИЙ ИЗ ФЕДЕРАЛЬНОГО БЮДЖЕТА БЮДЖЕТАМ СУБЪЕКТОВ РОССИЙСКОЙ ФЕДЕРАЦИИ НА РАЗВИТИЕ СЕМЕЙНЫХ ЖИВОТНОВОДЧЕСКИХ ФЕРМ

(в ред. Постановлений Правительства РФ от 27.09.2012 N 990, от 30.04.2013 N 385)

1. Настоящие Правила устанавливают порядок и условия предоставления и распределения субсидий из федерального бюджета бюджетам субъектов Российской Федерации в целях софинансирования расходных обязательств субъектов Российской Федерации, возникающих при выполнении мероприятий по предоставлению грантов на развитие семейных животноводческих ферм в рамках реализации мероприятий Государственной программы развития сельского хозяйства и регулирования рынков сельскохозяйственной продукции, сырья и продовольствия на 2013 - 2020 годы, утвержденной постановлением Правительства Российской Федерации от 14 июля 2012 г. N 717 (далее соответственно - Программа, субсидии). (в ред. Постановления Правительства РФ от 27.09.2012 N 990)

2. Понятия, используемые в настоящих Правилах, означают следующее:

а) "семейная животноводческая ферма" - производственный объект, предназначенный для выращивания и содержания сельскохозяйственных животных, находящийся в собственности или пользовании крестьянского (фермерского) хозяйства;

б) "развитие семейной животноводческой фермы" - строительство или модернизация семейной животноводческой фермы, в том числе ее проектирование, возведение, ремонт, комплектация оборудованием и сельскохозяйственными животными;

в) "грант на развитие семейной животноводческой фермы" - средства, передаваемые из бюджета субъекта Российской Федерации или местного бюджета на счет главы крестьянского (фермерского) хозяйства, открытый в кредитной организации, для софинансирования его затрат, невозмещаемых в рамках иных направлений государственной поддержки в соответствии с Программой, в целях создания и развития на территории сельских поселений и межселенных территориях субъекта Российской Федерации крестьянского (фермерского) хозяйства, включая:

разработку проектной документации строительства, реконструкции или модернизации семейных животноводческих ферм;

строительство, реконструкцию или модернизацию семейных животноводческих ферм;

строительство, реконструкцию или модернизацию производственных объектов по переработке продукции животноводства;

комплектацию семейных животноводческих ферм и объектов по переработке животноводческой продукции оборудованием и техникой, а также их монтаж;

покупку сельскохозяйственных животных.

3. Максимальный размер гранта на развитие семейной животноводческой фермы по направлениям животноводства в расчете на одно крестьянское (фермерское) хозяйство определяется субъектом Российской Федерации в размере, не превышающем 21,6 млн. рублей, и не более 60 процентов затрат на развитие семейной животноводческой фермы. В случае если субъект Российской Федерации утверждает максимальный размер гранта в размере, превышающем 21,6 млн. рублей, то финансовое обеспечение выплаты гранта в размере, превышающем указанный размер, осуществляется за счет средств бюджета субъекта Российской Федерации.

Размер гранта на развитие семейной животноводческой фермы, предоставляемого конкретному главе крестьянского (фермерского) хозяйства, определяется конкурсной комиссией, создаваемой субъектом Российской Федерации, с учетом собственных средств фермера и его плана расходов в целях, указанных в подпункте "в" пункта 2 настоящих Правил.

В случае нецелевого использования крестьянским (фермерским) хозяйством полученного гранта на развитие семейной животноводческой фермы средства, составляющие его сумму, подлежат возврату в соответствующий бюджет в соответствии с законодательством Российской Федерации.

4. Субсидии предоставляются бюджету субъекта Российской Федерации на следующих условиях:

а) наличие утвержденных региональной и (или) муниципальных программ, предусматривающих мероприятия по развитию семейных животноводческих ферм, отобранных с учетом требований Министерства сельского хозяйства Российской Федерации и расходных обязательств по финансированию программ, предусматривающих указанные мероприятия на соответствующий финансовый год;

б) наличие нормативного правового акта субъекта Российской Федерации, предусматривающего порядок предоставления главам крестьянских (фермерских) хозяйств из бюджета субъекта Российской Федерации средств на развитие семейных животноводческих ферм и определяющего перечень документов, необходимых для получения указанных средств, источником финансового обеспечения которых является субсидия, а также сроки рассмотрения этих документов, не превышающие 15 рабочих дней;

в) обязательство субъекта Российской Федерации по обеспечению соответствия значений показателей, устанавливаемых региональной и (или) муниципальными программами, иными нормативными правовыми актами субъекта Российской Федерации и (или) органов местного самоуправления, значениям показателей результативности предоставления субсидии, установленным соглашением между Министерством сельского хозяйства Российской Федерации и высшим исполнительным органом государственной власти субъекта Российской Федерации о предоставлении субсидии (далее - соглашение);

г) представление в Министерство сельского хозяйства Российской Федерации выписок из закона субъекта Российской Федерации о бюджете субъекта Российской Федерации на очередной финансовый год (на очередной финансовый год и плановый период) и (или) решений органов местного самоуправления о местных бюджетах, подтверждающих наличие бюджетных ассигнований на финансовое обеспечение мероприятий по развитию семейных животноводческих ферм не менее размера, необходимого для обеспечения установленного в соответствии с пунктом 8 настоящих Правил уровня софинансирования;

д) заключение соглашения.

5. Отбор региональных программ развития семейных животноводческих ферм осуществляется Министерством сельского хозяйства Российской Федерации в установленном им порядке.

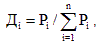
6. Размер субсидии, предоставляемой бюджету i-го субъекта Российской Федерации, определяется по формуле:

где:

C - объем субсидий, предусмотренный в федеральном бюджете на соответствующий финансовый год и плановый период;

- показатель, характеризующий удельный вес количества крестьянских (фермерских) хозяйств и индивидуальных предпринимателей - глав крестьянских (фермерских) хозяйств, определяемый на основании данных Федеральной службы государственной статистики по состоянию на 1 октября отчетного финансового года в i-м субъекте Российской Федерации;

- уровень расчетной бюджетной обеспеченности i-го субъекта Российской Федерации на соответствующий финансовый год, рассчитанный в соответствии с методикой распределения дотаций на выравнивание бюджетной обеспеченности субъектов Российской Федерации, утвержденной постановлением Правительства Российской Федерации от 22 ноября 2004 г. N 670;

n - количество субъектов Российской Федерации, отвечающих условиям, предусмотренным пунктом 4 настоящих Правил.

Показатель, характеризующий удельный вес количества крестьянских (фермерских) хозяйств и индивидуальных предпринимателей - глав крестьянских (фермерских) хозяйств, определяемый на основании данных Федеральной службы государственной статистики по состоянию на 1 октября отчетного финансового года в i-м субъекте Российской Федерации, определяется по формуле:

где:

- количество крестьянских (фермерских) хозяйств и индивидуальных предпринимателей, определяемое на основании данных Федеральной службы государственной статистики по состоянию на 1 октября отчетного финансового года в i-м субъекте Российской Федерации.

6(1). При распределении средств бюджету субъекта Российской Федерации в соответствии с формулой, указанной в пункте 6 настоящих Правил, учитывается также размер бюджетных ассигнований, предусмотренных в бюджете субъекта Российской Федерации (местных бюджетах), подтвержденный выпиской из бюджета субъекта Российской Федерации (местных бюджетов), и уровень софинансирования расходного обязательства субъекта Российской Федерации за счет субсидии, определяемый в соответствии с пунктом 8 настоящих Правил. (в ред. Постановлений Правительства РФ от 30.04.2013 N 385)

7. Предоставление субсидий осуществляется в соответствии с распределением субсидий, ежегодно утверждаемым Правительством Российской Федерации.

8. Уровень софинансирования расходного обязательства субъекта Российской Федерации за счет субсидии определяется по формуле:

где:

0,4 - средний уровень софинансирования расходных обязательств субъектов Российской Федерации.

Уровень софинансирования расходного обязательства субъекта Российской Федерации не может быть ниже 30 процентов и выше 95 процентов расходного обязательства субъекта Российской Федерации.

Уровень софинансирования по субъектам Российской Федерации утверждается Министерством сельского хозяйства Российской Федерации на соответствующий финансовый год.

9. Предоставление субсидии осуществляется на основании соглашения, заключенного по форме, утверждаемой Министерством сельского хозяйства Российской Федерации. В соглашении предусматриваются:

а) сведения о размере субсидии и условия ее предоставления;

б) целевое назначение субсидии;

в) размер бюджетных ассигнований, предусмотренных в бюджете субъекта Российской Федерации (местном бюджете) на поддержку семейных животноводческих ферм с учетом установленного уровня софинансирования;

г) обязательство высшего исполнительного органа государственной власти субъекта Российской Федерации заключить соглашения о предоставлении субсидий с органами местного самоуправления в случае предоставления субсидий из бюджета субъекта Российской Федерации местным бюджетам на софинансирование муниципальных программ в целях финансового обеспечения мероприятий, указанных в пункте 1 настоящих Правил;

д) значение показателя результативности предоставления субсидии, определяемого на основании соглашения;

е) сроки и порядок представления документов и отчетов об исполнении уполномоченным высшим исполнительным органом государственной власти субъекта Российской Федерации обязательств, вытекающих из соглашения, в том числе:

выписки из закона субъекта Российской Федерации о бюджете субъекта Российской Федерации, подтверждающей наличие бюджетных ассигнований на финансовое обеспечение мероприятий, указанных в пункте 1 настоящих Правил, и (или) в случае предоставления субсидий из бюджета субъекта Российской Федерации местному бюджету на софинансирование расходных обязательств муниципального образования, возникающих при реализации программы муниципального образования, выписки из решения о местном бюджете, подтверждающей наличие бюджетных ассигнований, предусмотренных на финансовое обеспечение мероприятий, указанных в пункте 1 настоящих Правил;

отчета о расходах бюджета субъекта Российской Федерации (местного бюджета), источником финансового обеспечения которых является субсидия, по форме и в сроки, которые устанавливаются Министерством сельского хозяйства Российской Федерации;

отчета о достижении значения показателя результативности предоставления субсидии по форме и в сроки, которые устанавливаются Министерством сельского хозяйства Российской Федерации;

ж) порядок осуществления контроля за выполнением условий соглашения;

з) ответственность сторон за нарушение условий соглашения;

и) последствия недостижения субъектом Российской Федерации установленного значения показателя результативности предоставления субсидии;

к) наличие нормативного правового акта субъекта Российской Федерации, устанавливающего расходное обязательство субъекта Российской Федерации, на софинансирование которого предоставляется субсидия;

л) обязательство субъекта Российской Федерации по обеспечению соответствия значений показателей, устанавливаемых региональной и (или) муниципальными программами, иными нормативными правовыми актами субъекта Российской Федерации и (или) органов местного самоуправления, значениям показателей результативности предоставления субсидии, установленным соглашением;

м) иные условия, регулирующие порядок предоставления субсидии.

10. Перечисление субсидий осуществляется на счета, открытые территориальным органам Федерального казначейства для учета поступлений и их распределения между бюджетами бюджетной системы Российской Федерации для последующего перечисления в установленном порядке в бюджеты субъектов Российской Федерации в соответствии с заявками, представляемыми высшими исполнительными органами государственной власти субъектов Российской Федерации, по форме и в сроки, которые устанавливаются Министерством сельского хозяйства Российской Федерации, если иное не установлено федеральным законом о федеральном бюджете на соответствующий финансовый год и плановый период.

11. Операции по кассовым расходам бюджетов субъектов Российской Федерации (местных бюджетов), источником финансового обеспечения которых являются субсидии, в том числе их остатки, не использованные на 1 января текущего финансового года, осуществляются с учетом особенностей, установленных федеральным законом о федеральном бюджете на текущий финансовый год и плановый период.

12. Информация о размерах и сроках перечисления субсидий учитывается Министерством сельского хозяйства Российской Федерации при формировании прогноза кассовых выплат из федерального бюджета, необходимого для составления в установленном порядке кассового плана исполнения федерального бюджета.

13. В случае если размер ассигнований, предусмотренных в бюджете субъекта Российской Федерации на финансовое обеспечение мероприятий, указанных в пункте 1 настоящих Правил, не соответствует установленному для субъекта Российской Федерации уровню софинансирования из федерального бюджета, размер субсидии подлежит сокращению до соответствующего уровня софинансирования, а высвобождающиеся средства перераспределяются между бюджетами других субъектов Российской Федерации, имеющих право на получение субсидии в соответствии с настоящими Правилами.

14. В случае отсутствия у субъекта Российской Федерации в текущем финансовом году потребности в субсидии неиспользованные субсидии перераспределяются на основании письменного обращения высшего исполнительного органа государственной власти субъекта Российской Федерации между бюджетами других субъектов Российской Федерации, имеющих право на получение субсидии в соответствии с настоящими Правилами.

15. Остаток субсидий, который образовался в соответствии с пунктами 13 и 14 настоящих Правил, перераспределяется на основании заявок высших исполнительных органов государственной власти субъектов Российской Федерации об увеличении годового объема выделяемых субсидий пропорционально удельному весу дополнительной потребности в субсидии субъекта Российской Федерации в общем объеме дополнительной потребности в субсидиях субъектов Российской Федерации с учетом фактического освоения средств за отчетный период.

16. Оценка эффективности осуществления расходов бюджетов субъектов Российской Федерации, источником финансового обеспечения которых являются субсидии, оценивается ежегодно Министерством сельского хозяйства Российской Федерации исходя из степени достижения показателя результативности, указанного в соглашении для соответствующих региональных программ.

Показатель результативности определяется на основании соответствия прироста численности семейных животноводческих ферм в субъекте Российской Федерации значению показателя, указанного в соглашении.

17. В случае если в отчетном финансовом году субъектом Российской Федерации не достигнуто установленное соглашением значение показателя результативности предоставления субсидий, указанного в пункте 16 настоящих Правил, Министерство сельского хозяйства Российской Федерации принимает решение о сокращении размера предоставляемых субсидий на год, следующий за отчетным финансовым годом, из расчета 1 процент размера субсидии за каждый процентный пункт снижения значения показателя результативности предоставления субсидий, а также о перераспределении высвобождающихся субсидий между бюджетами других субъектов Российской Федерации, имеющих право на получение субсидии в соответствии с настоящими Правилами.

Решение о сокращении размера субсидии, предоставляемой бюджету субъекта Российской Федерации, не принимается в случае, если установленные соглашением значения показателей результативности предоставления субсидии не достигнуты в силу обстоятельств непреодолимой силы.

18. Не использованный на 1 января текущего финансового года остаток субсидий подлежит возврату в федеральный бюджет органами государственной власти субъектов Российской Федерации, за которыми в соответствии с законодательными и иными нормативными правовыми актами закреплены источники доходов бюджетов субъектов Российской Федерации по возврату остатков субсидий, в соответствии с требованиями, установленными Бюджетным кодексом Российской Федерации и федеральным законом о федеральном бюджете на текущий финансовый год и плановый период.

В случае если неиспользованный остаток субсидий не перечислен в доход федерального бюджета, указанные средства подлежат взысканию в доход федерального бюджета в порядке, установленном Министерством финансов Российской Федерации.

В соответствии с решением Министерства сельского хозяйства Российской Федерации о наличии потребности в субсидиях, не использованных на начало финансового года, расходы бюджетов субъектов Российской Федерации, соответствующие целям предоставления указанных субсидий, могут быть увеличены в установленном порядке на суммы, не превышающие остатки субсидий.

19. В случае несоблюдения высшим исполнительным органом государственной власти субъекта Российской Федерации условий предоставления субсидии соответствующая информация направляется Министерством сельского хозяйства Российской Федерации в Министерство финансов Российской Федерации с предложением о приостановлении предоставления субсидии для принятия соответствующего решения в порядке, установленном Министерством финансов Российской Федерации.

Ответственность за достоверность представляемых в Министерство сельского хозяйства Российской Федерации сведений и соблюдение условий, установленных соглашением и настоящими Правилами, возлагается на высший исполнительный орган государственной власти субъекта Российской Федерации.

В случае несоблюдения условий, установленных соглашением и настоящими Правилами, соответствующие средства подлежат взысканию в доход федерального бюджета в соответствии с бюджетным законодательством Российской Федерации.

20. Контроль за соблюдением высшим исполнительным органом государственной власти субъекта Российской Федерации условий предоставления субсидий осуществляется Министерством сельского хозяйства Российской Федерации и Федеральной службой финансово-бюджетного надзора.