Микробиология пищевых продуктов и кормов для животных. Руководство по оценке неопределенности измерений при количественных определениях. ГОСТ р 54502-2011/ИСО/ТС 19036:2006

(утв. Приказом Росстандарта от 21.11.2011 N 565-СТ)
Редакция от 21.11.2011 — Действует с 01.01.2013

НАЦИОНАЛЬНЫЙ СТАНДАРТ РОССИЙСКОЙ ФЕДЕРАЦИИ

МИКРОБИОЛОГИЯ ПИЩЕВЫХ ПРОДУКТОВ И КОРМОВ ДЛЯ ЖИВОТНЫХ

РУКОВОДСТВО ПО ОЦЕНКЕ НЕОПРЕДЕЛЕННОСТИ ИЗМЕРЕНИЙ ПРИ КОЛИЧЕСТВЕННЫХ ОПРЕДЕЛЕНИЯХ

Microbiology of food and animal feeding stuffs. Guidelines for the estimation of measurement uncertainty for quantitative determinations

ГОСТ Р 54502-2011/ИСО/ТС 19036:2006

Дата введения - 2013-01-01

Предисловие

Цели и принципы стандартизации в Российской Федерации установлены Федеральным законом от 27 декабря 2002 г. N 184-ФЗ "О техническом регулировании", а правила применения национальных стандартов Российской Федерации - ГОСТ Р 1.0-2004 "Стандартизация в Российской Федерации. Основные положения"

Сведения о стандарте

1 ПОДГОТОВЛЕН Государственным научным учреждением Всероссийским научно-исследовательским институтом консервной и овощесушильной промышленности Российской академии сельскохозяйственных наук (ГНУ ВНИИКОП Россельхозакадемии) на основе аутентичного перевода на русский язык международного документа, указанного в пункте 4.

2 ВНЕСЕН Техническим комитетом по стандартизации ТК 335 "Методы испытаний агропромышленной продукции на безопасность".

3 УТВЕРЖДЕН И ВВЕДЕН В ДЕЙСТВИЕ Приказом Федерального агентства по техническому регулированию и метрологии от 21 ноября 2011 г. N 565-ст.

4 Настоящий стандарт является идентичным международному документу ИСО/ТУ 19036:2006 "Микробиология пищевых продуктов и кормов для животных. Руководство по оценке неопределенности измерений при количественных определениях" (ISO/TS 19036:2006 "Microbiology of food and animal feeding stuffs - Guidelines for the estimation of measurement uncertainty for quantitative determinations").

5 ВВЕДЕН ВПЕРВЫЕ.

Информация об изменениях к настоящему стандарту публикуется в ежегодно издаваемом информационном указателе "Национальные стандарты", а текст изменений и поправок - в ежемесячно издаваемых информационных указателях "Национальные стандарты". В случае пересмотра (замены) или отмены настоящего стандарта соответствующее уведомление будет опубликовано в ежемесячно издаваемом информационном указателе "Национальные стандарты". Соответствующая информация, уведомление и тексты размещаются также в информационной системе общего пользования - на официальном сайте Федерального агентства по техническому регулированию и метрологии в сети Интернет.

Введение

"Руководство по выражению неопределенности измерений" [15] описывает широко распространенный стандартный подход, рекомендующий осуществлять оценку неопределенности измерения по отдельности для каждого из источников варьирования, вносящих заметный вклад в общую неопределенность результата измерительного процесса, и иллюстрирует это с помощью приведенных в нем примеров. Суммарная неопределенность в этом случае находится путем использования формальных "принципов распространения неопределенности". Этот подход был описан в Руководстве ЕВРАХИМ/СИТАК [16], главным образом, в отношении химических аналитических исследований, а также в документе J4 MIKES [17] - в отношении микробиологических исследований.

ISO/TC 34/SC 9 считает, что применение этого "пошагового" подхода не будет достаточно удовлетворительным в случае микробиологического анализа пищевых продуктов, где трудно построить модель, реально всесторонне охватывающую все этапы измерительного процесса. Из-за возможности упустить из виду какие-либо значимые источники неопределенности имеется высокий риск недооценить истинную величину неопределенности. Более того, в микробиологии трудно с достаточной точностью количественно оценить вклад каждого отдельного шага в аналитическом процессе, потому что

- аналитом являются живые организмы, физиологический статус которых может быть весьма разнообразным,

- аналитическая цель может включать в себя различные виды, штаммы или различные роды микроорганизмов.

Другими словами, микробиологический анализ не предоставляет возможности оценить неопределенность результата измерения метрологически строго и статистически убедительно.

ISO/TC 34/SC 9 поэтому счел, что предпочтительнее использовать так называемый "глобальный" подход к решению задачи, базирующийся на оценке стандартного отклонения воспроизводимости финального результата измерительного процесса. Это подход, в основе которого - использование результатов экспериментов (с повторениями одного и того же анализа); и он представляется более эффективным, чем пошаговый подход.

Глобальный подход был предложен для более общего использования стандартом ISO/TS 21748, разработанным ISO/TC 69 "Применение статистических методов", SC 6 "Методы измерений и результаты". Этот документ разъясняет, что пошаговый подход и глобальный подход не являются взаимо-исключающими, поскольку оба предусматривают идентификацию и включение в рассмотрение всех составляющих неопределенности при общей оценке характеристик аналитического процесса, которые могут быть выражены как его прецизионность и смещение.

В 2009 году было введено в действие изменение 1:2009 "Неопределенность измерений в случае низких значений количества колониеобразующих единиц" к международному документу ISO/TS 19036:2006, направленное на расширение его области применения на случаи, когда при микро-биологических испытаниях получают "низкие" (до 10-100 КОЕ/г) значения концентрации аналита. Решение задачи стало возможным благодаря введению в модель измерений поправочных членов, значения которых находят, используя известный в математической статистике закон Пуассона.

Изменение 1:2009 к ISO/TS 19036:2006 предусматривает:

- редакционные поправки в разделы 1, 4 и 5 (в разделе 1 третий и четвертый абзацы заменены новыми, в пункте 4.1 второй абзац после ссылки "(4.2)" дополнен словами "объединенное с составляющей, связанной с Пуассоновским распределением", в пункте 4 из уравнения исключено выражение "= 2·х s_R", в подпункте 5.2.1 в четвертом абзаце изменен текст первого предложения, в пункте 5.3 в начале пункта добавлены три первых абзаца);

- раздел 8 "Вычисление расширенной неопределенности", в котором приведены расчетные формулы и описаны правила проведения статистических расчетов;

- раздел 9 "Выражение неопределенности измерений в отчетах по испытаниям", в котором приведены четыре примера расчетов величины неопределенности измерений и правила представления результатов микробиологического анализа в протоколах и других отчетах по испытаниям;

- приложение В (справочное) "Величины Сlim и нижний и верхний предельные значения результата измерений, выраженные в относительных единицах", в котором приведены результаты соответствующих статистических расчетов.

1 Область применения

Настоящий стандарт представляет собой руководство по оценке и выражению неопределенности, связанной с количественными определениями, осуществляемыми в пищевой микробиологии. Стандарт применим при количественных анализах

- продуктов, предназначенных для потребления человеком, и кормов для животных и

- проб, взятых с целью контроля состояния окружающей среды при производстве продуктов, которые обычно проводятся путем определения количества микроорганизмов с использованием техники подсчета числа культивированных колоний, однако он пригоден также и при количественных анализах, осуществляемых альтернативными инструментальными методами.

Стандарт неприменим в случае использования так называемой "техники определения наиболее вероятного числа".

В настоящем стандарте неопределенность измерений оценивается с использованием упрощенного подхода, в котором принимается в учет Пуассоновское распределение, и поэтому он применим по отношению к любому результату микробиологического анализа, включая случаи "низкого" результата подсчета числа колониеобразующих единиц и/или "низкого" числа микроорганизмов.

Подход, лежащий в основе данного стандарта, является глобальным подходом, основанным на определении стандартного отклонения воспроизводимости финального результата измерений.

2 Термины и определения

Для целей настоящего стандарта использованы следующие термины и определения.

2.1 неопределенность (измерения) [uncertainty (of measurement)]: Параметр, связанный с результатом измерения и характеризующий рассеяние значений, которые могли бы быть обоснованно приписаны измеряемой величине.

Примечание 1 - Этим параметром может быть, например, стандартное отклонение (или величина, кратная ему) или полуширина интервала, имеющего заданный уровень доверительной вероятности.

Примечание 2 - В общем случае неопределенность измерения состоит из многих составляющих. Некоторые из этих составляющих могут быть оценены по статистическим распределениям результатов серии измерений и охарактеризованы экспериментально найденными стандартными отклонениями. Другие составляющие, которые тоже могут быть охарактеризованы стандартными отклонениями, оцениваются исходя из предполагаемых функций плотности вероятности, выбор которых основан на экспериментальных данных или на другой информации.

Примечание 3 - Подразумевается, что результат измерения является наилучшей оценкой измеряемой характеристики и что все составляющие неопределенности (включая те, которые обусловлены систематическими воздействиями, такими как поправки и приписанные эталонам значения величин) внесли свой вклад в рассеяние результатов [15].

2.2 стандартная неопределенность (standard uncertainty) u(xi): Неопределенность результата измерений, выраженная в виде среднеквадратического отклонения [15].

2.3 суммарная стандартная неопределенность (combined standard uncertainty) uс(y): Стандартная неопределенность результата измерений, полученная через значения нескольких других величин, равная положительному квадратному корню из суммы членов, представляющих собой дисперсии или ковариации этих других величин, взятых с весомостями, соответствующими степени влияния этих величин на результат измерений [15].

2.4 расширенная неопределенность (expanded uncertainty) U: Величина, определяемая интервалом вокруг результата измерений, в пределах которого, как можно ожидать, находится большая доля распределения значений, которые с достаточным основанием могли бы быть приписаны измеряемой величине.

Примечание 1 - Эта доля может быть оценена через доверительную вероятность или уровень доверия интервала.

Примечание 2 - Чтобы связать определенный уровень доверия с интервалом расширенной неопределенности, необходимы предположения (в явной или неявной форме) о характере распределения вероятностей результатов измерений и об их суммарной стандартной неопределенности. Уровень доверия, который соответствует этому интервалу, может соответствовать действительности только в той степени, в какой могут быть справедливы исходные предположения [15].

Примечание 3 - Расширенная неопределенность U рассчитывается исходя из величины суммарной стандартной неопределенности u_c(y) и коэффициента охвата k по уравнению:

U = k х u_c(y).

2.5 коэффициент охвата (coverage factor) k: Числовой коэффициент, используемый как множитель для суммарной стандартной неопределенности при определении расширенной неопределенности.

Примечание - Обычно значения коэффициента охвата k выбирают в диапазоне от 2 до 3 [15].

2.6 смещение (bias):- Разность между математическим ожиданием результатов наблюдений и принятым опорным значением.

Примечание - Смещение - это общая систематическая погрешность, в противоположность случайной погрешности. Могут существовать одна или более составляющих, образующих систематическую погрешность. Чем больше систематически наблюдаемое отличие результатов измерений от принятого опорного значения, тем больше величина смещения [2].

3 Принципы

3.1 Глобальный подход при оценке неопределенности измерений

Настоящий стандарт предусматривает использование так называемого глобального подхода. Он основан на обеспечении при эксперименте всеохватывающей допустимой вариабельности аналитического процесса, обусловливающей варьирование результатов измерений. Всеохватывающая вариабельность означает, что в изучение вовлечены как наблюдаемая прецизионность (случайная составляющая), так и смещение (систематическая составляющая). На практике в случае микробиологических испытаний в расчет принимается только прецизионность (см. 3.2).

Глобальный подход при оценке неопределенности результата измерения в настоящем стандарте проистекает из экспериментальной оценки стандартного отклонения воспроизводимости финального результата полностью выполненной процедуры измерений. Это стандартное отклонение соответствует суммарной стандартной неопределенности (см. 4.1).

Глобальный подход может рассматриваться как реализация концепции "черный ящик", что иллюстрирует рисунок 1, где идентифицированы основные источники неопределенности измерений в пищевой микробиологии. Такая диаграмма может быть полезной при идентификации источников неопределенности при решении вопроса, относятся они или нет к данному конкретному случаю выбранного протокола проведения эксперимента.

Указанная на рисунке 1 операция " Отбор проб" (т. е. извлечение проб продукции из партии, предъявленной на испытания) вносит существенную (если не основную) долю в общую погрешность измерений, но эта часть неопределенности измерений не связана с реализацией самой процедуры измерений.

Рисунок 1 - Диаграмма основных источников неопределенности в пищевой микробиологии и подход "черный ящик" при оценке неопределенности измерений

Операция "Отбор под-пробы" означает извлечение из пробы, представленной на анализ (или из одной из единиц продукции, взятых из партии), некоторой порции, которая будет подвергнута испытаниям. Эта порция идет на приготовление исходной суспензии, используемой в методике количественной оценки микробиальной обсемененности продукта, описанной в ИСО 6887-1. Главными источниками неопределенности, возникающей в процессе аналитической работы, являются источники "Оператор/время проведения анализа" и "Оборудование, культуральная среда и реактивы". Наконец, "Остаточные случайные погрешности" - это те, которые не могут быть объяснены действием оговоренных выше факторов, и они обычно оцениваются внутри конкретной лаборатории в условиях повторяемости.

Следует иметь в виду, что применение глобального подхода требует, чтобы при использовании его результатов имелась возможность подтвердить, что процедура эксперимента была под контролем.

3.2 Рассмотрение смещения

Обычно предполагается, что смещение не принимается в учет при оценке неопределенности измерений, что вытекает из эмпирической природы микробиологических количественных определений. Другими словами, аналитическая процедура непосредственно определяет результат измерения, т. е. количество колониеобразующих единиц в единичном объеме пробы. На практике, таким образом, не представляется возможным установить истинное значение, знание которого необходимо для расчета величины смещения. Даже если применяются стандартные образцы или используются данные межлабораторных испытаний, оценена может быть только некая часть смещения.

Тем не менее указывается, что часть величины смещения может быть оценена по данным межлабораторных испытаний, описанных в настоящем стандарте в двух случаях в процедуре оценки стандартного отклонения воспроизводимости (см. разделы 6 и 7). Метод учета такой составляющей неопределенности, как смещение, в настоящем стандарте не описан. Однако, даже если систематическая составляющая неопределенности измерений формально не оценивается, можно сказать, что величина лабораторного смещения находится под контролем, будучи отслеживаемой путем участия лаборатории, например в межлабораторных испытаниях по оценке технической компетентности или путем проведения испытаний с использованием стандартных образцов.

4 Общие положения

4.1 Суммарная стандартная неопределенность

Когда главные составляющие неопределенности находятся под контролем (см. 3.1), суммарная стандартная неопределенность u_с(у) (2.3) является в общем случае комбинацией стандартной неопределенности, соотносимой с наблюденной прецизионностью и со смещением, если таковое имеет место.

Согласно настоящему стандарту суммарная стандартная неопределенность оценивается как экспериментально найденное стандартное отклонение воспроизводимости, относящееся к финальному результату измерений (4.2), объединенное с составляющей, связанной с Пуассоновским распределением.

Примечание - Метод объединения стандартной неопределенности и смещения здесь не описан.

4.2 Стандартное отклонение воспроизводимости

Могут быть использованы три различных способа оценки стандартного отклонения воспроизводимости (s_R), перечисленные ниже в порядке их предпочтительности:

- 1-й способ: определение внутрилабораторного стандартного отклонения воспроизводимости;

- 2-й способ: определение стандартного отклонения воспроизводимости метода по данным межлабораторных исследований;

- 3-й способ: определение стандартного отклонения воспроизводимости по данным межлабораторных испытаний, проводимых с целью оценки технической компетентности.

Очевидна предпочтительность использования 1-го способа, если план экспериментальных работ детально описан и соблюдался.

Общие правила оценки величины стандартного отклонения воспроизводимости даны в 4.4, а каждый из способов описан в разделах 5-7.

4.3 Расширенная неопределенность

Расширенную неопределенность U (2.4) в соответствии с определением по [15] находят исходя из суммарной стандартной неопределенности u_c(y) (см. 4.1) с учетом коэффициента охвата k (2.5), значение которого в рамках настоящего стандарта принято считать равным 2 (так как это значение примерно соответствует уровню доверия 95 %):

U = 2 x u_c(y).

4.4 Общие правила оценки величины стандартного отклонения воспроизводимости

Концепция "черный ящик", описываемая в данном стандарте, предполагает, что в учет будет принято как можно большее число источников неопределенности, приведенных на рисунке 1. В частности, лаборатория должна иметь представление о распределении микроорганизмов в продуктах, подвергаемых анализу, чтобы принять эту информацию в расчет при оценке составляющей неопределенности, связанной с таким этапом аналитической работы, как приготовление под-проб (см. 3.1).

Стандартное отклонение воспроизводимости должно быть оценено для каждого вида целевого микроорганизма (или однородной группы целевых микроорганизмов) и для каждой матрицы (или однородной группы матриц), для каждого метода испытаний, который лаборатория использует в своей повседневной работе.

Примечание 1 - Термин "однородный" означает, что для данной группы "микроорганизмы / методы", или группы матриц наблюдаются эквивалентные значения величин неопределенности результатов измерений.

Примечание 2 - Оценка неопределенности ассоциируется с испытательной лабораторией и связывает данное значение неопределенности измерений с соответствующим результатом измерения, полученным в определенных условиях, таких как оператор, процедура лабораторных работ, оборудование, реагенты и т. д. Оценка неопределенности не характеризует аналитический метод сам по себе, вне зависимости от лаборатории, в которой она была осуществлена.

В соответствии с принципами стандарта ИСО/МЭК 17025 критические внешние факторы, связываемые с методикой анализа или с лабораторией, которые могут, как представляется, повлиять на результат измерения, должны быть идентифицированы, и должна быть обеспечена возможность продемонстрировать, в какой степени эти факторы были подконтрольными при проведении эксперимента. Примеры таких критических факторов: источник получения и тип культуральной среды и/или других реагентов (таких, которые используются, например, при выполнении операции конфирмации), используемая техника подсчета числа колоний (вручную или с помощью автоматизированных устройств), оператор или группа операторов и т. п. В процессе проведения оценки неопределенности необходимо иметь доказательную базу того, что эта оценка является релевантной и что условия проведения испытаний находились под контролем. Если имели место изменения критических факторов, то необходима новая оценка величины неопределенности измерений.

"Общие требования к компетентности испытательных и калибровочных лабораторий. ГОСТ Р ИСО/МЭК 17025-2000" признан утратившим силу "Национальным стандартом Российской Федерации. Общие требования к компетентности испытательных и калибровочных лабораторий. ГОСТ Р ИСО/МЭК 17025-2006"

5 Внутрилабораторное стандартное отклонение воспроизводимости

5.1 Общие положения

Использование внутрилабораторного стандартного отклонения воспроизводимости в качестве меры неопределенности является предпочтительным выбором, так как дает лаборатории основания связать найденную величину неопределенности с результатами, получаемыми самой лабораторией и сообщаемыми в отчетах по испытаниям, и обеспечить таким образом выполнение требований об указании неопределенности результатов анализов. Это аналогично частному случаю - понятию о промежуточной прецизионности, введенному стандартом ИСО 5725-3. Теоретическим изъяном такого выбора является невозможность принять в расчет смещение.

5.2 Процедура проведения эксперимента

5.2.1 Общие положения

В пищевой микробиологии нельзя избежать влияния матрицы на величину неопределенности результата измерения; в связи с этим протокол экспериментальных работ должен учитывать факт влияния на результат измерения этапа формирования под-проб, отбираемых из лабораторной пробы (т. е. из массы выборки или пробы продукта, взятой для анализа).

Для каждого целевого микроорганизма (или однородной группы организмов - см. примечание 1 в 4.4) и для каждого типа матрицы протокол проведения эксперимента должен предусматривать исследование по крайней мере 10 образцов одной и той же матрицы. Проведение исследований должно осуществляться в различные дни, с тем чтобы обеспечить варьирование условий работы во времени. При этом должно быть также обеспечено проведение сбора данных в течение заданного промежутка времени.

Число типов матриц, подвергаемых анализу, зависит от разнообразия матриц, обычно испытываемых в данной лаборатории. Выбранные матрицы должны быть представительными - с точки зрения величины неопределенности измерений, типа матриц, обычно испытываемых лабораторией, а также уместными для того вида микроорганизмов, для которых проводится эксперимент. Приложение А является руководством по организации этого выбора, обеспечивающим то, что результаты исследований по оценке неопределенности измерений, выполненные на международном уровне, были согласованными с величиной оценки неопределенности, связанной с этапами проведения отбора под-проб и приготовления исходной суспензии. Дополнительные указания имеются также в приложении В стандарта ИСО 16140:2003.

Вычисление стандартного отклонения для данных, переводимых в логарифмическую шкалу (5.3), стабилизирует значения дисперсии воспроизводимости относительно уровней контаминации при условии, что в расчетах не используются данные тех испытаний, при которых были получены низкие значения числа колониеобразующих единиц (см. 5.3). Поэтому нет необходимости оценивать стандартное отклонение воспроизводимости на разных уровнях контаминации. Однако, по мере возможности, объемы проб и/или разбавления должны подбираться так, чтобы "покрыть" область концентраций, встречающихся при рутинных испытаниях.

Во всех случаях, когда это возможно, должны использоваться естественно контаминированные пробы продукта, так как они способны обеспечить наиболее реалистичную оценку неопределенности измерений, присущую естественно контаминированным пробам. Более того, физиологический статус микроорганизма (имеется в виду, находится ли микроорганизм в состоянии стресса) может тоже оказать влияние на степень варьируемости результатов, и, следовательно, он должен быть подобен тому, что встречается при рутинных испытаниях.

Если требуется использовать метод добавок, то этот способ должен быть под жестким контролем - так, чтобы не внести дополнительный элемент в вариабельность результатов анализа. Добавки должны быть подобраны так, чтобы получалась картина обсемененности, максимально близкая к реальной (т. е. использовались микроорганизмы в стрессовом состоянии и включалась подходящая сопутствующая микрофлора).

5.2.2 Описание

Процедура проведения испытаний приведена на рисунке 2.

Рисунок 2 - Процедура проведения эксперимента при определении внутрилабораторного стандартного отклонения воспроизводимости

Для каждой пробы продукта каждый из операторов берет одну аналитическую пробу и из нее приготавливает одну исходную суспензию, которую подвергает одному анализу. Анализ выполняется по рутинной программе (т. е. подготавливается серия десятикратных разведений, осуществляется инокуляция одной или двух плат для каждого из разведений).

Примечание 1 - На практике "оператором" может быть бригада исполнителей (техников), каждый из которых выполняет свою часть работы. В таком случае бригада рассматривается как один оператор, а любое изменение ее состава рассматривается как иной оператор.

Примечание 2 - Настоящий протокол проистекает из основополагающей концепции "черный ящик", описанной в 3.1. Различные источники неопределенности, такие как приготовление под-проб, природа матрицы, остаточные погрешности, оператор/время и т. п. рассматриваются совместно и не оцениваются по отдельности.

Условия А и В должны отличаться друг от друга настолько, насколько это возможно, и в идеале должны включать в себя как можно больше вариаций, какие только могут возникнуть в лаборатории в различные рабочие дни, - разные исполнители, разные партии культуральной среды и реагентов, разные миксеры, рН-метры, термостаты, разное время проведения анализа и т. п. Если доказуемо, что степень микробиальной контаминации анализируемой пробы продукта достаточно постоянна во времени (что является редким случаем в пищевой микробиологии), то условия А и В также могут быть отнесены к различным дням проведения анализа.

5.2.3 Применение

На рисунке 3 показаны основные источники неопределенности, охваченные данной процедурой испытаний; показано, какие источники варьирования исключены из рассмотрения (отбор проб продукции и смещение).

Как было разъяснено в 4.2.1, настоящая процедура проведения эксперимента обеспечивает включение в себя эффекта операции отбора испытуемой порции в оценке общей неопределенности. Более того, в пищевой микробиологии хорошо известно, что в случае натуральной контаминации пищевых продуктов (особенно твердых продуктов после их производственной обработки, вызревания и пр.) распределение микрофлоры по массиву продукта является существенно неравномерным. Протокол проведения эксперимента принимает в учет вариабельность результатов измерений, связанную с этой гетерогенностью, что может оказаться важным в некоторых ситуациях, когда высказывается суждение о соответствии анализируемой пробы установленным пределам (таким как микробиологические критерии).

Примечание - Если осуществляется искусственная контаминация исходной суспензии (что возможно согласно протоколу эксперимента, иллюстрированному рисунком 2), то оказывается, что составляющая неопределенности, являющаяся следствием контаминационной гетерогенности матрицы, не принимается в учет.

Рисунок 3 - Основные источники неопределенности, охваченные или исключенные в эксперименте по оценке внутрилабораторной воспроизводимости

Примечание - Исключенные источники варьирования результатов на рисунке 3 зачеркнуты.

Однако в определенных случаях данная процедура проведения экспериментальных работ может иметь малую практическую ценность. Натурально создавшееся распределение микроорганизмов по массиву продукта тесно связано с типом матрицы (или однородной группы матриц), обычно испытываемых лабораторией. Следствием этого может оказаться, что требуется чрезмерно большое число исследований, если лаборатория проводит анализы большого числа видов матриц.

Наконец, как указано в 3.2, данный протокол эксперимента не охватывает случая, когда возможен существенный взнос в неопределенность измерений благодаря наличию смещения.

5.3 Вычисления

Эксперименты должны выполняться так, чтобы можно было гарантировать, что достаточно большое число результатов подсчета колоний могли быть пригодны для проведения дальнейших вычислений. Исключается использование результатов, при которых обнаруженное число колоний меньше 10. Результаты, в которых обнаруженное число колоний составляет от 10 до 30, могут быть включены в вычисления только в том случае, если можно надеяться, что найденное стандартное отклонение воспроизводимости, s_R, будет больше, чем 0,2 х log_10 (КОЕ/г) или 0,2 х log_10 (КОЕ/см3).

Примечание 1 - Этот предел 10 (или 30) колоний относится к сумме - общему числу подсчитанных колоний на всех платах С.

Примечание 2 - Этот предел относится только к специфическому случаю - протоколу эксперимента по определению внутрилабораторного стандартного отклонения воспроизводимости (т. е. к экспериментам, имеющим особую цель - оценить величину неопределенности), а не для использования этого стандартного отклонения для оценки неопределенности измерений для новых образцов продуктов (см. раздел 8).

В соответствии с общепринятой практикой первым шагом, предваряющим вычисления конечного результата, является пересчет полученных результатов анализа (т. е. результатов подсчета числа колоний, выраженных как КОЕ/г или КОЕ/см3) в величины log_10 (КОЕ/г) или log_10 (КОЕ/см3).

Примечание - В соответствии со стандартом ИСО 31-11 символом десятичного логарифма является "lg". Однако в рамках настоящего стандарта предпочтителен символ "log_10", широко используемый в сообществе пищевых лабораторий.

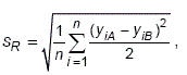
Вычисления стандартного отклонения воспроизводимости s_R для п образцов данной матрицы проводятся по уравнению

где у_ij - логарифмически трансформированные данные испытаний, выраженные как log_10 (КОЕ/г) или log_10 (КОЕ/см3);

i - индекс выборки i = 1 до n (n 10);

j - индекс условий воспроизводимости j = А или В.

Пример расчета для случая подсчета аэробной мезофильной флоры в молотом курином мясе приведен в таблице 1.

Таблица 1

Расчет стандартных отклонений воспроизводимости - пример для случая подсчета аэробной мезофильной флоры в молотом курином мясе

i X_iA X_iB Y_iA = log_10 (X_iA) Y_iB = log_10 (X_iB)   (Y_iA - Y_iB)^2  
  2  
1 6,7 x 104 8,7 x 104 4,83 4,94 0,0064
2 7,1 x 106 6,2 x 106 6,85 6,79 0,0017
3 3,5 x 105 4,4 x 105 5,54 5,64 0,0049
4 1,0 x 107 4,3 x 106 7,00 6,63 0,0672
5 1,9 x 107 1,7 x 107 7,28 7,23 0,0012
6 2,3 x 105 1,5 x 105 5,36 5,18 0,0172
7 5,3 x 108 4,1 x 108 8,72 8,61 0,0062
8 1,0 x 104 1,2 x 104 4,00 4,08 0,0031
9 3,0 x 104 1,3 x 104 4,48 4,11 0,0659
10 1,1 x 108 2,2 x 108 8,04 8,34 0,0453

Используя логарифмически трансформированные данные y_ij , получаем значение стандартного отклонения воспроизводимости

6 Стандартное отклонение воспроизводимости метода, определяемое по данным межлабораторных испытаний

6.1 Общие положения

Если метод, обычно применяемый лабораторией, был подвергнут межлабораторному изучению с целью его валидации, то лаборатория может использовать значение стандартного отклонения воспроизводимости метода для получения оценки своей собственной неопределенности измерений при определенных условиях (см. ниже). Наличие этих предварительных условий объясняется тем фактом, что стандартное отклонение, найденное по данным межлабораторных испытаний, увязано с методом, но не с конкретной лабораторией, которая отчитывается значением неопределенности измерений, имеющим отношение к ее собственным результатам.

Эти условия следующие:

- значение лабораторного смещения совместимо с тем, на какое можно надеяться, исходя из оценок повторяемости и воспроизводимости, выведенных на базе данных межлабораторных испытаний;

- прецизионность, достигаемая при измерениях в пределах лаборатории, сопоставима с теми оценками повторяемости и воспроизводимости, какие были получены по данным межлабораторных испытаний;

- межлабораторные исследования корректно охватывают все источники неопределенности (особенно операции подготовки пробы и гомогенизации).

Описания процедуры контроля соблюдения этих условий имеются, а то, как сформировать оценку суммарной неопределенности измерений с учетом возможности наличия дополнительных влияющих факторов, не охваченных при планировании межлабораторных испытаний, детально разъяснено в документе ИСО/ТУ 21748.

6.2 Использование в пищевой микробиологии

На рисунке 4 показаны основные источники неопределенности, охваченные настоящим протоколом, а также показано, что один из источников (отбор проб) исключен.

Рисунок 4 - Основные источники неопределенности, охваченные или исключенные при определении межлабораторной воспроизводимости

Примечание - Исключенные источники варьирования результатов измерений отмечены крестами.

То, в какой мере учитываются такие факторы, как "Отбор под-проб/Первичное разведение", а также "Матрица", зависит от конкретной программы проведения экспериментальных исследований.

Этот подход дает возможность лаборатории, которая принимала участие в межлабораторных испытаниях, оценить ту долю, которую представляет собой собственное лабораторное смещение как компонента неопределенности измерений. Этот аспект в настоящем стандарте не обсуждается.

Однако в пищевой микробиологии имеются серьезные ограничения для применения настоящего подхода, и о них речь пойдет ниже. Это обуславливает их рассмотрение только в рамках 2-го способа.

Помимо необходимости удостовериться, что прецизионность и смещение, присущие лаборатории, сообразуются с соответствующими значениями этих характеристик, полученными при межлабораторных испытаниях по изучению метода, важно также иметь в виду, что из данных межлабораторных экспериментальных исследований, проведенных для стандартизованных референтных методов, может быть лишь получено ограниченное число параметров воспроизводимости (к этим референтным методам относятся количественное определение B. cereus - по стандарту ИСО 7932, C. perfringens - по стандарту ИСО 7937, коагулазо-положительных стафилококков - по стандартам ИСО 6888-1 и ИСО 6888-2 и L. monocytogenes - по стандарту ИСО 11292-2).

Более того, трудно делать какие-либо обобщения и из-за специфичности рутинных анализов проб, выполняемых лабораторией. Оценки прецизионности, вычисленные по данным внутрилабораторных исследований, будут получены на основе ограниченного числа точно определенных комбинаций матриц, штамма микроорганизма, уровней контаминации и т. п. и для конкретной сопутствующей микрофлоры (если таковая присутствует).

Наконец, заданные требования к гомогенности проб, используемых при совместных исследованиях, и необходимость направлять лабораториям гомогенизированные и стабилизированные пробы вызывают снижение количества вариантов "натуральной" контаминации пробы по сравнению с тем, что можно было бы обнаружить на практике, и это приводит к недооценке величины неопределенности.

7 Стандартное отклонение воспроизводимости, определяемое по данным межлабораторных испытаний по подтверждению технической компетентности

Если лаборатория принимает участие в межлабораторных испытаниях, связанных с оценкой технической компетентности, то можно использовать стандартное отклонение воспроизводимости, найденное по данным этих исследований, для того, чтобы сделать заключение о собственной неопределенности измерений при условии, что:

- во время испытаний лаборатория использовала тот же метод анализа, какой она применяет при рутинной работе;

- образцы, которые использовались в исследовательской работе, сопоставимы (в плане матрицы и уровня контаминации) с теми, какие испытываются в лаборатории при рутинной работе;

- лаборатории, участвовавшие в проведении исследований, не использовали разные эмпирические методы или достаточно большое число участников применяли один и тот же метод, так что имеется возможность получить корректную оценку стандартного отклонения воспроизводимости.

На рисунке 4 показаны основные источники неопределенности, охваченные данным протоколом, за одним исключением: операция "Отбор проб".

Задача данного подхода - дать возможность лаборатории, принимающей участие в межлабораторных испытаниях, частично оценить величину собственного смещения как компоненту неопределенности измерений. Этот аспект в настоящем стандарте не обсуждается.

8 Вычисление расширенной неопределенности

8.1 Введение

Предполагается, что количество колониеобразующих единиц в чашках Петри подчиняется Пуассоновскому закону распределения. Эта случайная погрешность учитывается при оценке расширенной неопределенности, как описано в 8.2.

Примечание - В вычислениях, описанных для оценки внутрилабораторного стандартного отклонения неопределенности (см. 5.3), пренебрегали случайной погрешностью, возникающей вследствие Пуассоновского распределения; на это указывает то, что при расчетах предусматривалось исключение тех численных результатов эксперимента, которые представляли собой низкие значения количества колониеобразующих единиц (КОЕ).

8.2 Вычисления

8.2.1 Общий случай

Если результат испытаний выражен как y = log_10 x, то расширенная неопределенность U, с учетом того, что коэффициент охвата равен 2 (что примерно соответствует P = 95 %), может быть определена по уравнению (1)

где s_R - стандартное отклонение воспроизводимости;

0,18861/C - компонента дисперсии, возникающая вследствие Пуассоновского распределения; здесь C - это сумма всех результатов подсчета колоний на всех платах.

Примечание - Числитель дроби определяется исходя из теоретического свойства Пуассоновского распределения (равенства математического ожидания и дисперсии, из чего непосредственно вытекает, что Пуассоновская компонента коэффициента вариации и того допущения, что Пуассоновская компонента дисперсии, будучи выражена в логарифмической шкале, примерно равна коэффициенту вариации, возведенному в квадрат (СV)^2, если используется шкала натуральных логарифмов, и, следовательно, равна (log_10 е)^2 = 0,18861 х (СV)^2, если используется шкала десятичных логарифмов.

Неопределенность измерений в соответствии с уравнением (1) зависит и от стандартного отклонения неопределенности, оцениваемого по данным эксперимента в случае больших значений КОЕ, s_R, и от общего числа подсчетов для исследуемой пробы ЕС. Рекомендуется ради простоты использовать уравнение (1) в любых случаях.

8.2.2 Установление границы между низким и высоким значениями результатов расчета (факультативно)

В случае высоких значений КОЕ второе слагаемое в сумме, находящейся под знаком квадратного корня, т. е. Пуассоновское слагаемое, зависящее от величины ЕС, настолько мало, что им можно пренебречь; тогда уравнение (1) упрощается

U = 2 x (s_R)^2.

Предельное значение С_lim вычисляется по уравнению

С_lim = (log_10 е)^2 1,75 . (3)
(s_R)^2 x [(1 - 0,05)^2 - 1] (s_R)^2

Во всех случаях, где C > С_lim, разница между величинами U, вычисленными по уравнениям (1) и (2), пренебрежимо мала (< 5 %).

Как только величина s_R будет оценена, значение С_lim может быть найдено либо по уравнению (3), либо из таблицы В.1 приложения В.

Различают два случая:

если C > С_lim, то для определения U используется уравнение (2);

если C С_lim, то для определения U используется уравнение (1).

Примечание - Если уравнение (1) используется во всех случаях, то в вычислении С_lim по уравнению (3) нет необходимости.

9 Выражение неопределенности измерений в отчетах по испытаниям

После проведения расчетов неопределенности измерений так, как указано в главе 8, результаты могут быть отражены в отчете по испытаниям совместно с результатом измерений - либо как интервал значений в шкале десятичных логарифмов (см. примечание в 5.3), либо как величины в шкале натуральных чисел (КОЕ/г или КОЕ/см3), либо в процентном отношении, что иллюстрируется приведенными ниже примерами.

Результат измерений может быть представлен одним из следующих способов:

a) как интервал для результата, выраженного в логарифмической шкале:

Y ± U х [log_10 (КОЕ/г)] или

Y ± U х [log_10 (КОЕ/см3)];

b) как результат, представленный в логарифмической шкале, с указанием его нижнего и верхнего пределов:

Y х [log_10(КОЕ/г)] х [y - U, y + U] или

Y х [log_10(КОЕ/см3)] х [y - U, y + U];

c) как результат, выраженный в единицах абсолютной шкалы, с указанием его нижнего и верхнего пределов, выраженных в тех же единицах измерений:

X х КОЕ/г [10(y - U), 10(y + U)] или

X х КОЕ/см3 [10(y - U), 10(y + U)];

d) как результат, выраженный в единицах абсолютной шкалы, с указанием его нижнего и верхнего пределов, выраженных в относительных единицах:

X х КОЕ/г [- (1 - 10(- U)) х 100 %, + (-1 + 10(U)) х 100 %] или

X х КОЕ/см3 [- (1 - 10(- U() х 100 %, + (-1 + 10(U)( х 100 %].

Примечание 1 - Пределы, выраженные в относительных единицах, зависят только от величины U. Примеры верхнего и нижнего пределов, выраженных в процентах, можно найти в таблице В.1 приложения В.

Примечание 2 - В то время как величина х имеет размерность - либо КОЕ/г, либо КОЕ/см3, величина y, будучи представленной в логарифмической шкале, является безразмерной так же, как, например, величина рН. Чтобы напомнить пользователям об единицах измерения начальных данных и о виде используемой логарифмической шкалы, после численного результата может быть добавлена в скобках запись: log_10 (КОЕ/г) или log_10 (КОЕ/см3).

Пример 1 - Стандартное отклонение воспроизводимости, s_R равняется 0,15 [log_10 (КОЕ/г)].

Результат испытаний: 100000 КОЕ/г, т. е. y = 5,00 [log_10 (КОЕ/г)], C = 110 (разбавление - 3: 102 колонии, разбавление - 4: 8 колоний).

Таким образом, расширенная неопределенность U при коэффициенте охвата 2 (уровень доверия 95 %) будет равна, если использовать уравнение (1):

Результат испытаний может быть представлен в отчете одним из следующих способов:

5,0 ± 0,3 [log_10 (КОЕ/г)];

5,0 [log_10 (КОЕ/г)] х [4,7; 5,3];

1,0 х 105 КОЕ/г [4,9 х 104; 2,0 х 105];

1,0 х 105 КОЕ/г [-51 %; + 100 %].

Примечание - Сказанное правомерно только тогда, когда при расчете неопределенности используются два уравнения (см. 8.2.2): C_lim = 78. Тогда, поскольку С = 110 > C_lim = 78, может быть использовано упрощенное уравнение (2) для большого числа подсчетов: U = 2 х s_R = 0,30.

Пример 2 - Стандартное отклонение воспроизводимости s_R равняется 0,25 [log_10 (КОЕ/г)].

Результат испытаний: 280 КОЕ/г, т. е. y = 2,45 [log_10 (КОЕ/г)], C = 31 (разбавление - 1,1 см3 на трех платах: 9 + 9 + 9 колоний; разбавление - 2: 4 колонии).

Таким образом, расширенная неопределенность U при коэффициенте охвата 2 (уровень доверия 95 %) будет равна, если использовать уравнение (1):

Результат испытаний может быть представлен в отчете одним из следующих способов:

2,4 ± 0,5 [log_10 (КОЕ/г)];

2,4 [log_10 (КОЕ/г)] [1,9; 3,0];

280 КОЕ/г [85; 930];

280 КОЕ/г [-70 %; + 230 %].

Примечание - Сказанное правомерно только тогда, когда при расчете неопределенности используются два уравнения (см. 8.2.2): C_lim = 28. Тогда, поскольку С = 31 > C_lim = 28, может быть использовано упрощенное уравнение (2) для большого числа подсчетов U = 2 х s_R = 0,50.

Пример 3 - Стандартное отклонение воспроизводимости s_R равняется 0,11 [log_10 (КОЕ/г)].

Результат испытаний: 100 КОЕ/г, т. е. y = 2,00 [log_10 (КОЕ/г)], ЕС = 11 (разбавление - 1: 9 колоний, разбавление - 2: 2 колонии).

Таким образом, расширенная неопределенность U при коэффициенте охвата 2 (уровень доверия 95 %) будет равна, если использовать уравнение (1):

Результат испытаний может быть представлен в отчете одним из следующих способов:

2,0 ± 0,3 [log_10 (КОЕ/г)];

2,0 [log_10 (КОЕ/г)] [1,7; 2,3];

100 КОЕ/г [46; 220];

100 КОЕ/г [-54 %; + 120 %].

Примечание - Сказанное правомерно только тогда, когда при расчете неопределенности используются два уравнения (см. 8.2.2): C_lim = 144. Тогда, поскольку С = 11 < C_lim = 144, упрощенное уравнение (2) для большого числа подсчетов не может быть использовано.

Пример 4 (применим только тогда, когда используются два уравнения) - Стандартное отклонение воспроизводимости s_R было найдено равным 0,22 [log_10 (КОЕ/г)].

C_lim = 36. Тогд а , если С > C_lim = 36, то используется упрощенное уравнение (2), относящееся к случаю больших значений КОЕ/г, и U = 2 х 0,22 = 0,44.

Может быть установлено общее правило, применимое только для результатов с С > 36, в соответствии с одним из приведенных ниже вариантов:

логарифмически выраженный результат ± 0,44 [log_10 (КОЕ/г)];

логарифмически выраженный результат [log_10 (КОЕ/г)] [логарифмически выраженный результат - 0,44; логарифмически выраженный результат + 0,44];

Результат в КОЕ/г [10^(log результата - 0,44); 10^(log результата + 0,44)];

Результат в КОЕ/г [-64 %; + 175 %].

Если С 36 или если предпочтителен универсальный подход, то используется уравнение (1).

Приложение А
(справочное)

РЕЗУЛЬТАТЫ ИССЛЕДОВАНИЙ КОМПОНЕНТЫ НЕОПРЕДЕЛЕННОСТИ, СВЯЗАННОЙ С ЭТАПАМИ ПРИГОТОВЛЕНИЯ ПОД-ПРОБ И ИСХОДНОЙ СУСПЕНЗИИ

А.1 Презентация протокола экспериментальных исследований

Исследования были организованы АFSSA (Франция) в интересах ИСО/ТК34/ПК9 в 2003 и 2004 годах. Задачей исследований была оценка степени влияния различных матриц (пищевых продуктов) на компоненты неопределенности измерений, связанные с такими этапами микробиологического анализа, как отбор под-проб из пробы, представленной на анализ (т. е. из аналитической пробы) и приготовление исходной суспензии [18].

Протокол испытаний включал в себя приготовление для каждой пробы продукта восьми образцов для испытаний, как показано на рисунке А.1.

Рисунок А.1 - Схема процедуры экспериментальных исследований

На рисунке А.1:

- индексами ИС(А) и ИС(В) обозначены две исходные суспензии, приготовленные независимо друг от друга и в условиях, настолько различных, насколько это возможно (т. е. были привлечены к работе разные операторы, использованы разные весы, разные партии разбавителя и пр.);

- словами "Условия 1" и "Условия 2" обозначены две группы условий испытаний, отличающиеся между собой настолько, насколько это возможно (разные операторы, разные партии культуральных сред, разные термостаты и пр.);

- индексами А11, А12 и т. п. обозначены две повторности испытаний, осуществленные в условиях повторяемости (т. е. две серии разбавлений исходной суспензии для каждого из вариантов условий испытаний).

Необходимо отметить, что рисунок 2 настоящего стандарта, иллюстрирующий процедуру проведения экспериментальных исследований (см. 5.2.2), - это упрощенный вариант рисунка А.1: из всех результатов-повторностей, присутствующих на рисунке А.1, на рисунке 2 указаны только результаты-повторности А11 и В21.

А.2 Результаты

А.2.1 Общие сведения

В экспериментальных исследованиях принимали участие 79 лабораторий, и каждая из них проводила испытания с использованием одного или более методов анализа, одной или более матриц, в результате чего были сформированы 124 комплекта результатов испытаний {1 лаборатория х 1 метод х 1 матрица}. Из них 28 комплектов были отвергнуты, как не отвечающие заданным критериям приемки результата испытаний для его использования в проводившихся исследованиях.

Таким образом, были получены 96 численных значений стандартных отклонений воспроизводимости (sR), относящихся к одной лаборатории, одному методу анализа и одной матрице. Кроме того, дисперсионный анализ предоставил возможность для каждого стандартного отклонения воспроизводимости оценить вклад в варьирование результатов анализа, связанный с тремя источниками неопределенности:

a) источник, связанный с матрицей, с операцией отбора под-проб для испытаний и с операцией приготовления исходного разбавления;

b) источник, связанный с условиями воспроизводимости (оператор/время);

c) случайные погрешности в условиях повторяемости.

А.2.2 Классификация матриц

На основе результатов этих исследований была уточнена классификация матриц.

Было предложено различать четыре категории матриц в зависимости от физического состояния продукта:

- Категория i): жидкие и порошкообразные продукты (такие как молоко, молоко кокоса, сухое молоко и т. п.);

- Категория ii): хорошо перемешанные твердые продукты (такие как молотое мясо, протертый мясной фарш, паштеты, взбитый крем, молочное мороженое, соевая паста и т. п.);

- Категория iii): продукты, состоящие из небольших (или очень небольших) твердых частиц (такие как сушеная петрушка или сушеные грибы, тертая морковь или пастернак, сухие корма, дробленый фундук и т. п.);

- Категория iv): иные твердые продукты (такие как мясо в кусках, сыры, кондитерские изделия и т. п.).

Эти физические свойства продуктов существенно влияют на величину s_R и величину стандартных отклонений из-за двух источников неопределенности: один из них связан с влиянием матрицы (включая этап отбора под-проб) на результаты анализа, а другой связан с этапом приготовления исходного разбавления. Парные сравнения показали наличие статистически значимых различий результатов, полученных для двух первых категорий матриц (жидкости, порошки и хорошо перемешанный твердый продукт), и результатов, относящихся к двум последним категориям (продукты из небольших по размеру твердых частиц и иного вида продукты).

Для продуктов двух первых категорий матрицы были ответственны за часть величины стандартного отклонения, составляющую примерно 0,1 х log_10 единиц (см. примечание в 5.3) от общего значения стандартного отклонения, независимо от того, в какой лаборатории проводятся испытания и какая микрофлора проверяется. Для двух других категорий матриц не представилось возможным оценить порядок величины эффекта вне зависимости от вида микрофлоры и от лаборатории. Заметим, что большинство продуктов двух последних категорий могут быть измельчены с помощью блендера, и тогда они могут рассматриваться как продукты, относящиеся ко второй категории матриц.

А.2.3 Конкретные результаты

Конкретные результаты, основанные на использовании 96 комплектов измерений, представлены в таблицах А.1 - А.5 для каждого из видов целевых микроорганизмов. В каждой из таблиц:

-категория матрицы установлена в соответствии с А.2.2;

- s_is представляет собой "компоненту" стандартного отклонения, возникающую из-за варьирования свойств исходной суспензии (включая влияние матрицы и влияние этапов приготовления под-проб и исходной суспензии);

- s_R - стандартное отклонение воспроизводимости;

- s_cond представляет собой "компоненту" стандартного отклонения, возникающую из-за варьирования условий проведения испытаний (включая такие факторы, как оператор и время проведения испытаний);

- s_res представляет собой остаточное стандартное отклонение (включая эффекты случайных ошибок).

Значения всех стандартных отклонений выражены в логарифмической шкале как log_10 (КОЕ/г) или log_10 (КОЕ/см3).

Таблица А.1

Стандартные отклонения при определении аэробной мезофильной микрофлоры

Код лаборатории Наименование продукта Категория s_is s_R s_res s_cond
2 Рыба iv 0,36 0,43 0,23 0,06
2 Замороженная молотая телятина ii 0,07 0,25 0,24 0,06
3 Кондитерские изделия iv 0,12 0,18 0,11 0, 07
4 Рыба iv 0,37 0,51 0,29 0,20
7 Готовые к употреблению кулинарные изделия iv 0,24 0,33 0,17 0,13
8 Молотая говядина в вакуумной упаковке ii 0,09 0,15 0,10 0,06
10 Упакованный листовой салат iii 0,10 0,45 0,17 0,41
10 Порошок сушеного лука ii 0,17 0,24 0,13 0,11
11 Паштет iv 0,72 0,78 0,10 0,29
11 Кондитерские изделия iv 0,05 0,19 0,12 0,13
11 Сушеные грибы iii 0,14 0,26 0,15 0,16
12 Кожа куриных шеек iv 0,19 0,20 0,06 0,02
13 Приготовленные улитки iv 0,06 0,13 0,10 0,05
14 Кондитерские изделия iv 0,32 0,35 0, 11 0,08
20 Кожа куриных шеек iv 0,14 0,16 0,05 0,06
20 Протертый фарш из мяса индейки ii 0,10 0,13 0,06 0,05
20 Протертый фарш из куриного мяса ii 0,10 0,14 0,09 0,05
25 Паштет iv 0,46 0,47 0,07 0,03
26 Сыр из непастеризованного молока iv 0,16 0,26 0,09 0,19
27 Ветчина ломтиками iv 0,30 0,31 0,06 0,05
30 Кондитерские изделия iv 0,09 0,12 0,06 0,05
31 Тертая морковь iii 0,09 0,14 0,08 0,08
32 Сырые свиные сосиски iv 0,20 0,24 0,12 0,05
34 Свежая свинина iv 0,70 0,70 0,06 0,05
38 Ванильное мороженое ii 0,03 0,10 0,09 0,02
41 Сухое молоко i 0,05 0,14 0,10 0,08
42 Сухое молоко в порошке i 0,02 0,05 0,04 0,02
43 Замороженные креветки iii 0,19 0,20 0,05 0,05
44 Замороженные креветки iii 0,09 0,18 0,14 0,08
48 Молоко i 0,04 0,12 0,06 0,09
49 Кукурузный крахмал i 0,09 0,14 0,06 0,08
55 Упакованный листовой салат iii 0,15 0,20 0,06 0,11
72 Казеинат i 0,03 0,09 0,08 0,04
76 Вода i 0,04 0,10 0,09 0,03
77 Молотая говядина ii 0,07 0,09 0,05 0,03
79 Молотое мясо домашней птицы ii 0,03 0,13 0,09 0,07
Метод спирального посева
1 Сыр из непастеризованного молока iv 0,29 0,38 0,12 0,21
24 Сухой корм для собак iii 0,18 0,24 0,13 0,09
59 Молотое мясо ii 0,17 0,23 0,15 0,05

Таблица А.2

Стандартные отклонения при определении колиформных бактерий

Код лаборатории Наименование продукта Категория s_is s_R s_res s_cond
1 Молотая говядина в вакуумной упаковке iv 0,32 0,35 0,11 0,07
3 Кондитерские изделия iv 0,16 0,23 0,15 0,07
6 Свежая говядина iv 0,33 0,35 0,05 0,09
10 Упакованный листовой салат iii 0,41 0,78 0,33 0,58
12 Кожа куриных шеек iv 0,15 0,20 0,12 0,06
20 Кожа куриных шеек iv 0,07 0,12 0,09 0,05
26 Сыр из непастеризованного молока iv 0,30 0,33 0,09 0,10
29 Протертый куриный фарш ii 0,10 0,15 0,07 0,08
30 Кондитерские изделия iv 0,15 0,19 0,09 0,07
32 Сырокопченая колбаса iv 0,15 0,31 0,21 0,13
44 Сыр из непастеризованного молока iv 0,11 0,21 0,10 0,14
45 Свежее мясо iv 0,17 0,22 0,10 0,09
58 Замороженное кокосовое молоко i 0,12 0,18 0,11 0,08
74 Взбитый крем ii 0,07 0,20 0,13 0,13

Таблица А.3

Стандартные отклонения при определении E. coli

Код лаборатории Наименование продукта Категория s_is s_R s_res s_cond
9 Сыр из непастеризованного молока iv 0,45 0,47 0,10 0,06
16 Сыр из непастеризованного молока iv 0,09 0,13 0,07 0,07
17 Куриное мясо без кожи iv 0,27 0,35 0,10 0,20
18 Сыр из непастеризованного молока iv 0,25 0,27 0,07 0,06
19 Куриная печень iv 0,12 0,16 0,09 0,05
35 Сыр из непастеризованного молока iv 0,13 0,18 0,12 0,03
37 Замороженный говяжий фарш ii 0,13 0,17 0,10 0,05
47 Соевый крем ii 0,13 0,44 0,15 0,39
50 Сыр из непастеризованного молока iv 0,29 0,30 0,04 0,02
50 Сыр из непастеризованного молока iv 0,24 0,26 0,08 0,05
51 Сыр из непастеризованного молока iv 0,13 0,15 0,07 0,02
52 Колбасный фарш ii 0,08 0,11 0,07 0,03
59 Молотое мясо ii 0,15 0,19 0,08 0,09
Метод наиболее вероятного числа
78 Мидии iii 0,15 0,31 0,15 0,11

Таблица А.4

Стандартные отклонения при определении коагулазоположительных стафилококков

Код лаборатории Наименование продукта Категория s_is s_R s_res s_cond
1 Сыр из непастеризованного молока iv 0,26 0,33 0,16 0,14
16 Сыр из непастеризованного молока iv 0,08 0,16 0,11 0,09
28 Сыр из непастеризованного молока iv 0,15 0,24 0,17 0,08
46 Макаронные изделия iii 0,09 0,13 0,08 0,05
50 Сыр из непастеризованного молока iv 0,15 0,16 0,05 0,01
50 Сыр из непастеризованного молока iv 0,12 0,14 0,05 0,04
9 Сыр из непастеризованного молока iv 0,43 0,45 0,10 0,05
36 Сыр из непастеризованного молока iv 0,21 0,22 0,06 0,04
71 Сыр из непастеризованного молока iv 0,20 0,23 0,09 0,04
73 Сыр из непастеризованного молока iv 0,32 0,48 0,28 0,03

Таблица А.5

Стандартные отклонения при определении другой микрофлоры

Код лаборатории Наименование продукта Микроорганизмы Категория s_is s_R s_res s_cond
10 Порошок сушеного лука Дрожжи + плесени i 0,08 0,23 0,09 0,20
11 Сухие грибы Bacillus cereus iii 0,21 0,26 0,12 0,09
15 Куриное мясо без кожи Pseudomonas iv 0,20 0,34 0,14 0,24
20 Протертый фарш из индейки Сульфит-редуцирующие бактерии ii 0,05 0,10 0,08 0,03
20 Протертый куриный фарш Сульфит-редуцирующие бактерии ii 0,09 0,14 0,09 0,06
21 Сыр из непастеризованного молока L. monocytogenes iv 0,59 0,60 0,10 0,05
22 Корм для кошек в порошке Энтеробактерии iii 0,31 0,33 0,11 0,05
33 Тертый корень сельдерея Lactic acid fl ora iii 0,08 0,25 0,14 0,20
39 Сухое молоко Bifi dobacterium i 0,09 0,14 0,08 0,08
40 Сушеная зелень петрушки Bacillus cereus iii 0,17 0,27 0,18 0,12
45 Сырое мясо Salmonella iv 0,21 0,24 0,09 0,07
53 Молотое мясо индейки Сульфит-редуцирующие бактерии ii 0,07 0,25 0,12 0,21
54 Сухие фиги Дрожжи + плесени iv 0,74 0,75 0,07 0,01
55 Кукурузные хлопья Плесени iii 0,32 0,36 0,11 0,12
56 Сырое куриное мясо Энтеробактерии iv 0,35 0,52 0,29 0,27
57 Молотая говядина Энтеробактерии ii 0,01 0,04 0,03 0,02
70 Орехи фундука Дрожжи + плесени iii 0,28 0,29 0,03 0,07
76 Вода Streptococcus i 0,08 0,17 0,14 0,03
76 Вода Enterococcus i 0,12 0,16 0,09 0,02

A.3 Использование

В рамках настоящего стандарта результаты описанных исследований, т. е. установление 4 основных категорий продуктов, как указано в А.2.2, а также данные, приведенные в А.2.3, могут служить руководством для лабораторий при выборе матриц для исследований, проводимых с целью оценки неопределенности результатов микробиологического анализа (см. 5.2.1).

Приложение В
(справочное)

ВЕЛИЧИНЫ С_LIM И НИЖНИЙ И ВЕРХНИЙ ПРЕДЕЛЬНЫЕ ЗНАЧЕНИЯ РЕЗУЛЬТАТА ИЗМЕРЕНИЙ, ВЫРАЖЕННЫЕ В ОТНОСИТЕЛЬНЫХ ЕДИНИЦАХ

Если известна величина s_R, то величину С_lim можно вычислить, используя уравнение (3). Для некоторых значений s_R величины С_lim указаны также в таблице В.1. Более того, если известно значение U из уравнения (1) или уравнения (2), то предельные значения неопределенности [-(1 - 10(-U)) x 100 %, + (1 + 10(-U)) x 100%] могут помочь в выражении результатов анализа (см. раздел 9). Эти относительные значения также приведены в таблице В.1 для некоторых значений U.

Таблица В.1

Величины С_lim и нижний и верхний пределы результата измерений, выраженные в относительных единицах

Стандартное отклонение воспроизводимости s_R С_lim <a> Неопределенность U Относительные пределы <b>, % Стандартное отклонение воспроизводимости s_R С_lim <a> Неопределенность U Относительные пределы <b>, %
нижний верхний нижний верхний
0,01 17 459 0,02 -5 +5 0,22 36 0,44 -64 +175
0,02 4365 0,04 -9 +10 0,23 33 0,46 -65 +188
0,03 1940 0,06 -13 +15 0,24 30 0,48 -67 +202
0,04 1091 0,08 -17 +20 0,25 28 0,50 -68 +216
0,05 698 0,10 -21 +26 0,26 26 0,52 -70 +231
0,06 485 0,12 -24 +32 0,27 24 0,54 -71 +247
0,07 356 0,14 -28 +38 0,28 22 0,56 -72 +263
0,08 273 0,16 -31 +45 0,29 21 0,58 -74 +280
0,09 216 0,18 -34 +51 0,30 19 0,60 -75 +298
0,10 175 0,20 -37 +58 0,31 18 0,62 -76 +317
0,11 144 0,22 -40 +66 0,32 17 0,64 -77 +337
0,12 121 0,24 -42 +74 0,33 16 0,66 -78 +357
0,13 103 0,26 -45 +82 0,34 15 0,68 -79 +379
0,14 89 0,28 -48 +91 0,35 14 0,70 -80 +401
0,15 78 0,30 -50 +100 0,36 13 0,72 -81 +425
0,16 68 0,32 -52 +109 0,37 13 0,74 -82 +450
0,17 60 0,34 -54 +119 0,38 12 0,76 -83 +475
0,18 54 0,36 -56 +129 0,39 11 0,78 -83 +503
0,19 48 0,38 -58 +140 0,40 11 0,80 -84 +531
0,20 44 0,40 -60 +151 0,41 10 0,82 -85 +561
0,21 40 0,42 -62 +163 0,42 10 0,84 -86 +592
0,43 9 0,86 -86 +624 0,72 3 1,44 -96 +2654
0,44 9 0,88 -87 +659 0,73 3 1,46 -97 +2784
0,45 9 0,99 -87 +694 0,74 3 1,48 -97 +2920
0,46 8 0,92 -88 +732 0,75 3 1,50 -97 +3062
0,47 8 0,94 -89 +771 0,76 3 1,52 -97 +3211
0,48 8 0,96 -89 +812 0,77 3 1,44 -97 +3367
0,49 7 0,98 -90 +855 0,78 3 1,56 -97 +3531
0,50 7 1,00 -90 +900 0,79 3 1,58 -97 +3702
0,51 7 1,02 -90 +947 0,80 3 1,60 -97 +3881
0,52 6 1,04 -91 +996 0,81 3 1,62 -98 +4069
0,53 6 1,06 -91 +1048 0,82 3 1,64 -98 +4265
0,54 6 1,08 -92 +1102 0,83 3 1,66 -98 +4471
0,55 6 1,10 -92 +1159 0,84 2 1,68 -98 +4686
0,56 6 1,12 -92 +1218 0,85 2 1,70 -98 +4912
0,57 5 1,14 -93 +1280 0,86 2 1,72 -98 +5148
0,58 5 1,16 -93 +1345 0,87 2 1,74 -98 +5395
0,59 5 1,18 -93 +1414 0,88 2 1,76 -98 +5654
0,60 5 1,20 -94 +1485 0,89 2 1,78 -98 +5926
0,61 5 1,22 -94 +1560 0,90 2 1,80 -98 +6210
0,62 5 1,24 -94 +1638 0,91 2 1,82 -98 +6507
0,63 4 1,26 -95 +1720 0,92 2 1,84 -98,6 +6818
0,64 4 1,28 -95 +1805 0,93 2 1,86 -98,6 +7144
0,65 4 1,30 -95 +1895 0,94 2 1,88 -98,7 +7486
0,66 4 1,32 -95 +1989 0,95 2 1,90 -98,7 +7843
0,67 4 1,34 -95 +2088 0,96 2 1,92 -98,8 +8218
0,68 4 1,36 -96 +2191 0,97 2 1,94 -98,9 +8610
0,69 4 1,38 -96 +2299 0,98 2 1,96 -98,9 +9020
0,70 4 1,40 -96 +2412 0,99 2 1,98 -99,0 +9450
0,71 3 1,42 -96 +2530 1,00 2 2,00 -99,0 +9900
<a> С_lim - это предельное значение величины С, выше которого возможно применение упрощенного расчетного уравнения U = 2 x s_R
<b> Нижний и верхний пределы интервала неопределенности измерений, выраженные в относительных единицах - как процент от результата, выраженного в единицах КОЕ/г или КОЕ/см3, для заданного значения неопределенности U.

БИБЛИОГРАФИЯ

[1] ISO 31-11, Quantities and units - Part 11: Mathematical signs and symbols for use in the physical sciences and technology
[2] ISO 3534-1:- <1>, Statistics - Vocabulary and symbols - Part 1: Probability and general statistical terms
[3] ISO 5725-2, Accuracy (trueness and precision) of measurement methods and results - Part 2: Basic method for the determination of repeatability and reproducibility of a standard measurement method
[4] ISO 5725-3, Accuracy (trueness and precision) of measurement methods and results - Part 3: Intermediate mea­sures of the precision of a standard measurement method
[5] ISO 6887-1, Microbiology of food and animal feeding stuffs - Preparation of test samples, initial suspension and decimal dilutions for microbiological examination - Part 1: General rules for the preparation of the initial suspen­sion and decimal dilutions
[6] ISO 6888-1, Microbiology of food and animal feeding stuffs - Horizontal method for the enumeration of coagulase-positive staphylococci (Staphylococcus aureus and other species) - Part 1: Technique using Baird-Parker agar medium
[7] ISO 6888-2, Microbiology of food and animal feeding stuffs - Horizontal method for the enumeration of coagulase-positive staphylococci (Staphylococcus aureus and other species) - Part 2: Technique using rabbit plasma fi brinogen agar medium
[8] ISO 7218, Microbiology of food and animal feeding stuffs - General rules for microbiological examinations
[9] ISO 7932, Microbiology of food and animal feeding stuffs - Horizontal method for the enumeration of presumptive Bacillus cereus - Colony-count technique at 30 °C
[10] ISO 7937, Microbiology of food and animal feeding stuffs - Horizontal method for the enumeration of Clostridium perfringens - Colony-count technique
[11] ISO 11290-2, Microbiology of food and animal feeding stuffs - Horizontal method for the detection and enumeration of Listeria monocytogenes - Part 2: Enumeration method
[12] ISO 16140:2003, Microbiology of food and animal feeding stuffs - Protocol for the validation of alternative methods
[13] ISO/TS 21748, Guidance for the use of repeatability, reproducibility and trueness estimates in measurement uncer­tainty estimation
[14] ISO/IEC 17025, General requirements for the competence of testing and calibration laboratories
[15] GUM:1993, Guide to the expression of uncertainty in measurement, BIPM/IEC/IFCC/ISO/IUPAC/IUPAP/OIML
[16] EURACHEM/CITAC Guide. Quantifying Uncertainty in Analytical Measurement, 2nd edition, QUAM: 2000, avail­able at:
http://www.eurachem.ul.pt/guides/quam.htm или http://www.measurementuncertainty.org/
[17] NIEMELA, S.I. Uncertainty of quantitative determinations derived by cultivation of microorganisms. MIKES J4, 2003; http://www.mikes.fi
[18] АН SOON, C. and CORNU, M. Report of 2003/2004 ISO Trials about uncertainty measurement, June 2004, AFSSA, Maisons-Alfort, France

<1> - Стандарт опубликован: ISO 3534-1:2006.