Приказ ФМС РФ от 15.10.2012 N 320

"Об утверждении Административного регламента предоставления Федеральной миграционной службой государственной услуги по оформлению и выдаче паспортов гражданина Российской Федерации, удостоверяющих личность гражданина Российской Федерации за пределами территории Российской Федерации"
Редакция от 15.10.2012 — Документ утратил силу, см. «Приказ МВД РФ от 16.11.2017 N 864»
Показать изменения

Зарегистрировано в Минюсте России 19 марта 2013 г. N 27764


ФЕДЕРАЛЬНАЯ МИГРАЦИОННАЯ СЛУЖБА

ПРИКАЗ
от 15 октября 2012 г. N 320

ОБ УТВЕРЖДЕНИИ АДМИНИСТРАТИВНОГО РЕГЛАМЕНТА ПРЕДОСТАВЛЕНИЯ ФЕДЕРАЛЬНОЙ МИГРАЦИОННОЙ СЛУЖБОЙ ГОСУДАРСТВЕННОЙ УСЛУГИ ПО ОФОРМЛЕНИЮ И ВЫДАЧЕ ПАСПОРТОВ ГРАЖДАНИНА РОССИЙСКОЙ ФЕДЕРАЦИИ, УДОСТОВЕРЯЮЩИХ ЛИЧНОСТЬ ГРАЖДАНИНА РОССИЙСКОЙ ФЕДЕРАЦИИ ЗА ПРЕДЕЛАМИ ТЕРРИТОРИИ РОССИЙСКОЙ ФЕДЕРАЦИИ

В соответствии с Федеральным законом от 15 августа 1996 г. N 114-ФЗ "О порядке выезда из Российской Федерации и въезда в Российскую Федерацию" <1> и постановлением Правительства Российской Федерации от 16 мая 2011 г. N 373 "О разработке и утверждении административных регламентов исполнения государственных функций и административных регламентов предоставления государственных услуг" <2> приказываю:

<1> Собрание законодательства Российской Федерации, 1996, N 34, ст. 4029; 1998, N 30, ст. 3606; 1999, N 26, ст. 3175; 2003, N 2, ст. 159; N 27, ст. 2700; 2004, N 27, ст. 2711; 2006, N 27, ст. 2877; N 31, ст. 3420; 2007, N 1, ст. 29; N 3, ст. 410; N 49, ст. 6071; N 50, ст. 6240; 2008, N 19, ст. 2094; N 20, ст. 2250; N 30, ст. 3583, ст. 3616; N 49, ст. 5735, ст. 5748; 2009, N 7, ст. 772; N 26, ст. 3123; N 52, ст. 6407, ст. 6413, ст. 6450; 2010, N 11, ст. 1173; N 15, ст. 1740, ст. 1756; N 21, ст. 2524; N 30, ст. 4011; N 31, ст. 4196; N 52, ст. 7000; 2011, N 1, ст. 16, ст. 28, ст. 29; N 13, ст. 1689; N 15, ст. 2021; N 17, ст. 2321; N 50, ст. 7339, ст. 7340, ст. 7342; 2012, N 31, ст. 4322. Далее - "Федеральный закон".

<2> Собрание законодательства Российской Федерации, 2011, N 22, ст. 3169; N 35, ст. 5092; 2012, N 28, ст. 3908; N 36, ст. 3903.

1. Утвердить прилагаемый Административный регламент предоставления Федеральной миграционной службой государственной услуги по оформлению и выдаче паспортов гражданина Российской Федерации, удостоверяющих личность гражданина Российской Федерации за пределами территории Российской Федерации.

2. Признать утратившими силу:

2.1. Приказ ФМС России от 3 февраля 2010 г. N 26 "Об утверждении Административного регламента Федеральной миграционной службы по предоставлению государственной услуги по оформлению и выдаче паспортов гражданина Российской Федерации, удостоверяющих личность гражданина Российской Федерации за пределами территории Российской Федерации, и по исполнению государственной функции по их учету" <1>;

<1> Зарегистрирован в Министерстве юстиции Российской Федерации 15 февраля 2010 г., регистрационный N 16418.

2.2. Приказ ФМС России от 1 декабря 2011 г. N 498 "О внесении изменений в Административный регламент Федеральной миграционной службы по предоставлению государственной услуги по оформлению и выдаче паспортов гражданина Российской Федерации, удостоверяющих личность гражданина Российской Федерации за пределами территории Российской Федерации, и по исполнению государственной функции по их учету, утвержденный приказом ФМС России от 3 февраля 2010 г. N 26" <1>.

<1> Зарегистрирован в Министерстве юстиции Российской Федерации 29 декабря 2011 г., регистрационный N 22807.

Директор
К.О.РОМОДАНОВСКИЙ

Приложение
к приказу ФМС России
от 15.10.2012 N 320

АДМИНИСТРАТИВНЫЙ РЕГЛАМЕНТ
ПРЕДОСТАВЛЕНИЯ ФЕДЕРАЛЬНОЙ МИГРАЦИОННОЙ СЛУЖБОЙ ГОСУДАРСТВЕННОЙ УСЛУГИ ПО ОФОРМЛЕНИЮ И ВЫДАЧЕ ПАСПОРТОВ ГРАЖДАНИНА РОССИЙСКОЙ ФЕДЕРАЦИИ, УДОСТОВЕРЯЮЩИХ ЛИЧНОСТЬ ГРАЖДАНИНА РОССИЙСКОЙ ФЕДЕРАЦИИ ЗА ПРЕДЕЛАМИ ТЕРРИТОРИИ РОССИЙСКОЙ ФЕДЕРАЦИИ

I. Общие положения

Предмет регулирования регламента

1. Административный регламент предоставления Федеральной миграционной службой государственной услуги по оформлению и выдаче паспортов гражданина Российской Федерации, удостоверяющих личность гражданина Российской Федерации за пределами территории Российской Федерации <1>, устанавливает состав, последовательность и сроки выполнения административных процедур (действий), требования к порядку их выполнения, в том числе особенности выполнения административных процедур (действий) в электронной форме, осуществляемых ФМС России при предоставлении государственной услуги по оформлению и выдаче паспортов гражданина Российской Федерации, удостоверяющих личность гражданина Российской Федерации за пределами территории Российской Федерации <2>.

<1> Далее - "Административный регламент".

<2> Далее - "паспорт".

Круг заявителей

2. Заявителями являются:

2.1. Гражданин Российской Федерации, проживающий на территории Российской Федерации либо за ее пределами, обратившийся с заявлением о выдаче паспорта <1>:

<1> Далее - "заявитель".

в ФМС России (в пределах ее компетенции), в территориальный орган ФМС России <1> либо структурное подразделение территориального органа <2>, лично или в форме электронного документа с использованием федеральной государственной информационной системы "Единый портал государственных и муниципальных услуг (функций)" <3> (www.gosuslugi.ru);

<1> Далее - "территориальные органы".

<2> Далее - "подразделения".

<3> Далее - "Единый портал".

в многофункциональный центр предоставления государственных и муниципальных услуг <1>.

<1> Вступает в силу с 1 января 2013 г. в соответствии с Федеральным законом от 28 июля 2012 г. N 133-ФЗ "О внесении изменений в отдельные законодательные акты Российской Федерации в целях устранения ограничений для предоставления государственных и муниципальных услуг по принципу "одного окна".

2.2. Один из родителей (усыновителей, опекунов или попечителей) <1> гражданина Российской Федерации - в отношении несовершеннолетних граждан со дня рождения и до достижения ими 18-летнего возраста (если иное не предусмотрено законом) или граждан, признанных судом недееспособными (ограниченно дееспособными), обратившийся с заявлением о выдаче паспорта (заявлением о выдаче паспорта на несовершеннолетнего гражданина) <2>:

<1> Далее - "законные представители".

<2> Далее - "заявление".

в ФМС России (в пределах ее компетенции), в территориальный орган либо подразделение, лично или в форме электронного документа с использованием Единого портала;

в многофункциональный центр предоставления государственных и муниципальных услуг <1>.

<1> Вступает в силу с 1 января 2013 г. в соответствии с Федеральным законом от 28 июля 2012 г. N 133-ФЗ "О внесении изменений в отдельные законодательные акты Российской Федерации в целях устранения ограничений для предоставления государственных и муниципальных услуг по принципу "одного окна".

Требования к порядку информирования о предоставлении государственной услуги

3. Информация о порядке предоставления государственной услуги размещается:

на официальном сайте ФМС России и ее территориальных органов в информационно-телекоммуникационной сети Интернет <1>;

<1> Далее - "официальный интернет-сайт ФМС России и ее территориальных органов".

в федеральной государственной информационной системе "Федеральный реестр государственных и муниципальных услуг (функций)";

посредством публикации в средствах массовой информации, издания информационных материалов;

непосредственно в помещениях территориальных органов и их подразделений, осуществляющих предоставление государственной услуги;

в многофункциональных центрах предоставления государственных и муниципальных услуг;

на информационных стендах территориальных органов и подразделений, осуществляющих предоставление государственной услуги.

4. Основными требованиями к информации, предоставляемой заявителям, являются:

достоверность;

четкость в изложении;

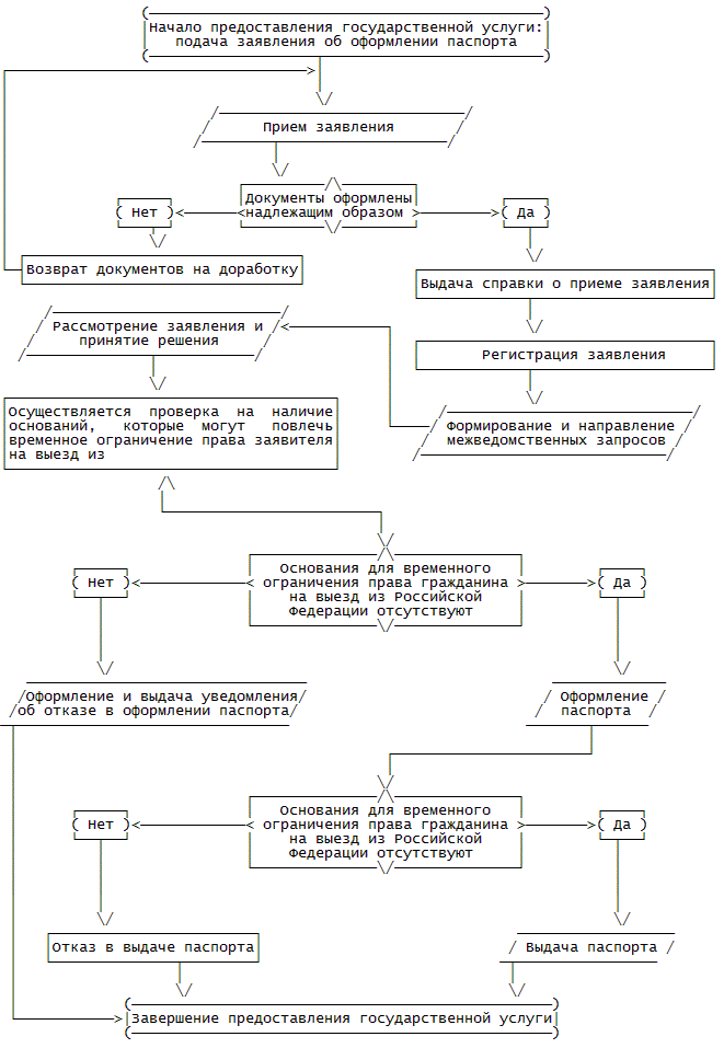
полнота;

наглядность форм;

удобство и доступность;

оперативность.

5. Информирование граждан проводится также в устной или письменной форме.

Информирование в устной форме осуществляется:

при личном обращении заявителя;

при обращении посредством телефонной связи.

Информирование заявителей в устной форме осуществляется в часы, отведенные для приема граждан.

Сотрудник, осуществляющий устное информирование, должен принять все необходимые меры для дачи полного ответа на поставленные вопросы, в том числе с привлечением других сотрудников.

В случае если для подготовки ответа требуется продолжительное время, сотрудник, осуществляющий устное информирование, может предложить заявителю обратиться за необходимой информацией письменно либо назначить другое удобное для заинтересованного лица время.

6. При обращении заявителя по телефону либо при личном обращении сотрудники подробно и в вежливой (корректной) форме информируют обратившихся граждан по интересующим их вопросам.

Ответ на телефонный звонок должен начинаться с представления и содержать информацию о наименовании территориального органа или подразделения, фамилии, имени, отчестве и должности сотрудника, принявшего телефонный звонок.

Время разговора не должно превышать 10 минут.

При невозможности сотрудника, принявшего звонок, самостоятельно ответить на поставленные вопросы телефонный звонок должен быть переадресован (переведен) на другого сотрудника либо обратившемуся гражданину должен быть сообщен номер телефона, по которому можно получить всю необходимую информацию.

7. Рассмотрение письменных обращений осуществляется в соответствии с Федеральным законом от 2 мая 2006 г. N 59-ФЗ "О порядке рассмотрения обращений граждан Российской Федерации" <1> в течение 30 дней с момента регистрации такого обращения путем направления ответов почтовым отправлением или в форме электронного сообщения, с использованием электронной почты либо через официальный интернет-сайт ФМС России и ее территориальных органов, включая Единый портал, в зависимости от способа обращения заявителя.

<1> Собрание законодательства Российской Федерации, 2006, N 19, ст. 2060; 2010, N 27, ст. 3410; N 31, ст. 4196.

8. На информационных стендах территориальных органов и их подразделений, осуществляющих предоставление государственной услуги, а также на официальном интернет-сайте ФМС России и ее территориальных органов размещается следующая информация:

о порядке предоставления государственной услуги;

извлечения из текста Административного регламента, законодательных и иных нормативных правовых актов Российской Федерации, содержащих нормы, регулирующие деятельность ФМС России, территориальных органов и подразделений по предоставлению государственной услуги;

образцы заполнения бланков заявлений (приложения N 1, N 3 к Административному регламенту) и приложений к заявлениям (приложения N 2, N 2а, N 2б к Административному регламенту);

перечень документов, необходимых для оформления паспорта, в том числе перечень документов, которые гражданин вправе не представлять;

исчерпывающий перечень оснований для отказа в оформлении и (или) выдаче паспорта;

режим работы соответствующего подразделения;

банковские реквизиты для оплаты государственной пошлины;

размеры государственной пошлины за предоставление государственной услуги;

сведения о местонахождении, контактных телефонах, адресах электронной почты и официального интернет-сайта ФМС России и ее территориальных органов, оказывающих государственную услугу (приложение N 4 к Административному регламенту);

номера телефонов для предварительной записи;

блок-схема предоставления государственной услуги (приложение N 5 к Административному регламенту).

9. Заявители, представившие в территориальные органы, подразделения либо ФМС России (в пределах компетенции) документы для оформления паспорта, в обязательном порядке информируются сотрудниками:

о сроках оформления паспорта;

об основаниях, по которым в оформлении паспорта может быть отказано.

10. Консультации общего характера (о месте нахождения, графике работы) могут предоставляться с использованием средств автоинформирования (при наличии). Автоинформирование осуществляется в круглосуточном режиме.

Консультирование по вопросам предоставления государственной услуги может осуществляться в многофункциональных центрах предоставления государственных и муниципальных услуг.

11. Консультирование проводится по следующим вопросам:

о подразделениях, осуществляющих оформление и выдачу паспорта, включая информацию о месте их нахождения (адрес);

по заполнению заявления;

о перечне документов, необходимых для оформления паспорта, и предъявляемым к ним требованиям;

о размере государственной пошлины и банковских реквизитах;

о времени приема документов и выдачи паспорта;

о сроках предоставления государственной услуги;

о порядке обжалования действий (бездействия) должностных лиц ФМС России и решений, осуществляемых и принимаемых в ходе предоставления государственной услуги.

Сведения о местонахождении, контактных телефонах, адресах электронной почты и официального интернет-сайта ФМС России и ее территориальных органов, оказывающих государственную услугу, приведены в приложении N 4 к Административному регламенту.

12. Время ожидания в очереди за консультацией не должно превышать 30 минут.

13. С момента приема заявления заявитель имеет право на получение сведений о ходе предоставления государственной услуги по телефону, с использованием Единого портала или на личном приеме.

14. Часы приема граждан уполномоченными сотрудниками <1> территориальных органов и подразделений, участвующими в предоставлении государственной услуги по оформлению и выдаче паспортов:

<1> Далее - "сотрудники".

Дни недели часы приема
Понедельник 09.00 - 18.00
Вторник 11.00 - 20.00
Среда 09.00 - 13.00
Четверг 11.00 - 20.00
Пятница 09.00 - 16.45
Суббота 09.00 - 16.00
Воскресенье Выходной день

С учетом интересов граждан, временных и климатических условий, а также особенностей административно-территориального деления субъекта Российской Федерации, допускается изменение часов приема граждан руководителем территориального органа либо подразделения, но при этом прием должен быть организован таким образом, чтобы исключить образование очередей.

При резком увеличении количества обращений граждан по вопросу оформления паспорта по решению руководителя территориального органа либо подразделения продолжительность времени приема может быть увеличена, но не должна превышать пределы рабочего дня.

15. Часы работы сотрудников устанавливаются согласно внутреннему и служебному распорядку соответствующего подразделения. Руководитель территориального органа, подразделения в зависимости от ситуации может перераспределять в течение дня обязанности между сотрудниками.

II. Стандарт предоставления государственной услуги по оформлению и выдаче паспортов

Наименование государственной услуги

16. Оформление и выдача паспортов гражданина Российской Федерации, удостоверяющих личность гражданина Российской Федерации за пределами территории Российской Федерации.

Наименование федерального органа исполнительной власти, предоставляющего государственную услугу

17. Предоставление государственной услуги осуществляется ФМС России (в пределах компетенции), ее территориальными органами и подразделениями.

18. При предоставлении государственной услуги осуществляется взаимодействие с:

органами внутренних дел Российской Федерации;

Консульским департаментом Министерства иностранных дел Российской Федерации, дипломатическими представительствами и консульскими учреждениями Российской Федерации;

органами федеральной службы безопасности;

военными комиссариатами;

судебными органами;

налоговыми органами Российской Федерации;

Федеральной службой судебных приставов <1>.

<1> Далее - "ФССП России".

Порядок взаимодействия ФМС России с указанными органами определяется Административным регламентом, нормативными правовыми актами Российской Федерации и межведомственными нормативными правовыми актами.

19. При предоставлении государственной услуги ФМС России (в пределах компетенции) территориальные органы и подразделения не вправе требовать от заявителя осуществления действий, в том числе согласований, необходимых для получения государственной услуги и связанных с обращением в иные государственные органы, органы местного самоуправления и организации.

Результат предоставления государственной услуги

20. Результатом предоставления государственной услуги является оформление (выдача) паспорта гражданина Российской Федерации, удостоверяющего личность гражданина Российской Федерации за пределами территории Российской Федерации, или принятие решения об отказе в оформлении и (или) выдаче паспорта.

Паспорт оформляется в виде документа на бумажном носителе.

Срок предоставления государственной услуги

21. Предоставление государственной услуги осуществляется в сроки, установленные статьей 10 Федерального закона.

Срок предоставления государственной услуги исчисляется со дня подачи заявления, в том числе в форме электронного документа с использованием Единого портала, и не должен превышать:

при подаче документов по месту жительства заявителя - один месяц;

при наличии документально подтвержденных обстоятельств, связанных с необходимостью экстренного лечения, тяжелой болезнью или смертью близкого родственника и требующих выезда из Российской Федерации, - трех рабочих дней;

при оформлении паспорта заявителю, имеющему (имевшему) допуск к сведениям особой важности или совершенно секретным сведениям, отнесенным к государственной тайне в соответствии с Законом Российской Федерации от 21 июля 1993 г. N 5485-1 "О государственной тайне" <1>, - три месяца;

<1> Собрание законодательства Российской Федерации, 1997, N 41, ст. 8220 - 8235; N 41, ст. 4673; 2003, N 27, ст. 2700; N 46, ст. 4449; 2004, N 27, ст. 2711; N 35, ст. 3607; 2007, N 49, ст. 6055, ст. 6079; 2009, N 29, ст. 3617; 2010, N 47, ст. 6033; 2011, N 30, ст. 4590, ст. 4596; N 46, ст. 6407.

при подаче документов не по месту жительства заявителя - четыре месяца.

21.1. Датой подачи заявления при личном обращении в ФМС России (в пределах ее компетенции), в территориальный орган, подразделение либо в многофункциональный центр предоставления государственных и муниципальных услуг считается день подачи заявления с приложением предусмотренных пунктами 28.1.1 - 28.3.9 Административного регламента надлежащим образом оформленных документов в ФМС России (в пределах ее компетенции), в территориальный орган, подразделение либо в многофункциональный центр предоставления государственных и муниципальных услуг.

21.2. Датой подачи заявления в форме электронного документа с использованием Единого портала считается день направления заявителю предусмотренного пунктом 69.2 Административного регламента электронного сообщения о приеме заявления.

21.3. Решение об оформлении и выдаче либо об отказе в оформлении и выдаче паспорта принимается в срок, как правило, не превышающий:

- трех рабочих дней с даты подачи заявления, при наличии документально подтвержденных обстоятельств, связанных с необходимостью экстренного лечения, тяжелой болезнью или смертью близкого родственника и требующих выезда из Российской Федерации, и при отсутствии оснований для временного ограничения права на выезд из Российской Федерации;

- 20 календарных дней с даты подачи заявления (в том числе в форме электронного документа с использованием Единого портала) по месту жительства заявителя;

- 70 календарных дней с даты подачи заявления (в том числе в форме электронного документа с использованием Единого портала) заявителем, имеющим (имевшим) допуск к сведениям особой важности или совершенно секретным сведениям, отнесенным к государственной тайне;

- 100 календарных дней с даты подачи заявления (в том числе в форме электронного документа с использованием Единого портала) не по месту жительства заявителя.

21.4. При личном обращении заявителя паспорт оформляется не позднее рабочего дня, следующего за днем принятия решения об оформлении паспорта.

21.5. В случае подачи заявления в форме электронного документа с использованием Единого портала решение об оформлении и выдаче либо об отказе в оформлении и выдаче паспорта принимается в сроки, установленные Административным регламентом.

Паспорт оформляется после предоставления заявителем в ФМС России (в пределах ее компетенции), в территориальный орган либо подразделение надлежащим образом оформленных документов, предусмотренных пунктами 28.1.1 - 28.3.9 Административного регламента, и выдается в день обращения заявителя или по согласованию с заявителем определяется день выдачи паспорта.

21.6. Уведомление об отказе в оформлении и (или) выдаче паспорта направляется заявителю не позднее рабочего дня, следующего за днем принятия решения об отказе в оформлении и (или) выдаче паспорта.

22. При подаче заявления в форме электронного документа с использованием Единого портала оформление паспорта приостанавливается в случае, предусмотренном пунктом 37 Административного регламента, на срок не более шести месяцев со дня подачи заявления.

Нормативные правовые акты, регулирующие предоставление государственной услуги

23. Предоставление государственной услуги осуществляется в соответствии с:

Законом Российской Федерации от 21 июля 1993 г. N 5485-1 "О государственной тайне";

Федеральным законом от 15 августа 1996 г. N 114-ФЗ "О порядке выезда из Российской Федерации и въезда в Российскую Федерацию";

Федеральным законом от 28 марта 1998 г. N 53-ФЗ "О воинской обязанности и военной службе" <1>;

<1> Собрание законодательства Российской Федерации, 1998, N 13, ст. 1475; N 30, ст. 3613; 2000, N 33, ст. 3348; N 46, ст. 4537; 2001, N 7, ст. 620, ст. 621; N 30, ст. 3061; 2002, N 7, ст. 631; N 21, ст. 1919; N 26, ст. 2521; N 30, ст. 3029, ст. 3030, ст. 3033; 2003, N 1, ст. 1; N 8, ст. 709; N 27, ст. 2700; N 46, ст. 4437; 2004, N 8, ст. 600; N 17, ст. 1587; N 18, ст. 1687; N 25, ст. 2484; N 27, ст. 2711; N 35, ст. 3607; N 49, ст. 4848; 2005, N 10, ст. 763; N 14, ст. 1212; N 27, ст. 2716; N 29, ст. 2907; N 30, ст. 3110, ст. 3111; N 40, ст. 3987; N 43, ст. 4349; N 49, ст. 5127; 2006, N 1, ст. 10, ст. 22; N 11, ст. 1148; N 19, ст. 2062; N 28, ст. 2974; N 29, ст. 3121, ст. 3122, ст. 3123; N 41, ст. 4206; N 44, ст. 4534; N 50, ст. 5281; 2007, N 2, ст. 362; N 16, ст. 1830; N 31, ст. 4011; N 45, ст. 5418; N 49, ст. 6070, ст. 6074; N 50, ст. 6241; 2008, N 30, ст. 3616; N 49, ст. 5746; N 52, ст. 6235; 2009, N 7, ст. 769; N 18, ст. 2149; N 23, ст. 2765; N 26, ст. 3124; N 48, ст. 5735, ст. 5736; N 51, ст. 6149; N 52, ст. 6404; 2010, N 11, ст. 1167, ст. 1176, ст. 1177; N 31, ст. 4192; N 49, ст. 6415; 2011, N 1, ст. 16; N 27, ст. 3878; N 30, ст. 4589; N 48, ст. 6730; N 49, ст. 7021, ст. 7053; N 50, ст. 7366.

Федеральным законом от 2 мая 2006 г. N 59-ФЗ "О порядке рассмотрения обращений граждан Российской Федерации";

Федеральным законом от 27 июля 2006 г. N 152-ФЗ "О персональных данных" <1>;

<1> Собрание законодательства Российской Федерации, 2006, N 31, ст. 3451; 2009, N 48, ст. 5716; N 52, ст. 6439; 2010, N 27, ст. 3407; N 31, ст. 4173, ст. 4196; N 49, ст. 6409; N 52, ст. 6974; 2011, N 23, ст. 3263; N 31, ст. 4701.

Федеральным законом от 27 июля 2010 г. N 210-ФЗ "Об организации предоставления государственных и муниципальных услуг" <1>;

<1> Собрание законодательства Российской Федерации, 2010, N 31, ст. 4179; 2011, N 15, ст. 2038; N 27, ст. 3880; N 29, ст. 4291; N 30, ст. 4587; N 49, ст. 7061.

Федеральным законом от 6 апреля 2011 г. N 63-ФЗ "Об электронной подписи" <1>;

<1> Собрание законодательства Российской Федерации, 2011, N 15, ст. 2036; N 27, ст. 3880.

Указом Президента Российской Федерации от 21 декабря 1996 г. N 1752 "Об основных документах, удостоверяющих личность гражданина Российской Федерации за пределами Российской Федерации" <1>;

<1> Собрание законодательства Российской Федерации, 1996, N 52, ст. 5914; 2009, N 43, ст. 5049.

Указом Президента Российской Федерации от 13 апреля 2011 г. N 444 "О дополнительных мерах по обеспечению прав и защиты интересов несовершеннолетних граждан Российской Федерации" <1>;

<1> Собрание законодательства Российской Федерации, 2011, N 16, ст. 2268.

Налоговый кодекс Российской Федерации (часть вторая) от 5 августа 2000 г. N 117-ФЗ <1>;

<1> Собрание законодательства Российской Федерации, 2000, N 32, ст. 3340, ст. 3341; 2001, N 1 (часть II), ст. 18; N 23, ст. 2289; N 33 (часть I), ст. 3413, ст. 3421, ст. 3429; N 49, ст. 4554, ст. 4564; N 53 (ч. I), ст. 5015, ст. 5023; 2002, N 1 (ч. I), ст. 4; N 22, ст. 2026; N 30, ст. 3021, ст. 3027, ст. 3033; N 52 (ч. I), ст. 5132, ст. 5138; 2003, N 1, ст. 2, ст. 5, ст. 6, ст. 8, ст. 11; N 19, ст. 1749; N 21, ст. 1958; N 22, ст. 2066; N 23, ст. 2174; N 26, ст. 2567; N 27 (ч. I), ст. 2700; N 28, ст. 2874, ст. 2879, ст. 2886; N 46 (ч. I), ст. 4435, ст. 4443, ст. 4444; N 50, ст. 4849; N 52 (часть I), ст. 5030, ст. 5038; 2004, N 15, ст. 1342; N 27, ст. 2711, ст. 2713, ст. 2715; N 30, ст. 3083, ст. 3084, ст. 3088; N 31, ст. 3219, ст. 3220, ст. 3222, ст. 3231; N 34, ст. 3517, ст. 3518, ст. 3520, ст. 3522 - 3525, ст. 3527; N 35, ст. 3607; N 41, ст. 3994; N 45, ст. 4377; N 49, ст. 4840; 2005, N 1 (часть I), ст. 9, ст. 29, ст. 30, ст. 31, ст. 34, ст. 38; N 21, ст. 1918; N 23, ст. 2201; N 24, ст. 2312; N 25, ст. 2427 - 2429; N 27, ст. 2707, ст. 2710, ст. 2713, ст. 2717; N 30 (ч. I), ст. 3101, ст. 3104, ст. 3112, ст. 3117, ст. 3118; N 30 (ч. II), ст. 3128 - 3130; N 43, ст. 4350; N 50, ст. 5246, ст. 5249; N 52 (ч. I), ст. 5581; 2006, N 1, ст. 12, ст. 16; N 3, ст. 280; N 10, ст. 1065; N 12, ст. 1233; N 23, ст. 2380, ст. 2382; N 27, ст. 2881; N 30, ст. 3295; N 31 (ч. I), ст. 3433, ст. 3436, ст. 3443, ст. 3450, ст. 3452; N 43, ст. 4412; N 45, ст. 4627 - 4630; N 47, ст. 4819; N 50, ст. 5279, ст. 5286; N 52 (ч. I), ст. 5498; 2007, N 1 (ч. I), ст. 7, ст. 20, ст. 31, ст. 39; N 13, ст. 1465; N 21, ст. 2461 - 2463; N 22, ст. 2563, ст. 2564; N 23, ст. 2691; N 31, ст. 3991, ст. 3995, ст. 4013; N 45, ст. 5416, ст. 5417, ст. 5432; N 46, ст. 5553, ст. 5554, ст. 5557; N 49, ст. 6045, ст. 6046, ст. 6071; N 50, ст. 6237, ст. 6245, ст. 6246; 2008, N 18, ст. 1942; N 26, ст. 3022; N 27, ст. 3126; N 30 (ч. I), ст. 3577, ст. 3591, ст. 3598, ст. 3611, ст. 3614; N 30 (ч. II), ст. 3616; N 42, ст. 4697; N 48, ст. 5500, ст. 5503, ст. 5504, ст. 5519; N 49, ст. 5723, ст. 5749; N 52 (ч. I), ст. 6218, ст. 6219, ст. 6227, ст. 6236, ст. 6237; 2009, N 1, ст. 13, ст. 19, ст. 21, ст. 22, ст. 31; N 11, ст. 1265; N 18 (ч. I), ст. 2147; N 23, ст. 2772, ст. 2775; N 26, ст. 3123; N 29, ст. 3582, ст. 3598, ст. 3602, ст. 3625, ст. 3638, ст. 3639, ст. 3641, ст. 3642; N 30, ст. 3735, ст. 3739; N 39, ст. 4534; N 44, ст. 5171; N 45, ст. 5271; N 48, ст. 5711, ст. 5725, ст. 5726, ст. 5731 - 5734, ст. 5737; N 51, ст. 6153, ст. 6155; 2010, N 15, ст. 1737, ст. 1746; N 18, ст. 2145; N 19, ст. 2291; N 21, ст. 2524; N 23, ст. 2797; N 25, ст. 3070; N 28, ст. 3553; N 31, ст. 4176, ст. 4186, ст. 41985; N 32, ст. 4298; N 40, ст. 4969; N 45, ст. 5750, ст. 5756; N 46, ст. 5918; N 47, ст. 6034; N 48, ст. 6247 - 6251; N 49, ст. 6409; 2011, N 1, ст. 7, ст. 9, ст. 21, ст. 37; N 11, ст. 1492, 1494; N 17, ст. 2311, 2318; N 23, ст. 3265; N 24, ст. 3357; N 26, ст. 3652; N 30 (ч. I), ст. 4583, 4587, 4593; N 30 (часть I), ст. 4596; N 30 (часть I), ст. 4597; N 30 (часть I), ст. 4606; N 45, ст. 6335; N 47, ст. 6608; N 47, ст. 6609; N 47, ст. 6610; N 47, ст. 6611; N 48, ст. 6729; N 48, ст. 6731; N 49 (часть I), ст. 7014; N 49 (часть I), ст. 7015; N 49 (часть I), ст. 7016; N 49 (часть I), ст. 7017; N 49 (часть I), ст. 7037; N 49 (часть I), ст. 7043; N 49 (часть V), ст. 7061; N 49 (часть V), ст. 7063; N 50, ст. 7347; 2012, N 14, ст. 1545; N 18, ст. 2128; N 19, ст. 2281; N 24, ст. 3066; N 26, ст. 3447; N 27, ст. 3587, ст. 3588; N 29, ст. 3980; N 31, ст. 4319.

постановлением Правительства Российской Федерации от 14 марта 1997 г. N 298 "Об утверждении образцов и описания бланков основных документов, удостоверяющих личность гражданина Российской Федерации за пределами Российской Федерации" <1>;

<1> Собрание законодательства Российской Федерации, 1997, N 12, ст. 1435; 2008, N 14, ст. 1412; 2009, N 23, ст. 2821; 2010, N 17, ст. 2101; N 42, ст. 5922.

постановлением Правительства Российской Федерации от 19 декабря 1997 г. N 1598 "О порядке оформления разрешений на выезд из Российской Федерации военнослужащих Вооруженных Сил Российской Федерации, а также федеральных органов исполнительной власти, в которых предусмотрена военная служба" <1>;

<1> Собрание законодательства Российской Федерации, 1997, N 52, ст. 5929; 2008, N 14, ст. 1412.

постановлением Правительства Российской Федерации от 27 ноября 2006 г. N 719 "Об утверждении Положения о воинском учете" <1>;

<1> Собрание законодательства Российской Федерации, 2006, N 49, ст. 5220; 2008, N 16, ст. 1702; 2009, N 8, ст. 989; 2011, N 42, ст. 5922; 2012, N 1, ст. 136; N 14, ст. 1632.

постановлением Правительства Российской Федерации от 8 сентября 2010 г. N 697 "О единой системе межведомственного электронного взаимодействия" <1>;

<1> Собрание законодательства Российской Федерации, 2010, N 38, ст. 4823; 2011, N 24, ст. 3503; N 49, ст. 7284.

постановлением Правительства Российской Федерации от 16 мая 2011 г. N 373 "О разработке и утверждении административных регламентов исполнения государственных функций и административных регламентов предоставления государственных услуг" <1>

<1> Собрание законодательства Российской Федерации, 2011, N 22, ст. 3169; N 35, ст. 5092; 2012, N 28, ст. 3908; N 36, ст. 3903.

постановлением Правительства Российской Федерации от 7 июля 2011 г. N 553 "О порядке оформления и представления заявлений и иных документов, необходимых для предоставления государственных и (или) муниципальных услуг, в форме электронных документов" <1>;

<1> Собрание законодательства, 2011, N 29, ст. 4479.

постановлением Правительства Российской Федерации от 27 сентября 2011 г. N 797 "О взаимодействии между многофункциональными центрами предоставления государственных (муниципальных) услуг и федеральными органами исполнительной власти, органами государственных внебюджетных фондов, органами государственной власти субъектов Российской Федерации, органами местного самоуправления" <1>;

<1> Собрание законодательства Российской Федерации, 2011, N 40, ст. 5559.

постановлением Правительства Российской Федерации от 24 октября 2011 г. N 861 "О федеральных государственных информационных системах, обеспечивающих предоставление в электронной форме государственных и муниципальных услуг (осуществление функций)" <1>;

<1> Собрание законодательства Российской Федерации, 2011, N 44, ст. 6274; N 49, ст. 7284.

постановлением Правительства Российской Федерации от 13 июля 2012 г. N 711 "О вопросах Федеральной миграционной службы" <1>;

<1> Собрание законодательства Российской Федерации, 2012, N 30, ст. 4276.

постановлением Правительства Российской Федерации от 16 августа 2012 г. N 840 "О порядке подачи и рассмотрения жалоб на решения и действия (бездействие) федеральных органов исполнительной власти и их должностных лиц, федеральных государственных служащих, должностных лиц государственных внебюджетных фондов Российской Федерации" <1>;

<1> Собрание законодательства Российской Федерации, 2012, N 35, ст. 4829.

приказом ФМС России и Министра обороны России от 15 апреля 2011 г. N 100/507 "Об утверждении Инструкции о порядке взаимодействия ФМС России, территориальных органов ФМС России и их структурных подразделений с Минобороны России, военными комиссариатами и отделами военных комиссариатов при оформлении гражданам Российской Федерации, подлежащим призыву на военную службу либо направлению на альтернативную гражданскую службу, паспорта гражданина Российской Федерации, удостоверяющего личность гражданина Российской Федерации за пределами территории Российской Федерации" <1>.

<1> Зарегистрирован в Министерстве юстиции Российской Федерации 27 июня 2011 г., регистрационный N 21186.

Исчерпывающий перечень документов, необходимых в соответствии с нормативными правовыми актами для предоставления государственной услуги

24. Для оформления паспорта заявителем подается заявление.

Заявление оформляется на бланке установленной формы:

- для совершеннолетних граждан заявление о выдаче паспорта (приложение N 1 к Административному регламенту) в двух экземплярах;

- для несовершеннолетних граждан (не достигших 18-летнего возраста), заявление о выдаче паспорта на несовершеннолетнего гражданина (приложение N 3 к Административному регламенту) в одном экземпляре.

25. Заявление (приложение N 1, N 3 к Административному регламенту) заполняется с помощью средств электронно-вычислительной техники или от руки разборчиво печатными буквами чернилами черного или синего цвета. Не допускается исправление ошибок путем зачеркивания, с помощью корректирующих средств.

В заявлении должны быть заполнены все пункты.

В случае смены фамилии, имени, отчества (при наличии) более одного раза в дополнение к заявлению заполняется приложение (приложение N 2 к Административному регламенту).

Пункт 13 "Имею паспорт (заграничный)" заявления (приложение N 1 к Административному регламенту) заполняется только при наличии у заявителя действующего паспорта (паспорта нового поколения).

Заявление на несовершеннолетнего гражданина (приложение N 3 к Административному регламенту) заполняет законный представитель, указывая в пунктах 1 - 9 сведения, касающиеся несовершеннолетнего гражданина, а на оборотной стороне заявления в пунктах 10 - 18 указываются данные законного представителя.

Пункт 9 "Имею паспорт (заграничный)" заявления (приложение N 3 к Административному регламенту) заполняется только при наличии у несовершеннолетнего гражданина действующего паспорта (паспорта нового поколения).

В графе 14 заявления (приложение N 1 к Административному регламенту) указываются сведения о трудовой деятельности (включая учебу в учебных заведениях и военную службу) за последние 10 лет.

В случае недостаточности строк в пункте 14 бланка заявления для внесения сведений о трудовой деятельности за последние 10 лет (приложение N 1 к Административному регламенту) заполняется приложение к заявлению (приложение N 2а к Административному регламенту).

В случае, если заявитель хочет внести в паспорт сведения о его несовершеннолетних детях в возрасте до 14 лет, заполняется приложение к заявлению (приложение N 2б к Административному регламенту).

За достоверность представленных документов и полноту сведений, указанных в заявлении, заявитель несет ответственность в порядке, предусмотренном Федеральным законом.

26. Официальные документы, выданные компетентными органами иностранного государства, для признания их действительными в Российской Федерации должны быть легализованы, если иное не предусмотрено международным договором Российской Федерации.

Документы, составленные на иностранном языке, подлежат переводу на русский язык. Верность перевода либо подлинность подписи переводчика должна быть нотариально удостоверена в порядке, предусмотренном законодательством Российской Федерации.

27. Заявителем, достигшим 18-летнего возраста, заявление подается лично при посещении ФМС России (в пределах компетенции), территориального органа, подразделения либо многофункционального центра предоставления государственных и муниципальных услуг, за исключением случая подачи заявления в форме электронного документа с использованием Единого портала.

В отношении несовершеннолетних граждан со дня рождения и до достижения ими 18-летнего возраста или граждан, признанных судом недееспособными (ограниченно дееспособными), заявление подается законным представителем лично при посещении ФМС России (в пределах компетенции), территориального органа, подразделения либо многофункционального центра предоставления государственных и муниципальных услуг, за исключением случая подачи заявления в форме электронного документа с использованием Единого портала.

28. Одновременно с заявлением заявитель представляет документы, указанные в пунктах 28.1.1 - 28.3.9 Административного регламента.

28.1. Перечень документов, необходимых для оформления паспорта совершеннолетним заявителям:

28.1.1. Основной документ, удостоверяющий личность заявителя <1>.

<1> Для граждан Российской Федерации, проживающих на территории Российской Федерации, - паспорт гражданина Российской Федерации, удостоверяющий личность гражданина Российской Федерации на территории Российской Федерации (далее - внутренний паспорт).

Для граждан Российской Федерации, проживающих за пределами территории Российской Федерации, - паспорт или паспорт нового поколения. В случае если срок действия паспорта (паспорта нового поколения) истек, в качестве документа, удостоверяющего личность, представляется внутренний паспорт.

28.1.2. Квитанция об оплате государственной пошлины за выдачу паспорта <1>.

<1> С 1 января 2013 г. - представляется заявителем по собственной инициативе, в соответствии с пунктом 7 статьи 74 Федерального закона от 1 июля 2011 г. N 169-ФЗ "О внесении изменений в отдельные законодательные акты Российской Федерации".

28.1.3. Ходатайство организации, направляющей гражданина за пределы территории Российской Федерации (в случае необходимости оформления второго паспорта) (пункт 30 Административного регламента).

28.1.4. Паспорт (паспорт гражданина Российской Федерации, удостоверяющий личность гражданина Российской Федерации за пределами территории Российской Федерации, содержащий электронный носитель информации <1>) с не менее чем одной отметкой о пересечении Государственной границы Российской Федерации с целью выезда из Российской Федерации в течение каждого из последних трех календарных месяцев, предшествующих дате подачи заявления (в случае оформления второго паспорта) (пункт 30 Административного регламента).

<1> Далее - "паспорт нового поколения".

28.1.5. Паспорт (паспорт нового поколения), если имеется и срок его действия не истек.

28.1.6. Разрешение командования, по форме, установленной Правительством Российской Федерации <1> (для военнослужащих Вооруженных Сил Российской Федерации, а также федеральных органов исполнительной власти, в которых предусмотрена военная служба, за исключением лиц, проходящих военную службу по призыву).

<1> Постановление Правительства Российской Федерации от 19 декабря 1997 г. N 1598.

28.1.7. Военный билет (для заявителей мужского пола в возрасте от 18 до 27 лет, проживающих на территории Российской Федерации):

- с отметкой об окончании прохождения военной службы по призыву (для прошедших военную службу по призыву либо альтернативную гражданскую службу);

- с отметкой "не годен к военной службе" или "ограниченно годен к военной службе" (для признанных не годными или ограниченно годными к военной службе по состоянию здоровья);

28.1.8. Три личные фотографии в черно-белом или цветном исполнении размером 35 x 45 мм с четким изображением лица строго в анфас без головного убора на матовой бумаге.

Допускается представление фотографий в головных уборах, не скрывающих овал лица, гражданами, религиозные убеждения которых не позволяют показываться перед посторонними лицами без головных уборов.

Фотографии в форменной одежде не принимаются.

В случаях, если заявитель просит внести в паспорт сведения о его несовершеннолетних детях в возрасте до 14 лет, предоставляются по две фотографии на каждого несовершеннолетнего гражданина.

28.1.9. Для срочного рассмотрения заявления (в течение трех рабочих дней) представляется один из следующих документов:

письмо органа здравоохранения, подтверждающее необходимость срочной поездки на лечение за пределы территории Российской Федерации;

письмо зарубежной медицинской организации о необходимости экстренного лечения (одновременно представляется медицинское заключение лечебного учреждения по месту жительства больного);

телеграфное сообщение, поступившее из-за пределов территории Российской Федерации и заверенное в соответствии с законодательством государства проживания (пребывания), подтверждающее факт тяжелого заболевания или смерти близкого родственника или супруга.

28.1.10. Заявление (произвольной формы) с приложением документов (паспорт, вид на жительство, виза, свидетельство о рождении, свидетельство о браке) (в случае необходимости внесения сведений о владельце паспорта буквами латинского алфавита в соответствии с представленными документами).

28.2. Перечень документов, необходимых для оформления паспорта заявителям в возрасте от 14 до 18 лет или гражданам, признанным судом недееспособными (ограниченно дееспособными):

28.2.1. Основной документ, удостоверяющий личность заявителя.

28.2.2. Документ, удостоверяющий личность законного представителя.

28.2.3. Документы, подтверждающие права законного представителя:

свидетельство о рождении несовершеннолетнего;

акт органа опеки и попечительства о назначении опекуна или попечителя.

28.2.4. Квитанция об оплате государственной пошлины за выдачу паспорта <1>.

<1> С 1 января 2013 г. - представляется заявителем по собственной инициативе, в соответствии с пунктом 7 статьи 74 Федерального закона от 1 июля 2011 г. N 169-ФЗ "О внесении изменений в отдельные законодательные акты Российской Федерации".

28.2.5. Паспорт (паспорт нового поколения), если имеется и срок его действия не истек.

28.2.6. Две личные фотографии в черно-белом или цветном исполнении размером 35 x 45 мм с четким изображением лица строго в анфас без головного убора на матовой бумаге.

Допускается представление фотографий в головных уборах, не скрывающих овал лица, гражданами, религиозные убеждения которых не позволяют показываться перед посторонними лицами без головных уборов.

Фотографии в форменной одежде не принимаются.

28.2.7. Для срочного рассмотрения заявления (в течение трех рабочих дней) представляется один из указанных ниже документов:

письмо органа здравоохранения, подтверждающее необходимость срочной поездки на лечение за пределы территории Российской Федерации;

письмо зарубежной медицинской организации о необходимости экстренного лечения (одновременно представляется медицинское заключение лечебного учреждения по месту жительства больного);

телеграфное сообщение, поступившее из-за пределов территории Российской Федерации и заверенное в соответствии с законодательством государства проживания (пребывания), подтверждающее факт тяжелого заболевания или смерти близкого родственника.

28.2.8. Заявление (произвольной формы) с приложением документов (паспорт, вид на жительство, виза, свидетельство о рождении) (в случае необходимости внесения сведений о владельце паспорта буквами латинского алфавита в соответствии с представленными документами).

28.3. Перечень документов, необходимых для оформления паспорта заявителям в возрасте до 14 лет:

28.3.1. Свидетельство о рождении.

28.3.2. Документ, удостоверяющий личность законного представителя.

28.3.3. Документ, удостоверяющий наличие гражданства Российской Федерации несовершеннолетнего гражданина, предусмотренный Указом Президента Российской Федерации от 13 апреля 2011 г. N 444 "О дополнительных мерах по обеспечению прав и защиты интересов несовершеннолетних граждан Российской Федерации" (в случае необходимости).

Наличие гражданства Российской Федерации по выбору законного представителя удостоверяется:

- паспортом (паспортом нового поколения) несовершеннолетнего гражданина;

- внутренним паспортом, паспортом (паспортом нового поколения) родителя, в который внесены сведения о несовершеннолетнем гражданине;

- свидетельством о рождении, в которое внесены сведения:

о гражданстве Российской Федерации обоих родителей или единственного родителя (независимо от места рождения ребенка);

о гражданстве Российской Федерации одного из родителей, если другой родитель является лицом без гражданства или признан безвестно отсутствующим либо если место его нахождения неизвестно (независимо от места рождения ребенка);

о гражданстве Российской Федерации одного из родителей и гражданстве иностранного государства другого родителя (если свидетельство о рождении выдано на территории Российской Федерации);

- отметкой на переводе на русский язык документа, выданного компетентным органом иностранного государства в удостоверение акта регистрации рождения ребенка, ФМС России (в пределах компетенции), территориальным органом или подразделением, консульским учреждением Российской Федерации или консульским отделом дипломатического представительства Российской Федерации;

- отметкой на свидетельстве о рождении, выданном уполномоченным органом Российской Федерации, проставленной ФМС России (в пределах компетенции), территориальным органом или подразделением, консульским учреждением Российской Федерации или консульским отделом дипломатического представительства Российской Федерации;

- вкладышем к документу, выданному компетентным органом иностранного государства в удостоверение акта регистрации рождения ребенка, либо к свидетельству о рождении, подтверждающим наличие гражданства Российской Федерации, выданным в установленном порядке до 6 февраля 2007 г.

28.3.4. Документы, подтверждающие права законного представителя:

акт органа опеки и попечительства о назначении опекуна или попечителя.

28.3.5. Квитанция об оплате государственной пошлины за выдачу паспорта <1>.

<1> С 1 января 2013 г. - представляется заявителем по собственной инициативе, в соответствии с пунктом 7 статьи 74 Федерального закона от 1 июля 2011 г. N 169-ФЗ "О внесении изменений в отдельные законодательные акты Российской Федерации".

28.3.6. Паспорт (паспорт нового поколения), если имеется и срок его действия не истек.

28.3.7. Две личные фотографии в черно-белом или цветном исполнении размером 35 x 45 мм с четким изображением лица строго в анфас без головного убора на матовой бумаге.

Допускается представление фотографий в головных уборах, не скрывающих овал лица, гражданами, религиозные убеждения которых не позволяют показываться перед посторонними лицами без головных уборов.

28.3.8. Для срочного рассмотрения заявления (в течение трех рабочих дней) представляется один из указанных ниже документов:

письмо органа здравоохранения, подтверждающее необходимость срочной поездки на лечение за пределы территории Российской Федерации;

письмо зарубежной медицинской организации о необходимости экстренного лечения (одновременно представляется медицинское заключение лечебного учреждения по месту жительства больного);

телеграфное сообщение, поступившее из-за пределов территории Российской Федерации и заверенное в соответствии с законодательством государства проживания (пребывания), подтверждающее факт тяжелого заболевания или смерти близкого родственника.

28.3.9. Заявление (произвольной формы) с приложением документов (паспорт, вид на жительство, виза, свидетельство о рождении) (в случае необходимости внесения сведений о владельце паспорта буквами латинского алфавита в соответствии с представленными документами).

29. В случае подачи заявления в форме электронного документа с использованием Единого портала личная фотография заявителя прикрепляется к нему в виде электронного файла с соблюдением требований:

формат кодирования/записи изображения в прикрепляемом файле - JPEG или JPEG 2000;

минимальное разрешение прикрепляемой фотографии не должно быть меньше 450 dpi;

фотография должна быть выполнена в 24-битном цветовом пространстве или 8-битном монохромном (черно-белом) пространстве;

максимальный размер прикрепляемого файла не должен превышать 300 Кб (килобайт).

Документы, перечисленные в пунктах 28.1.1 - 28.3.9, представляются заявителем при личном обращении в территориальный орган либо подразделение для оформления паспорта после получения электронного сообщения (пункт 89.1 Административного регламента).

30. В случае, если трудовая деятельность заявителя связана с регулярными (не реже одного раза в течение месяца) выездами за пределы территории Российской Федерации, а данный гражданин не имеет права на получение дипломатического или служебного паспорта (дипломатического или служебного паспорта нового поколения), ему по ходатайству организации, направляющей его за пределы территории Российской Федерации, оформляется и выдается второй паспорт. Днем окончания срока действия второго паспорта указывается день окончания срока действия ранее выданного паспорта или паспорта нового поколения, но не более чем на пять лет.

Исчерпывающий перечень документов, необходимых в соответствии с нормативными правовыми актами для предоставления государственной услуги, которые находятся в распоряжении иных государственных органов и организаций, и которые заявитель вправе представить для получения государственной услуги

31. Перечень документов, необходимых для предоставления государственной услуги, которые находятся в распоряжении государственных органов:

31.1. Справка военного комиссариата по форме, установленной приказом Министра обороны Российской Федерации от 2 октября 2007 г. N 400 "О мерах по реализации постановления Правительства Российской Федерации от 11 ноября 2006 г. N 663" <1> (с изменениями, внесенными приказом Министра обороны Российской Федерации от 19 января 2011 г. N 37 <2>).

<1> Зарегистрирован в Министерстве юстиции Российской Федерации 12 ноября 2007 г., регистрационный N 10454.

<2> Зарегистрирован в Министерстве юстиции Российской Федерации 9 февраля 2011 г., регистрационный N 19759.

В случае, если предусмотренный настоящим пунктом документ не представлен заявителем мужского пола в возрасте от 18 до 27 лет, проживающим на территории Российской Федерации и не прошедшим военную службу по призыву либо альтернативную гражданскую службу (за исключением случаев, указанных в абзаце третьем пункта 28.1.7 Административного регламента), указанный документ (содержащиеся в нем сведения) предоставляется военным комиссариатом на основании межведомственного запроса ФМС России (в пределах компетенции), территориального органа или подразделения.

31.2. Квитанция об оплате государственной пошлины.

В случае, если предусмотренный настоящим пунктом документ не представлен заявителем, указанный документ (содержащиеся в нем сведения) предоставляется Федеральным казначейством на основании межведомственного запроса ФМС России (в пределах компетенции), территориального органа или подразделения.

32. Документы, предусмотренные пунктами 31.1 и 31.2 <1> Административного регламента, заявитель вправе представить по собственной инициативе. Непредставление заявителем указанных документов не является основанием для отказа в предоставлении государственной услуги.

<1> С 1 января 2013 г. - в соответствии с пунктом 7 статьи 74 Федерального закона от 1 июля 2011 г. N 169-ФЗ "О внесении изменений в отдельные законодательные акты Российской Федерации".

Запрет требовать от заявителя представления документов и информации или осуществления действий, не предусмотренных Административным регламентом

33. ФМС России (в пределах компетенции), территориальный орган или подразделение не вправе требовать от заявителя:

1) представления документов и информации или осуществления действий, представление или осуществление которых не предусмотрено нормативными правовыми актами, регулирующими отношения, возникающие в связи с предоставлением государственной услуги;

2) представления документов и информации, которые в соответствии с нормативными правовыми актами Российской Федерации, нормативными правовыми актами субъектов Российской Федерации и муниципальными правовыми актами находятся в распоряжении государственных органов, предоставляющих государственную услугу, иных государственных органов, органов местного самоуправления и (или) подведомственных государственным органам и органам местного самоуправления организаций, участвующих в предоставлении государственных или муниципальных услуг, за исключением документов, указанных в части 6 статьи 7 Федерального закона от 27 июля 2010 г. N 210-ФЗ "Об организации предоставления государственных и муниципальных услуг".

Исчерпывающий перечень оснований для отказа в приеме документов, необходимых для предоставления государственной услуги

34. Основанием для отказа в приеме заявления и документов, необходимых для предоставления государственной услуги, к рассмотрению являются:

нарушение требований к форме и содержанию заявления либо текст заявления не поддается прочтению;

отсутствие одного или нескольких предусмотренных пунктами 28.1.1 - 28.3.9 Административного регламента документов либо представленные документы не соответствуют предъявляемым к ним требованиям;

несоблюдение требования пункта 27 Административного регламента о личном обращении заявителя или законного представителя, указанных в заявлении, при подаче заявления;

истечение срока действия основного документа, удостоверяющего личность заявителя (законного представителя).

35. Заявление, поданное в форме электронного документа с использованием Единого портала, к рассмотрению не принимается, если:

не заполнены все пункты заявления;

истек срок действия основного документа, удостоверяющего личность заявителя (законного представителя);

не соблюдены требования к цифровой фотографии.

Исчерпывающий перечень оснований для приостановления или отказа в предоставлении государственной услуги

36. Приостановление предоставления государственной услуги допускается только в случае подачи заявления в форме электронного документа с использованием Единого портала.

37. При подаче заявления в форме электронного документа с использованием Единого портала, после принятия решения об оформлении паспорта, если заявителем пропущен срок, установленный для представления документов, указанный в электронном сообщении (пункт 89.1 Административного регламента), оформление паспорта приостанавливается до личного обращения заявителя в территориальный орган либо его подразделение для представления документов, предусмотренных пунктами 28.1.1 - 28.3.9 Административного регламента.

37.1. В случае неявки заявителя в территориальный орган либо его подразделение для представления необходимых документов в течение шести месяцев со дня подачи заявления в форме электронного документа с использованием Единого портала оформление паспорта прекращается.

38. В оформлении и (или) выдаче паспорта отказывается:

в соответствии со статьей 15 Федерального закона - в случаях временного ограничения права гражданина Российской Федерации на выезд из Российской Федерации;

в соответствии с частью 11 статьи 10 Федерального закона - в случае несогласия законного представителя на выезд из Российской Федерации несовершеннолетнего гражданина Российской Федерации.

Перечень услуг, которые являются необходимыми и обязательными для предоставления государственной услуги

39. Услуг, являющихся необходимыми и обязательными для предоставления государственной услуги, не имеется.

Оплата государственной пошлины за предоставление государственной услуги

40. За предоставление государственной услуги взимается государственная пошлина в порядке и размерах, установленных статьей 333.28 Налогового кодекса Российской Федерации:

за выдачу паспорта - 1 000 рублей;

за выдачу паспорта гражданину Российской Федерации в возрасте до 14 лет - 300 рублей;

за внесение изменений в паспорт - 200 рублей.

За выдачу паспорта гражданину Российской Федерации, местом жительства которого является Калининградская область, государственная пошлина не взимается <1>.

<1> Ст. 333.29 Налогового кодекса Российской Федерации.

41. В случае отказа в выдаче паспорта при наличии обстоятельств, предусмотренных Федеральным законом, уплаченная государственная пошлина подлежит возврату частично или полностью в порядке, установленном главой 25.3 Налогового кодекса Российской Федерации.

Максимальный срок ожидания в очереди при подаче заявления и при получении результата предоставления государственной услуги

42. Время ожидания в очереди не должно превышать:

при подаче заявления и документов - 30 минут;

при получении паспорта - 20 минут.

Срок и порядок регистрации заявления, в том числе поступившего в форме электронного документа с использованием Единого портала

43. Все заявления, в том числе поступившие в форме электронного документа с использованием Единого портала либо поданные через многофункциональный центр предоставления государственных и муниципальных услуг, принятые к рассмотрению, регистрируются в журнале учета заявлений граждан (приложение N 6 к Административному регламенту) в течение рабочего дня.

При наличии автоматизированной системы учета принятых заявлений журнальный учет не ведется.

Автоматизированный учет заявлений осуществляется путем занесения сведений, указанных в заявлении, в том числе поступившем в форме электронного документа с использованием Единого портала, в базу данных автоматизированного рабочего места.

44. Время приема заявления и документов для оформления паспорта устанавливается до 5 минут.

Требования к местам предоставления государственной услуги

45. Предоставление государственной услуги осуществляется в специально выделенных для этой цели помещениях.

46. Помещения, в которых осуществляется предоставление государственной услуги, оборудуются:

информационными стендами, содержащими визуальную и текстовую информацию;

стульями и столами для возможности оформления документов.

47. Количество мест ожидания определяется исходя из фактической нагрузки и возможностей для их размещения в здании.

Места ожидания должны соответствовать комфортным условиям для заявителей и оптимальным условиям работы сотрудников.

Должны быть созданы условия для обслуживания лиц с ограниченными возможностями здоровья: помещения оборудованы пандусами, специальными ограждениями и перилами, обеспечивающими беспрепятственное передвижение и разворот инвалидных колясок, столы размещены в стороне от входа для беспрепятственного подъезда и разворота колясок.

48. Места ожидания в очереди на подачу или получение документов должны быть оборудованы стульями, кресельными секциями, скамьями (банкетками).

Места для заполнения документов оборудуются стульями, столами (стойками) и обеспечиваются бланками заявлений и образцами их заполнения.

49. Помещения для приема заявителей представляют помещения "зального" типа, при этом помещения разделяются на части с использованием перегородок в виде окон (киосков). При отсутствии такой возможности помещение для непосредственного взаимодействия должностных лиц с заявителями может быть организовано в виде отдельных рабочих мест для каждого ведущего прием должностного лица.

50. Окна (кабинеты) приема заявителей должны иметь информационные таблички (вывески) с указанием:

номера окна (кабинета);

фамилии, имени, отчества и должности сотрудника.

51. Сотрудники, осуществляющие прием заявителей, обеспечиваются личными информационными табличками (бейджами).

52. Каждое рабочее место должно быть оборудовано персональным компьютером с возможностью доступа к необходимым информационным ресурсам, а также печатающим, копирующим и сканирующим устройствами.

При организации рабочих мест следует предусмотреть возможность беспрепятственного входа (выхода) сотрудников из помещения.

Показатели доступности и качества государственной услуги

53. Заявитель имеет право:

получать государственную услугу своевременно и в соответствии со стандартом предоставления государственной услуги;

получать полную и достоверную информацию о порядке предоставления государственной услуги, в том числе в электронной форме;

получать государственную услугу в соответствии с законодательством Российской Федерации;

обращаться с жалобой на принятое по заявлению решение или на действия (бездействие) должностных лиц в связи с рассмотрением заявления в порядке, установленном разделом V Административного регламента.

54. Основными количественными показателями доступности государственной услуги являются количество зарегистрированных заявлений и количество оформленных паспортов.

55. Основными качественными показателями оказания государственной услуги являются количество оформленных паспортов и количество паспортов, оформленных в установленные сроки.

Требования к качеству предоставления государственной услуги предусмотрены нормативными правовыми актами, указанными в пункте 23 Административного регламента.

Иные требования, в том числе учитывающие особенности предоставления государственной услуги в многофункциональных центрах предоставления государственных и муниципальных услуг и особенности предоставления государственной услуги в электронной форме

56. Заявление может быть подано через многофункциональный центр предоставления государственных и муниципальных услуг <1>.

<1> Вступает в силу с 1 января 2013 г. в соответствии с Федеральным законом от 28 июля 2012 г. N 133-ФЗ "О внесении изменений в отдельные законодательные акты Российской Федерации в целях устранения ограничений для предоставления государственных и муниципальных услуг по принципу "одного окна".

В случае подачи заявления через многофункциональный центр предоставления государственных и муниципальных услуг паспорт оформляется и выдается территориальным органом, его подразделением либо ФМС России (в пределах компетенции) в соответствии с требованиями Административного регламента.

57. Обеспечение возможности подачи заявителем заявления и личной фотографии с использованием Единого портала.

В случае подачи заявления в форме электронного документа с использованием Единого портала используется простая электронная подпись.

Обеспечение информирования заявителя о ходе рассмотрения заявления, поданного в форме электронного документа с использованием Единого портала.

III. Состав, последовательность и сроки выполнения административных процедур по предоставлению государственной услуги, требования к порядку их выполнения, в том числе особенности выполнения административных процедур в электронной форме

58. Предоставление государственной услуги включает в себя следующие административные процедуры:

прием заявления;

формирование и направление межведомственных запросов;

рассмотрение заявления и принятие решение;

оформление паспорта;

выдача паспорта.

Прием заявления

59. Основанием для начала предоставления государственной услуги является подача заявителем заявления:

на бумажном носителе непосредственно в территориальный орган, его подразделение либо в ФМС России (в пределах компетенции) либо через многофункциональный центр предоставления государственных и муниципальных услуг с представлением предусмотренных пунктами 28.1.1 - 28.3.9 Административного регламента надлежащим образом оформленных документов;

в форме электронного документа с использованием Единого портала и личной фотографии в виде электронного файла.

60. Заявление подается в ФМС России (в пределах компетенции), территориальный орган или подразделение, уполномоченное на прием заявлений, либо через многофункциональный центр предоставления государственных и муниципальных услуг, по месту жительства (месту пребывания, месту фактического проживания).

На территории Российской Федерации гражданин Российской Федерации, не имеющий документов, подтверждающих регистрацию по месту жительства или по месту пребывания, либо имеющий место жительства за пределами территории Российской Федерации, подает заявление по месту его фактического проживания.

В отношении несовершеннолетних граждан со дня рождения и до достижения ими 18-летнего возраста или граждан, признанных судом недееспособными (ограниченно дееспособными), один из законных представителей вправе подать заявление в территориальный орган, его подразделение либо в ФМС России (в пределах компетенции) либо через многофункциональный центр предоставления государственных и муниципальных услуг как по своему месту жительства (месту пребывания, месту фактического проживания), так и по месту жительства (месту пребывания, фактического проживания) несовершеннолетнего гражданина (гражданина, признанного судом недееспособным (ограниченно дееспособным)).

61. Заявление может быть подано в территориальный орган, подразделение в форме электронного документа с использованием Единого портала с соблюдением установленных пунктом 60 Административного регламента требований.

62. Сотрудник, уполномоченный принимать заявления, определяет подведомственность обращения и устанавливает его предмет (знакомится с комплектом представленных документов). Если предметом обращения заявителя не является оформление паспорта, сотрудник, уполномоченный принимать документы, сообщает заявителю, к каким должностным лицам ФМС России (ее территориального органа) или в какой орган государственной власти следует обратиться.

63. При приеме заявления сотрудник проверяет:

правильность заполнения заявления;

действительность основного документа, удостоверяющего личность;

факт и правильность оплаты государственной пошлины <1>;

<1> С 1 января 2013 г. - в случае предоставления заявителем квитанции об оплате государственной пошлины по собственной инициативе.

тождественность личности заявителя с лицом, изображенным на фотографиях во внутреннем паспорте и (или) паспорте (паспорте нового поколения), с заявителем;

осуществляет сверку сведений, указанных заявителем в заявлении, со сведениями, указанными во внутреннем паспорте (паспорте, паспорте нового поколения) и других представленных документах;

наличие надлежащим образом оформленных документов, предусмотренных пунктами 28.1.1 - 28.3.9 Административного регламента.

Максимальное время выполнения действия составляет 5 минут.

64. К заявлению приобщаются:

оригиналы документов, перечисленных в пунктах 28.1.2, 28.1.3, 28.1.6, 28.2.4, 28.3.5 Административного регламента и 31.1, 31.2 Административного регламента (в случае представления заявителем), заявление (произвольной формы), предусмотренное пунктами 28.1.10, 28.2.8 и 28.3.9 Административного регламента, а также фотографии;

копии документов, указанных в пунктах 28.1.1, 28.1.4, 28.1.7, 28.1.9, 28.1.10, 28.2.1, 28.2.3, 28.2.7, 28.2.8, 28.3.4, 28.3.8 Административного регламента.

65. В случае отказа в приеме заявления (пункт 34 Административного регламента) или заявления, поданного в форме электронного документа с использованием Единого портала (пункт 35 Административного регламента), заявителю предлагается устранить выявленные недостатки и повторно подать заявление лично или с использованием Единого портала.

По согласованию с заявителем назначается дата его повторного личного обращения и производится предварительная запись на прием.

66. Сотрудник, в случае принятия заявления, заверяет подпись заявителя, дату подачи заявления, а также удостоверяет факт надлежащего заполнения бланка заявления и предоставления необходимых документов путем проставления на заявлении своей подписи с расшифровкой фамилии и указывает дату приема документов.

В случае приема заявления заявитель информируется о сроках рассмотрения заявления и об основаниях отказа в оформлении и (или) выдаче паспорта, предусмотренных статьями 10 и 15 Федерального закона.

67. После приема документов заявителю выдается справка (приложение N 7 к Административному регламенту) о приеме заявления к рассмотрению.

68. Заявление, поданное в форме электронного документа с использованием Единого портала, по каналам связи направляется в территориальный орган или, при наличии технической возможности, в подразделение по месту жительства, месту пребывания либо месту фактического проживания заявителя.

69. При поступлении заявления в форме электронного документа с использованием Единого портала сотрудник осуществляет проверку, предусмотренную пунктом 83.2 Административного регламента, и по результатам проверки направляет заявителю электронное сообщение о приеме заявления либо о мотивированном отказе в приеме заявления с использованием Единого портала не позднее рабочего дня, следующего за днем подачи заявления.

69.1. Электронное сообщение об отказе должно содержать информацию о причинах отказа в приеме заявления к рассмотрению (пункт 35 Административного регламента).

69.2. Электронное сообщение о приеме заявления к рассмотрению должно содержать информацию:

об основаниях отказа в оформлении и (или) выдаче паспорта, предусмотренных статьями 10 и 15 Федерального закона;

о сроках рассмотрения заявления.

70. При принятии заявления, поданного в форме электронного документа с использованием Единого портала, к рассмотрению оно распечатывается сотрудником в 2-х экземплярах с прикрепленной фотографией, заполняются реквизиты "Дата приема документов" и "Подпись, фамилия сотрудника, принявшего заявление". На каждом экземпляре заявления в поле, предназначенном для подписи заявителя, производится запись "Заявление принято в форме электронного документа".

71. Зарегистрированные в течение рабочего дня заявления, в том числе поступившие в форме электронного документа, передаются руководителю (заместителю руководителя) подразделения для определения сотрудника, уполномоченного на направление межведомственных запросов, рассмотрение заявлений и оформление паспорта.

72. Сотрудник, осуществляющий прием заявлений, несет ответственность за нарушение режима защиты, обработки и порядка использования информации, содержащей персональные данные заявителя, в соответствии законодательством Российской Федерации.

Сотрудник при обработке персональных данных граждан Российской Федерации обязан принимать необходимые организационные и технические меры для защиты персональных данных от несанкционированного или случайного доступа к ним, уничтожения, изменения, блокирования, копирования, распространения персональных данных, а также от иных неправомерных действий.

73. Заявления, в том числе поступившие в форме электронного документа с использованием Единого портала, и прилагаемые документы передаются сотруднику, уполномоченному на направление межведомственных запросов, рассмотрение заявлений и оформление паспорта в срок не позднее рабочего дня, следующего за днем регистрации заявления.

Формирование и направление межведомственных запросов

74. Основанием для начала административной процедуры является непредставление заявителем документов, предусмотренных пунктами 31.1 и 31.2 Административного регламента, при поступлении сотруднику заявления и необходимых документов, предусмотренных Административным регламентом, при личном обращении заявителя либо законного представителя в ФМС России (в пределах компетенции), в территориальный орган, подразделение или через многофункциональный центр предоставления государственных и муниципальных услуг, а также в случае подачи заявления в форме электронного документа с использованием Единого портала.

74.1. При наличии технической возможности межведомственные запросы направляются в форме электронного документа путем заполнения электронной формы межведомственного запроса и его последующего направления на соответствующий адрес электронного сервиса, в том числе с использованием единой системы межведомственного электронного взаимодействия и подключаемых к ней региональных систем межведомственного электронного взаимодействия или с использованием государственной системы изготовления, оформления и контроля паспортно-визовых документов нового поколения.

Межведомственные запросы в форме электронного документа подписываются усиленной квалифицированной электронной подписью.

В случае отсутствия технической возможности межведомственные запросы направляются на бумажном носителе.

74.2. Срок подготовки и направления ответа на межведомственный запрос не может превышать 5 рабочих дней со дня получения межведомственного запроса государственным органом, в распоряжении которого находятся необходимые документы и (или) информация.

75. В целях выявления оснований, которые могут повлечь временное ограничение права заявителя на выезд из Российской Федерации и отказ в оформлении и (или) выдаче паспорта и при непредставлении заявителем документов, предусмотренных пунктом 31.1 Административного регламента ФМС России (в пределах компетенции), территориальный орган или его подразделение направляет межведомственный запрос в военный комиссариат.

75.1. Межведомственный запрос в военный комиссариат направляется сотрудником, уполномоченным на оформление и направление межведомственных запросов, рассмотрение заявлений, в течение 2 рабочих дней с даты принятия заявления к рассмотрению.

В отношении заявителей, изменивших свои персональные данные (фамилию, имя, отчество, дату рождения и другие), проверка наличия оснований, которые могут повлечь временное ограничение права заявителя на выезд из Российской Федерации, осуществляется в том числе по всем указанным в заявлении (приложении к заявлению) персональным данным заявителя.

75.2. Межведомственный запрос в военный комиссариат не направляется в отношении:

- граждан в возрасте от 18 до 27 лет, проживающих на территории Российской Федерации и представивших документы, предусмотренные пунктом 28.1.7 Административного регламента, либо справку военного комиссариата по месту жительства либо пребывания;

- граждан, не достигших 18-летнего возраста;

- граждан старше 27 лет.

75.3. Направление межведомственного запроса на бумажном носителе в военные комиссариаты производится в соответствии с Инструкцией о порядке взаимодействия ФМС России, территориальных органов ФМС России и их структурных подразделений с Минобороны России, военными комиссариатами и отделами военных комиссариатов при оформлении гражданам Российской Федерации, подлежащим призыву на военную службу либо направлению на альтернативную гражданскую службу, паспорта гражданина Российской Федерации, удостоверяющего личность гражданина Российской Федерации за пределами территории Российской Федерации, утвержденной приказом ФМС России и Министра обороны Российской Федерации от 15 апреля 2011 г. N 100/507, посредством направления межведомственного запроса по установленной форме (приложение N 8 к Административному регламенту) в военный комиссариат:

по месту жительства - при подаче заявления (в том числе в форме электронного документа с использованием Единого портала) по месту жительства;

по месту жительства и по месту пребывания - в случае подачи заявления (в том числе в форме электронного документа с использованием Единого портала) по месту пребывания и при наличии регистрации по месту жительства;

по месту пребывания - в случае подачи заявления (в том числе в форме электронного документа с использованием Единого портала) по месту пребывания и при отсутствии регистрации по месту жительства;

по месту подачи заявления (в том числе в форме электронного документа с использованием Единого портала) - при отсутствии регистрации по месту жительства и по месту пребывания.

75.4. При наличии оснований для временного ограничения права гражданина Российской Федерации на выезд из Российской Федерации территориальный орган, подразделение или ФМС России (в пределах компетенции) получают из военного комиссариата сообщение с указанием:

основания и срока ограничения;

даты и регистрационного номера решения призывной комиссии о призыве на военную службу (направлении на альтернативную гражданскую службу), устанавливающего ограничение права на выезд;

полного наименования призывной комиссии, даты утверждения ее состава высшим должностным лицом субъекта Российской Федерации;

юридического адреса военного комиссариата субъекта Российской Федерации.

75.5. В случае непоступления ответа в установленные сроки из отдела военного комиссариата, в течение последующих 3 рабочих дней с даты принятия решения об оформлении и выдаче паспорта, направляется уведомление о принятом решении в отдел военного комиссариата.

76. При непредставлении заявителем документа, предусмотренного пунктом 31.2 Административного регламента ФМС России (в пределах компетенции), территориальный орган или его подразделение направляют межведомственный запрос в Федеральное казначейство.

Факт оплаты государственной пошлины подтверждается с использованием информации об оплате государственной пошлины, содержащейся в Государственной системе о государственных и муниципальных платежах.

76.1. При отсутствии информации об оплате государственной пошлины, содержащейся в Государственной системе о государственных и муниципальных платежах, паспорт не выдается.

Рассмотрение заявления и принятие решения

77. В целях выявления оснований, которые могут повлечь временное ограничение права заявителя на выезд из Российской Федерации и отказ в оформлении и (или) выдаче паспорта в течение 2 рабочих дней с даты принятия заявления, в том числе поступившего в форме электронного документа с использованием Единого портала, сотрудник, уполномоченный на рассмотрение заявлений, направляет запросы в органы внутренних дел, органы федеральной службы безопасности, ФССП России, а при необходимости и в иные органы государственной власти, указанные в пункте 18 Административного регламента, а также проводит проверки по учетам ФМС России и ее территориальных органов.

77.1. При наличии технической возможности обмен информацией осуществляется в электронном виде, в том числе с использованием государственной системы изготовления, оформления и контроля паспортно-визовых документов нового поколения.

Сведения, направляемые в форме электронного документа, подписываются усиленной квалифицированной электронной подписью.

В случае отсутствия технической возможности обмен информацией осуществляется на бумажных носителях.

77.2. В отношении заявителей, изменивших свои персональные данные (фамилию, имя, отчество, дату рождения и другие), проверка наличия оснований, которые могут повлечь временное ограничение права заявителя на выезд из Российской Федерации, осуществляется в том числе по всем указанным в заявлении (приложении к заявлению) персональным данным заявителя.

77.3. Срок подготовки и направления ответа на запрос с даты получения запроса не должен превышать:

77.3.1. Управлением регистрации и архивных фондов ФСБ России <1> или соответствующим подразделением территориального органа федеральной службы безопасности <2>:

<1> Далее - "УРАФ ФСБ России".

<2> Далее - "соответствующее подразделение органов безопасности".

15 календарных дней в случае подачи заявителем заявления по месту жительства (в том числе в форме электронного документа с использованием Единого портала);

70 календарных дней в случае подачи заявления (в том числе в форме электронного документа с использованием Единого портала) заявителем, имеющим (имевшим) допуск к сведениям особой важности или совершенно секретным сведениям, составляющим государственную тайну;

100 календарных дней в случае подачи заявителем заявления (в том числе в форме электронного документа с использованием Единого портала) не по месту жительства.

В случае необходимости проведения дополнительной проверки в связи с тем, что заявитель имел (имеет) допуск к сведениям особой важности или совершенно секретным сведениям, составляющим государственную тайну, УРАФ ФСБ России или соответствующее подразделение органов безопасности в 15-дневный срок направляют в уполномоченное подразделение ФМС России сообщение о результатах проведенной проверки.

77.3.2. Органом внутренних дел - 5 рабочих дней, если иные сроки подготовки и направления ответа на запрос не установлены федеральными законами, правовыми актами Правительства Российской Федерации и принятыми в соответствии с федеральными законами нормативными правовыми актами субъектов Российской Федерации.

77.3.3. ФССП России - 3 рабочих дня.

77.4. Срок, прошедший с момента получения документов и информации из органов внутренних дел, на дату принятия решения об оформлении паспорта, а также его выдачи не должен превышать три месяца.

77.5. Срок, прошедший с момента получения информации из УРАФ ФСБ России или соответствующего подразделения органов безопасности, на дату принятия решения об оформлении паспорта не должен превышать три месяца.

77.6. В случае необходимости подтверждения факта выдачи ранее гражданину паспорта нового поколения (паспорта) или установления наличия гражданства Российской Федерации у гражданина, проживающего за пределами территории Российской Федерации, запросы направляются в соответствующее дипломатическое представительство или консульское учреждение Российской Федерации.

78. Запросы не направляются в отношении следующих категорий граждан Российской Федерации:

78.1. По учетам органов внутренних дел - в отношении:

сотрудников органов внутренних дел, имеющих специальные звания;

сотрудников Федеральной службы безопасности Российской Федерации, Службы внешней разведки Российской Федерации и Федеральной службы охраны Российской Федерации, имеющих воинские звания;

несовершеннолетних граждан, не достигших 14-летнего возраста.

78.2. По учетам УРАФ ФСБ России или соответствующего подразделения органов безопасности - в отношении:

военнослужащих Вооруженных Сил Российской Федерации, а также федеральных органов исполнительной власти, в которых предусмотрена военная служба, дополнительно представивших для получения паспорта разрешение командования (пункт 28.1.6 Административного регламента);

несовершеннолетних граждан, не достигших 18-летнего возраста.

78.3. По учетам соответствующего территориального органа Федеральной службы судебных приставов или его структурного подразделения <1> - в отношении:

<1> Далее - "соответствующий орган ФССП России".

несовершеннолетних граждан, не достигших 14-летнего возраста.

79. Направление запроса в органы внутренних дел.

79.1. В Федеральное казенное учреждение "Главный информационно-аналитический центр МВД России" <1> в отношении граждан:

<1> Далее - "ФКУ "ГИАЦ МВД России".

проживающих на территории соответствующего субъекта Российской Федерации менее 5 лет;

обратившихся с заявлением не по месту жительства.

79.2. В информационные центры территориальных органов МВД России на региональном уровне <1> в соответствующих субъектах Российской Федерации по месту подачи заявления в отношении всех категорий заявителей, за исключением случаев, предусмотренных пунктом 78.1 Административного регламента.

<1> Далее - "ИЦ территориальных органов МВД России на региональном уровне".

79.3. В ИЦ территориальных органов МВД России на региональном уровне по последнему месту жительства в установленном порядке (пункт 85 Административного регламента) в отношении заявителей, обратившихся с заявлением не по месту жительства.

80. Направление запроса на бумажном носителе в УРАФ ФСБ России или соответствующее подразделение органов безопасности производится путем направления заявления без сопроводительного письма (по реестру) с прикрепленной фотографией, с указанием регистрационного номера, грифа срочности и даты приема документов.

80.1. В отношении заявителя, командируемого за пределы территории Российской Федерации и осведомленного о совершенно секретных или особой важности сведениях, составляющих государственную тайну, в УРАФ ФСБ России или соответствующее подразделение органов безопасности одновременно с заявлением может направляться заключение об осведомленности заявителя в сведениях особой важности или совершенно секретных сведениях и решение о возможности выдачи паспорта и выезда из Российской Федерации, оформленное в порядке, установленном законодательством Российской Федерации <1>.

<1> Постановление Правительства Российской Федерации от 5 января 2004 г. N 3-1.

81. Направление запроса в ФССП России.

81.1. В соответствующий орган ФССП России по месту жительства и (или) по месту пребывания - при подаче заявления (в том числе в форме электронного документа с использованием Единого портала) по месту жительства и (или) по месту пребывания (при наличии регистрации по месту жительства (пребывания)).

81.2. В соответствующий орган ФССП России по месту подачи заявления (в том числе в форме электронного документа с использованием Единого портала) - при отсутствии регистрации по месту жительства и по месту пребывания.

82. При наличии оснований для временного ограничения права гражданина Российской Федерации на выезд из Российской Федерации территориальный орган, подразделение или ФМС России (в пределах компетенции) получают сообщение:

82.1. из органов внутренних дел с указанием результатов проверок по оперативно-справочным учетам, криминалистическим и розыскным учетам;

82.2. из УРАФ ФСБ России или соответствующего подразделения органов безопасности с указанием основания и срока ограничения, даты и регистрационного номера решения об ограничении, полного наименования и юридического адреса организации, принявшей на себя ответственность за ограничение права данного гражданина на выезд из Российской Федерации;

82.3. из ФССП России с указанием основания и срока ограничения, даты и регистрационного номера решения об ограничении, полное наименование и юридический адрес организации, принявшей на себя ответственность за ограничение права данного гражданина на выезд из Российской Федерации. С ответом направляется копия постановления о временном ограничении права на выезд должника из Российской Федерации.

83. В ФМС России и ее территориальных органах проверка, в том числе в случае подачи заявления в форме электронного документа с использованием Единого портала, производится:

83.1. По учетам автоматизированной системы "Российский паспорт" <1> в установленном формате (приложение N 9 к Административному регламенту):

<1> Далее - "АС "Российский паспорт".

на наличие действующего паспорта (паспорта нового поколения);

на действительность заявленных сведений о серии и номере внутреннего паспорта заявителя, в отношении заявителей, достигших 14-летнего возраста;

на наличие заявления законного представителя о несогласии на выезд из Российской Федерации несовершеннолетнего гражданина Российской Федерации, в отношении заявителей, не достигших 18-летнего возраста.

83.2. По адресно-справочным учетам территориального органа по месту подачи заявителем заявления проверяется действительность заявленных сведений о регистрации по месту жительства (по месту пребывания) в отношении всех категорий заявителей.

83.3. По адресно-справочным учетам территориального органа по последнему месту жительства в отношении заявителей, обратившихся с заявлением не по месту жительства.

84. В случае отсутствия технической возможности запросы, предусмотренные пунктами 79.3 и 83.3, направляются в территориальный орган по последнему месту жительства заявителя по установленной форме (приложение N 10 к Административному регламенту).

Территориальный орган в срок, не превышающий 5 рабочих дней с момента получения запроса, направляет ответ инициатору запроса (приложение N 11 к Административному регламенту).

85. Результаты, полученные в рамках межведомственного информационного взаимодействия и проверок, проставляются в листе проведения проверок и отметок о принятом решении об оформлении и (или) выдаче либо отказе в оформлении и (или) выдаче паспорта.

В листе проведения проверок и отметок о принятом решении указываются фамилия, имя, отчество (при наличии), дата рождения заявителя, регистрационный номер заявления, дата приема заявления, дата направления и дата получения результатов проверок, фамилия и инициалы сотрудника, проводившего проверки по заявлению, и его подпись.

86. При наличии технической возможности результаты, полученные в рамках межведомственного информационного взаимодействия и проверок, вводятся в базу данных автоматизированного рабочего места.

87. По результатам проведенных мероприятий руководитель (заместитель руководителя) соответствующего подразделения территориального органа, подразделения либо уполномоченное должностное лицо ФМС России (в пределах компетенции), при отсутствии оснований, по которым выезд гражданину за пределы Российской Федерации может быть временно ограничен, в установленные сроки (пункты 21, 21.3 Административного регламента) принимает решение об оформлении и (или) выдаче либо отказе в оформлении и (или) выдаче заявителю паспорта. Решение оформляется путем проставления штампа (приложение N 12 к Административному регламенту) в листе проведения проверок и отметок о принятом решении об оформлении и (или) выдаче либо отказе в оформлении и (или) выдаче паспорта.

87.1. Непоступление ответа на межведомственный запрос не является основанием для принятия решения об отказе в оформлении и (или) выдаче паспорта, за исключением случая, предусмотренного пунктом 76.1 Административного регламента (в том числе по заявлениям, поданным в форме электронного документа с использованием Единого портала).

87.2. При выявлении оснований, которые могут повлечь временное ограничение права заявителя на выезд из Российской Федерации после оформления паспорта руководителем (заместителем руководителя) соответствующего подразделения территориального органа, подразделения либо уполномоченным должностным лицом ФМС России принимается решение об отказе в выдаче паспорта. Решение оформляется путем проставления штампа об отказе в оформлении и (или) выдаче паспорта (приложение N 12 к Административному регламенту) в листе проведения проверок и отметок о принятом решении об оформлении и (или) выдаче либо отказе в оформлении и (или) выдаче паспорта.

В течение одного рабочего дня территориальным органом, подразделением либо ФМС России (в пределах компетенции) заявителю направляется уведомление об отказе в выдаче паспорта (приложение N 13 к Административному регламенту).

Уведомление направляется на бумажном носителе по почте либо в форме электронного сообщения на адрес электронной почты или номер мобильного телефона заявителя (при наличии), а в случае подачи заявления в форме электронного документа с использованием Единого портала заявителю направляется электронное сообщение с использованием Единого портала об отказе в выдаче паспорта, в котором указываются основание и срок, на который ограничен выезд, дата и регистрационный номер решения об ограничении, полное наименование и юридический адрес организации, принявшей на себя ответственность за ограничение права на выезд из Российской Федерации гражданина.

88. При наличии оснований для временного ограничения права гражданина на выезд из Российской Федерации, предусмотренных статьей 15 Федерального закона, либо при наличии заявления о несогласии одного из законных представителей несовершеннолетнего гражданина на его выезд из Российской Федерации паспорт не оформляется и (или) не выдается. Заявителю выдается письменное уведомление, в котором указываются основание и срок ограничения, дата и регистрационный номер решения об ограничении, полное наименование и юридический адрес организации, принявшей на себя ответственность за ограничение права данного гражданина на выезд из Российской Федерации.

88.1. При получении сообщения о наличии оснований для временного ограничения права гражданина Российской Федерации на выезд из Российской Федерации (пункт 82 Административного регламента), а также при принятии решения об отказе в выдаче паспорта в течение одного рабочего дня территориальным органом, подразделением либо ФМС России (в пределах компетенции) заявителю направляется уведомление об отказе в оформлении (выдаче) паспорта (приложение N 13 к Административному регламенту).

Уведомление направляется на бумажном носителе по почте либо в форме электронного сообщения на адрес электронной почты или номер мобильного телефона заявителя (при наличии), а в случае подачи заявления в форме электронного документа с использованием Единого портала заявителю направляется электронное сообщение с использованием Единого портала об отказе в выдаче паспорта, в котором указываются основание и срок, на который ограничен выезд, дата и регистрационный номер решения об ограничении, полное наименование и юридический адрес организации, принявшей на себя ответственность за ограничение права на выезд из Российской Федерации гражданина.

89. После принятия решения о выдаче паспорта в течение одного рабочего дня заявителю направляется уведомление о необходимости получения паспорта с указанием места и времени получения документа (приложение N 14 к Административному регламенту).

Уведомление направляется на бумажном носителе по почте либо в форме электронного документа на адрес электронной почты или номер мобильного телефона заявителя (при наличии).

89.1. В случае подачи заявления в форме электронного документа с использованием Единого портала после принятия решения об оформлении и (или) выдаче паспорта в течение одного рабочего дня заявителю с использованием Единого портала направляется электронное сообщение, которое должно содержать информацию:

о территориальном органе или подразделении, куда необходимо обратиться заявителю для представления документов и получения паспорта, адресе местонахождения, часах приема;

о необходимости в течение 5 дней со дня получения данного электронного сообщения лично обратиться в соответствующий территориальный орган, его подразделение для представления документов, необходимых для оформления паспорта, предусмотренных пунктами 28.1.1 - 28.3.9 Административного регламента, 31.1 и 31.2 Административного регламента (представляются заявителем по желанию).

90. Если заявителем пропущен срок, установленный для предоставления документов, указанный в электронном сообщении (пункт 89.1 Административного регламента), оформление паспорта приостанавливается.

В случае приостановления оформления паспорта в течение 3 рабочих дней со дня приостановления заявителю с использованием Единого портала направляется электронное сообщение о приостановлении оформления паспорта до его личного обращения.

По истечении срока, предусмотренного пунктом 37.1 Административного регламента, руководителем (заместителем руководителя) соответствующего подразделения территориального органа, подразделения либо ФМС России (в пределах компетенции) принимается решение о прекращении оформления паспорта. Решение оформляется в виде резолюции на заявлении.

В случае прекращения оформления паспорта заявителю в течение 3 рабочих дней со дня принятия такого решения с использованием Единого портала направляется соответствующее электронное сообщение.

Оформление паспорта

91. Основанием для оформления паспорта является принятие руководителем территориального органа, подразделения, уполномоченным должностным лицом ФМС России (в пределах компетенции), решения об оформлении и (или) выдаче паспорта (пункт 87 Административного регламента).

В случае подачи заявления в форме электронного документа с использованием Единого портала основанием для оформления паспорта является личное обращение заявителя и представление документов, необходимых для оформления паспорта, предусмотренных пунктами 28.1.1 - 28.3.9 Административного регламента.

92. После принятия решения об оформлении и (или) выдаче паспорта в течение одного рабочего дня документы, необходимые для оформления паспорта, передаются уполномоченному сотруднику.

93. В случае подачи заявления в форме электронного документа с использованием Единого портала заявителю при личном обращении в территориальный орган или его подразделение ему предлагается проверить правильность заполнения заявления, поступившего в форме электронного документа, и проставить подпись в специально отведенном поле.

Проведение сверки и заверение подписи заявителя удостоверяется путем проставления на заявлении фамилии и подписи сотрудника, осуществляющего сверку.

Если сведения, указанные заявителем в заявлении, поступившем в форме электронного документа с использованием Единого портала, не соответствуют сведениям, содержащимся в представленных документах, то руководителем (заместителем руководителя) соответствующего подразделения принимается решение об отказе в оформлении (выдаче) паспорта <1>.

<1> Подпункт 6 статьи 15 Федерального закона.

94. Паспорт оформляется сроком на 5 лет, за исключением случаев, предусмотренных частью третьей статьи 11 Федерального закона (пункт 30 Административного регламента).

95. Паспорта должны заполняться с использованием специального принтера аккуратно, без исправлений, помарок и неустановленных сокращений.

96. Отметки и записи в паспортах могут производиться путем проставления оттисков штампов черного цвета.

97. Оформление паспорта производится сотрудником, ответственным за оформление, в следующем порядке:

сведения о владельце паспорта вносятся в бланк паспорта с применением специальных принтеров и соответствующих программно-технических средств в верхнем регистре. Высота букв и цифр 2,5 мм;

на внутренней странице задней части обложки (задний форзац) в реквизите "Фамилия" указывается фамилия заявителя: в первой строке - на русском языке и через знак "/" во второй строке - способом транслитерации (простого замещения русских букв на латинские) в соответствии с рекомендованным ИКАО международным стандартом (Doc 9303, часть 1);

в реквизите "Имя" указывается имя (имена), отчество (при наличии) заявителя, в первой строке - на русском языке и через знак "/" во второй строке - дублируется способом транслитерации (только имя (имена));

в реквизите "Дата рождения" указываются день, месяц и год рождения заявителя в формате ДД.ММ.ГГГГ;

в случае отсутствия во внутреннем паспорте сведений о дне и (или) месяце рождения они замещаются цифрами "00".

В реквизите "Место рождения" указывается на русском языке наименование государства, республики, края, области, города (в соответствии с записью во внутреннем паспорте), где родился заявитель. В дублирующей части реквизита через знак "/" указывается государство, в котором родился заявитель, или его аббревиатура буквами латинского алфавита.

В отношении заявителей, родившихся на территории Российской Федерации (после 6 февраля 1992 г.), в реквизите "Место рождения" указывается наименование субъекта Российской Федерации (республики, края, области, города) либо его центр, а в дублирующей части производится запись "RUSSIA".

Например, ТАТАРСТАН/RUSSIA, КРАСНОДАРСКИЙ КРАЙ/RUSSIA, СМОЛЕНСКАЯ ОБЛАСТЬ/RUSSIA, МОСКВА/RUSSIA.

В отношении заявителей, родившихся на территории бывшего СССР (до 6 февраля 1992 г.), указывается наименование бывшей союзной республики, автономной республики, края, области, где родился заявитель, либо наименование республиканского, краевого или областного центра, а в дублирующей части указывается аббревиатура СССР буквами латинского алфавита "USSR".

Например, МОЛДАВСКАЯ ССР/USSR, ТАТАРСКАЯ АССР/USSR, КРАСНОДАРСКИЙ КРАЙ/USSR, СМОЛЕНСКАЯ ОБЛАСТЬ/USSR, МОСКВА/USSR.

В отношении заявителей, родившихся до образования бывшего СССР (до 30 декабря 1922 года) либо за пределами бывшего СССР или Российской Федерации, указывается наименование государства, в котором родился заявитель, либо его аббревиатура на русском языке, а в дублирующей части - наименование государства, в котором он родился, или его аббревиатура буквами латинского алфавита.

Например, США/USA.

В реквизите "Пол" указывается пол владельца паспорта. Для женщин проставляется "Ж/F", для мужчин - "М/M".

В реквизите "Дата выдачи" указывается дата выдачи паспорта в формате ДД.ММ.ГГГГ.

В реквизите "Дата окончания срока действия" указываются день, месяц и год окончания срока действия паспорта в формате ДД.ММ.ГГГГ.

В реквизите "Орган, выдавший документ" на русском языке указывается "ФМС", "УФМС", "ОФМС" и номер печати "Для паспортно-визовых документов", например: "ФМС 678", "УФМС 562", "ОФМС 896".

Фотография владельца паспорта размером 35 x 45 мм наклеивается таким образом, чтобы нижняя ограничительная черта оставалась открытой.

Белое поле предназначено для машинного считывания и заполняется в соответствии с Правилами формирования машиночитаемой зоны паспорта (приложение N 15 к Административному регламенту), при этом в качестве первых двух символов, идентифицирующих в машиночитаемой строке паспорт, принимаются символы "P<".

Реквизит "Личный код" не заполняется.

В специально отведенных графах сведения о детях, вносимые в паспорт по заявлению родителей, заполняются аналогично правилам заполнения сведений о заявителе (например: Кудрякова/Kudriakova Валерия/Valeriia Ж/F 07.07.1992).

На свободной части страницы делается прочерк в виде буквы "Z". Данная запись скрепляется печатью "Для паспортно-визовых документов" и заверяется подписью сотрудника, ее оформившего. Компоновка страницы позволяет вписать не более 3-х детей. В специально пронумерованных рамках размером 35 x 45 мм размещаются и скрепляются печатью "Для паспортно-визовых документов" фотографии детей.

При необходимости дополнительного внесения сведений о детях такая запись производится на другой свободной странице, где также вклеивается фотография ребенка. Запись заверяется подписью сотрудника, ее оформившего, а фотография скрепляется печатью "Для паспортно-визовых документов". В графе "см. стр. ___" указывается номер страницы, на которой дополнительно вписаны сведения о детях.

Соблюдение указанных форматов ввода информации для каждого реквизита является обязательным требованием.

После заполнения реквизитов вшитая в бланк паспорта пленка "горячего" ламинирования наносится на полностью оформленную внутреннюю страницу задней части обложки (задний форзац) с помощью специального нагревательного устройства (ламинатор).

98. Оформленные паспорта в течение одного рабочего дня приходуются в соответствии с правовыми актами ФМС России, регламентирующими прием, учет, хранение и уничтожение специальной бланочной продукции централизованного заказа и распределения и порядок работы комиссий по проверке данной деятельности.

99. Внесение сведений о владельце паспорта буквами латинского алфавита в соответствии с представленными документами производится на основании решения руководителя территориального органа или подразделения, осуществляющего оформление паспорта, либо лица, его замещающего.

100. Информация об оформленных паспортах, а также о детях, вписанных в паспорта, направляется в АС "Российский паспорт" в определенном формате (приложение N 16 к Административному регламенту).

Выдача паспорта

101. Основанием для начала административной процедуры является поступление паспорта с приложением пакета представленных заявителем документов сотруднику, уполномоченному на выдачу паспорта.

102. При выдаче паспорта уполномоченный сотрудник устанавливает тождественность гражданина фотографии, содержащейся в паспорте, соответствие сведений, указанных заявителем в заявлении, персональным данным, внесенным в паспорт, а также содержащимся в машиночитаемой зоне паспорта.

103. Паспорт выдается уполномоченным сотрудником лично заявителю (законному представителю) после проставления владельцем своей подписи в паспорте в реквизите "Подпись владельца" и в первом экземпляре заявления в графе "Паспорт получил".

Паспорт, оформленный несовершеннолетнему гражданину или гражданину, признанному судом недееспособным (ограниченно дееспособным), выдается законному представителю указанных граждан, подавшему заявление, после проставления им подписи в первом экземпляре заявления в графе "Паспорт получил".

При получении паспорта несовершеннолетнего гражданина, не достигшего 14-летнего возраста, или гражданина, признанного судом недееспособным (ограниченно дееспособным), в реквизите "Подпись владельца" уполномоченным должностным лицом проставляется прочерк.

104. Паспорта хранятся в территориальном органе, подразделении либо ФМС России (в пределах компетенции) до истечения срока временного ограничения, а в случае если паспорт не востребован - до истечения его срока действия.

105. В случае убытия заявителя до получения паспорта к новому месту жительства в другой субъект Российской Федерации, по его заявлению, составленному в произвольной форме и поданному в территориальный орган по новому месту жительства, направляется соответствующий запрос в территориальный орган, оформивший паспорт. По запросу паспорт направляется в территориальный орган по новому месту жительства фельдсвязью или спецсвязью.

Оформленный паспорт направляется вместе с одним экземпляром заявления (приложение N 1 или N 3 к Административному регламенту). Второй экземпляр заявления до получения информации о выдаче паспорта заявителю территориальным органом, оформившим паспорт, ставится на контроль.

Уполномоченный сотрудник территориального органа по новому месту жительства заявителя при выдаче обеспечивает проставление заявителем подписи в паспорте в реквизите "Подпись владельца" и в заявлении в графе "Паспорт получил", а затем возвращает указанное заявление в подразделение, оформившее паспорт, фельдсвязью или спецсвязью.

106. В случае выявления технического брака, несоответствия персональных данных заявителя, внесенных в паспорт, данным, указанным им в заявлении, наличия неустановленных либо внесенных ненадлежащим образом отметок и записей на момент выдачи паспорта оформляется новый паспорт без повторного представления гражданином документов, предусмотренных Административным регламентом. В этом случае государственная пошлина за оформление паспорта не взимается.

Максимальный срок изготовления нового паспорта составляет 2 часа с момента предоставления заявителем фотографии.

107. При выдаче паспорта на странице 19 внутреннего паспорта (в свидетельстве о рождении) заявителя производится отметка о выдаче ему паспорта путем проставления оттиска штампа (приложение N 17 к Административному регламенту) с указанием серии, номера, даты выдачи и наименования органа, выдавшего документ.

Отметка заверяется подписью сотрудника.

108. В подразделение, выдавшее гражданину внутренний паспорт, направляется сообщение о факте выдачи паспорта (приложение N 18 Административного регламента) для внесения соответствующей записи в заявление о выдаче (замене) внутреннего паспорта (Форма N 1П) <1>.

<1> Приложение N 1 к Административному регламенту Федеральной миграционной службы по предоставлению государственной услуги по выдаче, замене и по исполнению государственной функции по учету паспортов гражданина Российской Федерации, удостоверяющих личность гражданина Российской Федерации на территории Российской Федерации, утвержденного приказом ФМС России от 7 декабря 2010 г. N 339 (зарегистрирован в Министерстве юстиции Российской Федерации 15 февраля 2010 г., регистрационный N 16411).

109. Не допускается, за исключением случаев, предусмотренных частью третьей статьи 11 Федерального закона (пункт 110 Административного регламента):

109.1. Оформление нового паспорта без объявления недействительным для выезда из Российской Федерации ранее выданного паспорта (паспорта нового поколения) в случае его утраты владельцем.

109.2. Выдача нового паспорта без изъятия ранее выданного паспорта (паспорта нового поколения), срок действия которого на день выдачи нового паспорта не истек.

Паспорт с истекшим сроком действия не изымается.

110. По желанию заявителя паспорт (паспорт нового поколения) разрешается оставлять у владельца. При этом на странице, где проставляется подпись владельца паспорта, вырезается номер паспорта и проставляется штамп "Аннулировано".

Вырезанный номер наклеивается в пункт 10 на второй экземпляр заявления (приложение N 1, N 3 к Административному регламенту), с одновременным внесением записи о выдаче заявителю нового паспорта с указанием даты выдачи в формате ДД.ММ.ГГГГ.

111. В случае утраты паспорта гражданин обязан после обнаружения факта утраты заявить об этом в территориальный орган или его подразделение по месту жительства (пребывания).

В случае обращения гражданина по вопросу утраты паспорта сотрудник подразделения, не позднее рабочего дня, следующего за днем принятия заявления об утрате паспорта, направляет информацию с данными владельца утраченного паспорта в территориальный орган субъекта, на территории которого расположено подразделение.

Территориальный орган еженедельно направляет информацию о гражданах, утративших паспорта, в АС "Российский паспорт" в установленном формате (приложение N 19 к Административному регламенту) для объявления паспорта недействительным.

ФМС России (в пределах компетенции), территориальный орган или его подразделение, принявшие заявление об утрате паспорта, по просьбе гражданина в день обращения выдают справку (приложение N 20 к Административному регламенту) для оформления паспорта в установленном порядке.

Если гражданин, заявивший об утрате (похищении) паспорта, в ходе производства по делу об утрате обнаружит его, то найденный паспорт подлежит сдаче, а заявителю выдается новый паспорт в порядке, установленном Административным регламентом.

В случае утраты паспорта за пределами территории Российской Федерации гражданин Российской Федерации обязан незамедлительно, после обнаружения факта утраты, проинформировать об этом соответствующее дипломатическое представительство или консульское учреждение Российской Федерации либо представительство МИДа России, находящееся в пределах приграничной территории.

112. Найденные паспорта, а также паспорта умерших граждан Российской Федерации подлежат сдаче в территориальный орган или его подразделение, а за пределами территории Российской Федерации - в дипломатическое представительство или консульское учреждение Российской Федерации в государстве пребывания (проживания) либо представительство МИДа России, находящееся в пределах приграничной территории, в том числе в пунктах пропуска через Государственную границу Российской Федерации, для направления в орган, выдавший документ.

Лица, у которых прекратилось гражданство Российской Федерации и имеющих действующий паспорт, обязаны сдать паспорта в территориальный орган или его подразделение, а проживающие за пределами территории Российской Федерации - в дипломатическое представительство или консульское учреждение Российской Федерации в государстве проживания, для последующего направления в орган, выдавший паспорт.

113. Паспорта, изъятые в соответствии со статьей 18 Федерального закона, хранятся в территориальных органах, подразделениях до истечения срока временного ограничения права на выезд из Российской Федерации или до истечения срока действия паспорта.

114. Паспорта, не выданные гражданам в течение срока их действия, а также паспорта, указанные в пункте 112 Административного регламента, подлежат уничтожению.

115. Паспорт, выданный в нарушение установленного порядка или оформленный на утраченном (похищенном) бланке, подлежит изъятию уполномоченными органами и направлению в территориальный орган, выдавший его, либо ФМС России (в пределах компетенции).

Решение о признании паспорта выданным в нарушение установленного порядка принимается руководителем территориального органа или его заместителем.

Информация о паспорте, выданном в нарушение установленного порядка, направляется в АС "Российский паспорт".

В данном случае гражданину в день изъятия выдается акт об изъятии паспорта. В акте указываются дата и место составления, должность и фамилия лица, составившего акт, фамилия, имя и отчество (при наличии) лица, которому оформлен паспорт, серия и номер изымаемого паспорта и причина его изъятия. Акт подписывается лицом, его составившим, и утверждается руководителем соответствующего подразделения.

116. При невозможности дальнейшего использования паспорта до истечения срока его действия по причине отсутствия свободных страниц для проставления иностранных виз, отметок пограничных органов, изменения персональных данных (фамилии, имени, отчества, пола) или при значительном изменении внешности владельца паспорта, а также в случае порчи документа или его утраты заявителю по его заявлению оформляется новый паспорт в установленном Административным регламентом порядке.

IV. Формы контроля за предоставлением государственной услуги

Порядок осуществления текущего контроля за соблюдением и исполнением ответственными должностными лицами положений Административного регламента, а также принятием ими решений

117. Текущий контроль за соблюдением порядка предоставления государственной услуги в соответствии с Административным регламентом, а также законностью и обоснованностью принятия решений сотрудниками ФМС России при организации работы по оформлению и выдаче паспортов осуществляется ФМС России, подразделениями территориальных органов, ответственными за организацию работы по предоставлению государственной услуги.

Порядок и периодичность осуществления плановых и внеплановых проверок полноты и качества предоставления государственной услуги, в том числе порядок и формы контроля за полнотой и качеством предоставления государственной услуги

118. Контроль за полнотой и качеством предоставления государственной услуги включает в себя проведение плановых и внеплановых проверок, выявление и устранение нарушений прав граждан, рассмотрение, принятие решений и подготовку ответов на обращения заявителей, содержащих жалобы на решения, действия (бездействие) должностных лиц.

119. Проверки могут быть плановыми (осуществляться на основании полугодовых или годовых планов работы ФМС России, территориального органа) и внеплановыми. Внеплановая проверка может проводиться по конкретному обращению заявителя.

Ответственность должностных лиц федерального органа исполнительной власти за решения и действия (бездействие), принимаемые (осуществляемые) ими в ходе предоставления государственной услуги

120. В случае выявления нарушений прав граждан по результатам проведенных проверок в отношении виновных лиц принимаются меры в соответствии с законодательством Российской Федерации.

121. Сотрудник, осуществляющий прием документов, несет персональную ответственность за полноту и правильность их оформления, сохранность принятых документов, порядок и сроки их приема.

122. Сотрудник, уполномоченный на рассмотрение заявлений, несет персональную ответственность:

за соблюдение порядка и сроков рассмотрения заявления;

за своевременность и качество проводимых проверок по заявлениям;

за соответствие результатов рассмотрения заявлений требованиям законодательства Российской Федерации и Административного регламента.

123. Сотрудник, уполномоченный на оформление паспорта, несет персональную ответственность за достоверность вносимых в него сведений.

124. Сотрудник, осуществляющий выдачу паспорта, несет персональную ответственность за соблюдение порядка выдачи документов.

125. Сотрудник, уполномоченный на предоставление информации, несет персональную ответственность за соблюдение срока и порядка предоставления информации, исполнение запросов граждан, установленных Административным регламентом.

126. Персональная ответственность сотрудников ФМС России (в пределах компетенции), территориальных органов и подразделений закрепляется в их должностных инструкциях (регламентах) в соответствии с требованиями законодательства Российской Федерации.

Требования к порядку и формам контроля за предоставлением государственной услуги, в том числе со стороны граждан, их объединений и организаций

127. Заявители имеют право осуществлять контроль за соблюдением положений Административного регламента, сроков исполнения административных процедур в ходе рассмотрения их заявлений путем получения устной информации (по телефону) или письменных (в электронном виде) запросов.

V. Досудебный (внесудебный) порядок обжалования решений и действий (бездействия) органа, предоставляющего государственную услугу, а также их должностных лиц

Информация для заявителя о его праве на досудебное (внесудебное) обжалование действий (бездействия) и решений, принятых (осуществляемых) в ходе предоставления государственной услуги

128. Гражданин имеет право на обжалование действий (бездействия) должностных лиц ФМС России и ее территориальных органов в досудебном (внесудебном) порядке.

Предмет жалобы

129. Заявитель может обратиться с жалобой, в том числе в случаях:

нарушения срока регистрации заявления;

нарушения срока предоставления государственной услуги;

требования представить документы, не предусмотренные нормативными правовыми актами Российской Федерации и Административным регламентом;

отказа в приеме документов, представление которых предусмотрено нормативными правовыми актами Российской Федерации для предоставления государственной услуги;

отказа в предоставлении государственной услуги, если основания отказа не предусмотрены федеральными законами и принятыми в соответствии с ними нормативными правовыми актами Российской Федерации;

требования внесения заявителем за предоставление государственной услуги платы, не предусмотренной нормативными правовыми актами Российской Федерации;

отказа в исправлении допущенных опечаток и ошибок в выданных в результате предоставления государственной услуги документах либо нарушения установленного срока для внесения таких исправлений.

Органы государственной власти и уполномоченные на рассмотрение жалобы должностные лица, которым может быть направлена жалоба

130. Органы, уполномоченные на рассмотрение жалобы:

ФМС России;

территориальные органы.

131. В ФМС России (в пределах компетенции), территориальном органе определяются уполномоченные на рассмотрение жалоб должностные лица, которые обеспечивают:

прием и рассмотрение жалоб;

направление жалоб в уполномоченный на их рассмотрение орган в соответствии с пунктом 132 Административного регламента.

132. В случае если жалоба подана заявителем в орган, в компетенцию которого не входит принятие решения по жалобе в соответствии с требованиями пункта 130 Административного регламента, указанный орган в течение 3 рабочих дней со дня ее регистрации направляет жалобу в уполномоченный на ее рассмотрение орган и в письменной форме информирует заявителя о перенаправлении жалобы.

При этом срок рассмотрения жалобы исчисляется со дня регистрации жалобы в уполномоченном на ее рассмотрение органе.

133. Жалоба может быть подана заявителем, в том числе через многофункциональный центр предоставления государственных и муниципальных услуг. При поступлении жалобы многофункциональный центр предоставления государственных и муниципальных услуг обеспечивает ее передачу в уполномоченный на ее рассмотрение орган в порядке и сроки, установленные соглашением о взаимодействии между многофункциональным центром и органом, предоставляющим государственную услугу, но не позднее следующего рабочего дня со дня поступления жалобы.

Жалоба на нарушение порядка предоставления государственной услуги многофункциональным центром рассматривается в соответствии с Правилами подачи и рассмотрения жалоб на решения и действия (бездействие) федеральных органов исполнительной власти и их должностных лиц, федеральных государственных служащих, должностных лиц государственных внебюджетных фондов Российской Федерации, утвержденными постановлением Правительства Российской Федерации от 16 августа 2012 г. N 840 "О порядке подачи и рассмотрения жалоб на решения и действия (бездействие) федеральных органов исполнительной власти и их должностных лиц, федеральных государственных служащих, должностных лиц государственных внебюджетных фондов Российской Федерации", органом, предоставляющим государственную услугу, заключившим соглашение о взаимодействии.

При этом срок рассмотрения жалобы исчисляется со дня регистрации жалобы в уполномоченном на ее рассмотрение органе.

Порядок подачи и рассмотрения жалобы

134. Жалоба подается в ФМС России (в пределах компетенции), территориальный орган или подразделение, в письменной форме, в том числе при личном приеме заявителя, или в электронном виде.

135. Жалоба должна содержать:

наименование органа, предоставляющего государственную услугу, должностного лица органа, предоставляющего государственную услугу, либо федерального государственного служащего, решения и действия (бездействие) которых обжалуются;

фамилию, имя, отчество (при наличии), сведения о месте жительства заявителя - физического лица, а также номер (номера) контактного телефона, адрес (адреса) электронной почты (при наличии) и почтовый адрес, по которым должен быть направлен ответ заявителю;

сведения об обжалуемых решениях и действиях (бездействии) органа, предоставляющего государственную услугу, его должностного лица либо федерального государственного служащего;

доводы, на основании которых заявитель не согласен с решением и действиями (бездействием) органа, предоставляющего государственную услугу, его должностного лица либо федерального государственного служащего. Заявителем могут быть представлены документы (при наличии), подтверждающие доводы заявителя, либо их копии.

136. В случае если жалоба подается через представителя заявителя, также представляется документ, подтверждающий полномочия на осуществление действий от имени заявителя. В качестве документа, подтверждающего полномочия на осуществление действий от имени заявителя, может быть представлена оформленная в соответствии с законодательством Российской Федерации доверенность.

137. Прием жалоб в письменной форме осуществляется ФМС России (в пределах компетенции), территориальным органом или подразделением.

Время приема жалоб должно совпадать со временем предоставления государственных услуг.

Жалоба в письменной форме может быть также направлена по почте.

В случае подачи жалобы на личном приеме заявитель представляет документ, удостоверяющий его личность в соответствии с законодательством Российской Федерации.

138. В электронном виде жалоба может быть подана заявителем посредством:

официального интернет-сайта ФМС России и ее территориальных органов;

Единого портала.

139. При подаче жалобы в электронном виде документ, указанный в пункте 136 Административного регламента, может быть представлен в форме электронного документа, подписанного простой электронной подписью, при этом документ, удостоверяющий личность заявителя, не требуется.

Сроки рассмотрения жалобы

140. Жалоба, поступившая в уполномоченный на ее рассмотрение орган, подлежит регистрации не позднее следующего рабочего дня со дня ее поступления. Жалоба рассматривается в течение 15 рабочих дней со дня ее регистрации, если более короткие сроки рассмотрения жалобы не установлены органом, уполномоченным на ее рассмотрение.

В случае обжалования отказа в приеме документов у заявителя либо в исправлении допущенных опечаток и ошибок или в случае обжалования заявителем нарушения установленного срока таких исправлений жалоба рассматривается в течение 5 рабочих дней со дня ее регистрации.

Перечень оснований для приостановления рассмотрения жалобы

141. Оснований для приостановления рассмотрения жалобы не имеется.

Результат рассмотрения жалобы

142. По результатам рассмотрения жалобы должностное лицо ФМС России, территориального органа либо подразделения, уполномоченное на ее рассмотрение, принимает одно из следующих решений:

удовлетворяет жалобу, в том числе в форме отмены принятого решения, исправления допущенных ФМС России, территориальным органом либо подразделением опечаток и ошибок в выданных в результате предоставления государственной услуги документах, возврата заявителю денежных средств, взимание которых не предусмотрено нормативными правовыми актами Российской Федерации, нормативными правовыми актами субъектов Российской Федерации, а также в иных формах;

отказывает в удовлетворении жалобы.

При удовлетворении жалобы уполномоченный на ее рассмотрение орган принимает исчерпывающие меры по устранению выявленных нарушений, в том числе по выдаче заявителю результата государственной услуги, не позднее 5 рабочих дней со дня принятия решения, если иное не установлено законодательством Российской Федерации.

143. В случае установления в ходе или по результатам рассмотрения жалобы признаков состава административного правонарушения или преступления должностное лицо, наделенное полномочиями по рассмотрению жалоб, незамедлительно направляет имеющиеся материалы в органы прокуратуры.

Порядок информирования заявителя о результатах рассмотрения жалобы

144. Ответ по результатам рассмотрения жалобы направляется заявителю не позднее дня, следующего за днем принятия решения, в письменной форме.

145. В ответе по результатам рассмотрения жалобы указываются:

наименование органа, предоставляющего государственную услугу, рассмотревшего жалобу, должность, фамилия, имя, отчество (при наличии) его должностного лица, принявшего решение по жалобе;

номер, дата, место принятия решения, включая сведения о должностном лице, решение или действие (бездействие) которого обжалуется;

фамилия, имя, отчество (при наличии) или наименование заявителя;

основания для принятия решения по жалобе;

принятое по жалобе решение;

в случае, если жалоба признана обоснованной, - сроки устранения выявленных нарушений, в том числе срок предоставления государственной услуги;

сведения о порядке обжалования принятого по жалобе решения.

146. Ответ по результатам рассмотрения жалобы подписывается уполномоченным на рассмотрение жалобы должностным лицом ФМС России (в пределах компетенции), территориального органа либо подразделения.

По желанию заявителя ответ по результатам рассмотрения жалобы может быть представлен в форме электронного документа, подписанного квалифицированной электронной подписью уполномоченного на рассмотрение жалобы должностного лица и (или) уполномоченного на рассмотрение жалобы органа.

Порядок обжалования решения по жалобе

147. Граждане могут обжаловать действия (бездействие) должностных лиц по подведомственности:

подразделений территориальных органов - в соответствующие территориальные органы или ФМС России;

территориальных органов - в ФМС России;

ФМС России - директору ФМС России.

Право заявителя на получение информации и документов, необходимых для обоснования и рассмотрения жалобы

148. Заявитель имеет право на получение информации и документов, необходимых для обоснования и рассмотрения жалобы.

Способы информирования заявителей о порядке подачи и рассмотрения жалобы

149. Органы, предоставляющие государственные услуги, обеспечивают:

информирование заявителей о порядке обжалования решений и действий (бездействия) органов, предоставляющих государственные услуги, их должностных лиц либо федеральных государственных служащих посредством размещения информации на стендах в местах предоставления государственных услуг, на их официальных сайтах, на Едином портале;

консультирование заявителей о порядке обжалования решений и действий (бездействия) органов, предоставляющих государственные услуги, их должностных лиц либо федеральных государственных служащих, в том числе по телефону, электронной почте, при личном приеме;

заключение соглашений о взаимодействии в части осуществления многофункциональными центрами приема жалоб и выдачи заявителям результатов рассмотрения жалоб.

Приложение N 1
к Административному регламенту
предоставления Федеральной миграционной
службой государственной услуги
по оформлению и выдаче паспортов
гражданина Российской Федерации,
удостоверяющих личность гражданина
Российской Федерации за пределами
территории Российской Федерации

Дело N   Получено в электронном виде с Единого портала государственных и муниципальных услуг и функций место для фотографии  
 
 
ЗАЯВЛЕНИЕ О ВЫДАЧЕ ПАСПОРТА
1. Фамилия  
Имя   2. Пол    
    М   Ж
         
Отчество   3. Дата рождения  
4. Место рождения  
5. Если ранее имели другие фамилию, имя, отчество, то укажите ниже предыдущие данные          
  Да   Нет  
         
Фамилия  
Имя   Пол          
    М   Ж
         
Отчество   Дата смены  
Место смены  
Дополнительные сведения о предыдущих фамилии, имени, отчестве представлены в Приложении N 2 на " " л.
6. Адрес места жительства
Регион  
Район  
Населенный пункт  
Улица  
Дом   Корпус   Строение   Квартира   Дата регистрации  
7. Адрес    
    места пребывания   фактического проживания
 
Регион  
Район  
Населенный пункт  
Улица  
Дом   Корпус   Строение   Квартира   Срок регистрации с по
8. Телефон   9. Адрес электронной почты (по желанию)  
10. Основной документ, удостоверяющий личность гражданина Российской Федерации (паспорт)
Серия   Номер   Дата выдачи    
Кем выдан  
11. Был ли на Вас за период работы (учебы, службы) оформлен допуск к сведениям особой важности или совершенно-секретным сведениям, отнесенным к государственной тайне? (если да, то указать организацию и год)          
    Да   Нет
         
Организация   Год  
12. Имеете ли Вы договорные, контрактные обязательства, препятствующие выезду за границу? (если да, то указать организацию и год)          
    Да   Нет
         
Организация   Год  
13. Имею заграничный паспорт Серия   Номер   Дата выдачи  
Орган, выдавший паспорт

Оборотная сторона

14. Сведения о трудовой деятельности за последние 10 лет (включая учебу в учебных заведениях и военную службу)
Месяц и год Должность и место работы, номер войсковой части Адрес организации, войсковой части
поступления увольнения
       
       
       
       
       
Дополнительные сведения о трудовой деятельности за последние 10 лет представлены в Приложении N 2а на " " л.

15. Прошу внести в паспорт сведения о моих детях, гражданах Российской Федерации, в возрасте до 14 лет.

Сведения о моих детях представлены в Приложении N 2б на " " л.

Я ПРЕДУПРЕЖДЕН(А), ЧТО СООБЩЕНИЕ ЛОЖНЫХ СВЕДЕНИЙ В ЗАЯВЛЕНИИ ИЛИ ПРЕДСТАВЛЕНИЕ ПОДДЕЛЬНЫХ ДОКУМЕНТОВ ВЛЕЧЕТ ОТВЕТСТВЕННОСТЬ, УСТАНОВЛЕННУЮ ЗАКОНОДАТЕЛЬСТВОМ. Я СОГЛАСЕН(НА) С АВТОМАТИЗИРОВАННОЙ ОБРАБОТКОЙ, ПЕРЕДАЧЕЙ И ХРАНЕНИЕМ ДАННЫХ, УКАЗАННЫХ В ЗАЯВЛЕНИИ, В ЦЕЛЯХ

      Подпись заявителя
Дата подачи
заявления
(заполняется
заявителем)
     
Дата получения
паспорта
   
Подпись
заявителя
   
Заполняется уполномоченным сотрудником
Дата приема документов   Подпись, фамилия сотрудника, принявшего заявление
Регистрационный номер  
Оформлен паспорт Серия   Номер   Дата оформления  

Приложение N 2
к Административному регламенту
предоставления Федеральной миграционной
службой государственной услуги
по оформлению и выдаче паспортов
гражданина Российской Федерации,
удостоверяющих личность гражданина
Российской Федерации за пределами
территории Российской Федерации

Дело N   Получено в электронном виде с Единого портала государственных и муниципальных услуг и функций

СВЕДЕНИЯ ОБ ИЗМЕНЕНИИ ПЕРСОНАЛЬНЫХ ДАННЫХ

1. Фамилия  
Имя   2. Пол  
    М   Ж
 
Отчество   3. Дата рождения  
4. Предыдущие персональные данные
4.1. Фамилия  
Имя   Пол  
    М   Ж
 
Отчество   Дата смены  
Место смены  
4.2. Фамилия  
Имя   Пол  
    М   Ж
 
Отчество   Дата смены  
Место смены  
4.3. Фамилия  
Имя   Пол  
    М   Ж
 
Отчество   Дата смены  
Место смены  
4.4. Фамилия  
Имя   Пол  
    М   Ж
 
Отчество   Дата смены  
Место смены  
4.5. Фамилия  
Имя   Пол  
    М   Ж
 
Отчество   Дата смены  
Место смены  
    Подпись заявителя
Подпись, фамилия сотрудника,
принявшего заявление
   
Дата заполнения  

Приложение N 2а
к Административному регламенту
предоставления Федеральной миграционной
службой государственной услуги
по оформлению и выдаче паспортов
гражданина Российской Федерации,
удостоверяющих личность гражданина
Российской Федерации за пределами
территории Российской Федерации

Дело N   Получено в электронном виде с Единого портала государственных и муниципальных услуг и функций

СВЕДЕНИЯ О ТРУДОВОЙ ДЕЯТЕЛЬНОСТИ ЗА ПОСЛЕДНИЕ 10 ЛЕТ

1. Фамилия  
Имя  
Отчество   2. Дата рождения  
Месяц и год Должность и место работы, номер войсковой части Адрес организации, войсковой части
поступления увольнения
       
       
       
       
       
    Подпись заявителя
Подпись, фамилия сотрудника,
принявшего заявление
   
Дата заполнения  

Приложение N 2б
к Административному регламенту
предоставления Федеральной миграционной
службой государственной услуги
по оформлению и выдаче паспортов
гражданина Российской Федерации,
удостоверяющих личность гражданина
Российской Федерации за пределами
территории Российской Федерации

Дело N   Получено в электронном виде с Единого портала государственных и муниципальных услуг и функций

СВЕДЕНИЯ О ДЕТЯХ, ГРАЖДАНАХ РОССИЙСКОЙ ФЕДЕРАЦИИ, В ВОЗРАСТЕ ДО 14 ЛЕТ, ДЛЯ ВНЕСЕНИЯ В ПАСПОРТ

1. Фамилия  
Имя   Пол  
    М   Ж
 
Отчество   Дата рождения  
Место рождения  
2. Фамилия  
Имя   Пол  
    М   Ж
 
Отчество   Дата рождения  
Место рождения  
3. Фамилия  
Имя   Пол  
    М   Ж
 
Отчество   Дата рождения  
Место рождения  
4. Фамилия  
Имя   Пол  
    М   Ж
 
Отчество   Дата рождения  
Место рождения  
5. Фамилия  
Имя   Пол  
    М   Ж
 
Отчество   Дата рождения  
Место рождения  
    Подпись заявителя
Подпись, фамилия сотрудника,
принявшего заявление
   
Дата заполнения  

Приложение N 3
к Административному регламенту
предоставления Федеральной миграционной
службой государственной услуги
по оформлению и выдаче паспортов
гражданина Российской Федерации,
удостоверяющих личность гражданина
Российской Федерации за пределами
территории Российской Федерации

Дело N   Получено в электронном виде с Единого портала государственных и муниципальных услуг и функций место для фотографии  
 
 
ЗАЯВЛЕНИЕ О ВЫДАЧЕ ПАСПОРТА НА НЕСОВЕРШЕННОЛЕТНЕГО ГРАЖДАНИНА
1. Фамилия  
Имя   2. Пол    
    М   Ж
         
Отчество   3. Дата рождения  
4. Место рождения  
5. Если ранее имели другие фамилию, имя, отчество, то укажите ниже предыдущие данные          
  Да   Нет  
         
Фамилия  
Имя   Пол          
    М   Ж
         
Отчество   Дата смены  
Место смены  
Дополнительные сведения о предыдущих фамилии, имени, отчестве представлены в Приложении N 2 на " " л.
6. Адрес места жительства
Регион  
Район  
Населенный пункт  
Улица  
Дом   Корпус   Строение   Квартира   Дата регистрации  
7. Адрес    
    места пребывания   фактического проживания
 
Регион  
Район  
Населенный пункт  
Улица  
Дом   Корпус   Строение   Квартира   Срок регистрации с по
8. Основной документ, удостоверяющий личность гражданина Российской Федерации (паспорт, свидетельство о рождении)
Серия   Номер   Дата выдачи    
Кем выдан  
9. Имею заграничный паспорт Серия   Номер   Дата выдачи  
Орган, выдавший паспорт   Подпись несовершеннолетнего
гражданина от 14 до 18 лет
     

Оборотная сторона

Данные законного представителя

10. Фамилия  
Имя   11. Пол    
    М   Ж
         
Отчество   12. Дата рождения  
13. Место рождения  
14. Адрес места жительства
Регион  
Район  
Населенный пункт  
Улица  
Дом   Корпус   Строение   Квартира   Дата регистрации  
15. Адрес    
    места пребывания   фактического проживания
 
Регион  
Район  
Населенный пункт  
Улица  
Дом   Корпус   Строение   Квартира   Срок регистрации с по
16. Телефон   17. Адрес электронной почты (по желанию)  
18. Основной документ, удостоверяющий личность гражданина Российской Федерации (паспорт)
Серия   Номер   Дата выдачи    
Кем выдан  

Я ПРЕДУПРЕЖДЕН(А), ЧТО СООБЩЕНИЕ ЛОЖНЫХ СВЕДЕНИЙ В ЗАЯВЛЕНИИ ИЛИ ПРЕДСТАВЛЕНИЕ ПОДДЕЛЬНЫХ ДОКУМЕНТОВ ВЛЕЧЕТ ОТВЕТСТВЕННОСТЬ, УСТАНОВЛЕННУЮ ЗАКОНОДАТЕЛЬСТВОМ. Я СОГЛАСЕН(НА) С АВТОМАТИЗИРОВАННОЙ ОБРАБОТКОЙ, ПЕРЕДАЧЕЙ И ХРАНЕНИЕМ ДАННЫХ, УКАЗАННЫХ В ЗАЯВЛЕНИИ, В ЦЕЛЯХ ИЗГОТОВЛЕНИЯ, ОФОРМЛЕНИЯ И КОНТРОЛЯ ПАСПОРТА В ТЕЧЕНИЕ СРОКА ЕГО ДЕЙСТВИЯ.

      Подпись законного представителя
Дата подачи
заявления
(заполняется
законным
представителем)
     
Дата получения
паспорта
   
Подпись
законного
представителя
   
Заполняется уполномоченным сотрудником
Дата приема документов   Подпись, фамилия сотрудника, принявшего заявление
Регистрационный номер  
Оформлен паспорт Серия   Номер   Дата оформления  

Приложение N 4
к Административному регламенту
предоставления Федеральной миграционной
службой государственной услуги
по оформлению и выдаче паспортов
гражданина Российской Федерации,
удостоверяющих личность гражданина
Российской Федерации за пределами
территории Российской Федерации

СВЕДЕНИЯ О МЕСТОНАХОЖДЕНИИ, КОНТАКТНЫХ ТЕЛЕФОНАХ, АДРЕСАХ ЭЛЕКТРОННОЙ ПОЧТЫ И ОФИЦИАЛЬНОГО ИНТЕРНЕТ-САЙТА ФМС РОССИИ И ЕЕ ТЕРРИТОРИАЛЬНЫХ ОРГАНОВ

N п/п Наименование органа Адрес Телефон справочной службы Адрес электронной почты, официального сайта
1 УФМС России по г. Москве 115035, г. Москва, ул. Б. Ордынка, д. 16, стр. 4 8(495) 230-72-24 8(495) 230-72-64 www.fmsmoscow.ru
2 ОФМС России по Республике Адыгея 385006, г. Майкоп, ул. Калинина, д. 210В 8(8772) 52-31-34 www.ofmsra.ucoz.ru pdm_ra@rambler.ru
3 ОФМС России по Республике Алтай 649002, г. Горно-Алтайск, пр-т Коммунистический, д. 109 8(38822) 6-20-12 8(38822) 6-15-46 http://fms-ra.ru pdmra@mail.gorny.ru
4 УФМС России по Республике Башкортостан 450077, г. Уфа, ул. Пушкина, д. 63 8(347) 250-13-68 8(347) 250-13-90 http://www.fmsrb.ru ufmsrb@ufanet.ru, pressa@fmsrb.ru
5 УФМС России по Республике Бурятия 670009, г. Улан-Удэ, пос. Матросова, ул. Николая Нищенко, д. 19 8(3012) 55-92-53 http://www.ufmsrb.ru info@ufmssrb.ru
6 УФМС России по Республике Дагестан 367015, г. Махачкала, ул. Ирчи Казака, д. 2А 8(8722) 62-19-55 http://www.fmsrd.ru ufmsdag@fmsrd.ru
7 ОФМС России по Республике Ингушетия 386101, г. Назрань, пер. Ингушский, д. 2 8(8732) 22-13-45 udmmvd@mail.ru http://www.ofmsing.ru
8 УФМС России по Кабардино-Балкарской Республике 360004, г. Нальчик, ул. Ногнова, д. 64А 8(8662) 77-75-36 http://www.ufmskbr.ru ufms_kbr@mail.ru
9 ОФМС России по Республике Калмыкия 358009, г. Элиста, 3 микрор-н, д. 23 8(84722) 3-67-73 http://www.fms08.ru info@fms08.ru
10 ОФМС России по Карачаево-Черкесской Республике 369000, г. Черкесск, ул. Пушкинская, д. 83 8(8782) 29-27-85 http://ofms.kchr09.ru ofms_kchr@mail.ru
11 УФМС России по Республике Карелия 185005, г. Петрозаводск, пр. Александра Невского, д. 17 8(8142) 79-66-18, 8(8142) 59-95-00 http://ufms.karelia.ru migrazia@onego.ru
12 УФМС России по Республике Коми 167983, г. Сыктывкар, ул. Советская, д. 63А 8(8212) 20-27-06 8-800-100-1560 http://www.fms.rkomi.ru fms-komi@mail.ru
13 УФМС России по Республике Марий Эл 424000, г. Йошкар-Ола, ул. Волкова, д. 103А 8(8362) 68-02-13 http://fms.gov12.ru ufmsrme@yandex.ru
14 УФМС России по Республике Мордовия 430003, г. Саранск, пр-т Ленина, д. 30А 8(8342) 47-85-12 www.fmsrm.ru sarpvs@mail.ru
15 УФМС России по Республике Саха (Якутия) 677005, г. Якутск, ул. Кулаковского, д. 26 8(4112) 35-17-56 8(4112) 35-18-08 8(4112) 35-17-72 8(4112) 43-36-48 http://ufms.ykt.ru fmsykt@mail.ru
16 УФМС России по Республике Северная Осетия - Алания 362040, г. Владикавказ, ул. Тхапсаева, д. 4 8(8672) 54-73-57 8(8672) 54-94-82 8(8672) 54-14-26 8(8672) 40-36-13 http://www.ufmsosetia.ru ufms@ufmsosetia.ru
17 УФМС России по Республике Татарстан 420012, г. Казань, ул. Чехова, д. 8/2 8(843) 231-12-12 8(843) 231-12-52 ufms@tatar.ru http://www.ufms.tatarstan.ru
18 ОФМС России по Республике Тыва 667005, г. Кызыл, ул. Ленина, д. 64 8(39422) 2-32-90 8(39422) 3-24-87 http://ofmstuva.ru ofms@tuva.ru
19 УФМС России по Удмуртской Республике 426033, г. Ижевск, ул. Песочная, д. 3, корп. 23 8(3412) 41-18-01 http://www.fms-udm.ru mail@fms-udm.ru
20 УФМС России по Республике Хакасия 655017, г. Абакан, ул. Ленина, д. 70А 8(39022) 2-37-02 8(39022) 2-76-72 http://www.fms19.ru mail@fms19.ru common@fms19.ru
21 УФМС России по Чеченской Республике 364060, г. Грозный, ул. Тухачевского, д. 11А 8(8712) 33-21-29 http://ufmschr.ru ufms-95@mail.ru
22 УФМС России по Чувашской Республике 428000, г. Чебоксары, ул. К. Маркса, д. 44 8(8352) 62-08-15 8(8352) 62-90-66 8(8352) 62-53-30 www.fmsch.cap.ru fms_21@mail.ru
23 УФМС России по Алтайскому краю 656056, г. Барнаул, Комсомольский пр-т, д. 13 8(3852) 24-97-53 http://www.fms-altay.ru updmak@rambler.ru
24 УФМС России по Забайкальскому краю 672000, г. Чита, ул. Ингодинская, д. 72 8(3022) 35-32-01 8(3022) 26-79-90 http://ufms.chita.ru chita@ufms.megalink.ru
25 УФМС России по Камчатскому краю 683024, г. Петропавловск-Камчатский, пр-т 50 лет Октября, д. 23/2 8(4152) 26-55-01 8(4152) 23-10-83 http://www.fmskam.ru fmskam@mail.ru
26 УФМС России по Краснодарскому краю 350020, г. Краснодар, ул. Красная, д. 176 8(861) 255-85-06 http://www.ufmskrn.ru ufmskrn@yandex.ru
27 УФМС России по Красноярскому краю 660017, г. Красноярск, ул. Дзержинского, д. 18 8(391) 245-92-90 8(391) 201-42-37 ufms-kras@mail.ru http://www.krasufms.ru
28 УФМС России по Пермскому краю 614990, г. Пермь, Комсомольский пр-т, д. 34Б 8(342) 237-78-21 8(342) 237-75-50 http://www.permufms.ru upvsuvd@permregion.ru
29 УФМС России по Приморскому краю 690002, г. Владивосток, ул. Мельниковская, д. 101 8(4232) 45-19-18 8(4232) 44-65-54 http://www.fmspk.ru ufmspk@yandex.ru
30 УФМС России по Ставропольскому краю 355035, г. Ставрополь, пр. Кулакова, д. 4а 8(8652) 56-54-52 8(8652) 56-40-04 http://www.ufmssk.ru ufmssk@ufmssk.ru
31 УФМС России по Хабаровскому краю 680000, г. Хабаровск, ул. Союзная, д. 64 8(4212) 52-09-03 8(4212) 56-91-72 http://www.ufms.khv.ru migraciya@mail.kht.ru smi.ufmskhb@mail.ru
32 УФМС России по Амурской области 675002, г. Благовещенск, ул. Чайковского, д. 2 8(4162) 52-42-69 8(4162) 53-32-45 8(4162) 59-90-02 http://www.fmsamur.ru info@fmsamur.ru
33 УФМС России по Архангельской области 163000, г. Архангельск, ул. Гайдара, д. 55, к. 2 8(8182) 411-740 http://ufmsarh.ru fms-29@mai.ru
34 УФМС России по Астраханской области 414000, г. Астрахань, ул. Калинина, д. 25 8(8512) 51-57-29 8(8512) 51-03-73 http://www.ufms-astrakhan.ru ufms_astr@mail.ru
35 УФМС России по Белгородской области 308600, г. Белгород, ул. Князя Трубецкого, д. 32 8(4722) 27-17-85 8(4722) 27-44-27 http://www.ufms31.ru belfms@mail.ru
36 УФМС России по Брянской области 241050, г. Брянск, Пионерская, д. 26 8(4832) 74-24-57 http://www.ufms-bryansk.ru ufms-bryansk@ya.ru
37 УФМС России по Владимирской области 600020, г. Владимир, ул. Б. Нижегородская, д. 80Б 8(4922) 32-60-10 http://www.fms33.ru ufmsvo33@mail.ru
38 УФМС России по Волгоградской области 400131, г. Волгоград, ул. Рокоссовского, д. 10 8(8442) 33-83-23 http://www.fmsvolg.ru fmsvolg@ya.ru
39 УФМС России по Вологодской области 160009, г. Вологда, ул. Мальцева, д. 54 8(8172) 76-34-36 8(8172) 76-36-80 http://www.ufms35.ru ufms35@mail.ru
40 УФМС России по Воронежской области 394030, г. Воронеж, ул. 9 Января, д. 54 8(4732) 277-68-22 8(4732) 276-66-98 http://www.fmsvrn.ru fms.vrn@mail.ru
41 УФМС России по Ивановской области 153002, г. Иваново, ул. Октябрьская, д. 22А 8(4932) 37-54-86 8(4932) 30-87-33 http://www.ufmsivanovo.ru ivanovomgr@mail.ru
42 УФМС России по Иркутской области 664003, г. Иркутск, ул. Киевская, д. 1 8(3952) 484-500 8(3952) 484-504 http://www.ufms.irkutsk.ru post@ufms.irkutsk.ru
43 УФМС России по Калининградской области 236000, г. Калининград, Советский пр-т, д. 13 8(4012) 56-38-04 8(4012) 60-22-55 8(4012) 56-39-90 http://www.fms39.ru rigfms@mail.ru
44 УФМС России по Калужской области 248002, г. Калуга, ул. Салтыкова-Щедрина, д. 21 8(4842) 50-67-44 8(4842) 57-59-37 http://www.fms40.ru fms@kaluga.ru fmsklg@yandex.ru
45 УФМС России по Кемеровской области 650000, г. Кемерово, ул. Островского, д. 13 8(3842) 75-59-59 8(3842) 36-58-45 8(3842) 75-88-00 http://www.ufmsko.ru fmsko@rambler.ru info@rambler.ru
46 УФМС России по Кировской области 610000, г. Киров, ул. Ленина, д. 71А 8(8332) 35-58-77 8(8332) 38-39-09 8(8332) 37-50-08 http://www.fms43.ru smi@fms43.ru
47 УФМС России по Костромской области 156603, г. Кострома, ул. Петра Щербины, д. 4 8(4942) 42-13-11 8(4942) 35-15-71 8(4942) 55-27-81 8(4942) 45-02-41 8(4942) 42-23-72 http://fms-k.ru mail@fms-k.ru
48 УФМС России по Курганской области 640026, г. Курган, ул. Советская, д. 128 8(352-2) 49-45-37 http://fms45.ru fms@acmetelecom.ru
49 УФМС России по Курской области 305016, г. Курск, ул. Чехова, д. 12А 8(4712) 70-06-61 8(4712) 54-77-36 8(4712) 52-84-46 http://www.fms.kursk.ru umfapk@mail.ru ufmsodir@mail.ru
50 УФМС России по Липецкой области 398043, г. Липецк, пр. Осенний, д. 4 8(4742) 35-84-89 8(4742) 35-84-94 http://ufms48.ru ufms@lipetsk.ru
51 ОФМС России по Магаданской области 685000, г. Магадан, ул. Пролетарская, д. 39, корп. 2 8(4132) 696-312 8(4132) 609-200 http://www.fms-magadan.ru fms_magadan@maglan.ru
52 УФМС России по Московской области 140053, Московская обл., Люберецкий район, г. Котельники, Новорязанское шоссе, д. 4 8(495) 559-80-22 http://www.fmsmo.ru MolodievskyOA@fmsmo.ru pressfmsmo@yandex.ru oapkfmsmo@mail.ru
53 УФМС России по Мурманской области 183027, г. Мурманск, ул. Куйбышева, д. 12 8(8152) 25-00-09 8(8152) 25-78-88 http://ufms.govmurman.ru udm@polarnet.ru
54 УФМС России по Нижегородской области 603094, г. Нижний Новгород, Юбилейный бульвар, д. 32 8(831) 296-60-01 8(831) 296-60-02 8(831) 299-91-91 http://fmsnnov.ru post@ufms.nnov.ru
55 УФМС России по Новгородской области 173016, г. Великий Новгород, ул. Менделеева, д. 4А 8(8162) 97-12-50 8(8162) 97-12-81 http://www.novufms.ru ufms_no@mail.ru
56 УФМС России по Новосибирской области 630015, г. Новосибирск, ул. Проспект Дзержинского, 12/2 8(383) 278-06-06 8(383) 232-62-05 8(383) 232-62-13 8(383) 232-62-14 8(383) 279-02-35 http://www.fmsnso.ru mail@fms-nso.ru
57 УФМС России по Омской области 644009, г. Омск, ул. Лермонтова, д. 179А 8(3812) 36-96-30 http://www.ufms.omsk.ru udm_omsk@mail.ru
58 УФМС России по Орловской области 302025, г. Орел, Московское шоссе, д. 120 8(4862) 73-81-64 8(4862) 75-70-07 8(4862) 75-70-00 http://www.fmsorel.ru ufms_orel@mail.ru
59 УФМС России по Оренбургской области 460000, г. Оренбург, пер. Матросский, д. 19 8(3532) 34-22-06 8(3532) 77-12-59 8(3532) 34-22-00 http://www.ufmsoren.ru oren-fms@yandex.ru
60 УФМС России по Пензенской области 440018, г. Пенза, ул. Суворова, д. 219 8(8412) 20-23-70 8(8412) 48-00-60 8(8412) 48-03-97 8(8412) 20-24-89 8(8412) 20-24-95 http://www.fmspenza.ru secr@fmspenza.ru priemnaya@fmspenza.ru
61 УФМС России по Псковской области 180007, г. Псков, ул. Петровская, д. 51 8(8122) 69-84-44 8(8122) 69-84-15 http://www.ufms.pskov.ru inform@ufms.pskoru
62 УФМС России по Ростовской области 344082, г. Ростов-на-Дону, ул. Обороны, д. 8 8(863) 249-15-07 8(863) 249-15-47 http://www.fms-rostov.ru info@fms-rostov.ru
63 УФМС России по Рязанской области 390000, г. Рязань, ул. Ленина, д. 49 8(4912) 28-08-23 http://www.ufms-rzn.ru ufms.rzn@mail.ru
64 УФМС России по Самарской области 443010, г. Самара, ул. Фрунзе, д. 112 8(846) 333-43-01 http://www.ufms63.ru ufms63@samtel.ru
65 УФМС России по Санкт-Петербургу и Ленинградской области 191028, г. Санкт-Петербург, ул. Кирочная, д. 4 8(812) 579-47-92 8(812) 273-22-46 http://www.ufms.spb.ru ufmsspblo@fms.peter.uvd. gov.spb.ru
66 УФМС России по Саратовской области 410012, г. Саратов, пр. 50 лет Октября, д. 108У 8(8452) 39-17-00 8(8452) 39-17-77 http://www.ufms-saratov.ru info@ufms-saratov.ru ufmssar@mail.ru
67 УФМС России по Сахалинской области 693001, г. Южно-Сахалинск, пр-т Мира, д. 56/6 8(4242) 78-05-23 http://www.sakhfms.ru mail@sakhfms.ru
68 УФМС России по Свердловской области 620028, г. Екатеринбург, ул. Крылова, д. 2 8(343) 216-26-00 www.ufms-ural.ru Urfo1@yandex.ru
69 УФМС России по Смоленской области 214004, г. Смоленск, ул. Багратиона, д. 13А 8(4812) 35-39-27 http://www.ufms67.ru ufms67@gmail.com
70 УФМС России по Тамбовской области 392018, г. Тамбов, ул. Маяковского, д. 3 8(4752) 56-23-68 8(4752) 56-01-18 8(4752) 53-03-01 http://fms.tambov.gov.ru tamufms@rambler.ru
71 УФМС России по Тверской области 170100, г. Тверь, ул. Вагжанова, д. 13 8(4822) 32-28-83 8(4822) 52-00-44 http://www.tver-ufms.ru updmtver@tvcom.ru
72 УФМС России по Томской области 634009, г. Томск, пр. Ленина, д. 122 8(3822) 51-73-25 http://www.ufms.tomsk.gov.ru pvsuvd@tomsk.gov.ru
73 УФМС России по Тульской области 300045, г. Тула, ул. Фридриха Энгельса, д. 137 8(4872) 21-14-14 http://www.fms-tula.ru info@fms-tula.ru
74 УФМС России по Тюменской области 625000, г. Тюмень, ул. Республики, д. 55 8(3452) 50-04-37 http://www.ufms72.ru ufmstyumen@mail.ru
75 УФМС России по Ульяновской области 432049, г. Ульяновск, ул. Радищева, д. 39 8(8422) 39-90-03 http://www.ufms.region73.ru ufms73@mail.ru
76 УФМС России по Челябинской области 454000, г. Челябинск, ул. Елькина, д. 36 8(351) 239-10-15 8(800) 200-12-55 http://www.fmschel.ru qfms@fmschel.su
77 УФМС России по Ярославской области 150000, г. Ярославль, ул. Собинова, д. 48 8(4852) 73-03-58 8(4852) 72-95-11 http://www.ufmsyar.ru ufmsyo@mail.ru
78 ОФМС России по Еврейской автономной области 679015, г. Биробиджан, ул. Широкая, д. 6А 8(42622) 4-55-83 8(42622) 6-29-05 http://www.fmseao.ru ofms_eao@fmseao.ru
79 ОФМС России по Ненецкому автономному округу 166000, Архангельская обл., Ненецкий АО, г. Нарьян-Мар, ул. Ненецкая, д. 20 8(81853) 4-57-10 8(81853) 4-86-70 http://fms-nao.ru federal1178@mail.ru
80 УФМС России по Ханты-Мансийскому автономному округу - Югре 628012, Тюменская обл., г. Ханты-Мансийск, ул. Чехова, д. 12А 8(3467) 39-83-22 8(3467) 39-81-36 http://www.ufms86.ru ufms86@mail.ru
81 ОФМС России по Чукотскому автономному округу 698000, г. Анадырь, ул. Энергетиков, д. 7 8(42722) 2-40-09 8(42722) 2-44-16 http://fms.chukotka.ru passport@anadyr.ru
82 УФМС России по Ямало-Ненецкому автономному округу 629008, Тюменская обл., г. Салехард, ул. Зои Космодемьянской, д. 35 8(34922) 3-59-52 8(34922) 3-55-55 http://ufms-yanao.ru ufmsyanao@yandex.ru

Приложение N 5
к Административному регламенту
предоставления Федеральной миграционной
службой государственной услуги
по оформлению и выдаче паспортов
гражданина Российской Федерации,
удостоверяющих личность гражданина
Российской Федерации за пределами
территории Российской Федерации

УСЛОВНЫЕ ОБОЗНАЧЕНИЯ БЛОК-СХЕМЫ ПРЕДОСТАВЛЕНИЯ ГОСУДАРСТВЕННОЙ УСЛУГИ

БЛОК-СХЕМА ПРЕДОСТАВЛЕНИЯ ГОСУДАРСТВЕННОЙ УСЛУГИ ФМС РОССИИ В ПРЕДЕЛАХ КОМПЕТЕНЦИИ, ЕЕ ТЕРРИТОРИАЛЬНЫМИ ОРГАНАМИ ИЛИ ПОДРАЗДЕЛЕНИЕМ

Приложение N 6
к Административному регламенту
предоставления Федеральной миграционной
службой государственной услуги
по оформлению и выдаче паспортов
гражданина Российской Федерации,
удостоверяющих личность гражданина
Российской Федерации за пределами
территории Российской Федерации

ЖУРНАЛ УЧЕТА ЗАЯВЛЕНИЙ ГРАЖДАН <1>

____________________________________________
(наименование подразделения)

N п/п Регистрационный N Дата приема заявления Фамилия, имя и отчество гражданина
       
       
       
       
       

<1> Порядковый номер по журналу является номером выданной справки о приеме документов. Журнал должен быть прошнурован, пронумерован и скреплен печатью и подписью сотрудника подразделения делопроизводства (секретариата, канцелярии).

Приложение N 7
к Административному регламенту
предоставления Федеральной миграционной
службой государственной услуги
по оформлению и выдаче паспортов
гражданина Российской Федерации,
удостоверяющих личность гражданина
Российской Федерации за пределами
территории Российской Федерации

                                               (примерный образец)
 
Штамп подразделения
 
"__" ________________ 20__ г.
 
                    Справка N ________________
 
    Дана _________________________________________________________
                             (Ф.И.О. заявителя)
в том, что _______________________________________________________
                           (дата приема заявления)
от   гражданина   Российской   Федерации   принято  к рассмотрению
заявление  о  выдаче  паспорта  гражданина  Российской  Федерации,
удостоверяющего   личность   гражданина   Российской  Федерации за
пределами территории Российской Федерации.
 
___________________________________________________ ______________
(должность, ФИО сотрудника территориального органа,    (подпись)
             подразделения ФМС России)
 
 
 

Приложение N 8
к Административному регламенту
предоставления Федеральной миграционной
службой государственной услуги
по оформлению и выдаче паспортов
гражданина Российской Федерации,
удостоверяющих личность гражданина
Российской Федерации за пределами
территории Российской Федерации

Штамп подразделения
"__" ___________ 20__ г.
N _________________
 
                         Кому ____________________________________
                              (наименование военного комиссариата)
                         _________________________________________
                         _________________________________________
                         _________________________________________
 
                            ЗАПРОС
 
    В соответствии с подпунктом 2 статьи 15 Федерального закона "О
порядке  выезда  из  Российской  Федерации  и  въезда в Российскую
Федерацию"  в  связи  с предоставлением ФМС России государственной
услуги  по  оформлению  и  выдаче  гражданам  Российской Федерации
паспорта гражданина Российской Федерации, удостоверяющего личность
гражданина Российской Федерации за пределами территории Российской
Федерации, прошу предоставить сведения о призыве на военную службу
либо направлении на альтернативную гражданскую службу гражданина
Фамилия __________________________________________________________
Имя ______________________________________________________________
Отчество (при наличии) ___________________________________________
Дата рождения: день _____ месяц ______ год ________
Место рождения ___________________________________________________
Место жительства:
Субъект ____________________ Район _______________________________
Населенный пункт ___________ Улица _______________________________
Дом _______ Корпус _________ Строение ______ Квартира ____________
Место    пребывания/место    фактического    проживания  (ненужное
зачеркнуть)
Субъект ____________________ Район _______________________________
Населенный пункт ___________ Улица _______________________________
Дом ______ Корпус __________ Строение ______ Квартира ____________
Дата приема заявления: _____
 
Руководитель _____________________________________________________
              (подпись, ФИО руководителя подразделения ФМС России)
 
             М.П.
 
ФИО исполнителя
телефон
адрес электронной почты
 
 
 

Приложение N 9
к Административному регламенту
предоставления Федеральной миграционной
службой государственной услуги
по оформлению и выдаче паспортов
гражданина Российской Федерации,
удостоверяющих личность гражданина
Российской Федерации за пределами
территории Российской Федерации

ТАБЛИЧНЫЙ ОПИСАТЕЛЬ ДОКУМЕНТА "ЗАПРОС О ВЫДАННЫХ ПАСПОРТАХ ГРАЖДАНИНА РОССИЙСКОЙ ФЕДЕРАЦИИ, УДОСТОВЕРЯЮЩИХ ЛИЧНОСТЬ ГРАЖДАНИНА РОССИЙСКОЙ ФЕДЕРАЦИИ ЗА ПРЕДЕЛАМИ ТЕРРИТОРИИ РОССИЙСКОЙ ФЕДЕРАЦИИ В АС "РОССИЙСКИЙ ПАСПОРТ"

РАЗДЕЛИТЕЛИ ДОКУМЕНТОВ:

Начало документа - '((('

Код документа - 111333

Конец документа - ')))'

Конец реквизита - '/'

Ограничитель номера реквизита - ':'

Структура документа следующая:

поисковые данные, служебное слово для определения вида поиска, наименование региона и дата составления запроса.

Служебное слово, определяющее вид поиска:

ФИО - фамилия, имя, отчество;

СНП - серия, номер документа;

Наименование реквизита Код реквизита Признак обязательности Признак словарного контроля Длина реквизита
Фамилия 1 Да Нет 30
Имя 2 Да Нет 30
Отчество 3 Да Нет 30
Дата рождения 4 Да Нет 8
Серия 5 Да Нет 2
Номер 6 Да Нет 7
Служебный код 7 Да Нет 7
Наименование региона 8.1 Да Да 23
Инициатор запроса 8.2 Нет Нет 30
Дата запроса 9 Да Нет 8

Формат документов:

ПОФАМИЛЬНЫЙ ЗАПРОС:

(((111333/1:ФАМИЛИЯ/2:ИМЯ/3:ОТЧЕСТВО/4:ДАТА РОЖДЕНИЯ/7:СЛУЖЕБНЫЙ

КОД/8:НАИМЕНОВАНИЕ РЕГИОНА ВЫСЛАВШЕГО ЗАПРОС,инициатор запроса/

9:ДАТА СОСТАВЛЕНИЯ ЗАПРОСА/)))

ПРИМЕР ЗАПОЛНЕНИЯ ЗАПРОСА:

(((111333/1:ИВАНОВ/2:ИВАН/3:ИВАНОВИЧ/4:01011999/7:ФИО/8:МОСКОВСКАЯ,ОВД Г КЛИН/9:01012000/)))

ЗАПРОС ПО СЕРИИ И НОМЕРУ ДОКУМЕНТА:

(((111333/5:СЕРИЯ ДОКУМЕНТА/6:НОМЕР ДОКУМЕНТА/7:СЛУЖЕБНЫЙ КОД/8:

НАИМЕНОВАНИЕ РЕГИОНА ВЫСЛАВШЕГО ЗАПРОС,инициатор запроса/

9:ДАТА СОСТАВЛЕНИЯ ЗАПРОСА/)))

ПРИМЕР ЗАПОЛНЕНИЯ ЗАПРОСА:

(((111333/5:43/6:1234567/7:СНП/8:МОСКОВСКАЯ,ОВД КЛИН ФЕДОРОВ/9:01012000/)))

Примечание:

1. Начало документа должно быть всегда расположено в первой позиции (отступ слева исключен).

2. Реквизит 7 в пофамильном запросе заполняется - ФИО, в запросе по серии и номеру документа - СНП.

3. При отсутствии реквизита 3 (отчество) ставить слово - "НЕТ". Не допускается неполное заполнение даты рождения и даты составления запроса пример: 00001900.

4. Длина одной строки запроса должна составлять не более 70 символов. Запрос заполняется только заглавными буквами.

5. Строка документа не должна заканчиваться пробелом (в случае, если строка заканчивается пробелом, его следует вставить в начале следующей строки).

6. Реквизиты 4 (дата рождения) и 9 (дата составления запроса) состоят из 8 символов (число, месяц, год) пример: 01012000.

7. Количество запросов в файле не более 50 штук. Файл с запросами не архивировать.

8. При наличии у проверяемого лица нескольких фамилий запрос формируется на каждую фамилию отдельно (читай имена, отчества).

9. Если текст запроса набиваете в текстовом редакторе Word, то сохранять файл следует как "текст DOS с разбиением на строки".

ПЕРЕЧЕНЬ ТЕРМИНОВ, ИСПОЛЬЗУЕМЫХ ПРИ ЗАПОЛНЕНИИ ДОКУМЕНТА

"НАИМЕНОВАНИЕ СЛУЖБЫ"  
     
ФМС    
  "ПОЛ"  
МУЖ    
ЖЕН    
  "ПРИЧИНА ОБРАЩЕНИЯ"  
     
ВЫДАН    
ВПИСАН    

Приложение N 10
к Административному регламенту
предоставления Федеральной миграционной
службой государственной услуги
по оформлению и выдаче паспортов
гражданина Российской Федерации,
удостоверяющих личность гражданина
Российской Федерации за пределами
территории Российской Федерации

Штамп подразделения
"__" ___________ 20__ г.
N _________________
 
                         Кому ____________________________________
                         _________________________________________
                         _________________________________________
                         _________________________________________
 
В ________________________________________________________________
  (наименование территориального органа ФМС России, структурного
                         подразделения)
с  заявлением  о  выдаче паспорта гражданина Российской Федерации,
удостоверяющего   личность   гражданина   Российской  Федерации за
пределами    территории    Российской    Федерации,    по    месту
пребывания/фактического     проживания     (ненужное   зачеркнуть)
обратился(ась) гражданин(ка) _____________________________________
___________________________________________________ года рождения,
                  (ФИО заявителя)
уроженец(ка) ____________________________________________________.
    Прошу проверить гр. __________________________________________
    1.  По   учетам   ИЦ   территориальных  органов  МВД России на
        региональном уровне.
    2.  Адресно-справочным учетам территориального органа.
    3.  Если  выдавался  паспорт  гражданина Российской Федерации,
        удостоверяющий личность гражданина  Российской   Федерации
        за пределами территории Российской Федерации (в  том числе
        содержащий  электронный  носитель   информации),   указать
        данные документа и дату его выдачи.
 
Руководитель _____________________________________________________
               (наименование отдела, отделения территориального 
                        органа ФМС России, подразделения)
__________________________________              __________________
    (специальное звание, ФИО)                        (подпись)
 
ФИО исполнителя
телефон
адрес электронной почты
 
 
 

Приложение N 11
к Административному регламенту
предоставления Федеральной миграционной
службой государственной услуги
по оформлению и выдаче паспортов
гражданина Российской Федерации,
удостоверяющих личность гражданина
Российской Федерации за пределами
территории Российской Федерации

Штамп подразделения
"__" ___________ 20__ г.
N _________________
 
                         Кому ____________________________________
                         _________________________________________
                         _________________________________________
                         _________________________________________
 
  На N ______ от "__" ____________ 20__ г.
 
  Сообщаю, что гр. _______________________________________________
                               (фамилия, имя, отчество)
__________________________________________________, года рождения:
    1.   По   учетам   ИЦ   территориальных  органов МВД России на
региональном   уровне   сведений   не   имеется/имеются  (ненужное
зачеркнуть).
    (При  наличии  оснований, предусмотренных Федеральным законом,
которые  могут  повлечь  временное ограничение права гражданина на
выезд из Российской Федерации, направить основания).
    2.   По   имеющимся   сведениям   отдела   (отделения, группы)
адресно-справочной работы
__________________________________________________________________
          (наименование территориального органа ФМС России)
зарегистрирован,   снят   с   регистрационного   учета   по  месту
жительства,  пребывания,  не  значится  (ненужное зачеркнуть) "__"
__________ ____ г., по адресу:
__________________________________________________________________
    (область (край, республика), район, город (населенный пункт))
ул. ________________, дом N ________, корп. __________, кв. ______
    3.   Сведения   о   паспорте  гражданина Российской Федерации,
удостоверяющем   личность   гражданина   Российской   Федерации за
пределами  территории Российской Федерации (в том числе содержащем
электронный носитель информации):
серия _________ номер __________ дата выдачи "__" ________ ____ г.
код подразделения _____________
 
Приложение: ________________
 
Руководитель _____________________________________________________
               (наименование территориального органа ФМС России,
                                подразделения)
__________________________________             ___________________
     (специальное звание, ФИО)                      (подпись)
 
ФИО исполнителя
телефон
адрес электронной почты
 
 
 

Приложение N 12
к Административному регламенту
предоставления Федеральной миграционной
службой государственной услуги
по оформлению и выдаче паспортов
гражданина Российской Федерации,
удостоверяющих личность гражданина
Российской Федерации за пределами
территории Российской Федерации

ОБРАЗЕЦ ШТАМПА ОБ ОФОРМЛЕНИИ И (ИЛИ) ВЫДАЧЕ ПАСПОРТА

       
    Разрешить оформление и    
    (или) выдачу паспорта    
         
  (наименование подразделения)  
         
         
  (подпись руководителя)  
         
    "__" ____________ 20__ г.    
         

(размер 60 x 50 мм)

Образец штампа об отказе в оформлении и (или) выдаче паспорта

       
  Отказать в оформлении и (или) выдаче  
    паспорта    
  на основании подпункта ______________  
  статьи __________ Федерального закона  
  от 15 августа 1996 г. N 114-ФЗ  
  "О порядке выезда из Российской Федерации и  
  въезда в Российскую Федерацию"  
         
  (наименование подразделения)  
         
         
  (подпись руководителя)  
         

(размер 60 x 50 мм)

Приложение N 13
к Административному регламенту
предоставления Федеральной миграционной
службой государственной услуги
по оформлению и выдаче паспортов
гражданина Российской Федерации,
удостоверяющих личность гражданина
Российской Федерации за пределами
территории Российской Федерации

                                               (примерный образец)
 
                                       Ф.И.О. заявителя,
                               адрес места жительства (пребывания)
 
                         УВЕДОМЛЕНИЕ
 
    На  основании подпункта _________ статьи ________ Федерального
закона  от  15  августа  1996  г.  N  114-ФЗ  "О порядке выезда из
Российской Федерации и въезда в Российскую Федерацию" Вам отказано
в   оформлении   и/или   выдаче   паспорта   гражданина Российской
Федерации,    удостоверяющего    личность    гражданина Российской
Федерации  за  пределами территории Российской Федерации (ненужное
зачеркнуть).
__________________________________________________________________
__________________________________________________________________
__________________________________________________________________
__________________________________________________________________
__________________________________________________________________
(Срок   ограничения,   дата   и   регистрационный номер решения об
ограничении,  полное наименование и юридический адрес организации,
принявшей  на  себя  ответственность  за ограничение права данного
гражданина на выезд из Российской Федерации)
 
Руководитель _____________________________________________________
               (наименование территориального органа ФМС России,
                              подразделения)
__________________________________             ___________________
    (специальное звание, ФИО)                       (подпись)
 
"__" _____________ 20__ г.             М.П. <1>
 

<1> Проставляется печать территориального органа ФМС России, структурного подразделения.      

Приложение N 14
к Административному регламенту
предоставления Федеральной миграционной
службой государственной услуги
по оформлению и выдаче паспортов
гражданина Российской Федерации,
удостоверяющих личность гражданина
Российской Федерации за пределами
территории Российской Федерации

                                               (примерный образец)
 
                                       Ф.И.О. заявителя,
                               адрес места жительства (пребывания)
 
    Для   получения   паспорта   гражданина  Российской Федерации,
удостоверяющего   личность   гражданина   Российской  Федерации за
пределами   территории   Российской   Федерации,   Вам  необходимо
обратиться в _____________________________________________________
__________________________________________________________________
__________________________________________________________________
    (наименование, адрес территориального органа ФМС России, 
             подразделения, приемные дни и часы
__________________________________________________________________
                       приема, ФИО сотрудника)
 
Руководитель _____________________________________________________
               (наименование территориального органа ФМС России,
                              подразделения)
__________________________________             ___________________
    (специальное звание, ФИО)                       (подпись)
 
"__" _____________ 20__ г.             М.П. <1>
 
ФИО исполнителя
телефон
 

<1> Проставляется печать территориального органа ФМС России, структурного подразделения.      

Приложение N 15
к Административному регламенту
предоставления Федеральной миграционной
службой государственной услуги
по оформлению и выдаче паспортов
гражданина Российской Федерации,
удостоверяющих личность гражданина
Российской Федерации за пределами
территории Российской Федерации

ПРАВИЛА ФОРМИРОВАНИЯ МАШИНОЧИТАЕМОЙ ЗОНЫ ПАСПОРТА

Машиночитаемая зона (МЧЗ) включает в себя две строки. Данные в машиночитаемых зонах располагаются слева направо и представляют собой поля фиксированной длины, скомпонованные в установленном порядке:

Структура данных первой машиночитаемой строки

Позиция знаков МЧЗ Номер поля Элемент данных Требования Количество знаков
1 - 2 03 Тип документа Символы, идентифицирующие тип документа | 2
3 - 5 04 Государство выдачи Вносится "RUS" 3
6 - 44 06 07 Фамилия Имя Заполняется с использованием модернизированного клера. Двойные или сложные фамилии разделяются символом "<", апострофы исключаются. Разделителем фамилии и имени (имен) является два символа "<<". Если фамилия, имя (имена) владельца менее 44 символов, то незанятые позиции заполняются знаками - заполнителями. Если количество знаков, предусмотренных для фамилии и имени, является недостаточным, должны впечатываться предпочтительные имена, могут использоваться инициалы или соответствующие сокращения. 39

Структура данных второй машиночитаемой строки

Позиция знаков МЧЗ Номер поля Элемент данных Требования Количество знаков
1 - 9 05 Номер документа Записывается серия и номер паспорта единым 9-значным числом.
Например: 62 N 1234567 записывается в МЧЗ как: 621234567
9
10   Контрольная цифра При подсчете используются позиции номера документа. Смотри правила подсчета контрольной цифры. 1
11 - 13 08 Гражданство Заполняется "RUS". 3
14 - 19 10 Дата рождения Формат YYMMDD,
YY - год (2 позиции),
MM - месяц (2 позиции),
DD - день (2 позиции).
В случаях, когда дата полностью неизвестна, отсутствующие данные заполняются символом "<".
6
20   Контрольная цифра При подсчете используются позиции даты рождения. Смотри правила подсчета контрольной цифры. 1
21 12 Пол M - мужской; F - женский. 1
22 - 27 14 Дата окончания срока действия Формат YYMMDD,
YY - год (2 позиции),
MM - месяц (2 позиции),
DD - день (2 позиции).
6
28   Контрольная цифра При подсчете используются позиции даты окончания срока действия. Смотри правила подсчета контрольной цифры. 1
29 - 42 09 Личный код Если нет, заполняется символ "<". 14
43   Контрольная цифра При подсчете используются позиции личного кода. Смотри правила подсчета контрольной цифры. 1
44   Заключительная контрольная цифра Смотри правила подсчета контрольной цифры. 1

Правила формирования контрольных цифр

Структура данных второй машиночитаемой строки предусматривает включение пяти контрольных цифр, по одной для каждой из следующих серий знаков и цифровых элементов данных на позициях 10, 20, 28, 43 и 44.

Позиции знаков Элемент данных
1 - 9 Номер документа
10 Контрольная цифра
14 - 19 Дата рождения
20 Контрольная цифра
22 - 27 Дата окончания срока действия
28 Контрольная цифра
29 - 42 Личный код
43 Контрольная цифра
44 Заключительная контрольная цифра

Контрольные цифры рассчитываются по модулю 10 с постоянно повторяющейся весовой функцией 731 731 .... следующим образом:

Этап 1. Слева направо умножить каждую цифру соответствующего цифрового элемента данных на весовой показатель, стоящий в соответствующей последовательной позиции.

Этап 2. Сложить результаты каждого умножения.

Этап 3. Разделить полученную сумму на 10 (модуль).

Этап 4. Остаток деления является контрольной цифрой.

Для элементов данных, когда номер не занимает все имеющиеся позиции знаков, используется символ "<" для заполнения пустых позиций и ему придается нулевое значение.

Контрольной цифрой для личного номера (29 - 42) в случае его отсутствия является символ "<" или "0".

При расчете заключительной контрольной цифры второй строки машиночитаемой зоны применяется весовой показатель 731... в последовательности без разрывов позиций знаков 1 - 10, 14 - 20 и 22 - 43, включая знаки, содержащие символ "<" и контрольные цифры.

Пример расчета контрольной цифры

Используя в качестве примера дату 9 мая 1951 года, представленную в цифровой форме, расчет производится следующим образом:

Дата: 5 1 0 5 0 9
  Весовой показатель: 7 3 1 7 3 1
Этап 1 (умножение) Результат: 35 3 0 35 0 9
Этап 2 (сумма результатов) Сумма результатов: 35 + 3 + 0 + 35 + 0 + 9 = 82
Этап 3 (деление на модуль) Получение остатка: 82 : 10 = 80 остаток 2
Этап 4 (контрольная цифра - остаток) Контрольная цифра: 2
Запись в МЧЗ 5105092

Пример расчета заключительной контрольной цифры

Серия, номер паспорта Контрольная цифра Дата рождения Контрольная цифра Дата окончания паспорта Контрольная цифра Личный номер Контрольная цифра
Исходный текст 510092517 2 510509 2 060509 2 <<<<<<< <<<<<<< <
Запись для расчета 5 1 0 0 9 2 5 1 7 2 5 1 0 5 0 9 2 0 6 0 5 0 9 2 0 0
Весовой коэффициент 7 3 1 7 3 1 7 3 1 7 3 1 7 3 1 7 3 1 7 3 1 7 3 1 0 0
Результат умножения 35 3 0 0 27 2 35 3 7 14 15 1 0 5 0   6 0 42 0 5 0 27 2 0 0
Суммирование 35 + 3 + 0 + 0 + 27 + 2 + 35 + 3 + 7 + 14 + 15 + 1 + 0 + 15 + 0 + 56 + 6 + 0 + 42 + 0 + 5 + 0 + 27 + 2 = 302
Деление на модуль 302 : 10 = 30 остаток 2
Заключительная контрольная цифра 2

Данные, переносимые в машиночитаемую зону

При заполнении машиночитаемой зоны используется машиночитаемый шрифт OCR-B, размера 1, с постоянной шириной штриха и пробелом между знаками 2.54 мм, то есть с горизонтальной плотностью печати 10 CPI (10 знаков на 25.4 мм).

Расположение данных в машиночитаемой зоне

Машиночитаемые данные располагаются слева направо на полях фиксированной длины в две строки (первую и вторую) и вносятся в зоны печати документа. Данные вносятся в каждое поле, начиная с левой позиции знаков. Правая позиция знаков в полях 05, 09, 15 и 10 содержит контрольную цифру или символ "<", в зависимости от обстоятельств, которая рассчитывается в соответствии с Правилами формирования контрольной цифры.

Если вводимые данные не занимают все позиции знаков, выделенных для конкретного поля, используется символ "<" для заполнения лишних позиций. Первые знаки каждой строки должны находиться на расстоянии 5 мм от левой кромки документа. Длина машиночитаемой полосы не более 114 мм. Верхняя кромка первой строки должна находиться на расстоянии 17.9 мм от нижнего края документа, верхняя кромка второй - на расстоянии 11.55 мм.

Приложение N 16
к Административному регламенту
предоставления Федеральной миграционной
службой государственной услуги
по оформлению и выдаче паспортов
гражданина Российской Федерации,
удостоверяющих личность гражданина
Российской Федерации за пределами
территории Российской Федерации

ТАБЛИЧНЫЙ ОПИСАТЕЛЬ ДОКУМЕНТА АС "РОССИЙСКИЙ ПАСПОРТ"

РАЗДЕЛИТЕЛИ ДОКУМЕНТОВ:

Начало документа - '((('

Код документа - 111444 (основной) и 111555 (о коррекции)

Конец документа - ')))'

Конец реквизита - '/'

Ограничитель номера реквизита - ':'

Разделитель групп - '='

(разделитель групп используется для реализации ситуации ОН ЖЕ)

Разделитель значений - ','

(разделитель значений используется для разделения подреквизитов)

Наименование реквизита Код реквизита Размерность реквизита Имя словаря Признак обязательности Допустимые символы
Код документа 111444 6 - Да циф.
Фамилия (кириллица) 1 30 - Да сим.
Имя (кириллица) 2 30 - Да сим.
Отчество (кириллица) 3 30 - Нет сим.
Фамилия (латиница) 4 30 - Да сим.
Имя (латиница) 5 30 - Да сим.
Дата рождения 6 8 - Да циф.
Пол 7 3 Пол Да сим.
Страна рождения 8 40 Страна Да сим.
Регион рождения 9 150 Регион Нет сим.
Район рождения 10 150 - Нет сим.
Место рождения (латиница) 11 150 - Нет сим.
Пункт рождения 12 50 - Нет сим.
Цель выдачи 13 10 Цель выдачи Да сим.
Страна выезда 14 40 Страна Да, если цель выдачи = "ПОСТ" сим.
Серия документа 15 2 - Да циф.
Номер документа 16 7 - Да циф.
Причина обращения 17 10 Причина Да сим.
Дата выдачи 18 8 - Да циф.
Кем выдан документ (регион выдачи) 19 150 Регион Да сим.
Наименование подразделения 20 150 Наименование подразделения УФМС Да сим.
Код подразделения 21 7 - Да сим.
N сообщения 22 5 - Нет сим.
Дата сообщения 23 8 - Нет циф.
Кто составил сообщение 24 20 - Нет сим.
Серия документа 1 25 2 - Нет Нет циф.
Номер документа 1 26 7 - Нет циф.
Дата выдачи 1 27 8 - Нет циф.
Причина обращения 1 28 10 - Нет сим.
Вид документа удостоверяющего личность 29 50 Вид документа Да сим.
Серия документа удостоверяющего личность 30 8 - Да сим.
Номер документа удостоверяющего личность 31 10 - Да циф.
Регион выдачи (документа удостоверяющего личность) 32 150 Если паспорт - Регион, - Да сим.
Наименование подразделения выдавшего документ (документа удостоверяющего личность) 33 150 Наименование подразделения Нет сим.
Номер подразделения (документа удостоверяющего личность) 34 10 Код подразделения Нет циф.
Номер заявления 35 10 - Да сим.
Дата приема документов 36 8 - Да циф.

Если "Вид документа" (29) не является паспортом гражданина России, то поля с кодами реквизитов 31, 32, 33 не заполняются.

Пример:

(((111444/1:ИВАНОВ/2:ИВАН/3:ИВАНОВИЧ/4:IVANOV/5:IVAN /6:05031995/7:М/8:РОССИЯ/9:МОСКОВСКАЯ ОБЛАСТЬ/10:ЕГОРЬЕВСКИЙ РАЙОН/11:МОСКОВСКАЯ ОБЛАСТЬ, ЕГОРЬЕВСКИЙ РАЙОН,/12:RUSSIA/13:ДЕР.ПОЗНЯКИ/14:ВРЕМ/16:60/17:1234567/18:ВЫДАН/19:01012006/20:МОСКОВСКАЯ ОБЛАСТЬ/21:ОТДЕЛ УФМС РОССИИ ПО МОСКОВСКОЙ ОБЛАСТИ В ЕГОРЬЕВСКОМ РАЙОНЕ/22:500029/23:712/24:02122006/25:ИВАНОВ/30:ПАСПОРТ/31:4511/32:123123/33:МОСКОВСКАЯ ОБЛАСТЬ/34:ЕГОРЬЕВСКИЙ РАЙОН/35:ДЕР.ПОЗНЯКИ/36:ОТДЕЛ УФМС РОССИИ ПО МОСКОВСКОЙ ОБЛАСТИ В ЕГОРЬЕВСКОМ РАЙОНЕ/37500029/38:2211/39:02032006/)))

Пример документа - если отсутствуют необязательные реквизиты.

(((111444/1:ИВАНОВ/2:ИВАН/3:ИВАНОВИЧ/4:IVANOV/5:IVAN/6:05031995/7:М/8:РОССИЯ/14:ВРЕМ/16:60/17:1234567/18:ВЫДАН/19:01012006/20:МОСКОВСКАЯ ОБЛАСТЬ/21:ОТДЕЛ УФМС РОССИИ ПО МОСКОВСКОЙ ОБЛАСТИ В ЕГОРЬЕВСКОМ РАЙОНЕ/22:500029/23:712/24:02122006/25:ИВАНОВ/30:ПАСПОРТ/31:4511/32:123123/33МОСКОВСКАЯ ОБЛАСТЬ/34:ЕГОРЬЕВСКИЙ РАЙОН/35:ДЕР.ПОЗНЯКИ/36:ОТДЕЛ УФМС РОССИИ ПО МОСКОВСКОЙ ОБЛАСТИ В ЕГОРЬЕВСКОМ РАЙОНЕ/37500029/38:2211/39:02032006/)))

Примечания:

1. При вводе значений реквизитов запрещено использование следующих символов - "=", ",", "(", ")", "/", ":".

2. Разрешено использование символа "," (запятая) в следующих реквизитах - "Страна рождения", "Страна выезда", "Место рождения".

3. Все строки документа начинаются с первой позиции. Если реквизит состоит из нескольких слов и перенос на следующую строку осуществляется на пробеле, разделяющем слова, то очередная строка документа начинается с пробела, а затем следуют слова данного реквизита.

4. Если вид документа "ПАСПОРТ" (паспорт гражданина РФ), то при вводе значений реквизитов - СЕРИЯ ДОКУМЕНТА, НОМЕР ДОКУМЕНТА, ДАТА - запрещено использовать какие-либо символы в качестве разделителей.

Например: "-", "пробел", ".", "\" и т.д.

5. Действие - "Изменение" следует использовать для проведения корректировки учетных данных, хранящихся в РАС и ФАС "Российский паспорт".

Приложение N 17
к Административному регламенту
предоставления Федеральной миграционной
службой государственной услуги
по оформлению и выдаче паспортов
гражданина Российской Федерации,
удостоверяющих личность гражданина
Российской Федерации за пределами
территории Российской Федерации

ОБРАЗЕЦ ШТАМПА О ВЫДАЧЕ ПАСПОРТА

       
    Выдан паспорт    
    серия ____________ N ___________    
    от "__" ___________ 20__ г.    
         
         
  (орган, выдавший паспорт)  
         

(размер 50 x 30 мм)

Приложение N 18
к Административному регламенту
предоставления Федеральной миграционной
службой государственной услуги
по оформлению и выдаче паспортов
гражданина Российской Федерации,
удостоверяющих личность гражданина
Российской Федерации за пределами
территории Российской Федерации

Штамп подразделения
"__" ___________ 20__ г.
N _________________
 
                        СООБЩЕНИЕ
 
                         Кому ____________________________________
                         _________________________________________
                         _________________________________________
                         _________________________________________
 
    Гражданину ___________________________________________________
                            (фамилия, имя, отчество)
__________________________________________________________________
                         (дата рождения)
паспорт  гражданина  Российской Федерации, удостоверяющий личность
гражданина Российской Федерации на территории Российской Федерации
серии __ N ____ от "__" ___________ 20__ г.
выдан  паспорт  гражданина  Российской  Федерации,  удостоверяющий
личность  гражданина  Российской Федерации за пределами территории
Российской  Федерации,  содержащий электронный носитель информации
серии  __  N  ___  сроком  действия  с "__" ______ 20__ г. по "__"
______ 20__ г.
 
    Прошу  внести  соответствующие  отметки  в  заявление о выдаче
паспорта  гражданина Российской Федерации, удостоверяющий личность
гражданина Российской Федерации на территории Российской Федерации
(форма 1П).
 
Руководитель _____________________________________________________
              (наименование подразделения территориального органа
                         ФМС России, подразделения)
__________________________________             ___________________
    (специальное звание, ФИО)                       (подпись)
 
ФИО исполнителя
телефон
 
 
 

Приложение N 19
к Административному регламенту
предоставления Федеральной миграционной
службой государственной услуги
по оформлению и выдаче паспортов
гражданина Российской Федерации,
удостоверяющих личность гражданина
Российской Федерации за пределами
территории Российской Федерации

ТАБЛИЧНЫЙ ОПИСАТЕЛЬ ДОКУМЕНТА АС "РОССИЙСКИЙ ПАСПОРТ" О ВНЕСЕНИИ СВЕДЕНИЙ ОБ УТРАТЕ ПАСПОРТА ГРАЖДАНИНА РОССИЙСКОЙ ФЕДЕРАЦИИ, УДОСТОВЕРЯЮЩЕГО ЛИЧНОСТЬ ГРАЖДАНИНА РОССИЙСКОЙ ФЕДЕРАЦИИ ЗА ПРЕДЕЛАМИ ТЕРРИТОРИИ РОССИЙСКОЙ ФЕДЕРАЦИИ

РАЗДЕЛИТЕЛИ ДОКУМЕНТОВ:

Начало документа - '((('

Код документа - 111222

Конец документа - ')))'

Конец реквизита - '/'

Ограничитель номера реквизита - ':'

Разделитель групп (МНОЖЕСТВЕННЫХ РЕКВИЗИТОВ) - '='

(разделитель групп используется для реализации ситуации ОН ЖЕ)

Разделитель значений - ',' (запятая)

(разделитель значений используется для разделения подреквизитов)

Наименование реквизита Код реквизита Размерность реквизита Имя словаря Признак обязательности Допустимые символы
Код документа 111222 6 - Да циф.
Фамилия 1 30 - Да сим.
Имя 2 30 - Да сим.
Отчество 3 30 - Нет сим.
Дата рождения 4 8 - Да циф.
Серия 5 2 - Да циф.
Номер 6 7 - Да циф.
Дата утраты 7 8 - Да циф.
Дополнит. Сведения об утрате 8 50 - Да сим.
Дата сообщения 9 8 - Да циф.
Исполнитель 10 15 - Да сим.
Регион сообщения 11 150 Регион Да сим.
Наименования подразделения 12 150 Наименование подразделения Да сим.

Пример:

(((111222/1:ИВАНОВ/2:ИВАН/3:ИВАНОВИЧ/4:05031995/5:60,1234567/6:23032005/7:ПОЖАР В ЖИЛОМ ДОМЕ/8:25032005/9:ПЕТРОВ/10:МОСКОВСКАЯ ОБЛАСТЬ)))

Пример документа - если отсутствуют необязательные реквизиты.

(((111222/1:ИВАНОВ/2:ИВАН/4:05031995/5:60,1234567/6:23032005/7:ПОЖАР В ЖИЛОМ ДОМЕ/8:25032005/10:МОСКОВСКАЯ ОБЛАСТЬ)))

Словари для формирования выгрузки данных в скобочном формате

1. "Вид документа, удостоверяющего личность"

Код Значение
  ЗАГРАНИЧНЫЙ ПАСПОРТ ГРАЖДАНИНА РФ
  ИНЫЕ ДОКУМЕНТЫ
  ПАСПОРТ
  СВИДЕТЕЛЬСТВО О РОЖДЕНИИ

2. "Пол"

Код Значение
0 ЖЕН
1 МУЖ

3. Справочник "Страны"

Абхазия ABKHAZIA
Австралия AUSTRALIA
Австрия AUSTRIA
Азербайджан AZERBAIJAN
Албания ALBANIA
Алжир ALGERIA
Ангола ANGOLA
Аргентина ARGENTINA
Армения ARMENIA
Афганистан AFGHANISTAN
Бангладеш BANGLADESH
Бахрейн BAHRAIN
Белоруссия BELARUS
Бельгия BELGIUM
Бенин BENIN
Бирма BURMA
Болгария BULGARIA
Боливия BOLIVIA
Бразилия BRASIL
Бурунди BURUNDI
Великобритания GREAT BRITAIN
Венгрия HUNGARY
Венесуэла VENEZUELA
Вьетнам VIETNAM
Гайана GUYANA
Гана GHANA
Гвинея REPUB GUINEA
Германия GERMANY
Греция GREECE
Грузия GEORGIA
Дания DENMARK
Египет EGYPT
Заир ZAIRE
Замбия ZAMBIA
Израиль ISRAEL
Индия INDIA
Индонезия INDONESIA
Иордания JORDAN
Ирак IRAQ
Иран IRAN
Ирландия IRELAND
Исландия ICELAND
Испания SPAIN
Италия ITALY
Йемен YEMEN
Кабо-Верде CAPE VERDE
Казахстан KAZAKHSTAN
Камерун CAMEROON
Канада CANADA
Катар QATAR
Кения KENYA
Кипр CYPRUS
Киргизия KYRGYZIA
Китай CHINA
КНДР DPRK
Колумбия COLOMBIA
Конго CONGO
Корея KOREA
Коста-Рика COSTA RICA
Кот-Д'Ивуар IVORY COAST
Куба CUBA
Кувейт KUWAIT
Латвия LATVIA
Ливан LEBANON
Ливия LIBIA
Литва LITHUANIA
Люксембург LUXEMBURG
Маврикий MAURITIUS
Мавритания MAURITANIA
Мадагаскар MADAGASCAR
Македония MACEDONIA
Малайзия MALAYSIA
Мали MALI
Мальта MALTA
Марокко MOROCCO
Мексика MEXICO
Мозамбик MOZAMBIQUE
Молдавия MOLDOVA
Монако MONAKO
Монголия MONGOLIA
Мьянма MYANMAR
Непал NEPAL
Нигер NIGER
Нигерия NIGERIA
Нидерланды NETHERLANDS
Никарагуа NICARAGUA
Новая Зеландия NEW ZEALAND
Норвегия NORWAY
ОАЭ UAE
Пакистан PAKISTAN
Палестина PALESTINE
Панама PANAMA
Перу PERU
Польша POLAND
Португалия PORTUGAL
Руанда RWANDA
Румыния ROUMANIA
Саудовская Аравия SAUDI ARABIA
Сейшелы SEYCHELLES
Сенегал SENEGAL
Сербия и Черногория SERBIA AND MOTENEG
Сингапур SINGAPORE
Сирия SYRIA
Словакия SLOVAKIA
Словения SLOVENIA
Сомали SOMALIA
Судан SUDAN
США USA
Сьерра-Леоне SIERRA LEONE
Таджикистан TAJIKISTAN
Таиланд THAILAND
Танзания TANZANIA
Того TOGO
Тунис TUNISIA
Туркменистан TURKMENISTAN
Туркмения TURKMENISTAN
Турция TURKEY
Уганда UGANDA
Узбекистан UZBEKISTAN
Украина UKRAINE
Уругвай URUGUAY
Филиппины PHILIPPINES
Финляндия FINLAND
Франция FRANCE
Хорватия CROATIA
ЦАР CAR
Цейлон CEYLON
Чад CHAD
Чехия CZECH REPUBLIC
Чехословакия CZECHOSLOVAKIA
Чили CHILI
Швейцария SWITZERLAND
Швеция SWEDEN
Шри-Ланка SRI LANKA
Эквадор ECUADOR
Эстония ESTONIA
Эфиопия ETHIOPIA
Юар SOUTH AFRICA
Югославия YUGOSLAVIA
Южная Осетия SOUTH OSSETIA
Ямайка JAMAICA
Япония JAPAN

4. Справочник "Регионы"

АГИНСКИЙ БУРЯТСКИЙ АО

АЛТАЙСКИЙ КРАЙ

АМУРСКАЯ ОБЛАСТЬ

АРХАНГЕЛЬСКАЯ ОБЛАСТЬ

АСТРАХАНСКАЯ ОБЛАСТЬ

БЕЛГОРОДСКАЯ ОБЛАСТЬ

БРЯНСКАЯ ОБЛАСТЬ

ВЛАДИМИРСКАЯ ОБЛАСТЬ

ВОЛГОГРАДСКАЯ ОБЛАСТЬ

ВОЛОГОДСКАЯ ОБЛАСТЬ

ВОРОНЕЖСКАЯ ОБЛАСТЬ

Г. МОСКВА

Г. САНКТ-ПЕТЕРБУРГ

ЕВРЕЙСКАЯ АВТОНОМНАЯ ОБЛАСТЬ

ЗАБАЙКАЛЬСКИЙ КРАЙ

ИВАНОВСКАЯ ОБЛАСТЬ

ИРКУТСКАЯ ОБЛАСТЬ

КАБАРДИНО-БАЛКАРСКАЯ РЕСПУБЛИКА

КАЛИНИНГРАДСКАЯ ОБЛАСТЬ

КАЛУЖСКАЯ ОБЛАСТЬ

КАМЧАТСКАЯ ОБЛАСТЬ

КАМЧАТСКИЙ КРАЙ

КАРАЧАЕВО-ЧЕРКЕССКАЯ РЕСПУБЛИКА

КЕМЕРОВСКАЯ ОБЛАСТЬ

КИРОВСКАЯ ОБЛАСТЬ

КОМИ-ПЕРМЯЦКИЙ АО

КОРЯКСКИЙ АО

КОСТРОМСКАЯ ОБЛАСТЬ

КРАСНОДАРСКИЙ КРАЙ

КРАСНОЯРСКИЙ КРАЙ

КУРГАНСКАЯ ОБЛАСТЬ

КУРСКАЯ ОБЛАСТЬ

ЛЕНИНГРАДСКАЯ ОБЛАСТЬ

ЛИПЕЦКАЯ ОБЛАСТЬ

МАГАДАНСКАЯ ОБЛАСТЬ

МОСКОВСКАЯ ОБЛАСТЬ

МУРМАНСКАЯ ОБЛАСТЬ

НЕНЕЦКИЙ АО

НИЖЕГОРОДСКАЯ ОБЛАСТЬ

НОВГОРОДСКАЯ ОБЛАСТЬ

НОВОСИБИРСКАЯ ОБЛАСТЬ

ОМСКАЯ ОБЛАСТЬ

ОРЕНБУРГСКАЯ ОБЛАСТЬ

ОРЛОВСКАЯ ОБЛАСТЬ

ПЕНЗЕНСКАЯ ОБЛАСТЬ

ПЕРМСКАЯ ОБЛАСТЬ

ПЕРМСКИЙ КРАЙ

ПРИМОРСКИЙ КРАЙ

ПСКОВСКАЯ ОБЛАСТЬ

РЕСПУБЛИКА АДЫГЕЯ

РЕСПУБЛИКА АЛТАЙ

РЕСПУБЛИКА БАШКОРТОСТАН

РЕСПУБЛИКА БУРЯТИЯ

РЕСПУБЛИКА ДАГЕСТАН

РЕСПУБЛИКА ИНГУШЕТИЯ

РЕСПУБЛИКА КАЛМЫКИЯ

РЕСПУБЛИКА КАРЕЛИЯ

РЕСПУБЛИКА КОМИ

РЕСПУБЛИКА МАРИЙ ЭЛ

РЕСПУБЛИКА МОРДОВИЯ

РЕСПУБЛИКА САХА (ЯКУТИЯ)

РЕСПУБЛИКА СЕВЕРНАЯ ОСЕТИЯ - АЛАНИЯ

РЕСПУБЛИКА ТАТАРСТАН

РЕСПУБЛИКА ТЫВА

РЕСПУБЛИКА ХАКАСИЯ

РОСТОВСКАЯ ОБЛАСТЬ

РЯЗАНСКАЯ ОБЛАСТЬ

САМАРСКАЯ ОБЛАСТЬ

САРАТОВСКАЯ ОБЛАСТЬ

САХАЛИНСКАЯ ОБЛАСТЬ

СВЕРДЛОВСКАЯ ОБЛАСТЬ

СМОЛЕНСКАЯ ОБЛАСТЬ

СТАВРОПОЛЬСКИЙ КРАЙ

ТАЙМЫРСКИЙ АО

ТАМБОВСКАЯ ОБЛАСТЬ

ТВЕРСКАЯ ОБЛАСТЬ

ТОМСКАЯ ОБЛАСТЬ

ТУЛЬСКАЯ ОБЛАСТЬ

ТЮМЕНСКАЯ ОБЛАСТЬ

УДМУРТСКАЯ РЕСПУБЛИКА

УЛЬЯНОВСКАЯ ОБЛАСТЬ

УСТЬ-ОРДЫНСКИЙ БУРЯТСКИЙ АО

ХАБАРОВСКИЙ КРАЙ

ХАНТЫ-МАНСИЙСКИЙ АО

ЧЕЛЯБИНСКАЯ ОБЛАСТЬ

ЧЕЧЕНСКАЯ РЕСПУБЛИКА

ЧИТИНСКАЯ ОБЛАСТЬ

ЧУВАШСКАЯ РЕСПУБЛИКА

ЧУКОТСКИЙ АО

ЭВЕНКИЙСКИЙ АО

ЯМАЛО-НЕНЕЦКИЙ АО

ЯРОСЛАВСКАЯ ОБЛАСТЬ

ФМС РОССИИ

5. Справочник "Причина обращения"

Код Значение
1 ВЫДАН
2 ВПИСАН

Приложение N 20
к Административному регламенту
предоставления Федеральной миграционной
службой государственной услуги
по оформлению и выдаче паспортов
гражданина Российской Федерации,
удостоверяющих личность гражданина
Российской Федерации за пределами
территории Российской Федерации

                                               (примерный образец)
 
Штамп подразделения
"__" ___________ 20__ г.
N _________________
 
                          СПРАВКА
 
    Гр. __________________________________________________________
обратился(лась)   с   заявлением   об   утрате паспорта гражданина
Российской    Федерации,    удостоверяющего    личность гражданина
Российской  Федерации за пределами территории Российской Федерации
и сообщил(а) следующие данные:
фамилия __________________________________________________________
имя ______________________________________________________________
отчество _________________________________________________________
дата рождения ____________________________________________________
место рождения ___________________________________________________
__________________________________________________________________
гражданство ______________________________________________________
место жительства (пребывания) ____________________________________
__________________________________________________________________
где и при каких обстоятельствах утрачен паспорт
__________________________________________________________________
__________________________________________________________________
__________________________________________________________________
сведения об утраченном паспорте: серия _______ N __________
выдан ____________________________________________________________
                   (наименование подразделения)
 
Ф.И.О. сотрудника,
составившего справку __________________ Подпись __________________
телефон (_____________________)
 
"__" ___________ 20__ г.