Единая система конструкторской документации. Общие требования к выполнению конструкторских и технологических документов на печатающих и графических устройствах вывода ЭВМ. ГОСТ 2.004-88

(утв. Постановлением Госстандарта СССР от 28.11.88 N 3843)
Редакция от 28.11.1988 — Действует с 01.01.1990

МЕЖГОСУДАРСТВЕННЫЙ СТАНДАРТ

ЕДИНАЯ СИСТЕМА КОНСТРУКТОРСКОЙ ДОКУМЕНТАЦИИ

ОБЩИЕ ТРЕБОВАНИЯ К ВЫПОЛНЕНИЮ КОНСТРУКТОРСКИХ И ТЕХНОЛОГИЧЕСКИХ ДОКУМЕНТОВ НА ПЕЧАТАЮЩИХ И ГРАФИЧЕСКИХ УСТРОЙСТВАХ ВЫВОДА ЭВМ

Unified system for design documentation. General requirements for performing design and technological documentation on printing and graphical output devices of computers

ГОСТ 2.004-88

МКС 01.110

ОКСТУ 0002

Дата введения 1990-01-01

Настоящий стандарт распространяется на конструкторские документы изделий всех отраслей промышленности, технологические документы изделий машиностроительной и приборостроительной промышленности, а также проектную документацию для строительства и устанавливает требования к выполнению конструкторских, технологических и проектных документов (далее - документов) на бумажных носителях, получаемых с использованием устройств вывода ЭВМ.

Документы, выполненные в соответствии с требованиями настоящего стандарта, должны удовлетворять требованиям микрофильмирования (ГОСТ 13.1.002).

ИНФОРМАЦИОННЫЕ ДАННЫЕ

1. РАЗРАБОТАН И ВНЕСЕН Государственным комитетом СССР по стандартам

2. УТВЕРЖДЕН И ВВЕДЕН В ДЕЙСТВИЕ Постановлением Государственного комитета СССР по стандартам от 28.11.88 N 3843

3. ВЗАМЕН ГОСТ 2.004-79, ГОСТ 3.1124-86

4. Требования разд. 1 и 4 стандарта соответствуют требованиям национальных стандартов ГДР - ТГЛ 42327/01 и ТГЛ 42327/07

5. ССЫЛОЧНЫЕ НОРМАТИВНО-ТЕХНИЧЕСКИЕ ДОКУМЕНТЫ

Обозначение НТД, на который дана ссылка Номер пункта, приложения Обозначение НТД, на который дана ссылка Номер пункта, приложения
ГОСТ 2.104 - 2006 2.2, 2.3 ГОСТ 3.1103 - 82 2.2, 4.4
ГОСТ 2.301 - 68 1.3 ГОСТ 3.1118 - 82 4.1, приложение 3
ГОСТ 2.302 - 68 3.4 ГОСТ 3.1122 - 84 4.1
ГОСТ 2.303 - 68 1.7 ГОСТ 8.417 - 81 1.12
ГОСТ 2.304 - 81 1.8, 1.9 ГОСТ 8.430 - 88 1.12
ГОСТ 2.503 - 90 Приложение 2 ГОСТ 13.1.002 - 80 Вводная часть
ГОСТ 2.721 - 74 1.6 ГОСТ 21.101 - 97 2.2

6. ПЕРЕИЗДАНИЕ. Август 2007 г.

1. ОБЩИЕ ТРЕБОВАНИЯ К ДОКУМЕНТАМ

1.1. При выполнении документов на бумажных носителях при помощи устройств вывода ЭВМ следует различать:

документы, получаемые при помощи алфавитно-цифровых печатающих устройств (далее - АЦПУ);

документы, получаемые при помощи графических устройств вывода ЭВМ (далее - графические устройства).

Примечание. Документы могут быть выполнены на комбинированных устройствах вывода ЭВМ. На такие документы распространяются требования, предъявляемые к документам, получаемым при помощи АЦПУ.

1.2 В документе, полученном при помощи АЦПУ и (или) графического устройства, допускается часть информации (текст, таблицы, рисунки, чертежи) выполнять рукописным, машинописным и типографским способами, а также любым сочетанием этих способов.

1.3 Форматы документов, получаемых:

на графических устройствах, должны соответствовать размерам, установленным ГОСТ 2.301;

на АЦПУ, определяются шириной бумажной ленты с условным отношением их к:

формату А4 - при ширине бумажной ленты от 185 до 240 мм;

формату А3 - при ширине бумажной ленты от 330 до 450 мм;

при этом высота формата документа определяется расстоянием между поперечными насечками на бумажной ленте или по ГОСТ 2.301 - при их отсутствии.

Примечания:

1. Допускается применять дополнительные форматы, образуемые увеличением сторон основных форматов соответственно на значение, кратное размеру высоты и ширины формата.

2. Допускается применять форматы документов, получаемых на АЦПУ в соответствии с ГОСТ 2.301.

1.4. Размеры информационного поля документа определяются типом печатающего устройства с максимальным использованием поля формата. При этом края информационного поля по высоте должны отстоять от линии насечки на бумажной ленте на расстоянии не менее одного межстрочного интервала, а по ширине - не менее 20 мм от левого края формата.

Примечания:

1. При выполнении документов на бумажной ленте с перфорацией и без перфорации вертикальными линиями внешней рамки следует считать края бумажной ленты.

2. Вертикальные линии внутренней рамки допускается не наносить.

1.5. При размещении двух страниц формата А4 с вертикальным полем подшивки на бумажной ленте шириной формата А3 между ними следует предусмотреть интервал размером не менее двух разрядов печати (черт. 6, приложение 1).

Лист, содержащий две страницы формата А4, допускается не разрезать. При этом рекомендуется следующая нумерация страниц: титульный лист - С. 1; первый или заглавный лист - С. 2; последующие листы нумеруются по порядку - С. 3, С. 4 и т. д. (черт. 7, приложение 1).

Примечание. Допускается образовывать страницу формата А4 частью листа, ограниченной кромкой и осью симметрии бумажной ленты, при этом ось симметрии следует выделять знаками "вертикальная черта", "восклицательный знак", "звездочка", латинской буквой "I" (черт. 8, приложение 1).

1.6. В документах, получаемых на АЦПУ, следует выполнять:

горизонтальные линии - знаками "минус", "звездочка", "точка", "подчеркивание", "надчеркивание", "равенство";

вертикальные линии - знаками "вертикальная черта", "звездочка", "двоеточие", "точка", "восклицательный знак", латинскими буквами "I" и "Х", если это не приведет к неоднозначности понимания;

наклонные линии - знаками "звездочка", "точка", "наклонная черта";

точки излома линий - знаками "звездочка", "точка".

На схемах и чертежах, выполненных на АЦПУ, линии следует выполнять по ГОСТ 2.721.

Функциональные группы в схемах следует выделять линиями, выполненными знаками "точка", "звездочка", а также штрих-пунктирными линиями.

1.7. В документах, получаемых на графических устройствах, следует применять линии в соответствии с ГОСТ 2.303 с учетом требования:

толщина сплошных тонкой и волнистой, штриховой и штрих-пунктирной линий должна быть от S/3 до S/2.

Примечания:

1. Линии обрыва и линии разграничения вида и разреза допускается выполнять сплошной тонкой линией с изломами.

2. При выполнении линий, включающих символ "точка", этот символ допускается заменять чертой.

1.8. Буквы, цифры и знаки в документах, получаемых на графических устройствах, должны соответствовать ГОСТ 2.304; на АЦПУ - определяются типом печатающего устройства.

Примечания:

1. Допускается изображать цифру "ноль" как с чертой, так и без нее, например, "0" или "0".

2. Допускается изображать знак умножения "?" знаком "звездочка" ("*").

3. В документах, получаемых на графических устройствах, допускаются другие шрифты при условии однозначности понимания каждого символа.

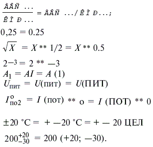
1.9. Дроби с горизонтальной дробной чертой и десятичные, показатели степеней, индексы и предельные отклонения следует выполнять в соответствии с ГОСТ 2.304.

Примечания:

1. Допускаются следующие записи:

2. Сложные формулы и записи допускается выполнять текстом, например "I_o x R_hвх" = Произведение нулевого тока на сопротивление нагрузки должно быть больше или равно постоянной времени входа".

1.10. При выполнении сносок, записи справочных размеров в технические требования и т. п. допускается знак "звездочка" ( "*" ) * записывать в одну строку с текстом, обозначением,

например:

* Размеры для справок; * Подбирают при регулировании; R1 * .

1.11. Текстовые документы следует выполнять на одной стороне бумажной ленты через два или один интервал.

Примечание. Допускается выполнять перенос слов без соблюдения грамматических правил.

1.12. При выполнении текстовых документов на АЦПУ, не имеющих строчных букв, весь текст выполняют прописными буквами.

Примечания:

1. Обозначение физических величин - по ГОСТ 8.430 или ГОСТ 8.417.

2. При неоднозначности понимания строчную букву заменяют прописной, помещенной между знаками "вертикальная черта", "наклонная черта" или "апостроф", например еКО = |Е| КО = /Е/КО = 'Е'КО.

3. Надписи, наносимые непосредственно на изделие, а также появляющиеся на экранах индикаторов изделия, следует выделять знаком "звездочка", например *ВКЛ *, *ОТКЛ * .

1.13. При выполнении текстовых документов, разбитых на графы, допускается:

не печатать линии строк, обрамляющие линии, а также линии между графами, при этом необходимо соблюдать интервал не менее одного разряда печати между текстами соседних граф;

изменять размеры граф по ширине и высоте, за исключением граф, предусматривающих внесение информации в виде кодов, размеры которых должны быть на один знак больше числа знаков кода, при этом при необходимости допускается увеличивать установленный соответствующим стандартом формат документа.

1.14. Наименование части, раздела и подраздела следует печатать в виде заголовка, симметричного тексту. При этом заголовок раздела и подраздела должен быть отделен от текста интервалом в одну-две строки. Заголовок допускается не подчеркивать.

2. ОБЩИЕ ТРЕБОВАНИЯ К ФОРМАМ ДОКУМЕНТОВ

2.1. Содержание форм конструкторских и технологических документов должно отвечать требованиям соответствующих стандартов.

Примеры оформления документов приведены: в приложении 2 - конструкторских; в приложении 3 - технологических.

Примечания:

1. При внесении изменений в документы заменой листов допускается исключать графу "N С-КИ" в формах приложения 2.

2. Графу "Зона" формы 5 ("Спецификация") приложения 2 допускается исключать и за счет нее увеличить размер граф "Наименование" и (или) "Обозначение", если сборочный чертеж (схема) не разбит(а) на зоны.

2.2. Основная надпись документов должна соответствовать требованиям ГОСТ 2.104, ГОСТ 21.101, ГОСТ 3.1103 и настоящего стандарта.

* При этом во всех случаях знак "типографская звездочка" ( "*" ) тождественна знаку "звездочка" ( "*" ) АЦПУ.

Примечания:

1. Высота основной надписи документов, получаемых на АЦПУ, определяется типом печатающего устройства.

2. Ширину основной надписи документов, получаемых на АЦПУ, допускается увеличивать или уменьшать за счет изменения размеров граф (граф 11, 16 и (или) 1, 2, 28, 30 - для конструкторских документов, а также граф 3 и 26 - для чертежей и схем).

3. Для конструкторских (технологических) документов при расположении дополнительных граф 19-23 (блока дополнительной информации Б4) под основной надписью ширину граф следует увеличивать или уменьшать так, чтобы их суммарная ширина совпадала с шириной основной надписи.

4. При выполнении документов формата А4 с вертикальным расположением поля подшивки рекомендуется ширину основной надписи делать равной ширине информационного поля.

2.3. Примеры оформления основной надписи для конструкторских документов приведены в приложении 4:

на черт. 9 и черт. 10 - для текстовых конструкторских документов (первый или заглавный лист и последующие листы соответственно);

на черт. 11 и черт. 12 - для чертежей и схем (первый или заглавный лист и последующие листы соответственно).

Примечания:

1. Допускается располагать дополнительные графы по ГОСТ 2.104, а также помещать содержащуюся в них информацию без нанесения граф. При этом допускается печатать слова сверху вниз. Графы 19-25 допускается также наносить штампом в поле подшивки на первом или заглавном листе, а на последующих листах эти графы не наносить.

2. Дополнительные графы 24 и 25 располагают в левом верхнем углу формата или непосредственно за графой 26 (27, 28, 29 - при их наличии) - для чертежей и схем.

3. При выполнении конструкторского документа формата А3 допускается переносить графы 19-23 в свободную нижнюю левую часть листа (черт. 13).

4. Если в конструкторском документе предусмотрен лист регистрации изменений, то графы 14-18 выполняются только на первом или заглавном листе, на последующих листах их допускается не выполнять.

5. Графу 31 допускается не выполнять.

6. Допускается выполнять основную надпись по черт. 14 и 15.

2.4. При выполнении форм документов на АЦПУ следует применять краткую форму записи их наименований и обозначений, при этом сокращения должны соответствовать действующим стандартам.

В качестве разделительной линии рекомендуется применять знак "подчеркивание" (черт. 1).

______________________________________________________________________________________________
__ В __ :ЦЕХ__ :__ УЧ __ :__ РМ __: __ОПЕР__ :________ КОД,__ НАИМЕНОВАНИЕ__ ОПЕРАЦИИ _________
__ Г __: __________________ОБОЗНАЧЕНИЕ __ ДОКУМЕНТА _________________________________________
__ Д __ : _________________ КОД, __НАИМЕНОВАНИЕ __ ОБ0РУД0ВАНИЯ _____________________________

Черт. 1

Примечания:

1. В основной надписи документов допускаются следующие сокращения:

в графе 10 Р - разработал

П - проверил

Т- т. контролер

Н - н. контролер

в графах 7 и 15 Л - лист

С - страница

в графе 8 Л - В - листов

С - Ц - страниц.

2. В формах документов допускаются следующие сокращения:

N С - КИ - номер строки

Ф - Т- формат

ОБОЗН. - обозначение

УКЛАД. - укладка.

3. ТРЕБОВАНИЯ К ВЫПОЛНЕНИЮ КОНСТРУКТОРСКИХ ДОКУМЕНТОВ

3.1. При выполнении конструкторских документов на печатающих и графических устройствах вывода ЭВМ следует соблюдать требования соответствующих стандартов ЕСКД и настоящего стандарта.

3.2. При выполнении схем и чертежей на графических устройствах допускается:

выполнять длину штрихов в штриховых и штрих-пунктирных линиях постоянной, независимо от размеров изображения;

пересекать и заканчивать штрих-пунктирные линии не только штрихами;

заменять точку незачерненным квадратом со стороной размерами от 1/15 до 1/10 размера шрифта h;

выполнять зачерненные стрелки на чертежах в виде незачерненного треугольника (черт. 2);

Черт. 2

заканчивать линию-выноску, пересекающую контур изображения и не отводимую от какой-либо линии, графической точкой в виде перекрестия (черт. 3);

Черт. 3

место нанесения маркировки или клейма на изображении отмечать графической точкой в виде перекрестия;

при указании номиналов резисторов и конденсаторов около их условных графических обозначений (черт. 4) не выполнять разделительную черту между их буквенно-цифровыми обозначениями и номиналами; обозначать К - единицу измерения сопротивления килоОм, МК - единицу измерения емкости микроФараду.

Черт. 4

3.3.При выполнении чертежей и схем технические требования, таблицы и другую текстовую информацию допускается помещать на отдельных листах формата А3 и А4, которые нумеруются как первые и (или) последующие листы чертежа (схемы).

3.4. Масштабы изображений на чертежах, выполняемых на графических устройствах, следует выбирать из ряда по ГОСТ 2.302.

Примечание. Допускается применять масштабы уменьшения 1 : n и увеличения n : 1, где n - рациональное число.

4. ТРЕБОВАНИЯ К ВЫПОЛНЕНИЮ ТЕХНОЛОГИЧЕСКИХ ДОКУМЕНТОВ

4.1. Формы, бланки и документы должны соответствовать требованиям стандартов ЕСТД и настоящего стандарта.

Примечания:

1. В головке универсальных форм допускается не указывать строки тех типов, информация из которых не используется в данном документе, например в ведомости технологических маршрутов (ВТМ) по ГОСТ 3.1122 нецелесообразно приводить строки типа П и М.

2. При применении единой формы МК в качестве основного документа для проектирования различных технологических процессов, специализированных по методам изготовления или ремонта изделий, допускается для форм 1 и 3 МК по ГОСТ 3.1118 вводить дополнительные графы 31-34, 3, 6, 7 с привязкой к существующим служебным символам К/М или Л/Н и Н/М.

3. При применении унифицированных форм документов (типа МК) для проектирования технологических процессов и операций с применением операционного описания данные по технологическим режимам следует указывать в логической последовательности на отдельной строке (строках) со служебным символом Р в соответствии с типовыми блоками режимов, приведенных в стандартах ЕСТД, с указанием условных обозначений величин, их значений и единиц через точку с запятой, например

P : D = 40 мм; L = 215 мм; ...

4.2. При наличии в соответствующем стандарте ЕСТД форм документа с горизонтальным и вертикальным расположением поля подшивки следует применять форму документа с вертикальным расположением поля подшивки.

Примечание. При отсутствии формы документа с вертикальным расположением поля подшивки допускается изменять форму документа с горизонтальным расположением поля подшивки на форму с вертикальным полем подшивки с соответствующим изменением ширины граф, не предусматривающих внесение информации в виде кода, с максимальным использованием поля формата.

4.3. Графы, предусматривающие внесение информации в виде кодов, не следует выполнять утолщенной линией.

4.4.При оформлении основной надписи графическое изображение блока дополнительной информации (Б4) следует применять только при использовании документа на правах подлинника или в качестве оригинала для выпуска подлинника. При этом его расположение следует выполнять в одну строку в верхней или нижней части документа над блоком Б5 или Б6, как показано на черт. 5.

Черт. 5

4.5. При применении типового блока технологических режимов, содержащего данные к разным видам обработки (сварка и т. п.) одного метода, в документах следует приводить только данные, имеющие непосредственное отношение к применяемому виду обработки.

ПРИЛОЖЕНИЕ 1
Рекомендуемое

ПРИМЕРЫ РАЗМЕЩЕНИЯ ДВУХ СТРАНИЦ ДОКУМЕНТА НА ОДНОМ ЛИСТЕ

Черт. 6

Черт. 7

Черт. 8

ПРИЛОЖЕНИЕ 2
Рекомендуемое

ФОРМЫ КОНСТРУКТОРСКИХ ДОКУМЕНТОВ. ВЕДОМОСТЬ СПЕЦИФИКАЦИЙ (ВС)

Форма 3

N С-КИ ОБОЗНАЧЕНИЕ НАИМЕНОВАНИЕ КУДА ВХОДИТ ОБЩ. КОЛ. ПРИМЕЧАНИЕ
ОБОЗНАЧЕНИЕ КОЛ
 
           
           
           
           
    ОСНОВНАЯ НАДПИСЬ (PАЗДЕЛ 2)
Формат А3

ВЕДОМОСТЬ ПОКУПНЫХ ИЗДЕЛИЙ (ВП)

Форма 4

N С-КИ НАИМЕНОВАНИЕ КОД ОКП ОБОЗНАЧЕНИЕ ДОКУМЕНТА НА ПОСТАВКУ ПОСТАВЩИК КУДА ВХОДИТ (ОБОЗНАЧЕНИЕ) КОЛИЧЕСТВО ПРИМЕЧАНИЕ
НА ИЗДЕЛИЕ В КОМПЛЕКТЫ НА РЕГУЛИР. ВСЕГО
         
                   
                   
                   
                   
      ОСНОВНАЯ НАДПИСЬ (PАЗДЕЛ 2)
      Формат А3

СПЕЦИФИКАЦИЯ

Форма 5

Ф-Т ЗОНА ПОЗ ОБОЗНАЧЕНИЕ НАИМЕНОВАНИЕ КОЛ ПРИМЕЧАНИЕ        
           
                   
                   
         
ОСНОВНАЯ НАДПИСЬ (PАЗДЕЛ 2)
      Формат А4

СПЕЦИФИКАЦИЯ ПРИ ПЛАЗОВОМ МЕТОДЕ

Форма 6

Ф-Т ЗОНА ПОЗ ОБОЗНАЧЕНИЕ НАИМЕНОВАНИЕ КОЛ МАССА МАТЕРИАЛ ПРИМЕЧАНИЕ
               
               
               
               
      ОСНОВНАЯ НАДПИСЬ (PАЗДЕЛ 2)
Формат А3

ВЕДОМОСТЬ ДЕРЖАТЕЛЕЙ ПОДЛИННИКОВ (ДП)

Форма 7

N С-КИ ОБОЗНАЧЕНИЕ НАИМЕНОВАНИЕ КОЛ. ЛИСТОВ ДЕРЖАТЕЛЬ ПОДЛИННИКА ПРИМЕЧАНИЕ
         
         
  ОСНОВНАЯ НАДПИСЬ (PАЗДЕЛ 2)
Формат А3

ВЕДОМОСТЬ ССЫЛОЧНЫХ ДОКУМЕНТОВ (ВД)

Форма 8

N С-КИ ОБОЗНАЧЕНИЕ НАИМЕНОВАНИЕ
   
   
   
ОСНОВНАЯ НАДПИСЬ (PАЗДЕЛ 2)
Формат А4

ВЕДОМОСТЬ ТЕХНИЧЕСКОГО ПРЕДЛОЖЕНИЯ (ПТ), ЭСКИЗНОГО (ЭП) И ТЕХНИЧЕСКОГО (ТП) ПРОЕКТОВ

Форма 9

N С-КИ Ф-Т ОБОЗНАЧЕНИЕ НАИМЕНОВАНИЕ КОЛ. Л-В N ЭКЗ ПРИМЕЧАНИЕ
           
           
           
         
ОСНОВНАЯ НАДПИСЬ (PАЗДЕЛ 2)
Формат А4

ГРУППОВАЯ СПЕЦИФИКАЦИЯ (ПЕРВЫЙ ЛИСТ)

Форма 10

Ф-Т ЗОНА ПОЗ ОБОЗНАЧЕНИЕ НАИМЕНОВАНИЕ КОЛ. НА ИСПОЛ ПРИМЕЧАНИЕ
                 
                               
                               
                               
          ЛИТ                    
                             
                             
          КОД                      
                               
        ОСНОВНАЯ НАДПИСЬ (PАЗДЕЛ 2)
Формат А3

ГРУППОВАЯ СПЕЦИФИКАЦИЯ (ПОСЛЕДУЮЩИЕ ЛИСТЫ)

Форма 11

Ф-Т ЗОНА ДЛЯ ИСПОЛНЕНИЯ С ПОРЯДКОВЫМ НОМЕРОМ ОБОЗНАЧЕНИЕ КОЛ ПРИМЕЧАНИЕ
         
         
         
         
ОСНОВНАЯ НАДПИСЬ (PАЗДЕЛ 2)
Формат А4

ГРУППОВАЯ ВЕДОМОСТЬ СПЕЦИФИКАЦИЙ И ССЫЛОЧНЫХ ДОКУМЕНТОВ

Форма 12

N С-КИ ОБОЗНАЧЕНИЕ НАИМЕНОВАНИЕ ДЛЯ ИСПОЛН. ПРИМЕЧАНИЕ
                 
                         
                 
                 
                         
ОСНОВНАЯ НАДПИСЬ (PАЗДЕЛ 2)
Формат А3

ГРУППОВАЯ ВЕДОМОСТЬ ПОКУПНЫХ ИЗДЕЛИЙ

Форма 13 <*>

N С-КИ ОБОЗНАЧЕНИЕ КОД ОБОЗНАЧЕНИЕ ДОКУМЕНТА НА ПОСТАВКУ ПОСТАВЩИК КОЛ. НА ИСПОЛН. ПРИМЕЧАНИЕ
ОКП                  
                             
                     
                     
                             
ОСНОВНАЯ НАДПИСЬ (PАЗДЕЛ 2)
Формат А3

<*> Формы 14 и 15 (ИЗВЕЩЕНИЕ ОБ ИЗМЕНЕНИИ. Первый и последующие листы соответственно) - по ГОСТ 2.503.

ВЕДОМОСТИ ЭКСПЛУАТАЦИОННЫХ ДОКУМЕНТОВ

Форма 16

N С-КИ Ф-Т ОБОЗНАЧЕНИЕ И КОД ОКП НАИМЕНОВАНИЕ КОЛ. ЭКЗ N ЭКЗ МЕСТОНАХОЖДЕНИЕ
           
           
           
           
ОСНОВНАЯ НАДПИСЬ (PАЗДЕЛ 2)
Формат А4

ВЕДОМОСТИ ЗИП

Форма 17

N С-КИ ОБОЗНАЧЕНИЕ КОД ОКП НАИМЕНОВАНИЕ ГДЕ ПРИМЕНЯЕТСЯ КОЛ. В ИЗДЕЛИИ ШИФР УКЛАД. КОЛ ПРИМЕЧАНИЕ
               
               
               
               
ОСНОВНАЯ НАДПИСЬ (PАЗДЕЛ 2)
Формат А3

ВЕДОМОСТИ ЗИП

Форма 18

N С-КИ ОБОЗНАЧЕНИЕ КОД ОКП НАИМЕНОВАНИЕ N РИС ГДЕ ПРИМЕНЯЕТСЯ КОЛ. В ИЗДЕЛИИ ШИФР УКЛАД. КОЛ ПРИМЕЧАНИЕ
                 
                 
                 
                 
ОСНОВНАЯ НАДПИСЬ (PАЗДЕЛ 2)
Формат А3

ВЕДОМОСТИ ЗИП

Форма 19

N С-КИ ОБОЗНАЧЕНИЕ И КОД ОКП НАИМЕНОВАНИЕ ГДЕ ПРИМЕНЯЕТСЯ КОЛ. В ИЗДЕЛИИ ВИДЫ КОМПЛЕКТОВ ЗИП ПРИМЕЧАНИЕ
     
ШИФР УКЛАД КОЛ ШИФР УКЛАД КОЛ ШИФР УКЛАД КОЛ ШИФР УКЛАД КОЛ
                         
                         
                         
                         
ОСНОВНАЯ НАДПИСЬ (PАЗДЕЛ 2)
Формат А3

ПЕРЕЧЕНЬ ЭЛЕМЕНТОВ

Форма 20

ПОЗ ОБОЗНАЧЕНИЕ НАИМЕНОВАНИЕ КОЛ ПРИМЕЧАНИЕ
     
     
ОСНОВНАЯ НАДПИСЬ (PАЗДЕЛ 2)
  Формат А4

Форма 20а

ЗОНА ПОЗ ОБОЗНАЧЕНИЕ НАИМЕНОВАНИЕ КОЛ ПРИМЕЧАНИЕ
 
 
       
       
  ОСНОВНАЯ НАДПИСЬ (PАЗДЕЛ 2)
    Формат А4

ТАБЛИЦА СОЕДИНЕНИЙ

Форма 21

ОБОЗН. ПРОВОДА ОТКУДА ИДЕТ КУДА ПОСТУПАЕТ ДАННЫЕ ПРОВОДА ПРИМЕЧАНИЕ
 
 
       
       
  ОСНОВНАЯ НАДПИСЬ (PАЗДЕЛ 2)
    Формат А4

Форма 21а

ОБОЗН. ПРОВОДА СОЕДИНЕНИЯ ДАННЫЕ ПРОВОДА ПРИМЕЧАНИЕ
 
 
     
     
  ОСНОВНАЯ НАДПИСЬ (PАЗДЕЛ 2)
Формат А4

ПРИЛОЖЕНИЕ 3
Рекомендуемое

ФОРМЫ ТЕХНОЛОГИЧЕСКИХ ДОКУМЕНТОВ

ПРИЛОЖЕНИЕ 4
Рекомендуемое

ПРИМЕРЫ ВЫПОЛНЕНИЯ ОСНОВНОЙ НАДПИСИ ДЛЯ КОНСТРУКТОРСКИХ ДОКУМЕНТОВ

Черт. 9

Черт. 10

Черт. 11

Черт. 12

Черт. 13

Черт. 14

Черт. 15