Приказ Минприроды РФ от 09.01.2013 N 2

"Об утверждении Административного регламента Федеральной службы по надзору в сфере природопользования по предоставлению государственной услуги по выдаче разрешений на сбросы веществ (за исключением радиоактивных веществ) и микроорганизмов в водные объекты"
Редакция от 09.01.2013 — Документ утратил силу, см. «Приказ Минприроды РФ от 18.02.2021 N 110»

Зарегистрировано в Минюсте России 26 июня 2013 г. N 28900


МИНИСТЕРСТВО ПРИРОДНЫХ РЕСУРСОВ И ЭКОЛОГИИ РОССИЙСКОЙ ФЕДЕРАЦИИ

ПРИКАЗ
от 9 января 2013 г. N 2

ОБ УТВЕРЖДЕНИИ АДМИНИСТРАТИВНОГО РЕГЛАМЕНТА ФЕДЕРАЛЬНОЙ СЛУЖБЫ ПО НАДЗОРУ В СФЕРЕ ПРИРОДОПОЛЬЗОВАНИЯ ПО ПРЕДОСТАВЛЕНИЮ ГОСУДАРСТВЕННОЙ УСЛУГИ ПО ВЫДАЧЕ РАЗРЕШЕНИЙ НА СБРОСЫ ВЕЩЕСТВ (ЗА ИСКЛЮЧЕНИЕМ РАДИОАКТИВНЫХ ВЕЩЕСТВ) И МИКРООРГАНИЗМОВ В ВОДНЫЕ ОБЪЕКТЫ

В соответствии с пунктом 4 Правил разработки и утверждения административных регламентов предоставления государственных услуг, утвержденных постановлением Правительства Российской Федерации от 16 мая 2011 г. N 373 (Собрание законодательства Российской Федерации, 2011, N 22, ст. 3169, N 35, ст. 5092; 2012, N 28, ст. 3908, N 36, ст. 4903, N 50, ст. 7070) приказываю:

утвердить прилагаемый Административный регламент Федеральной службы по надзору в сфере природопользования по предоставлению государственной услуги по выдаче разрешений на сбросы веществ (за исключением радиоактивных веществ) и микроорганизмов в водные объекты.

Министр
С.Е.ДОНСКОЙ

Утвержден
приказом Министерства
природных ресурсов и экологии
Российской Федерации
от 09.01.2013 N 2

АДМИНИСТРАТИВНЫЙ РЕГЛАМЕНТ ФЕДЕРАЛЬНОЙ СЛУЖБЫ ПО НАДЗОРУ В СФЕРЕ ПРИРОДОПОЛЬЗОВАНИЯ ПО ПРЕДОСТАВЛЕНИЮ ГОСУДАРСТВЕННОЙ УСЛУГИ ПО ВЫДАЧЕ РАЗРЕШЕНИЙ НА СБРОСЫ ВЕЩЕСТВ (ЗА ИСКЛЮЧЕНИЕМ РАДИОАКТИВНЫХ ВЕЩЕСТВ) И МИКРООРГАНИЗМОВ В ВОДНЫЕ ОБЪЕКТЫ

I. Общие положения

Предмет регулирования регламента

1. Административный регламент Федеральной службы по надзору в сфере природопользования по предоставлению государственной услуги по выдаче разрешений на сбросы веществ (за исключением радиоактивных веществ) и микроорганизмов в водные объекты (далее - Регламент) определяет порядок, сроки и последовательность административных процедур (действий) Федеральной службы по надзору в сфере природопользования (далее - Росприроднадзор), ее территориальных органов, порядок взаимодействия между структурными подразделениями территориальных органов Росприроднадзора при предоставлении государственной услуги по выдаче разрешений на сбросы веществ (за исключением радиоактивных веществ) и микроорганизмов в водные объекты (далее - государственная услуга).

Круг заявителей

2. Государственная услуга предоставляется юридическим лицам и индивидуальным предпринимателям, осуществляющим любые виды хозяйственной и иной деятельности на территории Российской Федерации, которая приводит к сбросам веществ и микроорганизмов в водные объекты.

Требования к порядку информирования о предоставлении государственной услуги

3. Информация о местонахождении, почтовых адресах и телефонах уполномоченных территориальных органов Росприроднадзора приведена в Приложении 1 к Регламенту, а также размещена на официальном сайте Росприроднадзора в сети Интернет по адресу: www.rpn.gov.ru.

Графики приема посетителей территориальных органов Росприроднадзора размещены на информационных стендах и сайтах (при наличии) указанных органов.

4. В помещениях территориального органа Росприроднадзора должны быть размещены информационные стенды. На информационных стендах размещается следующая информация:

выписки из нормативных правовых актов, содержащих нормы, регулирующие деятельность по предоставлению государственной услуги;

текст Регламента с приложениями;

описание результата предоставления государственной услуги;

исчерпывающая информация о порядке предоставления государственной услуги (в текстовом и/или графическом, схематическом виде) со ссылкой на настоящий Регламент;

перечень документов, необходимых для получения разрешения на сбросы, его переоформления или получения дубликата (согласно пунктам 18, 19 и 63 настоящего Регламента);

адрес официального сайта территориального органа Росприроднадзора в сети Интернет (при наличии), адреса его электронной почты;

справочные телефоны территориального органа Росприроднадзора, общий справочный телефон (в том числе номер телефона-автоинформатора);

информация о местоположении, почтовом адресе территориального органа Росприроднадзора и телефонах сотрудников соответствующих структурных подразделений территориального органа Росприроднадзора;

график работы сотрудников соответствующих структурных подразделений территориального органа Росприроднадзора;

порядок получения консультаций по процедуре предоставления государственной услуги (согласно пунктам 5 - 9 настоящего Регламента);

обязанности должностных лиц при ответе на телефонные звонки, устные и письменные обращения граждан или организаций, требования к форме и характеру взаимодействия должностных лиц с Заявителями (согласно пунктам 5 - 9 настоящего Регламента).

5. Консультации по процедуре предоставления государственной услуги по выдаче разрешения на сбросы могут предоставляться:

по письменным обращениям;

по телефону;

по электронной почте (при ее наличии).

Консультации предоставляются бесплатно.

6. При предоставлении консультаций по письменным обращениям ответ на обращение направляется почтой в адрес Заявителя в срок, не превышающий 30 рабочих дней с момента поступления письменного обращения.

7. При предоставлении консультаций по телефону должностные лица уполномоченных территориальных органов Росприроднадзора обязаны в соответствии с поступившим запросом предоставлять информацию по следующим вопросам:

информацию о входящих номерах, под которыми зарегистрированы в системе делопроизводства материалы Заявителя;

информацию о принятии решения по конкретному заявлению и прилагающимся материалам;

сведения о нормативных правовых актах по вопросам выдачи разрешения на сбросы (наименование, номер, дата принятия нормативного правового акта);

перечень документов, предоставление которых необходимо для выдачи разрешения на сбросы;

требования к заверению документов, прилагаемых к заявлению;

место размещения на официальном сайте Росприроднадзора справочных материалов по вопросам выдачи разрешений на сбросы.

Иные вопросы рассматриваются только на основании соответствующего письменного обращения.

8. При консультировании по электронной почте (при ее наличии) ответ на обращение направляется на электронный адрес Заявителя в срок, не превышающий 5 рабочих дней с момента поступления обращения, по вопросам, перечень которых установлен пунктом 20 настоящего Регламента.

В иных случаях ответ на обращение направляется по электронной почте на электронный адрес Заявителя в срок, не превышающий 10 рабочих дней с момента поступления обращения.

9. Информация о предоставлении государственной услуги может быть получена с помощью Единого портала государственных и муниципальных услуг (функций) www.gosuslugi.ru (далее - Единый портал).

II. Стандарт предоставления государственной услуги

Наименование государственной услуги

10. Государственная услуга по выдаче разрешений на сбросы веществ (за исключением радиоактивных веществ) и микроорганизмов в водные объекты.

Наименование органа, предоставляющего государственную услугу

11. Государственная услуга предоставляется территориальными органами Росприроднадзора, указанными в Приложении 1 к настоящему Регламенту, по месту расположения выпусков сбросов веществ и микроорганизмов в водные объекты.

Территориальные органы Росприроднадзора не вправе требовать от Заявителя осуществление действий, в том числе согласований, необходимых для получения государственной услуги и связанных с обращением в иные государственные органы и организации.

Описание результата предоставления государственной услуги

12. Конечным результатом предоставления государственной услуги является выдача разрешений на сбросы веществ (за исключением радиоактивных веществ) и микроорганизмов в водные объекты, оформленных в соответствии с требованиями настоящего Регламента (далее - разрешения на сбросы), либо предоставление мотивированного отказа в выдаче указанных разрешений, переоформление разрешения на сбросы, выдача дубликата разрешения на сбросы.

13. Разрешениями на сбросы для хозяйствующего субъекта устанавливаются перечень и количества загрязняющих веществ, допускаемых к сбросу в водные объекты при соблюдении предусмотренных законодательством Российской Федерации условий (допустимая концентрация вещества на выпуске сточных и (или) дренажных вод (мг/дм3), показатели разрешенного сброса загрязняющих веществ (тонн в год) на период действия разрешения на сброс с разбивкой по кварталам и утвержденный расход сточных вод (м3 в час) отдельно по каждому выпуску сточных и (или) дренажных вод:

- в пределах утвержденных нормативов допустимого сброса веществ и микроорганизмов в водные объекты (далее - НДС);

- в пределах лимитов на сбросы.

14. При наличии утвержденных НДС и при условии, что достижение НДС обеспечивается, разрешение на сбросы выдается на срок действия указанных нормативов, если лимиты на сбросы не устанавливались.

15. Если НДС не обеспечиваются и при наличии лимитов на сбросы срок действия разрешения на сброс составляет один год с даты выдачи разрешения.

Срок предоставления государственной услуги

16. Выдача разрешения на сбросы или предоставление мотивированного отказа в выдаче разрешений на сбросы осуществляется территориальным органом Росприроднадзора в срок, не превышающий 30 рабочих дней со дня регистрации материалов хозяйствующего субъекта.

Переоформление разрешения на сбросы, выдача дубликата разрешения на сбросы осуществляется в срок, не превышающий 10 рабочих дней со дня регистрации материалов хозяйствующего субъекта.

Перечень нормативных правовых актов, регулирующих отношения, возникающие в связи с предоставлением государственный услуги

17. Предоставление государственной услуги по выдаче разрешений на сбросы веществ и микроорганизмов в водные объекты осуществляется в соответствии с:

Федеральным законом от 10 января 2002 г. N 7-ФЗ "Об охране окружающей среды" (Собрание законодательства Российской Федерации, 2002, N 2, ст. 133; 2004, N 35, ст. 3607; 2005, N 1, ст. 25; N 19, ст. 1752; 2006, N 1, ст. 10; N 52, ст. 5498; 2007, N 7, ст. 834; N 27, ст. 3213; 2008, N 26, ст. 3012; N 29, ст. 3418; N 30, ст. 3616; 2009, N 1, ст. 17; N 11, ст. 1261; N 52, ст. 6450, N 1, ст. 54; 2011, N 29, ст. 4281; N 30, ст. 4590; N 30, ст. 4591, N 30, ст. N 4596; N 48, ст. 6732; N 26, ст. 3446);

Налоговым кодексом Российской Федерации (часть вторая) (Собрание законодательства Российской Федерации, 2000, N 32, ст. 3340, 3341; 2001, N 1, ст. 18; N 23, ст. 2289; N 33, ст. 3413, 3421, 3429; N 49, ст. 4554, 4564; N 53, ст. 5015, 5023; 2002, N 1, ст. 4; N 22, ст. 2026; N 30, ст. 3021, 3027, 3033; N 52, ст. 5132, ст. 5138; 2003, N 1, ст. 2, 6, 8; N 19, ст. 1749; N 21, ст. 1958; N 22, ст. 2066; N 23, ст. 2174; N 26, ст. 2567; N 27, ст. 2700; N 28, ст. 2874, 2879, 2886; N 46, ст. 4435, 4443, 4444; N 50, ст. 4849; N 52, ст. 5030, ст. 5038; 2004, N 15, ст. 1342; N 27, ст. 2711, 2713, 2715; N 30, ст. 3083, 3084, 3088; N 31, ст. 3219, 3220, 3222, 3231; N 34, ст. 3517, 3518, 3520, 3522, 3523, 3524, 3525, 3527; N 35, ст. 3607; N 41, ст. 3994; N 45, ст. 4377; N 49, ст. 4840; 2005, N 1, ст. 9, 29, 30, 34, 38; N 21, ст. 1918; N 23, ст. 2201; N 24, ст. 2312; N 25, ст. 2427, 2428, 2429; N 27, ст. 2707, 2710, 2717; N 30, ст. 3101, 3104, 3112, 3117, 3118, 3128, 3129, 3130; N 43, ст. 4350; N 50, ст. 5246; N 52, ст. 5581; 2006, N 1, ст. 12, 16; N 3, ст. 280; N 10, ст. 1065; N 12, ст. 1233; N 23, ст. 2380, 2382; N 27, ст. 2881; N 30, ст. 3295; N 31, ст. 3433, 3436, 3443, 3450, 3452; N 43, ст. 4412; N 45, ст. 4627, 4628, 4629, 4630; N 47, ст. 4819; N 50, ст. 5279, 5286; N 52, ст. 5498; 2007, N 1, ст. 7, 20, 31, 39; N 13, ст. 1465; N 21, ст. 2461, 2462, 2463; N 22, ст. 2563, 2564; N 23, ст. 2691; N 31, ст. 3991, 3995, 4013; N 45, ст. 5416, 5417, 5432; N 46, ст. 5553, 5554, 5557; N 49, ст. 6045, 6046, 6071; N 50, ст. 6237, 6245, 6246; 2008, N 18, ст. 1942; N 26, ст. 3022; N 27, ст. 3126; N 30, ст. 3577, 3591, 3598, 3611, 3614, 3616; N 42, ст. 4697; N 48, ст. 5500, 5503, 5504, 5519; N 49, ст. 5723, 5749; N 52, ст. 6218, 6219, 6227, 6236, 6237; 2009, N 1, ст. 13, 19, 21, 22, 31; N 11, ст. 1265; N 18, ст. 2147; N 23, ст. 2772, 2775; N 26, ст. 3123; N 29, ст. 3582, 3598, 3602, 3625, 3638, 3639, 3641, 3642; N 30, ст. 3735, 3739; N 39, ст. 4534; N 44, ст. 5171; N 45, ст. 5271; N 48, ст. 5711, 5725, 5726, 5731, 5732, 5733, 5734, 5737; N 51, ст. 6153, 6155; N 52, ст. 6444, 6450, 6455; 2010, N 15, ст. 1737; N 15, ст. 1746, N 18, ст. 2145, N 21, ст. 2524, N 25, ст. 3070, N 31, ст. 4198, N 32, ст. 4298, N 40, ст. 4969, N 45, ст. 5750, 5756, N 48, ст. 6247, 6248, ст. 6249, ст. 6250, 6251; 2011, N 1, ст. 7, ст. 9, ст. 21, ст. 37, N 11, ст. 1492, N 11, ст. 1494, N 17, ст. 2311, ст. 2318, N 23, 3262, 3265; N 24, ст. 3357, N 26, ст. 3652; N 27, ст. 3881; N 29, 4291; N 30, 4563, 4566, 4575, 4583, 4587, 4593, 4596, 4597, 4606; N 46, ст. 5918; N 47, ст. 6034; N 49, ст. 6409, N 45, ст. 6335; N 47, ст. 6608, 6609, 6610, 6611; N 48, ст. 6729, 6731; N 49, ст. 7014, 7015, 7016, 7017, 7037, 7043, 7061, 7063, 7347; N 50, 7359; 2012, N 10, ст. 1164; N 14, ст. 1545; N 18, ст. 2128; N 19, ст. 2281; N 24, ст. 3066; N 25, ст. 3268; N 26, ст. 3447; N 27, ст. 3587, 3588, 3980; N 31, ст. 4319, 4322, 4334; N 41, ст. 5526, 5527; N 49, 6747, 6748, 6749, 6750, 6751; N 50, ст. 6958, 6968; N 53, ст. 7578, 7584, 7596, 7603, 7604, 7607, 7619);

Водным кодексом Российской Федерации (Собрание законодательства Российской Федерации, 2006, N 23, ст. 2381; N 50, ст. 5279; 2008, N 29, ст. 3418; N 30, ст. 3618; 2009, N 30, ст. 3735; 2009, N 52, ст. 6441; 2011, N 1, ст. 32; N 29, ст. 4281; N 30, ст. 4590; N 30, ст. 4594, 4596, 4605; N 48, ст. 6732; N 50, ст. 7343; 2012, N 26, ст. 3446; N 31, ст. 4322);

Федеральным законом от 27 июля 2010 г. N 210-ФЗ "Об организации предоставления государственных и муниципальных услуг" (Собрание законодательства Российской Федерации, 2010, N 31, ст. 4179; 2011, N 15, ст. 2038; N 21, ст. 3880, N 29, ст. 4291; N 30, ст. 4587; N 27, ст. 3873);

постановлением Правительства Российской Федерации от 16 мая 2011 г. N 373 "О разработке и утверждении административных регламентов исполнения государственных функций и административных регламентов предоставления государственных услуг" (Собрание законодательства Российской Федерации, 2011, N 22, ст. 3169; N 35, ст. 5092; 2012, N 28, ст. 3908, N 36, ст. 4903; N 50, 7070);

постановлением Правительства Российской Федерации от 16 августа 2012 г. N 840 "О порядке подачи и рассмотрения жалоб на решения и действия (бездействие) федеральных органов исполнительной власти и их должностных лиц, федеральных государственных служащих, должностных лиц государственных внебюджетных фондов Российской Федерации" (Собрание законодательства Российской Федерации, 2012, N 35, ст. 4829);

постановлением Правительства Российской Федерации от 30 июля 2004 г. N 400 "Об утверждении положения о Федеральной службе по надзору в сфере природопользования и внесении изменений в постановление Правительства Российской Федерации от 22 июля 2004 г. N 370" (Собрание законодательства Российской Федерации, 2004, N 32, ст. 3347; 2006, N 44, ст. 4596; 2006, N 52, ст. 5597; 2007, N 22, ст. 2647; 2008, N 16, ст. 1707; 2008, N 22, ст. 2581; 2008, N 32, ст. 3790; 2008, N 46, ст. 5337; 2009, N 6, ст. 738; 2009, N 33, ст. 4081; 2009, N 49, ст. 5976; 2010, N 5, ст. 538; 2010, N 14, ст. 1656; 2010, N 26, ст. 3350; 2010, N 31, ст. 4247; 2010, N 38, ст. 4835; 2010, N 42, ст. 5390; 2010, N 47, ст. 6123; 2011, N 14, ст. 1935; 2012, N 42, ст. 5718);

постановлением Правительства Российской Федерации от 23 июля 2007 г. N 469 "О порядке утверждения нормативов допустимых сбросов веществ и микроорганизмов в водные объекты для водопользователей" (Собрание законодательства Российской Федерации, 2007, N 31, ст. 4088; 2009, N 12, ст. 1429; 2011, N 9, ст. 1246, N 24, ст. 3500);

постановлением Правительства Российской Федерации от 30 декабря 2006 г. N 844 "О порядке подготовки и принятия решения о предоставлении водного объекта в пользование" (Собрание законодательства Российской Федерации, 2007, N 1, ст. 295; 2009, N 10, ст. 1237, N 43, ст. 5875);

приказом Министерства природных ресурсов Российской Федерации от 14 марта 2007 г. N 56 "Об утверждении типовой формы решения о предоставлении водного объекта в пользование" (зарегистрирован в Минюсте России 23.04.2007, регистрационный N 9317) (Бюллетень нормативных актов федеральных органов исполнительной власти, 2007, N 22), с изменениями, внесенными приказом Минприроды России от 26.06.2009 N 169 (опубликован в Бюллетене нормативных актов федеральных органов исполнительной власти, 2009, N 36) (зарегистрирован в Минюсте России 18.08.2009, регистрационный N 14561);

приказом Министерства природных ресурсов Российской Федерации от 17 декабря 2007 г. N 333 "Об утверждении Методики разработки нормативов допустимых сбросов веществ и микроорганизмов в водные объекты для водопользователей" (зарегистрирован в Минюсте России 21.02.2008, регистрационный N 11198) (Бюллетень нормативных актов федеральных органов исполнительной власти, 2008, N 22).

Исчерпывающий перечень документов, необходимых для предоставления государственной услуги

18. Для рассмотрения вопроса получения разрешения на сбросы хозяйствующий субъект (далее - Заявитель) предоставляет в территориальный орган Росприроднадзора заявление, содержащее сведения о Заявителе (полное и сокращенное наименование юридического лица в соответствии с учредительными документами, организационно-правовая форма, место государственной регистрации юридического лица и почтовый адрес его местонахождения - для юридического лица; фамилия, имя, отчество, место жительства, реквизиты основного документа, удостоверяющего личность, - для индивидуального предпринимателя; индивидуальный номер налогоплательщика (ИНН)), реквизиты документа, подтверждающего уплату государственной пошлины, опись предоставляемых материалов, сведения о местонахождении отдельных производственных площадок, а также указывает реквизиты документов (или предоставляет их копии), предусмотренных пунктом 20 настоящего Регламента.

Полномочия представителей, выступающих от имени Заявителей, подтверждаются доверенностью, оформленной в соответствии с требованиями законодательства.

Заявление и опись прилагаемых материалов предоставляются в двух экземплярах.

Форма заявления приведена в Приложении 2 к настоящему Регламенту.

19. Перечень прилагаемых к заявлению документов, необходимых для получения разрешения на сбросы в пределах лимитов на сбросы:

согласованный с территориальным органом Росприроднадзора план снижения сбросов с учетом поэтапного достижения утвержденных НДС по каждому веществу, по которому устанавливается лимит на сбросы согласно Приложению 3 к настоящему Регламенту (в случае если их достижение Заявителем не обеспечивается);

отчет о выполнении указанного плана согласно Приложению 4 к настоящему Регламенту с приложением данных аналитических исследований по достигнутой эффективности реализованных мероприятий;

предложения по установлению лимитов на сбросы по каждому веществу, по которому утвержденный НДС не достигается, подготовленные в соответствии с согласованным с территориальным органом Росприроднадзора планом снижения сбросов с учетом поэтапного достижения утвержденных НДС.

Исчерпывающий перечень документов, необходимых для предоставления государственной услуги, которые находятся в распоряжении государственных органов, органов местного самоуправления и иных органов

20. Для рассмотрения вопроса получения разрешения на сбросы Заявителем по собственной инициативе предоставляются:

копия документа, подтверждающего факт внесения записи о юридическом лице в Единый государственный реестр юридических лиц (для юридических лиц);

копия свидетельства о государственной регистрации в качестве индивидуального предпринимателя (для индивидуальных предпринимателей);

копия свидетельства о постановке юридического лица или индивидуального предпринимателя на учет в налоговом органе;

НДС, утвержденные в установленном порядке, для каждого выпуска сточных и (или) дренажных вод с приложением данных о фактическом сбросе веществ и микроорганизмов в водные объекты по каждому выпуску сточных и (или) дренажных вод, оформленных в установленном порядке;

решение о предоставлении водного объекта в пользование для сброса сточных и (или) дренажных вод, выданное в установленном порядке, или лицензия на водопользование и договор пользования водными объектами, сроки действия которых не истекли;

ранее установленные лимиты на сбросы (при их установлении).

21. Непредоставление Заявителем документов, предусмотренных пунктом 20 настоящего Регламента, которые могут быть получены по межведомственному информационному взаимодействию в других государственных органах и у иных должностных лиц, не является основанием для отказа в предоставлении государственной услуги.

22. Запрещается требовать от Заявителя предоставление документов и информации или осуществление действий, предоставление или осуществление которых не предусмотрено нормативными правовыми актами, регулирующими отношения, возникающие в связи с предоставлением государственной услуги, и настоящим Регламентом.

Запрещается требовать от Заявителя предоставление документов и информации, которые в соответствии с нормативными правовыми актами Российской Федерации, нормативными правовыми актами субъектов Российской Федерации и муниципальными правовыми актами находятся в распоряжении государственных органов, предоставляющих государственную услугу, иных государственных органов, органов местного самоуправления и (или) подведомственных государственным органам и органам местного самоуправления организаций, участвующих в предоставлении государственной услуги, за исключением документов, указанных в части 6 статьи 7 Федерального закона от 27 июля 2010 г. N 210-ФЗ "Об организации предоставления государственных и муниципальных услуг".

Исчерпывающий перечень оснований для отказа в приеме документов, необходимых для предоставления государственной услуги

23. В приеме документов отказывается, если:

заявление о предоставлении государственной услуги направлено Заявителем, который не является лицом, соответствующим требованиям, изложенным в пункте 4 Регламента.

Исчерпывающий перечень оснований для приостановления или отказа в предоставлении государственной услуги

24. Основания для приостановления предоставления государственной услуги законодательством Российской Федерации не предусмотрены.

25. Основаниями для отказа в выдаче разрешения на сбросы в пределах утвержденных НДС являются:

а) наличие в составе материалов Заявителя искаженных сведений или недостоверной информации: неверное наименование юридического лица, организационно-правовой формы, неверный идентификационный номер налогоплательщика (ИНН), неверный государственный регистрационный номер записи регистрации Заявителя в едином государственном реестре юридических лиц (индивидуальных предпринимателей), неверные фамилия, имя, отчество индивидуального предпринимателя, неверно указано местонахождение (адрес) юридического лица (или) место жительства (адрес) физического лица, неверные сведения о местонахождении отдельных производственных площадок;

б) истечение срока действия утвержденных в установленном порядке НДС;

в) выявление в составе сточных и (или) дренажных вод, сбрасываемых в водный объект, веществ, не указанных в предоставленных Заявителем утвержденных НДС;

г) выявление превышений установленных НДС (с учетом погрешности измерений) любого загрязняющего вещества, для сбросов которых не требовалось установление лимитов;

д) заявление и документы, указанные в пунктах 18 и 19 настоящего Регламента, предоставлены Заявителем не в полном объеме (некомплектность материалов Заявителя).

26. Основаниями для отказа в выдаче разрешения на сбросы в пределах лимитов на сбросы являются:

а) наличие в составе материалов Заявителя искаженных сведений или недостоверной информации: неверное наименование юридического лица, организационно-правовой формы, неверный идентификационный номер налогоплательщика (ИНН), неверный государственный регистрационный номер записи регистрации Заявителя в едином государственном реестре юридических лиц (индивидуальных предпринимателей), неверные фамилия, имя, отчество индивидуального предпринимателя, неверно указано местонахождение (адрес) юридического лица (или) место жительства (адрес) физического лица, неверные сведения о местонахождении отдельных производственных площадок;

б) истечение срока действия утвержденных в установленном порядке НДС;

в) отсутствие согласованного с территориальным органом Росприроднадзора плана снижения сбросов с учетом поэтапного достижения установленных НДС по каждому веществу, по которому устанавливается лимит на сбросы;

г) невыполнение Заявителем в установленные сроки планов снижения сбросов с учетом поэтапного достижения установленных НДС по каждому веществу, по которому устанавливается лимит на сбросы, либо недостижение запланированной эффективности реализованных мероприятий;

д) выявление в составе сточных и (или) дренажных вод, сбрасываемых в водный объект, веществ, не указанных в предоставленных Заявителем утвержденных НДС и/или лимитах на сбросы;

е) выявление превышений установленных лимитов на сбросы с учетом погрешности измерений;

ж) заявление и документы, указанные в пункте 18 и 19 настоящего Регламента, предоставлены Заявителем не в полном объеме (некомплектность материалов Заявителя).

Основания для отказа в выдаче разрешения в пределах лимитов на сбросы, перечисленные в подпунктах "в", "г", "е" настоящего пункта Регламента в отношении загрязняющих веществ, сбросы которых не обеспечивают НДС, не могут служить основанием для отказа в выдаче разрешения на сбросы в пределах утвержденных НДС других загрязняющих веществ, присутствующих в сбросах Заявителя и обеспечивающих НДС.

Перечень услуг, которые являются необходимыми и обязательными для предоставления государственной услуги

27. При предоставлении государственной услуги оказание иных услуг, необходимых и обязательных для предоставления государственной услуги, а также участие иных организаций в предоставлении государственной услуги не осуществляется.

Порядок, размер и основания взимания государственной пошлины или иной платы, взимаемой за предоставление государственной услуги

28. В соответствии с подпунктом 118 пункта 1 статьи 333.33 Налогового кодекса Российской Федерации за выдачу разрешений на сбросы уплачивается государственная пошлина в размере 2000 рублей. Государственная пошлина уплачивается до выдачи разрешения на сбросы.

Максимальный срок ожидания в очереди при подаче запроса о предоставлении государственной услуги и при получении результата предоставления государственной услуги

29. Время ожидания в очереди для получения выдачи разрешительных документов не должно превышать 15 минут.

Срок и порядок регистрации запроса заявителя о предоставлении государственной услуги, в том числе в электронной форме

30. Сотрудник канцелярии либо соответствующего структурного подразделения территориального органа Росприроднадзора осуществляет регистрацию материалов Заявителя, в том числе поступивших в электронной форме, в течение 1 рабочего дня.

Результатом действия являются зарегистрированные в установленном порядке входящие материалы Заявителя.

Требования к помещениям, в которых предоставляется государственная услуга, к месту ожидания и приема заявителей, размещению и оформлению визуальной, текстовой и мультимедийной информации о порядке предоставления такой услуги

31. В помещениях территориальных органов Росприроднадзора отводятся места для ожидания приема. Места ожидания в очереди на получение документов должны быть оборудованы стульями, кресельными секциями, скамьями (банкетками). Количество мест ожидания определяется исходя из фактической нагрузки и возможностей для их размещения в здании.

32. Стенды с организационно-распорядительной информацией размещаются на доступных для просмотра заявителями площадях. Тексты информационных материалов печатаются удобным для чтения шрифтом (размер шрифта не менее 14 пунктов), без исправлений, наиболее важные места выделяются другим шрифтом.

33. Ящик для корреспонденции территориальных органов Росприроднадзора, в том числе для материалов Заявителя, устанавливается при входе в территориальные органы Росприроднадзора.

34. Заявителям при обращении в территориальные органы Росприроднадзора по вопросам, касающимся процедур государственной услуги по выдаче разрешительных документов, гарантируется прием в помещении, оборудованном в соответствии с санитарными нормами и правилами <1>.

<1> Постановление Главного государственного санитарного врача Российской Федерации от 3 июня 2003 г. N 118 "О введении в действие санитарно-эпидемиологических правил и нормативов СанПиН 2.2.2/2.4.1 340-03", зарегистрированное в Минюсте России 10 июня 2003 г., регистрационный N 4673.

Показатели доступности и качества государственной услуги

35. Критериями доступности и качества предоставления государственной услуги являются:

удовлетворенность заявителей качеством государственной услуги;

полнота, актуальность и достоверность информации о порядке предоставления государственной услуги, в том числе в электронной форме;

наглядность форм размещаемой информации о порядке предоставления государственной услуги;

соблюдение сроков предоставления государственной услуги и сроков выполнения административных процедур при предоставлении государственной услуги;

отсутствие обоснованных жалоб со стороны заявителей по результатам предоставления государственной услуги;

предоставление возможности подачи заявления в форме электронного документа;

предоставление возможности получения информации о ходе предоставления государственной услуги, в том числе с использованием информационно-телекоммуникационных технологий.

36. Основными показателями доступности и качества государственной услуги являются количество жалоб от Заявителей о нарушениях сроков предоставления государственной услуги, предусмотренных настоящим Регламентом, а также количество судебных исков по обжалованию решений и действий (бездействия) территориальных органов Росприроднадзора и его должностных лиц, предоставляющих государственную услугу.

Иные требования, в том числе учитывающие особенности предоставления государственной услуги в электронной форме

37. Все предусмотренные настоящим Регламентом документы, необходимые для выдачи и переоформления разрешения на сбросы, могут быть поданы заявителем в форме электронных документов в порядке, установленном Правительством Российской Федерации. В этом случае все уведомления о ходе предоставления государственной услуги, а также итоговые документы направляются в электронной форме, если иное не указано заявителем в заявлении. В этом случае разрешение на сбросы по запросу Заявителя предоставляется ему также и на бумажном носителе.

38. Для получения разрешения на сбросы в электронной форме Заявитель направляет соответствующее заявление в электронной форме путем заполнения формы заявления, размещенной на сайте территориальных органов Росприроднадзора в сети Интернет в разделе "Оказание государственных услуг в электронном виде" (далее - заявление в электронной форме), также можно направить заявление в электронной форме с использованием федеральной государственной информационной системы "Единый портал предоставления государственных и муниципальных услуг (функций)".

39. Рассмотрение заявления, полученного в электронной форме, осуществляется в том же порядке, что и рассмотрение заявлений, полученных лично от заявителей.

40. В заявлении, направленном в электронной форме, указывается один из следующих способов получения разрешения:

а) в виде бумажного документа, который Заявитель получает непосредственно при личном обращении;

б) в виде электронного образа документа, который направляется заявителю посредством электронной почты.

41. Предоставление государственной услуги осуществляется с использованием системы межведомственного электронного взаимодействия, процедура осуществления которого описана в разделе III настоящего Регламента.

III. Состав, последовательность и сроки выполнения административных процедур, требования к порядку их выполнения

42. В рамках исполнения государственной услуги по выдаче разрешений на сбросы осуществляются следующие административные процедуры:

выдача разрешения на сбросы;

переоформление разрешения на сбросы;

выдача дубликата разрешения на сбросы.

Блок-схемы исполнения административных процедур, выполняемых при предоставлении государственной услуги, приведены в Приложении 5.

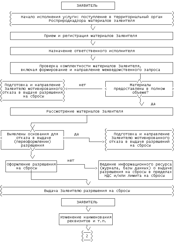
Административная процедура "Выдача разрешения на сбросы"

43. Административная процедура "Выдача разрешения на сбросы" включает следующие административные действия:

прием материалов Заявителя;

назначение ответственного должностного лица;

рассмотрение материалов Заявителя, формирование и направление межведомственных запросов, подготовка проекта и последующее издание приказа о выдаче разрешения на сбросы или уведомления об отказе в выдаче разрешения на сбросы;

оформление разрешения на сбросы;

внесение информации о выдаче разрешения на сбросы в соответствующий информационный ресурс (журнал, банк данных).

44. Основанием для начала административной процедуры является поступление в территориальный орган Росприроднадзора Заявления и прилагающихся материалов в соответствии с пунктами 18 и 19 Регламента, в том числе в электронной форме с использованием информационно-телекоммуникационных сетей общего пользования, в том числе информационно-телекоммуникационной сети "Интернет", включая Единый портал.

Регистрация материалов Заявителя осуществляется в течение 1 рабочего дня. Результатом действия являются зарегистрированные в установленном порядке входящие материалы Заявителя.

Один экземпляр заявления и описи прилагающихся материалов, подготовленной Заявителем, с отметкой о дате приема направляется (вручается, возвращается) Заявителю.

При поступлении заявления и материалов в электронной форме с использованием информационно-телекоммуникационных сетей общего пользования, в том числе информационно-телекоммуникационной сети "Интернет", включая Единый портал, информация о получении заявления и материалов в течение рабочего дня, следующего за днем их поступления, направляется заявителю в электронной форме по указанному им адресу электронной почты.

Зарегистрированные материалы Заявителя передаются начальнику структурного подразделения (отдела) территориального органа Росприроднадзора, уполномоченного на исполнение государственной услуги (далее - уполномоченное подразделение), для назначения ответственного исполнителя для их рассмотрения.

Начальник уполномоченного подразделения в течение 1 рабочего дня принимает решение о назначении ответственного должностного лица (далее - ответственный исполнитель) с учетом его должностных обязанностей и ставит резолюцию о назначении ответственного исполнителя на материалах Заявителя.

Ответственный исполнитель в течение 5 рабочих дней рассматривает материалы Заявителя на соответствие перечню документов, указанных в пунктах 18 и 19 Регламента, и в случае выявления некомплектности материалов Заявителя готовит проект письма Заявителю об отказе в приеме документов, необходимых для предоставления государственной услуги, в связи с их некомплектностью, которое передается на визирование начальнику уполномоченного подразделения и на подпись руководителю территориального органа Росприроднадзора или лицу, его замещающему, имеющему право подписи в соответствии с должностным регламентом.

45. В случае если Заявителем по собственной инициативе не предоставлены документы, указанные в пункте 20 настоящего Регламента, ответственным исполнителем формируется и направляется межведомственный запрос в уполномоченные федеральные органы исполнительной власти. Формирование и направление межведомственного запроса осуществляется ответственным исполнителем в срок, не превышающий 3 рабочих дня.

В установленном порядке и в установленные сроки от уполномоченного федерального органа исполнительной власти получаются следующие документы о Заявителе:

а) выписка из Единого реестра юридических лиц - для юридического лица;

б) выписка из Единого государственного реестра индивидуальных предпринимателей - для индивидуального предпринимателя;

в) копия свидетельства о постановке на учет в налоговом органе;

г) копия НДС, утвержденных в установленном порядке, для каждого выпуска сточных и (или) дренажных вод с приложением данных о фактическом сбросе веществ и микроорганизмов в водные объекты по каждому выпуску сточных и (или) дренажных вод, оформленных в установленном порядке;

д) копия решения о предоставлении водного объекта в пользование для сброса сточных и (или) дренажных вод, выданного в установленном порядке, или действующих лицензии на водопользование или договора пользования водными объектами.

Предоставление документов и (или) информации, необходимой для предоставления государственной услуги, осуществляется, в том числе, в электронной форме с использованием единой системы межведомственного электронного взаимодействия и подключаемых к ней региональных систем межведомственного электронного взаимодействия по межведомственному запросу органа, предоставляющего государственную услугу.

Межведомственный запрос о предоставлении документов и (или) информации, необходимой для предоставления государственной услуги, если такие документы и (или) информация не предоставлены заявителем, должен содержать следующие сведения:

наименование органа, направляющего межведомственный запрос;

наименование органа или организации, в адрес которых направляется межведомственный запрос;

наименование государственной услуги, для предоставления которой необходимо предоставление документа и (или) информации, а также, если имеется, номер (идентификатор) такой услуги в реестре государственных услуг или реестре муниципальных услуг;

указание на положения нормативного правового акта, которыми установлено предоставление документа и (или) информации, необходимых для предоставления государственной или муниципальной услуги, и указание на реквизиты данного нормативного правового акта;

сведения, необходимые для предоставления документа и (или) информации, установленные административным регламентом предоставления государственной услуги или административным регламентом предоставления муниципальной услуги, а также сведения, предусмотренные нормативными правовыми актами как необходимые для предоставления таких документа и (или) информации;

контактная информация для направления ответа на межведомственный запрос;

дата направления межведомственного запроса;

фамилия, имя, отчество и должность лица, подготовившего и направившего межведомственный запрос, а также номер служебного телефона и (или) адрес электронной почты данного лица для связи.

Межведомственные запросы о предоставлении документов и информации в рамках межведомственного информационного взаимодействия с использованием единой системы межведомственного электронного взаимодействия и подключаемых к ней региональных систем межведомственного электронного взаимодействия должны содержать следующие сведения:

наименование органа или организации, в адрес которых направляется межведомственный запрос;

наименование государственной услуги, для предоставления которой необходимо предоставление документа и (или) информации, а также, если имеется, номер (идентификатор) такой услуги в реестре государственных услуг или реестре муниципальных услуг;

указание на положения нормативного правового акта, которыми установлено предоставление документа и (или) информации, необходимых для предоставления государственной услуги, и указание на реквизиты данного нормативного правового акта;

сведения, необходимые для предоставления документа и (или) информации, установленные административным регламентом предоставления государственной услуги, а также сведения, предусмотренные нормативными правовыми актами как необходимые для предоставления таких документа и (или) информации;

контактная информация для направления ответа на межведомственный запрос;

дата направления межведомственного запроса.

46. При установлении комплектности материалов Заявителя ответственный исполнитель в течение не более 17 рабочих дней рассматривает материалы Заявителя и в случае их соответствия законодательству Российской Федерации и требованиям настоящего Регламента готовит решение о выдаче разрешения на сбросы (проект приказа территориального органа Росприроднадзора, проект разрешения на сбросы) либо об отказе в выдаче разрешения на сбросы в соответствии с пунктами 25 и 26 Регламента по образцу согласно Приложению 6. Подготовленный проект приказа территориального органа Росприроднадзора оформляется в соответствии с инструкцией по делопроизводству, визируется в установленном порядке и направляется на подпись руководителю территориального органа Росприроднадзора или лицу, его замещающему, в соответствии с должностным регламентом.

Основанием для оформления разрешения на сбросы является подписанный в установленном порядке приказ территориального органа Росприроднадзора о выдаче разрешения на сбросы.

Должностное лицо территориального органа Росприроднадзора, ответственное за выполнение административного действия, в течение не более 5 рабочих дней с даты регистрации приказа территориального органа Росприроднадзора о выдаче разрешения на сбросы, оформляет разрешение на сбросы в соответствии с пунктом 13 настоящего Регламента. Проекты разрешений на сбросы визируются ответственным исполнителем, начальником уполномоченного подразделения.

В разрешениях на сбросы указываются:

реквизиты приказа территориального органа Росприроднадзора, на основании которого выдано разрешение;

для юридического лица - полное наименование, организационно-правовая форма, место нахождения, государственный регистрационный номер записи о создании юридического лица, идентификационный номер налогоплательщика;

для индивидуального предпринимателя - фамилия, имя и (в случае, если имеется) отчество индивидуального предпринимателя, место его жительства, данные документа, удостоверяющего его личность, основной государственный регистрационный номер записи о государственной регистрации индивидуального предпринимателя, идентификационный номер налогоплательщика;

наименование водного объекта, в который осуществляется сброс сточных и (или) дренажных вод;

срок действия разрешения по каждому выпуску;

дата выдачи разрешения;

должностное лицо, подписавшее разрешение (руководитель территориального органа Росприроднадзора или должностное лицо, его замещающее).

Перечень, допустимые концентрации и количества загрязняющих веществ по каждому из выпусков сточных и (или) дренажных вод указываются в приложении к разрешению, оформляемому в табличной форме, которое является неотъемлемой частью разрешения.

Разрешение подписывается руководителем территориального органа Росприроднадзора или лицом, его замещающим, и заверяется оттиском гербовой печати.

Разрешения на сбросы оформляются в двух экземплярах, один из которых выдается Заявителю, а второй хранится в территориальном органе Росприроднадзора в течение пяти лет.

Подписанное разрешение на сбросы направляется в канцелярию либо соответствующее структурное подразделение территориального органа, сотрудник которого вносит информацию о подписании разрешения в базу данных и информирует по телефону Заявителя о времени выдачи разрешения на сбросы в день поступления подписанного разрешения.

Оформленное разрешение на сбросы выдается Заявителю либо его представителю по доверенности сотрудником канцелярии либо соответствующего структурного подразделения территориального органа Росприроднадзора, осуществляющего регистрацию входящей (исходящей) документации.

В случае если в заявлении, направленном в электронной форме, указан способ получения разрешения в виде электронного образа документа, то он направляется заявителю посредством электронной почты.

Должностное лицо территориального органа Росприроднадзора, ответственное за выполнение административного действия, прилагает второй экземпляр разрешения на сбросы (либо копию письма об отказе в выдаче) к материалам Заявителя (дело Заявителя), которые передаются на хранение в архив территориального органа Росприроднадзора.

Административная процедура "Переоформление разрешения на сбросы"

47. Административная процедура "Переоформление разрешения на сбросы" включает следующие административные действия:

прием и регистрация материалов Заявителя;

назначение ответственного должностного лица;

рассмотрение материалов Заявителя;

переоформление разрешения на сбросы;

архивирование бланка ранее выданного разрешения на сбросы (оригинала разрешения, предоставленного Заявителем) либо подготовка письма с мотивированным отказом в переоформлении разрешения на сбросы;

информирование и выдача переоформленного разрешения на сбросы либо письма об отказе;

внесение информации о переоформлении разрешения в соответствующий информационный ресурс (журнал, банк данных, реестр).

48. Разрешение на сбросы подлежит переоформлению при условии неизменности производственного процесса, расхода сырья и материалов, номенклатуры и объемов выпускаемой продукции (услуг), характеристик выпусков сбросов загрязняющих веществ со сточными водами в водный объект в случаях:

реорганизации юридического лица, изменения наименования, в том числе фирменного наименования, места его нахождения, государственного регистрационного номера записи о регистрации юридического лица и данных документа, подтверждающего факт внесения записи о юридическом лице в Единый государственный реестр юридических лиц (для юридического лица);

изменения фамилии (имени, отчества) индивидуального предпринимателя, места его жительства, данных документа, удостоверяющего его личность, государственного регистрационного номера записи о государственной регистрации в качестве индивидуального предпринимателя и данных документа, подтверждающего факт внесения записи об индивидуальном предпринимателе в Единый государственный реестр индивидуальных предпринимателей (для индивидуального предпринимателя).

49. Переоформление разрешения на сбросы допускается только в период действия утвержденных НДС или разрешения на сбросы в пределах лимитов на сбросы. Срок действия переоформленного разрешения на сбросы не должен превышать срока действия переоформляемого разрешения.

50. В случае реорганизации, изменения наименования, реквизитов юридических лиц и индивидуальных предпринимателей подача заявления о переоформлении разрешения на сбросы должна осуществляться в срок, не превышающий 30 рабочих дней с момента реорганизации юридического лица или изменения реквизитов юридического лица или индивидуального предпринимателя.

51. Основанием для начала административного действия при переоформлении разрешения на сбросы является поступление в территориальный орган Росприроднадзора, ранее выдавший разрешение на сбросы, заявления о переоформлении разрешения на сбросы, содержащего: сведения о полном и сокращенном наименовании юридического лица, юридический и почтовый адрес, телефон, ИНН, опись предоставляемых материалов, с указанием причины необходимости переоформления разрешения на сбросы, и материалов, подтверждающих необходимость переоформления разрешения на сбросы, и приложением следующих документов:

документа, подтверждающего внесение изменений в сведения о юридическом лице, содержащиеся в Едином государственном реестре юридических лиц (для юридического лица);

документа, подтверждающего внесение изменений в сведения об индивидуальном предпринимателе, содержащиеся в Едином государственном реестре индивидуальных предпринимателей (для индивидуального предпринимателя);

оригинала выданного ранее Заявителю в установленном порядке разрешения на сбросы;

справки о неизменности производственного процесса, расхода сырья и материалов, номенклатуры и объемов выпускаемой продукции (услуг), характеристик выпусков сбросов загрязняющих веществ со сточными водами в водный объект, подписанной Заявителем.

Заявление и опись прилагаемых материалов предоставляются в двух экземплярах.

52. Заявители имеют право направить документы почтовым отправлением, предоставить документы лично или направить в электронной форме с использованием информационно-телекоммуникационных сетей общего пользования, в том числе информационно-телекоммуникационной сети "Интернет", включая Единый портал.

53. Основаниями для отказа в переоформлении разрешения на сбросы являются:

наличие в предоставленных материалах Заявителя недостоверной или искаженной информации;

предоставление Заявителем неполного комплекта документов, определенного в соответствии с пунктом 51 Регламента.

О принятии решения об отказе в переоформлении разрешения на сбросы Заявитель информируется ответственным исполнителем по телефону и по почте письмом, оформленным в соответствии с Приложением 7 к настоящему Регламенту.

54. Сотрудник канцелярии либо соответствующего структурного подразделения территориального органа Росприроднадзора осуществляет регистрацию материалов Заявителя в течение 1 рабочего дня. Один экземпляр заявления и описи, подготовленной Заявителем, прилагающихся материалов с отметкой о дате приема направляется (вручается, возвращается) Заявителю.

При поступлении заявления и материалов в электронной форме с использованием информационно-телекоммуникационных сетей общего пользования, в том числе информационно-телекоммуникационной сети "Интернет", включая Единый портал, информация о получении заявления и материалов в течение рабочего дня, следующего за днем их поступления, направляется заявителю в электронной форме по указанному им адресу электронной почты.

55. Зарегистрированные материалы Заявителя передаются начальнику структурного подразделения (отдела) территориального органа Росприроднадзора для назначения ответственного исполнителя для их рассмотрения.

Начальник структурного подразделения территориального органа Росприроднадзора в срок, не превышающий 1 рабочего дня, назначает ответственного исполнителя с учетом его должностных обязанностей, о чем ставит резолюцию на материалах Заявителя. Ответственное должностное лицо (ответственный исполнитель) в соответствии с резолюцией получает материалы для исполнения.

56. Ответственный исполнитель в течение 5 рабочих дней рассматривает материалы Заявителя на соответствие перечню документов, указанных в пункте 51 Регламента, и в случае выявления некомплектности материалов Заявителя готовит проект письма Заявителю об отказе в переоформлении разрешения по причине некомплектности материалов, которое передает на визирование начальнику соответствующего структурного подразделения (отдела) территориального органа Росприроднадзора и на подпись руководителю территориального органа Росприроднадзора или лицу, его замещающему, имеющему право подписи в соответствии с должностным регламентом.

При установлении комплектности материалов Заявителя ответственный исполнитель рассматривает материалы Заявителя и готовит решение о переоформлении разрешения на сбросы (проект приказа территориального органа Росприроднадзора для случая переоформления, проект разрешения на сбросы, проект лимитов на сбросы) либо об отказе в переоформлении разрешения на сбросы в соответствии с пунктом 52 Регламента.

Подготовленный проект приказа территориального органа Росприроднадзора оформляется в соответствии с инструкцией по делопроизводству, визируется в установленном порядке и направляется на подпись руководителю территориального органа Росприроднадзора или лицу, его замещающему, имеющему право подписи в соответствии с должностным регламентом.

Фиксацией результата исполнения административного действия является подготовка проекта приказа, последующее издание приказа территориального органа Росприроднадзора о переоформлении разрешения на сбросы, проекта разрешения на сбросы либо мотивированный отказ в переоформлении разрешения.

Основанием для переоформления разрешения на сбросы является подписанный в установленном порядке приказ территориального органа Росприроднадзора о переоформлении разрешения на сбросы.

57. Ответственный исполнитель территориального органа Росприроднадзора в срок не более 2 рабочих дней с даты выпуска приказа территориального органа Росприроднадзора о переоформлении разрешения на сбросы оформляет разрешение на сбросы загрязняющих веществ в водные объекты согласно пункту 13 настоящего Регламента, и осуществляет визирование разрешения в порядке, определенном пунктом 46 Регламента. Разрешение подписывается руководителем территориального органа Росприроднадзора либо лицом, его замещающим, и заверяется оттиском гербовой печати. После подписания переоформленного разрешения на сбросы бланк ранее выданного разрешения на сбросы (оригинала разрешения, предоставленного Заявителем) прилагается к материалам Заявителя (дело Заявителя), которые передаются на хранение в архив.

58. Подписанное переоформленное разрешение на сбросы направляется в канцелярию либо соответствующее структурное подразделение территориального органа, сотрудник которого в базу данных входящих документов вносит информацию о подписи переоформленного разрешения на сбросы и информирует по телефону Заявителя о времени выдачи переоформленного разрешения на сбросы в день поступления подписанного разрешения. Выдача переоформленного разрешения на сбросы осуществляется Заявителю либо его представителю по доверенности в течение 1 рабочего дня сотрудником канцелярии либо соответствующего структурного подразделения территориального органа Росприроднадзора, осуществляющего регистрацию входящей (исходящей) документации, либо по истечении 30 рабочих дней после регистрации направляется почтовым отправлением в адрес Заявителя.

В случае если в заявлении, направленном в электронной форме, указан способ получения разрешения в виде электронного образа документа, то он направляется заявителю посредством электронной почты в течение 1 рабочего дня после переоформления разрешения.

59. Ответственный исполнитель в течение 1 рабочего дня с даты подписания переоформленного разрешения на сбросы вносит в базу данных информацию о выданном разрешении на сбросы, а также в перечень выданных разрешений на сбросы с пометкой о переоформлении. Должностное лицо территориального органа Росприроднадзора, ответственное за выполнение административного действия, прилагает копию выданного переоформленного разрешения на сбросы (либо отказа в переоформлении) к материалам Заявителя (дело Заявителя), сформированное при исполнении государственной услуги по выдаче разрешения на сбросы, хранящееся в архиве территориального органа Росприроднадзора, которое возвращается в архив для хранения.

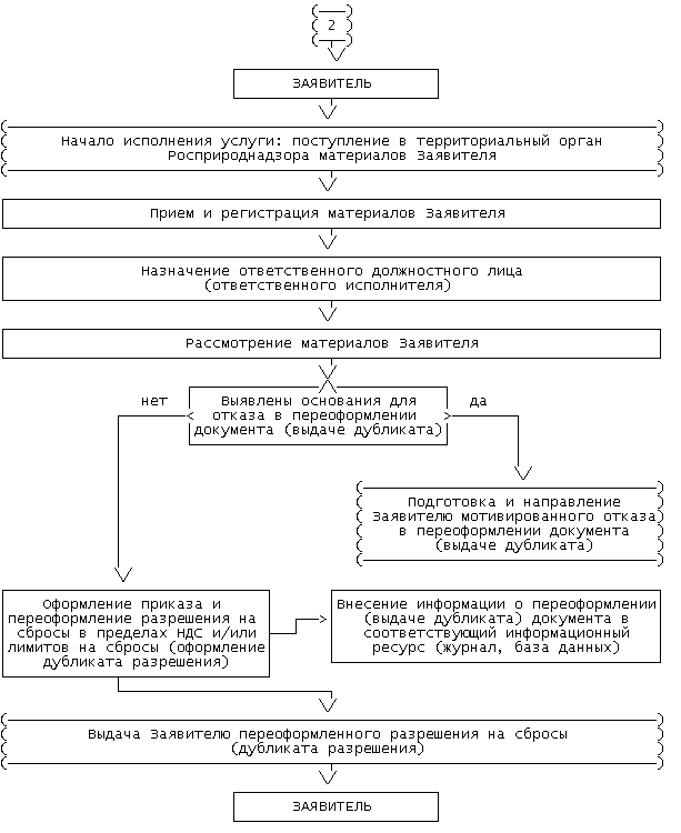
Административная процедура "Выдача дубликата разрешения на сбросы"

60. Административная процедура "Выдача дубликата разрешения на сбросы" включает следующие административные действия:

прием и регистрация материалов Заявителя;

назначение ответственного должностного лица;

рассмотрение материалов Заявителя;

оформление дубликата разрешения на сбросы либо подготовка письма с мотивированным отказом в выдаче дубликата разрешения на сбросы;

информирование и выдача дубликата разрешения на сбросы либо письма об отказе;

внесение информации о выдаче разрешения в соответствующий информационный ресурс (журнал, банк данных, реестр).

61. Дубликат разрешения на сбросы может быть выдан в случае порчи или утраты разрешения на сбросы.

62. Основанием для начала административного действия при получении дубликата разрешения на сбросы является поступление в территориальный орган Росприроднадзора, ранее выдавший разрешение на сбросы, заявления о выдаче дубликата разрешения на сбросы содержащего сведения о полном и сокращенном наименовании юридического лица, юридический и почтовый адрес, телефон, ИНН, опись предоставляемых материалов, с указанием причины необходимости выдачи дубликата разрешения на сбросы, с приложением номера и даты выданного ранее Заявителю в установленном порядке разрешения на сбросы.

Заявление и опись прилагаемых материалов предоставляются в двух экземплярах.

63. Заявители имеют право направить документы почтовым отправлением, предоставить документы лично или направить в электронной форме с использованием информационно-телекоммуникационных сетей общего пользования, в том числе информационно-телекоммуникационной сети "Интернет", включая Единый портал.

64. Основаниями для отказа в выдаче дубликата разрешения на сбросы являются:

наличие в предоставленных материалах Заявителя недостоверной или искаженной информации;

предоставление Заявителем неполного комплекта документов, определенного в соответствии с пунктом 60 Регламента.

О принятии решения об отказе в выдаче дубликата разрешения на сбросы Заявитель информируется ответственным исполнителем по телефону и по почте письмом, оформленным в соответствии с Приложением 8 к настоящему Регламенту.

65. Сотрудник канцелярии либо соответствующего структурного подразделения территориального органа Росприроднадзора осуществляет регистрацию материалов Заявителя в течение 1 рабочего дня. Один экземпляр заявления и описи, подготовленной Заявителем, прилагающихся материалов с отметкой о дате приема направляется (вручается, возвращается) Заявителю.

При поступлении заявления и материалов в электронной форме с использованием информационно-телекоммуникационных сетей общего пользования, в том числе информационно-телекоммуникационной сети "Интернет", включая Единый портал, информация о получении заявления и материалов в течение рабочего дня, следующего за днем их поступления, направляется заявителю в электронной форме по указанному им адресу электронной почты.

Зарегистрированные материалы Заявителя передаются начальнику структурного подразделения (отдела) территориального органа Росприроднадзора для назначения ответственного исполнителя для их рассмотрения.

Начальник структурного подразделения территориального органа Росприроднадзора в срок, не превышающий 1 рабочего дня, назначает ответственного исполнителя с учетом его должностных обязанностей, о чем ставит резолюцию на материалах Заявителя. Ответственное должностное лицо (ответственный исполнитель) в соответствии с резолюцией получает материалы для исполнения.

66. Ответственный исполнитель в течение 5 рабочих дней рассматривает материалы Заявителя на соответствие перечню документов, указанных в пункте 60 Регламента, и в случае выявления некомплектности материалов Заявителя готовит проект письма Заявителю об отказе в выдаче дубликата разрешения по причине некомплектности материалов, которое передает на визирование начальнику соответствующего структурного подразделения (отдела) территориального органа Росприроднадзора и на подпись руководителю территориального органа Росприроднадзора или лицу, его замещающему, имеющему право подписи в соответствии с должностным регламентом.

При установлении комплектности материалов Заявителя ответственный исполнитель рассматривает материалы Заявителя и готовит решение о выдаче дубликата разрешения на сбросы либо об отказе в выдаче дубликата разрешения на сбросы.

67. Дубликат оформляется на бланке разрешения с пометками "дубликат" и "оригинал разрешения признается недействующим".

Подготовленный дубликат разрешения визируется в установленном порядке и направляется на подпись руководителю территориального органа Росприроднадзора или лицу, его замещающему, имеющему право подписи в соответствии с должностным регламентом.

Фиксацией результата исполнения административного действия является подписание дубликата разрешения на сбросы либо мотивированного отказа в выдаче дубликата разрешения.

68. Подписанный дубликат разрешения на сбросы направляется в канцелярию либо соответствующее структурное подразделение территориального органа, сотрудник которого в базу данных входящих документов вносит информацию о подписи дубликата разрешения на сбросы и информирует по телефону Заявителя о времени выдачи дубликата разрешения на сбросы в день поступления подписанного дубликата разрешения. Выдача дубликата разрешения на сбросы осуществляется Заявителю либо его представителю по доверенности в течение 1 рабочего дня сотрудником канцелярии либо соответствующего структурного подразделения территориального органа Росприроднадзора, осуществляющего регистрацию входящей (исходящей) документации, либо по истечении 30 рабочих дней после регистрации направляется почтовым отправлением в адрес Заявителя.

В случае если в заявлении, направленном в электронной форме, указан способ получения дубликата разрешения в виде электронного образа документа, то он направляется заявителю посредством электронной почты в течение 1 рабочего дня после переоформления разрешения.

69. Ответственный исполнитель в течение 1 рабочего дня с даты подписания дубликата разрешения на сбросы вносит в базу данных информацию о выданном дубликате разрешения на сбросы, а также в перечень выданных разрешений на сбросы пометку о выдаче дубликата разрешения. Должностное лицо территориального органа Росприроднадзора, ответственное за выполнение административного действия, прилагает копию выданного дубликата разрешения на сбросы (либо отказа в выдаче дубликата) к материалам Заявителя (дело Заявителя), сформированное при исполнении государственной услуги по выдаче разрешения на сбросы, хранящееся в архиве территориального органа Росприроднадзора, которое возвращается в архив для хранения.

IV. Формы контроля за предоставлением государственной услуги

Порядок осуществления текущего контроля за соблюдением и исполнением ответственными должностными лицами положений административного регламента и иных нормативных правовых актов, устанавливающих требования к предоставлению государственной услуги, а также принятием ими решений

70. Текущий контроль за исполнением Регламента осуществляется должностными лицами, ответственными за организацию работы по исполнению государственной услуги, путем проведения проверок соблюдения и исполнения ответственными исполнителями положений Регламента, нормативных правовых актов Российской Федерации.

Перечень должностных лиц, осуществляющих текущий контроль, устанавливается индивидуальными правовыми актами территориального органа Росприроднадзора.

71. Росприроднадзор осуществляет координацию и методическое обеспечение деятельности по вопросам выдачи разрешений на сбросы, а также контроля за исполнением государственной услуги.

Порядок и периодичность осуществления плановых и внеплановых проверок полноты и качества предоставления государственной услуги, в том числе порядок и формы контроля за полнотой и качеством предоставления государственной услуги

72. Периодичность осуществления текущего контроля устанавливается руководителем Росприроднадзора или территориального органа Росприроднадзора.

Текущий контроль (далее - проверки) может быть плановым (осуществляться на основании полугодовых или годовых планов работы Росприроднадзора или его территориальных органов) и внеплановым (проводиться по конкретному обращению Заявителя, органов государственной власти, пр.).

73. При плановой проверке контролю подлежат:

- соблюдение сроков прохождения заявления о принятии предварительного решения с даты регистрации до поступления на исполнение ответственному исполнителю;

- соблюдение сроков исполнения заявления о принятии предварительного решения, в том числе при уведомлении заявителя о предоставлении дополнительной информации и при отклонении заявления;

- полнота и правильность оформления разрешения на сбросы;

- правильность и обоснованность принятого решения о выдаче разрешения на сбросы;

- обоснованность предложений ответственного исполнителя о принятии решения об отклонении заявления, прекращении действия, изменении или отзыве решения;

- соблюдение сроков при предоставлении мотивированного отказа в выдаче разрешения на сбросы.

При проверке могут рассматриваться другие вопросы, связанные с исполнением государственной услуги (комплексные проверки) или исполнением отдельных административных процедур (тематические проверки).

Проверки полноты и качества исполнения государственной услуги осуществляются на основании индивидуальных правовых актов (приказов) Росприроднадзора, его территориальных органов.

74. Внеплановые проверки могут проводиться по конкретному обращению заявителей или иных заинтересованных лиц.

Внеплановая проверка осуществляется посредством рассмотрения предоставленных заявителем документов, принятых должностными лицами Росприроднадзора, на предмет соответствия предоставления государственной услуги порядку и срокам, установленным настоящим Регламентом.

Проверке подлежат результаты рассмотрения жалобы на действия (бездействие) и решения должностных лиц Росприроднадзора при предоставлении государственной услуги, а также результаты принятых решений по не менее чем десяти заявлениям заявителей о выдаче разрешения на сбросы или решений о мотивированном отказе в его выдаче; переоформлении разрешения на сбросы; выдаче дубликата разрешения на сбросы.

75. Результаты плановой и внеплановой проверок оформляются актом.

Акт составляется в двух экземплярах в произвольной форме, при этом в акте приводится информация о выявленных в ходе проверки нарушениях административных процедур и сроков, установленных настоящим Регламентом, с указанием должностных лиц, допустивших нарушения; о правомочности и обоснованности принятых решений; о соответствии должностных регламентов государственных гражданских служащих, участвующих в предоставлении государственной услуги по выдаче разрешений на сбросы, настоящему Регламенту в части наличия в них записи о соответствующих административных действиях; о выводах комиссии по результатам проверки полноты и качества предоставления государственной услуги.

76. Для проведения проверки полноты и качества исполнения государственной услуги может быть сформирована комиссия, в состав которой включаются федеральные государственные гражданские служащие Росприроднадзора, его территориальных органов.

Деятельность комиссии осуществляется в соответствии с индивидуальными правовыми актами (приказами Росприроднадзора).

Результаты деятельности комиссии оформляются в виде акта проверки, в котором отмечаются выявленные недостатки и предложения по их устранению.

Акт проверки подписывается председателем комиссии и руководителем проверяемого структурного подразделения территориального органа Росприроднадзора, ответственного за выдачу разрешительных документов.

Ответственность должностных лиц Росприроднадзора за решения и действия (бездействия), принимаемые (осуществляемые) ими в ходе предоставления государственной услуги

77. По результатам проведенных проверок в случае выявления нарушений положений Регламента, иных нормативных правовых актов Российской Федерации осуществляется привлечение виновных лиц к ответственности в соответствии с законодательством Российской Федерации.

Ответственный исполнитель, уполномоченный на подготовку проекта разрешения на сбросы, несет персональную ответственность за соблюдение сроков рассмотрения документов, по результатам которых может быть принято решение о выдаче разрешительных документов.

Должностное лицо, уполномоченное принимать решение о выдаче разрешительных документов, несет персональную ответственность за правильность и обоснованность принятого решения.

Соблюдение установленной руководителем Росприроднадзора периодичности осуществления текущего контроля, в том числе сроков плановых проверок, является обязательным.

По результатам осуществления контроля за исполнением государственной услуги по выдаче разрешений на сбросы принимаются меры по устранению выявленных недостатков.

78. Персональная ответственность государственных гражданских служащих Росприроднадзора, его территориальных органов закрепляется в должностных регламентах в соответствии с требованиями законодательства Российской Федерации.

Положения, характеризующие требования к порядку и формам контроля за предоставлением государственной услуги, в том числе со стороны граждан, их объединений и организаций

79. Контроль за исполнением административных процедур по предоставлению государственной услуги со стороны граждан, их объединений и организаций осуществляется с использованием соответствующей информации, размещенной на официальном Интернет-сайте Росприроднадзора, территориальных органов Росприроднадзора.

Граждане, их объединения и организации вправе осуществлять контроль за предоставлением государственной услуги путем направления вышестоящему должностному лицу Росприроднадзора, территориального органа Росприроднадзора обоснованной жалобы с указанием конкретных нарушений, совершенных должностным лицом территориального органа Росприроднадзора, предоставляющим государственную услугу, в соответствии с разделом V настоящего Регламента.

Граждане, их объединения и организации вправе осуществлять контроль за предоставлением государственной услуги в иных не запрещенных нормативными правовыми актами способах.

V. Досудебный (внесудебный) порядок обжалования решений и действий (бездействия) территориальных органов Росприроднадзора и его должностных лиц, предоставляющих государственную услугу

80. Заявитель имеет право на обжалование решений, действий (бездействия) территориальных органов Росприроднадзора и его должностных лиц в досудебном (внесудебном) порядке.

Жалобы на нарушение порядка предоставления государственных услуг, выразившееся в неправомерных решениях и действиях (бездействии) территориальных органов Росприроднадзора и их должностных лиц, подаются с соблюдением требований Федерального закона от 27 июля 2010 г. N 210-ФЗ "Об организации предоставления государственных и муниципальных услуг".

81. Жалоба подается в Росприроднадзор, территориальный орган Росприроднадзора в письменной форме, в том числе при личном приеме заявителя, или в электронном виде.

82. Жалоба должна содержать:

а) наименование территориального органа Росприроднадзора, его должностных лиц, решения и действия (бездействие) которых обжалуются;

б) фамилию, имя, отчество (при наличии), сведения о месте жительства заявителя - физического лица либо наименование, сведения о месте нахождения заявителя - юридического лица, а также номер (номера) контактного телефона, адрес (адреса) электронной почты (при наличии) и почтовый адрес, по которым должен быть направлен ответ заявителю;

в) сведения об обжалуемых решениях и действиях (бездействии) территориального органа Росприроднадзора, его должностных лиц;

г) доводы, на основании которых заявитель не согласен с решением и действием (бездействием) территориального органа Росприроднадзора, его должностных лиц. Заявителем могут быть предоставлены документы (при наличии), подтверждающие доводы заявителя, либо их копии.

83. В случае если жалоба подается через представителя заявителя, также предоставляется документ, подтверждающий полномочия на осуществление действий от имени заявителя. В качестве документа, подтверждающего полномочия на осуществление действий от имени заявителя, может быть предоставлена:

а) оформленная в соответствии с законодательством Российской Федерации доверенность (для физических лиц);

б) оформленная в соответствии с законодательством Российской Федерации доверенность, заверенная печатью заявителя и подписанная руководителем заявителя или уполномоченным этим руководителем лицом (для юридических лиц);

в) копия решения о назначении или об избрании либо приказа о назначении физического лица на должность, в соответствии с которым такое физическое лицо обладает правом действовать от имени заявителя без доверенности.

84. Прием жалоб в письменной форме осуществляется в месте предоставления государственной услуги (в месте, где заявитель подавал запрос на получение государственной услуги, нарушение порядка которой обжалуется, либо в месте, где заявителем получен результат указанной государственной услуги).

Время приема жалоб совпадает со временем предоставления государственных услуг.

Жалоба в письменной форме может быть также направлена по почте.

В случае подачи жалобы при личном приеме заявитель предоставляет документ, удостоверяющий его личность в соответствии с законодательством Российской Федерации.

85. В электронном виде жалоба может быть подана заявителем посредством:

а) официального сайта Росприроднадзора, территориального органа Росприроднадзора, в информационно-телекоммуникационной сети "Интернет";

б) федеральной государственной информационной системы "Единый портал государственных и муниципальных услуг (функций)" (Единый портал).

86. При подаче жалобы в электронном виде документы, указанные в пункте 83 настоящего Регламента, могут быть предоставлены в форме электронных документов, подписанных электронной подписью, вид которой предусмотрен законодательством Российской Федерации, при этом документ, удостоверяющий личность заявителя, не требуется.

87. Жалоба рассматривается территориальным органом Росприроднадзора, предоставляющим государственную услугу, порядок предоставления которой был нарушен вследствие решений и действий (бездействия) указанного органа, предоставляющего государственную услугу, его должностного лица. В случае если обжалуются решения руководителя территориального органа Росприроднадзора, предоставляющего государственную услугу, жалоба подается в Росприроднадзор и рассматривается в порядке, предусмотренном Правилами подачи и рассмотрения жалоб на решения и действия (бездействие) федеральных органов исполнительной власти и их должностных лиц, федеральных государственных служащих, должностных лиц государственных внебюджетных фондов Российской Федерации, утвержденными постановлением Правительства Российской Федерации от 16 августа 2012 г. N 840, и настоящим Регламентом.

88. В случае если жалоба подана заявителем в орган, в компетенцию которого не входит принятие решения по жалобе в соответствии с требованиями пункта 87 настоящего Регламента, в течение 3 рабочих дней со дня ее регистрации указанный орган направляет жалобу в уполномоченный на ее рассмотрение орган и в письменной форме информирует заявителя о перенаправлении жалобы.

При этом срок рассмотрения жалобы исчисляется со дня регистрации жалобы в уполномоченном на ее рассмотрение органе.

89. Жалоба может быть подана заявителем через многофункциональный центр предоставления государственных и муниципальных услуг (далее - многофункциональный центр). При поступлении жалобы многофункциональный центр обеспечивает ее передачу в уполномоченный на ее рассмотрение орган в порядке и сроки, которые установлены соглашением о взаимодействии между многофункциональным центром и органом, предоставляющим государственную услугу (далее - соглашение о взаимодействии), но не позднее следующего рабочего дня со дня поступления жалобы.

Жалоба на нарушение порядка предоставления государственной услуги многофункциональным центром рассматривается в соответствии с Правилами подачи и рассмотрения жалоб на решения и действия (бездействие) федеральных органов исполнительной власти и их должностных лиц, федеральных государственных служащих, должностных лиц государственных внебюджетных фондов Российской Федерации, утвержденными постановлением Правительства Российской Федерации от 16 августа 2012 г. N 840, органом, предоставляющим государственную услугу, заключившим соглашение о взаимодействии.

При этом срок рассмотрения жалобы исчисляется со дня регистрации жалобы в уполномоченном на ее рассмотрение органе.

90. Заявитель может обратиться с жалобой в том числе в следующих случаях:

а) нарушение срока регистрации запроса заявителя о предоставлении государственной услуги;

б) нарушение срока предоставления государственной услуги;

в) требование предоставления заявителем документов, не предусмотренных нормативными правовыми актами Российской Федерации для предоставления государственной услуги;

г) отказ в приеме документов, предоставление которых предусмотрено нормативными правовыми актами Российской Федерации для предоставления государственной услуги;

д) отказ в предоставлении государственной услуги, если основания отказа не предусмотрены федеральными законами и принятыми в соответствии с ними иными нормативными правовыми актами Российской Федерации;

е) требование внесения заявителем при предоставлении государственной услуги платы, не предусмотренной нормативными правовыми актами Российской Федерации;

ж) отказ территориального органа Росприроднадзора, его должностного лица в исправлении допущенных опечаток и ошибок в выданных в результате предоставления государственной услуги документах либо нарушение установленного срока таких исправлений.

91. В Росприроднадзоре, территориальных органах Росприроднадзора определяются уполномоченные на рассмотрение жалоб должностные лица, которые обеспечивают:

а) прием и рассмотрение жалоб в соответствии с требованиями Правил подачи и рассмотрения жалоб на решения и действия (бездействие) федеральных органов исполнительной власти и их должностных лиц, федеральных государственных служащих, должностных лиц государственных внебюджетных фондов Российской Федерации, утвержденных постановлением Правительства Российской Федерации от 16 августа 2012 г. N 840, и настоящим Регламентом;

б) направление жалоб в уполномоченный на их рассмотрение орган в соответствии с пунктом 88 настоящего Регламента.

92. В случае установления в ходе или по результатам рассмотрения жалобы признаков состава административного правонарушения, предусмотренного статьей 5.63 Кодекса Российской Федерации об административных правонарушениях, или признаков состава преступления должностное лицо, уполномоченное на рассмотрение жалоб, незамедлительно направляет соответствующие материалы в органы прокуратуры.

93. Росприроднадзор, территориальные органы Росприроднадзора, предоставляющие государственные услуги, обеспечивают:

а) оснащение мест приема жалоб;

б) информирование заявителей о порядке обжалования решений и действий (бездействия) органов, предоставляющих государственные услуги, их должностных лиц посредством размещения информации на стендах в местах предоставления государственных услуг, на их официальных сайтах, на Едином портале;

в) консультирование заявителей о порядке обжалования решений и действий (бездействия) органов, предоставляющих государственные услуги, их должностных лиц либо федеральных государственных служащих, в том числе по телефону, электронной почте, при личном приеме;

г) заключение соглашений о взаимодействии в части осуществления многофункциональными центрами приема жалоб и выдачи заявителям результатов рассмотрения жалоб;

д) формирование и предоставление ежеквартально в вышестоящий орган отчетности о полученных и рассмотренных жалобах (в том числе о количестве удовлетворенных и неудовлетворенных жалоб).

94. Жалоба, поступившая в Росприроднадзор, территориальный орган Росприроднадзора, подлежит регистрации не позднее следующего рабочего дня со дня ее поступления. Жалоба рассматривается в течение 15 рабочих дней со дня ее регистрации, если более короткие сроки рассмотрения жалобы не установлены органом, уполномоченным на ее рассмотрение.

В случае обжалования отказа территориального органа Росприроднадзора, предоставляющего государственную услугу, его должностного лица в приеме документов у заявителя либо в исправлении допущенных опечаток и ошибок или в случае обжалования заявителем нарушения установленного срока таких исправлений жалоба рассматривается в течение 5 рабочих дней со дня ее регистрации.

95. По результатам рассмотрения жалобы в соответствии с частью 7 статьи 11.2 Федерального закона от 27 июля 2010 г. N 210-ФЗ "Об организации предоставления государственных и муниципальных услуг" Росприроднадзор, территориальный орган Росприроднадзора принимает решение об удовлетворении жалобы либо об отказе в ее удовлетворении.

При удовлетворении жалобы Росприроднадзор, территориальный орган Росприроднадзора принимает исчерпывающие меры по устранению выявленных нарушений, в том числе по выдаче заявителю результата государственной услуги, не позднее 5 рабочих дней со дня принятия решения, если иное не установлено законодательством Российской Федерации.

96. Ответ по результатам рассмотрения жалобы направляется заявителю не позднее дня, следующего за днем принятия решения, в письменной форме.

97. В ответе по результатам рассмотрения жалобы указываются:

а) наименование органа, предоставляющего государственную услугу, рассмотревшего жалобу, должность, фамилия, имя, отчество (при наличии) его должностного лица, принявшего решение по жалобе;

б) номер, дата, место принятия решения, включая сведения о должностном лице, решение или действие (бездействие) которого обжалуется;

в) фамилия, имя, отчество (при наличии) или наименование заявителя;

г) основания для принятия решения по жалобе;

д) принятое по жалобе решение;

е) в случае, если жалоба признана обоснованной, - сроки устранения выявленных нарушений, в том числе срок предоставления результата государственной услуги;

ж) сведения о порядке обжалования принятого по жалобе решения.

98. Ответ по результатам рассмотрения жалобы подписывается уполномоченным на рассмотрение жалобы должностным лицом Росприроднадзора, территориального органа Росприроднадзора.

По желанию заявителя ответ по результатам рассмотрения жалобы может быть предоставлен не позднее дня, следующего за днем принятия решения, в форме электронного документа, подписанного электронной подписью уполномоченного на рассмотрение жалобы должностного лица Росприроднадзора, территориального органа Росприроднадзора, уполномоченного на рассмотрение жалобы, вид которой установлен законодательством Российской Федерации.

99. Росприроднадзор, территориальный орган Росприроднадзора отказывает в удовлетворении жалобы в следующих случаях:

а) наличие вступившего в законную силу решения суда, арбитражного суда по жалобе о том же предмете и по тем же основаниям;

б) подача жалобы лицом, полномочия которого не подтверждены в порядке, установленном законодательством Российской Федерации;

в) наличие решения по жалобе, принятого ранее в соответствии с требованиями Правил подачи и рассмотрения жалоб на решения и действия (бездействие) федеральных органов исполнительной власти и их должностных лиц, федеральных государственных служащих, должностных лиц государственных внебюджетных фондов Российской Федерации, утвержденных постановлением Правительства Российской Федерации от 16 августа 2012 г. N 840, и настоящего Регламента, в отношении того же заявителя и по тому же предмету жалобы.

100. Росприроднадзор, территориальный орган Росприроднадзора вправе оставить жалобу без ответа в следующих случаях:

а) наличие в жалобе нецензурных либо оскорбительных выражений, угроз жизни, здоровью и имуществу должностного лица, а также членов его семьи;

б) отсутствие возможности прочитать какую-либо часть текста жалобы, фамилию, имя, отчество (при наличии) и (или) почтовый адрес заявителя, указанные в жалобе.

Приложение 1
к Административному регламенту
Федеральной службы по надзору в сфере
природопользования по предоставлению
государственной услуги по выдаче
разрешений на сбросы веществ
(за исключением радиоактивных
веществ) и микроорганизмов
в водные объекты

N п/п Наименование территориального органа Адрес Номера телефонов
Центральный федеральный округ
1 Департамент Росприроднадзора по Центральному федеральному округу Варшавское шоссе, 39а, г. Москва, 117105 (499) 611-34-24 приемная
rycfo@rambler.ru (499) 611-04-38 факс
Время: 0
2 Управление Росприроднадзора по Белгородской области ул. Богдана Хмельницкого, 86, корп. Б, г. Белгород, 308007 (4722) 26-15-53
rosprirodnadzor@naukabel.ru (4722) 26-44-34 т/факс
Время: 0
3 Управление Росприроднадзора по Брянской области Переулок Осовиахима, 3г, г. Брянск, 241019 (4832) 41-02-30
urpn@online.debryansk.ru (4832) 41-02-33 т/факс
Время: 0
4 Управление Росприроднадзора по Владимирской области ул. 2-я Никольская, 8, г. Владимир, 600000 (4922) 32-46-84
nadzor@vinfo.ru (4922) 32-33-66 факс
Время: 0
5 Управление Росприроднадзора по Воронежской области ул. Ломоносова, 105, г. Воронеж, 394087 (4732) 35-71-21 приемная, т/факс
nadzor@box.vsi.ru
Время: 0
6 Управление Росприроднадзора по Ивановской области ул. Дзержинского, 8, г. Иваново, 153025 (4932) 42-02-64
ivnadzor@mail.ru (4932) 32-74-72 т/факс
Время: 0
7 Управление Росприроднадзора по Калужской области пер. Старичков, 2А, г. Калуга, 248620 (4842) 57-60-56
kaluganadzor@mail.ru (4842) 56-35-05 т/факс
Время: 0
8 Управление Росприроднадзора по Костромской области ул. Коммунаров, 22, г. Кострома, 156003 (4942) 58-00-92
uprprirod@kmtn.ru (4942) 55-80-43 т/факс
Время: 0
9 Управление Росприроднадзора по Курской области ул. Карла Маркса, 53, г. Курск, 305029 (4712) 51-36-92,
priroda@sovtest.ru (4712) 58-00-81 т/факс
Время: 0
10 Управление Росприроднадзора по Липецкой области ул. Адмирала Макарова, 1г, г. Липецк, 398005 (4742) 43-07-10
rospriroda@lipetsk.ru (4742) 43-13-17 приемная, т/факс
Время: 0
11 Управление Росприроднадзора по Рязанской области Московское шоссе, 12, г. Рязань, 390044 (4912) 34-72-60 приемная
lidiya@priroda.ryazan.ru (4912) 35-87-42 т/факс
Время: 0
12 Управление Росприроднадзора по Смоленской области ул. Николаева, 126, г. Смоленск, 214004 (4812) 32-00-07
rpnsmol@mail.ru (4812) 38-92-52 приемная, т/факс
Время: 0
13 Управление Росприроднадзора по Тамбовской области пл. Кронштадтская, 7а, г. Тамбов, 392036 (4752) 72-00-20
priroda@tamb.ru (4752) 72-30-86 т/факс
Время: 0
14 Управление Росприроднадзора по Тверской области Волоколамский пр-т, 3, г. Тверь, 170000 (4822) 35-58-31 приемная, т/факс
ecotver@tvcom.ru
Время: 0
15 Управление Росприроднадзора по Тульской области пр-т Ленина, 38, г. Тула, 300041 (4872) 30-84-89
rptula@tula.net (4872) 36-44-83 т/факс
Время: 0
16 Управление Росприроднадзора по Ярославской области ул. Красноборская, 8, г. Ярославль, 150051 (4852) 74-33-98
goskontrol_jar@mail.ru (4852) 24-41-07
Время: 0 (4852) 35-21-87 приемная, т/факс
17 Управление Росприроднадзора по Орловской области ул. Комсомольская, 33, г. Орел, 302001 (4862) 43-14-57
urpn@orel.ru (4862) 77-77-30 т/факс
Время: 0
Северо-Западный федеральный округ
18 Департамент Росприроднадзора по Северо-Западному федеральному округу Литейный пр-т, 39, г. Санкт-Петербург, 191014 (812) 579-84-93 приемная
pochta@rpn-lo.ru (812) 579-84-94 т/факс приемной
Время: 0
19 Управление Росприроднадзора по Архангельской области Троицкий пр., 14, г. Архангельск, 163061 (8182) 20-69-00
gupr@ecolog.atnet.ru (8182) 20-46-90 т/факс
Время: 0
20 Управление Росприроднадзора по Вологодской области ул. Зосимовская, 65, г. Вологда, 160035 (8172) 75-31-36 приемная, т/факс
kpr_admin@vologda.ru (8172) 75-17-39 т/факс
Время: 0
21 Управление Росприроднадзора по Республике Коми ул. Интернациональная, 152, г. Сыктывкар, 167982 (8212) 21-46-01
komieco@mail.ru (8212) 21-53-06
Время: 0 (8212) 21-52-39 т/факс
22 Управление Росприроднадзора по Калининградской области ул. Офицерская, 6, г. Калининград, 236000 (4012) 93-04-50 приемная
comres@kaliningrad.ru (4012) 93-04-28 т/факс
Время: -1
23 Управление Росприроднадзора по Республике Карелия ул. Дзержинского, 9, г. Петрозаводск, 185035 (8142) 78-36-56
ecolog@karelia.ru (8142) 78-46-79 т/факс
Время: 0
24 Управление Росприроднадзора по Мурманской области Кольский пр-т, 24а, г. Мурманск, 183042 (8152) 25-09-08
office@com.mels.ru (8152) 23-10-26 т/факс
Время: 0
25 Управление Росприроднадзора по Ненецкому автономному округу ул. Рабочая, 39а, г. Нарьян-Мар, 166001 (81853) 4-15-91 приемная, т/факс
urpnnao@atnet.ru
Время: 0
26 Управление Росприроднадзора по Новгородской области пр-т Мира, 22/25, г. Великий Новгород, 173025 (8162) 61-55-19 т/факс
viv@kpr.natm.ru
Время: 0
27 Управление Росприроднадзора по Псковской области ул. Конная, 10, г. Псков, 180007 (8112) 57-18-37 т/факс
nature@peterstar.ru
Время: 0
Южный федеральный округ
28 Департамент Росприроднадзора по Южному федеральному округу пр-т Стачки, 200/1, корп. 3, г. Ростов-на-Дону, 344090 (863) 219-88-07
dpryug@aaanet.ru (863) 297-50-12
Время: 0 (863) 297-50-14 т/факс
29 Управление Росприроднадзора по Астраханской области ул. Бакинская, 113, г. Астрахань, 414000 (8512) 22-90-83 приемная
environ@astranet.ru (8512) 39-19-43 т/факс
Время: 0
30 Управление Росприроднадзора по Волгоградской области ул. Профсоюзная, 30, г. Волгоград, 400001 (8442) 94-80-05
volgnadzor@volg-gsm.ru (8442) 94-80-00 т/факс
Время: 0
31 Управление Росприроднадзора по Краснодарскому краю и Республике Адыгея ул. Красная, 19, г. Краснодар, 350063 (861) 268-38-49
rosprirodnadzor@mail.ru (861) 268-62-30
Время: 0 (861) 268-42-70 т/факс
32 Управление Росприроднадзора по Республике Калмыкия ул. Лермонтова, 4, г. Элиста, 358000 (84722) 2-86-17
kalmupr@infotecset.ru (84722) 2-29-10 т/факс
Время: 0
Северо-Кавказский федеральный округ
33 Департамент Росприроднадзора по Северо-Кавказскому федеральному округу ул. Шмидта, 74а, г. Ессентуки, Ставропольский край, 357601 (87934) 2-20-31
prirodaskfo@yandex.ru (87934) 2-21-27 т/факс
Время: 0
34 Управление Росприроднадзора по Ставропольскому краю ул. Голенева, 18, г. Ставрополь, 355006 (8652) 95-67-18
ufsnp@estav.ru (8652) 95-62-24 т/факс
Время: 0
35 Управление Росприроднадзора по Республике Дагестан ул. Буганова, 17б, г. Махачкала, 367027 (8722) 68-04-88 приемная, т/факс
dagnadzor@list.ru
Время: 0
36 Управление Росприроднадзора по Республике Ингушетия ул. Сейнароева, 122, ст. Орджоникидзевская, 386202 (8734) 72-22-75 приемная, т/факс
magasnedra@mail.ru
Время: 0
37 Управление Росприроднадзора по Кабардино-Балкарской Республике ул. Тарчокова, 18а, г. Нальчик, 360030 (8662) 47-47-42 приемная
prirodakbr@mail.ru
Время: 0 (8662) 40-03-64 т/факс
38 Управление Росприроднадзора по Карачаево-Черкесской Республике ул. Гагарина, 17, г. Черкесск, 369000 (8782) 25-28-90 приемная, т/факс
kpr@mail.svkchr.ru
Время: 0
39 Управление Росприроднадзора по Республика Северная Осетия - Алания ул. Иристонская, 25а, г. Владикавказ, 362021 (8672) 76-75-97 приемная
cnr@inbox.ru (8672) 74-95-95
Время: 0 (8672) 74-80-48 т/факс
40 Управление Росприроднадзора то Чеченской Республике проспект Исаева, 36, г. Грозный, 364000 (8712) 22-46-75 приемная, т/факс
urpchr@yandex.ru,
ircho2005@yandex.ru
Время: 0
Приволжский федеральный округ
41 Департамент Росприроднадзора по Приволжскому федеральному округу ул. М. Горького, 150, г. Нижний Новгород, ГСП-165, 603000 (831) 233-34-44 приемная
dgk@privol-dgk.nnov.ru (831) 233-34-50 т/факс
Время: 0
42 Управление Росприроднадзора по Республике Башкортостан ул. Менделеева, 148, г. Уфа, 450080 (347) 252-30-02
prirodnadzor_rb@ufanet.ru (347) 228-57-10
Время: +2 (347) 228-98-75 т/факс
43 Управление Росприроднадзора по Кировской области ул. Воровского, 78, г. Киров, 610035 (8332) 63-57-22
urpn@e-kirov.ru (8332) 57-17-15 т/факс
Время: 0
44 Управление Росприроднадзора по Оренбургской области ул. 10 Линия, 2а, г. Оренбург, 460040 (3532) 70-81-13
press@esoo.ru (3532) 70-71-06
Время: +2 (3532) 70-73-84 т/факс
45 Управление Росприроднадзора по Пензенской области ул. Пушкина, 167б, г. Пенза, 440018 (8412) 55-92-30
goskontr@sura.ru (8412) 48-27-20 т/факс
Время: 0
46 Управление Росприроднадзора по Пермскому краю ул. Крылова, 34, г. Пермь, 614081 (342) 280-78-45 приемная
prirodnadzor@perm.ru
Время: +2 (342) 280-80-80 т/факс
47 Управление Росприроднадзора по Самарской области ул. Красноармейская, 21, г. Самара, 443010 (846) 332-90-90
samarnedra@mail.ru (846) 270-41-82 т/факс
Время: 0 (846) 270-41-83 т/факс
48 Управление Росприроднадзора по Саратовской области ул. Московская, 70, г. Саратов, 410012 (8452) 27-57-57 приемная, т/факс
kpr@kpr.renet.ru
Время: 0
49 Управление Росприроднадзора по Республике Татарстан ул. Вишневского, 26, корпус А2, г. Казань, 420049 (843) 200-03-31
Delo.Prirodnadzor@tatar.ru (843) 200-03-32 т/факс
Время: 0
50 Управление Росприроднадзора по Удмуртской Республике ул. Баранова, 88, г. Ижевск, 426006 (3412) 61-60-74 приемная, т/факс
urpn-ur@udmnet.ru
Время: 0
51 Управление Росприроднадзора по Ульяновской области ул. Подлесная, 24, г. Ульяновск, 432030 (8422) 46-80-88
ulexpert@mv.ru (8422) 46-83-34 приемная, т/факс
lydmila-sid@yandex.ru
Время: +1
52 Управление Росприроднадзора по Чувашской Республике пр-т Мира, 90, корп. 2, г. Чебоксары, 428024 (8352) 28-76-21
gupr@cbx.ru (8352) 28-76-63 т/факс
priroda@cap.ru
Время: 0
53 Управление Росприроднадзора по Республике Марий Эл Ленинский пр-т, 24а, г. Йошкар-Ола, 424000 (8362) 42-50-90
spring@mari-el.ru (8362) 42-48-79 приемная, т/факс
Время: 0
54 Управление Росприроднадзора по Республике Мордовия ул. Коммунистическая, 33, корп. 3, г. Саранск, 430000 (8342) 23-14-14 приемная
prirodrm@saransk.ru (8342) 23-42-42
Время: 0 (8342) 32-77-30 т/факс
Уральский федеральный округ
55 Департамент Росприроднадзора по Уральскому федеральному округу ул. Вайнера, 55, г. Екатеринбург, 620014 (343) 257-22-81 приемная, т/факс
control.nadzor@gmail.com
Время: +2
56 Управление Росприроднадзора по Курганской области ул. Сибирская, 3а, г. Курган, 640006 (3522) 23-93-99 приемная
nadzor@zaural.ru
Время: +2 (3522) 23-94-08 т/факс
57 Управление Росприроднадзора по Тюменской области ул. Республики, 55, г. Тюмень, 625000 (3452) 39-09-40 приемная
analytik@t5.ru (3452) 39-07-69
Время: +2 (3452) 39-07-99 т/факс
58 Управление Росприроднадзора по Ханты-Мансийскому автономному округу - Югре ул. Студенческая, 2, г. Ханты-Мансийск, 628012 (3467) 35-32-00 приемная
nadzor@rpn-ugra.ru (3467) 32-78-93 т/факс
Время: +2
59 Управление Росприроднадзора по Челябинской области ул. Елькина, 75, г. Челябинск, 454092 (351) 237-81-83 приемная
ecol@chel.surnet.ru
Время: +2 (351) 237-49-98 т/факс
60 Управление Росприроднадзора по Ямало-Ненецкому автономному округу 629008 ул. Мира, 40, г. Салехард, (34922) 4-41-99
control@yamaleco.ru (34922) 4-18-68 т/факс
Время: +2
Сибирский федеральный округ
61 Департамент Росприроднадзора по Сибирскому федеральному округу ул. Каменская, 74, г. Новосибирск, 630099 (383) 201-15-40 приемная, т/факс
kontrol@sibdgk.ru
Время: +3
62 Управление Росприроднадзора по Алтайскому краю и Республике Алтай ул. Пролетарская, 61, г. Барнаул, 656056 (3852) 50-06-41 приемная
info@altnadzor.ru (3852) 50-06-40 т/факс
Время: +4
63 Управление Росприроднадзора по Республике Бурятия ул. Ленина, 57, г. Улан-Удэ, 670000 (3012) 21-31-55 приемная
prnadzor-rb@mail.ru
Время: +5 (3012) 21-19-70 т/факс
64 Управление Росприроднадзора по Красноярскому краю ул. К. Маркса, 62, г. Красноярск, 660049 (391) 212-07-36 приемная
ufsn@yarsknadzor.tptus.ru
Время: +4 (391) 252-29-56 т/факс
65 Управление Росприроднадзора по Иркутской области ул. Российская, 17, г. Иркутск, 664025 (3952) 33-52-89 приемная,
kprirkutsk@irk.ru
Время: +4 (3952) 20-16-87 т/факс
66 Управление Росприроднадзора по Кемеровской области ул. Ноградская, 19а, г. Кемерово 650000 (3842) 75-93-54
kemkpr@kemnet.ru (3842) 36-96-24 т/факс
Время: +3
67 Управление Росприроднадзора по Омской области ул. Герцена, 50, г. Омск, 644007 (3812) 25-25-53
omskprirodnadzor@gmail.com (3812) 25-57-01 приемная, т/факс
Время: +3
68 Управление Росприроднадзора по Томской области ул. Шевченко, 17, г. Томск, 634021 (3822) 44-16-89
guprmpr@gupr.tomsk.gov.ru (3822) 26-35-40 т/факс
Время: +4
69 Управление Росприроднадзора по Забайкальскому краю ул. Амурская, 91/15, г. Чита, 672090 (3022) 35-46-19
info@control.chita.ru (3022) 35-64-91 приемная, т/факс
Время: +6
70 Управление Росприроднадзора по Республике Тыва ул. Московская, 2, г. Кызыл, 667007 (39422) 5-61-86 приемная, т/факс
mprtuva@tuva.ru
tuvakontrol@yandex.ru
Время: +4
71 Управление Росприроднадзора по Республике Хакасия ул. Ленина, 67, г. Абакан, 662619 (3902) 34-34-91 приемная
xpn@khakasnet.ru
xpn@mail.ru (3902) 34-34-97 т/факс
Время: +4
Дальневосточный федеральный округ
72 Департамент Росприроднадзора по Дальневосточному федеральному округу ул. Л. Толстого, 8, г. Хабаровск, 680000 (4212) 32-89-88
dgk@drpn-dfo.ru (4212) 32-51-79 т/факс
Время: +7
73 Управление Росприроднадзора по Амурской области ул. Амурская, 221, г. Благовещенск, 675000 (4162) 52-33-44
nadzor.a@gmail.com (4162) 51-02-32 т/факс
Время: +6
74 Управление Росприроднадзора по Приморскому краю Океанский пр-т, 29, г. Владивосток, 690000 (4232) 4025-08
sekretar@kpr.vladivostok.ru (4232) 40-78-14 т/факс
Время: +7
75 Управление Росприроднадзора по Еврейскому автономному округу ул. Советская, 111, г. Биробиджан, Еврейская АО, 679016 (4262) 4-67-29 приемная, т/факс
birkompr@on-line.jar.ru
Время: +7
76 Управление Росприроднадзора по Камчатскому краю ул. Беринга, 104а, г. Петропавловск-Камчатский, 683016 (4152) 23-96-71 т/факс
goscontr@mail.kamchatka.ru
Время: +8
77 Управление Росприроднадзора по Магаданской области ул. Пролетарская, 11, г. Магадан, 685000 (4132) 62-10-33
main-rpn@bk.ru (4132) 62-66-01 т/факс
Время: +8
78 Управление Росприроднадзора по Республике Саха (Якутия) ул. Лермонтова, 25, г. Якутск, 677027 (4112) 22-61-43
ykt_upr@sakha.ru (4112) 22-61-45 т/факс
Время: +6
79 Управление Росприроднадзора по Сахалинской области Коммунистический пр-т, 49, г. Южно-Сахалинск, 693020 (4242) 42-41-92
sakhprirodnadzor@mail.ru (4242) 42-24-59 приемная, т/факс
Время: +8
80 Управление Росприроднадзора по Чукотскому автономному округу ул. Южная, 15, г. Анадырь, 689000 (42722) 2-22-81
resurs@anadyr.ru (42722) 2-48-10 приемная, т/факс
Время: +8

<*> По отношению к московскому времени.

Приложение 2
к Административному регламенту
Федеральной службы по надзору в сфере
природопользования по предоставлению
государственной услуги по выдаче
разрешений на сбросы веществ
(за исключением радиоактивных
веществ) и микроорганизмов
в водные объекты

                                                             Форма
 
             Фирменный бланк Заявителя (при наличии)             
 
Исх. от __________ N _____ Руководителю территориального органа
Вх. от ___________ N _____ Росприроднадзора
 
                   Заявление о выдаче разрешения
     на сбросы веществ (за исключением радиоактивных веществ)
                и микроорганизмов в водные объекты
 
Наименование Заявителя лица <*> __________________________________
                                (полное и сокращенное наименование
                                        юридического лица,
__________________________________________________________________
  Ф.И.О. индивидуального предпринимателя и его паспортные данные)
 
Наименование  предприятия,  отдельной  производственной территории
<*> ______________________________________________________________
Юридический адрес <*> ____________________________________________
Почтовый адрес <*> _______________________________________________
Телефон __________________________________________________________
Адрес электронной почты __________________________________________
Государственный    регистрационный    номер    записи  регистрации
Заявителя,  подтверждающий  факт  внесения  сведений о Заявителе в
Единый  государственный  реестр  юридических  лиц  (индивидуальных
предпринимателей) <*> ____________________________________________
Идентификационный номер налогоплательщика (ИНН) <*> ______________
Ф.И.О. руководителя организации __________________________________
Реквизиты документа об уплате государственной пошлины <*> ________
 
Направляем  в  Ваш  адрес  на  рассмотрение  материалы  для выдачи
разрешения   на   сбросы   веществ   (за исключением радиоактивных
веществ) и микроорганизмов в водные объекты:
1. _______________________________________________________________
                 (опись предоставляемых материалов)
2. _______________________________________________________________
 
Сведения   о   местонахождении  отдельной(ых) производственной(ых)
площадки(ок): ____________________________________________________
 
________________________ ________________ ________________________
(должность руководителя)     (подпись       (расшифровка подписи)
                           руководителя)
 
                                        М.П. _____________________
__________________________________
<*> Поля, обязательные для заполнения.
 
 
 

Приложение 3
к Административному регламенту
Федеральной службы по надзору в сфере
природопользования по предоставлению
государственной услуги по выдаче
разрешений на сбросы веществ
(за исключением радиоактивных
веществ) и микроорганизмов
в водные объекты

Образец

Приложение <1> N ____
  к разрешению на сброс
  веществ и микроорганизмов
  в водный объект
  от "__" ______ 20__ г. N ___,
  выданному  
    наименование территориального органа Росприроднадзора
СОГЛАСОВАНО   УТВЕРЖДАЮ  
         
      (должность руководителя и наименование Заявителя)  
         
  (подпись, Ф.И.О. руководителя) <2>   (подпись, Ф.И.О. руководителя)  
  "__" ____________ 20__ г.   "__" ____________ 20__ г.  
  М.П.   М.П.  

ПЛАН
снижения сбросов с учетом поэтапного достижения утвержденных нормативов допустимых сбросов по каждому веществу, по которому устанавливается лимит на сбросы

N п/п Наименование мероприятия Номер выпуска Срок выполнения Данные о сбросах ЗВ Достигаемый экологический эффект (снижение с мг/л/т/г до мг/л/т/г; <*> Исполнитель (организация и ответственное лицо) Сумма выделяемых средств, тыс. руб. Источник финансирования
до мероприятия, мг/л/т/г после мероприятия, мг/л/т/г
1 2 3 4 5 6 7 8 9 10
                   
                   
            Итого снижение <**>:      

Примечание. <*> Достигаемый экологический эффект указывается по конкретному загрязняющему веществу по конкретному выпуску.

<**> Снижение указывается в показателях т/г по выпуску по конкретному загрязняющему веществу и каждому этапу мероприятия с привязкой к срокам выполнения этапа мероприятия.

Исполнитель        
         
(должность)   (подпись)   (Ф.И.О.)
         

<1> Является неотъемлемой частью разрешения на сброс веществ и микроорганизмов в водный объект, выдаваемого территориальным органом Росприроднадзора.

<2> Территориальный орган Росприроднадзора.

Приложение 4
к Административному регламенту
Федеральной службы по надзору в сфере
природопользования по предоставлению
государственной услуги по выдаче
разрешений на сбросы веществ
(за исключением радиоактивных
веществ) и микроорганизмов
в водные объекты

Образец

УТВЕРЖДАЮ
   
  (должность руководителя и наименование Заявителя)
   
  (подпись, Ф.И.О. руководителя)
  "__" ____________ 20__ г.
  М.П.

ОТЧЕТ
о ходе выполнения плана снижения сбросов с учетом поэтапного достижения утвержденных нормативов допустимых сбросов по каждому веществу, по которому устанавливается лимит на сбросы
за 20__ год

N п/п Наименование мероприятия Номер источника (цеха, производства), выпуска Срок выполнения по плану Отчет о проделанной работе Фактические данные о сбросах Достигнутый экологический эффект <*> Исполнитель (организация и ответственное лицо) Сумма выделяемых средств, тыс. руб.
до мероприятия, мг/м куб. (мг/л)/т/г после мероприятия, мг/м куб. (мг/л)/т/г
1 2 3 4 5 6 7 8 9 10
                   
                   
              Итого снижение <**>:    

Примечание. <*> Достигнутый экологический эффект указывается по конкретному загрязняющему веществу, по конкретному выпуску сбросов.

<**> Снижение указывается в показателях т/г по выпуску сбросов по конкретному загрязняющему веществу и каждому этапу мероприятия с привязкой к срокам выполнения этапа мероприятия.

Исполнитель        
         
(должность)   (подпись)   (Ф.И.О.)
         

<*> Достигнутый эффект указывается по данным аналитических исследований в показателях снижения сбросов:

для сбросов загрязняющих веществ - с ... мг/л/ ... т/г до ... мг/л/ ... т/г;

для загрязняющих веществ - с ... мг/куб. м до ... мг/куб. м; с ... г/с до ... г/с; с ... т/г до ... т/г.

Приложение 5
к Административному регламенту
Федеральной службы по надзору в сфере
природопользования по предоставлению
государственной услуги по выдаче
разрешений на сбросы веществ
(за исключением радиоактивных
веществ) и микроорганизмов
в водные объекты

БЛОК-СХЕМА ИСПОЛНЕНИЯ АДМИНИСТРАТИВНЫХ ПРОЦЕДУР, ВЫПОЛНЯЕМЫХ ПРИ ПРЕДОСТАВЛЕНИИ ГОСУДАРСТВЕННОЙ УСЛУГИ ПО ВЫДАЧЕ РАЗРЕШЕНИЙ НА СБРОСЫ ВЕЩЕСТВ (ЗА ИСКЛЮЧЕНИЕМ РАДИОАКТИВНЫХ ВЕЩЕСТВ) И МИКРООРГАНИЗМОВ В ВОДНЫЕ ОБЪЕКТЫ

Условные обозначения

БЛОК-СХЕМА ИСПОЛНЕНИЯ АДМИНИСТРАТИВНОЙ ПРОЦЕДУРЫ ПО ВЫДАЧЕ РАЗРЕШЕНИЙ НА СБРОСЫ ВЕЩЕСТВ (ЗА ИСКЛЮЧЕНИЕМ РАДИОАКТИВНЫХ ВЕЩЕСТВ) И МИКРООРГАНИЗМОВ В ВОДНЫЕ ОБЪЕКТЫ

БЛОК-СХЕМА ПОСЛЕДОВАТЕЛЬНОСТИ ДЕЙСТВИЙ ПРИ ИСПОЛНЕНИИ АДМИНИСТРАТИВНОЙ ПРОЦЕДУРЫ ПО ПЕРЕОФОРМЛЕНИЮ (ВЫДАЧЕ ДУБЛИКАТА) РАЗРЕШЕНИЯ НА СБРОСЫ ВЕЩЕСТВ (ЗА ИСКЛЮЧЕНИЕМ РАДИОАКТИВНЫХ ВЕЩЕСТВ) И МИКРООРГАНИЗМОВ В ВОДНЫЕ ОБЪЕКТЫ

Приложение 6
к Административному регламенту
Федеральной службы по надзору в сфере
природопользования по предоставлению
государственной услуги по выдаче
разрешений на сбросы веществ
(за исключением радиоактивных
веществ) и микроорганизмов
в водные объекты

Образец

      Письмо об отказе в выдаче разрешения на сбросы веществ
     (за исключением радиоактивных веществ) и микроорганизмов
                         в водные объекты
 
Бланк территориального органа               Наименование Заявителя
      Росприроднадзора                      Почтовый адрес
 
Об отказе в выдаче разрешения
на сбросы веществ и микроорганизмов
в водный объект
 
Настоящим  информирую,  что  принято  решение  об  отказе в выдаче
разрешения  на сбросы веществ и микроорганизмов в водный объект по
следующим основаниям: ____________________________________________
                          (перечисление оснований для отказа)
__________________________________________________________________
 
Подпись руководителя территориального органа
или лица, его замещающего   ____________________ Фамилия, инициалы
 
Фамилия ответственного исполнителя
 
 
 

Приложение 7
к Административному регламенту
Федеральной службы по надзору в сфере
природопользования по предоставлению
государственной услуги по выдаче
разрешений на сбросы веществ
(за исключением радиоактивных
веществ) и микроорганизмов
в водные объекты

Образец

           Письмо об отказе в переоформлении разрешения
     на сбросы веществ (за исключением радиоактивных веществ)
                и микроорганизмов в водные объекты
 
Бланк территориального органа               Наименование Заявителя
      Росприроднадзора
                                            Почтовый адрес
 
Об отказе в выдаче разрешения
на сбросы веществ и микроорганизмов
в водные объекты
 
Настоящим   информирую,   что   принято   решение   об   отказе  в
переоформлении  разрешения  на  сбросы веществ и микроорганизмов в
водные объекты  по следующим основаниям:

(перечисление оснований для отказа в переоформлении разрешения на сбросы) __________________________________________________________________   Подпись руководителя территориального органа или лица, его замещающего ______________________ Фамилия, инициалы   Фамилия ответственного исполнителя      

Приложение 8
к Административному регламенту
Федеральной службы по надзору в сфере
природопользования по предоставлению
государственной услуги по выдаче
разрешений на сбросы веществ
(за исключением радиоактивных
веществ) и микроорганизмов
в водные объекты

Образец

          Письмо об отказе в выдаче дубликата разрешения
     на сбросы веществ (за исключением радиоактивных веществ)
                и микроорганизмов в водные объекты
 
Бланк территориального органа               Наименование Заявителя
  Росприроднадзора
                                            Почтовый адрес
 
Об отказе в выдаче разрешения
на сбросы веществ и микроорганизмов
в водные объекты
 
Настоящим  информирую,  что  принято  решение  об  отказе в выдаче
дубликата  разрешения на сбросы веществ и микроорганизмов в водные
объекты по следующим основаниям:

(перечисление оснований для отказа в переоформлении разрешения на сбросы) __________________________________________________________________   Подпись руководителя территориального органа или лица, его замещающего ______________________ Фамилия, инициалы   Фамилия ответственного исполнителя