Приказ ФСТ РФ от 13.06.2013 N 760-Э

"Об утверждении методических указаний по расчету регулируемых цен (тарифов) в сфере теплоснабжения"
Редакция от 27.05.2015 — Не действует Перейти в действующую
Показать изменения

Зарегистрировано в Минюсте России 16 июля 2013 г. N 29078


ФЕДЕРАЛЬНАЯ СЛУЖБА ПО ТАРИФАМ

ПРИКАЗ
от 13 июня 2013 г. N 760-э

ОБ УТВЕРЖДЕНИИ МЕТОДИЧЕСКИХ УКАЗАНИЙ ПО РАСЧЕТУ РЕГУЛИРУЕМЫХ ЦЕН (ТАРИФОВ) В СФЕРЕ ТЕПЛОСНАБЖЕНИЯ

(в ред. Приказа ФСТ России от 27.05.2015 N 1080-Э)

В соответствии с Федеральным законом от 27 июля 2010 г. N 190-ФЗ "О теплоснабжении" (Собрание законодательства Российской Федерации, 2010, N 31, ст. 4159; 2011, N 23, ст. 3263; N 30 (часть I), ст. 4590; N 50, ст. 7359; 2012, N 26, ст. 3446; N 53 (часть I), ст. 7616, ст. 7643; 2013, N 19, ст. 2330), постановлением Правительства Российской Федерации от 22 октября 2012 г. N 1075 "О ценообразовании в сфере теплоснабжения" (Собрание законодательства Российской Федерации, 2012, N 44, ст. 6022) приказываю:

1. Утвердить прилагаемые Методические указания по расчету регулируемых цен (тарифов) в сфере теплоснабжения.

2. Настоящие Методические указания по расчету регулируемых цен (тарифов) в сфере теплоснабжения применяются при установлении тарифов на 2014 и последующие годы, а также на 2013 год в случаях, предусмотренных пунктом 5 постановления Правительства Российской Федерации от 22 октября 2012 г. N 1075 "О ценообразовании в сфере теплоснабжения".

3. Методические указания по расчету регулируемых тарифов и цен на электрическую (тепловую) энергию на розничном (потребительском) рынке, утвержденные приказом Федеральной службы по тарифам от 6 августа 2004 г. N 20-э/2 (зарегистрирован Минюстом России 20 октября 2004 г., регистрационный N 6076), с изменениями и дополнениями, внесенными приказами ФСТ России от 23 ноября 2004 г. N 193-э/11 (зарегистрирован Минюстом России 16 декабря 2004 г., регистрационный N 6191), от 14 декабря 2004 г. N 289-э/15 (зарегистрирован Минюстом России 21 декабря 2004 г., регистрационный N 6213), от 28 ноября 2006 г. N 318-э/15 (зарегистрирован Минюстом России 8 декабря 2006 г., регистрационный N 8574), от 30 января 2007 г. N 14-э/14 (зарегистрирован Минюстом России 6 марта 2007 г., регистрационный N 9041), от 31 июля 2007 г. N 138-э/6 (зарегистрирован Минюстом России 20 августа 2007 г., регистрационный N 10030), от 23 ноября 2007 г. N 385-э/1 (зарегистрирован Минюстом России 29 ноября 2007 г., регистрационный N 10578), от 21 октября 2008 г. N 209-э/1 (зарегистрирован Минюстом России 6 ноября 2008 г., регистрационный N 12580), от 22 декабря 2009 г. N 469-э/8 (зарегистрирован Минюстом России 29 января 2010 г., регистрационный N 16132), от 31 декабря 2009 г. N 558-э/1 (зарегистрирован Минюстом России 9 февраля 2010 г., регистрационный N 16345), от 24 июня 2011 г. N 303-э (зарегистрирован Минюстом России 7 июля 2011 г., регистрационный N 21290), от 26 декабря 2011 г. N 823-э (зарегистрирован Минюстом России 28 декабря 2012 г., регистрационный N 22794), применяются при установлении тарифов на 2013 год, за исключением тарифов, предусмотренных пунктом 5 постановления Правительства Российской Федерации от 22 октября 2012 г. N 1075 "О ценообразовании в сфере теплоснабжения".

4. Признать утратившими силу:

- с 1 января 2014 года приказ ФСТ России от 1 сентября 2010 г. N 221-э/8 "Об утверждении Методических указаний по регулированию тарифов организаций, оказывающих услуги по передаче тепловой энергии, с применением метода доходности инвестированного капитала и о внесении изменений и дополнений в Методические указания по регулированию тарифов с применением метода доходности инвестированного капитала, утвержденные приказом Федеральной службы по тарифам от 26 июня 2008 года N 231-э" (зарегистрирован в Минюсте России 29 сентября 2010 г., регистрационный N 18579), с изменениями и дополнениями, внесенными приказом ФСТ России от 30 марта 2012 г. N 228-э (зарегистрирован Минюстом России 10 апреля 2012 года, регистрационный N 23784);

- приказ ФСТ России от 27 августа 2009 г. N 206-э/2 "Об утверждении Порядка предварительного согласования Федеральной службой по тарифам решения органа исполнительной власти субъекта Российской Федерации в области государственного регулирования тарифов об установлении двухставочного тарифа на тепловую энергию" (зарегистрирован в Минюсте России 28 октября 2009 г., регистрационный N 15142).

5. Настоящий Приказ вступает в силу в установленном порядке.

Руководитель
Федеральной службы по тарифам
С.НОВИКОВ

Приложение
к приказу
Федеральной службы по тарифам
от 13 июня 2013 г. N 760-э

МЕТОДИЧЕСКИЕ УКАЗАНИЯ ПО РАСЧЕТУ РЕГУЛИРУЕМЫХ ЦЕН (ТАРИФОВ) В СФЕРЕ ТЕПЛОСНАБЖЕНИЯ

(в ред. Приказа ФСТ России от 27.05.2015 N 1080-Э)

I. Общие положения

1. Настоящие Методические указания по расчету регулируемых цен (тарифов) в сфере теплоснабжения (далее - Методические указания) разработаны в соответствии с Федеральным законом от 27 июля 2010 г. N 190-ФЗ "О теплоснабжении" (Собрание законодательства Российской Федерации, 2010, N 31, ст. 4159; 2011, N 23, ст. 3263; N 30 (часть I), ст. 4590; N 50, ст. 7359; 2012, N 26, ст. 3446; N 53 (часть I), ст. 7616, ст. 7643; 2013, N 19, ст. 2330), Основами ценообразования в сфере теплоснабжения (далее - Основы ценообразования) и Правилами регулирования цен (тарифов) в сфере теплоснабжения (далее - Правила регулирования), утвержденными постановлением Правительства Российской Федерации от 22.10.2012 N 1075 "О ценообразовании в сфере теплоснабжения" (Собрание законодательства Российской Федерации, 2012, N 44, ст. 6022).

2. Методические указания предназначены для использования федеральным органом исполнительной власти в области государственного регулирования тарифов (далее - федеральный орган регулирования), органами исполнительной власти субъекта Российской Федерации в области государственного регулирования тарифов (далее - органы регулирования), органами местного самоуправления, а также организациями, осуществляющими регулируемые виды деятельности в сфере теплоснабжения (далее - регулируемые организации), для расчета регулируемых цен (тарифов) в сфере теплоснабжения.

3. Методические указания определяют методологию расчета регулируемых цен (тарифов) в сфере теплоснабжения.

4. Понятия, используемые в настоящих Методических указаниях, соответствуют определениям, данным в Федеральном законе от 27 июля 2010 г. N 190-ФЗ "О теплоснабжении", Основах ценообразования, а также иных нормативных правовых актах Российской Федерации в сфере теплоснабжения.

5. В соответствии с настоящими Методическими указаниями рассчитываются следующие регулируемые цены (тарифы) в сфере теплоснабжения:

5.1. тарифы:

на тепловую энергию (мощность), производимую в режиме комбинированной выработки электрической и тепловой энергии источниками тепловой энергии с установленной генерирующей мощностью производства электрической энергии 25 МВт и более, в соответствии с установленными предельными (минимальным и (или) максимальным) уровнями указанных тарифов;

на тепловую энергию (мощность), поставляемую другим теплоснабжающим организациям теплоснабжающими организациями;

на тепловую энергию (мощность), поставляемую потребителям теплоснабжающими организациями, в соответствии с установленными предельными (минимальным и (или) максимальным) уровнями указанных тарифов;

на теплоноситель, поставляемый теплоснабжающими организациями потребителям, другим теплоснабжающим организациям;

на услуги по передаче тепловой энергии, теплоносителя;

на горячую воду в открытых системах теплоснабжения (горячего водоснабжения);

5.2. плата за услуги по поддержанию резервной тепловой мощности при отсутствии потребления тепловой энергии для отдельных категорий (групп) социально значимых потребителей;

5.3. плата за подключение к системе теплоснабжения.

II. Общие принципы формирования цен (тарифов)

6. При регулировании тарифов в сфере теплоснабжения используются следующие методы:

метод экономически обоснованных расходов (затрат);

метод индексации установленных тарифов;

метод обеспечения доходности инвестированного капитала;

метод сравнения аналогов.

В зависимости от применяемого в отношении регулируемой организации метода регулирования тарифов для расчета цен (тарифов) используются материалы в соответствии с Приложением 3 к настоящим Методическим указаниям.

7. Тарифы в сфере теплоснабжения рассчитываются на основании необходимой валовой выручки регулируемой организации, определенной для соответствующего регулируемого вида деятельности, и расчетного объема полезного отпуска соответствующего вида продукции (услуг) на расчетный период регулирования.

Тарифы на тепловую энергию (мощность) и тарифы на услуги по передаче тепловой энергии устанавливаются в соответствии с календарной разбивкой, предусмотренной предельными (минимальными и (или) максимальными) уровнями тарифов на тепловую энергию (мощность), установленными федеральным органом регулирования.

Особенности расчета необходимой валовой выручки, относимой на производство тепловой энергии в режиме комбинированной выработки электрической и тепловой энергии, приведены в главе VIII настоящих Методических указаний.

8. Расчетный объем полезного отпуска соответствующего вида продукции (услуг) на расчетный период регулирования определяется в соответствии со схемой теплоснабжения, а в случае ее отсутствия - на основании программы комплексного развития систем коммунальной инфраструктуры муниципального образования.

Для целей расчета тарифов в сфере теплоснабжения при определении объема полезного отпуска тепловой энергии, отпускаемой от источника тепловой энергии (далее также - объем отпуска тепловой энергии от источника тепловой энергии), используется объем отпуска тепловой энергии, поставляемой с коллекторов источника тепловой энергии, уменьшенный на расход тепловой энергии на хозяйственные нужды.

При определении объема полезного отпуска тепловой энергии, отпускаемой из тепловой сети (далее также - объем отпуска тепловой энергии из тепловой сети), используется объем отпуска тепловой энергии в тепловые сети, уменьшенный на объем нормативных технологических потерь тепловой энергии в тепловых сетях с учетом особенностей, предусмотренных пунктом 118 настоящих Методических указаний.

9. При отсутствии схемы теплоснабжения либо программы комплексного развития систем коммунальной инфраструктуры муниципального образования или при отсутствии в указанных документах информации об объемах полезного отпуска тепловой энергии, или при отсутствии ежегодной актуализации указанных данных в соответствии с постановлением Правительства Российской Федерации от 22 февраля 2012 г. N 154 "О требованиях к схемам теплоснабжения, порядку их разработки и утверждения" (Собрание законодательства Российской Федерации, 2012, N 10, ст. 1242) расчетный объем полезного отпуска тепловой энергии определяется органами регулирования в соответствии с главой III настоящих Методических указаний и Основами ценообразования.

10. Регулирование цен (тарифов) основывается на принципе обязательности ведения регулируемыми организациями раздельного учета объема тепловой энергии, теплоносителя, доходов и расходов, связанных с осуществлением следующих видов деятельности:

а) производство тепловой энергии (мощности) в режиме комбинированной выработки электрической и тепловой энергии источниками тепловой энергии с установленной генерирующей мощностью производства электрической энергии 25 МВт и более;

б) производство тепловой энергии (мощности) в режиме комбинированной выработки электрической и тепловой энергии источниками тепловой энергии с установленной генерирующей мощностью производства электрической энергии менее 25 МВт;

в) производство тепловой энергии (мощности) не в режиме комбинированной выработки электрической и тепловой энергии источниками тепловой энергии;

г) производство теплоносителя;

д) передача тепловой энергии и теплоносителя;

е) сбыт тепловой энергии и теплоносителя;

ж) подключение к системе теплоснабжения;

з) поддержание резервной тепловой мощности при отсутствии потребления тепловой энергии.

При установлении цен (тарифов) не допускается повторный учет одних и тех же расходов по различным регулируемым видам деятельности.

При установлении цен (тарифов) также не допускается учет расходов регулируемой организации на истребование задолженности по оплате жилых помещений и коммунальных услуг, на снятие показаний приборов учета, содержание информационных систем, обеспечивающих сбор, обработку и хранение данных о платежах за жилые помещения и коммунальные услуги, выставление платежных документов на оплату жилых помещений и коммунальных услуг, учитываемых в расходах за содержание и ремонт жилого помещения в соответствии с Правилами содержания общего имущества в многоквартирном доме, утвержденными постановлением Правительства Российской Федерации от 13 августа 2006 г. N 491 (Собрание законодательства Российской Федерации, 2006, N 34, ст. 3680; 2011, N 22, ст. 3168; официальный интернет-портал правовой информации http://www/pravo/gov/ru, 12.04.2013, N 00012013041200014; 2013, N 21, ст. 2648).

Не допускается учет расходов на оплату услуг по изготовлению и рассылке платежных документов собственникам (нанимателям) помещений в многоквартирных домах, управление которыми осуществляется управляющей организацией, товариществом собственников жилья, жилищным кооперативом или иным специализированным потребительским кооперативом.

11. Необходимая валовая выручка регулируемой организации должна возмещать ей экономически обоснованные расходы и обеспечивать экономически обоснованную прибыль по каждому регулируемому виду деятельности.

12. Определение состава расходов, включаемых в необходимую валовую выручку, и оценка их экономической обоснованности производятся в соответствии с законодательством Российской Федерации и нормативными правовыми актами, регулирующими отношения в сфере бухгалтерского учета, а также в соответствии с настоящими Методическими указаниями. Расходы, включаемые в необходимую валовую выручку, формируются в том числе с учетом выполнения программ регулируемой организации в области энергосбережения и повышения энергетической эффективности.

В случае если по итогам расчетного периода регулирования на основании данных статистической и бухгалтерской отчетности выявлены необоснованные расходы организаций, осуществляющих регулируемую деятельность за счет поступлений от регулируемой деятельности, органы регулирования обязаны принять решение об исключении этих расходов из суммы расходов, учитываемых при установлении тарифов на следующий расчетный период регулирования.

В случае если по итогам расчетного периода регулирования на основании данных статистической и бухгалтерской отчетности подтверждаются выпадающие доходы по регулируемым видам деятельности, связанные с превышением учтенного при установлении тарифов объема полезного отпуска над фактическим, то средства на компенсацию таких выпадающих доходов учитываются органом регулирования при установлении регулируемых цен (тарифов) для такой регулируемой организации начиная с периода, следующего за периодом, в котором указанные выпадающие доходы были документально подтверждены на основании годовой бухгалтерской и статистической отчетности, но не позднее чем на 3-й расчетный период регулирования, в полном объеме.

Экономия расходов (в том числе связанная с сокращением потерь в тепловых сетях), достигнутая регулируемой организацией в течение расчетного периода регулирования, учитывается в составе необходимой валовой выручки в течение 5 лет.

Если регулируемая организация в течение расчетного периода регулирования понесла экономически обоснованные расходы, не учтенные органом регулирования при установлении для нее регулируемых цен (тарифов), в том числе расходы, связанные с незапланированным органом регулирования при установлении цен (тарифов) для такой регулируемой организации ростом цен на продукцию, потребляемую регулируемой организацией в течение расчетного периода регулирования, расходы, связанные с подключением объектов капитального строительства заявителей, подключаемая тепловая нагрузка которых не превышает 0,1 Гкал/ч, и определенные в соответствии с пунктом 172 настоящих Методических указаний, то такие расходы, включая расходы, связанные с обслуживанием заемных средств, привлекаемых для покрытия недостатка средств, учитываются органом регулирования при установлении регулируемых цен (тарифов) для такой регулируемой организации начиная с периода, следующего за периодом, в котором указанные расходы были документально подтверждены на основании годовой бухгалтерской и статистической отчетности, но не позднее чем на 3-й расчетный период регулирования, в полном объеме. Указанные экономически обоснованные расходы регулируемой организации включаются органом регулирования в необходимую валовую выручку независимо от достигнутого ею финансового результата. При этом расходы, связанные с обслуживанием заемных средств, учитываются в размере фактически понесенных расходов, не превышающем величину, равную ставке рефинансирования Центрального банка Российской Федерации, увеличенной на 4 процентных пункта.

13. В случае если регулируемая организация кроме регулируемых видов деятельности осуществляет нерегулируемые виды деятельности, расходы на осуществление нерегулируемых видов деятельности и полученная в ходе их осуществления прибыль (убытки) не учитываются при установлении регулируемых цен (тарифов). Повторный учет одних и тех же расходов по указанным видам деятельности не допускается. Органы регулирования в соответствии с настоящими Методическими указаниями исключают из расчетов при установлении регулируемых цен (тарифов) полученные в предыдущий период регулирования экономически не обоснованные доходы регулируемых организаций.

14. Тарифы на тепловую энергию (мощность), тарифы на услуги по передаче тепловой энергии, теплоносителя могут устанавливаться органом регулирования в виде одноставочного или двухставочного тарифа по решению органа регулирования.

Тарифы на теплоноситель устанавливаются органом регулирования в виде одноставочного тарифа.

В отношении регулируемых организаций, осуществляющих регулируемые виды деятельности в зоне деятельности единой теплоснабжающей организации, которые являются неотъемлемыми частями процесса снабжения тепловой энергией (мощностью) потребителей единой теплоснабжающей организации, органом регулирования рассчитывается и устанавливается вид тарифа (одноставочный или двухставочный), который выбран органом регулирования для единой теплоснабжающей организации.

15. В случае если теплоснабжающая организация поставляет потребителям тепловую энергию (мощность), теплоноситель с использованием только собственных тепловых сетей, тариф на услуги по передаче тепловой энергии, теплоносителя по тепловым сетям такой организации не устанавливается, а все расходы по передаче тепловой энергии, теплоносителя по тепловым сетям учитываются в тарифах на тепловую энергию (мощность).

III. Формирование расчетных объемов отпуска тепловой энергии в целях расчета тарифов в сфере теплоснабжения

16. Определение объемов отпуска тепловой энергии на каждый год долгосрочного периода регулирования осуществляется аналогично принципам определения объемов на расчетный период регулирования с учетом пунктов 17 и 18 настоящих Методических указаний.

17. Объемы отпуска тепловой энергии, поставляемой с коллекторов источников тепловой энергии, функционирующих в режиме комбинированной выработки электрической и тепловой энергии с установленной генерирующий мощностью 25 МВт и более, определяются в соответствии со сводным прогнозным балансом производства и поставок электрической энергии (мощности) в рамках Единой энергетической системы России по субъектам Российской Федерации (далее - сводный прогнозный баланс).

При расчете долгосрочных тарифов на коллекторах указанных источников тепловой энергии в качестве объемов отпуска тепловой энергии, поставляемой с коллекторов тепловой энергии, и объемов отпуска тепловой энергии от источников тепловой энергии на каждый год долгосрочного периода регулирования применяется объем, включенный в сводный прогнозный баланс на первый год долгосрочного периода регулирования.

18. Формирование органами регулирования расчетных объемов, используемых при расчете тарифов в сфере теплоснабжения (за исключением поставки тепловой энергии в режиме комбинированной выработки электрической и тепловой энергии источниками с установленной генерирующей мощностью производства электрической энергии 25 МВт и более), осуществляется с учетом:

необходимости обеспечения баланса тепловой нагрузки и тепловой мощности, баланса теплоносителя по системам теплоснабжения с учетом технологических ограничений в соответствии с планами вводов источников тепловой энергии и тепловых сетей на расчетный период регулирования, определенными в соответствии с инвестиционными программами регулируемых организаций;

соблюдения требований законодательства Российской Федерации;

количественной оценки ожидаемого уровня потребления тепловой энергии, тепловой нагрузки с учетом данных, предоставляемых регулируемыми организациями при установлении тарифов в сфере теплоснабжения, в том числе договорных (заявленных на расчетный период регулирования потребителями) объемов, и статистических данных, в том числе среднегодового фактического потребления за три предыдущих года и планов регионального развития, в том числе с учетом фактического отключения (подключения) потребителей, объемов потерь и других параметров, используемых при расчете объемов в соответствии с настоящей главой;

минимизации с учетом технологических ограничений и потерь в тепловых сетях расходов на топливо для обеспечения теплоснабжения потребителей в системах теплоснабжения без возможности перераспределения тепловой нагрузки между источниками тепловой энергии (для систем теплоснабжения с единственным источником тепловой энергии или без избытка тепловых мощностей) в соответствии с пунктом 19 настоящих Методических указаний;

минимизации с учетом технологических ограничений полных расходов на обеспечение теплоснабжения потребителей в системах теплоснабжения с возможностью перераспределения тепловой нагрузки между источниками тепловой энергии в соответствии с пунктом 20 настоящих Методических указаний.

19. В случае невозможности перераспределения тепловой нагрузки между источниками тепловой энергии в системе теплоснабжения объем отпуска тепловой энергии, поставляемой с коллекторов источников тепловой энергии, и объем отпуска тепловой энергии от источников тепловой энергии (за исключением поставки тепловой энергии в режиме комбинированной выработки электрической и тепловой энергии источниками с установленной генерирующей мощностью производства электрической энергии 25 МВт и более) и из тепловой сети, учитываемый при расчете тарифов, определяется посредством минимизации суммарных расходов на топливо для обеспечения тепловой нагрузки с учетом технологических ограничений и потерь в тепловых сетях. В условиях наличия технологических ограничений при определении объемов в соответствии с настоящим пунктом принимаются во внимание объемы, включенные в договоры теплоснабжения, заключенные с потребителями, но не выше среднегодовых фактических объемов потребления тепловой энергии за три предыдущих года.

20. В случае возможности перераспределения тепловой нагрузки между источниками тепловой энергии в системе теплоснабжения определение объемов отпуска тепловой энергии, поставляемой с коллекторов источников тепловой энергии, и объемов отпуска тепловой энергии от указанных источников тепловой энергии (за исключением поставки тепловой энергии в режиме комбинированной выработки электрической и тепловой энергии источниками с установленной генерирующей мощностью производства электрической энергии 25 МВт и более) и из тепловых сетей для целей регулирования тарифов осуществляется посредством минимизации полных расходов на покрытие тепловой нагрузки в данном расчетном периоде регулирования в зависимости от конфигурации источников тепловой энергии. Полные расходы на покрытие тепловой нагрузки включают в себя расходы на топливо, расходы на содержание тепловой мощности источников тепловой энергии и тепловых сетей, включая стоимость потерь в тепловых сетях.

21. Объем полезного отпуска тепловой энергии, определяемый в целях установления тарифов для регулируемых организаций в сфере теплоснабжения (за исключением объема тепловой энергии, произведенной в режиме комбинированной выработки электрической и тепловой энергии), ранее не осуществлявших регулируемые виды деятельности в сфере теплоснабжения, определяется органом регулирования с учетом договоров поставки тепловой энергии, оказания услуг по передаче тепловой энергии, теплоносителя, теплоснабжения, заключенных между регулируемой организацией и потребителями, а также данных о фактическом объеме полезного отпуска за 3 предыдущих расчетных периода регулирования в системе теплоснабжения, в которой осуществляет свою деятельность регулируемая организация.

22. Фактический объем полезного отпуска тепловой энергии за предыдущие периоды (за исключением объемов тепловой энергии, произведенной в режиме комбинированной выработки электрической и тепловой энергии) регулирования определяется органом регулирования с учетом представленных регулируемой организацией договоров поставки тепловой энергии, оказания услуг по передаче тепловой энергии, теплоносителя, теплоснабжения, заключенных с потребителями, информации об объемах отпуска, определенных по показаниям приборов учета тепловой энергии, теплоносителя, утвержденных нормативов потребления коммунальных услуг, а также выставленных регулируемой организацией счетов на оплату тепловой энергии, теплоносителя, оказанных услуг.

IV. Основные методологические положения по формированию необходимой валовой выручки для расчета тарифов методом экономически обоснованных расходов

23. Необходимая валовая выручка (далее также - НВВ) на i-й расчетный период регулирования, определяемая в соответствии с методом экономически обоснованных расходов, рассчитывается по формуле:

(тыс. руб.), (1)

где:

- планируемые на i-й расчетный период регулирования расходы, уменьшающие налоговую базу налога на прибыль организаций (расходы, связанные с производством и реализацией продукции (услуг), и внереализационные расходы), тыс. руб.;

- планируемые на i-й расчетный период регулирования расходы, не учитываемые при определении налоговой базы налога на прибыль (расходы, относимые на прибыль после налогообложения), тыс. руб.;

- планируемая на i-й расчетный период регулирования величина налога на прибыль, определяемая в соответствии с Налоговым кодексом Российской Федерации, тыс. руб.;

- величина, учитывающая экономически обоснованные расходы регулируемой организации (выпадающие доходы), подлежащие возмещению (со знаком "+") в i-м расчетном периоде регулирования, необоснованные расходы, подлежащие исключению из НВВ (со знаком "-") в i-м расчетном периоде регулирования, определяемые в соответствии с пунктом 12 настоящих Методических указаний, а также экономию от сокращения потребления энергетических ресурсов, холодной воды, теплоносителя, подлежащую учету в НВВ в i-м расчетном периоде регулирования и определяемую в соответствии с пунктом 31 настоящих Методических указаний, тыс. руб.

24. Расходы, связанные с производством и реализацией продукции (услуг) по регулируемым видам деятельности, включают следующие составляющие расходов:

1) расходы на топливо;

2) расходы на прочие покупаемые энергетические ресурсы, холодную воду, теплоноситель;

3) расходы на оплату услуг, оказываемых организациями, осуществляющими регулируемую деятельность, определяемые в соответствии с пунктами 28 и 31 Основ ценообразования;

4) расходы на сырье и материалы;

5) расходы на ремонт основных средств, выполняемый подрядным способом;

6) оплата труда и отчисления на социальные нужды;

7) амортизация основных средств и нематериальных активов;

8) расходы на выполнение работ и услуг производственного характера, выполняемых по договорам со сторонними организациями или индивидуальными предпринимателями;

9) расходы на оплату иных работ и услуг, выполняемых по договорам с организациями, включая расходы на оплату услуг связи, вневедомственной охраны, коммунальных услуг, юридических, информационных, аудиторских и консультационных услуг;

10) плата за выбросы и сбросы загрязняющих веществ в окружающую среду, размещение отходов и другие виды негативного воздействия на окружающую среду в пределах установленных нормативов и (или) лимитов;

11) арендная плата, концессионная плата, лизинговые платежи, определяемые в соответствии с пунктами 45 и 65 Основ ценообразования; (в ред. Приказа ФСТ России от 27.05.2015 N 1080-Э)

12) расходы на служебные командировки;

13) расходы на обучение персонала;

14) расходы на страхование производственных объектов, учитываемые при определении налоговой базы по налогу на прибыль;

15) другие расходы, связанные с производством и (или) реализацией продукции, в том числе налоговые платежи (налог на имущество организаций, земельный налог, транспортный налог, водный налог, прочие налоги), расходы по охране труда и технике безопасности, расходы на канцелярские товары.

Расходы на ремонт основных средств, осуществляемый хозяйственным способом, включаются в соответствующие составляющие расходов, связанных с производством и реализацией продукции (услуг) по регулируемым видам деятельности.

Расходы, указанные в настоящем пункте, определяются с учетом требований пункта 32 настоящих Методических указаний.

25. Внереализационные расходы, включаемые в необходимую валовую выручку, содержат в том числе:

а) расходы по сомнительным долгам, определяемые в отношении единых теплоснабжающих организаций, в размере 2 процентов необходимой валовой выручки, относимой на население и приравненных к нему категорий потребителей, установленной для регулируемой организации на предыдущий расчетный период регулирования;

б) расходы, связанные с созданием нормативных запасов топлива, включая расходы по обслуживанию заемных средств, привлекаемых для этих целей;

в) расходы на вывод из эксплуатации (в том числе на консервацию) и вывод из консервации производственных объектов;

г) другие обоснованные расходы, в том числе расходы на услуги банков, расходы на обслуживание заемных средств, определяемые органами регулирования в размере, не превышающем сумму выплаты процентов, рассчитанную исходя из ставки рефинансирования Центрального банка Российской Федерации, увеличенной на 4 процентных пункта.

26. Расходы на топливо j-го источника тепловой энергии при производстве тепловой энергии в k-м виде теплоносителя в i-м расчетном периоде регулирования, , определяются по формуле:

(тыс. руб.), (2)

где:

- удельный расход топлива на отпущенную 1 Гкал тепловой энергии, отпускаемой в k-том виде теплоносителя в i-м расчетном периоде регулирования с коллекторов j-го источника тепловой энергии (далее - удельный расход топлива), определенный в соответствии с нормативом удельного расхода условного топлива на соответствующий расчетный период регулирования, кг у.т./Гкал. Удельный расход топлива может быть дифференцирован по термодинамическим параметрам пара;

- плановая (расчетная) цена на условное топливо j-го источника тепловой энергии с учетом затрат на его доставку и хранение, определяемая на i-й расчетный период регулирования в соответствии с приложениями 4.4 и 4.5 к настоящим Методическим указаниям с учетом остатков топлива и структуры используемого топлива, учтенной при расчете удельного расхода топлива, руб./т у.т.;

- плановый (расчетный) объем отпуска тепловой энергии, поставляемой с коллекторов j-го источника тепловой энергии в k-том виде теплоносителя в i-м расчетном периоде регулирования, определяемый в соответствии с пунктами 8 и 9 настоящих Методических указаний, тыс. Гкал.

Если орган регулирования в отношении регулируемой организации, переходящей от одного метода распределения удельного расхода условного топлива при производстве электрической и тепловой энергии в режиме комбинированной выработки электрической и тепловой энергии (далее - метод распределения расхода топлива) к другому методу распределения расхода топлива, принял решение о необходимости применения переходного периода, то в соответствии с Правилами распределения удельного расхода топлива при производстве электрической и тепловой энергии в режиме комбинированной выработки электрической и тепловой энергии, утвержденными постановлением Правительства Российской Федерации от 22 октября 2012 г. N 1075 (далее - Правила распределения расхода топлива), удельный расход топлива принимается равным:

, (3)

где:

- норматив удельного расхода условного топлива на производство отпущенной тепловой энергии, отпускаемой в k-том виде теплоносителя с коллекторов j-го источника тепловой энергии, утвержденный методом распределения расхода топлива, к которому осуществляется переход, на каждый t-й расчетный период регулирования переходного периода, кг у.т./Гкал;

- понижающий коэффициент, установленный органом регулирования на t-й расчетный период регулирования переходного периода для j-го источника тепловой энергии в отношении k-го вида теплоносителя в соответствии с формулой:

,(04)

где:

t - номер расчетного периода регулирования в течение переходного периода;

- норматив удельного расхода условного топлива на производство отпущенной тепловой энергии, отпускаемой в k-том виде теплоносителя, учтенный в тарифах на тепловую энергию (мощность) j-го источника тепловой энергии, действующих на момент принятия решения об изменении метода распределения расхода топлива, кг у.т./Гкал;

n - количество расчетных периодов регулирования в переходном периоде (не более 3).

27. Расходы на приобретение энергетических ресурсов (за исключением топлива), холодной воды и теплоносителя в i-м расчетном периоде регулирования, , рассчитываются по формуле:

(тыс. руб.), (5)

где:

- объем потребления z-го энергетического ресурса, холодной воды, теплоносителя в i-м расчетном периоде регулирования, определяемый с учетом фактических значений объема потребления такого энергетического ресурса в предыдущие расчетные периоды регулирования;

- плановая (расчетная) стоимость покупки единицы z-го энергетического ресурса, холодной воды, теплоносителя в i-м расчетном периоде регулирования.

Для организаций, осуществляющих деятельность по передаче тепловой энергии, теплоносителя, объем потерь тепловой энергии при передаче определяется с учетом пункта 118 настоящих Методических указаний.

Стоимость 1 кубического метра воды определяется с учетом положений пункта 149 настоящих Методических указаний.

28. Расходы, не учитываемые при определении налоговой базы налога на прибыль (относимые на прибыль после налогообложения), определяются в соответствии с Налоговым кодексом Российской Федерации и включают в себя следующие основные группы расходов:

1) капитальные вложения (инвестиции), определяемые на основе утвержденных в установленном порядке инвестиционных программ регулируемой организации;

2) прочие экономически обоснованные расходы, относимые на прибыль после налогообложения, включая затраты организаций на предоставление работникам льгот, гарантий и компенсаций в соответствии с отраслевыми тарифными соглашениями.

Расходы, не учитываемые при определении налоговой базы налога на прибыль, с учетом, в том числе, расходов на капитальные вложения (инвестиции), определяются органом регулирования в размере, не превышающем 7% от запланированных на соответствующий расчетный период регулирования расходов, уменьшающих налоговую базу налога на прибыль организаций.

29. Амортизация основных средств и нематериальных активов определяется в соответствии с нормативными правовыми актами Российской Федерации, регулирующими отношения в сфере бухгалтерского учета. При этом результаты переоценки основных средств и нематериальных активов учитываются органом регулирования только в той части, в какой соответствующие амортизационные отчисления являются источником финансирования капитальных вложений в соответствии с инвестиционной программой регулируемой организации.

30. Расходы, предусмотренные подпунктами 8 и 9 пункта 24 настоящих Методических указаний, в случае если они могут быть выполнены хозяйственным способом, определяются с учетом предоставленной регулируемой организацией сметы с приложением расшифровки каждой статьи такой сметы, составленной в соответствии с требованиями, установленными настоящими Методическими указаниями для соответствующей составляющей расходов.

31. С целью учета в необходимой валовой выручке на i-й расчетный период регулирования орган регулирования рассчитывает по формулам (6) - (6.4) экономию от снижения потребления энергетических ресурсов, в том числе топлива и потерь тепловой энергии, холодной воды и теплоносителя, , полученную регулируемой организацией за предыдущие расчетные периоды регулирования в результате проведения мероприятий по сокращению объема используемых энергетических ресурсов, при условии, что затраты на проведение этих мероприятий не учтены и не будут учтены при установлении тарифов, не финансировались и не будут финансироваться за счет бюджетных средств.

В 1-м расчетном периоде регулирования, тарифы на который рассчитываются с применением настоящих Методических указаний:

; (6)

во 2-м расчетном периоде регулирования, тарифы на который рассчитываются с применением настоящих Методических указаний:

(тыс. руб.); (6.1)

в 3-м расчетном периоде регулирования, тарифы на который рассчитываются с применением настоящих Методических указаний:

(тыс. руб.); (6.2)

в 4-м расчетном периоде регулирования, тарифы на который рассчитываются с применением настоящих Методических указаний:

(тыс. руб.); (6.3)

в 5-м расчетном периоде регулирования, тарифы на который рассчитываются с применением настоящих Методических указаний, и далее:

(тыс. руб.), (6.4)

где:

- экономия в m-расчетном периоде регулирования от снижения потребления энергетических ресурсов, холодной воды, теплоносителя, рассчитанная как сумма значений и , определенных соответственно по формулам (7) и (8), тыс. руб.;

, - прогнозные значения индекса потребительских цен (в среднем за год к предыдущему году) на i-й, (i-1)-й расчетный период регулирования соответственно, определенные на основании параметров прогноза социально-экономического развития Российской Федерации;

, , , - фактические значения индекса потребительских цен (в среднем за год к предыдущему году) в (i-5)-м, (i-4)-м, (i-3)-м, (i-2)-м расчетных периодах регулирования соответственно.

Расчет экономии от снижения потребления энергетических ресурсов, холодной воды и теплоносителя осуществляется в соответствии с приложениями 4.15 - 4.17 в i-м расчетном периоде регулирования с учетом данных, прогнозируемых регулируемой организацией, по следующим формулам:

(тыс. руб.), (7)
(тыс. руб.), (8)

где:

индекс "m" в формулах используется для обозначения m-го расчетного периода регулирования, индекс "1" - для обозначения 1-го расчетного периода регулирования, тарифы на который рассчитываются с применением настоящих Методических указаний;

- экономия от снижения потребления топлива в m-м расчетном периоде, учитываемая в i-м расчетном периоде регулирования для организации, осуществляющей деятельность по производству тепловой энергии, в отношении каждого источника тепловой энергии, тыс. руб. Экономия отдельного расчетного периода регулирования может принимать положительное или нулевое значение, тыс. руб.;

- экономия от снижения потребления z-го энергетического ресурса (за исключением топлива), холодной воды, теплоносителя в m-м расчетном периоде регулирования, учитываемая в i-м расчетном периоде регулирования, тыс. руб. Экономия отдельного расчетного периода регулирования может принимать положительное или нулевое значение, тыс. руб.;

- удельный расход топлива в k-м виде теплоносителя, учтенный при установлении тарифов на m-й расчетный период регулирования, кг у.т./Гкал;

- фактический (расчетный) удельный расход топлива в k-м виде теплоносителя в m-м расчетном периоде регулирования, кг у.т./Гкал, определяемый с учетом сопоставимых условий как , где - фактический удельный расход топлива в k-м виде теплоносителя в m-м расчетном периоде регулирования, кг у.т./Гкал;

- фактический объем отпуска тепловой энергии, поставляемой с коллекторов источника тепловой энергии в k-м виде теплоносителя в m-м расчетном периоде регулирования, тыс. Гкал;

- фактическая (расчетная) цена на топливо с учетом затрат на его доставку и хранение, определяемая для m-го расчетного периода регулирования в соответствии с приложениями 4.4 и 4.5 к настоящим Методическим указаниям с учетом остатков топлива и структуры используемого топлива, учтенной при расчете удельного расхода топлива, руб./т у.т.;

- фактический объем полезного отпуска соответствующего вида продукции (услуг) в m-м расчетном периоде регулирования, тыс. Гкал (тыс. куб. м);

- объем полезного отпуска соответствующего вида продукции (услуг), учтенный при установлении тарифов на m-й расчетный период регулирования, тыс. Гкал (тыс. куб. м);

- объем потребления z-го энергетического ресурса, холодной воды, теплоносителя, учтенный при установлении тарифов на m-й расчетный период регулирования;

- фактический объем потребления z-го энергетического ресурса, холодной воды, теплоносителя в m-м расчетном периоде регулирования;

- фактическая стоимость покупки единицы z-го энергетического ресурса, холодной воды, теплоносителя в m-м расчетном периоде регулирования.

32. Для расчета расходов, указанных в пунктах 24 - 30 настоящих Методических указаний, используются материалы в соответствии с перечнем, установленным пунктом 2 приложения 3 к настоящим Методическим указаниям.

Объем плановых (расчетных) расходов определяется исходя из плановых (расчетных) значений цен и экономически обоснованных объемов работ (услуг). При определении плановых (расчетных) и фактических значений расходов (цен) орган регулирования использует источники информации о ценах (тарифах) и расходах в соответствии с пунктами 28 и 31 Основ ценообразования.

V. Основные методологические положения по формированию необходимой валовой выручки для расчета тарифов методом индексации установленных тарифов

33. При расчете долгосрочных тарифов методом индексации установленных тарифов необходимая валовая выручка определяется на основе следующих долгосрочных параметров регулирования, которые определяются перед началом долгосрочного периода регулирования и в течение него не изменяются:

1) базовый уровень операционных расходов, устанавливаемый органом регулирования в соответствии с пунктом 37 настоящих Методических указаний;

2) индекс эффективности операционных расходов, устанавливаемый органом регулирования для каждой регулируемой организации с учетом утвержденной для нее инвестиционной программы. Индекс эффективности операционных расходов устанавливается в размере от 1 до 5 процентов в соответствии с приложением 1 к настоящим Методическим указаниям;

3) нормативный уровень прибыли, устанавливаемый органом регулирования на каждый расчетный период регулирования долгосрочного периода регулирования в соответствии с пунктом 41 настоящих Методических указаний;

4) уровень надежности теплоснабжения, соответствующий утвержденным в установленном порядке долгосрочным инвестиционным программам организаций, осуществляющих регулируемые виды деятельности в сфере теплоснабжения (фактические значения показателей надежности и качества, определенные за год, предшествующий году установления тарифов на первый год долгосрочного периода регулирования, а также плановые значения показателей надежности и качества на каждый год долгосрочного периода регулирования);

5) показатели энергосбережения и энергетической эффективности - если в отношении регулируемой организации утверждена программа энергосбережения и повышения энергетической эффективности в соответствии с законодательством Российской Федерации об энергосбережении и о повышении энергетической эффективности;

6) реализация программ в области энергосбережения и повышения энергетической эффективности, разработанных в соответствии с законодательством Российской Федерации об энергосбережении и о повышении энергетической эффективности, - если в отношении регулируемой организации утверждена программа в области энергосбережения и повышения энергетической эффективности в соответствии с законодательством Российской Федерации об энергосбережении и о повышении энергетической эффективности;

7) динамика изменения расходов на топливо, устанавливаемая в целях перехода от одного метода распределения расхода топлива к другому методу, - если орган регулирования применяет понижающий коэффициент на переходный период в соответствии с Правилами распределения расхода топлива.

34. На каждый год долгосрочного периода регулирования определяются прогнозные параметры регулирования (далее также - плановые параметры расчета тарифов) на каждый расчетный период регулирования долгосрочного периода регулирования:

1) индекс потребительских цен (в среднем за год к предыдущему году), определенный в соответствии с прогнозом социально-экономического развития Российской Федерации (далее - индекс потребительских цен), индексы роста цен на каждый энергетический ресурс и холодную воду, потребляемые регулируемой организацией при осуществлении регулируемой деятельности, индексы роста цен на их доставку, определяемые на основании информации об основных макроэкономических показателях социально-экономического развития Российской Федерации.

В отсутствие одобренного прогноза социально-экономического развития Российской Федерации на соответствующий год долгосрочного периода регулирования в целях определения подконтрольных расходов применяются значения параметров прогноза социально-экономического развития Российской Федерации, соответствующие последнему году периода, на который был одобрен указанный прогноз;

2) размер активов:

в отношении деятельности по передаче тепловой энергии, теплоносителя равен количеству условных единиц, относящихся к активам, необходимым для осуществления этой деятельности, в соответствии с приложением 2 к настоящим Методическим указаниям;

в отношении деятельности по производству тепловой энергии (мощности) равен установленной тепловой мощности источника тепловой энергии;

3) неподконтрольные расходы;

4) стоимость и сроки начала строительства (реконструкции) и ввода в эксплуатацию объектов, предусмотренных утвержденной инвестиционной программой регулируемой организации, источники финансирования утвержденной инвестиционной программы, включая плату за подключение к системе теплоснабжения;

5) расчетный объем отпуска тепловой энергии, поставляемой с коллекторов источника тепловой энергии, расчетный объем полезного отпуска соответствующего вида продукции (услуг), определяемые органом регулирования в соответствии с пунктами 8 и 9 настоящих Методических указаний;

6) стоимость покупки единицы энергетических ресурсов (в том числе топлива для организаций, осуществляющих деятельность по производству тепловой энергии (мощности), потерь тепловой энергии для организаций, осуществляющих деятельность по передаче тепловой энергии, теплоносителя), холодной воды, теплоносителя, определяемая в соответствии с пунктом 28 Основ ценообразования.

Также на каждый год долгосрочного периода регулирования определяются в соответствии с пунктом 40 настоящих Методических указаний и в течение этого периода не пересматриваются, если иное не предусмотрено пунктом 50 настоящих Методических указаний:

объем потерь тепловой энергии, устанавливаемый для организаций, осуществляющих деятельность по передаче тепловой энергии, теплоносителя;

объем потребления прочих энергетических ресурсов, холодной воды и теплоносителя в сопоставимых условиях.

35. До начала долгосрочного периода регулирования на основе долгосрочных параметров регулирования и иных прогнозных параметров регулирования орган регулирования рассчитывает необходимую валовую выручку регулируемой организации отдельно на каждый i-й расчетный период регулирования долгосрочного периода регулирования (далее в настоящей главе - i-й год), , по формуле:

(тыс. руб.), (9)

где:

- операционные (подконтрольные) расходы в i-м году, определяемые в соответствии с пунктом 36 настоящих Методических указаний, тыс. руб.;

- неподконтрольные расходы в i-м году, определяемые в соответствии с пунктом 39 настоящих Методических указаний, тыс. руб.;

- расходы на покупку энергетических ресурсов (в том числе топлива для организаций, осуществляющих деятельность по производству тепловой энергии (мощности), и потерь тепловой энергии для организаций, осуществляющих деятельность по передаче тепловой энергии, теплоносителя), холодной воды и теплоносителя в i-м году, определяемые в соответствии с пунктом 40 настоящих Методических указаний, тыс. руб.;

- прибыль, устанавливаемая органом регулирования на i-й год в соответствии с пунктом 41 настоящих Методических указаний, тыс. руб.;

- величина, определяемая на i-й год первого долгосрочного периода регулирования в соответствии с пунктом 42 настоящих Методических указаний и учитывающая результаты деятельности регулируемой организации до перехода к регулированию цен (тарифов) на основе долгосрочных параметров регулирования, тыс. руб.

36. Операционные (подконтрольные) расходы рассчитываются по формуле:

(тыс. руб.), (10)

где:

- операционные (подконтрольные) расходы в i-м году. Для первого года долгосрочного периода регулирования уровень операционных расходов (базовый уровень операционных расходов) определяется в соответствии с пунктом 37 настоящих Методических указаний, тыс. руб.;

ИОР - индекс эффективности операционных расходов, выраженный в процентах;

- индекс потребительских цен, определенный на основании параметров прогноза социально-экономического развития Российской Федерации на i-й год;

- коэффициент эластичности операционных расходов по количеству активов, необходимых для осуществления регулируемой деятельности, устанавливаемый равным 0,75;

- индекс изменения количества активов, применяемый с целью учета зависимости операционных расходов от размера активов, необходимых для осуществления регулируемой деятельности, определяемый на i-й год в соответствии с пунктом 38 Методических указаний.

37. При расчете базового уровня операционных расходов учитываются следующие расходы:

1) расходы на сырье и материалы;

2) расходы на ремонт основных средств;

3) расходы на оплату труда;

4) расходы на оплату работ и услуг производственного характера, выполняемых по договорам со сторонними организациями;

5) расходы на оплату иных работ и услуг, выполняемых по договорам с организациями, включая расходы на оплату услуг связи, вневедомственной охраны, коммунальных услуг, юридических, информационных, аудиторских и консультационных услуг, услуг по стратегическому управлению организацией и других работ и услуг;

6) расходы на служебные командировки;

7) расходы на обучение персонала;

8) лизинговый платеж, арендная плата, определяемые в соответствии с пунктами 45 и 65 Основ ценообразования;

9) другие расходы, не относящиеся к неподконтрольным расходам, в том числе расходы по охране труда и технике безопасности, расходы на канцелярские товары.

Указанные выше расходы определяются методом экономически обоснованных расходов в соответствии с главой IV настоящих Методических указаний.

В операционные расходы не включаются амортизация основных средств и нематериальных активов, расходы на погашение и обслуживание заемных средств, расходы на оплату услуг, оказываемых организациями, осуществляющими регулируемые виды деятельности.

При установлении базового уровня операционных расходов учитываются результаты анализа обоснованности расходов регулируемой организации, понесенных в последнем году предыдущего долгосрочного периода регулирования, и результаты проведения контрольных мероприятий.

В первом долгосрочном периоде после перехода к регулированию цен (тарифов) на основе долгосрочных параметров регулирования отношение базового уровня операционных расходов к сумме соответствующих расходов, учтенных в тарифах регулируемой организации в предшествующем расчетном периоде регулирования, не может превышать индекс потребительских цен в среднем за год по отношению к предыдущему году в соответствии с базовым вариантом прогноза социально-экономического развития Российской Федерации на очередной финансовый год и плановый период, одобренного Правительством Российской Федерации (с учетом планируемого изменения количества активов и объема реализуемых товаров (услуг) регулируемой организацией в году, на который устанавливается базовый уровень операционных (подконтрольных) расходов, по сравнению с предшествующим расчетным периодом регулирования, за исключением размера операционных расходов текущего года и прошлых лет, подтвержденных органом регулирования, в том числе по результатам рассмотрения разногласий и (или) обжалования в установленном законодательством Российской Федерации порядке, учитываемых органом регулирования при установлении тарифов на последующие периоды).

38. Индекс изменения количества активов рассчитывается:

в отношении деятельности по передаче тепловой энергии, теплоносителя по формуле (11);

в отношении деятельности по производству тепловой энергии (мощности) по формуле (11.1).

, (11)

, (11.1)

где:

, - количество условных единиц, относящихся к активам, необходимым для осуществления деятельности по передаче тепловой энергии, теплоносителя, соответственно в годах i и (i-1), определяемое органом регулирования в соответствии с приложением 2 к настоящим Методическим указаниям с учетом активов, фактически введенных в эксплуатацию, и активов, использование которых планируется начать в i-м, (i-1)-м году в соответствии с утвержденной инвестиционной программой;

, - установленная тепловая мощность источника тепловой энергии организации, осуществляющей производство тепловой энергии (мощности), теплоносителя, в i-м и (i-1)-м годах соответственно, определяемая с учетом инвестиционной программы регулируемой организации на соответствующий год, Гкал/ч.

39. Неподконтрольные расходы включают в себя:

расходы на оплату услуг, оказываемых организациями, осуществляющими регулируемые виды деятельности, рассчитанные в соответствии с пунктами 28 - 31 Основ ценообразования и не включающие расходы на приобретение энергетических ресурсов, холодной воды и теплоносителя;

расходы на уплату налогов, сборов и других обязательных платежей, включая плату за выбросы и сбросы загрязняющих веществ в окружающую среду, размещение отходов и другие виды негативного воздействия на окружающую среду в пределах установленных нормативов и (или) лимитов, а также расходы на обязательное страхование;

концессионную плату с учетом пункта 45 Основ ценообразования;

арендную плату в части имущества, используемого для осуществления регулируемой деятельности, определяемую в соответствии с пунктами 45 и 65 Основ ценообразования;

расходы по сомнительным долгам в соответствии с пунктом 47 Основ ценообразования;

отчисления на социальные нужды;

амортизация основных средств и нематериальных активов, определяемая в соответствии с приложением 4.10 к настоящим Методическим указаниям по данным бухгалтерского учета регулируемой организации, при этом результаты переоценки основных средств и нематериальных активов учитываются органом регулирования только в той части, в какой соответствующие амортизационные отчисления являются источником финансирования капитальных вложений в соответствии с инвестиционной программой регулируемой организации;

расходы на выплаты по договорам займа и кредитным договорам, включая проценты по ним. Величина процентов, включаемых в состав неподконтрольных расходов, не превышает величину, равную ставке рефинансирования Центрального банка Российской Федерации, увеличенной на 4 процентных пункта;

суммарная экономия от снижения операционных расходов и от снижения потребления энергетических ресурсов, холодной воды и теплоносителя, достигнутая регулируемой организацией в предыдущем долгосрочном периоде регулирования и включаемая в необходимую валовую выручку в первые пять лет очередного долгосрочного периода регулирования, определенная в соответствии с пунктами 43 - 44 настоящих Методических указаний.

Расходы, указанные выше, определяются методом экономически обоснованных расходов в соответствии с главой IV настоящих Методических указаний.

40. Расходы на приобретение энергетических ресурсов, холодной воды и теплоносителя на каждый год долгосрочного периода регулирования рассчитываются до начала долгосрочного периода регулирования в соответствии с пунктами 26, 27 настоящих Методических указаний.

Для организации, осуществляющей деятельность по передаче тепловой энергии, теплоносителя, при отсутствии нормативных технологических потерь, установленных на долгосрочный период регулирования, для каждого последующего года долгосрочного периода регулирования учитывается объем нормативных технологических потерь, установленный для первого года долгосрочного периода регулирования, если иное не предусмотрено пунктом 118 настоящих Методических указаний.

41. Прибыль, устанавливаемая органом регулирования на i-й год, определяется в соответствии с формулой:

, (12)

где:

- нормативный уровень прибыли, установленный на i-й год в соответствии с настоящим пунктом;

- величина необходимой валовой выручки регулируемой организации, определенная на i-й год без учета объема плановой (расчетной) прибыли от регулируемого вида деятельности и величины налога на прибыль, тыс. руб.;

- ставка налога на прибыль организаций в i-м году, определенная в соответствии с налоговым законодательством Российской Федерации.

Нормативный уровень прибыли устанавливается в процентах от НВВ для каждой регулируемой организации на каждый год долгосрочного периода регулирования с учетом планируемых экономически обоснованных расходов из прибыли, в том числе необходимости в осуществлении инвестиций, предусмотренных инвестиционной программой регулируемой организации, в номинальном выражении после уплаты налога на прибыль. Нормативный уровень прибыли устанавливается с учетом предложения регулируемой организации, включающего расчет и обоснование необходимого регулируемой организации уровня прибыли, на уровне не ниже 0,5%, если более низкая величина не указана в таком расчете, и не выше нормы доходности, установленной в соответствии с пунктом 66 настоящих Методических указаний на тот же год для регулируемых организаций, осуществляющих тот же вид регулируемой деятельности в том же субъекте Российской Федерации при использовании метода обеспечения доходности инвестированного капитала, а при отсутствии таких организаций - не выше минимальной нормы доходности, установленной федеральным органом регулирования в соответствии с настоящими Методическими указаниями.

42. Величина, определяющая результаты деятельности регулируемой организации до перехода к регулированию цен (тарифов) на основе долгосрочных параметров регулирования , рассчитывается по формуле (13) и может принимать как положительные, так и отрицательные значения.

, (13)

где:

- экономически обоснованные расходы регулируемой организации, понесенные в периоды регулирования, предшествовавшие переходу к регулированию цен (тарифов) на основе долгосрочных параметров регулирования и не возмещенные регулируемой организации, определяемые при i = 1, 2 (за исключением расходов, связанных с реализацией утвержденных инвестиционных программ);

- доходы регулируемой организации, необоснованно полученные в периоды регулирования, предшествовавшие переходу к регулированию цен (тарифов) на основе долгосрочных параметров регулирования и подлежащие исключению из НВВ, определяемые при i = 1, 2 (за исключением доходов, связанных с реализацией утвержденных инвестиционных программ);

- экономия от снижения потребления энергетических ресурсов, холодной воды и теплоносителя, определенная в соответствии с пунктом 31 настоящих Методических указаний, достигнутая регулируемой организацией до перехода к регулированию цен (тарифов) на основе долгосрочных параметров регулирования, по которой еще не истек 5-летний срок, в течение которого такая экономия должна быть сохранена за регулируемой организацией.

Экономия операционных расходов и экономия от снижения потребления энергетических ресурсов, холодной воды и теплоносителя

43. Экономия операционных расходов возникает в случае, если фактические операционные расходы за прошедший год составили меньшую величину, чем это было предусмотрено органом регулирования. В течение долгосрочного периода регулирования при достижении экономии операционных расходов необходимая валовая выручка на величину указанной экономии не пересматривается до окончания долгосрочного периода регулирования при условии, что регулируемая организация исполняет обязательства, предусмотренные при установлении тарифов такой организации, в полном объеме.

Экономия операционных расходов, достигнутая регулируемой организацией в каждом году долгосрочного периода регулирования, учитывается в составе необходимой валовой выручки в течение 5 лет. В случае если часть из этих 5 лет приходится на следующий долгосрочный период регулирования, экономия расходов (в том числе связанная с сокращением потерь в тепловых сетях) учитывается в необходимой валовой выручке регулируемой организации, устанавливаемой на следующий долгосрочный период регулирования, в составе неподконтрольных расходов в порядке, определенном настоящими Методическими указаниями.

Аналогичным образом при расчете тарифов на очередной долгосрочный период регулирования учитывается экономия от снижения потребления энергетических ресурсов, в том числе потерь тепловой энергии, холодной воды и теплоносителя, при условии, что затраты на проведение мероприятий по его снижению не учтены и не будут учтены при установлении тарифов, не финансировались и не будут финансироваться за счет бюджетных средств.

Орган регулирования рассчитывает экономию операционных расходов и экономию от снижения потребления энергетических ресурсов, холодной воды и теплоносителя в соответствии с приложениями 5.5, 5.11, 5.12 ежегодно до установления тарифов на очередной период регулирования.

44. Суммарная экономия операционных расходов и от снижения потребления энергетических ресурсов, холодной воды и теплоносителя, включаемая в необходимую валовую выручку в каждом году i следующего долгосрочного периода регулирования в течение 5 лет, , определяется по формуле:

(тыс. руб.), (14)

где:

i0 - первый год текущего долгосрочного периода регулирования;

ЭОР и ЭП - соответственно величина экономии операционных расходов и величина экономии от снижения потребления энергетических ресурсов, холодной воды и теплоносителя, достигнутые регулируемой организацией в предыдущем долгосрочном периоде и определенные в соответствии с пунктами 45 - 46 настоящих Методических указаний, тыс. руб.;

- прогнозное значение индекса потребительских цен в j-м году.

45. Экономия операционных расходов, учитываемая в очередном долгосрочном периоде регулирования, ЭОР, рассчитывается:

если предшествующий долгосрочный период регулирования составляет 3 года, по формуле (15);

если предшествующий долгосрочный период регулирования составляет более 3 лет, по формуле (15.1).

(тыс. руб.), (15)
(тыс. руб.), (15.1)

где:

i1 - последний год текущего долгосрочного периода регулирования;

ЭОР - экономия операционных расходов, учитываемая в очередном долгосрочном периоде регулирования, рассчитываемая в ценах года i1. Величина экономии принимается равной нулю, если расчет дает отрицательное значение;

- прирост экономии операционных расходов в i-м году по сравнению с (i-1)-м годом;

- прогнозное значение индекса потребительских цен (в среднем за год к предыдущему году) на i1-й год, определенное на основании параметров прогноза социально-экономического развития Российской Федерации;

, - фактические значения индекса потребительских цен (в среднем за год к предыдущему году) в годах i1-1, i1-2 соответственно.

Прирост экономии операционных расходов в последний год долгосрочного периода регулирования учитывается в объеме, прогнозируемом органом регулирования с учетом данных, предоставленных регулируемой организацией.

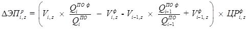
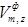
46. Экономия от снижения потребления энергетических ресурсов, холодной воды и теплоносителя, учитываемая в очередном долгосрочном периоде регулирования, рассчитывается:

если предшествующий долгосрочный период регулирования составляет 3 года, по формуле (16);

если предшествующий долгосрочный период регулирования составляет более 3 лет, по формуле (16.1).

, (16)
, (16.1)

где:

i1 - последний год текущего долгосрочного периода регулирования;

ЭП - экономия расходов от снижения потребления энергетических ресурсов, в том числе топлива и потерь тепловой энергии, холодной воды и теплоносителя, учитываемая в очередном долгосрочном периоде регулирования, рассчитанная в ценах года i1, тыс. руб. Величина экономии принимается равной нулю, если расчет дает отрицательное значение;

- прирост экономии от снижения потребления энергетических ресурсов, в том числе топлива и потерь тепловой энергии, холодной воды и теплоносителя, в i-м году по сравнению с (i-1)-м годом, определяемый в соответствии с пунктом 48 настоящих Методических указаний, тыс. руб.;

- прогнозное значение индекса потребительских цен (в среднем за год к предыдущему году) на i1-й год, определенное на основании параметров прогноза социально-экономического развития Российской Федерации;

, - фактические значения индекса потребительских цен (в среднем за год к предыдущему году) в (i1-1)-м, (i1-2)-м годах соответственно.

Прирост экономии от снижения потребления энергетических ресурсов, холодной воды и теплоносителя в последний год долгосрочного периода регулирования учитывается в объеме, прогнозируемом органом регулирования с учетом данных, предоставленных регулируемой организацией.

47. Прирост экономии операционных расходов за прошедший год рассчитывается по формулам:

(тыс. руб.), (17)

(тыс. руб.), (17.1)

где:

i0 - первый год текущего долгосрочного периода регулирования;

- прирост экономии операционных расходов в i-м году, тыс. руб. Прирост экономии операционных расходов отдельного года может принимать как положительные, так и отрицательные значения;

- скорректированные операционные (подконтрольные) расходы в i-м году, определяемые в соответствии с формулой (10) с применением уточненных значений индекса потребительских цен в соответствии с прогнозом социально-экономического развития Российской Федерации и индекса изменения количества активов, тыс. руб.;

- фактические операционные расходы в i-м году, тыс. руб. Фактические операционные расходы, учитываемые при расчете экономии операционных расходов, не могут превышать уровня, установленного на данный год органами регулирования;

- базовый уровень операционных расходов, установленный на долгосрочный период регулирования, тыс. руб.;

, ... , - фактическое значение индекса потребительских цен (в среднем за год к предыдущему году) в (i0+1)-м, ... , i-м годах соответственно.

48. Прирост экономии от снижения потребления энергетических ресурсов, холодной воды и теплоносителя за прошедший год рассчитывается с учетом пунктов 29 - 31 Основ ценообразования по формулам:

(тыс. руб.), при i = 2, 3, ... (18)
(тыс. руб.), (18.1)
(тыс. руб.), при i = 2, 3, ... (19)
(тыс. руб.), (19.1)

где:

i0 - первый год текущего долгосрочного периода регулирования;

- прирост экономии от снижения потребления топлива в i-м году, определяемый для организации, осуществляющей деятельность по производству тепловой энергии (мощности), в отношении каждого источника тепловой энергии, тыс. руб. Прирост экономии отдельного года может принимать как положительные, так и отрицательные значения;

- прирост экономии от снижения потребления z-го энергетического ресурса, холодной воды, теплоносителя в i-м году, тыс. руб. Прирост экономии отдельного года может принимать как положительные, так и отрицательные значения;

- удельный расход топлива в k-м виде теплоносителя, учтенный при установлении тарифов на i-й год, кг у.т./Гкал;

- фактический (расчетный) удельный расход топлива в k-м виде теплоносителя в i-м году, кг у.т./Гкал, определяемый с учетом сопоставимых условий как , где - фактический удельный расход топлива в k-м виде теплоносителя в i1-м году - последнем году текущего долгосрочного периода регулирования, кг у.т./Гкал, определяемый с учетом данных, прогнозируемых регулируемой организацией, - удельный расход топлива в k-м виде теплоносителя, учтенный при установлении тарифов на первый год очередного долгосрочного периода регулирования, кг у.т./Гкал;

- фактический объем отпуска тепловой энергии, поставляемой с коллекторов источника тепловой энергии в i-м году, тыс. Гкал;

- фактическая (расчетная) цена на условное топливо с учетом затрат на его доставку и хранение, определяемая в i-м году в соответствии с приложением 4.5 к настоящим Методическим указаниям с учетом остатков топлива и структуры используемого топлива, учтенной при расчете удельного расхода топлива, руб./т у.т.;

- фактический объем полезного отпуска соответствующего вида продукции (услуг) в i-м году, тыс. Гкал (тыс. куб. м);

- объем полезного отпуска соответствующего вида продукции (услуг), учтенный при установлении тарифов на i-й год, тыс. Гкал (тыс. куб. м);

- объем потребления z-го энергетического ресурса, холодной воды, теплоносителя, учтенный при установлении тарифов на i-й год;

- фактический объем потребления z-го энергетического ресурса, холодной воды, теплоносителя в i-м году;

- фактическая стоимость покупки единицы z-го энергетического ресурса, холодной воды, теплоносителя в i-м году.

Корректировка необходимой валовой выручки

49. В целях корректировки долгосрочного тарифа в соответствии с пунктом 52 Основ ценообразования орган регулирования ежегодно уточняет плановую необходимую валовую выручку на каждый i-й год до конца долгосрочного периода регулирования с использованием уточненных значений прогнозных параметров регулирования (далее в настоящей главе - скорректированная плановая НВВ), , по формуле:

(тыс. руб.), (20)

где:

- скорректированные операционные (подконтрольные) расходы в i-м году, определяемые в целях корректировки долгосрочного тарифа в соответствии с пунктом 52 Основ ценообразования по формуле (10) с применением уточненных значений индекса потребительских цен в соответствии с прогнозом социально-экономического развития Российской Федерации и индекса изменения количества активов, тыс. руб.;

- скорректированные неподконтрольные расходы в i-м году, определяемые в соответствии с пунктом 39 настоящих Методических указаний в целях корректировки долгосрочного тарифа в соответствии с пунктом 52 Основ ценообразования, тыс. руб.;

- скорректированные расходы на приобретение энергетических ресурсов, холодной воды и теплоносителя в i-м году, определяемые в соответствии с пунктом 50 настоящих Методических указаний в целях корректировки долгосрочного тарифа в соответствии с пунктом 52 Основ ценообразования, тыс. руб.;

- скорректированная прибыль, определяемая в целях корректировки долгосрочного тарифа в соответствии с пунктом 52 Основ ценообразования на i-й год по формуле (12) с применением величины и скорректированной ставки налога на прибыль организаций в i-м году, тыс. руб.;

- величина, учитывающая результаты деятельности регулируемой организации до перехода к регулированию цен (тарифов) на основе долгосрочных параметров регулирования и определенная на i-й год в соответствии с пунктом 42 настоящих Методических указаний, тыс. руб.

50. При корректировке плановых значений расходов на приобретение энергетических ресурсов, холодной воды и теплоносителя:

объемы используемых энергетических ресурсов, холодной воды и теплоносителя корректируются при наступлении обстоятельств, указанных в пункте 118 настоящих Методических указаний, в соответствии с указанным пунктом;

стоимость покупки единицы энергетических ресурсов корректируется с учетом уточнения значений, установленных на очередной расчетный период регулирования цен (тарифов) и индексов изменения цен, определенных в прогнозе социально-экономического развития.

51. Необходимая валовая выручка, принимаемая к расчету при установлении тарифов на очередной i-й год долгосрочного периода регулирования, , определяется в (i-1)-м году с учетом отклонения фактических значений параметров расчета тарифов от значений, учтенных при установлении тарифов по формуле:

(тыс. руб.), (21)

где:

- плановая необходимая валовая выручка, определенная на i-й год, скорректированная в соответствии с пунктом 49 настоящих Методических указаний, тыс. руб.;

- размер корректировки необходимой валовой выручки в i-м году, рассчитываемый в (i-1)-м году на основе данных о фактических значениях параметров расчета тарифов в (i-2)-м году, определяемый в соответствии с пунктом 52 настоящих Методических указаний, тыс. руб.;

, - индексы потребительских цен, определенные на основании параметров прогноза социально-экономического развития Российской Федерации соответственно на (i-1)-й и i-й годы при расчете долгосрочных тарифов;

- корректировка необходимой валовой выручки, осуществляемая в связи с изменением (неисполнением) инвестиционной программы, определяемая на i-й год в соответствии с пунктом 53 настоящих Методических указаний, тыс. руб.;

- корректировка необходимой валовой выручки с учетом надежности и качества реализуемых товаров (оказываемых услуг), определяемая на i-й год в соответствии с пунктом 54 настоящих Методических указаний, тыс. руб.;

- корректировка, учитывающая отклонение фактических показателей энергосбережения и повышения энергетической эффективности от установленных плановых (расчетных) показателей и отклонение сроков реализации программы в области энергосбережения и повышения энергетической эффективности от установленных сроков реализации такой программы, осуществляемая на i-й год в соответствии с пунктом 52 Основ ценообразования, если в отношении регулируемой организации утверждена программа в области энергосбережения и повышения энергетической эффективности в соответствии с законодательством Российской Федерации об энергосбережении и о повышении энергетической эффективности, тыс. руб.

В целях установления НВВ на 1-й и 2-й год долгосрочного периода регулирования при расчете показателей , , , учитываются результаты деятельности регулируемой организации соответственно в предпоследнем и последнем годах предшествующего долгосрочного периода регулирования в соответствии с настоящим пунктом.

52. Размер корректировки необходимой валовой выручки, осуществляемой с целью учета отклонения фактических значений параметров расчета тарифов от значений, учтенных при установлении тарифов, рассчитывается по формуле (22) с применением данных за последний расчетный период регулирования, по которому имеются фактические значения.

(тыс. руб.), (22)

где:

, - размер корректировки необходимой валовой выручки по результатам соответственно i-го и (i-2)-го года;

- величина необходимой валовой выручки в i-м году, определяемая на основе фактических значений параметров расчета тарифов взамен прогнозных в соответствии с пунктом 55 настоящих Методических указаний;

- выручка от реализации товаров (услуг) по регулируемому виду деятельности в i-м году, определяемая исходя из фактического объема полезного отпуска соответствующего вида продукции (услуг) в i-м году и тарифов, установленных в соответствии с главой IX настоящих Методических указаний на i-й год, без учета уровня собираемости платежей.

53. Размер корректировки необходимой валовой выручки, осуществляемой в i-м году в связи с изменением (неисполнением) инвестиционной программы, , рассчитывается по формуле:

(тыс. руб.), (23)

где:

- объем собственных средств на реализацию инвестиционной программы, учтенный при установлении тарифов на (i-j)-й год и включающий амортизацию основных средств и нематериальных активов, расходы из прибыли и иные собственные средства, определенные инвестиционной программой, тыс. руб.;

- плановый размер финансирования инвестиционной программы, утвержденной в установленном порядке на (i-j)-й год, за счет всех источников финансирования, тыс. руб.;

- объем фактического исполнения инвестиционной программы по объектам в (i-j)-м году по стоимости, определенной в инвестиционной программе соответствующего периода года (i-j) и предшествующих лет, тыс. руб.;

- учтенная при установлении тарифов на (i-1)-й год корректировка необходимой валовой выручки на (i-2)-й год, осуществленная в связи с изменением (неисполнением) инвестиционной программы за истекший период (i-2)-го года по результатам 9 месяцев, тыс. руб.; может принимать положительное, отрицательное или нулевое значение.

В случае если для регулируемой организации установлен одноставочный тариф, величина принимается равной расчетному значению , определяемому с учетом изменения полезного отпуска по формуле:

(тыс. руб.), (24)

где:

- фактический объем полезного отпуска соответствующего вида продукции (услуг) в (i-j)-м году, тыс. Гкал (тыс. куб. м);

- объем полезного отпуска соответствующего вида продукции (услуг), учтенный при установлении тарифов на (i-j)-й год, тыс. Гкал (тыс. куб. м).

54. Корректировка необходимой валовой выручки с учетом надежности и качества реализуемых товаров (оказываемых услуг) осуществляется в соответствии с Основами ценообразования и определяется на i-й год по формуле (25). Данная величина не может превышать 3% от плановой необходимой валовой выручки, установленной на долгосрочный период регулирования, в абсолютном выражении.

(тыс. руб.), (25)

где:

- обобщенный показатель надежности и качества оказываемых услуг в i-м году, используемый при осуществлении корректировки цен (тарифов), установленных на долгосрочный период регулирования, связанной с отклонением фактических значений показателей надежности и качества оказываемых услуг от плановых, который определяется на 2013 - 2015 годы равным 0, а на последующие годы в соответствии с пунктом 20 Основ ценообразования;

- максимальный процент корректировки i-го года, определяемый следующим образом:

для 2016 года: = 0,5%;

для 2017 года: = 1%;

начиная с 2018 года: = 2%.

55. Необходимая валовая выручка, определяемая на i-й год на основе фактических значений параметров расчета тарифов взамен прогнозных, , рассчитывается с учетом пунктов 29 - 31 Основ ценообразования по формуле:

(тыс. руб.), (26)

где:

- операционные расходы, определенные на i-й год исходя из фактических значений параметров расчета тарифов в соответствии с пунктом 56 настоящих Методических указаний;

- фактические неподконтрольные расходы в i-м году, которые определяются на основании документально подтвержденных имевших место неподконтрольных расходов. В данную величину включаются расходы, связанные с изменениями требований законодательства, изменениями состава активов, необходимых для осуществления регулируемой деятельности (без учета расходов, учтенных при определении операционных расходов), и другими изменениями величины неподконтрольных расходов;

- фактическая прибыль, определяемая на i-й год по формуле (12) с применением величины и фактической ставки налога на прибыль в i-м году;

- величина, определяемая на i-й год в соответствии с пунктом 42 настоящих Методических указаний и учитывающая результаты деятельности регулируемой организации до начала очередного долгосрочного периода регулирования, в том числе до перехода к регулированию цен (тарифов) на основе долгосрочных параметров регулирования;

- расходы на приобретение энергетических ресурсов, холодной воды, теплоносителя в i-м году, определенные исходя из фактических значений параметров расчета тарифов в соответствии с пунктом 56 настоящих Методических указаний;

- корректировка необходимой валовой выручки, осуществляемая в связи с изменением (неисполнением) инвестиционной программы, определяемая на i-й год в соответствии с пунктом 53 настоящих Методических указаний, тыс. руб.;

- корректировка необходимой валовой выручки с учетом надежности и качества реализуемых товаров (оказываемых услуг), определяемая на i-й год в соответствии с пунктом 54 настоящих Методических указаний, тыс. руб.;

- корректировка, учитывающая отклонение фактических показателей энергосбережения и повышения энергетической эффективности от установленных плановых (расчетных) показателей и отклонение сроков реализации программы в области энергосбережения и повышения энергетической эффективности от установленных сроков реализации такой программы, осуществляемая на i-й год в соответствии с пунктом 52 Основ ценообразования, если в отношении регулируемой организации утверждена программа в области энергосбережения и повышения энергетической эффективности в соответствии с законодательством Российской Федерации об энергосбережении и о повышении энергетической эффективности, тыс. руб.

В целях расчета за 1-й и 2-й год долгосрочного периода регулирования при расчете показателей , , учитываются результаты деятельности регулируемой организации соответственно в предпоследнем и последнем годах предшествующего долгосрочного периода регулирования в соответствии с настоящим пунктом.

56. Операционные расходы и расходы на приобретение энергетических ресурсов, определяемые на основе фактических значений параметров расчета тарифов взамен прогнозных, фактическая суммарная экономия от снижения операционных расходов и от снижения потребления энергетических ресурсов, холодной воды и теплоносителя определяются по формулам:

(тыс. руб.), (27)

(тыс. руб.), (28)

(тыс. руб.), (29)

(тыс. руб.), (30)
, (31)
, (31.1)
(тыс. руб.), (32)

где:

i0 - первый год текущего долгосрочного периода регулирования;

- операционные расходы, определенные на i-й год исходя из фактических значений параметров расчета тарифов, тыс. руб.;

- базовый уровень операционных расходов, установленный на долгосрочный период регулирования в соответствии с пунктом 37 настоящих Методических указаний, тыс. руб.;

ИОР - индекс эффективности операционных расходов, выраженный в процентах;

, - соответственно фактический и прогнозный индексы изменения потребительских цен в j-м году;

- коэффициент эластичности операционных расходов по количеству активов, необходимых для осуществления регулируемой деятельности;

- фактический индекс изменения количества активов в i-м году, определяемый:

в отношении деятельности по передаче тепловой энергии, теплоносителя по формуле (31);

в отношении деятельности по производству тепловой энергии (мощности), по формуле (31.1);

- расходы на приобретение энергетических ресурсов, холодной воды, теплоносителя в i-м году, определенные исходя из фактических значений параметров расчета тарифов;

- расходы на топливо при производстве тепловой энергии в k-м виде теплоносителя в i-м году, определяемые исходя из фактических значений параметров расчета тарифов для организации, осуществляющей производство тепловой энергии (мощности), тыс. руб.;

- расходы на приобретение прочих энергетических ресурсов, в том числе потерь тепловой энергии, холодной воды, теплоносителя в i-м году, определенные исходя из фактических значений параметров расчета тарифов по формуле (30), тыс. руб.;

- удельный расход топлива в k-том виде теплоносителя, учтенный при установлении тарифов на i-й год, кг у.т./Гкал;

- фактический норматив удельного расхода условного топлива в k-м виде теплоносителя в i-м году, определяемый в соответствии с Правилами распределения расхода топлива, кг у.т./Гкал;

- фактический объем отпуска тепловой энергии в k-м виде теплоносителя, поставляемой с коллекторов источника тепловой энергии в i-м году, тыс. Гкал;

- фактическая (расчетная) цена на условное топливо с учетом затрат на его доставку и хранение, определяемая в i-м году в соответствии с приложением 4.5 к настоящим Методическим указаниям с учетом остатков топлива и структуры используемого топлива, учтенной при расчете удельного расхода топлива, руб./т у.т.;

- расходы на приобретение прочих энергетических ресурсов, в том числе потерь тепловой энергии, холодной воды, теплоносителя в i-м году, определенные исходя из фактических значений параметров расчета тарифов по формуле (30), тыс. руб.;

- объем потребления z-го энергетического ресурса (за исключением топлива), холодной воды, теплоносителя, учтенный при установлении тарифов в i-м году;

- фактический объем полезного отпуска соответствующего вида продукции (услуг) в i-м году, тыс. Гкал (тыс. куб. м);

- объем полезного отпуска соответствующего вида продукции (услуг), учтенный при установлении тарифов на i-й год, тыс. Гкал (тыс. куб. м);

- фактическая стоимость покупки единицы z-го энергетического ресурса (за исключением топлива), холодной воды, теплоносителя в i-м году;

, - фактическое количество условных единиц, относящихся к активам, необходимым для осуществления деятельности по передаче тепловой энергии, теплоносителя соответственно в i-м и (i-1)-м годах, определяемое в соответствии с приложением 2 к настоящим Методическим указаниям с учетом фактической реализации утвержденной инвестиционной программы;

, - фактическая установленная тепловая мощность источников тепловой энергии организации, осуществляющей производство тепловой энергии (мощности), теплоносителя, в i-м и (i-1)-м годах соответственно, Гкал/ч;

- фактическая суммарная экономия от снижения операционных расходов и от снижения потребления энергетических ресурсов, холодной воды и теплоносителя, достигнутая регулируемой организацией в предыдущем долгосрочном периоде регулирования и включаемая в состав неподконтрольных расходов в i-м году при i = [1; 5], тыс. руб.

57. При формировании НВВ регулируемой организации методом индексации установленных тарифов используются материалы в соответствии с перечнем, установленным пунктом 3 приложения 3 к настоящим Методическим указаниям.

VI. Основные методологические положения по формированию необходимой валовой выручки методом обеспечения доходности инвестированного капитала

58. При расчете тарифов методом обеспечения доходности инвестированного капитала необходимая валовая выручка определяется на основе следующих долгосрочных параметров регулирования, которые определяются перед началом долгосрочного периода регулирования и в течение него не меняются:

1) базовый уровень операционных расходов, устанавливаемый в соответствии с пунктом 60 настоящих Методических указаний;

2) индекс эффективности операционных расходов, устанавливаемый органом регулирования в соответствии с пунктом 33 настоящих Методических указаний;

3) норматив чистого оборотного капитала, устанавливаемый органом регулирования в соответствии с пунктом 71 настоящих Методических указаний;

4) размер инвестированного капитала, установленный органом регулирования при переходе к регулированию тарифов с использованием метода обеспечения доходности инвестированного капитала или на первый год очередного долгосрочного периода регулирования в соответствии с пунктами 75 - 86 настоящих Методических указаний;

5) норма доходности инвестированного капитала, устанавливаемая органом регулирования в соответствии с пунктами 63 - 69 настоящих Методических указаний, включая норму доходности на капитал, инвестированный до перехода к регулированию тарифов с использованием метода обеспечения доходности инвестированного капитала;

6) сроки возврата инвестированного капитала, устанавливаемые в соответствии с Правилами установления долгосрочных параметров регулирования деятельности организаций в отнесенной законодательством Российской Федерации к сферам деятельности субъектов естественных монополий сфере теплоснабжения и (или) цен (тарифов) в сфере теплоснабжения, которые подлежат регулированию в соответствии с перечнем, определенным статьей 8 Федерального закона "О теплоснабжении" (далее - Правила установления долгосрочных параметров регулирования), утвержденными постановлением Правительства Российской Федерации от 22 октября 2012 г. N 1075;

7) уровень надежности теплоснабжения, соответствующий долгосрочным утвержденным в установленном порядке инвестиционным программам организаций, осуществляющих регулируемые виды деятельности в сфере теплоснабжения (фактические значения показателей надежности и качества, определенные за год, предшествующий году установления тарифов на первый год долгосрочного периода регулирования, а также плановые значения показателей надежности и качества на каждый год долгосрочного периода регулирования);

8) показатели энергосбережения и энергетической эффективности - если в отношении регулируемой организации утверждена программа энергосбережения и повышения энергетической эффективности в соответствии с законодательством Российской Федерации об энергосбережении и о повышении энергетической эффективности;

9) реализация программ в области энергосбережения и повышения энергетической эффективности, разработанных в соответствии с законодательством Российской Федерации об энергосбережении и о повышении энергетической эффективности, - если в отношении регулируемой организации утверждена программа в области энергосбережения и повышения энергетической эффективности в соответствии с законодательством Российской Федерации об энергосбережении и о повышении энергетической эффективности;

10) динамика изменения расходов на топливо, устанавливаемая в целях перехода от одного метода распределения расхода топлива к другому методу, - если орган регулирования применяет понижающий коэффициент на переходный период в соответствии с Правилами распределения расхода топлива.

59. На каждый год долгосрочного периода регулирования определяются планируемые значения параметров расчета тарифов в соответствии с пунктом 34 настоящих Методических указаний.

60. До начала долгосрочного периода регулирования на основе долгосрочных параметров регулирования и планируемых значений параметров расчета тарифов орган регулирования рассчитывает необходимую валовую выручку регулируемой организации отдельно на каждый i-й расчетный период регулирования долгосрочного периода регулирования (далее в настоящей главе - i-й год), , по формуле:

, (тыс. руб.), (33)

где:

- операционные (подконтрольные) расходы в i-м году, определяемые в соответствии с пунктами 36 - 37 настоящих Методических указаний, и учитывающие расходы, указанные в подпунктах 1 - 9 пункта 37 настоящих Методических указаний, тыс. руб.;

- неподконтрольные расходы в i-м году, определяемые в соответствии с пунктом 61 настоящих Методических указаний, тыс. руб.;

- расходы на приобретение энергетических ресурсов (в том числе топлива для организаций, осуществляющих деятельность по производству тепловой энергии (мощности), и потерь тепловой энергии для организаций, осуществляющих деятельность по передаче тепловой энергии, теплоносителя), холодной воды и теплоносителя в i-м году, определяемые в соответствии с пунктом 40 настоящих Методических указаний, тыс. руб.;

- возврат инвестированного капитала, определяемый на i-й год в соответствии с пунктом 62 настоящих Методических указаний, тыс. руб.;

- доход на инвестированный капитал, определяемый на i-й год в соответствии с пунктом 70 настоящих Методических указаний, тыс. руб.;

- величина, определяемая на i-й год первого долгосрочного периода регулирования в соответствии с пунктом 42 настоящих Методических указаний и учитывающая результаты деятельности регулируемой организации до перехода к регулированию цен (тарифов) на основе долгосрочных параметров регулирования, тыс. руб.

61. Неподконтрольные расходы определяются органом регулирования в соответствии с пунктом 39 настоящих Методических указаний, за исключением амортизации основных средств и нематериальных активов и расходов на выплаты по договорам займа и кредитным договорам, которые не учитываются в НВВ регулируемой организации, устанавливаемой методом обеспечения доходности инвестированного капитала.

Расчет возврата инвестированного капитала

62. В необходимую валовую выручку регулируемой организации включается возврат инвестированного капитала, рассчитываемый по следующей формуле:

(тыс. руб.), (34)

(тыс. руб.), (35)
(тыс. руб.), (36)

где:

- возврат инвестированного капитала в i-м году, тыс. руб.;

- величина возврата инвестиций, осуществленных после перехода к регулированию тарифов с использованием метода обеспечения доходности инвестированного капитала, в i-м году, тыс. руб.;

ВИК - величина ежегодного возврата инвестиций, осуществленных до перехода к регулированию тарифов с использованием метода обеспечения доходности инвестированного капитала, тыс. руб.;

- размер инвестированного капитала, установленный на начало первого долгосрочного периода регулирования при переходе к регулированию тарифов с применением метода обеспечения доходности инвестированного капитала, тыс. руб.;

- полная величина инвестированного капитала на начало i-го года, рассчитанная в соответствии с формулами (50) и (52), тыс. руб.;

СВК - срок возврата инвестированного капитала, устанавливаемый в соответствии с Правилами установления долгосрочных параметров регулирования.

Расчет нормы доходности инвестированного капитала

63. Норма доходности инвестированного капитала (далее - норма доходности) устанавливается органом регулирования на долгосрочный период регулирования и в течение этого периода не пересматривается. Норма доходности не может быть меньше минимальной нормы доходности, установленной федеральным органом регулирования в соответствии с настоящими Методическими указаниями.

64. Норма доходности устанавливается в номинальном выражении за вычетом ставки налога на прибыль организаций (в процентах годовых).

65. Инвестированный капитал включает в себя заемный и собственный капитал. Собственный капитал включает капитал, использованный организацией для создания активов, необходимых для осуществления регулируемой деятельности, за вычетом заемного капитала. Заемный капитал включает в себя обязательства регулируемой организации перед кредиторами со сроком действия не менее чем один год.

На долгосрочный период регулирования соотношение заемного и собственного капитала устанавливается равным 0,4.

66. Норма доходности инвестированного капитала, (НД), рассчитывается по формуле:

, (37)

где:

К - соотношение заемного капитала и собственного капитала;

СЗК - стоимость заемного капитала;

ССК - стоимость собственного капитала.

67. Стоимость заемного капитала, применяемая для целей расчета нормы доходности инвестированного капитала, созданного после перехода к регулированию тарифов с применением метода обеспечения доходности инвестированного капитала, определяется по формуле:

СЗК = ДГО + СЗКп (38)

Стоимость заемного капитала, применяемая для целей расчета нормы доходности инвестированного капитала, созданного до перехода к регулированию тарифов с применением метода обеспечения доходности инвестированного капитала на первые 2 года первого долгосрочного периода регулирования, определяется по формуле:

СЗК = ДГО, (38.1)

где:

ДГО - безрисковая ставка, определяемая как средняя доходность долгосрочных государственных обязательств, выраженных в рублях, со сроком до погашения не менее восьми лет и не более десяти лет за год, предшествующий установлению нормы доходности, определяемая в соответствии с утвержденной Министерством экономического развития Российской Федерации методикой определения величины средней доходности долгосрочных государственных обязательств, используемой при расчете цены на мощность для поставщиков мощности;

СЗКп - премия за риск инвестирования в долговые обязательства регулируемых организаций, устанавливаемая органом регулирования. В первом долгосрочном периоде регулирования значение премии за кредитный риск не может быть ниже 3%.

68. Стоимость собственного капитала, применяемая для целей расчета нормы доходности инвестированного капитала, созданного после перехода к регулированию тарифов с применением метода обеспечения доходности инвестированного капитала, определяется по формуле:

ССК = ДГО + ССКп (39)

Стоимость собственного капитала, применяемая для целей расчета нормы доходности инвестированного капитала, созданного до перехода к регулированию тарифов с применением метода обеспечения доходности инвестированного капитала на первые 2 года долгосрочного периода регулирования, определяется по формуле:

ССК = ДГО, (39.1)

где:

ДГО - безрисковая ставка, определяемая как средняя доходность долгосрочных государственных обязательств, выраженных в рублях, со сроком до погашения не менее восьми лет и не более десяти лет за год, предшествующий установлению нормы доходности, определяемая в соответствии с утвержденной Министерством экономического развития Российской Федерации методикой определения величины средней доходности долгосрочных государственных обязательств, используемой при расчете цены на мощность для поставщиков мощности;

ССКп - премия за риск инвестирования в собственный капитал регулируемых организаций. Величина премии за риск инвестирования определяется органами регулирования и не может быть ниже 6% в первый долгосрочный период регулирования.

69. Начиная с 3-го года первого долгосрочного периода регулирования норма доходности инвестированного капитала, созданного до перехода к регулированию тарифов с применением метода обеспечения доходности инвестированного капитала и после такого перехода, устанавливается одной ставкой.

Расчет дохода на инвестированный капитал

70. В необходимую валовую выручку регулируемой организации на i-й год включается доход на инвестированный капитал, , рассчитанный по формуле:

(тыс. руб.), (40)

(тыс. руб.), (41)

где:

i0 - первый год текущего долгосрочного периода регулирования;

- доход на инвестированный капитал в i-м году, тыс. руб.;

- размер инвестированного капитала, установленный при переходе к регулированию тарифов с применением метода обеспечения доходности инвестированного капитала, тыс. руб.;

ВИК - величина ежегодного возврата капитала, инвестированного до перехода к регулированию тарифов методом обеспечения доходности инвестированного капитала, осуществляемого ежегодно с момента перехода к регулированию тарифов до полной выплаты этого капитала, тыс. руб.;

- база инвестированного капитала, определенная на начало i-го года, тыс. руб.;

- нормативная величина чистого оборотного капитала, установленная на i-й год, тыс. руб.;

- норма доходности, установленная на i-й год первого долгосрочного периода регулирования для капитала, созданного до перехода к регулированию тарифов с применением метода обеспечения доходности инвестированного капитала;

НД - норма доходности;

- остаточная величина инвестированного капитала на начало i-го года, рассчитанная в соответствии с формулами (51) и (52), тыс. руб.

71. Расчет нормативной величины чистого оборотного капитала на каждый год долгосрочного периода регулирования производится по формуле:

(тыс. руб.), (42)

где:

- нормативная величина чистого оборотного капитала, устанавливаемая на i-й год, тыс. руб.;

- норматив чистого оборотного капитала, устанавливаемый органом регулирования на каждый год долгосрочного периода регулирования в размере 5%;

- необходимая валовая выручка по регулируемому виду деятельности, установленная на расчетный период регулирования, предшествующий i-му году, тыс. руб.

Корректировка необходимой валовой выручки

72. В целях корректировки долгосрочного тарифа в соответствии с пунктом 52 Основ ценообразования орган регулирования ежегодно уточняет плановую необходимую валовую выручку на каждый i-й год до конца долгосрочного периода регулирования с использованием уточненных значений прогнозных параметров регулирования (далее также - плановые параметры расчета), (далее в настоящей главе - скорректированная плановая НВВ), по формуле:

, (тыс. руб.), (43)

где:

- скорректированные операционные (подконтрольные) расходы в i-м году, определяемые в целях корректировки долгосрочного тарифа в соответствии с пунктом 52 Основ ценообразования по формуле (10) с применением уточненных значений индекса потребительских цен в соответствии с прогнозом социально-экономического развития Российской Федерации и индекса изменения количества активов, тыс. руб.;

- скорректированные неподконтрольные расходы в i-м году, определяемые в соответствии с пунктом 61 настоящих Методических указаний в целях корректировки долгосрочного тарифа в соответствии с пунктом 52 Основ ценообразования, тыс. руб.;

- скорректированные расходы на приобретение энергетических ресурсов, холодной воды и теплоносителя в i-м году, определяемые в соответствии с пунктом 50 настоящих Методических указаний в целях корректировки долгосрочного тарифа в соответствии с пунктом 52 Основ ценообразования, тыс. руб.;

- скорректированный возврат инвестированного капитала, определяемый в целях корректировки долгосрочного тарифа в соответствии с пунктом 52 Основ ценообразования на i-й год в соответствии с пунктом 62 настоящих Методических указаний, тыс. руб.;

- скорректированный доход на инвестированный капитал, определяемый в целях корректировки долгосрочного тарифа в соответствии с пунктом 52 Основ ценообразования на i-й год в соответствии с пунктом 70 настоящих Методических указаний с использованием в том числе значения нормативной величины чистого оборотного капитала, рассчитанной по формуле (42) с использованием значения , тыс. руб.;

- величина, учитывающая результаты деятельности регулируемой организации до перехода к регулированию цен (тарифов) на основе долгосрочных параметров регулирования и определенная на i-й год в соответствии с пунктом 42 настоящих Методических указаний, тыс. руб.

73. Необходимая валовая выручка, принимаемая к расчету при установлении тарифов на очередной i-й год, , рассчитывается в (i-1)-м году с учетом отклонения фактических значений параметров расчета тарифов от значений, учтенных при установлении тарифов по формуле:

(тыс. руб.), (44)

где:

- плановая скорректированная необходимая валовая выручка, определенная на i-й год в соответствии с пунктом 72 настоящих Методических указаний, тыс. руб.;

- размер корректировки необходимой валовой выручки в i-м году, рассчитываемый в (i-1)-м году на основе данных о фактических значениях параметров расчета тарифов в (i-2)-м году, определяемый в соответствии с пунктом 52 настоящих Методических указаний, тыс. руб.;

, - индексы потребительских цен, определенные на основании параметров прогноза социально-экономического развития Российской Федерации соответственно на (i-1)-й и на i-й годы при расчете долгосрочных тарифов;

- корректировка необходимой валовой выручки с учетом надежности и качества реализуемых товаров (оказываемых услуг), определяемая на i-й год в соответствии с пунктом 54 настоящих Методических указаний, тыс. руб.;

- корректировка, учитывающая отклонение фактических показателей энергосбережения и повышения энергетической эффективности от установленных плановых (расчетных) показателей и отклонение сроков реализации программы в области энергосбережения и повышения энергетической эффективности от установленных сроков реализации такой программы, осуществляемая на i-й год в соответствии с пунктом 52 Основ ценообразования, если в отношении регулируемой организации утверждена программа в области энергосбережения и повышения энергетической эффективности в соответствии с законодательством Российской Федерации об энергосбережении и о повышении энергетической эффективности, тыс. руб.

В целях установления НВВ на 1-й и 2-й год долгосрочного периода регулирования при расчете показателей , , учитываются результаты деятельности регулируемой организации соответственно в предпоследнем и последнем годах предшествующего долгосрочного периода регулирования в соответствии с настоящим пунктом.

74. Размер корректировки необходимой валовой выручки, осуществляемой с целью учета отклонения фактических значений параметров расчета тарифов, от значений, учтенных при установлении тарифов, рассчитывается по формуле (45) с использованием данных за последний расчетный период регулирования, по которому имеются фактические значения:

(тыс. руб.), (45)

где:

, - размер корректировки необходимой валовой выручки по результатам соответственно i-го и (i-1)-го года, тыс. руб.;

- величина необходимой валовой выручки в i-м году, определяемая на основе фактических значений параметров расчета тарифа взамен прогнозных в соответствии с пунктом 75 настоящих Методических указаний, тыс. руб.;

- выручка от реализации товаров (услуг) по регулируемому виду деятельности в i-м году, определяемая исходя из фактического объема полезного отпуска соответствующего вида продукции (услуг) в i-м году и тарифов, установленных в соответствии с главой IX настоящих Методических указаний на i-й год, без учета уровня собираемости платежей, тыс. руб.

75. Необходимая валовая выручка, определяемая на i-й год на основе фактических значений параметров расчета тарифов взамен прогнозных, , рассчитывается с учетом пунктов 29 - 31 Основ ценообразования по формуле:

(тыс. руб.), (46)

где:

- операционные расходы, определенные на i-й год исходя из фактических значений параметров расчета тарифов в соответствии с пунктом 56 настоящих Методических указаний, тыс. руб.;

- фактические неподконтрольные расходы в i-м году, которые определяются с учетом документально подтвержденных имевших место неподконтрольных расходов. В данную величину включаются расходы, связанные с изменениями требований законодательства, изменениями состава активов, необходимых для осуществления регулируемой деятельности (без учета расходов, учтенных при определении операционных расходов), и другими изменениями величины неподконтрольных расходов, тыс. руб.;

- расходы на приобретение энергетических ресурсов, холодной воды, теплоносителя в i-м году, определенные исходя из фактических значений параметров расчета тарифов в соответствии с пунктом 56 настоящих Методических указаний, тыс. руб.;

- фактический возврат инвестированного капитала, определяемый на i-й год в соответствии с пунктом 62 настоящих Методических указаний с использованием значения полной величины инвестированного капитала, рассчитанной с учетом фактических значений доходности долгосрочных государственных обязательств, тыс. руб.;

- фактический доход на инвестированный капитал, определяемый на i-й год в соответствии с пунктом 70 настоящих Методических указаний с использованием значений базы инвестированного капитала, рассчитанной с учетом фактических значений доходности долгосрочных государственных обязательств, и нормативной величины чистого оборотного капитала, рассчитанной по формуле (42) с использованием значения , тыс. руб.;

- корректировка необходимой валовой выручки с учетом надежности и качества реализуемых товаров (оказываемых услуг), определяемая на i-й год в соответствии с пунктом 54 настоящих Методических указаний, тыс. руб.;

- корректировка, учитывающая отклонение фактических показателей энергосбережения и повышения энергетической эффективности от установленных плановых (расчетных) показателей и отклонение сроков реализации программы в области энергосбережения и повышения энергетической эффективности от установленных сроков реализации такой программы, осуществляемая на i-й год в соответствии с пунктом 52 Основ ценообразования, если в отношении регулируемой организации утверждена программа в области энергосбережения и повышения энергетической эффективности в соответствии с законодательством Российской Федерации об энергосбережении и о повышении энергетической эффективности, тыс. руб.

В целях установления НВВ на 1-й и 2-й год долгосрочного периода регулирования при расчете показателей , учитываются результаты деятельности регулируемой организации соответственно в предпоследнем и последнем годах предшествующего долгосрочного периода регулирования в соответствии с настоящим пунктом.

76. В случае комбинированного производства электрической и тепловой энергии скорректированные неподконтрольные расходы регулируемой организации, а также скорректированные расходы, предусмотренные утвержденной инвестиционной программой регулируемой организации, относящиеся на производство тепловой энергии, определяются в соответствии с главой VIII настоящих Методических указаний.

Расчет стоимости инвестированного капитала с целью учета в тарифах

77. Учет инвестированного капитала, применяемого при осуществлении регулируемой деятельности, ведется раздельно от учета стоимости активов организации, включая бухгалтерский и налоговый учет. Учет инвестированного капитала ведется раздельно по системам теплоснабжения и субъектам Российской Федерации.

78. В составе размера и базы инвестированного капитала учитываются производственные объекты, необходимые для осуществления регулируемого вида деятельности. При определении размера и базы инвестированного капитала не учитываются:

стоимость культурно-бытовых объектов, легковых автомобилей, а также зданий, сооружений и иных объектов движимого и недвижимого имущества, не связанных с процессом производства и (или) передачи тепловой энергии (мощности) и теплоносителя;

стоимость объектов незавершенного строительства;

размер арендных или концессионных платежей за использование имущества, используемого регулируемой организацией для осуществления регулируемой деятельности.

79. При первом применении метода обеспечения доходности инвестированного капитала размер инвестированного капитала устанавливается органом регулирования на уровне, не превышающем предельный размер инвестированного капитала, определяемый с учетом пункта 6 Правил определения стоимости активов и инвестированного капитала и ведения их раздельного учета, применяемыми при осуществлении деятельности, регулируемой с использованием метода обеспечения доходности инвестированного капитала, утвержденных постановлением Правительства Российской Федерации от 22 октября 2012 г. N 1075, в соответствии с приложением 5.8 к настоящим Методическим указаниям по формулам:

(тыс. руб.), (47)

(тыс. руб.), (48)

(тыс. руб.), (49)

где:

- стоимость производственных объектов, учитываемая при определении размера инвестированного капитала регулируемой организации, тыс. руб.;

- объем денежных средств на финансирование создания производственных объектов, использованных регулируемой организацией за период с 1 января 2010 г. до 31 декабря включительно года, предшествующего началу первого долгосрочного периода регулирования, тыс. руб.;

- остаточная стоимость производственных объектов, принадлежащих регулируемой организации на праве собственности, определенная по данным бухгалтерского учета на 1 января 2010 г., тыс. руб.;

- стоимость введенных в эксплуатацию производственных объектов в срок от 1 января 2010 г. до 31 декабря включительно года, предшествующего началу первого долгосрочного периода регулирования (по данным бухгалтерского учета, на дату введения указанных объектов в эксплуатацию без учета выплаченных процентов по займам и кредитам, полученным регулируемой организацией для финансирования строительства (реконструкции, модернизации) таких производственных объектов до их ввода в эксплуатацию), за исключением создания (реконструкции, модернизации) производственных объектов, поставка мощности которых предусмотрена договорами о предоставлении мощности, тыс. руб.;

- амортизация, начисленная в отношении объектов, стоимость которых подлежит учету в составе размера инвестированного капитала, за период с 1 января 2010 г. до 31 декабря включительно года, предшествующего началу первого долгосрочного периода регулирования (по данным бухгалтерского учета), тыс. руб.;

- остаточная стоимость производственных объектов, выбывших из эксплуатации за период с 1 января 2010 г. до 31 декабря включительно года, предшествующего началу первого долгосрочного периода регулирования (по данным бухгалтерского учета на дату выбытия), тыс. руб.;

- плата за подключение к системе теплоснабжения, полученная регулируемой организацией за период с 1 января 2010 г. до 31 декабря включительно года, предшествующего началу первого долгосрочного периода регулирования, тыс. руб.;

- доход, полученный регулируемой организацией за счет применения надбавок к тарифам за период с 1 января 2010 г. до 31 декабря включительно года, предшествующего началу первого долгосрочного периода регулирования, тыс. руб.;

- величина средств, полученных безвозмездно из бюджетов бюджетной системы Российской Федерации и государственных корпораций на финансирование создания введенных в эксплуатацию производственных объектов в срок от 1 января 2010 г. до 31 декабря включительно года, предшествующего началу первого долгосрочного периода регулирования (по данным бухгалтерского учета), тыс. руб.

При определении размера инвестированного капитала не учитывается капитал, который был возвращен в полном объеме. После возврата капитала, инвестированного в текущем году, в полном объеме полная величина инвестированного капитала регулируемой организации уменьшается на полную величину возвращенного инвестированного капитала.

80. При определении размера инвестированного капитала учитываются средства, полученные в качестве бюджетных инвестиций, влекущих за собой возникновение права государственной или муниципальной собственности на эквивалентную часть уставных (складочных) капиталов юридических лиц. Бюджетные инвестиции, направленные на финансирование создания введенных в эксплуатацию производственных объектов, не находящихся на балансе регулируемой организации, не учитываются при определении размера (базы) инвестированного капитала.

81. Размер инвестированного капитала регулируемой организации, эксплуатирующей производственные объекты, необходимые для осуществления регулируемого вида деятельности, в соответствии с договором аренды (концессионным соглашением), рассчитывается по данным бухгалтерского учета регулируемой организации как сумма остаточной стоимости производственных объектов, принадлежащих регулируемой организации на праве собственности, остаточной стоимости улучшений производственных объектов, находящихся в аренде (концессии), за вычетом средств, полученных регулируемой организацией на строительство (реконструкцию) производственных объектов в части, финансируемой за счет выручки от реализации товаров (услуг) по регулируемым тарифам (ценам), надбавок к тарифам организации коммунального комплекса, платы за подключение и бюджетных ассигнований за весь период деятельности этой организации по договору аренды (концессии) до момента перехода к регулированию тарифов методом обеспечения доходности инвестированного капитала.

82. При принятии решения о переходе к методу установления долгосрочных тарифов с использованием метода обеспечения доходности инвестированного капитала база инвестированного капитала принимается равной размеру инвестированного капитала.

83. Стоимость производственных объектов, эксплуатируемых регулируемой организацией на основании договора лизинга с условием перехода права собственности на предмет лизинга к лизингополучателю, включается в базу инвестированного капитала в размере выкупной стоимости, установленной в договоре лизинга.

В отношении договоров лизинга, заключенных до первого применения метода обеспечения доходности инвестированного капитала, стоимость производственных объектов, эксплуатируемых регулируемой организацией на основании договоров лизинга с условием перехода права собственности на предмет лизинга к лизингополучателю, включается в размер инвестированного капитала в размере выкупной цены, установленной договором лизинга с учетом накопленной амортизации (по данным бухгалтерского учета), с момента передачи предмета лизинга регулируемой организации в порядке, установленном договором лизинга.

84. Доходы, поступившие в качестве платы за подключение к системе теплоснабжения, направленные на возмещение расходов по строительству и (или) реконструкции производственных объектов, вводимых в соответствии с утвержденной инвестиционной программой регулируемой организации, исключаются из базы инвестированного капитала регулируемой организации.

85. Полная величина инвестированного капитала на очередной год долгосрочного периода регулирования рассчитывается по формуле:

(тыс. руб.), (50)

остаточная величина инвестированного капитала рассчитывается по формуле:

(тыс. руб.), (51)

Для первого долгосрочного периода регулирования:

(тыс. руб.), (52)

где:

, , - полная величина инвестированного капитала на начало первого, i-го и (i-1)-го года соответственно, тыс. руб.;

, , - остаточная величина инвестированного капитала на начало первого, i-го и (i-1)-го года соответственно, тыс. руб.;

- стоимость создания (реконструкции, модернизации) производственных объектов, не включая стоимость объектов незавершенного строительства, введенных в эксплуатацию в установленном порядке в (i-1)-м году в соответствии с утвержденной инвестиционной программой регулируемой организации до (i-1)-го года включительно, за исключением создания (реконструкции, модернизации) производственных объектов, поставка мощности которых предусмотрена договорами о предоставлении мощности, тыс. руб.;

- величина возврата капитала в (i-1)-м году, тыс. руб.;

- корректировка, вызванная изменением уровня доходности долгосрочных государственных обязательств в (i-1)-м году относительно уровня, учтенного при расчете тарифов, тыс. руб.;

- величина начисленного дохода, полученного в виде платы за подключение к системе теплоснабжения, в части компенсации расходов на создание (реконструкцию, модернизацию) производственных объектов, введенных в эксплуатацию в (i-1)-м году в целях осуществления подключения к системе теплоснабжения в соответствии с утвержденной в установленном порядке инвестиционной программой регулируемой организации, тыс. руб.;

- величина средств, полученных безвозмездно из бюджетов бюджетной системы Российской Федерации, а также средств государственных корпораций, направляемых на финансирование создания производственных объектов, полученных регулируемой организацией в течение предыдущего расчетного периода регулирования в качестве источника финансирования создания (реконструкции, модернизации) производственных объектов, введенных в эксплуатацию в соответствии с утвержденной в установленном порядке инвестиционной программой регулируемой организации, в случае если стоимость указанных объектов учитывалась при определении базы инвестированного капитала, тыс. руб.;

- полная величина капитала, соответствующая фактическому списанию (выбытию) в (i-1)-м году производственных объектов, необходимых для осуществления регулируемой деятельности, тыс. руб.;

- остаточная величина капитала, соответствующая фактическому списанию (выбытию) в (i-1)-м году производственных объектов, необходимых для осуществления регулируемой деятельности, тыс. руб. Указанная величина определяется равной остаточной стоимости выбывающих объектов по состоянию на (i-1)-й год.

В случае если порядок учета инвестированного капитала организации не позволяет идентифицировать списываемый объект и определить стоимость, соответствующую фактическому списанию (выбытию) в (i-1)-м году указанного объекта (в случае мероприятий по реконструкции, замене основных средств), показатели и определяются по формулам:

(тыс. руб.), (53)

(тыс. руб.), (54)

где:

- стоимость объектов, введенных в эксплуатацию, предусмотренных утвержденной инвестиционной программой регулируемой организации в качестве замены основных средств, подлежащих выбытию, тыс. руб.;

- полная стоимость реконструкции (модернизации) объектов основных средств, частью которых является объект основного средства, подлежащий замене в рамках утвержденной инвестиционной программы, тыс. руб.;

- полная величина инвестированного капитала объектов основных средств, частью которого является объект основного средства, подлежащий замене в рамках утвержденной инвестиционной программы регулируемой организации, тыс. руб.;

- коэффициент износа объектов основных средств, частью которого является объект основного средства, подлежащий замене в рамках утвержденной инвестиционной программы регулируемой организации, определяемый по данным бухгалтерского учета как отношение суммы амортизации, начисленной по этим объектам, к их первоначальной стоимости.

Полная и остаточная величины инвестированного капитала определяются в соответствии с формами, предусмотренными системой отчетности, представляемой в федеральный орган исполнительной власти в области государственного регулирования тарифов в сфере теплоснабжения, а также органы исполнительной власти субъектов Российской Федерации в области регулирования цен (тарифов) и органы местного самоуправления поселений и городских округов.

В случае отсутствия данных о стоимости объектов, предусмотренных утвержденной инвестиционной программой регулируемой организации в качестве замены основных средств, подлежащих выбытию, величина определяется в соответствии с актом о списании объекта основных средств.

86. Инвестиции, осуществленные в рамках утвержденной инвестиционной программы регулируемой организации, учитываются при определении полной и остаточной величины капитала с момента ввода соответствующих объектов в эксплуатацию в установленном порядке в размере расходов, предусмотренных утвержденной инвестиционной программой регулируемой организации, но не выше укрупненных сметных нормативов для объектов непроизводственной сферы и инженерной инфраструктуры.

В полную и остаточную величину инвестированного капитала включаются расходы, осуществленные регулируемой организацией на создание (реконструкцию, модернизацию) производственных объектов и направленные на ликвидацию последствий аварий, чрезвычайных ситуаций и стихийных бедствий в объеме, определенном органами регулирования на основе данных бухгалтерского учета, но не выше укрупненных сметных нормативов для объектов непроизводственной сферы и инженерной инфраструктуры.

После ввода в эксплуатацию объекта незавершенного строительства в полную величину капитала и в остаточную величину инвестированного капитала включается стоимость этого объекта в соответствии с настоящим пунктом.

87. Корректировка величины инвестированного капитала с учетом отклонения доходности долгосрочных государственных обязательств в i-м году от значения, учтенного при расчете тарифов, , рассчитывается:

для первого долгосрочного периода регулирования рассчитывается по формуле (55),

для второго и последующих долгосрочных периодов регулирования - по формуле (55.1).

, (тыс. руб.), (55)
, (тыс. руб.), (55.1)

, (56)

где:

i0 - первый год текущего долгосрочного периода регулирования;

- стоимость создания (реконструкции, модернизации) производственных объектов, не включая стоимость объектов незавершенного строительства, введенных в эксплуатацию в установленном порядке в j-м году в соответствии с утвержденной инвестиционной программой регулируемой организации до j-го года включительно, за исключением создания (реконструкции, модернизации) производственных объектов, поставка мощности которых предусмотрена договорами о предоставлении мощности, тыс. руб.;

- величина возврата инвестиций, осуществленных после перехода к регулированию тарифов с использованием метода обеспечения доходности инвестированного капитала, в j-м году, тыс. руб.;

- нормативная величина чистого оборотного капитала на i-й год, тыс. руб.;

- выраженное в процентах изменение средней доходности долгосрочных государственных обязательств, выраженных в рублях, со сроком до погашения не менее восьми лет и не более десяти лет, в i-м году, тыс. руб.;

- размер инвестированного капитала, установленный на первый год долгосрочного периода регулирования, определяемый исходя из базы инвестированного капитала на последний год предшествующего долгосрочного периода регулирования, с учетом изменений за последний год предшествующего долгосрочного периода регулирования, указанных в пункте 85 настоящих Методических указаний, тыс. руб.;

ВИК - величина ежегодного возврата инвестиций, осуществленных до перехода к регулированию тарифов с применением метода обеспечения доходности инвестированного капитала, тыс. руб.;

, - фактически сложившаяся в i-м и (i-1)-м годах соответственно средняя доходность долгосрочных государственных обязательств, выраженных в рублях, со сроком до погашения не менее восьми лет и не более десяти лет, определенная в соответствии с утвержденной Министерством экономического развития Российской Федерации методикой определения величины средней доходности долгосрочных государственных обязательств, используемой при расчете цены на мощность для поставщиков мощности.

88. При формировании НВВ регулируемой организации методом обеспечения доходности инвестированного капитала используются материалы в соответствии с перечнем, установленным пунктом 4 приложения 3 к настоящим Методическим указаниям.

VII. Основные методологические положения по формированию необходимой валовой выручки методом сравнения аналогов

89. Метод сравнения аналогов применяется для установления долгосрочных тарифов в сфере теплоснабжения в отношении регулируемых организаций, удовлетворяющих критериям, определенным в пункте 77 Основ ценообразования.

90. При расчете тарифов методом сравнения аналогов необходимая валовая выручка определяется на основе следующих долгосрочных параметров регулирования, которые определяются перед началом долгосрочного периода регулирования и в течение него не меняются:

1) базовый уровень расходов;

2) индекс снижения расходов.

91. Орган регулирования каждые 5 лет в рамках субъекта Российской Федерации осуществляет сбор показателей деятельности регулируемых организаций, в том числе характеризующих физические параметры производственных объектов регулируемых организаций, удовлетворяющих критериям, определенным в пункте 77 Основ ценообразования, и проводит сравнительный анализ расходов организаций, осуществляющих аналогичный регулируемый вид деятельности в сопоставимых условиях функционирования. В случае если регулируемая организация обратилась с заявлением о применении метода сравнения аналогов в году, в котором не проводился сравнительный анализ расходов регулируемых организаций, то в целях установления в отношении такой регулируемой организации тарифов с применением метода сравнения аналогов к величинам, полученным по результатам последнего проведенного сравнительного анализа, применяются индексы потребительских цен.

92. Сопоставимость условий функционирования регулируемых организаций в ходе сравнительного анализа расходов регулируемых организаций достигается посредством использования органом регулирования коэффициентов сопоставимости, а также, при необходимости, за счет дополнительного разделения организаций по группам в рамках одного регулируемого вида деятельности в целях достижения сопоставимости по природно-климатическим и территориальным условиям функционирования.

93. Организации, осуществляющие деятельность по передаче тепловой энергии и теплоносителя, сравниваются по показателю полных расходов на километр сетей в 2-трубном исчислении, а организации, осуществляющие деятельность по производству тепловой энергии (мощности), сравниваются по каждому источнику тепловой энергии по показателю полных расходов на 1 Гкал отпуска тепловой энергии от источника тепловой энергии (далее - удельные расходы регулируемой организации).

94. В ходе сравнительного анализа расходов организаций, осуществляющих аналогичный регулируемый вид деятельности, определяется среднее значение удельных расходов. В расчете среднего значения не учитываются показатели регулируемой организации, если:

удельные расходы регулируемой организации отличаются в два и более раза от среднего значения удельных расходов, рассчитанного с учетом показателей указанной организации;

протяженность тепловых сетей, используемых организацией для осуществления регулируемого вида деятельности, составляет менее 5 км в 2-трубном исчислении;

установленная тепловая мощность источников, используемых организацией для осуществления регулируемого вида деятельности, составляет менее 1 Гкал/ч;

фактические расходы организации, связанные с осуществлением регулируемого вида деятельности, за последний расчетный период, на который имеются отчетные данные, более чем в 2 раза превышают величину указанных расходов, учтенную при установлении цен (тарифов) на соответствующий расчетный период регулирования.

95. Средняя величина удельных расходов для сравниваемых организаций, осуществляющих деятельность по передаче тепловой энергии и теплоносителя, определяется по формуле:

(тыс. руб./км), (57)

где:

- удельные расходы на передачу тепловой энергии и теплоносителя, которые определены как средние для сравниваемых организаций, осуществляющих деятельность по передаче тепловой энергии и теплоносителя, тыс. руб./км;

- полные расходы j-й регулируемой организации, определенные как фактические расходы организации, связанные с осуществлением регулируемого вида деятельности, за последний расчетный период регулирования, на который имеются отчетные данные, тыс. руб./км;

- протяженность тепловых сетей j-й регулируемой организации за последний расчетный период, на который имеются отчетные данные, км;

n - число сравниваемых организаций, осуществляющих деятельность по передаче тепловой энергии и теплоносителя.

96. Средняя величина удельных расходов для сравниваемых регулируемых организаций, осуществляющих производство тепловой энергии (мощности), определяется по формуле:

(руб./Гкал), (58)

где:

- удельные расходы на производство тепловой энергии (мощности), которые определены как средние для сравниваемых организаций, осуществляющих деятельность по производству тепловой энергии (мощности), руб./Гкал;

- полные расходы на производство тепловой энергии (мощности) j-го источника тепловой энергии, определенные как фактические расходы организации, связанные с осуществлением регулируемого вида деятельности, за последний расчетный период, на который имеются отчетные данные, тыс. Гкал;

- объем отпуска тепловой энергии от j-го источника тепловой энергии за последний расчетный период, на который имеются отчетные данные, тыс. Гкал;

n - число сравниваемых источников тепловой энергии.

97. Базовый уровень расходов для организаций, осуществляющих деятельность по передаче тепловой энергии, теплоносителя, определяется по формуле:

(тыс. руб.), (59)

где:

- базовый уровень расходов на передачу тепловой энергии и теплоносителя j-й регулируемой организации, определяемый на первый год долгосрочного периода регулирования, тыс. руб.;

- удельные расходы на передачу тепловой энергии и теплоносителя, которые определены по формуле (57) как средние для сравниваемых организаций, осуществляющих деятельность по передаче тепловой энергии и теплоносителя, тыс. руб./км;

- удельные расходы j-й регулируемой организации, определенные на основе фактических расходов организации, связанных с осуществлением регулируемого вида деятельности, за последний расчетный период, на который имеются отчетные данные, тыс. руб./км;

, - прогнозные значения индекса потребительских цен, определенные соответственно на (i0-1)-й и i0-й расчетный период регулирования в соответствии с прогнозом социально-экономического развития Российской Федерации;

i0 - первый год долгосрочного периода регулирования;

- протяженность тепловых сетей j-й регулируемой организации на первый год долгосрочного периода регулирования, км;

- коэффициент сопоставимости, учитывающий технические характеристики тепловой сети j-й регулируемой организации (протяженность тепловых сетей, диаметр трубопроводов, тип прокладки трубопроводов и др.).

Коэффициент сопоставимости для организации, осуществляющей деятельность по передаче тепловой энергии и теплоносителя, определяется органом регулирования путем сопоставления показателей деятельности регулируемой организации с показателями, определенными как средние для сравниваемых регулируемых организаций, одним из следующих способов:

по стоимости строительства тепловой сети, принадлежащей регулируемой организации на праве собственности или ином законном основании, исходя из федеральных единичных расценок, рекомендуемых Министерством регионального развития Российской Федерации в рамках реализации полномочий в области сметного нормирования и ценообразования в сфере градостроительной деятельности;

по количеству условных единиц, относимых к активам организации, осуществляющей деятельность по передаче тепловой энергии, теплоносителя, указанных в приложении 2 к настоящим Методическим указаниям.

Удельный базовый уровень расходов, используемый в целях определения индекса снижения расходов для организаций, осуществляющих деятельность по передаче тепловой энергии, теплоносителя, определяется по формуле:

(тыс. руб./км), (60)

где:

- удельный базовый уровень расходов на передачу тепловой энергии и теплоносителя j-й регулируемой организации, тыс. руб./км;

- базовый уровень расходов на передачу тепловой энергии и теплоносителя j-й регулируемой организации, определяемый на первый год долгосрочного периода регулирования по формуле (59), тыс. руб.;

- протяженность тепловых сетей j-й регулируемой организации на первый год долгосрочного периода регулирования, км.

98. Базовый уровень расходов для организаций, осуществляющих деятельность по производству тепловой энергии (мощности), определяется по формуле:

(тыс. руб.), (61)

где:

- базовый уровень расходов j-го источника тепловой энергии на производство тепловой энергии (мощности), определяемый на первый год долгосрочного периода регулирования, тыс. руб.;

- удельные расходы на производство тепловой энергии (мощности), которые определены по формуле (58) как средние для сравниваемых организаций, осуществляющих деятельность по производству тепловой энергии (мощности), руб./Гкал;

- удельные расходы j-го источника тепловой энергии на производство тепловой энергии (мощности), определенные на основе фактических расходов организации, связанных с осуществлением регулируемого вида деятельности, за последний расчетный период, на который имеются отчетные данные, руб./Гкал;

, - прогнозные значения индекса потребительских цен, определенные соответственно на (i0-1)-й и i0-й расчетный период регулирования в соответствии с прогнозом социально-экономического развития Российской Федерации;

i0 - первый год долгосрочного периода регулирования;

- объем отпуска тепловой энергии от j-го источника тепловой энергии, определенный на первый год долгосрочного периода регулирования, тыс. Гкал;

- коэффициент сопоставимости, определяемый органом регулирования и учитывающий технические и технологические характеристики j-го источника тепловой энергии (структура топлива, режим выработки тепловой энергии, установленная тепловая мощность источника тепловой энергии и др.).

Удельный базовый уровень расходов, используемый в целях определения индекса снижения расходов для организаций, осуществляющих деятельность по производству тепловой энергии (мощности), определяется по формуле:

(руб./Гкал), (62)

где:

- удельный базовый уровень расходов j-го источника тепловой энергии на производство тепловой энергии (мощности), руб./Гкал;

- базовый уровень расходов j-го источника тепловой энергии на производство тепловой энергии (мощности), определяемый на первый год долгосрочного периода регулирования по формуле (61), тыс. руб.;

- объем отпуска тепловой энергии от j-го источника тепловой энергии, определенный на первый год долгосрочного периода регулирования, тыс. Гкал.

99. По результатам сравнительного анализа удельных расходов регулируемых организаций (источников тепловой энергии) в целях постепенного доведения уровня расходов регулируемых организаций (источников тепловой энергии) до значений, определенных как лучшие среди сравниваемых регулируемых организаций (источников тепловой энергии), на каждый год долгосрочного периода регулирования определяется индекс снижения расходов на уровне от 1 до 10 процентов. Большая величина отклонения удельных расходов регулируемой организации (источника тепловой энергии) от значений, определенных как лучшие среди сравниваемых регулируемых организаций (источников тепловой энергии), соответствует большему значению индекса снижения расходов, который определяется следующим образом:

, (%), (63)

где:

ИР - индекс снижения расходов, определяемый на долгосрочный период регулирования, %;

- коэффициент сопоставимости, определяемый в соответствии с пунктами 97 и 98 настоящих Методических указаний;

- удельный базовый уровень расходов j-й регулируемой организации (источника тепловой энергии), определяемый по формулам (60) и (62), тыс. руб./км (руб./Гкал);

- средние удельные расходы, рассчитанные среди регулируемых организаций (источников тепловой энергии), определенных как лучшие по результатам сравнительного анализа удельных расходов регулируемых организаций:

(руб./Гкал; тыс. руб./км), (64)

- удельные расходы j-й регулируемой организации (источника тепловой энергии), отобранной в число 25% лучших по результатам сравнительного анализа удельных расходов регулируемых организаций (источников тепловой энергии) руб./Гкал (тыс. руб./км);

m - количество регулируемых организаций (источников тепловой энергии), отобранных в число 25% лучших по результатам сравнительного анализа удельных расходов регулируемых организаций (источников тепловой энергии).

100. Необходимая валовая выручка по методу сравнения аналогов рассчитывается на каждый i-й расчетный период регулирования долгосрочного периода регулирования (далее в настоящей главе - i-й год) по формуле:

(тыс. руб.), (65)

где:

- необходимая валовая выручка, определяемая на год i до начала долгосрочного периода регулирования, тыс. руб.;

- базовый уровень расходов, связанных с осуществлением регулируемой деятельности, определяемый на долгосрочный период регулирования по формулам (59) и (61), тыс. руб.;

i0 - первый год долгосрочного периода регулирования;

ИР - индекс снижения расходов, определенный на долгосрочный период регулирования по формуле (63), %;

- индекс потребительских цен, определенный на j-й год долгосрочного периода регулирования в соответствии с прогнозом социально-экономического развития Российской Федерации.

101. Ежегодно в течение долгосрочного периода регулирования органами регулирования производится корректировка необходимой валовой выручки, определяемой на очередной финансовый год, с учетом отклонения фактических значений индекса потребительских цен от значений, учтенных при установлении тарифов:

(тыс. руб.), (66)

(тыс. руб.), (67)

где:

- необходимая валовая выручка, определяемая на i-й год долгосрочного периода регулирования с учетом отклонения фактических значений индекса потребительских цен от значений, учтенных при установлении тарифов, тыс. руб.;

- необходимая валовая выручка, определяемая на год i до начала долгосрочного периода регулирования в соответствии с формулой (65), тыс. руб.;

- величина корректировки необходимой валовой выручки, связанная с отклонением фактических значений индекса потребительских цен от значений, учтенных при установлении тарифов, тыс. руб.;

, - индексы потребительских цен, определенные на основании параметров прогноза социально-экономического развития Российской Федерации соответственно на (i-1)-й и i-й годы при расчете долгосрочных тарифов;

- необходимая валовая выручка на (i-2)-й год долгосрочного периода регулирования, рассчитанная по формуле (65) с применением фактического значения индекса потребительских цен, тыс. руб.;

- необходимая валовая выручка, определенная при установлении долгосрочных тарифов на (i-2)-й год долгосрочного периода регулирования, тыс. руб.

VIII. Особенности расчета необходимой валовой выручки, относимой на производство тепловой энергии (мощности) в режиме комбинированной выработки электрической и тепловой энергии

102. При применении метода экономически обоснованных расходов расчет необходимой валовой выручки, относимой на производство тепловой энергии (мощности) в режиме комбинированной выработки электрической и тепловой энергии, производится в следующей последовательности:

1) определение совокупной необходимой валовой выручки, относимой на производство электрической и тепловой энергии, на основании принципов и с использованием данных раздельного учета, осуществляемого в соответствии с законодательством Российской Федерации в сфере теплоснабжения и учетной политикой регулируемой организации;

2) выделение из указанной совокупной необходимой валовой выручки прямых и косвенных расходов, относимых на производство тепловой энергии (мощности) в соответствии с пунктом 103 настоящих Методических указаний.

103. К прямым расходам, относимым на производство тепловой энергии (мощности), относятся расходы на топливо и иные расходы, связанные исключительно с осуществлением деятельности по производству тепловой энергии (мощности).

Расходы на топливо определяются в соответствии с пунктом 26 настоящих Методических указаний в соответствии с нормативом удельного расхода условного топлива, относимого на производство тепловой энергии (мощности) по методу распределения расхода топлива, учитываемому при установлении тарифов в соответствии с настоящими Методическими указаниями.

Иные расходы, связанные исключительно с осуществлением деятельности по производству тепловой энергии (мощности), определяются в соответствии с учетной политикой регулируемой организации.

К косвенным расходам относятся расходы, связанные с осуществлением деятельности по производству тепловой и электрической энергии, не отнесенные к прямым расходам.

Распределение косвенных расходов между производством тепловой и электрической энергией осуществляется органом регулирования одним из указанных ниже способов по предложению регулируемой организации:

пропорционально полезному отпуску (или выработке) электрической и тепловой энергии;

пропорционально расходам условного топлива;

в соответствии с учетной политикой регулируемой организации.

Расходы на оплату услуг по оперативно-диспетчерскому управлению в электроэнергетике, услуг по организации оптовой торговли электрической энергией, мощностью и иными допущенными к обращению на оптовом рынке электрической энергии и мощности товарами и услугами, оказываемых коммерческим оператором оптового рынка, и комплексной услуги по расчету требований и обязательств участников оптового рынка, оказываемой организацией коммерческой инфраструктуры оптового рынка электрической энергии и мощности, не относятся к косвенным расходам и к прямым расходам, относимым на производство тепловой энергии (мощности), и не подлежат учету при установлении цен (тарифов) в сфере теплоснабжения.

104. При применении метода индексации установленных тарифов или метода обеспечения доходности инвестированного капитала плановые, скорректированные и фактические неподконтрольные расходы и расходы на приобретение (производство) энергетических ресурсов (за исключением топлива), холодной воды и теплоносителя на каждый год долгосрочного периода регулирования, а также базовый уровень операционных расходов, относимые на производство тепловой энергии (мощности), определяются посредством определения прямых и косвенных расходов, относимых на производство тепловой энергии (мощности) в соответствии с пунктами 102, 103 настоящих Методических указаний.

105. При применении метода обеспечения доходности инвестированного капитала определение размера и базы инвестированного капитала осуществляется с учетом следующих особенностей.

Размер инвестированного капитала при переходе к регулированию тарифов с использованием метода обеспечения доходности инвестированного капитала рассчитывается в соответствии с пунктом 79 настоящих Методических указаний, исходя из:

стоимости производственных объектов, используемых исключительно при производстве тепловой энергии (мощности) и определяемых в соответствии с учетной политикой регулируемой организации (далее - составляющая РИК, связанная с производством только тепловой энергии);

стоимости производственных объектов, используемых при производстве как тепловой, так и электрической энергии (мощности) (далее - составляющая РИК, связанная с производством как тепловой, так и электрической энергии), относимой на производство тепловой энергии (мощности) в той же пропорции, в которой распределены косвенные расходы между производством тепловой и электрической энергии при определении базового уровня операционных расходов;

источников финансирования создания производственных объектов, относимых на производство тепловой энергии (мощности) в той же пропорции, в которой соотносятся составляющая РИК, связанная с производством только тепловой энергии, и составляющая РИК, связанная с производством как тепловой, так и электрической энергии.

При переходе от одного долгосрочного периода регулирования к другому перераспределение размера инвестированного капитала, определенного при переходе к регулированию тарифов с использованием метода обеспечения доходности инвестированного капитала, между производством тепловой и электрической энергии (мощности) не производится.

При определении базы инвестированного капитала стоимость создания (реконструкции, модернизации) производственных объектов, относимая на производство тепловой энергии, рассчитывается исходя из:

стоимости создания (реконструкции, модернизации) производственных объектов, используемых исключительно при производстве тепловой энергии (мощности) и определяемых в соответствии с учетной политикой регулируемой организации;

стоимости создания (реконструкции, модернизации) производственных объектов, используемых при производстве как электрической, так и тепловой энергии, и учитываемых следующим образом:

по инвестиционным проектам, предполагающим создание новой электрической и тепловой мощности, - пропорционально приросту установленной электрической и тепловой мощности источника тепловой энергии, связанному с реализацией указанного инвестиционного проекта;

по прочим инвестиционным проектам - пропорционально распределению косвенных расходов между производством электрической и тепловой энергии (мощности), принятому при определении базового уровня операционных расходов.

IX. Правила расчета цен (тарифов) в сфере теплоснабжения

IX.I. Расчет тарифов на тепловую энергию (мощность) без учета стоимости услуг на передачу тепловой энергии

106. В необходимую валовую выручку регулируемой организации, учитываемую при расчете и установлении тарифов на тепловую энергию (мощность) без учета стоимости услуг на передачу тепловой энергии (тарифов на тепловую энергию (мощность) на коллекторах источника тепловой энергии, тарифов на тепловую энергию, поставляемую с коллекторов источников тепловой энергии) (далее - тарифов на тепловую энергию (мощность), отпускаемую от источника (источников) тепловой энергии), включаются расходы на производство тепловой энергии (мощности), в том числе расходы на содержание установленной тепловой мощности источника (источников) тепловой энергии, принадлежащего (принадлежащих) регулируемой организации и включенного (включенных) в схему теплоснабжения (в отсутствие схемы теплоснабжения - определяемого (определяемых) в соответствии с главой III настоящих Методических указаний).

107. В случае если источник тепловой энергии используется исключительно в целях поставки тепловой энергии по нерегулируемым ценам, тариф на тепловую энергию (мощность) для регулируемой организации, владеющей на праве собственности или на ином законном основании таким источником, в отношении этого источника тепловой энергии не рассчитывается и не утверждается.

108. Расчет тарифов на тепловую энергию (мощность), отпускаемую от источника тепловой энергии, основывается на полном возврате теплоносителя на источник тепловой энергии.

109. Тарифы на тепловую энергию (мощность), отпускаемую от источника тепловой энергии, рассчитываются и устанавливаются в виде одноставочного или двухставочного тарифа с учетом положений пункта 14 настоящих Методических указаний. Тарифы на тепловую энергию (мощность) могут дифференцироваться:

по системам теплоснабжения, источникам тепловой энергии, которыми владеет на праве собственности или на ином законном основании регулируемая организация (за исключением случая, предусмотренного пунктом 112 настоящих Методических указаний);

видам теплоносителя (вода, пар);

параметрам теплоносителя (отборный пар давлением: от 1,2 до 2,5 кг/см2, от 2,5 до 7,0 кг/см2, от 7,0 до 13,0 кг/см2, свыше 13,0 кг/см2; острый и редуцированный пар).

110. Одноставочный тариф на тепловую энергию (мощность), отпускаемую от источника тепловой энергии, , , на i-й расчетный период регулирования включает в себя полную стоимость единицы тепловой энергии, отпускаемой в виде пара и (или) воды от j-го источника тепловой энергии, и определяется по формулам:

а) без дифференциации по видам теплоносителя по формуле:

(руб./Гкал), (68)

б) с дифференциацией по видам теплоносителя по формуле:

(руб./Гкал), (69)

где:

- необходимая валовая выручка j-го источника тепловой энергии на производство тепловой энергии (мощности) в виде пара и воды на i-й расчетный период регулирования, тыс. руб.;

- расходы на топливо j-го источника тепловой энергии при производстве тепловой энергии в виде пара и воды в i-м расчетном периоде регулирования, определяемые посредством суммирования по k-му виду теплоносителя, тыс. руб.;

- расходы на топливо j-го источника тепловой энергии при производстве тепловой энергии в k-м виде теплоносителя в i-м расчетном периоде регулирования, определяемые в соответствии с пунктом 26 настоящих Методических указаний, тыс. руб.;

- объем отпуска тепловой энергии в виде пара и воды от j-го источника тепловой энергии в i-м расчетном периоде регулирования, тыс. Гкал;

- объем отпуска тепловой энергии в k-том виде теплоносителя от j-го источника тепловой энергии в i-м расчетном периоде регулирования, тыс. Гкал.

111. Двухставочный тариф на тепловую энергию (мощность), отпускаемую от источника тепловой энергии, включает в себя ставку за тепловую энергию и ставку за содержание включенной в схему теплоснабжения установленной тепловой мощности источника тепловой энергии, в том числе в форме резерва, за исключением законсервированных мощностей. При расчете двухставочного тарифа не допускается отнесение расходов (части расходов), учтенных при определении одной из ставок двухставочного тарифа, для определения другой ставки двухставочного тарифа.

Ставка за тепловую энергию, отпускаемую от источника тепловой энергии, на i-й расчетный период регулирования , определяется на 1 Гкал тепловой энергии, отпускаемой в виде пара и (или) воды от j-го источника тепловой энергии, и рассчитывается по формуле:

а) без дифференциации по видам теплоносителя по формуле:

(руб./Гкал), (70)

б) с дифференциацией по видам теплоносителя по формуле:

(руб./Гкал), (71)

где:

- расходы на топливо j-го источника тепловой энергии при производстве тепловой энергии в виде пара и воды в i-м расчетном периоде регулирования, определяемые посредством суммирования по k-му виду теплоносителя, тыс. руб.;

- расходы на топливо j-го источника тепловой энергии при производстве тепловой энергии в k-м виде теплоносителя в i-м расчетном периоде регулирования, определяемые в соответствии с пунктом 26 настоящих Методических указаний, тыс. руб.;

- объем отпуска тепловой энергии в виде пара и воды от j-го источника тепловой энергии в i-м расчетном периоде регулирования, тыс. Гкал;

- объем отпуска тепловой энергии в k-том виде теплоносителя от j-го источника тепловой энергии в i-м расчетном периоде регулирования, тыс. Гкал.

Ставка за содержание тепловой мощности на i-й расчетный период регулирования определяется на 1 Гкал/ч договорной (заявленной) тепловой нагрузки потребителей (с учетом мощности, поддерживаемой для отдельных категорий (групп) социально значимых потребителей, приобретающих услуги по поддержанию резервной тепловой мощности) и рассчитывается для j-го источника тепловой энергии по формуле:

(тыс. руб./Гкал/ч в мес.), (72)

где:

- необходимая валовая выручка j-го источника тепловой энергии на производство тепловой энергии (мощности) в виде пара и воды на i-й расчетный период регулирования, тыс. руб.;

- учтенная при распределении тепловых нагрузок на i-й расчетный период регулирования в схеме теплоснабжения установленная тепловая мощность j-го источника тепловой энергии в виде пара и воды (в отсутствие схемы теплоснабжения - определяемая в соответствии с главой III настоящих Методических указаний), Гкал/ч;

М - количество месяцев в расчетном периоде регулирования, мес.;

- коэффициент соотношения в i-й расчетный период регулирования учтенной при распределении тепловых нагрузок в схеме теплоснабжения установленной тепловой мощности j-го источника тепловой энергии (в отсутствие схемы теплоснабжения - определяемая в соответствии с главой III настоящих Методических указаний), и суммарной договорной (заявленной) тепловой нагрузки потребителей тепловой энергии, рассчитываемый по формуле:

, (72.1)

где:

- суммарная договорная (заявленная) тепловая нагрузка потребителей тепловой энергии в виде пара и воды (с учетом мощности, поддерживаемой для отдельных категорий (групп) социально значимых потребителей, приобретающих услуги по поддержанию резервной тепловой мощности) на i-й расчетный период регулирования, относящаяся к j-му источнику тепловой энергии, Гкал/ч.

112. Для всех источников тепловой энергии, расположенных в пределах одной системы теплоснабжения и принадлежащих одной регулируемой организации на праве собственности или на ином законном основании, тарифы на тепловую энергию (мощность), отпускаемую от источника (источников) тепловой энергии, на основании решения органа регулирования определяются на едином уровне без дифференциации по источникам тепловой энергии по предложению регулируемой организации.

Одноставочный тариф на тепловую энергию (мощность) для указанных источников тепловой энергии на i-й расчетный период регулирования , рассчитывается по формуле:

а) без дифференциации по видам теплоносителя по формуле:

(руб./Гкал), (73)

б) с дифференциацией по видам теплоносителя по формуле:

(руб./Гкал), (74)

где:

- необходимая валовая выручка j-го источника тепловой энергии на производство тепловой энергии (мощности) в виде пара и воды на i-й расчетный период регулирования, тыс. руб.;

- расходы на топливо j-го источника тепловой энергии при производстве тепловой энергии в виде пара и воды в i-м расчетном периоде регулирования, определяемые посредством суммирования по k-му виду теплоносителя, тыс. руб.;

- расходы на топливо j-го источника тепловой энергии при производстве тепловой энергии в k-м виде теплоносителя в i-м расчетном периоде регулирования, определяемые в соответствии с пунктом 26 настоящих Методических указаний, тыс. руб.;

J - количество источников тепловой энергии, принадлежащих регулируемой организации на праве собственности или на ином законном основании и расположенных в пределах одной системы теплоснабжения, которые отпускают тепловую энергию в виде пара и (или) воды, шт.;

- объем отпуска тепловой энергии в виде пара и воды от j-го источника тепловой энергии в i-м расчетном периоде регулирования, тыс. Гкал;

- объем отпуска тепловой энергии в k-том виде теплоносителя от j-го источника тепловой энергии в i-м расчетном периоде регулирования, тыс. Гкал.

Двухставочный тариф на тепловую энергию (мощность) для указанных источников тепловой энергии рассчитывается по формуле:

Ставка за тепловую энергию, отпускаемую от источников тепловой энергии, на i-й расчетный период регулирования , определяется на 1 Гкал тепловой энергии, отпускаемой в виде пара и (или) воды от j-го источника тепловой энергии, и рассчитывается по формуле:

а) без дифференциации по видам теплоносителя по формуле:

(руб./Гкал), (75)

б) с дифференциацией по видам теплоносителя по формуле:

(руб./Гкал), (76)

Ставка за содержание тепловой мощности на i-й расчетный период регулирования определяется на 1 Гкал/ч договорной (заявленной) тепловой нагрузки потребителей (с учетом мощности, поддерживаемой для отдельных категорий (групп) социально значимых потребителей, приобретающих услуги по поддержанию резервной тепловой мощности) и рассчитывается по формуле:

(тыс. руб./Гкал/ч в мес.), (77)

где:

- учтенная при распределении тепловых нагрузок на i-й расчетный период регулирования в схеме теплоснабжения установленная тепловая мощность j-го источника тепловой энергии в виде пара и воды (в отсутствие схемы теплоснабжения - определяемая в соответствии с главой III настоящих Методических указаний), Гкал/ч;

М - количество месяцев в расчетном периоде регулирования, мес.;

- коэффициент соотношения в i-й расчетный период регулирования учтенной при распределении тепловых нагрузок в схеме теплоснабжения установленной тепловой мощности источников тепловой энергии, принадлежащих регулируемой организации на праве собственности или на ином законном основании (в отсутствие схемы теплоснабжения - определяемой в соответствии с главой III настоящих Методических указаний), и суммарной договорной (заявленной) тепловой нагрузки потребителей тепловой энергии в виде пара и воды, относящейся к указанным источникам тепловой энергии, рассчитываемый по формуле:

, (77.1)

где:

- суммарная договорная (заявленная) тепловая нагрузка потребителей тепловой энергии в виде пара и воды (с учетом мощности, поддерживаемой для отдельных категорий (групп) социально значимых потребителей, приобретающих услуги по поддержанию резервной тепловой мощности) на i-й расчетный период регулирования, относящаяся к j-му источнику тепловой энергии, Гкал/ч.

113. При установлении одноставочного тарифа на тепловую энергию (мощность), отпускаемую от источника (источников) тепловой энергии, в решении об установлении тарифа указывается величина расходов на топливо, отнесенных на 1 Гкал тепловой энергии, отпускаемой в виде пара и (или) воды от источника (источников) тепловой энергии.

При установлении двухставочного тарифа на тепловую энергию (мощность), отпускаемую от источника (источников) тепловой энергии, в решении об установлении тарифа указывается коэффициент соотношения установленной тепловой мощности источника (источников) тепловой энергии регулируемой организации и суммарной договорной (заявленной) тепловой нагрузки потребителей тепловой энергии на расчетный период регулирования, относящейся к такому источнику (источникам) тепловой энергии регулируемой организации.

114. Тарифы на тепловую энергию (мощность), отпускаемую от источников тепловой энергии, введенных в эксплуатацию до 1 января 2010 г., с которых одновременно осуществляется поставка тепловой энергии по нерегулируемым долгосрочным договорам и по договорам теплоснабжения, расчет по которым осуществляется по регулируемым тарифам, рассчитываются в соответствии с главой IX.VIII настоящих Методических указаний.

115. Объемы, используемые при расчете тарифов в соответствии с настоящей главой, определяются в соответствии с пунктами 8 и 9 настоящих Методических указаний.

116. Расчет тарифов в соответствии с настоящей главой производится в соответствии с приложением 6.1 к настоящим Методическим указаниям.

IX.II. Расчет тарифов на услуги по передаче тепловой энергии, теплоносителя

117. В необходимую валовую выручку регулируемой организации, учитываемую при расчете тарифа на услуги по передаче тепловой энергии, включаются следующие виды расходов:

расходы на содержание, ремонт, эксплуатацию тепловых сетей;

расходы на приобретение воды, электрической и тепловой энергии, расходуемые на технологические цели, включая расходы на компенсацию потерь тепловой энергии, теплоносителя при их передаче (в объеме нормативных технологических потерь, за исключением случая, предусмотренного пунктом 118 настоящих Методических указаний), и затраты электроэнергии на привод насосов (подкачивающих, смесительных, циркуляционных, дренажных и т.п.), а также другого оборудования, обеспечивающего технологический процесс передачи тепловой энергии.

Для регулируемых организаций, оказывающих услуги по передаче тепловой энергии в виде пара и воды, необходимая валовая выручка регулируемой организации распределяется между содержанием паровых и водяных тепловых сетей на основании принципов и с использованием данных раздельного учета, осуществляемого в соответствии с законодательством Российской Федерации в сфере теплоснабжения и учетной политикой регулируемой организации.

При комплексном теплоснабжении, когда производство, передача и сбыт тепловой энергии (мощности), теплоносителя производится одним юридическим лицом (регулируемой организацией), расходы на компенсацию потерь тепловой энергии, теплоносителя учитывают стоимость производства тепловой энергии (мощности) источниками тепловой энергии такой регулируемой организации, определяемую по расчетной величине тарифа на тепловую энергию (мощность), отпускаемой от источников тепловой энергии, в соответствии с главой IX.I настоящих Методических указаний. В остальных случаях расходы на компенсацию потерь определяются в соответствии с главой IX.III настоящих Методических указаний.

118. В случае если по данным, представленным регулируемой организацией, более 75 процентов фактического объема отпуска тепловой энергии из эксплуатируемых ею тепловых сетей определялось по показаниям приборов учета в предыдущий отчетный период (расчетный период регулирования), то в необходимую валовую выручку такой регулируемой организации на последующие годы (расчетные периоды регулирования) включаются расходы на оплату фактического объема потерь, рассчитанного по данным предыдущего отчетного периода (расчетного периода регулирования), с применением к нему определяемых органом регулирования ежегодных темпов снижения объема потерь тепловой энергии до уровня нормативных технологических потерь, соответствующих инвестиционной программе регулируемой организации.

Величина фактического объема потерь определяется по формуле:

(тыс. Гкал), (78)

где:

Q - фактический объем отпуска тепловой энергии от источников тепловой энергии, в предыдущем отчетном периоде, тыс. Гкал;

- фактический объем отпуска тепловой энергии из тепловых сетей, определенный по показаниям приборов учета, в предыдущем отчетном периоде, тыс. Гкал;

- доля фактического объема отпуска тепловой энергии из тепловых сетей по показаниям приборов учета в предыдущем отчетном периоде, которая определяется как:

(79)

где:

- фактический объем отпуска тепловой энергии из тепловых сетей, определенный расчетным способом (без показаний приборов учета), в предыдущем отчетном периоде, тыс. Гкал.

119. В случае если регулируемая организация осуществляет эксплуатацию бесхозяйных тепловых сетей, то при установлении тарифов на услуги по передаче тепловой энергии для такой регулируемой организации в расчетном периоде регулирования, следующем за тем, в котором бесхозяйные тепловые сети приняты такой регулируемой организацией на содержание и обслуживание, учитываются затраты на содержание, ремонт, эксплуатацию таких тепловых сетей до момента признания права собственности на указанные бесхозяйные тепловые сети. При этом регулируемая организация ведет раздельный учет затрат на содержание, ремонт, эксплуатацию бесхозяйных тепловых сетей и расходов, связанных с содержанием, ремонтом и эксплуатацией тепловых сетей, которыми регулируемая организация владеет на праве собственности или ином законном основании. Размер затрат на содержание, ремонт и эксплуатацию бесхозяйных тепловых сетей, включаемый в необходимую валовую выручку регулируемой организации при установлении тарифов на услуги по передаче тепловой энергии, определяется по решению органа регулирования одним из следующих способов:

в соответствии с пунктами 97, 99, 100 настоящих Методических указаний;

равным расходам на содержание, ремонт и эксплуатацию собственных тепловых сетей регулируемой организации в расчете на 1 условную единицу, умноженным на количество условных единиц, относящихся к бесхозяйным тепловым сетям, принятым такой регулируемой организацией на содержание и обслуживание.

120. Тарифы на услуги по передаче тепловой энергии рассчитываются и устанавливаются в виде одноставочного или двухставочного тарифа с учетом положений пункта 14 настоящих Методических указаний. Тарифы на услуги по передаче тепловой энергии, теплоносителя дифференцируются по видам теплоносителя (вода, пар) и могут быть дифференцированы по:

системам теплоснабжения;

схемам подключения теплопотребляющих установок потребителей тепловой энергии к системе теплоснабжения (к тепловой сети без дополнительного преобразования на тепловых пунктах, эксплуатируемых теплоснабжающей организацией, к тепловой сети после тепловых пунктов (на тепловых пунктах), эксплуатируемых теплоснабжающей организацией).

Расходы регулируемой организации на передачу теплоносителя отдельно не выделяются и считаются расходами на передачу тепловой энергии.

121. Одноставочный тариф на услуги по передаче тепловой энергии определяется по формуле:

(руб./Гкал), (80)

где:

- необходимая валовая выручка r-той регулируемой организации по передаче тепловой энергии в виде пара или воды на i-й расчетный период регулирования, тыс. руб.;

- объем отпуска тепловой энергии в виде пара или воды из тепловых сетей r-той регулируемой организации на i-й расчетный период регулирования, тыс. Гкал.

122. Двухставочный тариф на услуги по передаче тепловой энергии включает в себя ставку за тепловую энергию , принимаемую равной нулю, и ставку за содержание мощности , рассчитываемую по формуле:

(тыс. руб./Гкал/ч в мес.), (81)

где:

- суммарная договорная (заявленная) тепловая нагрузка по пару или по воде потребителей услуг r-той регулируемой организации (с учетом мощности, поддерживаемой для отдельных категорий (групп) социально значимых потребителей, приобретающих услуги по поддержанию резервной тепловой мощности), паровые тепловые сети или водяные тепловые сети которой используются для передачи тепловой энергии таким потребителям в i-м расчетном периоде регулирования, Гкал/ч;

М - количество месяцев в расчетном периоде регулирования, мес.

123. В случае если органом регулирования принято решение об утверждении тарифов на услуги по передаче тепловой энергии с учетом дифференциации по схеме подключения теплопотребляющих установок потребителей тепловой энергии к системе теплоснабжения:

1) одноставочный тариф на услуги по передаче тепловой энергии:

а) без дополнительного преобразования на тепловых пунктах, эксплуатируемых r-той регулируемой организацией, рассчитывается по формуле:

(руб./Гкал), (82)
(тыс. руб.), (83)

где:

- необходимая валовая выручка r-той регулируемой организации по передаче тепловой энергии в виде пара или воды на i-й расчетный период регулирования, тыс. руб.;

- экономически обоснованные расходы на содержание эксплуатируемых r-той регулируемой организацией паровых или водяных тепловых пунктов и тепловых сетей, расположенных после тепловых пунктов, и на оплату потерь в таких тепловых сетях, учтенные в необходимой валовой выручке регулируемой организации в i-м расчетном периоде регулирования, тыс. руб.;

- суммарные расходы r-той регулируемой организацией на приобретение тепловой энергии с целью компенсации потерь тепловой энергии в паровых тепловых сетях или водяных тепловых сетях, эксплуатируемых такой организацией, и учитываемые в ценах (тарифах) в сфере теплоснабжения, тыс. руб.;

- расходы r-той регулируемой организацией на приобретение тепловой энергии с целью компенсации потерь тепловой энергии в паровых тепловых сетях или водяных тепловых сетях, расположенных после тепловых пунктов, эксплуатируемых такой организацией, и учитываемые в ценах (тарифах) в сфере теплоснабжения, тыс. руб.;

- количество условных единиц, относящихся на эксплуатируемые r-той регулируемой организацией паровые или водяные тепловые пункты и тепловые сети, расположенные после тепловых пунктов в i-том расчетном периоде регулирования;

- суммарное количество условных единиц, относящихся к паровым тепловым сетям или водяным тепловым сетям, необходимым для осуществления r-той регулируемой организацией услуг по передаче тепловой энергии в i-том расчетном периоде регулирования;

- объем отпуска тепловой энергии в виде пара или воды из тепловых сетей r-той регулируемой организации, расположенных до и после тепловых пунктов, эксплуатируемых регулируемой организацией в i-м расчетном периоде регулирования, тыс. Гкал;

б) после тепловых пунктов (на тепловых пунктах), эксплуатируемых r-той регулируемой организацией, определяется по формуле:

(руб./Гкал), (84)

где:

- объем отпуска тепловой энергии в виде пара или воды из тепловых сетей регулируемой организации потребителям, теплопотребляющие установки которых подключены после тепловых пунктов (на тепловых пунктах) в i-м расчетном периоде регулирования, тыс. Гкал;

2) двухставочный тариф на услуги по передаче тепловой энергии:

а) без дополнительного преобразования на тепловых пунктах, эксплуатируемых r-той регулируемой организацией, рассчитывается по формуле:

, (тыс. руб./Гкал/ч в мес.), (85)

где:

- суммарная договорная (заявленная) тепловая нагрузка по пару или по воде потребителей услуг r-той регулируемой организации (с учетом мощности, поддерживаемой для отдельных категорий (групп) социально значимых потребителей, приобретающих услуги по поддержанию резервной тепловой мощности), паровые тепловые сети или водяные тепловые сети которой используются для передачи тепловой энергии потребителям, теплопотребляющие установки которых подключены до и после тепловых пунктов (на тепловых пунктах), эксплуатируемых такой организацией в i-м расчетном периоде регулирования, Гкал/ч;

М - количество месяцев в расчетном периоде регулирования, мес.;

б) после тепловых пунктов (на тепловых пунктах), эксплуатируемых r-той регулируемой организацией, определяется по формуле:

(тыс. руб./Гкал/ч в мес.), (86)

где:

- суммарная договорная (заявленная) тепловая нагрузка по пару или по воде потребителей услуг r-той регулируемой организации (с учетом мощности, поддерживаемой для отдельных категорий (групп) социально значимых потребителей, приобретающих услуги по поддержанию резервной тепловой мощности), паровые тепловые сети или водяные тепловые сети которой используются для передачи тепловой энергии потребителям, теплопотребляющие установки которых подключены после тепловых пунктов (на тепловых пунктах), эксплуатируемых такой регулируемой организацией в i-м расчетном периоде регулирования, Гкал/ч.

124. Объемы, используемые при расчете тарифов в соответствии с настоящей главой, определяются в соответствии с пунктами 8 и 9 настоящих Методических указаний.

125. Расчет тарифов в соответствии с настоящей главой производится в соответствии с приложением 6.2 к настоящим Методическим указаниям.

IX.III. Расчет цен (тарифов) на тепловую энергию (мощность), поставляемую теплоснабжающими организациями другим теплоснабжающим организациям, теплосетевым организациям

126. Тариф на тепловую энергию (мощность), поставляемую единой теплоснабжающей организацией теплоснабжающим организациям, теплосетевым организациям, приобретающим тепловую энергию с целью компенсации потерь тепловой энергии, устанавливается равным средневзвешенной стоимости единицы тепловой энергии (мощности), приобретаемой (производимой и приобретаемой) единой теплоснабжающей организацией.

127. Одноставочный тариф на тепловую энергию (мощность), поставляемую единой теплоснабжающей организацией теплоснабжающим организациям, теплосетевым организациям, приобретающим тепловую энергию с целью компенсации потерь тепловой энергии в i-м расчетном периоде регулирования, (, ), рассчитывается по формулам:

а) без дифференциации по видам теплоносителя по формуле:

(руб./Гкал), (87)

б) с дифференциацией по видам теплоносителя по формуле:

(руб./Гкал), (88)

где:

- объем отпуска тепловой энергии в виде пара и воды от j-го источника тепловой энергии, принадлежащего единой теплоснабжающей организации и (или) другим теплоснабжающим организациям, у которых единая теплоснабжающая организация приобретает тепловую энергию (мощность), в i-м расчетном периоде регулирования, тыс. Гкал;

- объем отпуска тепловой энергии в k-том виде теплоносителя от j-го источника тепловой энергии, принадлежащего единой теплоснабжающей организации и (или) другим теплоснабжающим организациям, у которых единая теплоснабжающая организация приобретает тепловую энергию (мощность), в i-м расчетном периоде регулирования, тыс. Гкал;

- одноставочный тариф на тепловую энергию (мощность), отпускаемую в виде пара и воды от j-го источника тепловой энергии, принадлежащего единой теплоснабжающей организации и (или) другим теплоснабжающим организациям, у которых единая теплоснабжающая организация приобретает тепловую энергию (мощность), в i-м расчетном периоде регулирования, определяемый в соответствии с главами IX.I и IX.VIII настоящих Методических указаний, руб./Гкал;

- одноставочный тариф на тепловую энергию (мощность), отпускаемую в k-том виде теплоносителя от j-го источника тепловой энергии, принадлежащего единой теплоснабжающей организации и (или) другим теплоснабжающим организациям, у которых единая теплоснабжающая организация приобретает тепловую энергию (мощность), в i-м расчетном периоде регулирования, определяемый в соответствии с главами IX.I и IX.VIII настоящих Методических указаний, руб./Гкал;

J - количество источников тепловой энергии, принадлежащих единой теплоснабжающей организации и (или) другим теплоснабжающим организациям, у которых единая теплоснабжающая организация приобретает тепловую энергию (мощность), шт.

128. Двухставочный тариф на тепловую энергию (мощность), поставляемую единой теплоснабжающей организацией теплоснабжающим организациям, теплосетевым организациям, приобретающим тепловую энергию с целью компенсации потерь тепловой энергии в i-м расчетном периоде регулирования, рассчитывается по формулам:

Ставка за тепловую энергию (, ):

а) без дифференциации по видам теплоносителя по формуле:

(руб./Гкал), (89)

б) с дифференциацией по видам теплоносителя по формуле:

(руб./Гкал), (90)

где:

- объем отпуска тепловой энергии в виде пара и воды от j-го источника тепловой энергии, принадлежащего единой теплоснабжающей организации и (или) другим теплоснабжающим организациям, у которых единая теплоснабжающая организация приобретает тепловую энергию (мощность), в i-м расчетном периоде регулирования, тыс. Гкал;

- объем отпуска тепловой энергии в k-том виде теплоносителя от j-го источника тепловой энергии, принадлежащего единой теплоснабжающей организации и (или) другим теплоснабжающим организациям, у которых единая теплоснабжающая организация приобретает тепловую энергию (мощность), в i-м расчетном периоде регулирования, тыс. Гкал;

- ставка на тепловую энергию тарифа на тепловую энергию (мощность), отпускаемую в виде пара и воды от j-го источника тепловой энергии, принадлежащего единой теплоснабжающей организации и (или) другим теплоснабжающим организациям, у которых единая теплоснабжающая организация приобретает тепловую энергию (мощность), в i-м расчетном периоде регулирования, определенная в соответствии с главами IX.I и IX.VIII настоящих Методических указаний, руб./Гкал;

- ставка за тепловую энергию тарифа на тепловую энергию (мощность), отпускаемую в k-том виде теплоносителя от j-го источника тепловой энергии, принадлежащего единой теплоснабжающей организации и (или) другим теплоснабжающим организациям, у которых единая теплоснабжающая организация приобретает тепловую энергию (мощность), в i-м расчетном периоде регулирования, определенная в соответствии с главами IX.I и IX.VIII настоящих Методических указаний, руб./Гкал;

J - количество источников тепловой энергии, принадлежащих единой теплоснабжающей организации и другим теплоснабжающим организациям, у которых единая теплоснабжающая организация приобретает тепловую энергию (мощность), шт.

Ставка за содержание тепловой мощности ():

(тыс. руб./Гкал/ч в мес.), (91)

где:

- суммарная договорная (заявленная) тепловая нагрузка потребителей тепловой энергии в виде пара и воды (с учетом мощности, поддерживаемой для отдельных категорий (групп) социально значимых потребителей, приобретающих услуги по поддержанию резервной тепловой мощности), относящаяся к j-му источнику тепловой энергии, принадлежащему единой теплоснабжающей организации и (или) другим теплоснабжающим организациям, у которых единая теплоснабжающая организация приобретает тепловую энергию (мощность), в i-м расчетном периоде регулирования, Гкал/ч;

- ставка на содержание тепловой мощности тарифа на тепловую энергию (мощность), отпускаемую в виде пара и воды от j-го источника тепловой энергии, принадлежащего единой теплоснабжающей организации и (или) другим теплоснабжающим организациям, у которых единая теплоснабжающая организация приобретает тепловую энергию (мощность), в i-м расчетном периоде регулирования, определенная в соответствии с главами IX.I и IX.VIII настоящих Методических указаний, тыс. руб./Гкал/ч в мес.

129. В случае если в соответствии с пунктом 16 настоящих Методических указаний тариф на тепловую энергию (мощность) регулируемой организации учитывает расходы по передаче тепловой энергии по собственным тепловым сетям, то в целях расчета тарифов в соответствии с настоящей главой применяется расчетная величина тарифов , , , , в отношении указанной регулируемой организации.

130. В случае приобретения тепловой энергии (мощности) с целью компенсации потерь по двухставочным тарифам расходы на компенсацию потерь определяются с учетом стоимости использования мощности, величина которой определяется одним из следующих способов:

в виде величины нормативного технологического расхода (потерь) тепловой энергии, деленной на число часов в расчетном периоде регулирования;

равной величине договорной (заявленной) тепловой нагрузки, соответствующей объему тепловой энергии, приобретаемой с целью компенсации потерь.

Выбор способа определения величины используемой мощности, соответствующей нормативным технологическим потерям тепловой энергии, осуществляется органом регулирования с учетом предложения организации, осуществляющей регулируемую деятельность по передаче тепловой энергии по тепловым сетям.

131. Тариф на тепловую энергию (мощность), поставляемую единой теплоснабжающей организацией прочим теплоснабжающим организациям (за исключением теплоснабжающих организаций, приобретающих тепловую энергию с целью компенсации потерь тепловой энергии), устанавливается равным единым тарифам на тепловую энергию (мощность), поставляемую потребителям, к категории (группе) которых относятся потребители, обслуживаемые указанными организациями, определяемым в соответствии с главой IX.IV настоящих Методических указаний.

132. Объемы, используемые при расчете тарифов в соответствии с настоящей главой, определяются в соответствии с пунктами 8 и 9 настоящих Методических указаний, а также без учета договорного объема тепловой энергии, тепловой нагрузки по долгосрочным договорам теплоснабжения, нерегулируемым долгосрочным договорам теплоснабжения, заключаемым в отношении источников тепловой энергии.

133. Расчет тарифов в соответствии с настоящей главой производится в соответствии с приложением 6.3 к настоящим Методическим указаниям.

IX.IV. Расчет тарифов на тепловую энергию (мощность), поставляемую потребителям

134. Тарифы на тепловую энергию (мощность), поставляемую потребителям, рассчитываются как сумма следующих составляющих:

а) средневзвешенная стоимость производимой и (или) приобретаемой единицы тепловой энергии (мощности);

б) средневзвешенная стоимость оказываемых и (или) приобретаемых услуг по передаче единицы тепловой энергии.

Тариф на тепловую энергию (мощность), поставляемую потребителям единой теплоснабжающей организацией, рассчитывается и устанавливается на едином уровне всем потребителям, находящимся в зоне деятельности единой теплоснабжающей организации и относящимся к одной категории (группе) потребителей, за исключением потребителей, которые заключили нерегулируемые договоры теплоснабжения, предусмотренные пунктом 95 Основ ценообразования (далее - единые тарифы на тепловую энергию (мощность)).

135. Единые тарифы на тепловую энергию (мощность) рассчитываются и устанавливаются по решению органа регулирования в виде одноставочного или двухставочного тарифа в соответствии с пунктом 14 настоящих Методических указаний.

136. Единые тарифы на тепловую энергию (мощность) могут дифференцироваться по:

видам теплоносителя (вода, пар);

параметрам теплоносителя (отборный пар давлением: от 1,2 до 2,5 кг/см2, от 2,5 до 7,0 кг/см2, от 7,0 до 13,0 кг/см2, свыше 13,0 кг/см2; острый и редуцированный пар);

системам теплоснабжения;

схемам подключения теплопотребляющих установок потребителей тепловой энергии к системе теплоснабжения (подключение к коллектору источника тепловой энергии, к тепловой сети без дополнительного преобразования на тепловых пунктах, эксплуатируемых теплоснабжающей организацией, к тепловой сети после тепловых пунктов (на тепловых пунктах), эксплуатируемых теплоснабжающей организацией);

категориям (группам) потребителей (покупателей) (теплоснабжающие, теплосетевые организации, приобретающие тепловую энергию с целью компенсации потерь тепловой энергии, прочие потребители (покупатели) тепловой энергии).

137. Единые тарифы на тепловую энергию (мощность) на коллекторах источников тепловой энергии по решению органа регулирования устанавливаются отдельно в отношении каждого источника тепловой энергии. В этом случае единые тарифы на тепловую энергию (мощность) устанавливаются равными тарифам на тепловую энергию (мощность) теплоснабжающей организации, владеющей источником тепловой энергии, определяемым в соответствии с главами IX.I и IX.VIII настоящих Методических указаний.

138. В случае если органом регулирования не принято решение об утверждении единых тарифов на тепловую энергию (мощность) с учетом дифференциации по схеме подключения теплопотребляющих установок потребителей тепловой энергии к системе теплоснабжения (за исключением пункта 137 настоящих Методических указаний), единый тариф на тепловую энергию (мощность) в виде одноставочного или двухставочного тарифа рассчитывается по формулам, приведенным в пункте 139 настоящих Методических указаний, с применением значений объемов тепловой энергии, отпущенной из тепловых сетей, и тепловых нагрузок без учета указанной дифференциации, а также тарифов на услуги по передаче тепловой энергии, определяемых в соответствии с пунктами 121 и 122 настоящих Методических указаний.

139. В случае если органом регулирования принято решение об утверждении единых тарифов на тепловую энергию (мощность) с учетом дифференциации по схеме подключения теплопотребляющих установок потребителей тепловой энергии к системе теплоснабжения:

1) единый тариф на тепловую энергию (мощность) в виде одноставочного тарифа рассчитывается на i-й расчетный период регулирования по формулам:

а) без дополнительного преобразования на тепловых пунктах, эксплуатируемых регулируемыми организациями, без дифференциации по видам теплоносителя ():

(руб./Гкал), (92)

а.1) без дополнительного преобразования на тепловых пунктах, эксплуатируемых регулируемыми организациями, с дифференциацией по видам теплоносителя ():

(руб./Гкал), (93)

б) после тепловых пунктов (на тепловых пунктах), эксплуатируемых регулируемыми организациями, без дифференциации по видам теплоносителя ():

(руб./Гкал), (94)

б.1) после тепловых пунктов (на тепловых пунктах), эксплуатируемых регулируемыми организациями, с дифференциацией по видам теплоносителя ():

(руб./Гкал), (95)

где:

, - средневзвешенная стоимость производимой и (или) приобретаемой единой теплоснабжающей организацией единицы тепловой энергии (мощности) в виде пара и (или) воды в i-й расчетный период регулирования, определяемая в соответствии с главой IX.III настоящих Методических указаний, руб./Гкал;

k - вид теплоносителя;

R - количество регулируемых организаций, тепловые сети которых используются для теплоснабжения потребителей, шт.;

- объем отпуска тепловой энергии из паровых тепловых сетей или водяных тепловых сетей r-той регулируемой организации, с использованием которых осуществляется теплоснабжение потребителей по единому тарифу на тепловую энергию (мощность) без дополнительного преобразования на тепловых пунктах, эксплуатируемых такой организацией в i-м расчетном периоде регулирования, тыс. Гкал;

- одноставочный тариф на услуги по передаче тепловой энергии в виде пара или воды r-той регулируемой организации, тепловые сети которой используются для теплоснабжения потребителей по единому тарифу на тепловую энергию (мощность) без дополнительного преобразования на тепловых пунктах, эксплуатируемых такой организацией, определяемый в соответствии с главой IX.II настоящих Методических указаний на i-й расчетный период регулирования, руб./Гкал;

- объем отпуска тепловой энергии из паровых тепловых сетей или водяных тепловых сетей r-той регулируемой организации, с использованием которых осуществляется теплоснабжение потребителей по единому тарифу на тепловую энергию (мощность) после тепловых пунктов (на тепловых пунктах), эксплуатируемых такой организацией, в i-м расчетном периоде регулирования, тыс. Гкал;

- одноставочный тариф на услуги по передаче тепловой энергии в виде пара или воды r-той регулируемой организации, с использованием которых осуществляется теплоснабжение потребителей по единому тарифу на тепловую энергию (мощность) после тепловых пунктов (на тепловых пунктах), эксплуатируемых такой организацией, определяемый в соответствии с главой IX.II настоящих Методических указаний на i-й расчетный период регулирования, руб./Гкал;

2) единый тариф на тепловую энергию (мощность) в виде двухставочного тарифа рассчитывается на i-й расчетный период регулирования по формулам:

Ставка за тепловую энергию:

а) без дифференциации по видам теплоносителя ():

, (96)

б) с дифференциацией по видам теплоносителя ():

(руб./Гкал). (97)

Ставка за содержание тепловой мощности:

а) без дополнительного преобразования на тепловых пунктах, эксплуатируемых регулируемыми организациями ():

(тыс. руб./Гкал/ч в мес.), (98)

б) после тепловых пунктов (на тепловых пунктах), эксплуатируемых регулируемыми организациями ():

(тыс. руб./Гкал/ч в мес.), (99)

где:

, , - средневзвешенная стоимость производимой и (или) приобретаемой единой теплоснабжающей организацией единицы тепловой энергии (мощности) в виде пара и (или) воды в i-й расчетный период регулирования, определяемая в соответствии с главой IX.III настоящих Методических указаний, руб./Гкал (тыс. руб./Гкал/ч в мес.);

- ставка за содержание тепловой мощности двухставочного тарифа на услуги по передаче тепловой энергии, оказываемые r-той регулируемой организацией, паровые тепловые сети или водяные тепловые сети которой используются для теплоснабжения потребителей по единому тарифу на тепловую энергию (мощность), без дополнительного преобразования на тепловых пунктах такой организации, определяемая в соответствии с главой IX.II настоящих Методических указаний на i-й расчетный период регулирования, тыс. руб./Гкал/ч в мес.;

- ставка за содержание тепловой мощности двухставочного тарифа на услуги по передаче тепловой энергии, оказываемые r-той регулируемой организацией, паровые тепловые сети или водяные тепловые сети которой используются для теплоснабжения потребителей по единому тарифу на тепловую энергию (мощность) после ее тепловых пунктов, определяемая в соответствии с главой IX.II настоящих Методических указаний на i-й расчетный период регулирования, тыс. руб./Гкал/ч в мес.;

- суммарная договорная (заявленная) тепловая нагрузка по пару или по воде потребителей (с учетом мощности, поддерживаемой для отдельных категорий (групп) социально значимых потребителей, приобретающих услуги по поддержанию резервной тепловой мощности), теплопотребляющие установки которых подключены до тепловых пунктов, эксплуатируемых r-той регулируемой организацией, с использованием паровых тепловых сетей или водяных тепловых сетей которой осуществляется теплоснабжение потребителей по единому тарифу на тепловую энергию (мощность), в i-м расчетном периоде регулирования, Гкал/ч;

- суммарная договорная (заявленная) тепловая нагрузка по пару или по воде потребителей (с учетом мощности, поддерживаемой для отдельных категорий (групп) социально значимых потребителей, приобретающих услуги по поддержанию резервной тепловой мощности), теплопотребляющие установки которых подключены после тепловых пунктов (на тепловых пунктах), эксплуатируемых r-той регулируемой организацией, с использованием паровых тепловых сетей или водяных тепловых сетей которой осуществляется теплоснабжение потребителей по единому тарифу на тепловую энергию (мощность), в i-том расчетном периоде регулирования, Гкал/ч.

140. Долгосрочные тарифы на тепловую энергию (мощность), по которым производится продажа тепловой энергии (мощности) по долгосрочному договору теплоснабжения в объеме, предусмотренном таким договором, включают в себя:

а) стоимость единицы тепловой энергии (мощности), поставляемой с коллекторов источника тепловой энергии, в отношении которого заключен договор;

б) средневзвешенную стоимость услуг по передаче единицы тепловой энергии по тепловым сетям, используемым для поставки тепловой энергии потребителю, - если поставка тепловой энергии потребителю осуществляется с использованием не принадлежащих ему на праве собственности или на ином законном основании тепловых сетей.

141. Долгосрочные тарифы на тепловую энергию (мощность) определяются в виде одноставочных и двухставочных тарифов.

Одноставочные долгосрочные тарифы () определяются по формуле:

(руб./Гкал), (100)

Двухставочные долгосрочные тарифы определяются по формулам:

а) ставка за тепловую энергию ():

(руб./Гкал), (101)

б) ставка за содержание тепловой мощности ():

(тыс. руб./Гкал/ч в мес.), (102)

где:

- одноставочный тариф на тепловую энергию (мощность), отпускаемую в виде пара и (или) воды от источника тепловой энергии, в отношении которого заключен долгосрочный договор теплоснабжения, определяемый в соответствии с главами IX.I и IX.VIII настоящих Методических указаний на i-й расчетный период регулирования, руб./Гкал;

, - ставка за тепловую энергию и ставка за содержание тепловой мощности двухставочного тарифа на тепловую энергию (мощность), отпускаемую в виде пара и (или) воды от источника тепловой энергии, в отношении которого заключен долгосрочный договор теплоснабжения, определяемые в соответствии с главами IX.I и IX.VIII настоящих Методических указаний на i-й расчетный период регулирования, руб./Гкал и тыс. руб./Гкал/ч в месяц соответственно;

R - количество регулируемых организаций, тепловые сети которых используются для теплоснабжения потребителей, шт.;

- одноставочный тариф на услуги по передаче тепловой энергии, оказываемые r-той регулируемой организацией, паровые тепловые сети или водяные тепловые сети которой используются для поставки тепловой энергии потребителю, определяемый в соответствии с главой IX.II настоящих Методических указаний на i-й расчетный период регулирования, руб./Гкал;

- ставка за содержание мощности двухставочного тарифа на услуги по передаче тепловой энергии, оказываемые r-той регулируемой организацией, паровые тепловые сети или водяные тепловые сети которой используются для поставки тепловой энергии потребителю, определяемые в соответствии с главой IX.II настоящих Методических указаний на i-й расчетный период регулирования, тыс. руб./Гкал/ч в мес.;

- объем отпуска тепловой энергии из паровых тепловых сетей или водяных тепловых сетей соответственно r-той регулируемой организации, паровые тепловые сети или водяные тепловые сети которой используются для поставки тепловой энергии потребителю в i-й расчетный период регулирования, тыс. Гкал;

- суммарная договорная (заявленная) тепловая нагрузка по пару или по воде потребителя, теплопотребляющие установки которого подключены к паровым тепловым сетям или водяным тепловым сетям r-той регулируемой организации, которые используются для поставки тепловой энергии указанному потребителю в i-й расчетный период регулирования, Гкал/ч.

142. В случае если в соответствии с пунктом 16 настоящих Методических указаний тариф на тепловую энергию (мощность) регулируемой организации учитывает расходы по передаче тепловой энергии по собственным тепловым сетям, то в целях расчета тарифов в соответствии с настоящей главой применяются расчетные величины одноставочных и двухставочных тарифов по каждому регулируемому виду деятельности, осуществляемому указанной организацией.

143. При комплексном теплоснабжении, когда производство тепловой энергии (мощности), ее передача и сбыт производятся одним юридическим лицом, расчет тарифов на тепловую энергию (мощность) производится в соответствии с настоящей главой и главами IX.I и IX.II настоящих Методических указаний с использованием:

при расчете одноставочных тарифов - совокупной необходимой валовой выручки регулируемой организации по производству тепловой энергии (мощности), ее передаче и сбыту;

при расчете двухставочных тарифов - совокупной необходимой валовой выручки регулируемой организации, относимой на энергию и на содержание мощности в соответствии с главами IX.I и IX.II настоящих Методических указаний.

144. При нарушении режима потребления тепловой энергии или отсутствии коммерческого учета тепловой энергии и (или) теплоносителя в случае обязательности этого учета в соответствии с федеральными законами к тарифам на тепловую энергию (мощность) применяются повышающие коэффициенты, устанавливаемые органом регулирования в размере, равном 1,01.

145. В случае принятия органом регулирования решения об изменении вида тарифа (одноставочный или двухставочный) на тепловую энергию (мощность) и тарифов на услуги по передаче тепловой энергии в зоне деятельности единой теплоснабжающей организации органом регулирования определяется влияние указанного изменения при прочих равных условиях регулирования на величину совокупного платежа потребителей. В случае увеличения совокупного платежа более чем на 20 процентов при прочих равных условиях регулирования органом регулирования принимается решение об установлении переходного периода на срок не более 5 лет.

В течение указанного переходного периода в целях постепенного приведения устанавливаемых органом регулирования тарифов на тепловую энергию (мощность) и тарифов на услуги по передаче тепловой энергии в зоне деятельности единой теплоснабжающей организации к уровню распределения затрат между ставкой за тепловую энергию и ставкой за содержание тепловой мощности, определяемому в отсутствие такого переходного периода, к ставкам за содержание тепловой мощности тарифов, рассчитанных в соответствии с настоящими Методическими указаниями в условиях отсутствия такого переходного периода, органом регулирования применяются следующие коэффициенты:

коэффициенты, обеспечивающие равномерное увеличение ставки за содержание тепловой мощности в течение установленного переходного периода при переходе от одноставочного тарифа на двухставочный тариф;

коэффициенты, обеспечивающие равномерное снижение ставки за содержание тепловой мощности в течение установленного переходного периода при переходе от двухставочного тарифа на одноставочный тариф.

В течение установленного переходного периода ставка за тепловую энергию тарифов, рассчитанных в соответствии с главами IX.I, IX.II и IX.III настоящих Методических указаний и настоящей главой, определяется таким образом, чтобы регулируемой организации было обеспечено получение в переходный период необходимой валовой выручки, определенной в соответствии с настоящими Методическими указаниями.

146. Объемы, используемые при расчете тарифов в соответствии с настоящей главой, определяются в соответствии с пунктами 8 и 9 настоящих Методических указаний, а также без учета договорного объема тепловой энергии, тепловой нагрузки по долгосрочным договорам теплоснабжения, нерегулируемым долгосрочным договорам теплоснабжения, заключаемым в отношении источников тепловой энергии.

147. Расчет тарифов в соответствии с настоящей главой производится в соответствии с приложением 6.4 к настоящим Методическим указаниям.

IX.V. Расчет тарифов на теплоноситель

148. Тарифы на теплоноситель устанавливаются в виде одноставочного тарифа с учетом дифференциации по виду теплоносителя (вода, пар).

149. Тариф на теплоноситель, поставляемый теплоснабжающей организацией, владеющей j-м источником тепловой энергии, на котором производится k-й вид теплоносителя, иной теплоснабжающей организации, в том числе единой теплоснабжающей организации, определяется по следующим формулам:

, (103)

(руб./куб. м), (104)

(тыс. руб.), (104.1)

где:

- стоимость 1 кубического метра воды, вырабатываемой на водоподготовительных установках j-го источника тепловой энергии теплоснабжающей организации и (или) покупаемой у иных организаций с целью приготовления k-того вида теплоносителя, с учетом затрат на мероприятия, необходимые для доведения воды до установленных законодательством Российской Федерации параметров качества теплоносителя, учитываемая в тарифе на тепловую энергию (мощность) в i-м расчетном периоде регулирования, руб./куб. м;

- необходимая валовая выручка теплоснабжающей организации, относимая на производство теплоносителя в i-м расчетном периоде регулирования, тыс. руб.;

- расходы на производство воды, вырабатываемой на водоподготовительных установках j-го источника тепловой энергии теплоснабжающей организации, с целью приготовления k-того вида теплоносителя, с учетом затрат на мероприятия, необходимые для доведения воды до установленных законодательством Российской Федерации параметров качества теплоносителя, учитываемые в тарифе на тепловую энергию (мощность) в i-м расчетном периоде регулирования, тыс. руб.;

- расходы на приобретение химически очищенной воды у иных организаций, у которых теплоснабжающая организация, для которой устанавливается тариф на теплоноситель, приобретает такую воду, с целью приготовления k-того вида теплоносителя на j-м источнике тепловой энергии, с учетом затрат на мероприятия, необходимые для доведения воды до установленных законодательством Российской Федерации параметров качества теплоносителя, учитываемые в тарифе на тепловую энергию (мощность) в i-м расчетном периоде регулирования, тыс. руб.;

- объем воды, вырабатываемой на водоподготовительных установках j-го источника тепловой энергии, принадлежащего теплоснабжающей организации, с целью приготовления k-того вида теплоносителя, в i-м расчетном периоде регулирования, тыс. куб. м;

- объем приобретения химически очищенной воды у иных организаций, у которых теплоснабжающая организация, для которой устанавливается тариф на теплоноситель, приобретает такую воду, с целью приготовления k-того вида теплоносителя на j-м источнике тепловой энергии, в i-м расчетном периоде регулирования, тыс. куб. м.

В состав расходов на производство воды, вырабатываемой на водоподготовительных установках источника тепловой энергии, включаются в экономически обоснованном размере следующие расходы:

стоимость исходной воды;

стоимость реагентов, а также фильтрующих и ионообменных материалов, используемых при водоподготовке;

расходы на электрическую энергию (мощность) и тепловую энергию (мощность), используемую при водоподготовке;

стоимость транспортировки и очистки сточных вод, возникающих в процессе водоподготовки;

расходы на оплату труда персонала, участвующего в процессе водоподготовки;

амортизация основных фондов, участвующих в процессе водоподготовки;

прочие расходы, относимые на процесс водоподготовки, в том числе расходы на ремонт основных фондов, водный налог (плата за пользование водными объектами), общехозяйственные расходы на основании принципов и с использованием данных раздельного учета, осуществляемого в соответствии с законодательством Российской Федерации в сфере теплоснабжения и учетной политикой регулируемой организации.

150. Тариф на теплоноситель, поставляемый потребителям r-той регулируемой организацией, , определяется по формуле:

(руб./куб. м), (105)

где:

- объем выработки и потребления (невозврата) k-того вида теплоносителя, приготовленный j-м источником тепловой энергии r-той регулируемой организации и (или) приобретаемый такой организацией у иной регулируемой организации, владеющей j-м источником тепловой энергии, учтенный в схеме теплоснабжения на i-й расчетный период регулирования, тыс. куб. м;

J - количество источников тепловой энергии, подающих k-й вид теплоносителя в тепловую сеть, шт.;

- тариф на теплоноситель, приготовленный j-м источником тепловой энергии в k-том виде теплоносителя в i-м расчетном периоде регулирования, руб./куб. м. В случае неутверждения тарифа на теплоноситель в отношении j-го источника тепловой энергии применяется расчетная стоимость 1 куб. м воды.

151. Тариф на теплоноситель, поставляемый единой теплоснабжающей организацией потребителям, определяется в соответствии с пунктом 150 настоящих Методических указаний на едином уровне для всех потребителей, находящихся в одной зоне ее деятельности и отнесенным к одной категории (группе) потребителей, за исключением потребителей, которые заключили долгосрочный договор теплоснабжения, предусмотренный подпунктом "б" пункта 95 Основ ценообразования.

Тариф на теплоноситель, поставляемый единой теплоснабжающей организацией прочим теплоснабжающим организациям, устанавливается равным тарифу на теплоноситель, поставляемый единой теплоснабжающей организацией потребителям.

152. Продажа теплоносителя по долгосрочным договорам теплоснабжения, указанным в подпункте "б" пункта 95 Основ ценообразования, осуществляется по ценам (тарифам) на теплоноситель, производимый источником тепловой энергии, в отношении которого заключаются такие договоры.

153. Расчет тарифов в соответствии с настоящей главой производится в соответствии с приложением 6.6 к настоящим Методическим указаниям.

IX.VI. Расчет тарифов на горячую воду в открытых системах теплоснабжения

154. Двухкомпонентный тариф на горячую воду в открытой системе теплоснабжения (горячего водоснабжения) состоит из компонента на теплоноситель и компонента на тепловую энергию.

155. Компонент на теплоноситель тарифа на горячую воду устанавливается в виде одноставочного компонента и определяется по формуле:

(руб./куб. м), (106)

где:

- тариф на теплоноситель, установленный в i-том расчетном периоде регулирования для теплоснабжающей организации, поставляющей горячую воду с использованием открытой системы теплоснабжения (горячего водоснабжения), или тариф на теплоноситель, по которому указанная организация приобретает теплоноситель в целях поставки горячей воды в i-том расчетном периоде регулирования, определенный в соответствии с главой IX.V настоящих Методических указаний, руб./куб. м.

В случае, если теплоснабжающая организация приобретает теплоноситель у нескольких регулируемых организаций или одновременно осуществляет приготовление теплоносителя на принадлежащих на праве собственности или ином законном основании указанной организацией источниках тепловой энергии, компонент на теплоноситель тарифа на горячую воду определяется по формуле:

(руб./куб. м), (107)

где:

- объем выработки и потребления (невозврата) теплоносителя, приготовленный j-м источником тепловой энергии теплоснабжающей организации, поставляющей горячую воду с использованием открытой системы теплоснабжения (горячего водоснабжения), и (или) приобретаемый такой организацией у иной регулируемой организации, владеющей j-м источником тепловой энергии, на котором производится теплоноситель, тыс. куб. м;

J - количество источников тепловой энергии, на которых производится теплоноситель, которыми владеет теплоснабжающая организация, поставляющая горячую воду с использованием открытой системы теплоснабжения (горячего водоснабжения), и (или) иные регулируемые организации, у которых указанная теплоснабжающая организация приобретает теплоноситель, шт.;

- тариф на теплоноситель, приготовленный j-м источником тепловой энергии теплоснабжающей организации, поставляющей горячую воду с использованием открытой системы теплоснабжения (горячего водоснабжения) и (или) приобретаемый такой организацией у иной регулируемой организации, владеющей j-м источником тепловой энергии, на котором производится теплоноситель, руб./куб. м. В случае неутверждения тарифа на теплоноситель в отношении j-го источника тепловой энергии применяется расчетная стоимость 1 куб. м воды.

156. Компонент на тепловую энергию тарифа на горячую воду устанавливается в виде одноставочного или двухставочного компонента.

Одноставочный компонент на тепловую энергию тарифа на горячую воду устанавливается в случае, если для теплоснабжающей организации, поставляющей горячую воду с использованием открытой системы теплоснабжения (горячего водоснабжения), органом регулирования установлен одноставочный тариф на тепловую энергию (мощность), поставляемую потребителям, и принимается равным:

(руб./Гкал), (108)

где:

- одноставочный тариф на тепловую энергию (мощность), поставляемую потребителям в i-том расчетном периоде регулирования, определяемый в соответствии с главой IX.IV настоящих Методических указаний.

Двухставочный компонент на тепловую энергию тарифа на горячую воду устанавливается в случае, если для теплоснабжающей организации, поставляющей горячую воду с использованием открытой системы теплоснабжения (горячего водоснабжения), органом регулирования установлен двухставочный тариф на тепловую энергию (мощность), при этом:

ставка за тепловую энергию в компоненте на тепловую энергию принимается равной:

(руб./Гкал), (109)

ставка за содержание тепловой мощности в компоненте на тепловую энергию принимается равной:

(тыс. руб./Гкал/ч в мес.), (110)

где:

, - ставка за тепловую энергию и ставка за содержание тепловой мощности двухставочного тарифа на тепловую энергию (мощность), поставляемую потребителям в i-м расчетном периоде регулирования, определяемые в соответствии с главой IX.IV настоящих Методических указаний.

157. Расчет тарифов в соответствии с настоящей главой производится в соответствии с приложением 6.8 к настоящим Методическим указаниям.

IX.VII. Расчет платы за услуги по поддержанию резервной тепловой мощности при отсутствии потребления тепловой энергии для категорий (групп) социально значимых потребителей

158. Плата за услуги по поддержанию резервной тепловой мощности, оказываемые регулируемой организацией, мощность источников тепловой энергии и (или) тепловых сетей которой используется для поддержания резервной мощности в соответствии со схемой теплоснабжения, устанавливается равной:

(тыс. руб./Гкал/ч в мес.), (111)

(тыс. руб./Гкал/ч в мес.), (112)

где:

- плата за услуги по поддержанию резервной тепловой мощности, оказываемые регулируемой организацией в i-м расчетном периоде регулирования с использованием мощности j-го источника тепловой энергии;

- ставка за содержание тепловой мощности установленного для регулируемой организации на i-й расчетный период регулирования двухставочного тарифа на тепловую энергию (мощность), отпускаемую от j-го источника тепловой энергии, или, если для такой организации установлен одноставочный тариф, расчетная величина ставки за содержание тепловой мощности двухставочного тарифа, рассчитанная в соответствии с главой IX.I настоящих Методических указаний;

- плата за услуги по поддержанию резервной тепловой мощности, оказываемые r-й регулируемой организацией в i-м расчетном периоде регулирования с использованием мощности тепловых сетей;

- ставка за содержание мощности установленного для r-й регулируемой организации на i-й расчетный период регулирования двухставочного тарифа на услуги по передаче тепловой энергии или, если для такой организации установлен одноставочный тариф, расчетная величина ставки за содержание мощности двухставочного тарифа, рассчитанная в соответствии с главой IX.II настоящих Методических указаний.

159. Плата за услуги по поддержанию резервной тепловой мощности, оказываемые единой теплоснабжающей организацией в отношении категорий (групп) социально значимых потребителей, предусмотренных пунктом 115 Основ ценообразования и находящихся в зоне деятельности единой теплоснабжающей организации, устанавливается равной:

(тыс. руб./Гкал/ч в мес.), (113)

где:

- ставка за мощность единого тарифа на тепловую энергию (мощность) в зоне деятельности единой теплоснабжающей организации или, если в зоне ее деятельности установлен одноставочный единый тариф на тепловую энергию (мощность), расчетная величина ставки за тепловую мощность двухставочного единого тарифа на тепловую энергию (мощность), рассчитанная в соответствии с главой IX.IV настоящих Методических указаний.

IX.VIII. Особенности расчета регулируемых тарифов на тепловую энергию, производимую тепловыми источниками, введенными в эксплуатацию до 1 января 2010 года, с которых одновременно осуществляется поставка тепловой энергии по нерегулируемым долгосрочным договорам и по договорам теплоснабжения, расчет по которым осуществляется по регулируемым тарифам

160. Ставка за тепловую энергию двухставочного тарифа на тепловую энергию (мощность), отпускаемую от j-того источника тепловой энергии регулируемой организации, заключившей в отношении такого источника тепловой энергии нерегулируемый долгосрочный договор, определяется на i-й расчетный период регулирования с учетом особенностей, предусмотренных главой IX.I настоящих Методических указаний, по следующей формуле:

(руб./Гкал), (114)

где:

- расходы на топливо j-го источника тепловой энергии при производстве тепловой энергии в виде пара и (или) воды в i-м расчетном периоде регулирования, определяемые на основании удельных расходов топлива в соответствии с пунктом 26 настоящих Методических указаний, учтенных при распределении тепловой нагрузки потребителей тепловой энергии в схеме теплоснабжения между источниками тепловой энергии, входящими в состав системы теплоснабжения, а в случае отсутствия схемы теплоснабжения - в соответствии с главой III настоящих Методических указаний, тыс. руб.;

- объем отпуска тепловой энергии в виде пара и (или) воды от j-го источника тепловой энергии по всем договорам, заключенным указанной регулируемой организацией в отношении такого источника тепловой энергии в i-м расчетном периоде регулирования, тыс. Гкал.

161. Ставка за содержание установленной тепловой мощности двухставочного тарифа на тепловую энергию (мощность), отпускаемую от j-того источника тепловой энергии регулируемой организации, заключившей в отношении такого источника тепловой энергии нерегулируемый долгосрочный договор, определяется на i-й расчетный период регулирования с учетом особенностей, предусмотренных главой IX.I настоящих Методических указаний, по следующей формуле:

(тыс. руб./Гкал/ч в мес.), (115)

где:

- необходимая валовая выручка j-го источника тепловой энергии на производство тепловой энергии (мощности) в виде пара и воды на i-й расчетный период регулирования, тыс. руб.;

- расходы на топливо j-го источника тепловой энергии при производстве тепловой энергии в виде пара и воды в i-м расчетном периоде регулирования, определяемые на основании удельных расходов топлива в соответствии с пунктом 26 настоящих Методических указаний, учтенных при распределении тепловой нагрузки потребителей тепловой энергии в схеме теплоснабжения между источниками тепловой энергии, входящими в состав системы теплоснабжения, а в случае отсутствия схемы теплоснабжения - в соответствии с главой III настоящих Методических указаний, тыс. руб.;

- суммарная договорная (заявленная) тепловая нагрузка потребителей тепловой энергии в виде пара и воды в i-м расчетном периоде регулирования по всем договорам теплоснабжения, заключенным регулируемой организацией в отношении j-го источника тепловой энергии, Гкал/ч;

- договорная тепловая нагрузка в i-м расчетном периоде регулирования по t-му нерегулируемому долгосрочному договору, заключенному регулируемой организацией в отношении j-го источника тепловой энергии (в первые 10 расчетных периодов регулирования после его заключения), Гкал/ч;

n - количество нерегулируемых долгосрочных договоров, после заключения которых еще не прошло 10 расчетных периодов регулирования;

M - количество месяцев в расчетном периоде регулирования, мес.

162. Одноставочный тариф на тепловую энергию (мощность), отпускаемую в виде пара и (или) воды от j-того источника тепловой энергии для регулируемой организации, заключившей в отношении указанного источника тепловой энергии нерегулируемый долгосрочный договор, определяется на i-й расчетный период регулирования по формуле:

(руб./Гкал), (116)

где:

- расчетная величина ставки за тепловую энергию двухставочного тарифа на тепловую энергию (мощность), поставляемую в виде пара и (или) воды от j-того источника тепловой энергии, определенная на i-й расчетный период регулирования для регулируемой организации, заключившей в отношении j-го источника тепловой энергии нерегулируемый долгосрочный договор, в соответствии с настоящей главой, руб./Гкал;

- суммарный объем отпуска тепловой энергии в виде пара и (или) воды от j-го источника тепловой энергии в i-м расчетном периоде регулирования, тыс. Гкал;

- объем отпуска тепловой энергии в виде пара и (или) воды от j-го источника тепловой энергии в i-м расчетном периоде регулирования по t-му нерегулируемому долгосрочному договору (в первые 10 расчетных периодов регулирования после его заключения), тыс. Гкал;

n - количество нерегулируемых долгосрочных договоров, после заключения которых еще не прошло 10 расчетных периодов регулирования.

IX.IX. Расчет платы за подключение к системе теплоснабжения

163. Органом регулирования утверждается:

1) плата за подключение к системе теплоснабжения (далее - плата за подключение), равная 550 рублям (с НДС), в случае если подключаемая тепловая нагрузка объекта капитального строительства заявителя, в том числе застройщика (далее - объект заявителя), не превышает 0,1 Гкал/ч;

2) на расчетный период регулирования плата за подключение в расчете на единицу мощности подключаемой тепловой нагрузки, в случае если подключаемая тепловая нагрузка объекта заявителя более 0,1 Гкал/ч и не превышает 1,5 Гкал/ч (в тыс. руб./Гкал/ч);

3) на расчетный период регулирования плата за подключение в расчете на единицу мощности подключаемой тепловой нагрузки, в случае если подключаемая тепловая нагрузка объекта заявителя превышает 1,5 Гкал/ч при наличии технической возможности подключения (в тыс. руб./Гкал/ч);

4) плата за подключение в индивидуальном порядке, в случае если подключаемая тепловая нагрузка объекта заявителя превышает 1,5 Гкал/ч при отсутствии технической возможности подключения (в тыс. руб.).

164. Плата за подключение дифференцируется:

по диапазонам диаметров тепловых сетей: 50 - 250 мм, 251 - 400 мм, 401 - 550 мм, 551 - 700 мм, 701 мм и выше;

по типу прокладки тепловых сетей: подземная (канальная и бесканальная) или надземная (наземная).

165. Размер платы за подключение объекта заявителя, подключаемая тепловая нагрузка которого более 0,1 Гкал/ч и не превышает 1,5 Гкал/ч или подключаемая тепловая нагрузка которого превышает 1,5 Гкал/ч, при наличии технической возможности подключения, рассчитывается теплоснабжающей (теплосетевой) организацией путем умножения платы за подключение в расчете на единицу мощности подключаемой тепловой нагрузки, определенной соответственно по формулам (117) и (122), на подключаемую тепловую нагрузку объекта заявителя.

166. В целях установления платы за подключение в расчете на единицу мощности подключаемой тепловой нагрузки теплоснабжающая (теплосетевая) организация на очередной расчетный период регулирования представляет в орган регулирования следующие материалы:

1) расчет расходов на проведение мероприятий по подключению объектов заявителей в соответствии с приложением 7.1 к настоящим Методическим указаниям;

2) расчет расходов на создание (реконструкцию) тепловых сетей (за исключением создания (реконструкции) тепловых пунктов) от существующих тепловых сетей или источников тепловой энергии до точек подключения объектов заявителей, подключаемая тепловая нагрузка которых более 0,1 Гкал/ч и не превышает 1,5 Гкал/ч, в соответствии с приложением 7.2 к настоящим Методическим указаниям;

3) расчет расходов на создание (реконструкцию) тепловых пунктов от существующих тепловых сетей или источников тепловой энергии до точек подключения объектов заявителей, подключаемая тепловая нагрузка которых более 0,1 Гкал/ч и не превышает 1,5 Гкал/ч, в соответствии с приложением 7.3 к настоящим Методическим указаниям;

4) расчет платы за подключение объектов заявителей, подключаемая тепловая нагрузка которых более 0,1 Гкал/ч и не превышает 1,5 Гкал/ч, в соответствии с приложением 7.4 к настоящим Методическим указаниям;

5) расчет расходов на создание (реконструкцию) тепловых сетей (за исключением создания (реконструкции) тепловых пунктов) от существующих тепловых сетей или источников тепловой энергии до точек подключения объектов заявителей, подключаемая тепловая нагрузка которых превышает 1,5 Гкал/ч, при наличии технической возможности подключения в соответствии с приложением 7.5 к настоящим Методическим указаниям;

6) расчет расходов на создание (реконструкцию) тепловых пунктов от существующих тепловых сетей или источников тепловой энергии до точек подключения объектов заявителей, подключаемая тепловая нагрузка которых превышает 1,5 Гкал/ч, при наличии технической возможности подключения в соответствии с приложением 7.6 к настоящим Методическим указаниям;

7) расчет платы за подключение объектов заявителей, подключаемая тепловая нагрузка которых превышает 1,5 Гкал/ч, при наличии технической возможности подключения в соответствии с приложением 7.7 к настоящим Методическим указаниям.

167. Расчет платы за подключение в расчете на единицу мощности подключаемой тепловой нагрузки производится по представленным в орган регулирования прогнозным данным о планируемых на календарный год расходах на подключение, определенных в соответствии с прогнозируемым спросом на основе представленных заявок на подключение в зонах существующей и будущей застройки на основании утвержденных в установленном порядке схемы теплоснабжения и (или) инвестиционной программы, а также с учетом положений пункта 173 настоящих Методических указаний.

168. Расходы, финансирование которых предусмотрено за счет тарифов на тепловую энергию (мощность), тарифов на услуги по передаче тепловой энергии, средств бюджетов бюджетной системы Российской Федерации и государственных корпораций, не учитываются при расчете платы за подключение.

169. Расходы, включенные в плату за подключение, подлежат отдельному учету со стороны теплоснабжающей (теплосетевой) организации и не учитываются в необходимой валовой выручке теплоснабжающей (теплосетевой) организации по иным регулируемым видам деятельности.

170. Плата за подключение объектов заявителей, подключаемая тепловая нагрузка которых более 0,1 Гкал/ч и не превышает 1,5 Гкал/ч, состоит из:

1) расходов на проведение мероприятий по подключению объектов заявителей ();

2) расходов на создание (реконструкцию) тепловых сетей (за исключением создания (реконструкции) тепловых пунктов) от существующих тепловых сетей или источников тепловой энергии до точек подключения объектов заявителей, подключаемая тепловая нагрузка которых более 0,1 Гкал/ч и не превышает 1,5 Гкал/ч ();

3) расходов на создание (реконструкцию) тепловых пунктов от существующих тепловых сетей или источников тепловой энергии до точек подключения объектов заявителей, подключаемая тепловая нагрузка которых более 0,1 Гкал/ч и не превышает 1,5 Гкал/ч ();

4) налога на прибыль (H).

Плата за подключение объекта конкретного заявителя, подключаемая тепловая нагрузка которого более 0,1 Гкал/ч и не превышает 1,5 Гкал/ч, определяется в расчете на 1 Гкал/ч подключаемой тепловой нагрузки по формуле:

(тыс. руб./Гкал/ч), (117)

где:

- расходы на проведение мероприятий по подключению объектов заявителей, определенные в соответствии с приложением 7.1 к настоящим Методическим указаниям по формуле:

(тыс. руб./Гкал/ч), (118)

где:

- плановые на очередной расчетный период регулирования расходы на проведение мероприятий по подключению объектов заявителей, тыс. руб.;

- плановая на очередной расчетный период регулирования суммарная подключаемая тепловая нагрузка объектов заявителей, Гкал/ч;

- расходы на создание (реконструкцию) тепловых сетей (за исключением создания (реконструкции) тепловых пунктов) i-го диапазона диаметров j-го типа прокладки от существующих тепловых сетей или источников тепловой энергии до точек подключения объектов заявителей, подключаемая тепловая нагрузка которых более 0,1 Гкал/ч и не превышает 1,5 Гкал/ч, определенные в соответствии с приложением 7.2 к настоящим Методическим указаниям по формуле:

(тыс. руб./Гкал/ч), (119)

где:

- плановые на очередной расчетный период регулирования расходы на создание (реконструкцию) тепловых сетей (за исключением создания (реконструкции) тепловых пунктов) i-го диапазона диаметров j-го типа прокладки от существующих тепловых сетей или источников тепловой энергии до точек подключения объектов заявителей, подключаемая тепловая нагрузка которых более 0,1 Гкал/ч и не превышает 1,5 Гкал/ч, определяемые с учетом положений пункта 173 настоящих Методических указаний, тыс. руб.;

- плановая на очередной расчетный период регулирования суммарная подключаемая тепловая нагрузка объектов заявителей, подключаемая тепловая нагрузка которых более 0,1 Гкал/ч и не превышает 1,5 Гкал/ч и для подключения которых требуется создание (реконструкция) тепловых сетей i-го диапазона диаметров j-го типа прокладки от существующих тепловых сетей или источников тепловой энергии до точек подключения объектов заявителей, Гкал/ч;

- расходы на создание (реконструкцию) тепловых пунктов от существующих тепловых сетей или источников тепловой энергии до точек подключения объектов заявителей, подключаемая тепловая нагрузка которых более 0,1 Гкал/ч и не превышает 1,5 Гкал/ч, определенные в соответствии с приложением 7.3 к настоящим Методическим указаниям по формуле:

(тыс. руб./Гкал/ч), (120)

где:

- плановые на очередной расчетный период регулирования расходы на создание (реконструкцию) тепловых пунктов от существующих тепловых сетей или источников тепловой энергии до точек подключения объектов заявителей, подключаемая тепловая нагрузка которых более 0,1 Гкал/ч и не превышает 1,5 Гкал/ч, определяемые с учетом положений пункта 173 настоящих Методических указаний, тыс. руб.;

- плановая на очередной расчетный период регулирования суммарная подключаемая тепловая нагрузка объектов заявителей, подключаемая тепловая нагрузка которых более 0,1 Гкал/ч и не превышает 1,5 Гкал/ч и для подключения которых требуется создание (реконструкция) тепловых пунктов от существующих тепловых сетей или источников тепловой энергии до точек подключения объектов заявителей, Гкал/ч;

H - налог на прибыль, отнесенный к плате за подключение, рассчитываемый по формуле:

(тыс. руб./Гкал/ч), (121)

где:

- фактические расходы на уплату налога на прибыль, отнесенные на деятельность по подключению к системе теплоснабжения по данным раздельного учета по видам регулируемой деятельности в предшествующем расчетном периоде регулирования, тыс. руб.;

- плановая на очередной расчетный период регулирования суммарная подключаемая тепловая нагрузка объектов заявителей, Гкал/ч.

171. Плата за подключение объектов заявителей, подключаемая тепловая нагрузка которых превышает 1,5 Гкал/ч, при наличии технической возможности подключения, состоит из:

1) расходов на проведение мероприятий по подключению объектов заявителей ();

2) расходов на создание (реконструкцию) тепловых сетей (за исключением создания (реконструкции) тепловых пунктов) от существующих тепловых сетей или источников тепловой энергии до точек подключения объектов заявителей, подключаемая тепловая нагрузка которых превышает 1,5 Гкал/ч, при наличии технической возможности подключения ();

3) расходов на создание (реконструкцию) тепловых пунктов от существующих тепловых сетей или источников тепловой энергии до точек подключения объектов заявителей, подключаемая тепловая нагрузка которых превышает 1,5 Гкал/ч, при наличии технической возможности подключения ();

4) налога на прибыль (H).

Плата за подключение объекта конкретного заявителя, подключаемая тепловая нагрузка которого превышает 1,5 Гкал/ч, при наличии технической возможности подключения, определяется в расчете на 1 Гкал/ч подключаемой тепловой нагрузки по формуле:

(тыс. руб./Гкал/ч), (122)

где:

- расходы на проведение мероприятий по подключению объектов заявителей, определенные по формуле (118), тыс. руб./Гкал/ч;

- расходы на создание (реконструкцию) тепловых сетей (за исключением создания (реконструкции) тепловых пунктов) i-го диапазона диаметров j-го типа прокладки от существующих тепловых сетей или источников тепловой энергии до точек подключения объектов заявителей, подключаемая тепловая нагрузка которых превышает 1,5 Гкал/ч, при наличии технической возможности подключения, определенные в соответствии с приложением 7.5 к настоящим Методическим указаниям по формуле:

(тыс. руб./Гкал/ч), (123)

где:

- плановые на очередной расчетный период регулирования расходы на создание (реконструкцию) тепловых сетей (за исключением создания (реконструкции) тепловых пунктов) i-го диапазона диаметров j-го типа прокладки от существующих тепловых сетей или источников тепловой энергии до точек подключения объектов заявителей, подключаемая тепловая нагрузка которых превышает 1,5 Гкал/ч, при наличии технической возможности подключения, определяемые с учетом положений пункта 173 настоящих Методических указаний, тыс. руб.;

- плановая на очередной расчетный период регулирования суммарная подключаемая тепловая нагрузка объектов заявителей, подключаемая тепловая нагрузка которых превышает 1,5 Гкал/ч, при наличии технической возможности подключения и для подключения которых требуется создание (реконструкция) тепловых сетей i-го диапазона диаметров j-го типа прокладки от существующих тепловых сетей или источников тепловой энергии до точек подключения объектов заявителей, Гкал/ч;

- расходы на создание (реконструкцию) тепловых пунктов от существующих тепловых сетей или источников тепловой энергии до точек подключения объектов заявителей, подключаемая тепловая нагрузка которых превышает 1,5 Гкал/ч, при наличии технической возможности подключения, определенные в соответствии с приложением 7.6 к настоящим Методическим указаниям по формуле:

(тыс. руб./Гкал/ч), (124)

где:

- плановые на очередной расчетный период регулирования расходы на создание тепловых пунктов от существующих тепловых сетей или источников тепловой энергии до точек подключения объектов заявителей, подключаемая тепловая нагрузка которых превышает 1,5 Гкал/ч, при наличии технической возможности подключения, определяемые с учетом положений пункта 173 настоящих Методических указаний, тыс. руб.;

- плановая на очередной расчетный период регулирования суммарная подключаемая тепловая нагрузка объектов заявителей, подключаемая тепловая нагрузка которых превышает 1,5 Гкал/ч, при наличии технической возможности подключения и для подключения которых требуется создание (реконструкция) тепловых пунктов от существующих тепловых сетей или источников тепловой энергии до точек подключения объектов заявителей, Гкал/ч;

H - налог на прибыль, отнесенный к плате за подключение, рассчитанный по формуле (121), тыс. руб./Гкал/ч.

172. Плата за подключение объекта k-го заявителя, подключаемая тепловая нагрузка которого превышает 1,5 Гкал/ч, при отсутствии технической возможности подключения, определяется в индивидуальном порядке в соответствии с приложением 7.8 к настоящим Методическим указаниям по формуле:

(тыс. руб.), (125)

где:

- расходы на проведение мероприятий по подключению объектов заявителей, определенные по формуле (118), тыс. руб./Гкал/ч;

- подключаемая тепловая нагрузка объекта k-го заявителя, Гкал/ч;

- расходы на создание (реконструкцию) тепловых сетей (включая создание (реконструкцию) тепловых пунктов) от существующих тепловых сетей или источников тепловой энергии до точки подключения объекта k-го заявителя, определенные в соответствии со сметной стоимостью создания (реконструкции) тепловых сетей, тыс. руб.;

- расходы на создание (реконструкцию) источников тепловой энергии и (или) развитие существующих источников тепловой энергии и (или) тепловых сетей, необходимые для создания технической возможности подключения объекта k-го заявителя, определенные в соответствии со сметной стоимостью создания (реконструкции, модернизации) соответствующих тепловых сетей и источников тепловой энергии, тыс. руб.;

H - налог на прибыль, отнесенный к плате за подключение, рассчитанный по формуле (121), тыс. руб./Гкал/ч.

173. Расходы на создание (реконструкцию) тепловых сетей от существующих тепловых сетей или источников тепловой энергии до точки подключения объекта заявителя и расходы на создание (реконструкцию) источников тепловой энергии и (или) развитие существующих источников тепловой энергии и (или) тепловых сетей, включаемые в состав платы за подключение, не должны превышать укрупненные сметные нормативы для объектов непроизводственной сферы и инженерной инфраструктуры. В случае отсутствия укрупненных сметных нормативов для отдельных видов объектов капитального строительства расходы на создание (реконструкцию, развитие) указанных объектов не должны превышать федеральные единичные расценки 2001 года, рекомендуемые Министерством регионального развития Российской Федерации в рамках реализации полномочий в области сметного нормирования и ценообразования в сфере градостроительной деятельности, с учетом индексов изменения сметной стоимости.

174. Теплоснабжающая (теплосетевая) организация в соответствии с приложением 7.9 к настоящим Методическим указаниям рассчитывает объемы средств для компенсации расходов на выполнение мероприятий, подлежащих осуществлению в ходе подключения объектов заявителей, подключаемая тепловая нагрузка которых не превышает 0,1 Гкал/ч, и не включаемых в состав платы за подключение. Указанные расчеты представляются в орган регулирования, который в решении об утверждении тарифов отражает размер экономически обоснованной платы за подключение и соответствующие выпадающие доходы теплоснабжающей (теплосетевой) организации от подключения указанных объектов заявителей, размер которых включается в тарифы на тепловую энергию (мощность) и (или) тарифы на передачу тепловой энергии в том же расчетном периоде регулирования, на который утверждается плата за подключение. При этом расходы на создание (реконструкцию) тепловых сетей от существующих тепловых сетей или источников тепловой энергии до точек подключения объектов заявителей, не включаемые в состав платы за подключение объектов заявителей, подключаемая тепловая нагрузка которых не превышает 0,1 Гкал/ч, определяются с учетом положений пункта 173 настоящих Методических указаний.

Приложение 1
к Методическим указаниям,
утвержденным приказом ФСТ России
от 13 июня 2013 г. N 760-э

ОПРЕДЕЛЕНИЕ ИНДЕКСА ЭФФЕКТИВНОСТИ ОПЕРАЦИОННЫХ РАСХОДОВ

1. Индекс эффективности операционных расходов устанавливается органом регулирования для каждой регулируемой организации при применении метода доходности инвестированного капитала или метода индексации установленных тарифов с целью обеспечения поэтапного достижения эффективного уровня операционных расходов организации.

2. При установлении индекса эффективности операционных расходов учитываются инвестиции, осуществляемые в целях снижения операционных расходов. Влияние инвестиций на снижение уровня операционных расходов оценивается на этапе разработки и согласования инвестиционной программы регулируемой организации.

В случае если инвестиционная программа регулируемой организации предусматривает инвестиции, позволяющие снизить операционные расходы регулируемой организации на 5 процентов и более, то индекс эффективности операционных расходов в отношении такой организации устанавливается на уровне 5 процентов.

3. Для организаций, осуществляющих деятельность по производству тепловой энергии (мощности), теплоносителя, индекс эффективности операционных расходов для первого долгосрочного периода регулирования определяется в размере 1 процента уровня операционных расходов текущего года долгосрочного периода регулирования, если инвестиционная программа регулируемой организации не предусматривает больший темп снижения операционных расходов, но не более 5 процентов.

4. Для организаций, осуществляющих деятельность по передаче тепловой энергии и теплоносителя, индекс эффективности операционных расходов определяется по следующей формуле, но не более 5 процентов:

, (1)

где:

- индекс эффективности операционных расходов, определяемый для j-й организации, осуществляющей деятельность по передаче тепловой энергии и теплоносителя;

- индекс, характеризующий снижение операционных расходов за счет инвестиций, предусмотренных инвестиционной программой j-й организации, осуществляющей деятельность по передаче тепловой энергии и теплоносителя;

- индекс эффективности операционных расходов, определенный по результатам сравнительного анализа расходов для j-й организации, осуществляющей деятельность по передаче тепловой энергии и теплоносителя.

5. Орган регулирования каждые 5 лет в рамках субъекта Российской Федерации проводит сравнительный анализ расходов организаций, осуществляющих деятельность по передаче тепловой энергии и теплоносителя в сопоставимых условиях функционирования. В случае если организация, осуществляющая деятельность по передаче тепловой энергии и теплоносителя, обратилась с заявлением о применении метода обеспечения доходности инвестированного капитала или метода индексации установленных тарифов в году, в котором не проводился сравнительный анализ расходов регулируемых организаций, то в целях установления индекса эффективности операционных расходов в отношении такой организации к величинам, полученным по результатам последнего проведенного сравнительного анализа, применяются индексы потребительских цен.

6. Сопоставимость условий функционирования регулируемых организаций в ходе сравнительного анализа достигается посредством использования органом регулирования коэффициентов сопоставимости, а также, при необходимости, за счет дополнительного разделения регулируемых организаций по группам в целях достижения сопоставимости по природно-климатическим и территориальным условиям функционирования.

7. Организации, осуществляющие деятельность по передаче тепловой энергии и теплоносителя, сравниваются по фактическим операционным расходам на километр сетей в 2-трубном исчислении за последний расчетный период, на который имеются отчетные данные.

8. В ходе сравнительного анализа удельных операционных расходов организаций, осуществляющих деятельность по передаче тепловой энергии и теплоносителя, определяются средние значения удельных операционных расходов. В расчете среднего значения не учитываются показатели организации, осуществляющей деятельность по передаче тепловой энергии и теплоносителя, если:

удельные операционные расходы регулируемой организации отличаются в два и более раза от среднего значения удельных расходов, рассчитанного с учетом показателей указанной организации;

регулируемая организация удовлетворяет критериям, определенным пунктом 77 Основ ценообразования;

фактические операционные расходы за последний расчетный период, на который имеются отчетные данные, более чем в 2 раза превышают величину операционных расходов, учтенную при установлении цен (тарифов) на соответствующий расчетный период регулирования.

9. Индекс эффективности операционных расходов, определяемый по результатам сравнительного анализа расходов организаций, осуществляющих деятельность по передаче тепловой энергии и теплоносителя, рассчитывается по формуле:

если

(%), (2)

где:

- индекс эффективности операционных расходов, определяемый по результатам сравнительного анализа расходов для j-й организации, осуществляющей деятельность по передаче тепловой энергии и теплоносителя;

- удельные операционные расходы j-й организации, оказывающей деятельность по передаче тепловой энергии и теплоносителя;

- удельные операционные расходы, определенные как средние для сравниваемых организаций, осуществляющей деятельность по передаче тепловой энергии и теплоносителя;

- коэффициент сопоставимости, учитывающий технические характеристики тепловой сети j-ой регулируемой организации (протяженность тепловых сетей, диаметр трубопроводов, тип прокладки трубопроводов и др.).

Коэффициент сопоставимости для организации, осуществляющей деятельность по передаче тепловой энергии и теплоносителя, определяется органом регулирования путем сопоставления показателей деятельности регулируемой организации с показателями, определенными как средние для сравниваемых регулируемых организаций, одним из следующих способов:

по стоимости строительства тепловой сети, принадлежащей регулируемой организации на праве собственности или ином законном основании, исходя из федеральных единичных расценок, рекомендуемых Министерством регионального развития Российской Федерации в рамках реализации полномочий в области сметного нормирования и ценообразования в сфере градостроительной деятельности;

по количеству условных единиц, относимых к активам организации, осуществляющей деятельность по передаче тепловой энергии, теплоносителя, указанных в приложении 2 к настоящим Методическим указаниям.

Приложение 2
к Методическим указаниям,
утвержденным приказом ФСТ России
от 13 июня 2013 г. N 760-э

КОЛИЧЕСТВО УСЛОВНЫХ ЕДИНИЦ, ОТНОСИМЫХ К АКТИВАМ ОРГАНИЗАЦИИ, ОСУЩЕСТВЛЯЮЩЕЙ ДЕЯТЕЛЬНОСТЬ ПО ПЕРЕДАЧЕ ТЕПЛОВОЙ ЭНЕРГИИ, ТЕПЛОНОСИТЕЛЯ (ДАЛЕЕ - ПТС)

Наименование показателей Единица измерения Количество условных единиц на единицу измерения
1. Двухтрубная тепломагистраль на балансе предприятий средним диаметром    
диам. ср. = 100 мм 1 км 11,0
На каждый следующий 1 мм среднего диаметра тепломагистрали 1 км 0,06
2. Тепловой узел на балансе ПТС 1 узел 5
3. Подкачивающая насосная станция на балансе ПТС 1 станция 25
4. Расчетная присоединительная тепловая мощность по трубопроводам на балансе ПТС 1 Гкал/час 0,5

Примечания:

1. Средний диаметр рассчитывается как средневзвешенная величина исходя из соответствующих диаметров и длин участков сетей.

2. Для однотрубных участков теплопроводов вводятся коэффициенты 0,75, для трехтрубных - 1,25 и для четырехтрубных - 1,5.

3. При разных диаметрах подающих и обратных теплопроводов паропроводов и конденсатопроводов объем в условных единицах принимается по наибольшему диаметру.

4. Тепловыми узлами считаются центральные, групповые тепловые пункты, узлы присоединения жилых, общественных и промышленных зданий, требующие контроля и регулирования со стороны ПТС.

5. Подкачивающие насосные станции, предназначенные для перекачки сетевой воды, расположены на магистральных тепловых сетях и находятся на балансе ПТС.

Приложение 3
к Методическим указаниям,
утвержденным приказом ФСТ России
от 13 июня 2013 г. N 760-э

ПЕРЕЧЕНЬ МАТЕРИАЛОВ, ВКЛЮЧАЕМЫХ В ПРЕДЛОЖЕНИЕ ПО УСТАНОВЛЕНИЮ ЦЕН (ТАРИФОВ) В СФЕРЕ ТЕПЛОСНАБЖЕНИЯ (ДАЛЕЕ - ПЕРЕЧЕНЬ МАТЕРИАЛОВ)

1. Основные производственные показатели регулируемой организации (Приложение 3.1)

2. Материалы по формированию необходимой валовой выручки методом экономически обоснованных расходов:

а) расчет полезного отпуска тепловой энергии (приложение 4.1);

б) расчет полезного отпуска теплоносителя (приложение 4.2);

в) структура полезного отпуска тепловой энергии (мощности) (приложение 4.3);

г) расчет расхода топлива по электростанциям (котельным) (приложение 4.4);

д) расчет баланса топлива (приложение 4.5);

е) смета расходов (приложение 4.6);

ж) расходы на прочие покупаемые энергетические ресурсы (приложение 4.7);

з) расходы на приобретение холодной воды и теплоносителя (приложение 4.8);

и) расчет расходов на оплату труда (приложение 4.9);

к) расчет амортизационных отчислений на восстановление основных производственных фондов (приложение 4.10);

л) расчет источников финансирования капитальных вложений (приложение 4.11);

м) справка об объектах капитальных вложений (приложение 4.12);

н) расчет экономии от снижения потребления топлива (приложение 4.13);

о) расчет экономии от снижения потребления прочих энергоресурсов (приложение 4.14);

п) расчет экономии от снижения потребления энергоресурсов, учитываемой при формировании необходимой валовой выручки методом экономически обоснованных расходов (приложение 4.15).

3. Материалы по формированию необходимой валовой выручки методом долгосрочной индексации установленных тарифов:

а) приложения 4.1 - 4.5, 4.12;

б) определение операционных (подконтрольных) расходов на первый год долгосрочного периода регулирования (базовый уровень операционных расходов) (приложение 5.1);

в) расчет операционных (подконтрольных) расходов на каждый год долгосрочного периода регулирования (приложение 5.2);

г) реестр неподконтрольных расходов (приложение 5.3);

д) реестр расходов на приобретение энергетических ресурсов, холодной воды и теплоносителя (приложение 5.4);

е) расчет экономии операционных расходов (приложение 5.5);

ж) расчет экономии от снижения потребления топлива, учитываемой в очередном долгосрочном периоде регулирования (приложение 5.6);

з) расчет экономии от снижения потребления прочих энергетических ресурсов, холодной воды, теплоносителя, учитываемой в очередном долгосрочном периоде регулирования (приложение 5.7);

и) расчет необходимой валовой выручки методом индексации установленных тарифов (приложение 5.9).

4. Материалы по формированию необходимой валовой выручки методом обеспечения доходности инвестированного капитала:

а) приложения 4.1 - 4.5;

б) приложения 5.1 - 5.7;

в) размер инвестированного капитала на начало долгосрочного периода регулирования при первом применении метода обеспечения доходности инвестированного капитала (приложение 5.8);

г) расчет необходимой валовой выручки методом обеспечения доходности инвестированного капитала (приложение 5.10).

5. Материалы по формированию необходимой валовой выручки методом сравнения аналогов:

а) приложение 3.1;

б) приложение 4.1.

6. Материалы по расчету цен (тарифов):

а) расчет тарифов на тепловую энергию (мощность), отпускаемую от источника (источников) тепловой энергии для теплоснабжающей организации (приложение 6.1);

б) расчет тарифов на услуги по передаче тепловой энергии, теплоносителя для теплосетевой (теплоснабжающей) организации (приложение 6.2);

в) расчет средневзвешенной стоимости производимой и (или) приобретаемой единицы тепловой энергии (мощности) и тарифов на тепловую энергию (мощность), поставляемую теплоснабжающим (теплосетевым) организациям с целью компенсации потерь тепловой энергии (приложение 6.3);

г) расчет тарифов на тепловую энергию (мощность), поставляемую потребителям (приложение 6.4);

д) расчет средневзвешенной стоимости оказываемых и (или) приобретаемых услуг по передаче единицы тепловой энергии (приложение 6.5);

е) расчет тарифа на теплоноситель, поставляемый теплоснабжающей организацией, владеющей источником (источниками) тепловой энергии, на котором производится теплоноситель (приложение 6.6);

ж) расчет тарифа на теплоноситель, поставляемый потребителям (приложение 6.7);

з) расчет тарифа на горячую воду в открытых системах теплоснабжения для теплоснабжающей организации, поставляющей горячую воду с использованием открытой системы теплоснабжения (горячего водоснабжения) (приложение 6.8).

7. Материалы по расчету платы за подключение к системе теплоснабжения:

а) расчет расходов на проведение мероприятий по подключению объектов заявителей (приложение 7.1);

б) расчет расходов на создание (реконструкцию) тепловых сетей (за исключением создания (реконструкции) тепловых пунктов) от существующих тепловых сетей или источников тепловой энергии до точек подключения объектов заявителей, подключаемая тепловая нагрузка которых более 0,1 Гкал/ч и не превышает 1,5 Гкал/ч (приложение 7.2);

в) расчет расходов на создание (реконструкцию) тепловых пунктов от существующих тепловых сетей или источников тепловой энергии до точек подключения объектов заявителей, подключаемая тепловая нагрузка которых более 0,1 Гкал/ч и не превышает 1,5 Гкал/ч (приложение 7.3);

г) расчет платы за подключение объектов заявителей, подключаемая тепловая нагрузка которых более 0,1 Гкал/ч и не превышает 1,5 Гкал/ч (приложение 7.4);

д) расчет расходов на создание (реконструкцию) тепловых сетей (за исключением создания (реконструкции) тепловых пунктов) от существующих тепловых сетей или источников тепловой энергии до точек подключения объектов заявителей, подключаемая тепловая нагрузка которых превышает 1,5 Гкал/ч, при наличии технической возможности подключения (приложение 7.5);

е) расчет расходов на создание (реконструкцию) тепловых пунктов от существующих тепловых сетей или источников тепловой энергии до точек подключения объектов заявителей, подключаемая тепловая нагрузка которых превышает 1,5 Гкал/ч, при наличии технической возможности подключения (приложение 7.6);

ж) расчет платы за подключение объектов заявителей, подключаемая тепловая нагрузка которых превышает 1,5 Гкал/ч, при наличии технической возможности подключения (приложение 7.7);

з) расчет платы за подключение объекта заявителя, подключаемая тепловая нагрузка которого превышает 1,5 Гкал/ч, при отсутствии технической возможности подключения к системе теплоснабжения (приложение 7.8);

и) расчет расходов, связанных с подключением объектов заявителей, подключаемая тепловая нагрузка которых не превышает 0,1 Гкал/ч, и не включаемых в плату за подключение (приложение 7.9).

8. Дополнительные документы и материалы, прилагаемые к заявлению об установлении цен (тарифов):

а) документы и материалы, не включенные в п. 1 - 7 настоящего перечня материалов, но предусмотренные пунктом 16 Правил регулирования цен (тарифов) в сфере теплоснабжения, утвержденных постановлением Правительства Российской Федерации от 22 октября 2012 г. N 1075 "О ценообразовании в сфере теплоснабжения";

б) Программа в области энергосбережения и повышения энергетической эффективности, разработанная в соответствии с законодательством Российской Федерации об энергосбережении и о повышении энергетической эффективности (в случае ее утверждения в отношении регулируемой организации).

Примечания:

1. При заполнении приложений, включенных в настоящий перечень материалов, в столбце "базовый период" указываются ожидаемые показатели текущего периода регулирования, в столбце "период регулирования" указываются плановые показатели на очередной расчетный период регулирования.

2. Приложения, включенные в настоящий перечень материалов, заполняются в соответствии с календарной разбивкой, определенной органом регулирования.

Приложение 3.1

ОСНОВНЫЕ ПРОИЗВОДСТВЕННЫЕ ПОКАЗАТЕЛИ РЕГУЛИРУЕМОЙ ОРГАНИЗАЦИИ

N п/п Показатели Единица измерения Базовый период Период регулирования
1 2 3 4 5
1 Протяженность тепловых сетей в 2- трубном исчислении, в том числе: км
1.1 Надземная (наземная) прокладка км
1.1.1 50 - 250 мм км
1.1.2 251 - 400 мм км
1.1.3 401 - 550 мм км
1.1.4 551 - 700 мм км
1.1.5 701 мм и выше км
1.2 Подземная прокладка, в том числе: км
1.2.1 канальная прокладка км
1.2.1.1 50 - 250 мм км
1.2.1.2 251 - 400 мм км
1.2.1.3 401 - 550 мм км
1.2.1.4 551 - 700 мм км
1.2.1.5 701 мм и выше км
1.2.2 бесканальная прокладка км
1.2.2.1 50 - 250 мм км
1.2.2.2 251 - 400 мм км
1.2.2.3 401 - 550 мм км
1.2.2.4 551 - 700 мм км
1.2.2.5 701 мм и выше км
2 Источники тепловой энергии с установленной генерирующей мощностью 25 МВт и более
2.1 Источник тепловой энергии 1
2.1.1 Установленная тепловая мощность 1 источника тепловой энергии Гкал/ч
... и т.д.
3 Источники тепловой энергии с установленной генерирующей мощностью менее 25 МВт
3.1 Источник тепловой энергии 1
3.1.1 Установленная тепловая мощность 1 источника тепловой энергии Гкал/ч
... и т.д.
4 Суммарная установленная мощность источников тепловой энергии Гкал/ч
4.1 в т.ч. ТЭЦ 25 МВт и более Гкал/ч
4.2 ТЭЦ менее 25 МВт
4.3 котельные Гкал/ч
4.4 электробойлерные Гкал/ч

Примечание: заполняется по каждой системе теплоснабжения, если при установлении цен (тарифов) применяется такая дифференциация.

Приложение 4
к Методическим указаниям,
утвержденным приказом ФСТ России
от 13 июня 2013 г. N 760-э

ФОРМИРОВАНИЕ НЕОБХОДИМОЙ ВАЛОВОЙ ВЫРУЧКИ МЕТОДОМ ЭКОНОМИЧЕСКИ ОБОСНОВАННЫХ РАСХОДОВ

Приложение 4.1

РАСЧЕТ ПОЛЕЗНОГО ОТПУСКА ТЕПЛОВОЙ ЭНЕРГИИ

N п/п Показатели Базовый период Период регулирования
всего в том числе всего в том числе
вода отборный пар в том числе вода отборный пар в том числе
1,2 - 2,5 кгс/ см2 2,5 - 7,0 кгс/ см2 7,0 - 13,0 кгс/ см2 > 13 кгс/ см2 острый и редуцированный пар 1,2 - 2,5 кгс/ см2 2,5 - 7,0 кгс/ см2 7,0 - 13,0 кгс/ см2 > 13 кгс/ см2 острый и редуцированный пар
1 2 3 4 5 6 7 8 9 10 11 12 13 14 15 16 17 18
1 Отпуск тепловой энергии, поставляемой с коллекторов источника тепловой энергии, всего
в том числе:
- ТЭЦ 25 МВт и более
- ТЭЦ менее 25 МВт
- котельные
- электробойлерные
2 Покупная теплоэнергия
в том числе:
...
3 Расход тепловой энергии на хозяйственные нужды
4 Отпуск тепловой энергии от источника тепловой энергии (полезный отпуск)
5 Потери тепловой энергии в сети (нормативные) <*>
5.1 в том числе:
- через изоляцию
5.2 - с потерями теплоносителя
5.3 то же в % к отпуску тепловой энергии от источника тепловой энергии
6 Отпуск тепловой энергии из тепловой сети (полезный отпуск), всего

Примечания:

1. Заполняется по каждому источнику тепловой энергии, по каждой системе теплоснабжения, если при установлении цен (тарифов) применяется такая дифференциация, по каждой организации, осуществляющей деятельность по производству тепловой энергии, в целом по единой теплоснабжающей организации.

2. В стр. 3 заполняется расход тепловой энергии на хозяйственные нужды только на источнике тепловой энергии.

3. Стр. 4 = стр. 1 + стр. 2 - стр. 3.

4. Стр. 6 = стр. 4 - стр. 5.

5. В строке 5 указываются фактические потери тепловой энергии в сети в случае, предусмотренном пунктом 90 Основ ценообразования в сфере теплоснабжения, утвержденных постановлением Правительства Российской федерации от 22.10.2012 N 1075.

Приложение 4.2

РАСЧЕТ ПОЛЕЗНОГО ОТПУСКА ТЕПЛОНОСИТЕЛЯ

тыс. м3

N п/п   Базовый период Период регулирования
всего в том числе всего в том числе
вода пар вода пар
1 2 3 4 5 6 7 8
1 Производство теплоносителя, всего
в том числе:
- ТЭЦ 25 МВт и более
- ТЭЦ менее 25 МВт
- котельные
- электробойлерные
2 Покупной теплоноситель,
в том числе:
...
3 Расход теплоносителя на хозяйственные нужды
4 Отпуск теплоносителя в сеть
5 Нормативные потери при передаче теплоносителя
6 Объем возвращенного теплоносителя
7 Полезный отпуск теплоносителя потребителям

Примечания:

1. Заполняется по каждому источнику тепловой энергии, по каждой системе теплоснабжения, если при установлении цен (тарифов) применяется такая дифференциация, по каждой организации, осуществляющей деятельность по производству тепловой энергии, теплоносителя, в целом по единой теплоснабжающей организации.

2. Стр. 4 = стр. 1 + стр. 2 - стр. 3.

3. Стр. 7 = стр. 4 - стр. 5 - стр. 6.

Приложение 4.3

СТРУКТУРА ПОЛЕЗНОГО ОТПУСКА ТЕПЛОВОЙ ЭНЕРГИИ (МОЩНОСТИ)

N п/п Базовый период Период регулирования
Суммарная договорная (заявленная) тепловая нагрузка по всем договорам теплоснабжения, Гкал/час в т.ч. по нерегулируемым договорам, Гкал/час Суммарный полезный отпуск тепловой энергии энергия, тыс. Гкал в т.ч. по нерегулируемым договорам, тыс. Гкал Суммарная договорная (заявленная) тепловая нагрузка по всем договорам теплоснабжения, Гкал/час в т.ч. по нерегулируемым договорам, Гкал/час Суммарный полезный отпуск тепловой энергии энергия, тыс. Гкал в т.ч. по нерегулируемым договорам, тыс. Гкал
1 2 3 4 5 6 7 8 9 10
1 Всего отпущено потребителям
Вода
Отборный пар
- от 1,2 до 2,5 кгс/кв. см
- от 2,5 до 7,0 кгс/кв. см
- от 7,0 до 13,0 кгс/кв. см
- свыше 13,0 кгс/кв. см
Острый и редуцированный пар
В том числе Население
Вода
Отборный пар
- от 1,2 до 2,5 кгс/кв. см
- от 2,5 до 7,0 кгс/кв. см
- от 7,0 до 13,0 кгс/кв. см
- свыше 13,0 кгс/кв. см
Острый и редуцированный пар

Примечания:

1. Заполняется по каждому источнику тепловой энергии, по каждой системе теплоснабжения, если при установлении цен (тарифов) применяется такая дифференциация, по каждой теплоснабжающей, теплосетевой организации, в целом по единой теплоснабжающей организации.

2. Может заполняться с помесячной разбивкой.

Приложение 4.4

РАСЧЕТ РАСХОДА ТОПЛИВА ПО ЭЛЕКТРОСТАНЦИЯМ (КОТЕЛЬНЫМ)

N п/п Показатели Единица измерения Базовый период Период регулирования
1 2 3 4 5
1 Выработка электроэнергии, всего млн. кВтч    
2 Расход электроэнергии на собственные нужды: млн. кВтч    
2.1 на производство электроэнергии млн. кВтч    
2.1.1 то же в % к выработке электроэнергии %    
2.2 на производство тепловой энергии млн. кВтч    
2.2.1 то же в кВтч/Гкал кВтч/Гкал    
3 Отпуск электроэнергии с шин млн. кВтч    
4 Расход электроэнергии на производственные и хозяйственные нужды млн. кВтч    
4.1 то же в % к отпуску с шин %    
5 Расход электроэнергии на потери в трансформаторах млн. кВтч    
5.1 то же в % к отпуску с шин %    
6 Полезный отпуск электроэнергии в сеть млн. кВтч    
7 Отпуск тепловой энергии, поставляемой с коллекторов источника тепловой энергии тыс. Гкал    
8 Расход теплоэнергии на хозяйственные нужды: тыс. Гкал    
8.1 то же в % к отпуску теплоэнергии %    
9 Отпуск тепловой энергии от источника тепловой энергии (полезный отпуск) тыс. Гкал    
10 Отпуск электроэнергии с шин млн. кВтч    
11 Нормативный удельный расход условного топлива на производство электроэнергии г/кВтч    
12 Расход условного топлива на производство электроэнергии тыс. тут    
13 Отпуск тепловой энергии, поставляемой с коллекторов источника тепловой энергии тыс. Гкал    
14 Нормативный удельный расход условного топлива на производство тепловой энергии кг/Гкал    
15 Итого расход условного топлива на производство тепловой энергии тыс. тут    
16 Расход т у.т., всего тыс. тут    
17 Удельный вес расхода топлива на производство тепловой энергии (п. 15/п. 16) %    
18 Расход условного топлива тыс. тут    
18.1 уголь всего, в том числе: тыс. тут    
18.2 мазут тыс. тут    
18.3 газ всего, в том числе: тыс. тут    
18.3.1 газ лимитный тыс. тут    
18.3.2 газ сверхлимитный тыс. тут    
18.3.3 газ коммерческий тыс. тут    
18.4 др. виды топлива тыс. тут    
         
18.5 на производство тепловой энергии тыс. тут    
19 Доля %    
19.1 уголь всего, в том числе: %    
         
19.2 мазут %    
19.3 газ всего, в том числе: %    
19.3.1 газ лимитный %    
19.3.2 газ сверхлимитный %    
19.3.3 газ коммерческий %    
19.4 др. виды топлива %    
20 Переводной коэффициент      
20.1 уголь всего, в том числе:      
         
20.2 мазут      
20.3 газ всего, в том числе:      
20.3.1 газ лимитный      
20.3.2 газ сверхлимитный      
20.3.3 газ коммерческий      
20.4 др. виды топлива      
21 Расход натурального топлива      
21.1 уголь всего, в том числе: тыс. тнт    
         
21.2 мазут тыс. тнт    
21.3 газ всего, в том числе: млн. куб. м    
21.3.1 газ лимитный млн. куб. м    
21.3.2 газ сверхлимитный млн. куб. м    
21.3.3 газ коммерческий млн. куб. м    
21.4 др. виды топлива тыс. тнт    
22 Индекс роста цен натурального топлива      
22.1 уголь всего, в том числе: %    
         
22.2 мазут %    
22.3 газ всего, в том числе: %    
22.3.1 газ лимитный %    
22.3.2 газ сверхлимитный %    
22.3.3 газ коммерческий %    
22.4 др. виды топлива %    
23 Цена натурального топлива      
23.1 уголь всего, в том числе: руб./тнт    
         
23.2 мазут руб./тнт    
23.3 газ всего, в том числе: руб./ тыс. куб. м    
23.3.1 газ лимитный руб./ тыс. куб. м    
23.3.2 газ сверхлимитный руб./ тыс. куб. м    
23.3.3 газ коммерческий руб./ тыс. куб. м    
23.4 др. виды топлива руб./тнт    
24 Стоимость натурального топлива тыс. руб.    
24.1 уголь всего, в том числе: тыс. руб.    
         
24.2 мазут тыс. руб.    
24.3 газ всего, в том числе: тыс. руб.    
24.3.1 газ лимитный тыс. руб.    
24.3.2 газ сверхлимитный тыс. руб.    
24.3.3 газ коммерческий тыс. руб.    
24.4 др. виды топлива тыс. руб.    
24.5 на производство тепловой энергии тыс. руб.    
25 Стоимость натурального топлива на производство тепловой энергии по видам топлива тыс. руб.    
25.1 уголь всего, в том числе: тыс. руб.    
         
  мазут тыс. руб.    
25.2 газ всего, в том числе: тыс. руб.    
25.3 газ лимитный тыс. руб.    
25.3.1 газ сверхлимитный тыс. руб.    
25.3.2 газ коммерческий тыс. руб.    
25.3.3 др. виды топлива тыс. руб.    
26 Индекс роста тарифа ж/д перевозки/ тарифа ГРО, ПССУ      
26.1 уголь всего, в том числе: %    
         
26.2 мазут %    
26.3 газ всего, в том числе: %    
26.3.1 газ лимитный %    
26.3.2 газ сверхлимитный %    
26.3.3 газ коммерческий %    
26.4 др. виды топлива %    
27 Тариф ж/д перевозки/тариф ГРО, ПССУ      
27.1 уголь всего, в том числе: руб./тнт    
         
27.2 мазут руб./тнт    
27.3 газ всего, в том числе: руб./ тыс. куб. м    
27.3.1 газ лимитный руб./ тыс. куб. м    
27.3.2 газ сверхлимитный руб./ тыс. куб. м    
27.3.3 газ коммерческий руб./ тыс. куб. м    
27.4 др. виды топлива руб./тнт    
28 Стоимость ж/д перевозки тыс. руб.    
28.1 уголь всего, в том числе: тыс. руб.    
         
28.2 мазут тыс.руб.    
28.3 газ всего, в том числе: тыс. руб.    
28.3.1 газ лимитный тыс. руб.    
28.3.2 газ сверхлимитный тыс. руб.    
28.3.3 газ коммерческий тыс. руб.    
28.4 др. виды топлива тыс. руб.    
         
28.5 на производство тепловой энергии тыс. руб.    
29 Стоимость ж/д перевозки на производство тепловой энергии по видам топлива тыс. руб.    
29.1 уголь всего, в том числе: тыс. руб.    
         
29.2 мазут тыс. руб.    
29.3 газ всего, в том числе: тыс. руб.    
29.3.1 газ лимитный тыс. руб.    
29.3.2 газ сверхлимитный тыс. руб.    
29.3.3 газ коммерческий тыс. руб.    
29.4 др. виды топлива тыс. руб.    
30 Стоимость натурального топлива с учетом перевозки тыс. руб.    
30.1 уголь всего, в том числе: тыс. руб.    
         
30.2 мазут тыс. руб.    
30.3 газ всего, в том числе: тыс. руб.    
30.3.1 газ лимитный тыс. руб.    
30.3.2 газ сверхлимитный тыс. руб.    
30.3.3 газ коммерческий тыс. руб.    
30.4 др. виды топлива тыс. руб.    
         
30.5 на производство тепловой энергии тыс. руб.    
31 Цена условного топлива с учетом перевозки руб./тут    
31.1 уголь всего, в том числе: руб./тут    
         
31.2 мазут руб./тут    
31.3 газ всего, в том числе: руб./тут    
31.3.1 газ лимитный руб./тут    
31.3.2 газ сверхлимитный руб./тут    
31.3.3 газ коммерческий руб./тут    
31.4 др. виды топлива руб./тут    
         
31.5 на производство тепловой энергии руб./тут    
32 Цена натурального топлива с учетом перевозки      
32.1 уголь всего, в том числе: руб./тнт    
         
32.2 мазут руб./тнт    
32.3 газ всего, в том числе: руб./ тыс. куб. м    
32.3.1 газ лимитный руб./ тыс. куб. м    
32.3.2 газ сверхлимитный руб./ тыс. куб. м    
32.3.3 газ коммерческий руб./ тыс. куб. м    
32.4 др. виды топлива руб./тнт    
33 Топливная составляющая тарифа руб./Гкал    

Приложение 4.5

РАСЧЕТ БАЛАНСА ТОПЛИВА

Электростанция (котельная) Вид топлива/ Калорийность топлива, ккал/ кг н.т. Остаток на начало периода Приход натурального топлива Расход натурального топлива Остаток на конец периода
всего, тыс. т.н.т. цена, руб./ т.н.т. стоимость, тыс. руб. всего, т.н.т. цена франко станция дальность перевозки тариф на перевозку норматив потерь при перевозке цена франко станция назначения, руб./ т.н.т. стоимость, тыс. руб. всего, т.н.т. цена, руб./ т.н.т. стоимость, тыс. руб. всего, тыс. т.н.т. цена, руб./ т.н.т. стоимость, тыс. руб.
1 2 3 4 5 6 7 8 9 10 11 12 13 14 15 16 17 18
Базовый период
ТЭС 1 Газ...
Уголь...
Мазут
Торф
Прочие
...
и т.д. ...
Всего Газ...
Уголь...
Мазут
Торф
Прочие
Период регулирования
ТЭС 1 Газ...
Уголь...
Мазут
Торф
Прочие
...
и т.д. ...
Всего Газ...
Уголь...
Мазут
Торф
Прочие

Примечания:

1. К таблице прилагается расшифровка по поставщикам топлива с указанием объемов поставок и согласованных (договорных) цен.

2. Гр. 5 = гр. 3 * гр. 4.

3. Гр. 11 = (гр. 7 + гр. 8 * гр. 9) * (1 + гр. 10).

4. Гр. 12 = гр. 6 * гр. 11 * 10(-3).

5. Гр. 14 = (гр. 5 + гр. 12) / (гр. 3 + гр. 6 * 10(-3).

6. Гр. 15 = гр. 13 * гр. 14 * 10(-3).

7. Гр. 16 = гр. 3 + гр. 6 * 10(-3) - гр. 13 * 10(-3).

8. Гр. 17 = гр. 14.

9. Гр. 18 = гр. 5 + гр. 12 - гр. 15.

Приложение 4.6

СМЕТА РАСХОДОВ

тыс. руб.

N п/п Показатели Базовый период Период регулирования
1 2 4 5
I. Расходы, связанные с производством и реализацией продукции (услуг), всего
- расходы на сырье и материалы
- расходы на топливо
- расходы на прочие покупаемые энергетические ресурсы
- расходы на холодную воду
- расходы на теплоноситель
- амортизация основных средств и нематериальных активов
- оплата труда
- отчисления на социальные нужды
- ремонт основных средств, выполняемый подрядным способом
- расходы на оплату услуг, оказываемых организациями, осуществляющими регулируемую деятельность
- расходы на выполнение работ и услуг производственного характера, выполняемых по договорам со сторонними организациями или индивидуальными предпринимателями
- расходы на оплату иных работ и услуг, выполняемых по договорам с организациями, включая расходы на оплату услуг связи, вневедомственной охраны, коммунальных услуг, юридических, информационных, аудиторских и консультационных услуг
- плата за выбросы и сбросы загрязняющих веществ в окружающую среду, размещение отходов и другие виды негативного воздействия на окружающую среду в пределах установленных нормативов и (или) лимитов
- арендная плата, концессионная плата, лизинговые платежи
- расходы на служебные командировки
- расходы на обучение персонала
- расходы на страхование производственных объектов, учитываемые при определении налоговой базы по налогу на прибыль
- другие расходы, связанные с производством и (или) реализацией реализацией продукции, в том числе
- налог на имущество организаций
- земельный налог
- транспортный налог
- водный налог
- прочие налоги
II. Внереализационные расходы, всего
- расходы на вывод из эксплуатации (в том числе на консервацию) и вывод из консервации
- расходы по сомнительным долгам
- расходы, связанные с созданием нормативных запасов топлива, включая расходы по обслуживанию заемных средств, привлекаемых для этих целей
- другие обоснованные расходы, в том числе
- расходы на услуги банков
- расходы на обслуживание заемных средств
III. Расходы, не учитываемые в целях налогообложения, всего
- расходы на капитальные вложения (инвестиции)
- денежные выплаты социального характера (по Коллективному договору)
- резервный фонд
- прочие расходы
IV. Налог на прибыль
V. Выпадающие доходы/экономия средств
VI. Необходимая валовая выручка, всего
VI.1 - на производство электрической энергии
VI.2 - на производство тепловой энергии
VI.3 - на производство теплоносителя
VI.4 - прочая продукция

Примечания:

1. Заполняется по каждому источнику тепловой энергии, по каждой системе теплоснабжения, если при установлении цен (тарифов) применяется такая дифференциация, по каждому виду регулируемой деятельности, по каждой теплоснабжающей, теплосетевой организации, в целом по единой теплоснабжающей организации.

2. Для источников тепловой энергии, функционирующих в режиме комбинированной выработки электрической и тепловой энергии, таблица заполняется в целом по источнику тепловой энергии. Строки VI.1 - VI.4 заполняются по результатам распределения расходов между тепловой и электрической энергией в соответствии с главой VIII Методических указаний.

3. К таблице прилагаются дополнительные материалы, содержащие обоснованный расчет по каждой статье затрат (с указанием плановых (расчетных) цен, экономически обоснованных объемов и применяемых индексов, норм и нормативов расчета) с учетом приложений 4.4, 4.7 - 4.10.

Приложение 4.7

РАСХОДЫ НА ПРОЧИЕ ПОКУПАЕМЫЕ ЭНЕРГЕТИЧЕСКИЕ РЕСУРСЫ

N п/п Наименование поставщика Объем покупной энергии, млн. кВт·ч (тыс. Гкал) Расчетная мощность, тыс. кВт (Гкал/ч) Тариф Затраты на покупку, тыс. руб.
одноставочный двухставочный энергии мощности всего
ставка за мощность ставка за энергию
руб./тыс. кВт·ч (руб./Гкал) руб./МВ т в мес. (тыс. руб./ Гкал/ч в мес.) руб./ тыс. кВт·ч (руб./ Гкал)
1 2 3 4 5 6 7 8 9 10
Базовый период
1 Электрическая энергия, в том числе:
1.1 оптовый рынок
1.1.1 поставщик 1
1.1.2 ...
...
1.2 розничный рынок
1.2.1 поставщик 1
1.2.2 ...
2 Тепловая энергия, в том числе:
2.1 поставщик 1
2.2 поставщик 2
2.3 ...
...
n Итого
Период регулирования
1 Электрическая энергия, в том числе:
1.1 оптовый рынок
1.1.1 поставщик 1
1.1.2 ...
...
1.2 розничный рынок
1.2.1 поставщик 1
1.2.2 ...
2 Тепловая энергия
2.1 поставщик 1
2.2 поставщик 2
2.3 ...
...
n Итого

Приложение 4.8

РАСХОДЫ НА ПРИОБРЕТЕНИЕ ХОЛОДНОЙ ВОДЫ И ТЕПЛОНОСИТЕЛЯ

N п.п. Вид сырья и материалов Базовый период Период регулирования
Расчетный объем Планируемая (расчетная) цена Расходы на приобретение Расчетный объем Планируемая (расчетная) цена Расходы на приобретение
м3 тыс. руб./м3 тыс. руб. м3 тыс. руб./м3 тыс. руб.
1 2 3 4 5 6 7 8
1 Расходы на холодную воду, в том числе
1.1 - на производство электрической энергии
1.2 - на производство тепловой энергии
1.3 - на производство теплоносителя
1.4 - прочая продукция
2 Расходы на теплоноситель

Примечания:

1. Заполняется по каждому источнику тепловой энергии, по каждой системе теплоснабжения, если при установлении цен (тарифов) применяется такая дифференциация, по каждому виду регулируемой деятельности, по каждой теплоснабжающей, теплосетевой организации, в целом по единой теплоснабжающей организации.

2. Для источников тепловой энергии, функционирующих в режиме комбинированной выработки электрической и тепловой энергии, таблица заполняется в целом по источнику тепловой энергии. Строки 1.1 - 1.4 заполняются по результатам распределения расходов между тепловой и электрической энергией в соответствии с главой VIII Методических указаний.

3. Гр. 5 = гр. 3 * гр. 4.

4. Гр. 8 = гр. 6 * гр. 7.

Приложение 4.9

РАСЧЕТ РАСХОДОВ НА ОПЛАТУ ТРУДА

N п. п. Показатели Единица измерения Базовый период Период регулирования
1 2 3 4 5
1. Численность      
1.1. Нормативная численность чел.    
  в т.ч. привлеченный персонал чел.    
1.2. Нормативная численность ППП чел.    
  без привлеченного персонала чел.    
1.3. Фактическая численность чел.    
  % отношения факта к нормативу %    
1.4. Численность на вводы по нормативу чел.    
1.5. Численность, принятая для расчета чел.    
2. Средняя зарплата      
2.1. Тарифная ставка рабочего 1-го разряда руб.    
2.1. Дефлятор по заработной плате      
2.2. Тарифная ставка рабочего 1 разряда с учетом дефлятора руб.    
2.3. Средняя ступень оплаты труда      
2.3. Тарифный коэффициент, соответствующий ступени по оплате труда      
2.3. Среднемесячная тарифная ставка ППП руб.    
2.6. Выплаты, связанные с режимом работы, с условиями труда 1 работника:      
  - процент выплаты %    
  - сумма выплат руб.    
2.7. Текущее премирование:      
  - процент выплаты %    
  - сумма выплат руб.    
2.8. Вознаграждение за выслугу лет:      
  - процент выплаты %    
  - сумма выплат руб.    
2.9. Выплаты по итогам года:      
  - процент выплаты %    
  - сумма выплат руб.    
2.10.        
  - процент выплаты %    
  - сумма выплат руб.    
2.11.        
  - процент выплаты %    
  - сумма выплат руб.    
2.12. Выплаты по районному коэффициенту и северные надбавки:      
  - процент выплаты %    
  - сумма выплат руб.    
3. ИТОГО среднемесячная оплата труда на 1 работника руб.    
4. Расчет ФОТ (вкл. в расходы на производство продукции (услуг))
4.1. Льготный проезд к месту отдыха тыс. руб.
4.2. Выплаты в соответствии с порядком назначения и выплаты ежемесячных компенсационных выплат отдельным категориям граждан <*> тыс. руб.
4.3. Прочие тыс. руб.
Количество месяцев в периоде регулирования
4.4. ИТОГО средства на оплату труда ППП тыс. руб.
4.4.1 - на производство электрической энергии
4.4.2 - на производство тепловой энергии
4.4.3 - на производство теплоносителя
4.4.4 - прочая продукция
5. Расчет по непромышленной группе (вкл. в балансовую прибыль)
5.1. Фактическая численность чел.
5.2. Планируемая численность чел.
5.3. Расчетная средняя зарплата руб.
5.4. Льготный проезд к месту отдыха тыс. руб.
5.5. По постановлению N 1206 от 03.11.94 тыс. руб.
5.6. ИТОГО ФОТ непром. группы тыс. руб.
5.6.1 - на производство электрической энергии тыс. руб
5.6.2 - на производство тепловой энергии тыс. руб
5.6.3 - на производство теплоносителя тыс. руб
5.6.4 - прочая продукция тыс. руб
5.7. Коэффициент для расчета по непром. группе %

<*> Постановление Правительства Российской Федерации от 3 ноября 1994 г. N 1206 "Об утверждении порядка назначения и выплаты ежемесячных компенсационных выплат отдельным категориям граждан" (Собрание законодательства Российской Федерации, 1994, N 29, ст. 3035; 2003, N 33, ст. 3269; 2006, N 33, ст. 3633; 2012, N 22, ст. 2867; 2013, N 13, ст. 1559; N 22, ст. 2809).

Примечания:

1. Заполняется по каждому источнику тепловой энергии, по каждой системе теплоснабжения, если при установлении цен (тарифов) применяется такая дифференциация, каждому виду регулируемой деятельности, по каждой теплоснабжающей, теплосетевой организации, в целом по единой теплоснабжающей организации.

2. Для источников тепловой энергии, функционирующих в режиме комбинированной выработки электрической и тепловой энергии, таблица заполняется в целом по источнику тепловой энергии. Строки 4.4.1 - 4.4.4, 5.6.1 - 5.6.4 заполняются по результатам распределения расходов между тепловой и электрической энергией в соответствии с главой VIII Методических указаний.

Приложение 4.10

РАСЧЕТ АМОРТИЗАЦИОННЫХ ОТЧИСЛЕНИЙ НА ВОССТАНОВЛЕНИЕ ОСНОВНЫХ ПРОИЗВОДСТВЕННЫХ ФОНДОВ

N п.п. Показатели Единица измерения Базовый период Период регулирования
1 2 3 4 5
1. Первоначальная стоимость осн. фондов на начало периода тыс. руб.    
  Здания тыс. руб.    
  Сооружения тыс. руб.    
  Передаточные устройства тыс. руб.    
  Машины и оборудование тыс. руб.    
  в т.ч. - силовые машины тыс. руб.    
  - рабочие машины тыс. руб.    
  - приборы и лаборат. оборудование тыс. руб.    
  - вычислительная техника тыс. руб.    
  - прочие машины тыс. руб.    
  Транспортные средства тыс. руб.    
  Инструмент тыс. руб.    
  Производственный инвентарь тыс. руб.    
  Прочие основные производственные фонды тыс. руб.    
2. Переоценка стоимости осн. фондов (только положительная или отрицательная разница относительно первоначальной стоимости осн. фондов) тыс. руб.    
  Здания тыс. руб.    
  Сооружения тыс. руб.    
  Передаточные устройства тыс. руб.    
  Машины и оборудование тыс. руб.    
  в т.ч. - силовые машины тыс. руб.    
  - рабочие машины тыс. руб.    
  - приборы и лаборат. оборудование тыс. руб.    
  - вычислительная техника тыс. руб.    
  - прочие машины тыс. руб.    
  Транспортные средства тыс. руб.    
  Инструмент тыс. руб.    
  Производственный инвентарь тыс. руб.    
  Прочие основные производственные фонды тыс. руб.    
         
3. Ввод основных производственных фондов тыс. руб.    
  Здания тыс. руб.    
  Сооружения тыс. руб.    
  Передаточные устройства тыс. руб.    
  Машины и оборудование тыс. руб.    
  в т.ч. - силовые машины тыс. руб.    
  - рабочие машины тыс. руб.    
  - приборы и лаборат. оборудование тыс. руб.    
         
  - вычислительная техника тыс. руб.    
  - прочие машины тыс. руб.    
  Транспортные средства тыс. руб.    
  Инструмент тыс. руб.    
  Производственный инвентарь тыс. руб.    
  Прочие основные производственные фонды тыс. руб.    
         
4. Выбытие основных производственных фондов тыс. руб.    
  Здания тыс. руб.    
  Сооружения тыс. руб.    
  Передаточные устройства тыс. руб.    
  Машины и оборудование тыс. руб.    
  в т.ч. - силовые машины тыс. руб.    
  - рабочие машины тыс. руб.    
  - приборы и лаборат. оборудование тыс. руб.    
  - вычислительная техника тыс. руб.    
  - прочие машины тыс. руб.    
  Транспортные средства тыс. руб.    
  Инструмент тыс. руб.    
  Производственный инвентарь тыс. руб.    
  Прочие основные производственные фонды тыс. руб.    
         
5. Среднегодовая стоимость основных производственных фондов тыс. руб.    
  Здания тыс. руб.    
  Сооружения тыс. руб.    
  Передаточные устройства тыс. руб.    
  Машины и оборудование тыс. руб.    
  в т.ч. - силовые машины тыс. руб.    
  - рабочие машины тыс. руб.    
  - приборы и лаборат. оборудование тыс. руб.    
  - вычислительная техника тыс. руб.    
  - прочие машины тыс. руб.    
  Транспортные средства тыс. руб.    
  Инструмент тыс. руб.    
  Производственный инвентарь тыс. руб.    
  Прочие основные производственные фонды тыс. руб.    
         
6. Норма амортизационных отчислений      
  Здания %    
  Сооружения %    
  Передаточные устройства %    
  Машины и оборудование %    
  в т.ч. - силовые машины %    
  - рабочие машины %    
  - приборы и лаборат. оборудование %    
  - вычислительная техника %    
  - прочие машины %    
  Транспортные средства %    
  Инструмент %    
  Производственный инвентарь %    
  Прочие основные производственные фонды %    
         
7. Сумма амортизационных отчислений тыс. руб.    
  Здания тыс. руб.    
  Сооружения тыс. руб.    
  Передаточные устройства тыс. руб.    
  Машины и оборудование тыс. руб.    
  в т.ч. - силовые машины тыс. руб.    
  - рабочие машины тыс. руб.    
  - приборы и лаборат. оборудование тыс. руб.    
  - вычислительная техника тыс. руб.    
  - прочие машины тыс. руб.    
  Транспортные средства тыс. руб.    
  Инструмент тыс. руб.    
  Производственный инвентарь тыс. руб.    
  Прочие основные производственные фонды тыс. руб.    
7.1 - на производство электрической энергии тыс. руб.    
7.2 - на производство тепловой энергии тыс. руб.    
7.3 - на производство теплоносителя тыс. руб.    
7.4 - прочая продукция тыс. руб.    

Примечания:

1. Заполняется по каждому источнику тепловой энергии, по каждой системе теплоснабжения, если при установлении цен (тарифов) применяется такая дифференциация, каждому виду регулируемой деятельности, по каждой теплоснабжающей, теплосетевой организации, в целом по единой теплоснабжающей организации.

2. Для источников тепловой энергии, функционирующих в режиме комбинированной выработки электрической и тепловой энергии, таблица заполняется в целом по источнику тепловой энергии. Строки 7.1 - 7.4 заполняются по результатам распределения расходов между тепловой и электрической энергией в соответствии с главой VIII Методических указаний.

Приложение 4.11

РАСЧЕТ ИСТОЧНИКОВ ФИНАНСИРОВАНИЯ КАПИТАЛЬНЫХ ВЛОЖЕНИЙ

тыс. руб.

N п/п Наименование Базовый период Период регулирования
1 2 3 4
1 Объем капитальных вложений - всего
в том числе:
1.1 - на производственное и научно-техническое развитие
1.2 - на непроизводственное развитие
Объем капитальных вложений, в том числе:
1.3 - на производство электрической энергии
1.4 - на производство тепловой энергии
1.5 - на производство теплоносителя
1.6 - прочая продукция
2 Финансирование капитальных вложений
из средств - всего
2.1 Амортизационных отчислений на полное восстановление основных фондов (100%)
2.1.1 в т.ч. за счет переоценки основных средств и нематериальных активов
2.2 Неиспользованных средств на начало года
2.3 Федерального бюджета
2.4 Местного бюджета
2.5 Регионального (республиканского, краевого, областного) бюджета
2.6 Прочих
2.7 Средства, полученные от реализации ценных бумаг
2.8 Кредитные средства
2.9 Итого по пп. 2.1 - 2.8
2.10 Прибыль (п. 1 - п. 2.9):
Финансирование капитальных вложений, в том числе:
2.11 - на производство электрической энергии
2.12 - на производство тепловой энергии
2.13 - на производство теплоносителя
2.14 - прочая продукция

Примечания:

1. Представляется одновременно с копией утвержденной в установленном порядке инвестиционной программы (или проектом инвестиционной программы).

2. Для источников тепловой энергии, функционирующих в режиме комбинированной выработки электрической и тепловой энергии, таблица заполняется в целом по источнику тепловой энергии. Строки 1.3 - 1.6, 2.11 - 2.14 заполняются по результатам распределения расходов между тепловой и электрической энергией в соответствии с главой VIII Методических указаний.

Приложение 4.12

СПРАВКА ОБ ОБЪЕКТАХ КАПИТАЛЬНЫХ ВЛОЖЕНИЙ

Наименование объекта капитальных вложений Утверждено на базовый период Выполнено в течение базового периода Источник финансирования на базовый период План на период регулирования Источник финансирования на период регулирования
1 2 3 4 5 6
Всего
в т.ч.

Примечания:

1. Заполняется по каждому виду регулируемой деятельности, по каждой теплоснабжающей, теплосетевой организации, в целом по единой теплоснабжающей организации.

2. Представляется одновременно с копией утвержденной в установленном порядке инвестиционной программы (или проектом инвестиционной программы).

Приложение 4.13

РАСЧЕТ ЭКОНОМИИ ОТ СНИЖЕНИЯ ПОТРЕБЛЕНИЯ ТОПЛИВА

N п.п. Показатели Единица измерения Базовый период регулирования, i - 4 Базовый период регулирования, i - 3 Базовый период регулирования, i - 2 Базовый период регулирования, i - 1
1 2 3 4 5 6 7
1 Фактический норматив удельного расхода топлива кг у.т./Гкал
2 Удельный расход топлива, учтенный при расчете тарифов кг у.т./Гкал
3 Фактический объем отпуска тепловой энергии, поставляемой с коллекторов источника тепловой энергии тыс. Гкал
4 Фактическая (расчетная) цена на топливо источника тепловой энергии руб./т у.т.
5 Экономия от снижения потребления топлива кг у.т.

Примечания:

1. Приложение заполняется начиная со второго расчетного периода регулирования (i = 2), тарифы на который рассчитываются с применением настоящих Методических указаний. В первый расчетный период регулирования экономия от снижения потребления топлива равна нулю.

2. Для второго расчетного периода регулирования, тарифы на который рассчитываются с применением настоящих Методических указаний, заполняется столбец 7; для третьего расчетного периода регулирования заполняются столбцы 6 - 7; для четвертого расчетного периода регулирования заполняются столбцы 5 - 7; начиная с пятого расчетного периода регулирования заполняются все столбцы.

3. Фактическая (расчетная) цена на топливо в соответствии с приложением 4.5 к настоящим Методическим указаниям.

4. Графы строки 5 заполняются расчетным способом: гр. стр. 5 = (гр. стр. 2 - гр. стр. 1) * гр. стр. 3.

Приложение 4.14

РАСЧЕТ ЭКОНОМИИ ОТ СНИЖЕНИЯ ПОТРЕБЛЕНИЯ ПРОЧИХ ЭНЕРГОРЕСУРСОВ

N п.п. Показатели Единица измерения Базовый период регулирования, i - 4 Базовый период регулирования, i - 3 Базовый период регулирования, i - 2 Базовый период регулирования, i - 1
1 2 3 4 5 6 7
1 Фактический объем полезного отпуска тепловой энергии
2 Объем полезного отпуска тепловой энергии, учтенный при расчете цен (тарифов) в году
3 Объем потребления энергетического ресурса, учтенный при установлении цен (тарифов)
4 Фактический объем потребления энергетического ресурса
5 Фактическая стоимость приобретения (производства) единицы энергетического ресурса
6 Экономия от снижения потребления энергетического ресурса

Примечания:

1. Приложение заполняется для каждого вида энергетических ресурсов.

2. Приложение заполняется, начиная со второго расчетного периода регулирования (i = 2), тарифы на который рассчитываются с применением настоящих Методических указаний. В первый расчетный период регулирования экономия от снижения потребления топлива равна нулю.

3. Для второго расчетного периода регулирования, тарифы на который рассчитываются с применением настоящих Методических указаний, заполняется столбец 7; для третьего расчетного периода регулирования заполняются столбцы 6 - 7; для четвертого расчетного периода регулирования заполняются столбцы 5 - 7; начиная с пятого расчетного периода регулирования заполняются все столбцы.

4. Графы строки 6 заполняются расчетным способом: гр. стр. 6 = гр. стр. 1 / гр. стр. 2 * гр. стр. 3 - гр. стр. 4.

5. Необходимо согласовать единицы измерения всех показателей для того, чтобы выразить прирост экономии от снижения потребления энергетического ресурса в тыс. руб.

Приложение 4.15

РАСЧЕТ ЭКОНОМИИ ОТ СНИЖЕНИЯ ПОТРЕБЛЕНИЯ ЭНЕРГОРЕСУРСОВ, УЧИТЫВАЕМОЙ ПРИ ФОРМИРОВАНИИ НЕОБХОДИМОЙ ВАЛОВОЙ ВЫРУЧКИ МЕТОДОМ ЭКОНОМИЧЕСКИ ОБОСНОВАННЫХ РАСХОДОВ

N п.п. Показатели Единица измерения Базовый период регулирования, i - 4 Базовый период регулирования, i - 3 Базовый период регулирования, i - 2 Базовый период регулирования, i - 1 Период регулирования, i
1 2 3 4 5 6 7 8
1 Экономия от снижения потребления энергетических ресурсов тыс. руб. -
2 Значение индекса потребительских цен
3 Кумулятивное значение индекса потребительских цен -
4 Экономия от снижения потребления энергетических ресурсов в ценах i-ого периода регулирования тыс. руб. -
5 Итого тыс. руб - - - -

Примечания:

1. Приложение заполняется начиная со второго расчетного периода регулирования (i = 2), тарифы на который рассчитываются с применением настоящих Методических указаний. В первый расчетный период регулирования экономия от снижения потребления энергоресурсов равна нулю.

2. Для второго расчетного периода регулирования, тарифы на который рассчитываются с применением настоящих Методических указаний, заполняются столбцы 7 - 8; для третьего расчетного периода регулирования заполняются столбцы 6 - 8; для четвертого расчетного периода регулирования заполняются столбцы 5 - 8; начиная с пятого расчетного периода регулирования заполняются все столбцы.

3. В строке 1 указывается суммарная Экономия, рассчитанная в соответствии с приложением 4.13 и приложением 4.14 к настоящим Методическим указаниям.

4. В строке 3: гр. 4 = (1 + гр. 5) * (1 + гр. 6) * (1 + гр. 7) * (1 + гр. 8) строки 2;

гр. 5 = (1 + гр. 6) * (1 + гр. 7) * (1 + гр. 8) строки 2;

гр. 6 = (1 + гр. 7) (1 + гр. 8) строки 2;

гр. 7 = (1 + гр. 8) строки 2.

5. Гр. стр. 4 = гр. стр. 1 * гр. стр. 3.

6. Итого заполняется в гр. 5 как сумма граф 4 - 7 строки 4.

Приложение 5
к Методическим указаниям,
утвержденным приказом ФСТ России
от 13 июня 2013 г. N 760-э

ФОРМИРОВАНИЕ НЕОБХОДИМОЙ ВАЛОВОЙ ВЫРУЧКИ МЕТОДОМ ОБЕСПЕЧЕНИЯ ДОХОДНОСТИ ИНВЕСТИРОВАННОГО КАПИТАЛА И МЕТОДОМ ИНДЕКСАЦИИ УСТАНОВЛЕННЫХ ТАРИФОВ

Приложение 5.1

ОПРЕДЕЛЕНИЕ ОПЕРАЦИОННЫХ (ПОДКОНТРОЛЬНЫХ) РАСХОДОВ НА ПЕРВЫЙ ГОД ДОЛГОСРОЧНОГО ПЕРИОДА РЕГУЛИРОВАНИЯ (БАЗОВЫЙ УРОВЕНЬ ОПЕРАЦИОННЫХ РАСХОДОВ)

тыс. руб.

N п.п. Наименование расхода Год, предшествующий очередному долгосрочному периоду регулирования Первый год очередного долгосрочного периода регулирования
1 2 3 4
1. Расходы на приобретение сырья и материалов
2. Расходы на ремонт основных средств
3. Расходы на оплату труда
4. расходы на оплату работ и услуг производственного характера, выполняемых по договорам со сторонними организациями
5. Расходы на оплату иных работ и услуг, выполняемых по договорам с организациями, включая:
5.1. Расходы на оплату услуг связи
5.2. Расходы на оплату вневедомственной охраны
5.3. Расходы на оплату коммунальных услуг
5.4. Расходы на оплату юридических, информационных, аудиторских и консультационных услуг
5.5. Расходы на оплату услуг по стратегическому управлению организацией
5.6. Расходы на оплату других работ и услуг
6. Расходы на служебные командировки
7. Расходы на обучение персонала
8. Лизинговый платеж
9. Арендная плата
10. Другие расходы, в том числе:
10.1.
10.2.
...
ИТОГО базовый уровень операционных расходов

Примечания:

1. В гр. 3 отражаются расходы, учтенные в тарифах регулируемой организации в предшествующем расчетном периоде регулирования.

Приложение 5.2

РАСЧЕТ ОПЕРАЦИОННЫХ (ПОДКОНТРОЛЬНЫХ) РАСХОДОВ НА КАЖДЫЙ ГОД ДОЛГОСРОЧНОГО ПЕРИОДА РЕГУЛИРОВАНИЯ

N п.п. Параметры расчета расходов Единица измерения Долгосрочный период регулирования
год i0 год i0 + 1 ... год i1
1 2 3 4 5 ... n
1. Индекс потребительских цен на расчетный период регулирования (ИПЦ)
2. Индекс эффективности операционных расходов (ИР) %
3. Индекс изменения количества активов (ИКА)
3.1. количество условных единиц, относящихся к активам, необходимым для осуществления регулируемой деятельности у.е.
3.2. установленная тепловая мощность источника тепловой энергии Гкал/ч
4. Коэффициент эластичности затрат по росту активов (Кэл)
5. Операционные (подконтрольные) расходы тыс. руб.

Примечания:

1. Год i0 - первый год долгосрочного периода регулирования, год i1 - последний год долгосрочного периода регулирования.

2. Строка 3 заполняется в соответствии с пунктом 38 настоящих Методических указаний; строка 3.1 - для организаций, осуществляющих деятельность по передаче тепловой энергии и теплоносителя, в соответствии с приложением 2 к настоящим Методическим указаниям; строка 3.2 - для организаций, осуществляющих деятельность по производству тепловой энергии (мощности), с учетом инвестиционной программы регулируемой организации на соответствующий год.

3. Ст. 5 гр. 4 заполняется по данным таблицы приложения 5.1 к настоящим Методическим указаниям.

4. Гр. 5 - n заполняются расчетно, как значение операционных (неподконтрольных) расходов в предыдущей графе, умноженное на соответствующие индексы текущего года, указанные в строках 1 - 4.

Приложение 5.3

РЕЕСТР НЕПОДКОНТРОЛЬНЫХ РАСХОДОВ

тыс. руб.

год i0 год i0 + 1 ... год i1
N п.п. Наименование расхода фактически понесенные расходы в году i0 по данным регулируемой организации прогноз расходов на год i0 по данным регулируемой организации фактически понесенные расходы в году i0 + 1 по данным регулируемой организации прогноз расходов на год i0 + 1 по данным регулируемой организации фактически понесенные расходы в году i1 по данным регулируемой организации прогноз расходов на год i1 по данным регулируемой организации
1 2 3 4 5 6 ... ... n - 1 n
1.1. Расходы на оплату услуг, оказываемых организациями, осуществляющими регулируемые виды деятельности
1.2. Арендная плата
1.3. Концессионная плата
1.4. Расходы на уплату налогов, сборов и других обязательных платежей, в том числе:
1.4.1. плата за выбросы и сбросы загрязняющих веществ в окружающую среду, размещение отходов и другие виды негативного воздействия на окружающую среду в пределах установленных нормативов и (или) лимитов
1.4.2. расходы на обязательное страхование
1.4.3. иные расходы
1.5. Отчисления на социальные нужды
1.6. Расходы по сомнительным долгам
1.7. Амортизация основных средств и нематериальных активов
1.8. Расходы на выплаты по договорам займа и кредитным договорам, включая проценты по ним
ИТОГО
2. Налог на прибыль
3. Экономия, определенная в прошедшем долгосрочном периоде регулирования и подлежащая учету в текущем долгосрочном периоде регулирования
4. Итого неподконтрольных расходов

Примечания:

1. Год i0 - первый год долгосрочного периода регулирования, год i1 - последний год долгосрочного периода регулирования.

2. Строки 1.7, 1.8 при использовании метода обеспечения доходности инвестированного капитала не заполняются.

3. Гр. 3, 5, ... n - 1 заполняется регулируемой организацией по итогам фактически понесенных расходов в соответствующем расчетном периоде регулирования.

4. Гр. 4, 6, ... n в течение долгосрочного периода регулирования заполняются регулируемой организацией с учетом уточнения планируемых значений расходов.

Приложение 5.4

РЕЕСТР РАСХОДОВ НА ПРИОБРЕТЕНИЕ ЭНЕРГЕТИЧЕСКИХ РЕСУРСОВ, ХОЛОДНОЙ ВОДЫ И ТЕПЛОНОСИТЕЛЯ (ДАЛЕЕ В НАСТОЯЩЕМ ПРИЛОЖЕНИИ - РЕСУРСЫ)

тыс. руб.

N п.п. Наименование ресурса год i0 год i0 + 1 ... год i1
фактически понесенные расходы в году i0 по данным регулируемой организации прогноз расходов на год i0 по данным регулируемой организации фактически понесенные расходы в году i0 + 1 по данным регулируемой организации прогноз расходов на год i0 + 1 по данным регулируемой организации ... фактически понесенные расходы в году i1 по данным регулируемой организации прогноз расходов на год i1 по данным регулируемой организации
1 2 3 4 5 6 ... n - 1 n
1. Расходы на топливо
2. Расходы на электрическую энергию
3. Расходы на тепловую энергию
4. Расходы на холодную воду
5. Расходы на теплоноситель
6. ИТОГО

Примечания:

1. Год i0 - первый год долгосрочного периода регулирования, год i1 - последний год долгосрочного периода регулирования;

2. Гр. 3, 5, n - 1 заполняется регулируемой организацией по данным о фактически приобретенных энергетических ресурсах, холодной воды и теплоносителя.

3. Строки 1 - 5 заполняются по данным Приложений 4.4, 4.7 и 4.8 к настоящим Методическим указаниям.

Приложение 5.5

РАСЧЕТ ЭКОНОМИИ ОПЕРАЦИОННЫХ РАСХОДОВ

N п.п. Показатели Единица измерения Год i1 - 4 Год i1 - 3 Год i1 - 2 Год i1 - 1 Год i1
1 1 2 3 4 5 6 7
1 Скорректированные операционные расходы тыс. руб.
2 Фактические операционные расходы тыс. руб.
3 Экономия операционных расходов тыс. руб.
4 Прирост экономии операционных расходов тыс. руб.
5 Индекс потребительских цен
6 Кумулятивное значение индекса потребительских цен - -
7 Прирост экономии операционных расходов в ценах года i1 -
8 Экономия операционных расходов, учитываемая в очередном долгосрочном периоде регулирования тыс. руб. - - - -

1. Приложение заполняется за предшествующий долгосрочный период регулирования.

2. i1 - последний год текущего долгосрочного периода регулирования;

3. Стр. 3 = стр. 1 - стр. 2.

4. В строке 4: гр. 3 = гр. 3 стр. 3;

гр. 4 = гр. 4 стр. 3 - гр. 3 стр. 3 * (1 + гр. 4 стр. 5)

гр. 5 = гр. 5 стр. 3 - гр. 4 стр. 3 * (1 + гр. 5 стр. 5)

гр. 6 = гр. 6 стр. 3 - гр. 5 стр. 3 * (1 + гр. 6 стр. 5)

гр. 7 = гр. 7 стр. 3 - гр. 6 стр. 3 * (1 + гр. 7 стр. 5).

5. В строке 6: гр. 4 = (1 + гр. 5 стр. 5) * (1 + гр. 6 стр. 5) * (1 + гр. 7 стр. 5)

гр. 5 = (1 + гр. 6 стр. 5) * (1 + гр. 7 стр. 5)

гр. 6 = (1 + гр. 7 стр. 5).

6. В строке 7: гр. стр. 7 = гр. стр. 4 * гр. стр. 6, кроме гр. 7

гр. 7 стр. 7 = гр. стр. 4.

7. Строка 8 заполняется только в графе 8.

Если предшествующий долгосрочный период регулирования составляет 3 года:

гр. 8 = (4/5 * гр. 7 + 3/5 * гр. 6 + 2/5 * гр. 5)|стр. 7

Если предшествующий долгосрочный период регулирования составляет более 3 лет:

гр. 8 = (4/5 * гр. 7 + 3/5 * гр. 6 + 2/5 * гр. 5 + 1/5 * гр. 4)|стр. 7

Приложение 5.6

РАСЧЕТ ЭКОНОМИИ ОТ СНИЖЕНИЯ ПОТРЕБЛЕНИЯ ТОПЛИВА, УЧИТЫВАЕМОЙ В ОЧЕРЕДНОМ ДОЛГОСРОЧНОМ ПЕРИОДЕ РЕГУЛИРОВАНИЯ

N п.п. Показатели Единица измерения Год i1 - 4 Год i1 - 3 Год i1 - 2 Год i1 - 1 Год i1
1 2 3 4 5 6 7 8
1 Фактический норматив удельного расхода топлива кг у.т./Гкал
2 Удельный расход топлива, учтенный при расчете тарифов кг у.т./Гкал
3 Фактический объем отпуска тепловой энергии, поставляемой с коллекторов источника тепловой энергии тыс. Гкал
4 Фактическая (расчетная) цена на топливо источника тепловой энергии руб./т у.т.
5 Экономия от снижения потребления топлива кг у.т.
6 Прирост экономии от снижения потребления топлива тыс. руб.
7 Значение индекса потребительских цен
8 Кумулятивное значение индекса потребительских цен
9 Прирост экономии от снижения потребления энергетических ресурсов в ценах года i1
10 Экономия от снижения потребления топлива, учитываемая в очередном долгосрочном периоде регулирования тыс. руб.

Примечания:

1. Приложение заполняется за предшествующий долгосрочный период регулирования.

2. Приложение заполняется для каждого источника тепловой энергии.

3. Фактическая (расчетная) цена на топливо - с учетом затрат на его доставку и хранение, определяемая в соответствии с приложением 4.5 к настоящим Методическим указаниям с учетом остатков топлива и структуры используемого топлива, учтенной при расчете удельного расхода топлива.

4. Графы строки 5 заполняются расчетным способом: гр. стр. 5 = (гр. стр. 2 - гр. стр. 1) * гр. стр. 3.

5. Графы строки 6 заполняются расчетным способом:

гр. стр. 6 = (гр. стр. 5 - гр. стр. 5|предыдущий год) * гр. стр. 4/10(-3).

Для первого года регулирования:

гр. стр. 6 = гр. стр. 5 * гр. стр. 4/10(-3).

6. В строке 8: гр. 5 = (1 + гр. 6) * (1 + гр. 7) * (1 + гр. 8) строки 7;

гр. 6 = (1 + гр. 7) * (1 + гр. 8) строки 7;

гр. 7 = (1 + гр. 8) строки 7.

7. Гр. стр. 9 = гр. стр. 6 * гр. стр. 8, кроме гр. 8

гр. 8 стр. 9 = гр. стр. 6.

8. Строка 10 заполняется только в графе 8.

Если предшествующий долгосрочный период регулирования составляет 3 года:

гр. 8 = (4/5 * гр. 8 + 3/5 * гр. 7 + 2/5 * гр. 6)|стр.9

Если предшествующий долгосрочный период регулирования составляет более 3 лет:

гр. 8 = (4/5 * гр. 8 + 3/5 * гр. 7 + 2/5 * гр. 6 + 1/5 * гр. 5)|стр.9

Приложение 5.7

РАСЧЕТ ЭКОНОМИИ ОТ СНИЖЕНИЯ ПОТРЕБЛЕНИЯ ПРОЧИХ ЭНЕРГЕТИЧЕСКИХ РЕСУРСОВ, ХОЛОДНОЙ ВОДЫ, ТЕПЛОНОСИТЕЛЯ (ДАЛЕЕ В НАСТОЯЩЕМ ПРИЛОЖЕНИИ - РЕСУРСЫ), УЧИТЫВАЕМОЙ В ОЧЕРЕДНОМ ДОЛГОСРОЧНОМ ПЕРИОДЕ РЕГУЛИРОВАНИЯ

N п.п. Показатели Единица измерения Год i1 - 4 Год i1 - 3 Год i1 - 2 Год i1 - 1 Год i1
1 2 3 4 5 6 7 8
1 Фактический объем полезного отпуска соответствующего вида продукции (услуг)
2 Объем полезного отпуска соответствующего вида продукции (услуг), учтенный при установлении тарифов
3 Объем потребления ресурса, учтенный при установлении тарифов
4 Фактический объем потребления ресурса
5 Фактическая стоимость приобретения (производства) единицы ресурса
6 Экономия от снижения потребления ресурсов тыс. руб.
7 Прирост экономии от снижения потребления ресурсов тыс. руб.
8 Значение индекса потребительских цен
9 Кумулятивное значение индекса потребительских цен
10 Прирост экономии от снижения потребления ресурсов в ценах года i1 тыс. руб.
11 Экономия от снижения потребления ресурсов, учитываемая в очередном долгосрочном периоде регулирования тыс. руб.

Примечания:

1. Приложение заполняется за предшествующий долгосрочный период регулирования.

2. Приложение заполняется для каждого вида ресурсов.

3. Графы строки 6 заполняются расчетным способом: гр. стр. 6 = гр. стр. 1 / гр. стр. 2 * гр. стр. 3 - гр. стр. 4.

4. Графы строки 7 заполняются расчетным способом: гр. стр. 7 = (гр. стр. 6 - гр. стр. 6|предыдущий год) * гр. стр. 5. Для первого года регулирования: стр. 7 = гр. стр. 6 * гр. стр. 5. Необходимо согласовать единицы измерения всех показателей для того, чтобы выразить прирост экономии от снижения потребления ресурсов в тыс. руб.

5. В строке 9: гр. 5 = (1 + гр. 6) * (1 + гр. 7) * (1 + гр. 8) строки 8;

гр. 6 = (1 + гр. 7) * (1 + гр. 8) строки 8;

гр. 7 = (1 + гр. 8) строки 8.

6. Гр. стр. 10 = гр. стр. 7 * гр. стр. 9, кроме гр. 8

гр. 8 стр. 10 = гр. стр. 7.

7. Строка 11 заполняется только в графе 8.

Если предшествующий долгосрочный период регулирования составляет 3 года:

гр. 8 = (4/5 * гр. 8 + 3/5 * гр. 7 + 2/5 * гр. 6)|стр. 10

Если предшествующий долгосрочный период регулирования составляет более 3 лет:

гр. 8 = (4/5 * гр. 8 + 3/5 * гр. 7 + 2/5 * гр. 6 + 1/5 * гр. 5)|стр. 10

Приложение 5.8

РАЗМЕР ИНВЕСТИРОВАННОГО КАПИТАЛА НА НАЧАЛО ДОЛГОСРОЧНОГО ПЕРИОДА РЕГУЛИРОВАНИЯ ПРИ ПЕРВОМ ПРИМЕНЕНИИ МЕТОДА ОБЕСПЕЧЕНИЯ ДОХОДНОСТИ ИНВЕСТИРОВАННОГО КАПИТАЛА

1. Производственные объекты (основные средства), учитываемые при определении размера инвестированного капитала
Инвентарный N ОС Группа ОС Наименование объекта Дата введения в эксплуатацию, дд.мм.гггг. Остаточная стоимость на 01.01.2010, тыс. руб. Стоимость введенных в эксплуатацию с 01.01.2010 на дату введения в эксплуатацию, тыс. руб. Начисленная амортизация, тыс. руб. Остаточная стоимость выбывших из эксплуатации объектов с 01.01.2010, тыс. руб.
1 2 3 4 5 6 7 8
Итого:
2. Стоимость производственных объектов, учитываемая при определении размера инвестированного капитала
3. Источники финансирования создания производственных объектов
- плата за подключение к системе теплоснабжения
- доход, полученный регулируемой организацией за счет применения надбавок к тарифам
- величина средств, полученных безвозмездно из бюджетов бюджетной системы Российской Федерации и государственных корпораций на финансирование создания введенных в эксплуатацию производственных объектов (по данным бухгалтерского учета)
4. Размер инвестированного капитала при первом применении метода обеспечения доходности инвестированного капитала
5. Величина ежегодного возврата инвестиций, осуществленных до перехода к регулированию тарифов с использованием метода обеспечения доходности инвестированного капитала

Примечания:

1. В гр. 2 указывается название группы основных средств.

2. В гр. 3 указывается наименование производственного объекта, в состав которого входит ОС.

3. В гр. 5 указывается остаточная стоимость производственных объектов, принадлежащих регулируемой организации на праве собственности, определенная по данным бухгалтерского учета на 1 января 2010 г.

4. В гр. 6 указывается стоимость введенных в эксплуатацию производственных объектов в срок от 1 января 2010 г. до 31 декабря включительно года, предшествующего началу первого долгосрочного периода регулирования (по данным бухгалтерского учета, на дату введения указанных объектов в эксплуатацию без учета выплаченных процентов по займам и кредитам, полученным регулируемой организацией для финансирования строительства (реконструкции, модернизации) таких производственных объектов до их ввода в эксплуатацию), за исключением создания (реконструкции, модернизации) производственных объектов, поставка мощности которых предусмотрена договорами о предоставлении мощности.

5. В гр. 7 указывается амортизация, начисленная за период с 1 января 2010 г. до 31 декабря включительно года, предшествующего началу первого долгосрочного периода регулирования (по данным бухгалтерского учета).

6. В гр. 8 указывается остаточная стоимость производственных объектов, выбывших из эксплуатации за период с 1 января 2010 г. до 31 декабря включительно года, предшествующего началу первого долгосрочного периода регулирования (по данным бухгалтерского учета на дату выбытия).

7. Строка "Итого" заполняется в гр. 5 - 8.

8. Строка "Стоимость производственных объектов, учитываемая при определении размера инвестированного капитала регулируемой организации" заполняется в графе 8: гр. 8 = (гр. 5 + гр. 6 - гр. 7 - гр. 8) по строке "Итого".

9. Строка "Источники финансирования создания производственных объектов" заполняется по источникам финансирования создания производственных объектов, использованных регулируемой организацией за период с 1 января 2010 г. до 31 декабря включительно года, предшествующего началу первого долгосрочного периода регулирования.

10. Стр. 4 = стр. 2 - стр. 3.

11. Стр. 5 = стр. 4 / срок возврата инвестированного капитала.

Приложение 5.9

РАСЧЕТ НЕОБХОДИМОЙ ВАЛОВОЙ ВЫРУЧКИ МЕТОДОМ ИНДЕКСАЦИИ УСТАНОВЛЕННЫХ ТАРИФОВ

N п.п. Наименование расхода год i0 год i0 + 1 ... год i1
факт в году i0 по данным регулируемой организации прогноз на год i0 по данным регулируемой организации факт в году i0 + 1 по данным регулируемой организации прогноз на год i0 + 1 по данным регулируемой организации факт в году i1 по данным регулируемой организации прогноз на год i1 по данным регулируемой организации
1 2 3 4 5 6 ... ... n - 1 n
1. Операционные (подконтрольные) расходы
2. Неподконтрольные расходы
3. Расходы на приобретение (производство) энергетических ресурсов, холодной воды и теплоносителя
4. Прибыль
5. Результаты деятельности до перехода к регулированию цен (тарифов) на основе долгосрочных параметров регулирования
6. Корректировка с целью учета отклонения фактических значений параметров расчета тарифов от значений, учтенных при установлении тарифов
7. Корректировка с учетом надежности и качества реализуемых товаров (оказываемых услуг), подлежащая учету в НВВ
8. Корректировка НВВ в связи с изменением (неисполнением) инвестиционной программы
9. Корректировка, подлежащая учету в НВВ и учитывающая отклонение фактических показателей энергосбережения и повышения энергетической эффективности от установленных плановых (расчетных) показателей и отклонение сроков реализации программы в области энергосбережения и повышения энергетической эффективности от установленных сроков реализации такой программы
10. ИТОГО необходимая валовая выручка
11. Товарная выручка

Примечания:

1. Год i0 - первый год долгосрочного периода регулирования, год i1 - последний год долгосрочного периода регулирования.

2. Графы 3, 5, ..., n - 1 строк 1 и 3 заполняются на основе фактических значений параметров расчета тарифов взамен прогнозных.

3. Строка 5 заполняется только для первого долгосрочного периода регулирования.

4. Графы 4, 6, ..., n строки 10 заполняются как сумма соответствующих граф строк с 1 по 9.

5. Графы 3, 5, ..., n - 1 строки 10 заполняются как сумма соответствующих граф строк с 1 по 5.

6. В строке 6:

гр. 7 = гр. 3 стр. 10 - гр. 3 стр. 11 + гр. 3 стр. 6;

гр. 9 = гр. 5 стр. 10 - гр. 5 стр. 11 + гр. 5 стр. 6 и т.д.;

гр. 3 и 5 заполняются аналогично по данным таблицы предыдущего долгосрочного периода регулирования.

7. Строка 11 заполняется только в графах 3, 5, ..., n - 1.

8. К таблице прилагаются дополнительные материалы, содержащие обоснованный расчет по строкам 7, 8, 9, 11.

Приложение 5.10

РАСЧЕТ НЕОБХОДИМОЙ ВАЛОВОЙ ВЫРУЧКИ МЕТОДОМ ОБЕСПЕЧЕНИЯ ДОХОДНОСТИ ИНВЕСТИРОВАННОГО КАПИТАЛА

N п.п. Наименование расхода год i0 год i0 + 1 ... год i1
факт в году i0 по данным регулируемой организации прогноз на год i0 по данным регулируемой организации факт в году i0 + 1 по данным регулируемой организации прогноз на год i0 + 1 по данным регулируемой организации факт в году i1 по данным регулируемой организации прогноз на год i1 по данным регулируемой организации
1 2 3 4 5 6 ... ... n - 1 n
1. Операционные (подконтрольные) расходы
2. Неподконтрольные расходы
3. Расходы на приобретение (производство) энергетических ресурсов, холодной воды и теплоносителя
4. Возврат инвестированного капитала
5. Доход на инвестированный капитал
5.1 размер инвестированного капитала при переходе к регулированию тарифов с использованием метода обеспечения доходности инвестированного капитала (остаточная величина)
5.2 база инвестированного капитала на начало года (остаточная величина)
5.3 нормативная величина чистого оборотного капитала
5.4 норма доходности, установленная для капитала, созданного до перехода к регулированию тарифов с использованием метода обеспечения доходности
5.5 норма доходности
6. Результаты деятельности до перехода к регулированию цен (тарифов) на основе долгосрочных параметров регулирования
7. Корректировка с целью учета отклонения фактических значений параметров расчета тарифов от значений, учтенных при установлении тарифов
8. Корректировка с учетом надежности и качества реализуемых товаров (оказываемых услуг), подлежащая учету в НВВ
9. Корректировка, подлежащая учету в НВВ и учитывающая отклонение фактических показателей энергосбережения и повышения энергетической эффективности от установленных плановых (расчетных) показателей и отклонение сроков реализации программы в области энергосбережения и повышения энергетической эффективности от установленных сроков реализации такой программы
10. ИТОГО необходимая валовая выручка
11. Товарная выручка

Примечания:

1. Год i0 - первый год долгосрочного периода регулирования, год i1 - последний год долгосрочного периода регулирования.

2. Графы 3, 5, ..., n - 1 строк 1 и 3 заполняются на основе фактических значений параметров расчета тарифов взамен прогнозных.

3. Строки 4, 5.2 заполняются в соответствии с системой отчетности, представляемой в федеральный орган исполнительной власти в области государственного регулирования тарифов в сфере теплоснабжения, а также органы исполнительной власти субъектов Российской Федерации в области регулирования цен (тарифов) и органы местного самоуправления поселений и городских округов.

4. Строка 5 заполняется в соответствии с пунктом 70 настоящих Методических указаний.

5. Строка 5.1 при первом применении метода обеспечения доходности инвестированного капитала заполняется в соответствии с приложением 5.6 к настоящим Методическим указаниям, в дальнейшем - в соответствии с системой отчетности, представляемой в федеральный орган исполнительной власти в области государственного регулирования тарифов в сфере теплоснабжения, а также органы исполнительной власти субъектов Российской Федерации в области регулирования цен (тарифов) и органы местного самоуправления поселений и городских округов.

6. Строка 6 заполняется только для первого долгосрочного периода регулирования.

7. Строка 10 заполняется как сумма соответствующих граф строк с 1 по 9.

8. В строке 7:

гр. 7 = гр. 3 стр. 10 - гр. 3 стр. 11 + гр. 3 стр. 7;

гр. 9 = гр. 5 стр. 10 - гр. 5 стр. 11 + гр. 5 стр. 7 и т.д.;

гр. 3 и 5 заполняются аналогично по данным таблицы предыдущего долгосрочного периода регулирования.

9. Строка 11 заполняется только в графах 3, 5, ..., n - 1.

10. К таблице прилагаются дополнительные материалы, содержащие обоснованный расчет по строкам 8, 9, 11.

Приложение 6
к Методическим указаниям,
утвержденным приказом ФСТ России
от 13 июня 2013 г. N 760-э

РАСЧЕТ РЕГУЛИРУЕМЫХ ЦЕН (ТАРИФОВ) НА ТОВАРЫ И УСЛУГИ В СФЕРЕ ТЕПЛОСНАБЖЕНИЯ

Приложение 6.1

РАСЧЕТ ТАРИФОВ НА ТЕПЛОВУЮ ЭНЕРГИЮ (МОЩНОСТЬ), ОТПУСКАЕМУЮ ОТ ИСТОЧНИКА (ИСТОЧНИКОВ) ТЕПЛОВОЙ ЭНЕРГИИ

N п/п Источник тепловой энергии Необходимая валовая выручка, тыс. руб. Объем отпуска тепловой энергии от источника тепловой энергии, тыс. Гкал в т.ч. по нерегулируемым долгосрочным договорам, тыс. Гкал Суммарная договорная (заявленная) тепловая нагрузка потребителей тепловой энергии, Гкал/ч в т.ч. по нерегулируемым долгосрочным договорам, Гкал/ч Расходы на топливо, тыс. руб. Одноставочный тариф, руб./ Гкал Ставка за тепловую энергию двухставочного тарифа, руб./ Гкал Ставка за содержание тепловой мощности двухставочного тарифа, тыс. руб./Гкал/ч в мес.
1 2 3 4 5 6 7 8 9 10 11
Базовый период
1 Источник тепловой энергии 1
- вода
- отборный пар от 1,2 до 2,5 кгс/см2
- отборный пар от 2,5 до 7,0 кгс/см2
- отборный пар от 7,0 до 13,0 кгс/см2
- отборный пар свыше 13,0 кгс/см2
- острый и редуцированный пар
...
n Источник тепловой энергии n
...
n + 1 Расчет тарифа на тепловую энергию (мощность), отпускаемую от источников тепловой энергии, расположенных в пределах одной системы теплоснабжения
- вода
- отборный пар от 1,2 до 2,5 кгс/см2
- отборный пар от 2,5 до 7,0 кгс/см2
- отборный пар от 7,0 до 13,0 кгс/см2
- отборный пар свыше 13,0 кгс/см2
- острый и редуцированный пар
Период регулирования
1 ...

Примечания:

1. Таблица заполняется по системам теплоснабжения, по виду и параметрам теплоносителя, если при установлении цен (тарифов) применяется такая дифференциация.

2. Строки 1, ..., n заполняются в случае расчета тарифов без дифференциации по видам теплоносителя:

для источника тепловой энергии 1: гр. 9 = гр. 3 стр. 1 / гр. 4 стр. 1;

для источника тепловой энергии n: гр. 9 = гр. 3 стр. n / гр. 4 стр. n.

3. При дифференциации по видам теплоносителя:

для источника тепловой энергии 1: гр. 9 = гр. 8 / гр. 4 + (гр. 3 стр. 1 - гр. 8 стр. 1) / гр. 4 стр. 1;

для источника тепловой энергии n: гр. 9 = гр. 8 / гр. 4 + (гр. 3 стр. n - гр. 8 стр. n) / гр. 4 стр. n.

4. Гр. 10 = гр. 8 / гр. 4.

5. Гр. 11 заполняется только в строках 1, ..., n. Гр. 11 = (гр. 3 - гр. 8) / (гр. 6 * М), где М = 12.

6. Строка n + 1 заполняется в случае расчета одноставочных или двуставочных тарифов для источников тепловой энергии, расположенных в пределах одной системы теплоснабжения и принадлежащих одной регулируемой организации на праве собственности или на ином законном основании. При этом тарифы рассчитываются как средневзвешенные значения по источникам тепловой энергии 1, ..., n в соответствии с главой IX.I настоящих Методических указаний.

7. В случае наличия нерегулируемых долгосрочных договоров, заключенных в отношении источника тепловой энергии в соответствии с главой IX.VIII настоящих Методических указаний:

для источника тепловой энергии 1: гр. 10 = гр. 8 / гр. 4; гр. 11 = (гр. 3 стр. 1 - гр. 8 стр. 1) / ((гр. 6 стр. 1 - гр. 7 стр. 1) * М), где М = 12; гр. 9 = гр. 10 + (гр. 3 стр. 1 - гр. 8 стр. 1) / (гр. 4 стр. 1 - гр. 5 стр. 1);

для источника тепловой энергии n: гр. 10 = гр. 8 / гр. 4; гр. 11 = (гр. 3 стр. n - гр. 8 стр. n) / (гр. 6 стр. n - гр. 7 стр. n) * М, где М = 12; гр. 9 = гр. 10 + (гр. 3 стр. n - гр. 8 стр. n) / (гр. 4 стр. n - гр. 5 стр. n).

Приложение 6.2

РАСЧЕТ ТАРИФОВ НА УСЛУГИ ПО ПЕРЕДАЧЕ ТЕПЛОВОЙ ЭНЕРГИИ, ТЕПЛОНОСИТЕЛЯ

N п/п Показатели Единицы измерения Водяные тепловые сети Паровые тепловые сети
базовый период период регулирования базовый период период регулирования
1 2 3 4 5 6 7
1 Необходимая валовая выручка, отнесенная на передачу тепловой энергии, в т.ч.: тыс. руб.
1.1 экономически обоснованные расходы на содержание эксплуатируемых регулируемой организацией тепловых пунктов, тепловых сетей, расположенных после тепловых пунктов, и на оплату потерь в указанных сетях тыс. руб.
2 Объем отпуска тепловой энергии в виде пара или воды из тепловых сетей регулируемой организации тыс. Гкал
2.1 в т.ч. объем отпуска тепловой энергии в виде пара или воды из тепловых сетей регулируемой организации потребителям, теплопотребляющие установки которых подключены после тепловых пунктов (на тепловых пунктах), эксплуатируемых регулируемой организацией тыс. Гкал
3 Суммарная договорная (заявленная) тепловая нагрузка потребителей Гкал/ч
3.1 в т.ч. суммарная договорная (заявленная) тепловая нагрузка потребителей, теплопотребляющие установки которых подключены после тепловых пунктов (на тепловых пунктах), эксплуатируемых регулируемой организацией Гкал/ч
4 При отсутствии дифференциации тарифов по схеме подключения теплопотребляющих установок потребителей тепловой энергии к системе теплоснабжения:
4.1 Одноставочный тариф на услуги по передаче тепловой энергии руб./Гкал
4.2 Двухставочный тариф на услуги по передаче тепловой энергии:
- ставка за тепловую энергию руб./Гкал
- ставка за содержание тепловой мощности тыс. руб./ Гкал/ч в мес.
5 При дифференциации тарифов по схеме подключения теплопотребляющих установок потребителей тепловой энергии к системе теплоснабжения:
5.1 При подключении к тепловой сети без дополнительного преобразования на тепловых пунктах, эксплуатируемых регулируемой организацией:
5.1.1 Одноставочный тариф на услуги по передаче тепловой энергии руб./Гкал
5.1.2 Двухставочный тариф на услуги по передаче тепловой энергии:
- ставка за тепловую энергию руб./Гкал
- ставка за содержание тепловой мощности тыс. руб./ Гкал/ч в мес.
5.2 При подключении к тепловой сети после тепловых пунктов (на тепловых пунктах), эксплуатируемых регулируемой организацией:
5.2.1 Одноставочный тариф на услуги по передаче тепловой энергии руб./Гкал
5.2.2 Двухставочный тариф на услуги по передаче тепловой энергии:
- ставка за тепловую энергию руб./Гкал
- ставка за содержание тепловой мощности тыс. руб./ Гкал/ч в мес.

Примечания:

1. Таблица заполняется по системам теплоснабжения, по схемам подключения теплопотребляющих установок потребителей тепловой энергии к системе теплоснабжения, если при установлении цен (тарифов) применяется такая дифференциация.

2. Строки 2, 2.1, 3, 3.1 заполняются с учетом мощности, поддерживаемой для отдельных категорий (групп) социально значимых потребителей, приобретающих услуги по поддержанию резервной тепловой мощности.

3. Стр. 4.1 = стр. 1 / стр. 2.

4. Ставка за содержание тепловой мощности в стр. 4.2 = стр. 1 / стр. 3 / М, где М = 12.

5. Стр. 5.1.1 = (стр. 1 - стр. 1.1) / стр. 2.

6. Ставка за содержание тепловой мощности в стр. 5.1.2 = (стр. 1 - стр. 1.1) / стр. 3 / М, где М = 12.

7. Стр. 5.2.1 = (стр. 1 - стр. 1.1) / стр. 2 + стр. 1.1 / стр. 2.1.

8. Ставка за содержание тепловой мощности в стр. 5.2.2 = (стр. 1 - стр. 1.1) / стр. 3 / М + стр. 1.1 / стр. 3.1 / М, где М = 12.

Приложение 6.3

РАСЧЕТ СРЕДНЕВЗВЕШЕННОЙ СТОИМОСТИ ПРОИЗВОДИМОЙ И (ИЛИ) ПРИОБРЕТАЕМОЙ ЕДИНИЦЫ ТЕПЛОВОЙ ЭНЕРГИИ (МОЩНОСТИ) И ТАРИФОВ НА ТЕПЛОВУЮ ЭНЕРГИЮ (МОЩНОСТЬ), ПОСТАВЛЯЕМУЮ ТЕПЛОСНАБЖАЮЩИМ (ТЕПЛОСЕТЕВЫМ) ОРГАНИЗАЦИЯМ С ЦЕЛЬЮ КОМПЕНСАЦИИ ПОТЕРЬ ТЕПЛОВОЙ ЭНЕРГИИ

N п/п Показатели Базовый период Период регулирования
Объем отпуска тепловой энергии от источника тепловой энергии, тыс. Гкал Суммарная договорная (заявленная) тепловая нагрузка потребителей, Гкал/ч Одноставочный тариф, руб./ Гкал Ставка за тепловую энергию двухставочного тарифа, руб./ Гкал Ставка за содержание тепловой мощности двухставочного тарифа, тыс. руб./ Гкал/ч в мес. Объем отпуска тепловой энергии от источника тепловой энергии, тыс. Гкал Суммарная договорная (заявленная) тепловая нагрузка потребителей, Гкал/ч Одноставочный тариф, руб./ Гкал Ставка за тепловую энергию двухставочного тарифа, руб./ Гкал Ставка за содержание тепловой мощности двухставочного тарифа, тыс. руб./ Гкал/ч в мес.
1 2 3 4 5 6 7 8 9 10 11 12
1 Источник тепловой энергии 1
1.1 - вода
1.2 - отборный пар от 1,2 до 2,5 кгс/см2
1.3 - отборный пар от 2,5 до 7,0 кгс/см2
1.4 - отборный пар от 7,0 до 13,0 кгс/см2
1.5 - отборный пар свыше 13,0 кгс/см2
1.6 - острый и редуцированный пар
...
n Источник тепловой энергии n
...
n + 1 Средневзвешенная стоимость производимой и (или) приобретаемой единицы тепловой энергии (мощности):
- вода
- отборный пар от 1,2 до 2,5 кгс/см2
- отборный пар от 2,5 до 7,0 кгс/см2
- отборный пар от 7,0 до 13,0 кгс/см2
- отборный пар свыше 13,0 кгс/см2
- острый и редуцированный пар
n + 2 Тариф на тепловую энергию (мощность), поставляемую теплоснабжающим (теплосетевым) организациям с целью компенсации потерь:
- вода
- пар
n + 3 ...

Примечания:

1. Таблица заполняется по системам теплоснабжения, по виду и параметрам теплоносителя, если при установлении цен (тарифов) применяется такая дифференциация.

2. Расчет тарифов на тепловую энергию (мощность), поставляемую теплоснабжающим (теплосетевым) организациям с целью компенсации потерь тепловой энергии, производится по всем источникам тепловой энергии, в отношении которых теплоснабжающая (теплосетевая) организация приобретает тепловую энергию (мощность) с целью компенсации потерь в тепловых сетях.

3. Графы 4 и 9 заполняются с учетом мощности, поддерживаемой для отдельных категорий (групп) социально значимых потребителей, приобретающих услуги по поддержанию резервной тепловой мощности.

4. Графы 3, 4, 8 и 9 заполняются без учета договорного объема по долгосрочным договорам теплоснабжения, нерегулируемым долгосрочным договорам теплоснабжения, заключаемым в отношении источников тепловой энергии.

5. Строки 1, ..., n заполняются в случае расчета тарифов без дифференциации по видам теплоносителя.

6. Средневзвешенная стоимость производимой и (или) приобретаемой единицы тепловой энергии (мощности) (стр. n + 1):

гр. 5 = (гр. 3 * гр. 5 + ...) / (гр. 3 + ...) по всем источникам, по соответствующим видам теплоносителя;

гр. 6 = (гр. 3 * гр. 6 + ...) / (гр. 3 + ...) по всем источникам, по соответствующим видам теплоносителя;

гр. 7 = (гр. 4 * гр. 7 + ...) / (гр. 4 + ...) по всем источникам;

гр. 10 = (гр. 8 * гр. 10 + ...) / (гр. 8 + ...) по всем источникам, по соответствующим видам теплоносителя;

гр. 11 = (гр. 8 * гр. 11 + ...) / (гр. 8 + ...) по всем источникам, по соответствующим видам теплоносителя;

гр. 12 = (гр. 9 * гр. 12 + ...) / (гр. 9 + ...) по всем источникам.

7. Тариф на тепловую энергию (мощность), поставляемую теплоснабжающим (теплосетевым) организациям с целью компенсации потерь тепловой энергии (стр. n + 2) в виде воды, принимается равным средневзвешенной стоимости производимой и (или) приобретаемой единицы тепловой энергии (мощности) (стр. n + 1); тариф на тепловую энергию (мощность), поставляемую теплоснабжающим организациям с целью компенсации потерь тепловой энергии (стр. n + 2) в виде пара, рассчитывается как средневзвешенная стоимость производимой и (или) приобретаемой единицы тепловой энергии (мощности) по параметрам пара (стр. n + 1).

Приложение 6.4

РАСЧЕТ ТАРИФОВ НА ТЕПЛОВУЮ ЭНЕРГИЮ (МОЩНОСТЬ), ПОСТАВЛЯЕМУЮ ПОТРЕБИТЕЛЯМ

N п/п Показатели Базовый период Период регулирования
Расчет одноставочного тарифа на тепловую энергию (мощность), руб./Гкал Расчет ставки за тепловую энергию двухставочного тарифа на тепловую энергию (мощность), руб./Гкал Расчет ставки за содержание тепловой мощности двухставочного тарифа на тепловую энергию (мощность), тыс. руб./ Гкал/ч в мес. Расчет одноставочного тарифа на тепловую энергию (мощность), руб./Гкал Расчет ставки за тепловую энергию двухставочного тарифа на тепловую энергию (мощность), руб./Гкал Расчет ставки за содержание тепловой мощности двухставочного тарифа на тепловую энергию (мощность), тыс. руб./ Гкал/ч в мес.
1 2 3 4 5 6 7 8
1 Средневзвешенная стоимость производимой и (или) приобретаемой единицы тепловой энергии (мощности):            
1.1 Без дифференциации по виду теплоносителя            
1.2 С дифференциацией по виду теплоносителя:            
  - вода            
  - отборный пар от 1,2 до 2,5 кгс/см2            
  - отборный пар от 2,5 до 7,0 кгс/см2            
  - отборный пар от 7,0 до 13,0 кгс/см2            
  - отборный пар свыше 13,0 кгс/см2            
  - острый и редуцированный пар            
2 Средневзвешенная стоимость оказываемых и (или) приобретаемых услуг по передаче единицы тепловой энергии:            
2.1 Без дифференциации по схеме подключения теплопотребляющих установок потребителей:            
2.1.1 - вода            
2.1.2 - пар            
2.2 С дифференциацией по схеме подключения теплопотребляющих установок потребителей:            
2.2.1 При подключении к тепловой сети без дополнительного преобразования на тепловых пунктах, эксплуатируемых регулируемыми организациями:            
  - вода            
  - пар            
2.2.2 При подключении к тепловой сети после тепловых пунктов (на тепловых пунктах), эксплуатируемых регулируемыми организациями:            
  - вода            
  - пар            
3 Тарифы на тепловую энергию (мощность), поставляемую потребителям:            
3.1 Без дифференциации по схеме подключения теплопотребляющих установок потребителей:            
3.1.1 Без дифференциации по виду теплоносителя            
3.1.2 С дифференциацией по виду теплоносителя:            
  - вода            
  - отборный пар от 1,2 до 2,5 кгс/см2            
  - отборный пар от 2,5 до 7,0 кгс/см2            
  - отборный пар от 7,0 до 13,0 кгс/см2            
  - отборный пар свыше 13,0 кгс/см            
  - острый и редуцированный пар            
3.2 С дифференциацией по схеме подключения теплопотребляющих установок потребителей:            
3.2.1 При подключении к тепловой сети без дополнительного преобразования на тепловых пунктах, эксплуатируемых регулируемыми организациями:            
  Без дифференциации по виду теплоносителя            
  С дифференциацией по виду теплоносителя:            
  - вода            
  - отборный пар от 1,2 до 2,5 кгс/см2            
  - отборный пар от 2,5 до 7,0 кгс/см2            
  - отборный пар от 7,0 до 13,0 кгс/см2            
  - отборный пар свыше 13,0 кгс/см2            
  - острый и редуцированный пар            
3.2.2 При подключении к тепловой сети после тепловых пунктов (на тепловых пунктах), эксплуатируемых регулируемыми организациями:            
  Без дифференциации по виду теплоносителя            
  С дифференциацией по виду теплоносителя:            
  - вода            
  - отборный пар от 1,2 до 2,5 кгс/см2            
  - отборный пар от 2,5 до 7,0 кгс/см2            
  - отборный пар от 7,0 до 13,0 кгс/см2            
  - отборный пар свыше 13,0 кгс/см2            
  - острый и редуцированный пар            

Примечания:

1. Таблица заполняется по системам теплоснабжения, по виду и параметрам теплоносителя, по схемам подключения теплопотребляющих установок потребителей тепловой энергии к системе теплоснабжения, если при установлении цен (тарифов) применяется такая дифференциация.

2. Расчет средневзвешенной стоимости производимой и (или) приобретаемой единицы тепловой энергии (мощности) производится в соответствии с приложением 6.3 к настоящим Методическим указаниям.

3. Расчет средневзвешенной стоимости оказываемых и (или) приобретаемых услуг по передаче единицы тепловой энергии производится в соответствии с приложением 6.5 к настоящим Методическим указаниям.

4. Тарифы на тепловую энергию (мощность), поставляемую потребителям, рассчитываются как сумма соответствующих составляющих: средневзвешенной стоимости производимой и (или) приобретаемой единицы тепловой энергии (мощности) и средневзвешенной стоимости услуг по передаче тепловой энергии.

Приложение 6.5

РАСЧЕТ СРЕДНЕВЗВЕШЕННОЙ СТОИМОСТИ ОКАЗЫВАЕМЫХ И (ИЛИ) ПРИОБРЕТАЕМЫХ УСЛУГ ПО ПЕРЕДАЧЕ ЕДИНИЦЫ ТЕПЛОВОЙ ЭНЕРГИИ

N п/п Показатели Базовый период Период регулирования
Объем отпуска тепловой энергии из тепловой сети, тыс. Гкал Суммарная договорная (заявленная) тепловая нагрузка потребителей, Гкал/ч Одноставочный тариф, руб./Гкал Ставка за содержание тепловой мощности двухставочного тарифа, тыс. руб./ Гкал/ч в мес. Объем отпуска тепловой энергии из тепловой сети, тыс. Гкал Суммарная договорная (заявленная) тепловая нагрузка потребителей, Гкал/ч Одноставочный тариф, руб./Гкал Ставка за содержание тепловой мощности двухставочного тарифа, тыс. руб./ Гкал/ч в мес.
1 2 3 4 5 6 7 8 9 10
1 Регулируемая организация 1                
1.1 Без дифференциации по схеме подключения теплопотребляющих установок потребителей:                
1.1.1 - вода                
1.1.2 - пар                
1.2 С дифференциацией по схеме подключения теплопотребляющих установок потребителей:                
1.2.1 При подключении к тепловой сети без дополнительного преобразования на тепловых пунктах, эксплуатируемых регулируемой организацией:                
  - вода                
  - пар                
1.2.2 При подключении к тепловой сети после тепловых пунктов (на тепловых пунктах), эксплуатируемых регулируемой организацией                
  - вода                
  - пар                
  ...                
n Регулируемая организация n                
  ...                
n + 1 Средневзвешенная стоимость оказываемых и (или) приобретаемых услуг по передаче единицы тепловой энергии                
n + 1.1 Без дифференциации по схеме подключения теплопотребляющих установок потребителей:                
n + 1.1.1 - вода                
n + 1.1.2 - пар                
n + 1.2 С дифференциацией по схеме подключения теплопотребляющих установок потребителей:                
n + 1.2.1 При подключении к тепловой сети без дополнительного преобразования на тепловых пунктах, эксплуатируемых регулируемыми организациями:                
  - вода                
  - пар                
n + 1.2.2 При подключении к тепловой сети после тепловых пунктов (на тепловых пунктах), эксплуатируемых регулируемыми организациями:                
  - вода                
  - пар                

Примечания:

1. Таблица заполняется по системам теплоснабжения, по схемам подключения теплопотребляющих установок потребителей тепловой энергии к системе теплоснабжения, если при установлении цен (тарифов) применяется такая дифференциация.

2. Расчет средневзвешенной стоимости оказываемых и (или) приобретаемых услуг по передаче единицы тепловой энергии для потребителей производится по данным регулируемых организаций, тепловые сети которых используются для теплоснабжения данных потребителей.

3. Графы 3, 4, 7, 8 заполняются без учета договорного объема тепловой энергии, тепловой нагрузки по долгосрочным договорам теплоснабжения, нерегулируемым долгосрочным договорам теплоснабжения, заключаемым в отношении источников тепловой энергии.

4. Строки 1,..., n заполняются в случае расчета тарифов без дифференциации по виду теплоносителя.

5. Средневзвешенная стоимость оказываемых и (или) приобретаемых услуг по передаче единицы тепловой энергии:

гр. 5 = (гр. 3 * гр. 5 + ...) / (гр. 3 + ...) по всем регулируемым организациям, по видам теплоносителя (вода или пар), соответственно;

гр. 6 = (гр. 4 * гр. 6 + ...) / (гр. 4 + ...) по всем регулируемым организациям;

гр. 9 = (гр. 7 * гр. 9 + ...) / (гр. 7 + ...) по всем регулируемым организациям, по видам теплоносителя (вода или пар), соответственно;

гр. 10 = (гр. 8 * гр. 10 + ...) / (гр. 8 + ...) по всем регулируемым организациям.

Приложение 6.6

РАСЧЕТ ТАРИФА НА ТЕПЛОНОСИТЕЛЬ, ПОСТАВЛЯЕМЫЙ ТЕПЛОСНАБЖАЮЩЕЙ ОРГАНИЗАЦИЕЙ, ВЛАДЕЮЩЕЙ ИСТОЧНИКОМ (ИСТОЧНИКАМИ) ТЕПЛОВОЙ ЭНЕРГИИ, НА КОТОРОМ ПРОИЗВОДИТСЯ ТЕПЛОНОСИТЕЛЬ

N п/п Показатели Единицы измерения Базовый период Период регулирования
1 2 3 4 5
1 Расходы на производство воды, вырабатываемой на водоподготовительных установках источника тепловой энергии, в том числе: тыс. руб.
1.1 Стоимость исходной воды тыс. руб.
1.2 Стоимость реагентов, а также фильтрующих и ионообменных материалов, используемых при водоподготовке тыс. руб.
1.3 Стоимость инструментов, приспособлений, инвентаря, приборов, лабораторного оборудования и другого имущества, не являющихся амортизируемым имуществом, используемых при водоподготовке тыс. руб.
1.4 Расходы на электрическую энергию (мощность) и тепловую энергию (мощность), используемую при водоподготовке тыс. руб.
1.5 Стоимость транспортировки и очистки сточных вод, возникающих в процессе водоподготовки тыс. руб.
1.6 Расходы на оплату труда персонала, участвующего в процессе водоподготовки тыс. руб.
1.7 Амортизация основных фондов, участвующих в процессе водоподготовки тыс. руб.
1.8 Прочие расходы, относимые на процесс водоподготовки, в том числе: тыс. руб.
1.8.1 Расходы на ремонт основных фондов тыс. руб.
1.8.2 Водный налог (плата за пользование водными объектами) тыс. руб.
1.8.3 Общехозяйственные расходы тыс. руб.
2 Объем воды, вырабатываемой на водоподготовительных установках источника тепловой энергии тыс. куб. м
3 Расходы на приобретение химически очищенной воды у других организаций тыс. руб.
4 Объем приобретения химически очищенной воды у других организаций тыс. куб. м
5 Расходы на мероприятия, необходимые для доведения воды до установленных законодательством Российской Федерации параметров качества теплоносителя тыс. руб.
6. Необходимая валовая выручка, относимая на производство теплоносителя тыс. руб.
7 Стоимость 1 куб. м воды, вырабатываемой на водоподготовительных установках источника тепловой энергии и (или) приобретаемой у других организаций руб./куб. м
8 Тариф на теплоноситель, поставляемый теплоснабжающей организацией, владеющей источником (источниками) тепловой энергии, на котором производится теплоноситель руб./куб. м

Примечания:

1. Таблица заполняется в отношении каждого источника тепловой энергии, которым владеет теплоснабжающая организация, по видам теплоносителя, если при установлении цен (тарифов) применяется такая дифференциация.

2. Стр. 6 = (стр. 1 + стр. 3 + стр. 5).

3. Стр. 7 = Стр. 6 / (стр. 2 + стр. 4).

4. Стр. 8 = стр. 7.

Приложение 6.7

РАСЧЕТ ТАРИФА НА ТЕПЛОНОСИТЕЛЬ, ПОСТАВЛЯЕМЫЙ ПОТРЕБИТЕЛЯМ

N п/п Показатели Единицы измерения Базовый период Период регулирования
1 2 3 4 5
1 Источник тепловой энергии 1, на котором производится теплоноситель
1.1 Тариф на теплоноситель руб./куб. м
1.2 Объем выработки и потребления (невозврата) теплоносителя, производимого на источнике тепловой энергии 1 тыс.куб. м
....
n Источник тепловой энергии n, на котором производится теплоноситель n
n.1 Тариф на теплоноситель руб./куб. м
n.2 Объем выработки и потребления (невозврата) теплоносителя, производимого на источнике тепловой энергии n тыс.куб. м
...
3 Суммарный объем выработки и потребления (невозврата) теплоносителя, поставляемого потребителям тыс.куб. м
4 Тариф на теплоноситель, поставляемый потребителям руб./куб. м

Примечания:

1. Таблица заполняется по источникам тепловой энергии, участвующим в обеспечении потребления (невозврата) теплоносителя потребителями, включая источники тепловой энергии, принадлежащие теплоснабжающей организации, и источники тепловой энергии, принадлежащие другим теплоснабжающим организациям, у которых приобретается теплоноситель, по видам и параметрам теплоносителя, если при установлении цен (тарифов) применяется такая дифференциация.

2. Стр. 3 = стр. 1.2 + ... + стр. n.2.

3. Стр. 4 = (стр. 1.1 * стр. 1.2 + ... + стр. n.1 * стр. n.2) / стр. 3.

Приложение 6.8

РАСЧЕТ ТАРИФА НА ГОРЯЧУЮ ВОДУ В ОТКРЫТЫХ СИСТЕМАХ ТЕПЛОСНАБЖЕНИЯ ДЛЯ ТЕПЛОСНАБЖАЮЩЕЙ ОРГАНИЗАЦИИ, ПОСТАВЛЯЮЩЕЙ ГОРЯЧУЮ ВОДУ С ИСПОЛЬЗОВАНИЕМ ОТКРЫТОЙ СИСТЕМЫ ТЕПЛОСНАБЖЕНИЯ (ГОРЯЧЕГО ВОДОСНАБЖЕНИЯ)

N п/п Показатели Единицы измерения Базовый период Период регулирования
1 2 3 4 5
I. Компонент на теплоноситель руб./куб. м
1.1 Тариф на теплоноситель, приготовленный источником тепловой энергии 1 руб./куб. м
1.2 Объем выработки и потребления (невозврата) теплоносителя, приготовленный источником тепловой энергии 1 тыс. куб. м
...
1.n Тариф на теплоноситель, приготовленный источником тепловой энергии n руб./куб. м
1.n + 1 Объем выработки и потребления (невозврата) теплоносителя, приготовленный источником тепловой энергии n тыс. куб. м
II. Компонент на тепловую энергию
1 Одноставочный компонент на тепловую энергию руб./Гкал
2 Двухставочный компонент на тепловую энергию:
- ставка за тепловую энергию руб./Гкал
- ставка за содержание тепловой мощности руб./Гкал/ч в мес.

Примечания:

1. Таблица заполняется по источникам тепловой энергии, на которых производится теплоноситель, участвующий в поставках горячей воды в открытой системе теплоснабжения, включая источники тепловой энергии, принадлежащие теплоснабжающей организации, и источники тепловой энергии, принадлежащие другим теплоснабжающим организациям, у которых приобретается теплоноситель, по видам теплоносителя, если при установлении цен (тарифов) применяется такая дифференциация.

2. Стр. I = (стр. 1.1 * стр. 1.2 + ... + стр. n.1 * стр. n.2) / (стр. 1.2 + ... + стр. n.2).

Приложение 7
к Методическим указаниям,
утвержденным приказом ФСТ России
от 13 июня 2013 г. N 760-э

РАСЧЕТ ПЛАТЫ ЗА ПОДКЛЮЧЕНИЕ К СИСТЕМЕ ТЕПЛОСНАБЖЕНИЯ

Приложение 7.1

РАСЧЕТ РАСХОДОВ НА ПРОВЕДЕНИЕ МЕРОПРИЯТИЙ ПО ПОДКЛЮЧЕНИЮ ОБЪЕКТОВ ЗАЯВИТЕЛЕЙ

N п/п Показатели Единица измерения Базовый период Период регулирования
1 2 3 4 5
1 Расходы на проведение мероприятий по подключению объектов заявителей, всего: тыс. руб.
1.1 расходы на сырье и материалы тыс. руб.
1.2 расходы на прочие покупаемые энергетические ресурсы тыс. руб.
1.3 оплата труда тыс. руб.
1.4 отчисления на социальные нужды тыс. руб.
1.4 прочие расходы, в том числе: тыс. руб.
1.4.1 расходы на выполнение работ и услуг производственного характера, выполняемых по договорам со сторонними организациями или индивидуальными предпринимателями тыс. руб.
1.4.2 расходы на оплату иных работ и услуг, выполняемых по договорам с организациями, включая расходы на оплату услуг связи, вневедомственной охраны, коммунальных услуг, юридических, информационных, аудиторских и консультационных услуг тыс. руб.
1.4.3 арендная плата, концессионная плата, лизинговые платежи тыс. руб.
1.4.4 расходы на служебные командировки тыс. руб.
1.4.5 расходы на обучение персонала тыс. руб.
1.4.6 другие расходы, связанные с производством и (или) реализацией продукции тыс. руб.
1.5 Внереализационные расходы, всего тыс. руб.
1.5.1 расходы на услуги банков тыс. руб.
1.5.2 расходы на обслуживание заемных средств тыс. руб.
1.5.3 прочие обоснованные расходы тыс. руб.
1.6 Расходы, не учитываемые в целях налогообложения, всего тыс. руб.
1.6.1 - денежные выплаты социального характера (по Коллективному договору) тыс. руб.
1.6.2 - прочие расходы тыс. руб.
2 Выпадающие доходы/экономия средств тыс. руб.
3 Суммарная подключаемая тепловая нагрузка объектов заявителей Гкал/ч
4 Расходы на проведение мероприятий по подключению объектов заявителей (П1 тыс. руб./Гкал/ч

Примечания:

1. Таблица заполняется на основании принципов и с использованием данных раздельного учета, осуществляемого в соответствии с законодательством Российской Федерации в сфере теплоснабжения и учетной политикой регулируемой организации, в отношении регулируемого вида деятельности - подключение к системе теплоснабжения.

2. Стр. 4 = (стр. 1 + стр. 2) / стр. 3.

3. Величина выпадающих доходов/экономии средств определяется только в части проведения мероприятий по подключению объектов заявителей, расходы на которые определяются в соответствии с настоящим приложением.

Приложение 7.2

РАСЧЕТ РАСХОДОВ НА СОЗДАНИЕ (РЕКОНСТРУКЦИЮ) ТЕПЛОВЫХ СЕТЕЙ (ЗА ИСКЛЮЧЕНИЕМ СОЗДАНИЯ (РЕКОНСТРУКЦИИ) ТЕПЛОВЫХ ПУНКТОВ) ОТ СУЩЕСТВУЮЩИХ ТЕПЛОВЫХ СЕТЕЙ ИЛИ ИСТОЧНИКОВ ТЕПЛОВОЙ ЭНЕРГИИ ДО ТОЧЕК ПОДКЛЮЧЕНИЯ ОБЪЕКТОВ ЗАЯВИТЕЛЕЙ, ПОДКЛЮЧАЕМАЯ ТЕПЛОВАЯ НАГРУЗКА КОТОРЫХ БОЛЕЕ 0,1 ГКАЛ/Ч И НЕ ПРЕВЫШАЕТ 1,5 ГКАЛ/Ч

N п/п Критерий дифференциации Базовый период Период регулирования
Расходы на создание (реконструкцию) тепловых сетей (за исключением создания (реконструкции) тепловых пунктов) от существующих тепловых сетей или источников тепловой энергии до точек подключения объектов заявителей, подключаемая тепловая нагрузка которых более 0,1 Гкал/ч и не превышает 1,5 Гкал/ч Суммарная подключаемая тепловая нагрузка объектов заявителей, подключаемая тепловая нагрузка которых более 0,1 Гкал/ч и не превышает 1,5 Гкал/ч, и для подключения которых требуется создание (реконструкция) тепловых сетей (за исключением создания (реконструкции) тепловых пунктов) Расходы на создание (реконструкцию) тепловых сетей (за исключением создания (реконструкции) тепловых пунктов) от существующих тепловых сетей или источников тепловой энергии до точек подключения объектов заявителей, подключаемая тепловая нагрузка которых более 0,1 Гкал/ч и не превышает 1,5 Гкал/ч (П2.1) Расходы на создание (реконструкцию) тепловых сетей (за исключением создания (реконструкции) тепловых пунктов) от существующих тепловых сетей или источников тепловой энергии до точек подключения объектов заявителей, подключаемая тепловая нагрузка которых более 0,1 Гкал/ч и не превышает 1,5 Гкал/ч Суммарная подключаемая тепловая нагрузка объектов заявителей, подключаемая тепловая нагрузка которых более 0,1 Гкал/ч и не превышает 1,5 Гкал/ч, и для подключения которых требуется создание (реконструкция) тепловых сетей (за исключением создания (реконструкции) тепловых пунктов) Расходы на создание (реконструкцию) тепловых сетей (за исключением создания (реконструкции) тепловых пунктов) от существующих тепловых сетей или источников тепловой энергии до точек подключения объектов заявителей, подключаемая тепловая нагрузка которых более 0,1 Гкал/ч и не превышает 1,5 Гкал/ч (П2.1)
тыс. руб. Гкал/ч тыс. руб./Гкал/ч тыс. руб. Гкал/ч тыс. руб./Гкал/ч
1 2 3 4 5 6 7 8
1 Надземная (наземная) прокладка
1.1 50 - 250 мм
1.2 251 - 400 мм
1.3 401 - 550 мм
1.4 551 - 700 мм
1.5 701 мм и выше
2 Подземная прокладка, в том числе:
2.1 канальная прокладка
2.1.1 50 - 250 мм
2.1.2 251 - 400 мм
2.1.3 401 - 550 мм
2.1.4 551 - 700 мм
2.1.5 701 мм и выше
2.2 бесканальная прокладка
2.2.1 50 - 250 мм
2.2.2 251 - 400 мм
2.2.3 401 - 550 мм
2.2.4 551 - 700 мм
2.2.5 701 мм и выше

Примечания:

1. К таблице прилагается расчет расходов по гр. 3 и 6 с учетом положений пункта 173 настоящих Методических указаний.

2. Гр. 5 = гр. 3 / гр. 4.

3. Гр. 8 = гр. 6 / гр. 7.

Приложение 7.3

РАСЧЕТ РАСХОДОВ НА СОЗДАНИЕ (РЕКОНСТРУКЦИЮ) ТЕПЛОВЫХ ПУНКТОВ ОТ СУЩЕСТВУЮЩИХ ТЕПЛОВЫХ СЕТЕЙ ИЛИ ИСТОЧНИКОВ ТЕПЛОВОЙ ЭНЕРГИИ ДО ТОЧЕК ПОДКЛЮЧЕНИЯ ОБЪЕКТОВ ЗАЯВИТЕЛЕЙ, ПОДКЛЮЧАЕМАЯ ТЕПЛОВАЯ НАГРУЗКА КОТОРЫХ БОЛЕЕ 0,1 ГКАЛ/Ч И НЕ ПРЕВЫШАЕТ 1,5 ГКАЛ/Ч

N п/п Наименование Единица измерения Базовый период Период регулирования
1 2 3 4 5
1 Расходы на создание (реконструкцию) тепловых пунктов от существующих тепловых сетей или источников тепловой энергии до точек подключения объектов заявителей, подключаемая тепловая нагрузка которых более 0,1 Гкал/ч и не превышает 1,5 Гкал/ч, в том числе: тыс. руб.    
1.1 тепловой пункт 1 тыс. руб.    
1.2 тепловой пункт 2 тыс. руб.    
... ... тыс. руб.    
1.n тепловой пункт n тыс. руб.    
2 Суммарная подключаемая тепловая нагрузка объектов заявителей, подключаемая тепловая нагрузка которых более 0,1 Гкал/ч и не превышает 1,5 Гкал/ч, и для подключения которых требуется создание (реконструкция) тепловых пунктов Гкал/ч    
3 Расходы на создание (реконструкцию) тепловых пунктов от существующих тепловых сетей или источников тепловой энергии до точек подключения объектов заявителей, подключаемая тепловая нагрузка которых более 0,1 Гкал/ч и не превышает 1,5 Гкал/ч (П2.2) тыс. руб./ Гкал/ч    

Примечания:

1. К таблице прилагается расчет расходов по стр. 1.1 - l.n с учетом положений пункта 173 настоящих Методических указаний.

2. Стр. 1 = стр. 1.1 + стр. 1.2 + ... + стр. 1.n.

3. Стр. 3 = стр. 1 / стр. 2.

Приложение 7.4

РАСЧЕТ ПЛАТЫ ЗА ПОДКЛЮЧЕНИЕ ОБЪЕКТОВ ЗАЯВИТЕЛЕЙ, ПОДКЛЮЧАЕМАЯ ТЕПЛОВАЯ НАГРУЗКА КОТОРЫХ БОЛЕЕ 0,1 ГКАЛ/Ч И НЕ ПРЕВЫШАЕТ 1,5 ГКАЛ/Ч

тыс. руб./Гкал/ч

N п/п Наименование Значение
1 2 3
Плата за подключение объектов заявителей, подключаемая тепловая нагрузка которых более 0,1 Гкал/ч и не превышает 1,5 Гкал/ч, в том числе:
1 Расходы на проведение мероприятий по подключению объектов заявителей (П1)  
2 Расходы на создание (реконструкцию) тепловых сетей (за исключением создания (реконструкции) тепловых пунктов) от существующих тепловых сетей или источников тепловой энергии до точек подключения объектов заявителей, подключаемая тепловая нагрузка которых более 0,1 Гкал/ч и не превышает 1,5 Гкал/ч (П2.1), в том числе:  
2.1 Надземная (наземная) прокладка  
2.1.1 50 - 250 мм  
2.1.2 251 - 400 мм  
2.1.3 401 - 550 мм  
2.1.4 551 - 700 мм  
2.1.5 701 мм и выше  
2.2 Подземная прокладка, в том числе:  
2.2.1 канальная прокладка  
2.2.1.1 50 - 250 мм  
2.2.1.2 251 - 400 мм  
2.2.1.3 401 - 550 мм  
2.2.1.4 551 - 700 мм  
2.2.1.5 701 мм и выше  
2.2.2 бесканальная прокладка  
2.2.2.1 50 - 250 мм  
2.2.2.2 251 - 400 мм  
2.2.2.3 401 - 550 мм  
2.2.2.4 551 - 700 мм  
2.2.2.5 701 мм и выше  
3 Расходы на создание (реконструкцию) тепловых пунктов от существующих тепловых сетей или источников тепловой энергии до точек подключения объектов заявителей, подключаемая тепловая нагрузка которых более 0,1 Гкал/ч и не превышает 1,5 Гкал/ч (П2.2)  
4 Налог на прибыль  

Примечания:

1. Стр. 1 заполняется по результатам заполнения приложения 7.1 к настоящим Методическим указаниям.

2. Стр. 2 заполняется по результатам заполнения приложения 7.2 к настоящим Методическим указаниям.

3. Стр. 3 заполняется по результатам заполнения приложения 7.3 к настоящим Методическим указаниям.

4. В стр. 4 налог на прибыль в расчете на 1 Гкал/ч суммарной подключаемой тепловой нагрузки объектов заявителей определяется в соответствии с формулой (121) настоящих Методических указаний (расчет дополнительно предоставляется в качестве приложения к таблице).

Приложение 7.5

РАСЧЕТ РАСХОДОВ НА СОЗДАНИЕ (РЕКОНСТРУКЦИЮ) ТЕПЛОВЫХ СЕТЕЙ (ЗА ИСКЛЮЧЕНИЕМ СОЗДАНИЯ (РЕКОНСТРУКЦИИ) ТЕПЛОВЫХ ПУНКТОВ) ОТ СУЩЕСТВУЮЩИХ ТЕПЛОВЫХ СЕТЕЙ ИЛИ ИСТОЧНИКОВ ТЕПЛОВОЙ ЭНЕРГИИ ДО ТОЧЕК ПОДКЛЮЧЕНИЯ ОБЪЕКТОВ ЗАЯВИТЕЛЕЙ, ПОДКЛЮЧАЕМАЯ ТЕПЛОВАЯ НАГРУЗКА КОТОРЫХ ПРЕВЫШАЕТ 1,5 ГКАЛ/Ч, ПРИ НАЛИЧИИ ТЕХНИЧЕСКОЙ ВОЗМОЖНОСТИ ПОДКЛЮЧЕНИЯ

N п/п Критерий дифференциации Базовый период Период регулирования
Расходы на создание (реконструкцию) тепловых сетей (за исключением создания (реконструкции) тепловых пунктов) от существующих тепловых сетей или источников тепловой энергии до точек подключения объектов заявителей, подключаемая тепловая нагрузка которых превышает 1,5 Гкал/ч, при наличии технической возможности подключения Суммарная подключаемая тепловая нагрузка объектов заявителей, подключаемая тепловая нагрузка которых превышает 1,5 Гкал/ч, при наличии технической возможности подключения, и для подключения которых требуется создание (реконструкция) тепловых сетей (за исключением создания (реконструкции) тепловых пунктов) Расходы на создание (реконструкцию) тепловых сетей (за исключением создания (реконструкции) тепловых пунктов) от существующих тепловых сетей или источников тепловой энергии до точек подключения объектов заявителей, подключаемая тепловая нагрузка которых превышает 1,5 Гкал/ч, при наличии технической возможности подключения (П2.1) Расходы на создание (реконструкцию) тепловых сетей (за исключением создания (реконструкции) тепловых пунктов) от существующих тепловых сетей или источников тепловой энергии до точек подключения объектов заявителей, подключаемая тепловая нагрузка которых превышает 1,5 Гкал/ч, при наличии технической возможности Суммарная подключаемая тепловая нагрузка объектов заявителей, подключаемая тепловая нагрузка которых превышает 1,5 Гкал/ч, при наличии технической возможности подключения, и для подключения которых требуется создание (реконструкция) тепловых сетей (за исключением создания (реконструкции) тепловых пунктов) Расходы на создание (реконструкцию) тепловых сетей (за исключением создания (реконструкции) тепловых пунктов) от существующих тепловых сетей или источников тепловой энергии до точек подключения объектов заявителей, подключаемая тепловая нагрузка которых превышает 1,5 Гкал/ч, при наличии технической возможности подключения (П2.1)
    тыс. руб. Гкал/ч тыс. руб./Гкал/ч тыс. руб. Гкал/ч тыс. руб./Гкал/ч
1 2 3 4 5 6 7 8
1 Надземная (наземная) прокладка            
1.1 50 - 250 мм            
1.2 251 - 400 мм            
1.3 401 - 550 мм            
1.4 551 - 700 мм            
1.5 701 мм и выше            
2 Подземная прокладка, в том числе:            
2.1 канальная прокладка            
2.1.1 50 - 250 мм            
2.1.2 251 - 400 мм            
2.1.3 401 - 550 мм            
2.1.4 551 - 700 мм            
2.1.5 701 мм и выше            
2.2 бесканальная прокладка            
2.2.1 50 - 250 мм            
2.2.2 251 - 400 мм            
2.2.3 401 - 550 мм            
2.2.4 551 - 700 мм            
2.2.5 701 мм и выше            

Примечания:

1. К таблице прилагается расчет расходов по гр. 3 и 6 с учетом положений пункта 173 настоящих Методических указаний.

2. Гр. 5 = гр. 3 / гр. 4.

3. Гр. 8 = гр. 6 / гр. 7.

Приложение 7.6

РАСЧЕТ РАСХОДОВ НА СОЗДАНИЕ (РЕКОНСТРУКЦИЮ) ТЕПЛОВЫХ ПУНКТОВ ОТ СУЩЕСТВУЮЩИХ ТЕПЛОВЫХ СЕТЕЙ ИЛИ ИСТОЧНИКОВ ТЕПЛОВОЙ ЭНЕРГИИ ДО ТОЧЕК ПОДКЛЮЧЕНИЯ ОБЪЕКТОВ ЗАЯВИТЕЛЕЙ, ПОДКЛЮЧАЕМАЯ ТЕПЛОВАЯ НАГРУЗКА КОТОРЫХ ПРЕВЫШАЕТ 1,5 ГКАЛ/Ч, ПРИ НАЛИЧИИ ТЕХНИЧЕСКОЙ ВОЗМОЖНОСТИ ПОДКЛЮЧЕНИЯ

N п/п Наименование Единица измерения Базовый период Период регулирования
1 2 3 4 5
1 Расходы на создание (реконструкцию) тепловых пунктов от существующих тепловых сетей или источников тепловой энергии до точек подключения объектов заявителей, подключаемая тепловая нагрузка которых превышает 1,5 Гкал/ч, при наличии технической возможности подключения, в том числе: тыс. руб.    
1.1 тепловой пункт 1 тыс. руб.    
1.2 тепловой пункт 2 тыс. руб.    
... ... тыс. руб.    
1.n тепловой пункт n тыс. руб.    
2 Суммарная подключаемая тепловая нагрузка объектов заявителей, подключаемая тепловая нагрузка которых превышает 1,5 Гкал/ч, при наличии технической возможности подключения, и для подключения которых требуется создание (реконструкция) тепловых пунктов Гкал/ч    
3 Расходы на создание (реконструкцию) тепловых пунктов от существующих тепловых сетей или источников тепловой энергии до точек подключения объектов заявителей, подключаемая тепловая нагрузка которых превышает 1,5 Гкал/ч, при наличии технической возможности подключения (П2.2) тыс. руб./Гкал/ч    

Примечания:

К таблице прилагается расчет расходов по стр. 1.1 - 1.n с учетом положений пункта 173 настоящих Методических указаний.

Стр. 1 = стр. 1.1 + стр. 1.2 + ... + стр. 1.n.

Стр. 3 = стр. 1 / стр. 2.

Приложение 7.7

РАСЧЕТ ПЛАТЫ ЗА ПОДКЛЮЧЕНИЕ ОБЪЕКТОВ ЗАЯВИТЕЛЕЙ, ПОДКЛЮЧАЕМАЯ ТЕПЛОВАЯ НАГРУЗКА КОТОРЫХ ПРЕВЫШАЕТ 1,5 ГКАЛ/Ч, ПРИ НАЛИЧИИ ТЕХНИЧЕСКОЙ ВОЗМОЖНОСТИ ПОДКЛЮЧЕНИЯ

тыс. руб./Гкал/ч

N п/п Наименование Значение
1 2 3
Плата за подключение объектов заявителей, подключаемая тепловая нагрузка которых не превышает 1,5 Гкал/ч, при наличии технической возможности подключения, в том числе:
1 Расходы на проведение мероприятий по подключению объектов заявителей (П1)  
2 Расходы на создание (реконструкцию) тепловых сетей (за исключением создания (реконструкции) тепловых пунктов) от существующих тепловых сетей или источников тепловой энергии до точек подключения объектов заявителей, подключаемая тепловая нагрузка которых превышает 1,5 Гкал/ч, при наличии технической возможности подключения (П2.1), в том числе:  
2.1 Надземная (наземная) прокладка  
2.1.1 50 - 250 мм  
2.1.2 251 - 400 мм  
2.1.3 401 - 550 мм  
2.1.4 551 - 700 мм  
2.1.5 701 мм и выше  
2.2 Подземная прокладка, в том числе:  
2.2.1 канальная прокладка  
2.2.1.1 50 - 250 мм  
2.2.1.2 251 - 400 мм  
2.2.1.3 401 - 550 мм  
2.2.1.4 551 - 700 мм  
2.2.1.5 701 мм и выше  
2.2.2 бесканальная прокладка  
2.2.2.1 50 - 250 мм  
2.2.2.2 251 - 400 мм  
2.2.2.3 401 - 550 мм  
2.2.2.4 551 - 700 мм  
2.2.2.5 701 мм и выше  
3 Расходы на создание (реконструкцию) тепловых пунктов от существующих тепловых сетей или источников тепловой энергии до точек подключения объектов заявителей, подключаемая тепловая нагрузка которых превышает 1,5 Гкал/ч, при наличии технической возможности подключения (П2.2)  
4 Налог на прибыль  

Примечания:

1. Стр. 1 заполняется по результатам заполнения приложения 7.4 к настоящим Методическим указаниям.

2. Стр. 2 заполняется по результатам заполнения приложения 7.5 к настоящим Методическим указаниям.

3. Стр. 3 заполняется по результатам заполнения приложения 7.6 к настоящим Методическим указаниям.

4. В стр. 4 налог на прибыль в расчете на 1 Гкал/ч суммарной подключаемой тепловой нагрузки объектов заявителей определяется в соответствии с формулой (121) настоящих Методических указаний (расчет дополнительно предоставляется в качестве приложения к таблице).

Приложение 7.8

РАСЧЕТ ПЛАТЫ ЗА ПОДКЛЮЧЕНИЕ ОБЪЕКТА ЗАЯВИТЕЛЯ, ПОДКЛЮЧАЕМАЯ ТЕПЛОВАЯ НАГРУЗКА КОТОРОГО ПРЕВЫШАЕТ 1,5 ГКАЛ/Ч, ПРИ ОТСУТСТВИИ ТЕХНИЧЕСКОЙ ВОЗМОЖНОСТИ ПОДКЛЮЧЕНИЯ К СИСТЕМЕ ТЕПЛОСНАБЖЕНИЯ

Заявитель _______________________________

N п/п Наименование Единица измерения Значение
1 2 3 4
1 Плата за подключение объекта заявителя, подключаемая тепловая нагрузка которого превышает 1,5 Гкал/ч, при отсутствии технической возможности, в том числе: тыс. руб.
2 Расходы на проведение мероприятий по подключению объектов заявителей тыс. руб.
2.1 Расходы на проведение мероприятий по подключению объектов заявителей (П1) тыс. руб./ Гкал/ч
2.2 Подключаемая тепловая нагрузка объекта заявителя Гкал/ч
3 Расходы на создание (реконструкцию) тепловых сетей от существующих тепловых сетей или источников тепловой энергии до точки подключения объекта заявителя, в том числе: тыс. руб.
3.1 Расходы на создание (реконструкцию) тепловых сетей (за исключением создания (реконструкции) тепловых пунктов), в том числе: тыс. руб.
3.1.1 Надземная (наземная) прокладка тыс. руб.
3.1.1.1 диаметр труб 1 тыс. руб.
3.1.1.2 диаметр труб 2 тыс. руб.
... ...
3.1.1.1.n диаметр труб n тыс. руб.
3.1.2 Подземная прокладка тыс. руб.
3.1.2.1 в т.ч. канальная тыс. руб.
3.1.2.1.1 диаметр труб 1 тыс. руб.
3.1.2.1.2 диаметр труб 2 тыс. руб.
... ...
3.1.2.1n диаметр труб n тыс. руб.
3.1.2.2 бесканальная тыс. руб.
3.1.2.2.1 диаметр труб 1 тыс. руб.
3.1.2.2.2 диаметр труб 2 тыс. руб.
... ...
3.1.2.2.n диаметр труб n тыс. руб.
3.2 Расходы на создание (реконструкцию) тепловых пунктов, в том числе: тыс. руб.
3.2.1 тепловой пункт 1 тыс. руб.
3.2.2 тепловой пункт 2 тыс. руб.
... ...
3.2.n тепловой пункт n тыс. руб.
4 Расходы на создание (реконструкцию) источников тепловой энергии и (или) развитие существующих источников тепловой энергии и (или) тепловых сетей, в том числе: тыс. руб.
4.1 Создание (реконструкция) источников тепловой энергии, в том числе: тыс. руб.
4.1.1 источник 1 тыс. руб.
4.1.2 источник 2 тыс. руб.
... ...
4.1.n источник n
4.2 Развитие существующих источников тепловой энергии, в том числе: тыс. руб.
4.2.1 источник 1 тыс. руб.
4.2.2 источник 2 тыс. руб.
... ...
4.2.n источник n
4.3 Расходы на развитие тепловых сетей (за исключением создания (реконструкции) тепловых пунктов), в том числе: тыс. руб.
4.3.1 Надземная (наземная) прокладка тыс. руб.
4.3.1.1 диаметр труб 1 тыс. руб.
4.3.1.2 диаметр труб 2 тыс. руб.
... ...
4.3.1.n диаметр труб n тыс. руб.
4.3.2 Подземная прокладка тыс. руб.
4.3.2.1 в т.ч. канальная тыс. руб.
4.3.2.1.1 диаметр труб 1 тыс. руб.
4.3.2.1.2 диаметр труб 2 тыс. руб.
... ... тыс. руб.
4.3.2.1.n диаметр труб n тыс. руб.
4.3.2.2 бесканальная тыс. руб.
4.3.2.2.1 диаметр труб 1 тыс. руб.
4.3.2.2.2 диаметр труб 2 тыс. руб.
... ... тыс. руб.
4.3.2.2.n диаметр труб n тыс. руб.
4.4 Расходы на развитие тепловых пунктов, в том числе: тыс. руб.
4.4.1 тепловой пункт 1 тыс. руб.
4.4.2 тепловой пункт 2 тыс. руб.
... ...
4.4.n тепловой пункт n
5 Налог на прибыль тыс. руб./ Гкал/ч

Примечания:

1. К таблице прилагается расчет расходов по всем строкам, кроме строк 1, 2, 2.1, 2.2 и 5 с учетом положений пункта 173 настоящих Методических указаний.

2. В стр. 5 налог на прибыль в расчете на 1 Гкал/ч суммарной подключаемой тепловой нагрузки объектов заявителей определяется в соответствии с формулой (121) настоящих Методических указаний (расчет дополнительно предоставляется в качестве приложения к таблице).

3. Стр. 1 = стр. 2 + стр. 3 + стр. 4 + стр. 5 * стр. 2.2.

4. Стр. 2 = стр. 2.1 * стр. 2.2.

5. Стр. 3 = стр. 3.1 + стр. 3.2.

6. Стр. 3.1 = стр. 3.1.1 + стр. 3.1.2.

7. Стр. 3.1.1 = стр. 3.1.1.1 + стр. 3.1.1.2+ + стр. 3.1.l.n.

8. Стр. 3.1.2 = стр. 3.1.2.1 + стр. 3.1.2.2.

9. Стр. 3.1.2.1 = стр. 3.1.2.1.1 + стр. 3.1.2.1.2 + ... + стр. 3.1.2.1.n.

10. Стр. 3.1.2.2 = стр. 3.1.2.2.1 + стр. 3.1.2.2.2 + ... + стр. 3.1.2.2.n.

11. Стр. 3.2 = стр. 3.2.1 + стр. 3.2.2. + стр. 3.2.n.

12. Стр. 4 = стр. 4.1 + стр. 4.2 + стр. 4.3 + стр. 4.4.

13. Стр. 4.1 = стр. 4.1.1 + стр. 4.1.2 + ... стр. 4.1.n.

14. Стр. 4.2 = стр. 4.2.1 + стр. 4.2.2 + ... стр. 4.2.n.

15. Стр. 4.3 = стр. 4.3.1 + стр. 4.3.2.

16. Стр. 4.3.1 = стр. 4.3.1.1 + стр. 4.3.1.2 + ... + стр. 4.3.1.n.

17. Стр. 4.3.2 = стр. 4.3.2.1 + стр. 4.3.2.2.

18. Стр. 4.3.2.1 = стр. 4.3.2.1.1 + стр. 4.3.2.1.2 + ... + стр. 4.3.2.1.n.

19. Стр. 4.3.2.2 = стр. 4.3.2.2.1 + стр. 4.3.2.2.2 + ... + стр. 4.3.2.2.n.

20. Стр. 4.4 = стр. 4.4.1 + стр. 4.4.2 + стр. 4.4.n.

Приложение 7.9

РАСЧЕТ РАСХОДОВ, СВЯЗАННЫХ С ПОДКЛЮЧЕНИЕМ ОБЪЕКТОВ ЗАЯВИТЕЛЕЙ, ПОДКЛЮЧАЕМАЯ ТЕПЛОВАЯ НАГРУЗКА КОТОРЫХ НЕ ПРЕВЫШАЕТ 0,1 ГКАЛ/Ч, И НЕ ВКЛЮЧАЕМЫХ В ПЛАТУ ЗА ПОДКЛЮЧЕНИЕ

N п/п Наименование Единица измерения Базовый период Период регулирования
1 2 3 4 5
1 Планируемое количество заявителей, подключаемая тепловая нагрузка которых не превышает 0,1 Гкал/ч
2 Плата за подключение объектов заявителей, подключаемая тепловая нагрузка которых не превышает 0,1 Гкал/ч (без учета НДС) руб.
3 Расходы на проведение мероприятий по подключению объектов заявителей, подключаемая тепловая нагрузка которых не превышает 0,1 Гкал/ч тыс. руб.
3.1 Расходы на проведение мероприятий по подключению объектов заявителей (П1) тыс. руб./ Гкал/ч
3.2 Суммарная подключаемая тепловая нагрузка объектов заявителей, подключаемая тепловая нагрузка которых не превышает 0,1 Гкал/ч Гкал/ч
4 Расходы на создание (реконструкцию) тепловых сетей от существующих тепловых сетей или источников тепловой энергии до точек подключения объектов заявителей, в том числе: тыс. руб.
4.1 Расходы на создание (реконструкцию) тепловых сетей (за исключением создания (реконструкции) тепловых пунктов) тыс. руб.
4.2 Расходы на создание (реконструкцию) тепловых пунктов тыс. руб.
5 Налог на прибыль тыс. руб.
6 Расходы, связанные с подключением объектов заявителей, подключаемая тепловая нагрузка которых не превышает 0,1 Гкал/ч, и не включаемые в плату за подключение тыс. руб.

Примечания:

1. К таблице прилагается расчет расходов по стр. 4.1 и 4.2 с учетом положений пункта 173 настоящих Методических указаний.

2. Стр. 6 = стр. 3 + стр. 4 + стр. 5 - стр. 2 * стр. 1 * 10(-3).

3. Стр. 3 = стр. 3.1 * стр. 3.2.

4. Стр. 4 = стр. 4.1 + стр. 4.2.