Постановление Правительства РФ от 06.03.2013 N 188

"Об утверждении Правил распределения и предоставления субсидий из федерального бюджета бюджетам субъектов Российской Федерации на реализацию мероприятий, предусмотренных программами развития пилотных инновационных территориальных кластеров"
Редакция от 15.09.2014 — Документ утратил силу, см. «Постановление Правительства РФ от 30.06.2015 N 659»
Показать изменения

ПРАВИТЕЛЬСТВО РОССИЙСКОЙ ФЕДЕРАЦИИ

ПОСТАНОВЛЕНИЕ
от 6 марта 2013 г. N 188

ОБ УТВЕРЖДЕНИИ ПРАВИЛ РАСПРЕДЕЛЕНИЯ И ПРЕДОСТАВЛЕНИЯ СУБСИДИЙ ИЗ ФЕДЕРАЛЬНОГО БЮДЖЕТА БЮДЖЕТАМ СУБЪЕКТОВ РОССИЙСКОЙ ФЕДЕРАЦИИ НА РЕАЛИЗАЦИЮ МЕРОПРИЯТИЙ, ПРЕДУСМОТРЕННЫХ ПРОГРАММАМИ РАЗВИТИЯ ПИЛОТНЫХ ИННОВАЦИОННЫХ ТЕРРИТОРИАЛЬНЫХ КЛАСТЕРОВ

(в ред. Постановлений Правительства РФ от 15.07.2013 N 596, от 15.09.2014 N 941)

Правительство Российской Федерации постановляет:

Утвердить прилагаемые Правила распределения и предоставления субсидий из федерального бюджета бюджетам субъектов Российской Федерации на реализацию мероприятий, предусмотренных программами развития пилотных инновационных территориальных кластеров.

Председатель Правительства
Российской Федерации
Д.МЕДВЕДЕВ

УТВЕРЖДЕНЫ
постановлением Правительства
Российской Федерации
от 6 марта 2013 г. N 188

ПРАВИЛА РАСПРЕДЕЛЕНИЯ И ПРЕДОСТАВЛЕНИЯ СУБСИДИЙ ИЗ ФЕДЕРАЛЬНОГО БЮДЖЕТА БЮДЖЕТАМ СУБЪЕКТОВ РОССИЙСКОЙ ФЕДЕРАЦИИ НА РЕАЛИЗАЦИЮ МЕРОПРИЯТИЙ, ПРЕДУСМОТРЕННЫХ ПРОГРАММАМИ РАЗВИТИЯ ПИЛОТНЫХ ИННОВАЦИОННЫХ ТЕРРИТОРИАЛЬНЫХ КЛАСТЕРОВ

(в ред. Постановлений Правительства РФ от 15.07.2013 N 596, от 15.09.2014 N 941)

I. Общие положения

1. Настоящие Правила устанавливают порядок предоставления субсидий из федерального бюджета бюджетам субъектов Российской Федерации на реализацию программ развития пилотных инновационных территориальных кластеров (далее соответственно - территориальные кластеры, программы, субсидии).

2. Субсидии предоставляются бюджетам субъектов Российской Федерации, на территориях которых расположены территориальные кластеры, по перечню согласно приложению.

3. Субсидии предоставляются в целях оказания финансовой поддержки исполнения расходных обязательств бюджетов субъектов Российской Федерации по финансированию программ, предусматривающих реализацию мероприятий по следующим направлениям:

а) обеспечение деятельности специализированных организаций, осуществляющих методическое, организационное, экспертно-аналитическое и информационное сопровождение развития территориальных кластеров;

б) профессиональная переподготовка, повышение квалификации и проведение стажировок работников организаций, указанных в программе в качестве ее участников (далее - организации-участники), по направлениям реализации программ (в том числе за рубежом);

в) консультирование организаций-участников по вопросам разработки инвестиционных проектов в инновационной сфере;

г) проведение выставочно-ярмарочных мероприятий, а также участие представителей организаций-участников в выставочно-ярмарочных и коммуникативных мероприятиях (форумы, конференции, семинары, круглые столы) в Российской Федерации и за рубежом;

д) развитие на территориях, на которых расположены территориальные кластеры, объектов инновационной и образовательной инфраструктуры;

е) развитие на территориях, на которых расположены территориальные кластеры, объектов транспортной и энергетической инфраструктуры;

ж) развитие на территориях, на которых расположены территориальные кластеры, объектов инженерной и социальной инфраструктуры.

4. Субсидии предоставляются в пределах бюджетных ассигнований, предусмотренных в федеральном законе о федеральном бюджете на соответствующий финансовый год и плановый период (последующие 2 года) (далее - плановый период), и лимитов бюджетных обязательств, утвержденных федеральному органу исполнительной власти - главному распорядителю средств федерального бюджета на реализацию мероприятий, предусмотренных пунктом 3 настоящих Правил (далее соответственно - мероприятия, федеральный орган исполнительной власти - главный распорядитель средств федерального бюджета).

5. Субсидии предоставляются на следующих условиях:

а) наличие утвержденной программы;

б) наличие в законе субъекта Российской Федерации о бюджете субъекта Российской Федерации на очередной финансовый год и плановый период расходных обязательств и бюджетных ассигнований на финансирование в очередном финансовом году и плановый период реализации мероприятий, включенных в перечень в соответствии с подпунктом "д" пункта 6 настоящих Правил; (в ред. Постановления Правительства РФ от 15.07.2013 N 596)

в) определение уполномоченного органа исполнительной власти субъекта Российской Федерации для осуществления взаимодействия с Министерством экономического развития Российской Федерации и федеральным органом исполнительной власти - главным распорядителем средств федерального бюджета (далее - уполномоченный орган);

г) наличие обязательства субъекта Российской Федерации по обеспечению соответствия значений показателей, устанавливаемых программой и иными нормативными правовыми актами субъектов Российской Федерации, значениям показателей результативности предоставления субсидий, установленным соглашением о предоставлении субсидии, заключаемым федеральным органом исполнительной власти - главным распорядителем средств федерального бюджета и высшим исполнительным органом государственной власти субъекта Российской Федерации (далее - соглашение);

д) наличие обязательства субъекта Российской Федерации на текущий финансовый год и плановый период: (в ред. Постановления Правительства РФ от 15.07.2013 N 596)

не учитывать при распределении межбюджетных трансфертов местным бюджетам за счет бюджета субъекта Российской Федерации, в том числе дотаций на выравнивание бюджетной обеспеченности муниципального образования (муниципальных образований), на территории которого расположен территориальный кластер, межбюджетные трансферты на реализацию мероприятий, предоставляемые из федерального бюджета бюджету субъекта Российской Федерации, и межбюджетные трансферты, предоставляемые из бюджета субъекта Российской Федерации бюджету муниципального образования; (в ред. Постановления Правительства РФ от 15.07.2013 N 596)

по определению прогноза налогового потенциала муниципального образования для расчета дотации на выравнивание бюджетной обеспеченности муниципального образования (муниципальных образований), на территории которого расположен территориальный кластер, без учета прогноза налогового потенциала от деятельности на территории территориального кластера организаций-участников, вновь зарегистрированных в соответствии с законодательством Российской Федерации на территории муниципального образования, в границах которого расположен территориальный кластер; (в ред. Постановления Правительства РФ от 15.07.2013 N 596)

е) наличие обязательств субъекта Российской Федерации и (или) муниципального образования (муниципальных образований), на территории которого расположен территориальный кластер, по обеспечению выполнения в полном объеме за счет средств бюджета субъекта Российской Федерации и (или) бюджета муниципального образования (муниципальных образований) соответственно, а также средств внебюджетных источников финансирования мероприятий, на реализацию которых запрашивается субсидия, в случае увеличения расходов в ходе реализации мероприятий; (в ред. Постановления Правительства РФ от 15.07.2013 N 596)

ж) наличие обязательства субъекта Российской Федерации по внесению в течение 3 месяцев со дня опубликования акта Правительства Российской Федерации об утверждении распределения субсидий изменений в программу в части значений целевых показателей, достижение которых обеспечивается в результате реализации этой программы, и увеличения размера бюджетных ассигнований на исполнение расходных обязательств по реализации программы на размер субсидии;

з) наличие организации, осуществляющей в соответствии с заключенным с организациями-участниками договором координацию их деятельности и удовлетворяющей условиям, предусмотренным пунктом 40 настоящих Правил (далее - специализированная организация), учредителем или одним из учредителей (участников) которой является субъект Российской Федерации, и (или) муниципальное образование (муниципальные образования), на территории которого располагается территориальный кластер, и (или) организация, учредителями которой являются исключительно субъект Российской Федерации и (или) муниципальное образование (муниципальные образования), на территории которого располагается территориальный кластер; (в ред. Постановлений Правительства РФ от 15.07.2013 N 596, от 15.09.2014 N 941)

и) наличие обязательства субъекта Российской Федерации по ведению реестра получателей субсидий;

к) иные условия, предусмотренные пунктами 40, 45, 46, 52, 57, 65 и 68 настоящих Правил.

6. Для получения субсидии уполномоченный орган в сроки, установленные Министерством экономического развития Российской Федерации, представляет в Министерство заявку на предоставление субсидии с приложением следующих документов:

а) заверенная уполномоченным органом копия утвержденной программы с указанием размера бюджетных ассигнований, предусмотренных в бюджете субъекта Российской Федерации и бюджете муниципального образования (муниципальных образований), на территории которого расположен территориальный кластер, на исполнение расходных обязательств по реализации мероприятий; (в ред. Постановления Правительства РФ от 15.07.2013 N 596)

б) заверенная уполномоченным органом выписка из закона субъекта Российской Федерации о бюджете субъекта Российской Федерации на текущий финансовый год и плановый период, подтверждающая включение в бюджет субъекта Российской Федерации на очередной финансовый год и плановый период средств на финансирование реализации мероприятий, включенных в перечень в соответствии с подпунктом "д" настоящего пункта, а также заверенная уполномоченным органом выписка из нормативных правовых актов муниципального образования (муниципальных образований), на территории которого расположен территориальный кластер, о бюджете муниципального образования (муниципальных образований) на текущий финансовый год и плановый период, подтверждающая включение в бюджет муниципального образования (муниципальных образований) на очередной финансовый год и плановый период средств на финансирование реализации мероприятий, включенных в перечень в соответствии с подпунктом "д" настоящего пункта; (в ред. Постановления Правительства РФ от 15.07.2013 N 596)

в) письма в Министерство экономического развития Российской Федерации и федеральному органу исполнительной власти - главному распорядителю средств федерального бюджета, подписанные руководителем высшего исполнительного органа государственной власти субъекта Российской Федерации или его заместителем, уполномоченным в установленном порядке, подтверждающие принятие субъектом Российской Федерации обязательств, предусмотренных подпунктами "г" - "ж" и "и" пункта 5 настоящих Правил;

г) перечень мероприятий, осуществляемых в текущем финансовом году и плановом периоде, с указанием объемов расходных обязательств и бюджетных ассигнований, предусмотренных на их реализацию в законе субъекта Российской Федерации о бюджете субъекта Российской Федерации на очередной финансовый год и плановый период и в нормативных правовых актах муниципального образования (муниципальных образований), на территории которого расположен территориальный кластер, о бюджете муниципального образования (муниципальных образований) на очередной финансовый год и плановый период, по форме, устанавливаемой Министерством экономического развития Российской Федерации; (в ред. Постановления Правительства РФ от 15.07.2013 N 596)

д) перечень мероприятий, на реализацию которых запрашиваются средства субсидии, включающий мероприятия не более чем по 4 направлениям, указанным в пункте 3 настоящих Правил, по форме, устанавливаемой Министерством экономического развития Российской Федерации; (в ред. Постановления Правительства РФ от 15.09.2014 N 941)

е) перечень показателей реализации в текущем финансовом году и плановом периоде программы по форме, устанавливаемой Министерством экономического развития Российской Федерации; (в ред. Постановления Правительства РФ от 15.07.2013 N 596)

ж) заверенные уполномоченным органом копии документов, подтверждающих наличие специализированной организации;

з) иные документы, представляемые по требованию Министерства экономического развития Российской Федерации, предусмотренные пунктами 41, 47, 48, 53, 58 - 60, 66 и 69 настоящих Правил.

7. В случае если на территории субъекта Российской Федерации расположено 2 и более территориальных кластера, включенных в перечень, предусмотренный приложением к настоящим Правилам, к заявке на предоставление субсидии прилагаются заверенные уполномоченным органом (уполномоченными органами) копии утвержденных программ, относящихся к каждому из таких территориальных кластеров, с указанием размера бюджетных ассигнований, предусмотренных в бюджете субъекта Российской Федерации и в бюджете муниципального образования (муниципальных образований), на территории которого расположен территориальный кластер, на исполнение расходных обязательств по реализации мероприятий, а также документы, предусмотренные подпунктами "б" - "з" пункта 6 настоящих Правил, для каждого из указанных территориальных кластеров. (в ред. Постановления Правительства РФ от 15.07.2013 N 596)

8. В случае если территориальный кластер располагается на территориях 2 субъектов Российской Федерации, каждый из указанных субъектов Российской Федерации представляет заявку на предоставление субсидии с приложением заверенной уполномоченным органом копии утвержденной собственной программы, относящейся к территориальному кластеру, расположенному на территории этого субъекта Российской Федерации, с указанием размера бюджетных ассигнований, предусмотренных в бюджете субъекта Российской Федерации и в бюджете муниципального образования (муниципальных образований), на территории которого расположен территориальный кластер, на исполнение расходных обязательств по реализации мероприятий, а также документов, предусмотренных подпунктами "б" - "е" и "з" пункта 6 настоящих Правил. (в ред. Постановления Правительства РФ от 15.07.2013 N 596)

9. Министерство экономического развития Российской Федерации устанавливает порядок отбора мероприятий, которые будут учитываться при определении размера субсидий, а также мероприятий, включаемых в утверждаемый Министерством экономического развития Российской Федерации в соответствии с пунктом 13 настоящих Правил перечень мероприятий, отобранных для софинансирования за счет средств субсидии. (в ред. Постановления Правительства РФ от 15.07.2013 N 596)

В целях осуществления указанного отбора Министерство экономического развития Российской Федерации образует комиссию по отбору мероприятий, которые будут учитываться при определении размера субсидий, а также мероприятий, включаемых в утверждаемый Министерством экономического развития Российской Федерации перечень мероприятий, отобранных для софинансирования за счет средств субсидии (далее - комиссия), утверждает ее состав и положение о ней. (в ред. Постановления Правительства РФ от 15.07.2013 N 596)

Комиссия рассматривает поступившие заявки на предоставление субсидий, а также другие документы в соответствии с пунктом 6 настоящих Правил и проводит их экспертизу на предмет соответствия условиям предоставления субсидий. (в ред. Постановления Правительства РФ от 15.07.2013 N 596)

10. Для проведения отбора мероприятий, которые будут учитываться при определении размера субсидий, комиссия оценивает мероприятия, содержащиеся в перечне, указанном в подпункте "г" пункта 6 настоящих Правил, представленном уполномоченным органом в Министерство экономического развития Российской Федерации, по следующим критериям:

а) соответствие мероприятия одному из направлений, указанных в пункте 3 настоящих Правил;

б) соотношение затрат, связанных с реализацией мероприятия, и предполагаемого эффекта от его выполнения.

11. На основании результатов оценки, предусмотренной пунктом 10 настоящих Правил, Министерство экономического развития Российской Федерации осуществляет отбор мероприятий, которые будут учитываться при определении размера субсидий, осуществляемом в соответствии с пунктом 14 настоящих Правил.

12. Для проведения отбора мероприятий, включаемых в утверждаемый Министерством экономического развития Российской Федерации в соответствии с пунктом 13 настоящих Правил перечень мероприятий, отобранных для софинансирования за счет средств субсидии, комиссия оценивает мероприятия, содержащиеся в перечне, указанном в подпункте "д" пункта 6 настоящих Правил, представленном уполномоченным органом в Министерство экономического развития Российской Федерации, по следующим критериям: (в ред. Постановления Правительства РФ от 15.07.2013 N 596)

а) соответствие мероприятия одному из направлений, предусмотренных пунктом 3 настоящих Правил;

б) соотношение затрат, связанных с реализацией мероприятия, и предполагаемого эффекта от его выполнения;

в) соответствие мероприятия условиям, предусмотренным пунктами 40, 45, 46, 52, 57, 65 и 68 настоящих Правил.

13. На основании результатов оценки, предусмотренной пунктом 12 настоящих Правил, Министерство экономического развития Российской Федерации осуществляет отбор мероприятий. С учетом заключения комиссии Министерство экономического развития Российской Федерации утверждает перечень мероприятий, отобранных для софинансирования за счет средств субсидии.

14. Размер субсидий, предоставляемых субъектам Российской Федерации, определяется в порядке, предусмотренном пунктами 15 - 17 настоящих Правил.

15. В случае если на территории i-го субъекта Российской Федерации располагается один территориальный кластер, размер субсидии определяется в следующем порядке:

а) как правило, размер субсидии определяется по следующей формуле: (в ред. Постановления Правительства РФ от 15.07.2013 N 596)

(в ред. Постановления Правительства РФ от 15.07.2013 N 596)

где: (в ред. Постановления Правительства РФ от 15.07.2013 N 596)

- размер субсидии, предоставляемой бюджету i-го субъекта Российской Федерации; (в ред. Постановления Правительства РФ от 15.07.2013 N 596)

- размер субсидий, распределяемых между бюджетами субъектов Российской Федерации. (в ред. Постановления Правительства РФ от 15.07.2013 N 596)

В случае распределения остатка средств субсидии в соответствии с подпунктом "в" настоящего пункта, подпунктом "г" пункта 16 и (или) подпунктом "в" пункта 17 настоящих Правил, значение определяется как размер распределяемого остатка средств субсидии; (в ред. Постановления Правительства РФ от 15.07.2013 N 596)

N - количество территориальных кластеров, включенных в перечень, предусмотренный приложением к настоящим Правилам, по которым в перечень мероприятий в соответствии с пунктом 13 настоящих Правил отобрано хотя бы одно мероприятие. (в ред. Постановления Правительства РФ от 15.07.2013 N 596)

В случае распределения остатка средств субсидии в соответствии с подпунктом "в" настоящего пункта, подпунктом "г" пункта 16 и (или) подпунктом "в" пункта 17 настоящих Правил значение N определяется как указанное количество территориальных кластеров, за исключением территориальных кластеров, удовлетворяющих условиям подпункта "б" настоящего пункта, подпункта "в" пункта 16 и (или) подпунктов "б" или "в" пункта 17 настоящих Правил; (в ред. Постановления Правительства РФ от 15.07.2013 N 596)

- размер средств, предусмотренных в бюджете i-го субъекта Российской Федерации, включенного в перечень, предусмотренный приложением к настоящим Правилам, и (или) в бюджете муниципального образования (муниципальных образований), на территории которого расположен соответствующий территориальный кластер, на исполнение расходных обязательств по реализации мероприятий в отношении территориального кластера, расположенного на территории этого субъекта Российской Федерации, по направлениям, указанным в подпунктах "а" - "д" пункта 3 настоящих Правил. При этом учитываются только мероприятия, которые были отобраны в соответствии с пунктом 11 настоящих Правил; (в ред. Постановления Правительства РФ от 15.07.2013 N 596)(в ред. Постановления Правительства РФ от 15.07.2013 N 596)

A - совокупный размер средств, предусмотренных в бюджетах всех субъектов Российской Федерации, включенных в перечень, предусмотренный приложением к настоящим Правилам, и представивших в Министерство экономического развития Российской Федерации заявки на предоставление субсидий, и (или) в бюджетах всех муниципальных образований, на территориях которых расположены территориальные кластеры, включенные в перечень, предусмотренный приложением к настоящим Правилам, по которым в Министерство экономического развития Российской Федерации представлены заявки на предоставление субсидий, на исполнение расходных обязательств по реализации мероприятий по направлениям, указанным в подпунктах "а" - "д" пункта 3 настоящих Правил. При этом учитываются только мероприятия, которые были отобраны в соответствии с пунктом 11 настоящих Правил. (в ред. Постановления Правительства РФ от 15.07.2013 N 596)

В случае распределения остатка средств субсидии в соответствии с подпунктом "в" настоящего пункта, подпунктом "г" пункта 16 и (или) подпунктом "в" пункта 17 настоящих Правил при расчете значения A учитывается только размер средств, предусмотренных в бюджетах субъектов Российской Федерации и (или) в бюджетах муниципальных образований, на территориях которых расположены территориальные кластеры, за исключением территориальных кластеров, удовлетворяющих условиям подпункта "б" настоящего пункта, подпункта "в" пункта 16 и (или) подпунктов "б" или "в" пункта 17 настоящих Правил; (в ред. Постановления Правительства РФ от 15.07.2013 N 596)

- размер средств, предусмотренных в бюджете i-го субъекта Российской Федерации, включенного в перечень, предусмотренный приложением к настоящим Правилам, и (или) в бюджете муниципального образования (муниципальных образований), на территории которого расположен соответствующий территориальный кластер, на исполнение расходных обязательств по реализации мероприятий в отношении территориального кластера, расположенного на территории этого субъекта Российской Федерации, по направлению, указанному в подпункте "е" пункта 3 настоящих Правил. При этом учитываются только мероприятия, которые были отобраны в соответствии с пунктом 11 настоящих Правил; (в ред. Постановления Правительства РФ от 15.07.2013 N 596)

B - совокупный размер средств, предусмотренных в бюджетах всех субъектов Российской Федерации, включенных в перечень, предусмотренный приложением к настоящим Правилам, и представивших в Министерство экономического развития Российской Федерации заявки на предоставление субсидий, и (или) в бюджетах всех муниципальных образований, на территориях которых расположены территориальные кластеры, включенные в перечень, предусмотренный приложением к настоящим Правилам, по которым в Министерство экономического развития Российской Федерации представлены заявки на предоставление субсидий, на исполнение расходных обязательств по реализации мероприятий по направлению, указанному в подпункте "е" пункта 3 настоящих Правил. При этом учитываются только мероприятия, которые были отобраны в соответствии с пунктом 11 настоящих Правил. (в ред. Постановления Правительства РФ от 15.07.2013 N 596)

В случае распределения остатка средств субсидии в соответствии с подпунктом "в" настоящего пункта, подпунктом "г" пункта 16 и (или) подпунктом "в" пункта 17 настоящих Правил при расчете значения B учитывается только размер средств, предусмотренных в бюджетах субъектов Российской Федерации и (или) в бюджетах муниципальных образований, на территориях которых расположены территориальные кластеры, за исключением территориальных кластеров, удовлетворяющих условиям подпункта "б" настоящего пункта, подпункта "в" пункта 16 и (или) подпунктов "б" или "в" пункта 17 настоящих Правил; (в ред. Постановления Правительства РФ от 15.07.2013 N 596)

- размер средств, предусмотренных в бюджете i-го субъекта Российской Федерации, включенного в перечень, предусмотренный приложением к настоящим Правилам, и (или) в бюджете муниципального образования (муниципальных образований), на территории которого расположен соответствующий территориальный кластер, на исполнение расходных обязательств по реализации мероприятий в отношении территориального кластера, расположенного на территории этого субъекта Российской Федерации, по направлению, указанному в подпункте "ж" пункта 3 настоящих Правил. При этом учитываются только мероприятия, которые были отобраны в соответствии с пунктом 11 настоящих Правил; (в ред. Постановления Правительства РФ от 15.07.2013 N 596)

D - совокупный размер средств, предусмотренных в бюджетах всех субъектов Российской Федерации, включенных в перечень, предусмотренный приложением к настоящим Правилам, и представивших в Министерство экономического развития Российской Федерации заявки на предоставление субсидий, и (или) в бюджетах всех муниципальных образований, на территориях которых расположены территориальные кластеры, включенные в перечень, предусмотренный приложением к настоящим Правилам, по которым в Министерство экономического развития Российской Федерации представлены заявки на предоставление субсидий, на исполнение расходных обязательств по реализации мероприятий по направлению, указанному в подпункте "ж" пункта 3 настоящих Правил. При этом учитываются только мероприятия, которые были отобраны в соответствии с пунктом 11 настоящих Правил. (в ред. Постановления Правительства РФ от 15.07.2013 N 596)

В случае распределения остатка средств субсидии в соответствии с подпунктом "в" настоящего пункта, подпунктом "г" пункта 16 и (или) подпунктом "в" пункта 17 настоящих Правил при расчете значения D учитывается только размер средств, предусмотренных в бюджетах субъектов Российской Федерации и (или) в бюджетах муниципальных образований, на территориях которых расположены территориальные кластеры, за исключением территориальных кластеров, удовлетворяющих условиям подпункта "б" настоящего пункта, подпункта "в" пункта 16 и (или) подпунктов "б" или "в" пункта 17 настоящих Правил; (в ред. Постановления Правительства РФ от 15.07.2013 N 596)

При этом в случае, если размер субсидии i-му субъекту Российской Федерации, определенный в соответствии с настоящим подпунктом, удовлетворяет условию: (в ред. Постановления Правительства РФ от 15.09.2014 N 941)

где: (в ред. Постановления Правительства РФ от 15.09.2014 N 941)

- размер средств, необходимых для реализации мероприятий по направлениям, указанным в подпунктах "а" - "д" пункта 3 настоящих Правил, содержащихся в перечне, представленном i-м субъектом Российской Федерации в соответствии с подпунктом "д" пункта 6 настоящих Правил, и отобранных в соответствии с пунктом 13 настоящих Правил; (в ред. Постановления Правительства РФ от 15.09.2014 N 941)

- размер средств, необходимых для реализации мероприятий по направлению, указанному в подпункте "е" пункта 3 настоящих Правил, содержащихся в перечне, представленном i-м субъектом Российской Федерации в соответствии с подпунктом "д" пункта 6 настоящих Правил, и отобранных в соответствии с пунктом 13 настоящих Правил; (в ред. Постановления Правительства РФ от 15.09.2014 N 941)

- размер средств, необходимых для реализации мероприятий по направлению, указанному в подпункте "ж" пункта 3 настоящих Правил, содержащихся в перечне, представленном i-м субъектом Российской Федерации в соответствии с подпунктом "д" пункта 6 настоящих Правил, и отобранных в соответствии с пунктом 13 настоящих Правил, то средства субсидии распределяются сначала на мероприятия по направлениям, указанным в подпунктах "а" - "д" пункта 3 настоящих Правил, затем на мероприятия по направлению, указанному в подпункте "е" пункта 3 настоящих Правил, затем на мероприятия по направлению, указанному в подпункте "ж" пункта 3 настоящих Правил. (в ред. Постановления Правительства РФ от 15.09.2014 N 941)

В случае распределения остатка средств субсидии в соответствии с подпунктом "в" настоящего пункта значение: (в ред. Постановления Правительства РФ от 15.09.2014 N 941)

определяется как оставшаяся потребность i-ro субъекта Российской Федерации в средствах, необходимых для реализации мероприятий по направлениям, указанным в подпунктах "а" - "д" пункта 3 настоящих Правил, содержащихся в перечне, представленном i-м субъектом Российской Федерации в соответствии с подпунктом "д" пункта 6 настоящих Правил, и отобранных в соответствии с пунктом 13 настоящих Правил; (в ред. Постановления Правительства РФ от 15.09.2014 N 941)

определяется как оставшаяся потребность i-го субъекта Российской Федерации в средствах, необходимых для реализации мероприятий по направлению, указанному в подпункте "е" пункта 3 настоящих Правил, содержащихся в перечне, представленном i-м субъектом Российской Федерации в соответствии с подпунктом "д" пункта 6 настоящих Правил, и отобранных в соответствии с пунктом 13 настоящих Правил; (в ред. Постановления Правительства РФ от 15.09.2014 N 941)

определяется как оставшаяся потребность i-го субъекта Российской Федерации в средствах, необходимых для реализации мероприятий по направлению, указанному в подпункте "ж" пункта 3 настоящих Правил, содержащихся в перечне, представленном i-м субъектом Российской Федерации в соответствии с подпунктом "д" пункта 6 настоящих Правил, и отобранных в соответствии с пунктом 13 настоящих Правил; (в ред. Постановления Правительства РФ от 15.09.2014 N 941)

б) в случае если размер субсидии i-му субъекту Российской Федерации, определенный в соответствии с подпунктом "а" настоящего пункта, удовлетворяет условию: (в ред. Постановления Правительства РФ от 15.09.2014 N 941)

то размер субсидии бюджету i-го субъекта Российской Федерации определяется по формуле: (в ред. Постановления Правительства РФ от 15.09.2014 N 941)

где: (в ред. Постановления Правительства РФ от 15.09.2014 N 941)

- размер средств, необходимых для реализации мероприятий по направлениям, указанным в подпунктах "а" - "д" пункта 3 настоящих Правил, содержащихся в перечне, представленном i-м субъектом Российской Федерации в соответствии с подпунктом "д" пункта 6 настоящих Правил, и отобранных в соответствии с пунктом 13 настоящих Правил; (в ред. Постановления Правительства РФ от 15.09.2014 N 941)

- размер средств, необходимых для реализации мероприятий по направлению, указанному в подпункте "е" пункта 3 настоящих Правил, содержащихся в перечне, представленном i-м субъектом Российской Федерации в соответствии с подпунктом "д" пункта 6 настоящих Правил, и отобранных в соответствии с пунктом 13 настоящих Правил; (в ред. Постановления Правительства РФ от 15.09.2014 N 941)

- размер средств, необходимых для реализации мероприятий по направлению, указанному в подпункте "ж" пункта 3 настоящих Правил, содержащихся в перечне, представленном i-м субъектом Российской Федерации в соответствии с подпунктом "д" пункта 6 настоящих Правил, и отобранных в соответствии с пунктом 13 настоящих Правил. (в ред. Постановления Правительства РФ от 15.09.2014 N 941)

В случае распределения остатка средств субсидии в соответствии с подпунктом "в" настоящего пункта значение: (в ред. Постановления Правительства РФ от 15.09.2014 N 941)

определяется как оставшаяся потребность i-го субъекта Российской Федерации в средствах, необходимых для реализации мероприятий по направлениям, указанным в подпунктах "а" - "д" пункта 3 настоящих Правил, содержащихся в перечне, представленном i-м субъектом Российской Федерации в соответствии с подпунктом "д" пункта 6 настоящих Правил, и отобранных в соответствии с пунктом 13 настоящих Правил; (в ред. Постановления Правительства РФ от 15.09.2014 N 941)

определяется как оставшаяся потребность i-го субъекта Российской Федерации в средствах, необходимых для реализации мероприятий по направлению, указанному в подпункте "е" пункта 3 настоящих Правил, содержащихся в перечне, представленном i-м субъектом Российской Федерации в соответствии с подпунктом "д" пункта 6 настоящих Правил, и отобранных в соответствии с пунктом 13 настоящих Правил; (в ред. Постановления Правительства РФ от 15.09.2014 N 941)

определяется как оставшаяся потребность i-го субъекта Российской Федерации в средствах, необходимых для реализации мероприятий по направлению, указанному в подпункте "ж" пункта 3 настоящих Правил, содержащихся в перечне, представленном i-м субъектом Российской Федерации в соответствии с подпунктом "д" пункта 6 настоящих Правил, и отобранных в соответствии с пунктом 13 настоящих Правил; (в ред. Постановления Правительства РФ от 15.09.2014 N 941)

в) остаток средств субсидии распределяется между оставшимися бюджетами субъектов Российской Федерации в порядке, указанном в пункте 14 настоящих Правил.

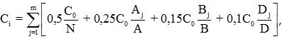
16. В случае если на территории i-го субъекта Российской Федерации располагается более одного территориального кластера, то размер субсидии определяется в следующем порядке: (в ред. Постановления Правительства РФ от 15.07.2013 N 596)

а) размер субсидии, предоставляемой i-му субъекту Российской Федерации, определяется по формуле: (в ред. Постановления Правительства РФ от 15.07.2013 N 596)

(в ред. Постановления Правительства РФ от 15.07.2013 N 596)

где: (в ред. Постановления Правительства РФ от 15.07.2013 N 596)

m - число территориальных кластеров, расположенных на территории этого субъекта Российской Федерации, по которым в перечень мероприятий в соответствии с пунктом 13 настоящих Правил отобрано хотя бы одно мероприятие. (в ред. Постановления Правительства РФ от 15.07.2013 N 596)

В случае распределения остатка средств субсидии в соответствии с подпунктом "г" настоящего пункта при расчете значения m учитываются только указанные территориальные кластеры, за исключением удовлетворяющих условиям подпункта "в" настоящего пункта; (в ред. Постановления Правительства РФ от 15.07.2013 N 596)

j - порядковый номер показателя, имеющий значение от 1 до m; (в ред. Постановления Правительства РФ от 15.07.2013 N 596)

- размер средств, предусмотренных в бюджете i-го субъекта Российской Федерации, включенного в перечень, предусмотренный приложением к настоящим Правилам, и (или) в бюджете муниципального образования (муниципальных образований), на территории которого расположен j-й территориальный кластер, на исполнение расходных обязательств по реализации мероприятий в отношении j-го территориального кластера, расположенного на территории этого субъекта Российской Федерации, по направлениям, указанным в подпунктах "а" - "д" пункта 3 настоящих Правил. При этом учитываются только мероприятия, которые были отобраны в соответствии с пунктом 11 настоящих Правил; (в ред. Постановления Правительства РФ от 15.07.2013 N 596)

- размер средств, предусмотренных в бюджете i-го субъекта Российской Федерации, включенного в перечень, предусмотренный приложением к настоящим Правилам, и (или) в бюджете муниципального образования (муниципальных образований), на территории которого расположен j-й территориальный кластер, на исполнение расходных обязательств по реализации мероприятий в отношении j-го территориального кластера, расположенного на территории этого субъекта Российской Федерации, по направлению, указанному в подпункте "е" пункта 3 настоящих Правил. При этом учитываются только мероприятия, которые были отобраны в соответствии с пунктом 11 настоящих Правил; (в ред. Постановления Правительства РФ от 15.07.2013 N 596)

- размер средств, предусмотренных в бюджете i-го субъекта Российской Федерации, включенного в перечень, предусмотренный приложением к настоящим Правилам, и (или) в бюджете муниципального образования (муниципальных образований), на территории которого расположен j-й территориальный кластер, на исполнение расходных обязательств по реализации мероприятий в отношении j-го территориального кластера, расположенного на территории этого субъекта Российской Федерации, по направлению, указанному в подпункте "ж" пункта 3 настоящих Правил. При этом учитываются только мероприятия, которые были отобраны в соответствии с пунктом 11 настоящих Правил; (в ред. Постановления Правительства РФ от 15.07.2013 N 596)

б) размер субсидии, направляемой на поддержку j-го территориального кластера, определяется по формуле: (в ред. Постановления Правительства РФ от 15.07.2013 N 596)

(в ред. Постановления Правительства РФ от 15.07.2013 N 596)

где (в ред. Постановления Правительства РФ от 15.07.2013 N 596)

- размер субсидии, направляемой на поддержку j-го территориального кластера; (в ред. Постановления Правительства РФ от 15.07.2013 N 596)

При этом в случае, если размер субсидии, направляемой на поддержку j-го территориального кластера, удовлетворяет условию: (в ред. Постановления Правительства РФ от 15.09.2014 N 941)

где: (в ред. Постановления Правительства РФ от 15.09.2014 N 941)

- размер средств, необходимых для реализации мероприятий в отношении j-го территориального кластера по направлениям, указанным в подпунктах "а" - "д" пункта 3 настоящих Правил, содержащихся в перечне, представленном i-м субъектом Российской Федерации в соответствии с подпунктом "д" пункта 6 настоящих Правил, и отобранных в соответствии с пунктом 13 настоящих Правил; (в ред. Постановления Правительства РФ от 15.09.2014 N 941)

- размер средств, необходимых для реализации мероприятий в отношении j-го территориального кластера по направлению, указанному в подпункте "е" пункта 3 настоящих Правил, содержащихся в перечне, представленном i-м субъектом Российской Федерации в соответствии с подпунктом "д" пункта 6 настоящих Правил, и отобранных в соответствии с пунктом 13 настоящих Правил; (в ред. Постановления Правительства РФ от 15.09.2014 N 941)

- размер средств, необходимых для реализации мероприятий в отношении j-го территориального кластера по направлению, указанному в подпункте "ж" пункта 3 настоящих Правил, содержащихся в перечне, представленном i-м субъектом Российской Федерации в соответствии с подпунктом "д" пункта 6 настоящих Правил, и отобранных в соответствии с пунктом 13 настоящих Правил, то средства субсидии распределяются сначала на мероприятия по направлениям, указанным в подпунктах "а" - "д" пункта 3 настоящих Правил, затем на мероприятия по направлению, указанному в подпункте "е" пункта 3 настоящих Правил, затем на мероприятия по направлению, указанному в подпункте "ж" пункта 3 настоящих Правил. (в ред. Постановления Правительства РФ от 15.09.2014 N 941)

В случае распределения остатка средств субсидии в соответствии с подпунктом "г" настоящего пункта значение: (в ред. Постановления Правительства РФ от 15.09.2014 N 941)

определяется как оставшаяся потребность i-го субъекта Российской Федерации в средствах, необходимых для реализации мероприятий в отношении j-го территориального кластера по направлениям, указанным в подпунктах "а" - "д" пункта 3 настоящих Правил, содержащихся в перечне, представленном i-м субъектом Российской Федерации в соответствии с подпунктом "д" пункта 6 настоящих Правил, и отобранных в соответствии с пунктом 13 настоящих Правил; (в ред. Постановления Правительства РФ от 15.09.2014 N 941)

определяется как оставшаяся потребность i-го субъекта Российской Федерации в средствах, необходимых для реализации мероприятий в отношении j-го территориального кластера по направлению, указанному в подпункте "е" пункта 3 настоящих Правил, содержащихся в перечне, представленном i-м субъектом Российской Федерации в соответствии с подпунктом "д" пункта 6 настоящих Правил, и отобранных в соответствии с пунктом 13 настоящих Правил; (в ред. Постановления Правительства РФ от 15.09.2014 N 941)

определяется как оставшаяся потребность i-го субъекта Российской Федерации в средствах, необходимых для реализации мероприятий в отношении j-го территориального кластера по направлению, указанному в подпункте "ж" пункта 3 настоящих Правил, содержащихся в перечне, представленном i-м субъектом Российской Федерации в соответствии с подпунктом "д" пункта 6 настоящих Правил, и отобранных в соответствии с пунктом 13 настоящих Правил; (в ред. Постановления Правительства РФ от 15.09.2014 N 941)

в) в случае если размер субсидии, направляемой на поддержку j-го территориального кластера, определенный в соответствии с подпунктом "б" настоящего пункта, удовлетворяет условию: (в ред. Постановления Правительства РФ от 15.09.2014 N 941)

то размер субсидии на поддержку развития j-го территориального кластера определяется по формуле: (в ред. Постановления Правительства РФ от 15.09.2014 N 941)

где: (в ред. Постановления Правительства РФ от 15.09.2014 N 941)

- размер средств, необходимых для реализации мероприятий в отношении j-го территориального кластера по направлениям, указанным в подпунктах "а" - "д" пункта 3 настоящих Правил, содержащихся в перечне, представленном i-м субъектом Российской Федерации в соответствии с подпунктом "д" пункта 6 настоящих Правил, и отобранных в соответствии с пунктом 13 настоящих Правил; (в ред. Постановления Правительства РФ от 15.09.2014 N 941)

- размер средств, необходимых для реализации мероприятий в отношении j-го территориального кластера по направлению, указанному в подпункте "е" пункта 3 настоящих Правил, содержащихся в перечне, представленном i-м субъектом Российской Федерации в соответствии с подпунктом "д" пункта 6 настоящих Правил, и отобранных в соответствии с пунктом 13 настоящих Правил; (в ред. Постановления Правительства РФ от 15.09.2014 N 941)

- размер средств, необходимых для реализации мероприятий в отношении j-го территориального кластера по направлению, указанному в подпункте "ж" пункта 3 настоящих Правил, содержащихся в перечне, представленном i-м субъектом Российской Федерации в соответствии с подпунктом "д" пункта 6 настоящих Правил, и отобранных в соответствии с пунктом 13 настоящих Правил. (в ред. Постановления Правительства РФ от 15.09.2014 N 941)

В случае распределения остатка средств субсидии в соответствии с подпунктом "г" настоящего пункта значение: (в ред. Постановления Правительства РФ от 15.09.2014 N 941)

определяется как оставшаяся потребность i-го субъекта Российской Федерации в средствах, необходимых для реализации мероприятий в отношении j-го территориального кластера по направлениям, указанным в подпунктах "а" - "д" пункта 3 настоящих Правил, содержащихся в перечне, представленном i-м субъектом Российской Федерации в соответствии с подпунктом "д" пункта 6 настоящих Правил, и отобранных в соответствии с пунктом 13 настоящих Правил; (в ред. Постановления Правительства РФ от 15.09.2014 N 941)

определяется как оставшаяся потребность i-го субъекта Российской Федерации в средствах, необходимых для реализации мероприятий в отношении j-го территориального кластера по направлению, указанному в подпункте "е" пункта 3 настоящих Правил, содержащихся в перечне, представленном i-м субъектом Российской Федерации в соответствии с подпунктом "д" пункта 6 настоящих Правил, и отобранных в соответствии с пунктом 13 настоящих Правил; (в ред. Постановления Правительства РФ от 15.09.2014 N 941)

определяется как оставшаяся потребность i-го субъекта Российской Федерации в средствах, необходимых для реализации мероприятий в отношении j-го территориального кластера по направлению, указанному в подпункте "ж" пункта 3 настоящих Правил, содержащихся в перечне, представленном i-м субъектом Российской Федерации в соответствии с подпунктом "д" пункта 6 настоящих Правил, и отобранных в соответствии с пунктом 13 настоящих Правил; (в ред. Постановления Правительства РФ от 15.09.2014 N 941)

г) остаток субсидии распределяется между бюджетами субъектов Российской Федерации на поддержку оставшихся территориальных кластеров в порядке, указанном в пункте 14 настоящих Правил. (в ред. Постановления Правительства РФ от 15.07.2013 N 596)

17. В случае если j-й территориальный кластер расположен на территории 2 субъектов Российской Федерации, размер субсидии на поддержку этого кластера определяется в следующем порядке: (в ред. Постановления Правительства РФ от 15.07.2013 N 596)

а) размер субсидии, предоставляемой субъектам Российской Федерации, на территории которых расположен j-й территориальный кластер, определяется по формуле: (в ред. Постановления Правительства РФ от 15.07.2013 N 596)

(в ред. Постановления Правительства РФ от 15.07.2013 N 596)

где: (в ред. Постановления Правительства РФ от 15.07.2013 N 596)

- размер субсидии, предоставляемой субъектам Российской Федерации, на территории которых расположен j-й территориальный кластер; (в ред. Постановления Правительства РФ от 15.07.2013 N 596)

i - порядковый номер показателя, имеющий значение от 1 до 2; (в ред. Постановления Правительства РФ от 15.07.2013 N 596)

- размер средств, предусмотренных в бюджете i-го субъекта Российской Федерации, включенного в перечень, предусмотренный приложением к настоящим Правилам, и (или) в бюджете находящегося на его территории муниципального образования (муниципальных образований), на территории которого расположен j-й территориальный кластер, на исполнение расходных обязательств по реализации мероприятий в отношении j-го территориального кластера по направлениям, указанным в подпунктах "а" - "д" пункта 3 настоящих Правил. При этом учитываются только мероприятия, которые были отобраны в соответствии с пунктом 11 настоящих Правил; (в ред. Постановления Правительства РФ от 15.07.2013 N 596)

- размер средств, предусмотренных в бюджете i-го субъекта Российской Федерации, включенного в перечень, предусмотренный приложением к настоящим Правилам, и (или) в бюджете находящегося на его территории муниципального образования (муниципальных образований), на территории которого расположен j-й территориальный кластер, на исполнение расходных обязательств по реализации мероприятий в отношении j-го территориального кластера по направлению, указанному в подпункте "е" пункта 3 настоящих Правил. При этом учитываются только мероприятия, которые были отобраны в соответствии с пунктом 11 настоящих Правил; (в ред. Постановления Правительства РФ от 15.07.2013 N 596)

- размер средств, предусмотренных в бюджете i-го субъекта Российской Федерации, включенного в перечень, предусмотренный приложением к настоящим Правилам, и (или) в бюджете находящегося на его территории муниципального образования (муниципальных образований), на территории которого расположен j-й территориальный кластер, на исполнение расходных обязательств по реализации мероприятий в отношении j-го территориального кластера по направлению, указанному в подпункте "ж" пункта 3 настоящих Правил. При этом учитываются только мероприятия, которые были отобраны в соответствии с пунктом 11 настоящих Правил. (в ред. Постановления Правительства РФ от 15.07.2013 N 596)

При этом размер субсидии бюджету i-го субъекта Российской Федерации определяется по формуле: (в ред. Постановления Правительства РФ от 15.07.2013 N 596)

(в ред. Постановления Правительства РФ от 15.07.2013 N 596)

При этом в случае, если размер субсидии, предоставляемой бюджету одного из 2 субъектов Российской Федерации, удовлетворяет условию: (в ред. Постановления Правительства РФ от 15.09.2014 N 941)

где: (в ред. Постановления Правительства РФ от 15.09.2014 N 941)

- размер средств, необходимых для реализации мероприятий в отношении j-го территориального кластера по направлениям, указанным в подпунктах "а" - "д" пункта 3 настоящих Правил, содержащихся в перечне, представленном i-м субъектом Российской Федерации в соответствии с подпунктом "д" пункта 6 настоящих Правил, и отобранных в соответствии с пунктом 13 настоящих Правил; (в ред. Постановления Правительства РФ от 15.09.2014 N 941)

- размер средств, необходимых для реализации мероприятий в отношении j-го территориального кластера по направлению, указанному в подпункте "е" пункта 3 настоящих Правил, содержащихся в перечне, представленном i-м субъектом Российской Федерации в соответствии с подпунктом "д" пункта 6 настоящих Правил, и отобранных в соответствии с пунктом 13 настоящих Правил; (в ред. Постановления Правительства РФ от 15.09.2014 N 941)

- размер средств, необходимых для реализации мероприятий в отношении j-го территориального кластера по направлению, указанному в подпункте "ж" пункта 3 настоящих Правил, содержащихся в перечне, представленном i-м субъектом Российской Федерации в соответствии с подпунктом "д" пункта 6 настоящих Правил, и отобранных в соответствии с пунктом 13 настоящих Правил, то средства субсидии распределяются сначала на мероприятия по направлениям, указанным в подпунктах "а" - "д" пункта 3 настоящих Правил, затем на мероприятия по направлению, указанному в подпункте "е" пункта 3 настоящих Правил, затем на мероприятия по направлению, указанному в подпункте "ж" пункта 3 настоящих Правил. (в ред. Постановления Правительства РФ от 15.09.2014 N 941)

В случае распределения остатка средств субсидии в соответствии с подпунктом "в" настоящего пункта значение: (в ред. Постановления Правительства РФ от 15.09.2014 N 941)

определяется как оставшаяся потребность i-го субъекта Российской Федерации в средствах, необходимых для реализации мероприятий по направлениям, указанным в подпунктах "а" - "д" пункта 3 настоящих Правил, содержащихся в перечне, представленном i-м субъектом Российской Федерации в соответствии с подпунктом "д" пункта 6 настоящих Правил, и отобранных в соответствии с пунктом 13 настоящих Правил; (в ред. Постановления Правительства РФ от 15.09.2014 N 941)

определяется как оставшаяся потребность i-го субъекта Российской Федерации в средствах, необходимых для реализации мероприятий по направлению, указанному в подпункте "е" пункта 3 настоящих Правил, содержащихся в перечне, представленном i-м субъектом Российской Федерации в соответствии с подпунктом "д" пункта 6 настоящих Правил, и отобранных в соответствии с пунктом 13 настоящих Правил; (в ред. Постановления Правительства РФ от 15.09.2014 N 941)

определяется как оставшаяся потребность i-го субъекта Российской Федерации в средствах, необходимых для реализации мероприятий по направлению, указанному в подпункте "ж" пункта 3 настоящих Правил, содержащихся в перечне, представленном i-м субъектом Российской Федерации в соответствии с подпунктом "д" пункта 6 настоящих Правил, и отобранных в соответствии с пунктом 13 настоящих Правил; (в ред. Постановления Правительства РФ от 15.09.2014 N 941)

б) в случае если размер субсидии, предоставляемой бюджету одного из 2 субъектов Российской Федерации, определенный в соответствии с подпунктом "а" настоящего пункта, удовлетворяет условию: (в ред. Постановления Правительства РФ от 15.09.2014 N 941)

то размер субсидии бюджету указанного субъекта Российской Федерации определяется по формуле: (в ред. Постановления Правительства РФ от 15.09.2014 N 941)

где: (в ред. Постановления Правительства РФ от 15.09.2014 N 941)

- размер средств, необходимых для реализации мероприятий в отношении j-го территориального кластера по направлениям, указанным в подпунктах "а" - "д" пункта 3 настоящих Правил, содержащихся в перечне, представленном i-м субъектом Российской Федерации в соответствии с подпунктом "д" пункта 6 настоящих Правил, и отобранных в соответствии с пунктом 13 настоящих Правил; (в ред. Постановления Правительства РФ от 15.09.2014 N 941)

- размер средств, необходимых для реализации мероприятий в отношении j-го территориального кластера по направлению, указанному в подпункте "е" пункта 3 настоящих Правил, содержащихся в перечне, представленном i-м субъектом Российской Федерации в соответствии с подпунктом "д" пункта 6 настоящих Правил, и отобранных в соответствии с пунктом 13 настоящих Правил; (в ред. Постановления Правительства РФ от 15.09.2014 N 941)

- размер средств, необходимых для реализации мероприятий в отношении j-го территориального кластера по направлению, указанному в подпункте "ж" пункта 3 настоящих Правил, содержащихся в перечне, представленном i-м субъектом Российской Федерации в соответствии с подпунктом "д" пункта 6 настоящих Правил, и отобранных в соответствии с пунктом 13 настоящих Правил. (в ред. Постановления Правительства РФ от 15.09.2014 N 941)

В случае распределения остатка средств субсидии в соответствии с подпунктом "в" настоящего пункта значение: (в ред. Постановления Правительства РФ от 15.09.2014 N 941)

определяется как оставшаяся потребность i-го субъекта Российской Федерации в средствах, необходимых для реализации мероприятий по направлениям, указанным в подпунктах "а" - "д" пункта 3 настоящих Правил, содержащихся в перечне, представленном i-м субъектом Российской Федерации в соответствии с подпунктом "д" пункта 6 настоящих Правил, и отобранных в соответствии с пунктом 13 настоящих Правил; (в ред. Постановления Правительства РФ от 15.09.2014 N 941)

определяется как оставшаяся потребность i-го субъекта Российской Федерации в средствах, необходимых для реализации мероприятий по направлению, указанному в подпункте "е" пункта 3 настоящих Правил, содержащихся в перечне, представленном i-м субъектом Российской Федерации в соответствии с подпунктом "д" пункта 6 настоящих Правил, и отобранных в соответствии с пунктом 13 настоящих Правил; (в ред. Постановления Правительства РФ от 15.09.2014 N 941)

определяется как оставшаяся потребность i-го субъекта Российской Федерации в средствах, необходимых для реализации мероприятий по направлению, указанному в подпункте "ж" пункта 3 настоящих Правил, содержащихся в перечне, представленном i-м субъектом Российской Федерации в соответствии с подпунктом "д" пункта 6 настоящих Правил, и отобранных в соответствии с пунктом 13 настоящих Правил. (в ред. Постановления Правительства РФ от 15.09.2014 N 941)

В этом случае остаток субсидии распределяется бюджету другого субъекта Российской Федерации, на территории которого расположен j-й территориальный кластер; (в ред. Постановления Правительства РФ от 15.09.2014 N 941)

в) в случае если размер субсидии, предоставляемой субъектам Российской Федерации, на территории которых расположен j-й территориальный кластер, определенный в соответствии с подпунктами "а" и "б" настоящего пункта, удовлетворяет условию: (в ред. Постановления Правительства РФ от 15.07.2013 N 596)

(в ред. Постановления Правительства РФ от 15.09.2014 N 941)

то размер субсидии на поддержку этого кластера определяется по формуле: (в ред. Постановления Правительства РФ от 15.07.2013 N 596)

(в ред. Постановления Правительства РФ от 15.09.2014 N 941)

При этом размер субсидии бюджету i-го субъекта Российской Федерации определяется по формуле: (в ред. Постановления Правительства РФ от 15.07.2013 N 596)

(в ред. Постановления Правительства РФ от 15.09.2014 N 941)

В этом случае остаток субсидии распределяется между оставшимися бюджетами субъектов Российской Федерации в порядке, указанном в пункте 14 настоящих Правил. (в ред. Постановления Правительства РФ от 15.07.2013 N 596)

18. Уровень софинансирования расходного обязательства субъекта Российской Федерации за счет субсидии определяется по формуле:

где: (в ред. Постановления Правительства РФ от 15.09.2014 N 941)

- уровень расчетной бюджетной обеспеченности i-го субъекта Российской Федерации на соответствующий финансовый год, рассчитанный в соответствии с методикой распределения дотаций на выравнивание бюджетной обеспеченности субъектов Российской Федерации, утвержденной постановлением Правительства Российской Федерации от 22 ноября 2004 г. N 670.

Уровень софинансирования за счет субсидии не может быть установлен ниже 70 процентов и выше 95 процентов расходного обязательства субъекта Российской Федерации. (в ред. Постановления Правительства РФ от 15.09.2014 N 941)

В отношении мероприятий по направлению, указанному в подпункте "е" пункта 3 настоящих Правил, включенных в предусмотренный пунктом 13 настоящих Правил перечень мероприятий, уровень софинансирования за счет субсидии не может быть установлен больше величины 0,8 / . (в ред. Постановления Правительства РФ от 15.09.2014 N 941)

В отношении мероприятий по направлению, указанному в подпункте "ж" пункта 3 настоящих Правил, включенных в предусмотренный пунктом 13 настоящих Правил перечень мероприятий, уровень софинансирования за счет субсидии не может быть установлен больше величины 0,7 / . (в ред. Постановления Правительства РФ от 15.09.2014 N 941)

Уровень софинансирования расходных обязательств субъектов Российской Федерации за счет субсидии на текущий финансовый год утверждается федеральным органом исполнительной власти - главным распорядителем средств федерального бюджета.

19. Распределение субсидий между бюджетами субъектов Российской Федерации утверждается Правительством Российской Федерации в пределах размера бюджетных ассигнований, предусмотренных в федеральном законе о федеральном бюджете на текущий финансовый год и плановый период.

20. В соответствии с размером субсидии, определенным в соответствии с пунктом 14 настоящих Правил, уполномоченный орган из числа мероприятий, включенных в предусмотренный пунктом 13 настоящих Правил перечень, определяет мероприятия, на реализацию которых будут направлены субсидии.

21. Предоставление субсидии осуществляется на основании соглашения, заключаемого федеральным органом исполнительной власти - главным распорядителем средств федерального бюджета и высшим исполнительным органом государственной власти субъекта Российской Федерации по форме, устанавливаемой Министерством экономического развития Российской Федерации. (в ред. Постановления Правительства РФ от 15.07.2013 N 596)

22. Соглашение должно содержать:

а) определение уполномоченного органа;

б) размер предоставляемой субсидии, условия ее предоставления и расходования;

в) целевое назначение субсидии, а также перечень мероприятий, на реализацию которых будет направлена субсидия, в соответствии с пунктом 20 настоящих Правил;

г) сведения о размере бюджетных ассигнований, предусмотренных в бюджете субъекта Российской Федерации на очередной финансовый год и плановый период на финансовое обеспечение расходного обязательства субъекта Российской Федерации, в части финансирования в очередном финансовом году и плановый период мероприятий;

д) график перечисления субсидии;

е) обязательство уполномоченного органа представлять отчетность об исполнении обязательств по соглашению, в том числе об осуществлении расходов бюджета субъекта Российской Федерации, источником финансового обеспечения которых является субсидия, а также о достигнутых значениях показателей результативности предоставления субсидии;

ж) обязательство уполномоченного органа представлять отчетность об исполнении обязательств по реализации программы;

з) сведения о нормативном правовом акте субъекта Российской Федерации, устанавливающем расходные обязательства субъекта Российской Федерации, на исполнение которых предоставляется субсидия;

и) порядок осуществления контроля за соблюдением субъектом Российской Федерации условий, установленных при предоставлении субсидии, а также основания и порядок приостановления и прекращения предоставления субсидии;

к) сроки и порядок представления уполномоченным органом отчетности, предусмотренной подпунктом "е" настоящего пункта, федеральному органу исполнительной власти - главному распорядителю средств федерального бюджета;

л) значения показателей результативности предоставления субсидии;

м) последствия недостижения субъектом Российской Федерации установленных значений показателей результативности предоставления субсидии;

н) ответственность сторон за нарушение условий соглашения;

о) иные условия, относящиеся к предмету соглашения.

23. В случае если территориальный кластер располагается на территории 2 субъектов Российской Федерации и уполномоченный орган каждого из них в соответствии с пунктом 20 настоящих Правил определил мероприятия, на реализацию которых будет направлена субсидия, с высшим исполнительным органом государственной власти каждого из указанных субъектов Российской Федерации заключается отдельное соглашение. (в ред. Постановления Правительства РФ от 15.07.2013 N 596)

24. Перечисление субсидий осуществляется в установленном порядке на счета, открытые территориальным органам Федерального казначейства для учета поступлений средств и их распределения между бюджетами бюджетной системы Российской Федерации, для последующего перечисления в установленном порядке в бюджеты субъектов Российской Федерации.

Высший исполнительный орган государственной власти субъекта Российской Федерации несет ответственность за своевременность и полноту финансового обеспечения расходов, подлежащих осуществлению за счет средств бюджета субъекта Российской Федерации, на выполнение мероприятий, на реализацию которых направлены субсидии.

25. Для перечисления субсидии уполномоченный орган представляет федеральному органу исполнительной власти - главному распорядителю средств федерального бюджета заявку на перечисление субсидии, а также другие необходимые документы.

Форма и сроки представления заявки о перечислении субсидии, перечень, формы и сроки представления других документов, необходимых для перечисления субсидии, утверждаются федеральным органом исполнительной власти - главным распорядителем средств федерального бюджета.

Операции по кассовым расходам бюджетов субъектов Российской Федерации, источником финансового обеспечения которых являются субсидии, в том числе их остатки, не использованные на начало текущего финансового года, учитываются в соответствии с требованиями, установленными федеральным законом о федеральном бюджете на текущий финансовый год и плановый период.

26. Уполномоченные органы представляют федеральному органу исполнительной власти - главному распорядителю средств федерального бюджета:

а) отчет о расходах бюджета субъекта Российской Федерации, источником финансового обеспечения которых является субсидия, по форме и в сроки, которые устанавливаются федеральным органом исполнительной власти - главным распорядителем средств федерального бюджета;

б) отчет о достижении значений показателей результативности предоставления субсидии по форме и в сроки, которые устанавливаются Министерством экономического развития Российской Федерации.

27. В случае несоблюдения высшим исполнительным органом государственной власти субъекта Российской Федерации условий предоставления субсидий, а также обязательств, установленных соглашением, перечисление субсидии приостанавливается Министерством финансов Российской Федерации в установленном им порядке на основании предложений Министерства экономического развития Российской Федерации. При этом федеральный орган исполнительной власти - главный распорядитель средств федерального бюджета информирует субъект Российской Федерации о приостановлении предоставления субсидии с указанием причин и срока устранения нарушений.

28. Результативность использования субсидий в отчетном финансовом году оценивается федеральным органом исполнительной власти - главным распорядителем средств федерального бюджета до 1 мая года, следующего за отчетным, на основании представленных уполномоченными органами отчетов о достижении значений показателей результативности предоставления субсидий. (в ред. Постановления Правительства РФ от 15.09.2014 N 941)

29. Результативность использования субсидии определяется федеральным органом исполнительной власти - главным распорядителем средств федерального бюджета на основе следующих показателей результативности предоставления субсидий:

а) численность работников организаций-участников, прошедших профессиональную переподготовку и повышение квалификации по программам дополнительного профессионального образования в области управления инновационной деятельностью;

б) рост средней заработной платы работников организаций-участников, прошедших профессиональную переподготовку и повышение квалификации по программам дополнительного профессионального образования в области управления инновационной деятельностью;

в) рост объема работ и проектов в сфере научных исследований и разработок, выполняемых совместно двумя и более организациями-участниками либо одной или более организацией-участником совместно с иностранными организациями, с начала реализации в отчетном финансовом году и в период последующих 2 лет;

г) рост объема инвестиционных затрат организаций-участников за вычетом затрат на приобретение земельных участков, строительство зданий и сооружений, а также подвод инженерных коммуникаций;

д) рост выработки на одного работника организаций-участников;

е) рост объема отгруженной организациями-участниками инновационной продукции собственного производства, а также инновационных работ и услуг, выполненных собственными силами;

ж) рост совокупной выручки организаций-участников от продаж продукции на внешнем рынке;

з) пункт утратил силу. (в ред. Постановления Правительства РФ от 15.07.2013 N 596)

30. Не использованный на 1 января года, следующего за отчетным, остаток субсидии подлежит возврату в федеральный бюджет органом государственной власти субъекта Российской Федерации, за которым в соответствии с законодательными и иными нормативными правовыми актами закреплены источники доходов бюджета субъекта Российской Федерации по возврату остатков целевых средств, в соответствии с требованиями, установленными бюджетным законодательством Российской Федерации.

При наличии потребности в не использованном в текущем финансовом году остатке субсидии указанный остаток в соответствии с решением федерального органа исполнительной власти - главного распорядителя средств федерального бюджета может быть использован субъектом Российской Федерации в очередном финансовом году на те же цели в порядке, установленном бюджетным законодательством Российской Федерации для осуществления расходов бюджета субъекта Российской Федерации, источником финансового обеспечения которых являются субсидии.

В случае если неиспользованный остаток субсидии не перечислен в доход федерального бюджета, указанные средства подлежат взысканию в доход федерального бюджета в порядке, установленном Министерством финансов Российской Федерации.

31. В случае если в отчетном финансовом году субъектом Российской Федерации не достигнуты значения показателей результативности предоставления субсидии, установленные в соглашении, размер субсидии, предусмотренный на текущий финансовый год, подлежит сокращению в порядке и размерах, которые предусмотрены настоящими Правилами.

32. Сокращение размера субсидии, предусмотренной субъекту Российской Федерации на текущий финансовый год, производится из расчета 5 процентов за каждое недостигнутое значение показателей результативности предоставления субсидии, установленное в соглашении. В случае если по 4 и более показателям результативности предоставления субсидии не достигнуты значения, установленные в соглашении, Министерство экономического развития Российской Федерации с учетом заключения комиссии принимает решение о прекращении (продолжении) предоставления субсидии указанному субъекту Российской Федерации в текущем финансовом году. (в ред. Постановления Правительства РФ от 15.07.2013 N 596)

33. Перераспределение между бюджетами субъектов Российской Федерации невостребованных субсидий осуществляется в случае расторжения соглашения.

34. Перераспределение невостребованных субсидий между бюджетами субъектов Российской Федерации, представивших заявки на предоставление субсидии, осуществляется Министерством экономического развития Российской Федерации с учетом заключения комиссии и в соответствии с пунктами 10 - 18 и 20 настоящих Правил.

35. Перераспределение субсидий между бюджетами субъектов Российской Федерации утверждается Правительством Российской Федерации в пределах размеров бюджетных ассигнований, предусмотренных в федеральном законе о федеральном бюджете на текущий финансовый год и плановый период.

36. Субсидия в случае ее нецелевого использования подлежит взысканию в доход федерального бюджета в соответствии с бюджетным законодательством Российской Федерации.

37. Контроль за осуществлением расходов бюджетов субъектов Российской Федерации, источником финансового обеспечения которых являются субсидии, в том числе за их целевым использованием, осуществляется федеральным органом исполнительной власти - главным распорядителем средств федерального бюджета и Федеральной службой финансово-бюджетного надзора.

38. Ответственность за соблюдение настоящих Правил, осуществление расходов бюджетов субъектов Российской Федерации, источником финансового обеспечения которых являются субсидии, в том числе за их целевое использование, а также за достоверность представляемых сведений несут субъекты Российской Федерации.

II. Предоставление субсидий на обеспечение деятельности специализированных организаций, осуществляющих методическое, организационное, экспертно-аналитическое и информационное сопровождение развития территориальных кластеров

39. Субсидии, предоставляемые на обеспечение деятельности специализированных организаций, направляются на следующие цели:

а) субсидирование части затрат на материальное поощрение работников специализированной организации;

б) субсидирование части затрат на обеспечение связи;

в) субсидирование части затрат на приобретение офисной мебели, электронно-вычислительной техники (иного оборудования для обработки информации), программного обеспечения, периферийных устройств, копировально-множительного оборудования, лабораторного оборудования;

г) субсидирование части затрат на оплату коммунальных услуг и аренду помещений;

д) субсидирование части затрат на оплату услуг сторонних организаций по видам деятельности в соответствии с подпунктом "б" пункта 40 настоящих Правил, за исключением строительства, реконструкции и капитального ремонта объектов капитального строительства;

е) субсидирование части затрат на осуществление иных расходов по видам деятельности в соответствии с подпунктом "б" пункта 40 настоящих Правил, за исключением строительства, реконструкции и капитального ремонта объектов капитального строительства.

40. Специализированная организация должна удовлетворять следующим условиям:

а) целью деятельности специализированной организации является создание условий для эффективного взаимодействия организаций-участников, учреждений образования и науки, некоммерческих и общественных организаций, органов государственной власти и органов местного самоуправления, инвесторов в интересах развития территориального кластера, обеспечение реализации проектов развития территориального кластера, выполняемых совместно 2 и более организациями-участниками;

б) к основным видам деятельности специализированной организации относятся:

разработка и содействие реализации проектов развития территориального кластера, выполняемых совместно 2 и более организациями-участниками;

организация подготовки, переподготовки, повышения квалификации и стажировок кадров, предоставления консультационных услуг в интересах организаций-участников;

оказание содействия организациям-участникам в выводе на рынок новых продуктов (услуг), развитии кооперации организаций-участников в научно-технической сфере, в том числе с иностранными организациями;

организация выставочно-ярмарочных и коммуникативных мероприятий в сфере интересов организаций-участников, а также их участия в выставочно-ярмарочных и коммуникативных мероприятиях, проводимых за рубежом;

в) специализированная организация в рамках разработки и содействия реализации проектов развития территориального кластера, выполняемых совместно 2 и более организациями-участниками, осуществляет:

оказание консультационных услуг организациям-участникам по направлениям реализации программы;

организация предоставления организациям-участникам услуг в части правового обеспечения, маркетинга и рекламы;

проведение информационных кампаний в средствах массовой информации по освещению деятельности территориального кластера и перспектив его развития;

проведение маркетинговых исследований на различных рынках, связанных с продвижением продукции территориального кластера.

41. Для включения в заявку на предоставление субсидии на цели, предусмотренные пунктом 39 настоящих Правил, специализированная организация представляет в уполномоченный орган единовременно следующие документы:

а) заявление;

б) копии учредительных документов специализированной организации (с предъявлением оригиналов, если копии документов не заверены нотариусом);

в) копия свидетельства о государственной регистрации прав на объект недвижимого имущества (помещения), в котором размещается специализированная организация, или копия договора аренды соответствующего недвижимого имущества;

г) заверенная уполномоченным органом копия (копии) договора (договоров) с организациями-участниками, подтверждающего (подтверждающих) согласие организаций-участников на осуществление специализированной организацией соответствующих функций по координации их деятельности.

д) заверенные руководителем специализированной организации копии планов работ по каждому из направлений деятельности специализированной организации с указанием наименований мероприятий, их содержания, участников мероприятий и их ролей, сроков реализации мероприятий, лиц, ответственных за проведение мероприятий, ресурсов, необходимых для реализации мероприятий, и источников их поступления, а также качественно и количественно измеримых результатов выполнения указанных мероприятий; (в ред. Постановления Правительства РФ от 15.07.2013 N 596)

е) расчет размера субсидии, предоставляемой на обеспечение деятельности специализированной организации; (в ред. Постановления Правительства РФ от 15.07.2013 N 596)

ж) заверенные руководителем специализированной организации копии документов, подтверждающих осуществление затрат, связанных с обеспечением деятельности специализированной организации (в случае, если на момент подачи заявления, предусмотренного подпунктом "а" настоящего пункта, затраты уже были осуществлены). (в ред. Постановления Правительства РФ от 15.07.2013 N 596)

42. Уполномоченный орган в установленном порядке регистрирует заявление, представленное специализированной организацией в соответствии с пунктом 41 настоящих Правил, и принимает решение о включении этого заявления специализированной организации (с приложением поступивших документов) в заявку на предоставление субсидии.

Уполномоченный орган в течение 10 дней со дня регистрации направляет в специализированную организацию письменное уведомление о принятом решении (в случае отрицательного решения - с указанием причин отказа).

43. Перечисление специализированной организации субсидии на цели, предусмотренные пунктом 39 настоящих Правил, осуществляется уполномоченным органом на расчетные счета, открытые специализированной организацией в кредитных организациях.

III. Предоставление субсидий на профессиональную переподготовку, повышение квалификации и проведение стажировок работников организаций-участников по направлениям реализации программ, в том числе за рубежом

44. Субсидии, предоставляемые на профессиональную переподготовку, повышение квалификации и проведение стажировок работников организаций-участников по направлениям реализации программ, в том числе за рубежом, направляются на следующие цели:

а) субсидирование части затрат организаций-участников на профессиональную переподготовку и повышение квалификации работников организаций-участников по программам дополнительного профессионального образования, в том числе за рубежом;

б) субсидирование части затрат организаций-участников, связанных с оплатой расходов на проведение стажировок работников организаций- участников в зарубежных научных, образовательных и производственных организациях, в том числе обеспечивающих деятельность объектов инновационной инфраструктуры, в части расходов на проезд к месту проведения стажировки и обратно, наем жилых помещений и аренду рабочих мест.

45. Субсидии предоставляются на цели, предусмотренные подпунктом "а" пункта 44 настоящих Правил, на основе оценки:

а) соответствия программы дополнительного профессионального образования направлениям реализации программы;

б) соответствия стоимости прохождения профессиональной переподготовки и повышения квалификации по программе дополнительного профессионального образования среднерыночной стоимости прохождения профессиональной переподготовки и повышения квалификации по аналогичным или сходным с ней по тематике программам дополнительного профессионального образования;

в) наличия у образовательного учреждения опыта и квалифицированного преподавательского состава в области профессиональной переподготовки и повышения квалификации по программе дополнительного профессионального образования или сходным с ней по тематике программам дополнительного профессионального образования.

46. Субсидии предоставляются на цели, предусмотренные подпунктом "б" пункта 44 настоящих Правил, на основе оценки:

а) соответствия программы стажировки направлениям реализации программы;

б) соответствия величины затрат, связанных с прохождением стажировки по программе стажировки, среднерыночной стоимости прохождения аналогичных или сходных с ней по тематике и условиям проведения стажировок;

в) соответствия зарубежной научной, образовательной или производственной организации, являющейся местом проведения стажировки, критериям соответствия проводимых ею исследований и разработок уровню мировых лидеров, наличия опыта международной научно-технической кооперации и (или) успешной практики коммерциализации технологий.

47. Для включения в заявку на предоставление субсидии на цели, предусмотренные подпунктом "а" пункта 44 настоящих Правил, организации-участники представляют в уполномоченный орган единовременно следующие документы:

а) заявление;

б) документы, подтверждающие финансирование мероприятия по профессиональной переподготовке и повышению квалификации работников организаций-участников по программам дополнительного профессионального образования, в том числе за рубежом, за счет средств программы;

в) копии программ дополнительного профессионального образования, а также документы, содержащие обоснование соответствия указанных программ дополнительного профессионального образования направлениям реализации программы;

г) заверенные руководителями организаций-участников материалы, подтверждающие соответствие стоимости прохождения профессиональной переподготовки и повышения квалификации по программам дополнительного профессионального образования среднерыночной стоимости прохождения профессиональной переподготовки и повышения квалификации по аналогичным или сходным с ними по тематике программам дополнительного профессионального образования;

д) копии документов, подтверждающих наличие у образовательных учреждений опыта и квалифицированного преподавательского состава в области профессиональной переподготовки и повышения квалификации по программам дополнительного профессионального образования или сходным с ними по тематике программам дополнительного профессионального образования;

е) заверенные руководителями организаций-участников копии договоров об осуществлении профессиональной переподготовки и повышения квалификации работников организаций-участников по программам дополнительного профессионального образования (при наличии на момент подачи заявления, предусмотренного подпунктом "а" настоящего пункта, заключенных договоров); (в ред. Постановления Правительства РФ от 15.07.2013 N 596)

ж) заверенные руководителями организаций-участников копии документов, подтверждающих осуществление профессиональной переподготовки и повышение квалификации работников организаций-участников по договорам, указанным в подпункте "е" настоящего пункта, в полном объеме (в случае, если на момент подачи заявления, предусмотренного подпунктом "а" настоящего пункта, текущие обязательства по указанным договорам исполнены); (в ред. Постановления Правительства РФ от 15.07.2013 N 596)

з) заверенные руководителями организаций-участников и банком копии платежных поручений или заверенные руководителями организаций-участников копии кассовых документов, подтверждающих затраты, связанные с оплатой профессиональной переподготовки и повышения квалификации работников организаций-участников (в случае, если на момент подачи заявления, предусмотренного подпунктом "а" настоящего пункта, текущие обязательства по договорам, указанным в подпункте "е" настоящего пункта, исполнены). (в ред. Постановления Правительства РФ от 15.07.2013 N 596)

48. Для включения в заявку на предоставление субсидии на цели, предусмотренные подпунктом "б" пункта 44 настоящих Правил, организации-участники представляют в уполномоченный орган единовременно следующие документы:

а) заявление;

б) документы, подтверждающие финансирование мероприятия по проведению стажировок работников организаций-участников в зарубежных научных, образовательных и производственных организациях, в том числе обеспечивающих деятельность объектов инновационной инфраструктуры, из средств программы; (в ред. Постановления Правительства РФ от 15.07.2013 N 596)

в) копии программ стажировок, а также материалы, содержащие обоснование соответствия указанных программ направлениям реализации программы;

г) заверенные руководителями организаций-участников материалы, подтверждающие соответствие величины затрат, связанных с прохождением стажировок, среднерыночной стоимости прохождения аналогичных или сходных с ними по тематике и условиям проведения стажировок;

д) материалы, подтверждающие наличие у организаций, в которых проводятся стажировки, опыта деятельности и квалификации по тематике стажировок, включая обоснование соответствия проводимых ими исследований и разработок уровню мировых лидеров, опыта международной научно-технической кооперации и (или) успешной практики коммерциализации технологий;

е) заверенные руководителями организаций-участников копии договоров о проведении стажировок работников организаций-участников (при наличии на момент подачи заявления, предусмотренного подпунктом "а" настоящего пункта, заключенных договоров); (в ред. Постановления Правительства РФ от 15.07.2013 N 596)

ж) заверенные руководителями организаций-участников копии документов, подтверждающих проведение стажировок работников организаций-участников по договорам, указанным в подпункте "е" настоящего пункта, в полном объеме (в случае, если на момент подачи заявления, предусмотренного подпунктом "а" настоящего пункта, текущие обязательства по указанным договорам исполнены); (в ред. Постановления Правительства РФ от 15.07.2013 N 596)

з) заверенные руководителями организаций-участников и банком копии платежных поручений или заверенные руководителями организаций-участников копии кассовых документов, подтверждающих затраты, связанные с оплатой стажировок работников организаций-участников (в случае, если на момент подачи заявления, предусмотренного подпунктом "а" настоящего пункта, текущие обязательства по договорам, указанным в подпункте "е" настоящего пункта, исполнены). (в ред. Постановления Правительства РФ от 15.07.2013 N 596)

49. Уполномоченный орган в установленном порядке регистрирует заявления, представляемые организациями-участниками в соответствии с пунктами 47 и 48 настоящих Правил, и принимает решение о включении заявлений с приложением поступивших документов в заявку на предоставление субсидии.

Уполномоченный орган в течение 10 дней со дня регистрации заявления направляет организациям-участникам письменное уведомление о принятом решении (в случае отрицательного решения - с указанием причин отказа).

50. Перечисление организациям-участникам субсидий на цели, предусмотренные пунктом 44 настоящих Правил, осуществляется уполномоченным органом на расчетные счета, открытые организациями-участниками в кредитных организациях.

IV. Предоставление субсидий на консультирование организаций-участников по вопросам разработки инвестиционных проектов в инновационной сфере

51. Субсидии, предоставляемые на консультирование организаций-участников по вопросам разработки инвестиционных проектов в инновационной сфере, направляются на субсидирование части затрат организаций-участников, связанных с оплатой консультационных услуг по вопросам разработки инвестиционных проектов в инновационной сфере, предусматривающих участие 2 и более организаций-участников в их реализации.

52. Субсидии предоставляются на цели, предусмотренные пунктом 51 настоящих Правил, на следующих условиях:

а) включение организации, в том числе зарубежной, оказывающей консультационные услуги, в формируемый Министерством экономического развития Российской Федерации по согласованию с Министерством финансов Российской Федерации перечень организаций, у которых организации-участники могут приобретать консультационные услуги за счет субсидий;

б) соответствие консультационной услуги направлениям реализации программы;

в) соответствие стоимости консультационных услуг среднерыночной стоимости аналогичных или сходных с ними консультационных услуг.

53. Для включения в заявку на предоставление субсидии на цели, предусмотренные пунктом 51 настоящих Правил, организации-участники представляют в уполномоченный орган единовременно следующие документы:

а) заявление;

б) документы, подтверждающие финансирование мероприятия по консультированию организаций-участников по вопросам разработки инвестиционных проектов в инновационной сфере за счет средств программы;

в) копии документов, содержащих описание консультационных услуг, а также обоснование соответствия указанных услуг направлениям реализации программы;

г) заверенные руководителями организаций-участников материалы, подтверждающие соответствие стоимости консультационных услуг среднерыночной стоимости аналогичных или сходных с ними консультационных услуг;

д) копии документов, подтверждающих наличие у организаций, оказывающих консультационные услуги, опыта и квалификации в области предоставления аналогичных или сходных с ними консультационных услуг;

е) заверенные руководителями организаций-участников копии договоров об оказании консультационных услуг (при наличии на момент подачи заявления, предусмотренного подпунктом "а" настоящего пункта, заключенных договоров); (в ред. Постановления Правительства РФ от 15.07.2013 N 596)

ж) заверенные руководителями организаций-участников копии документов, подтверждающих оказание консультационных услуг в полном объеме в случае, если на момент подачи заявления, предусмотренного подпунктом "а" настоящего пункта, текущие обязательства по договорам, указанным в подпункте "е" настоящего пункта, исполнены); (в ред. Постановления Правительства РФ от 15.07.2013 N 596)

з) заверенные руководителями организаций-участников и банком копии платежных поручений или заверенные руководителями организаций-участников копии кассовых документов, подтверждающих затраты на оплату консультационных услуг (в случае, если на момент подачи заявления, предусмотренного подпунктом "а" настоящего пункта, текущие обязательства по договорам, указанным в подпункте "е" настоящего пункта, исполнены). (в ред. Постановления Правительства РФ от 15.07.2013 N 596)

54. Уполномоченный орган в установленном порядке регистрирует заявления, представляемые организациями-участниками в соответствии с пунктом 53 настоящих Правил, и принимает решение о включении заявлений с приложением поступивших документов в заявку на предоставление субсидии.

Уполномоченный орган в течение 10 дней со дня регистрации направляет организациям-участникам письменное уведомление о принятом решении (в случае отрицательного решения - с указанием причин отказа).

55. Перечисление организациям-участникам субсидий на цели, предусмотренные пунктом 51 настоящих Правил, осуществляется уполномоченным органом на расчетные счета, открытые организациями-участниками в кредитных организациях.

V. Предоставление субсидий на проведение выставочно-ярмарочных мероприятий, а также на участие представителей организаций-участников в выставочно-ярмарочных и коммуникативных мероприятиях, в том числе за рубежом

56. Субсидии, предоставляемые на проведение выставочно-ярмарочных мероприятий, а также на участие представителей организаций-участников в выставочно-ярмарочных и коммуникативных мероприятиях, в том числе за рубежом, направляются на следующие цели:

а) субсидирование части затрат организаций-участников, связанных с проведением выставочно-ярмарочных мероприятий на территории, на которой расположен кластер, по тематике, соответствующей задачам и направлениям реализации программы;

б) субсидирование части затрат организаций-участников, связанных с участием представителей организаций-участников в выставочно-ярмарочных мероприятиях, в том числе проводимых за рубежом, по тематике, соответствующей задачам и направлениям реализации программы (за исключением расходов на наем жилых помещений и питание);

в) субсидирование части затрат организаций-участников, связанных с участием представителей организаций-участников в коммуникативных мероприятиях, проводимых за рубежом, по тематике, соответствующей задачам и направлениям реализации программы (за исключением расходов на наем жилых помещений и питание).

57. Субсидии на цели, предусмотренные пунктом 56 настоящих Правил, предоставляются на основе оценки:

а) соответствия выставочно-ярмарочных (коммуникативных) мероприятий по направлениям реализации программы;

б) соответствия стоимости проведения выставочно-ярмарочных (коммуникативных) мероприятий (участия в них) среднерыночной стоимости проведения аналогичных мероприятий (участия в них).

58. Для включения в заявку на предоставление субсидии на цели, предусмотренные подпунктом "а" пункта 56 настоящих Правил, организации-участники представляют в уполномоченный орган единовременно следующие документы:

а) заявление;

б) документы, подтверждающие финансирование выставочно-ярмарочных мероприятий по тематике, соответствующей задачам и направлениям реализации программы, из средств программы;

в) копии документов, содержащих описание выставочно-ярмарочных мероприятий, проведенных (планируемых к проведению) на территории, на которой расположен территориальный кластер, а также обоснование соответствия выставочно-ярмарочных мероприятий задачам и направлениям реализации программы; (в ред. Постановления Правительства РФ от 15.07.2013 N 596)

г) заверенные руководителями организаций-участников материалы, подтверждающие соответствие стоимости проведения выставочно-ярмарочных мероприятий среднерыночной стоимости проведения аналогичных мероприятий;

д) заверенные руководителями организаций-участников копии документов, подтверждающих проведение выставочно-ярмарочных мероприятий на территории, на которой расположен кластер (в случае, если на момент подачи заявления, предусмотренного подпунктом "а" настоящего пункта, мероприятия были проведены);

е) заверенные руководителями организаций-участников и банком копии платежных поручений или заверенные руководителями организаций-участников копии кассовых документов, подтверждающих осуществление затрат, связанных с проведением выставочно-ярмарочных мероприятий на территории, на которой расположен территориальный кластер (в случае, если на момент подачи заявления, предусмотренного подпунктом "а" настоящего пункта, затраты были осуществлены);

ж) расчет размера субсидии на оплату расходов, связанных с проведением выставочно-ярмарочных мероприятий на территории, на которой расположен территориальный кластер (при заключении договора аренды выставочных площадей для экспозиции товаров (работ, услуг) двух и более организаций-участников (общая экспозиция) субсидии предоставляются каждому из них пропорционально стоимости вклада в оплату договора аренды соответствующих организаций-участников).

59. Для включения в заявку на предоставление субсидии на цели, предусмотренные подпунктом "б" пункта 56 настоящих Правил, организации-участники представляют в уполномоченный орган единовременно следующие документы:

а) заявление;

б) документы, подтверждающие финансирование мероприятий, связанных с участием представителей организаций-участников в выставочно-ярмарочных мероприятиях, в том числе проводимых за рубежом, по тематике, соответствующей задачам и направлениям реализации программы, из средств программы (за исключением расходов на наем жилых помещений и питание);

в) копии документов, содержащих описание выставочно-ярмарочных мероприятий, а также обоснование соответствия указанных мероприятий задачам и направлениям реализации программы;

г) заверенные руководителями организаций-участников материалы, подтверждающие соответствие стоимости участия в выставочно-ярмарочных мероприятиях среднерыночной стоимости участия в аналогичных или сходных с ними мероприятиях;

д) заверенные руководителями организаций-участников копии документов, подтверждающих участие представителей организаций-участников в выставочно-ярмарочных мероприятиях, в том числе за рубежом, либо стоимость их вклада в оплату договора аренды выставочных площадей для общей экспозиции (в случае, если на момент подачи заявления, предусмотренного подпунктом "а" настоящего пункта, мероприятия были проведены);

е) заверенные руководителями организаций-участников и банком копии платежных поручений или заверенные руководителями организаций-участников копии кассовых документов, подтверждающих затраты, связанные с участием представителей организаций-участников в выставочно-ярмарочных мероприятиях, в том числе за рубежом (в случае, если на момент подачи заявления, предусмотренного подпунктом "а" настоящего пункта, затраты были осуществлены);

ж) заверенные руководителями организаций-участников копии договоров аренды выставочных площадей (при наличии на момент подачи заявления, предусмотренного подпунктом "а" настоящего пункта, заключенных договоров); (в ред. Постановления Правительства РФ от 15.07.2013 N 596)

з) расчет размера субсидии на оплату расходов, связанных с участием представителей организаций-участников в выставочно-ярмарочных мероприятиях, в том числе за рубежом.

60. Для включения в заявку на предоставление субсидии на цели, предусмотренные подпунктом "в" пункта 56 настоящих Правил, организации-участники представляют в уполномоченный орган единовременно следующие документы:

а) заявление;

б) документы, подтверждающие финансирование мероприятий, связанных с участием представителей организаций-участников в коммуникативных мероприятиях по тематике, соответствующей задачам и направлениям реализации программы (за исключением расходов на наем жилых помещений и питание), из средств программы;

в) копии документов, содержащих описание коммуникативных мероприятий, а также обоснование соответствия указанных мероприятий задачам и направлениям реализации программы;

г) заверенные руководителями организаций-участников материалы, подтверждающие соответствие стоимости участия в коммуникативных мероприятиях среднерыночной стоимости участия в аналогичных или сходных с ними мероприятиях;

д) заверенные руководителями организаций-участников копии документов, подтверждающих участие представителей организаций-участников в коммуникативных мероприятиях (в случае, если на момент подачи заявления, предусмотренного подпунктом "а" настоящего пункта, мероприятия были проведены);

е) заверенные руководителями организаций-участников и банком копии платежных поручений или заверенные руководителями организаций-участников копии кассовых документов, подтверждающих затраты, связанные с участием представителей организаций-участников в коммуникативных мероприятиях (в случае, если на момент подачи заявления, предусмотренного подпунктом "а" настоящего пункта, затраты были осуществлены);

ж) расчет размера субсидии на оплату расходов, связанных с участием представителей организаций-участников в коммуникативных мероприятиях.

61. Уполномоченный орган в установленном порядке регистрирует заявления, представляемые организациями-участниками в соответствии с пунктами 58 - 60 настоящих Правил, и принимает решение о включении заявлений с приложением поступивших документов в заявку на предоставление субсидии.

Уполномоченный орган в течение 10 дней со дня регистрации заявления направляет организациям-участникам письменное уведомление о принятом решении (в случае отрицательного решения - с указанием причин отказа).

62. Перечисление организациям-участникам субсидий на цели, предусмотренные пунктом 56 настоящих Правил, осуществляется уполномоченным органом на расчетные счета, открытые организациями-участниками в кредитных организациях.

VI. Предоставление субсидий на развитие на территориях, на которых расположены территориальные кластеры, объектов инновационной, образовательной, транспортной, энергетической инженерной и социальной инфраструктуры

63. Субсидии, предоставляемые на развитие на территориях, на которых расположены территориальные кластеры, объектов инновационной, образовательной, транспортной, энергетической, инженерной и социальной инфраструктуры, направляются на следующие цели:

а) субсидирование части затрат, связанных с развитием и обеспечением деятельности инжиниринговых центров, находящихся на территориях, на которых расположены территориальные кластеры, включая затраты на материальное поощрение работников, обеспечение связи, приобретение офисной мебели, электронно-вычислительной техники (иного оборудования для обработки информации), лицензионного программного обеспечения, периферийных устройств и копировально-множительного оборудования, на оплату коммунальных услуг, аренду помещений, а также на осуществление иных расходов по направлениям деятельности инжиниринговых центров, за исключением строительства, реконструкции и капитального ремонта объектов капитального строительства;

б) субсидирование части затрат, не включенных в федеральные целевые программы, связанных с приобретением машин и оборудования, базовых расходных материалов и лицензионного программного обеспечения к нему, за исключением капитальных вложений, для нужд действующих или создаваемых объектов капитального строительства государственной собственности субъектов Российской Федерации (муниципальной собственности), относящихся к инновационной, образовательной, транспортной, энергетической, инженерной и социальной инфраструктуре;

в) субсидирование части затрат, связанных с проведением необходимых работ по монтажу машин и оборудования, не превышающих 5 процентов суммарной стоимости оборудования, базовых расходных материалов и лицензионного программного обеспечения к нему;

г) субсидирование части затрат, связанных с обучением персонала работе с приобретенными машинами и оборудованием, не превышающих 5 процентов суммарной стоимости оборудования, базовых расходных материалов и лицензионного программного обеспечения к нему.

64. В настоящих Правилах под инжиниринговым центром понимается юридическое лицо, учредителем или одним из учредителей которого является субъект Российской Федерации и (или) муниципальное образование (муниципальные образования), на территории которого располагается территориальный кластер, и (или) организация, учредителями которой являются исключительно субъект Российской Федерации и (или) муниципальное образование (муниципальные образования), на территории которого располагается территориальный кластер, удовлетворяющее следующим условиям: (в ред. Постановления Правительства РФ от 15.07.2013 N 596)

а) целью деятельности инжинирингового центра является содействие внедрению новых производственных технологий в организациях-участниках за счет оказания комплекса инженерно-консультационных услуг по подготовке процесса производства и реализации продукции (работ, услуг), подготовке строительства и эксплуатации промышленных, инфраструктурных и других объектов, предпроектных и проектных услуг (подготовки технико-экономических обоснований, проектно-конструкторских разработок и других подобных услуг); (в ред. Постановления Правительства РФ от 15.07.2013 N 596)

б) основными видами деятельности инжинирингового центра являются: (в ред. Постановления Правительства РФ от 15.07.2013 N 596)

проектирование отдельных производственных процессов и производств, в том числе машин, оборудования и технических систем, включая разработку конструкторской документации; (в ред. Постановления Правительства РФ от 15.07.2013 N 596)

подбор и комплексная поставка машин, оборудования и технических систем производственного назначения, выполнение монтажных, пусконаладочных работ, проведение испытаний машин, оборудования и технических систем производственного назначения, а также работ по их вводу в эксплуатацию; (в ред. Постановления Правительства РФ от 15.07.2013 N 596)

в) наряду с основными видами деятельности инжиниринговый центр может оказывать следующие сопутствующие услуги: (в ред. Постановления Правительства РФ от 15.07.2013 N 596)

проведение технологического аудита, энергоаудита, диагностирования и экспертизы машин, оборудования и технических систем производственного назначения, промышленных объектов, объектов энергетической и инженерной инфраструктуры; (в ред. Постановления Правительства РФ от 15.07.2013 N 596)

проектирование объектов капитального строительства производственного назначения, объектов энергетической и инженерной инфраструктуры, в том числе размещения машин и оборудования, включая разработку проектно-сметной документации; (в ред. Постановления Правительства РФ от 15.07.2013 N 596)

переподготовка и повышение квалификации кадров в целях освоения использования новых производственных технологий, внедренных при участии инжинирингового центра; (в ред. Постановления Правительства РФ от 15.07.2013 N 596)

г) доля выручки инжинирингового центра от реализации сопутствующих услуг в соответствии с подпунктом "в" настоящего пункта не должна превышать 20 процентов годового объема выручки инжинирингового центра от реализации инжиниринговых услуг, включая услуги по основным видам деятельности в соответствии с подпунктом "б" настоящего пункта. (в ред. Постановления Правительства РФ от 15.07.2013 N 596)

65. Субсидии на цели, предусмотренные подпунктом "а" пункта 63 настоящих Правил, предоставляются на следующих условиях:

а) наличие концепции работы инжинирингового центра с определением направлений его деятельности;

б) наличие плана работ по каждому из направлений деятельности инжинирингового центра с указанием наименований мероприятий, содержания мероприятий, участников мероприятий и их ролей, сроков реализации мероприятий, лиц, ответственных за проведение мероприятий, ресурсов, необходимых для реализации мероприятий, и источников их поступления, а также качественно и количественно измеримых результатов выполнения указанных мероприятий;

в) соответствие концепции работы инжинирингового центра и планов работ по каждому из направлений его деятельности задачам и направлениям реализации программы, а также величине затрат, связанных с развитием и обеспечением деятельности инжинирингового центра.

г) наличие спроса на услуги, предоставляемые инжиниринговым центром, со стороны организаций-участников; (в ред. Постановления Правительства РФ от 15.07.2013 N 596)

д) наличие среди организаций-участников научных и образовательных организаций, осуществляющих исследования и разработки, профессиональную подготовку, переподготовку и повышение квалификации кадров по направлениям специализации инжинирингового центра; (в ред. Постановления Правительства РФ от 15.07.2013 N 596)

е) наличие объектов капитального строительства, необходимых для осуществления деятельности инжинирингового центра, и (или) наличие в федеральном законе о федеральном бюджете на очередной финансовый год и плановый период, и (или) в законе субъекта Российской Федерации о бюджете субъекта Российской Федерации на очередной финансовый год и плановый период, и (или) в нормативных правовых актах муниципального образования (муниципальных образований), на территории которого расположен территориальный кластер, о бюджете муниципального образования (муниципальных образований) на очередной финансовый год и плановый период расходных обязательств и бюджетных ассигнований на финансирование в очередном финансовом году и плановом периоде капитальных вложений, необходимых для осуществления деятельности инжинирингового центра, и (или) наличие соответствующих средств внебюджетных источников финансирования; (в ред. Постановления Правительства РФ от 15.07.2013 N 596)

ж) наличие транспортной, энергетической, инженерной и производственной инфраструктуры, необходимой для осуществления деятельности инжинирингового центра, и (или) наличие в федеральном законе о федеральном бюджете на очередной финансовый год и плановый период, и (или) в законе субъекта Российской Федерации о бюджете субъекта Российской Федерации на очередной финансовый год и плановый период, и (или) в нормативных правовых актах муниципального образования (муниципальных образований), на территории которого расположен территориальный кластер, о бюджете муниципального образования (муниципальных образований) на очередной финансовый год и плановый период расходных обязательств и бюджетных ассигнований на финансирование в очередном финансовом году и плановом периоде реализации мероприятий по созданию указанной инфраструктуры, необходимой для осуществления деятельности инжинирингового центра, и (или) наличие соответствующих средств внебюджетных источников финансирования; (в ред. Постановления Правительства РФ от 15.07.2013 N 596)

з) наличие штата квалифицированного (при необходимости сертифицированного) персонала, необходимого для осуществления деятельности инжинирингового центра, обладающего опытом внедрения новых технологий в производство и (или) реализации проектов по созданию высокотехнологичных производств. (в ред. Постановления Правительства РФ от 15.07.2013 N 596)

66. Для получения субсидий на цели, предусмотренные подпунктом "а" пункта 63 настоящих Правил, инжиниринговый центр представляет в уполномоченный орган единовременно следующие документы: (в ред. Постановления Правительства РФ от 15.07.2013 N 596)

а) заявление; (в ред. Постановления Правительства РФ от 15.07.2013 N 596)

б) документы, подтверждающие финансирование мероприятия по развитию и обеспечению деятельности инжиниринговых центров за счет средств программы; (в ред. Постановления Правительства РФ от 15.07.2013 N 596)

в) копии учредительных документов инжинирингового центра (с предоставлением подлинников, если копии не заверены нотариусом); (в ред. Постановления Правительства РФ от 15.07.2013 N 596)

г) заверенные в установленном порядке копии свидетельств о государственной регистрации прав на объекты недвижимого имущества (помещений), в которых размещается инжиниринговый центр, и (или) копии договоров об аренде соответствующего недвижимого имущества, и (или) заверенная уполномоченным органом выписка из федерального закона о федеральном бюджете на очередной финансовый год и плановый период, и (или) из закона субъекта Российской Федерации о бюджете субъекта Российской Федерации на текущий финансовый год и плановый период, и (или) из нормативных правовых актов муниципального образования (муниципальных образований), на территории которого расположен территориальный кластер, о бюджете муниципального образования (муниципальных образований) на очередной финансовый год и плановый период, подтверждающая (подтверждающие) включение в федеральный бюджет на очередной финансовый год и плановый период, и (или) в бюджет субъекта Российской Федерации на очередной финансовый год и плановый период, и (или) в бюджет муниципального образования (муниципальных образований) на очередной финансовый год и плановый период расходных обязательств и бюджетных ассигнований на финансирование в очередном финансовом году и плановом периоде капитальных вложений, необходимых для осуществления деятельности инжинирингового центра, и (или) заверенные руководителем инжинирингового центра материалы, подтверждающие наличие соответствующих средств внебюджетных источников финансирования; (в ред. Постановления Правительства РФ от 15.07.2013 N 596)

д) заверенная руководителем инжинирингового центра копия концепции работы инжинирингового центра с определением направлений его деятельности; (в ред. Постановления Правительства РФ от 15.07.2013 N 596)

е) заверенные руководителем инжинирингового центра копии планов работ по каждому из направлений деятельности инжинирингового центра с указанием наименований мероприятий, их содержания, участников мероприятий и их ролей, сроков реализации мероприятий, лиц, ответственных за проведение мероприятий, ресурсов, необходимых для реализации мероприятий, и источников их поступления, а также качественно и количественно измеримых результатов выполнения указанных мероприятий; (в ред. Постановления Правительства РФ от 15.07.2013 N 596)

ж) заверенные руководителем инжинирингового центра материалы, содержащие обоснование соответствия концепции работы инжинирингового центра и планов работ по каждому из направлений его деятельности задачам и направлениям реализации программы; (в ред. Постановления Правительства РФ от 15.07.2013 N 596)

з) заверенные руководителем инжинирингового центра материалы, содержащие обоснование наличия спроса на услуги, предоставляемые инжиниринговым центром, со стороны организаций-участников; (в ред. Постановления Правительства РФ от 15.07.2013 N 596)

и) заверенные руководителем инжинирингового центра материалы, содержащие обоснование наличия среди организаций-участников научных и образовательных организаций, осуществляющих исследования и разработки, профессиональную подготовку, переподготовку и повышение квалификации кадров по направлениям специализации инжинирингового центра; (в ред. Постановления Правительства РФ от 15.07.2013 N 596)

к) заверенные руководителем инжинирингового центра материалы, содержащие обоснование наличия транспортной, энергетической, инженерной и производственной инфраструктуры, необходимой для осуществления деятельности инжинирингового центра, и (или) заверенная уполномоченным органом выписка из федерального закона о федеральном бюджете на очередной финансовый год и плановый период, и (или) из закона субъекта Российской Федерации о бюджете субъекта Российской Федерации на текущий финансовый год и плановый период, и (или) из нормативных правовых актов муниципального образования (муниципальных образований), на территории которого расположен территориальный кластер, о бюджете муниципального образования (муниципальных образований) на очередной финансовый год и плановый период, подтверждающая (подтверждающие) включение в федеральный бюджет на очередной финансовый год и плановый период, и (или) в бюджет субъекта Российской Федерации на очередной финансовый год и плановый период, и (или) в бюджет муниципального образования (муниципальных образований) на очередной финансовый год и плановый период расходных обязательств и бюджетных ассигнований на финансирование в очередном финансовом году и плановом периоде реализации мероприятий по созданию инфраструктуры, необходимой для осуществления деятельности инжинирингового центра, и (или) заверенные руководителем инжинирингового центра материалы, подтверждающие наличие соответствующих средств внебюджетных источников финансирования; (в ред. Постановления Правительства РФ от 15.07.2013 N 596)

л) заверенные руководителем инжинирингового центра материалы, содержащие обоснование наличия штата квалифицированного (при необходимости сертифицированного) персонала, необходимого для осуществления деятельности инжинирингового центра, обладающего опытом внедрения новых технологий в производство и (или) реализации проектов по созданию высокотехнологичных производств; (в ред. Постановления Правительства РФ от 15.07.2013 N 596)

м) расчет размера субсидии, предоставляемой на развитие и обеспечение деятельности инжинирингового центра; (в ред. Постановления Правительства РФ от 15.07.2013 N 596)

н) заверенные руководителем инжинирингового центра материалы, подтверждающие соответствие величины затрат, связанных с развитием и обеспечением деятельности инжинирингового центра, стоимости создания и обеспечения деятельности аналогичных или сходных с ним инжиниринговых центров; (в ред. Постановления Правительства РФ от 15.07.2013 N 596)

о) заверенные руководителем инжинирингового центра копии документов, подтверждающих осуществление затрат, связанных с развитием и обеспечением деятельности инжинирингового центра (в случае, если на момент подачи заявления, предусмотренного подпунктом "а" настоящего пункта, затраты уже были осуществлены). (в ред. Постановления Правительства РФ от 15.07.2013 N 596)

67. Субсидии на цели, предусмотренные подпунктом "б" пункта 63 настоящих Правил, предоставляются на приобретение машин и оборудования научно-исследовательского, измерительного, испытательного, электронно-вычислительного, производственного, учебно-лабораторного и учебно-производственного назначения, необходимых для проведения научно-исследовательских и опытно-конструкторских работ, создания, развития и модернизации производства товаров (работ, услуг).

Не подлежат приобретению физически изношенные или морально устаревшие машины и оборудование.

68. Субсидии на цели, предусмотренные подпунктами "б" - "г" пункта 63 настоящих Правил, предоставляются на следующих условиях:

а) соответствие назначения и технических характеристик машин и оборудования задачам и направлениям реализации программы;

б) соответствие решаемых с помощью приобретаемых машин и оборудования задач по направлениям реализации программы их стоимости;

в) наличие собственных или арендованных производственных помещений для размещения машин и оборудования;

г) наличие штата квалифицированного (при необходимости сертифицированного) персонала для эксплуатации приобретаемых машин и оборудования;

д) соответствие машин и оборудования санитарно-техническим требованиям.

69. Для получения субсидий на цели, предусмотренные подпунктами "б" - "г" пункта 63 настоящих Правил, организации-участники представляют в уполномоченный орган единовременно следующие документы:

а) заявление;

б) документы, подтверждающие финансирование мероприятия по приобретению машин и оборудования, базовых расходных материалов и лицензионного программного обеспечения к нему, работ по его монтажу и обучению персонала для работы с ним за счет средств программы;

в) заверенные руководителями организаций-участников материалы, подтверждающие соответствие стоимости приобретения машин и оборудования среднерыночной стоимости аналогичных машин и оборудования;

г) договоры о приобретении в собственность машин и оборудования (при наличии заключенных договоров);

д) платежные поручения, подтверждающие фактическую оплату машин и оборудования в размере не менее суммы софинансирования, и бухгалтерские документы, подтверждающие постановку на баланс указанных машин и оборудования (в случае, если на момент подачи заявления, предусмотренного подпунктом "а" настоящего пункта, оплата и (или) постановка на баланс были осуществлены);

е) технико-экономическое обоснование приобретения машин и оборудования в целях проведения научно-исследовательских и опытно-конструкторских работ, создания, развития и модернизации производства товаров (работ, услуг), включающее в том числе оценку потенциального спроса на использование машин и оборудования со стороны организаций-участников;

ж) копия свидетельства о государственной регистрации прав на объект недвижимого имущества (помещения), в котором размещаются машины и оборудование, или копия договора об аренде соответствующего недвижимого имущества;

з) заверенные руководителем организации-участника копии утвержденной проектно-сметной документации, имеющей положительное заключение государственной экспертизы проектно-сметной документации и результатов инженерных изысканий, выполненных для подготовки такой документации (в случае, если проведение такой экспертизы в соответствии с законодательством Российской Федерации является обязательным), и положительного заключения о достоверности сметной стоимости объектов капитального строительства, если машины и оборудование приобретаются в целях оснащения строящихся объектов капитального строительства.

70. Уполномоченный орган в установленном порядке регистрирует заявления, представляемые организациями-участниками и (или) инжиниринговым центром в соответствии с пунктами 66 и 69 настоящих Правил, и принимает решение о включении заявлений с приложением поступивших документов в заявку на предоставление субсидии.

Уполномоченный орган в течение 10 дней со дня регистрации направляет организациям-участникам письменное уведомление о принятом решении (в случае отрицательного решения - с указанием причин отказа).

71. Перечисление организациям-участникам и (или) инжиниринговому центру субсидий на цели, предусмотренные пунктом 63 настоящих Правил, осуществляется уполномоченным органом на расчетные счета, открытые организации-участнику и (или) инжиниринговому центру в кредитных организациях.

Приложение
к Правилам распределения
и предоставления субсидий
из федерального бюджета
бюджетам субъектов
Российской Федерации
на реализацию мероприятий,
предусмотренных программами
развития пилотных инновационных
территориальных кластеров

ПЕРЕЧЕНЬ СУБЪЕКТОВ РОССИЙСКОЙ ФЕДЕРАЦИИ, БЮДЖЕТАМ КОТОРЫХ ПРЕДОСТАВЛЯЮТСЯ СУБСИДИИ ИЗ ФЕДЕРАЛЬНОГО БЮДЖЕТА НА РЕАЛИЗАЦИЮ МЕРОПРИЯТИЙ, ПРЕДУСМОТРЕННЫХ ПРОГРАММАМИ РАЗВИТИЯ ПИЛОТНЫХ ИННОВАЦИОННЫХ ТЕРРИТОРИАЛЬНЫХ КЛАСТЕРОВ

(в ред. Постановления Правительства РФ от 15.09.2014 N 941)

Наименование инновационного территориального кластера
Центральный федеральный округ
Город Москва кластер "Зеленоград"
  новые материалы, лазерные и радиационные технологии (г. Троицк)
Калужская область кластер фармацевтики, биотехнологий и биомедицины
Московская область биотехнологический инновационный территориальный кластер Пущино
кластер "Физтех XXI" (г. Долгопрудный, г. Химки)
кластер ядерно-физических и нанотехнологий в г. Дубне
Северо-Западный федеральный округ
Архангельская область судостроительный инновационный территориальный кластер Архангельской области
Город Санкт-Петербург развитие информационных технологий, радиоэлектроники, приборостроения, средств связи и инфотелекоммуникаций г. Санкт-Петербурга
Город Санкт-Петербург, Ленинградская область кластер медицинской, фармацевтической промышленности, радиационных технологий
Приволжский федеральный округ
Нижегородская область Нижегородский индустриальный инновационный кластер в области автомобилестроения и нефтехимии
Саровский инновационный кластер
Пермский край инновационный территориальный кластер ракетного двигателестроения "Технополис "Новый Звездный"
Республика Башкортостан нефтехимический территориальный кластер
Республика Мордовия энергоэффективная светотехника и интеллектуальные системы управления освещением
Республика Татарстан Камский инновационный территориально- производственный кластер Республики Татарстан
Самарская область инновационный территориальный аэрокосмический кластер Самарской области
Ульяновская область консорциум "Научно-образовательно- производственный кластер "Ульяновск-Авиа"
  ядерно-инновационный кластер г. Димитровграда Ульяновской области
Уральский федеральный округ
Свердловская область титановый кластер Свердловской области
Сибирский федеральный округ
Алтайский край Алтайский биофармацевтический кластер
Кемеровская область комплексная переработка угля и техногенных отходов в Кемеровской области
Красноярский край кластер инновационных технологий ЗАТО, г. Железногорск
Новосибирская область инновационный кластер информационных и биофармацевтических технологий Новосибирской области
Томская область фармацевтика, медицинская техника и информационные технологии Томской области
Дальневосточный федеральный округ
Хабаровский край инновационный территориальный кластер авиастроения и судостроения Хабаровского края"