Приказ Минфина РФ от 29.11.2013 N 110Н

"Об утверждении Порядка определения размера страхового тарифа по обязательному государственному страхованию жизни и здоровья военнослужащих, граждан, призванных на военные сборы, лиц рядового и начальствующего состава органов внутренних дел Российской Федерации, государственной противопожарной службы, органов по контролю за оборотом наркотических средств и психотропных веществ, сотрудников учреждений и органов уголовно-исполнительной системы, в том числе структуры страхового тарифа, порядка его применения при расчете страховой премии, перечня, порядка сбора и хранения статистических данных, применяемых при расчете размера страхового тарифа, порядка обмена такими данными между страхователем и страховщиком, Порядка уведомления страховщиком федерального органа исполнительной власти, осуществляющего функции по выработке государственной политики и нормативно-правовому регулированию в сфере страховой деятельности, о заключении договора обязательного государственного страхования"
Редакция от 29.11.2013 — Документ утратил силу, см. «Приказ Минфина РФ от 14.04.2017 N 63Н»
Показать изменения

Зарегистрировано в Минюсте России 27 декабря 2013 г. N 30880


МИНИСТЕРСТВО ФИНАНСОВ РОССИЙСКОЙ ФЕДЕРАЦИИ

ПРИКАЗ
от 29 ноября 2013 г. N 110н

ОБ УТВЕРЖДЕНИИ ПОРЯДКА ОПРЕДЕЛЕНИЯ РАЗМЕРА СТРАХОВОГО ТАРИФА ПО ОБЯЗАТЕЛЬНОМУ ГОСУДАРСТВЕННОМУ СТРАХОВАНИЮ ЖИЗНИ И ЗДОРОВЬЯ ВОЕННОСЛУЖАЩИХ, ГРАЖДАН, ПРИЗВАННЫХ НА ВОЕННЫЕ СБОРЫ, ЛИЦ РЯДОВОГО И НАЧАЛЬСТВУЮЩЕГО СОСТАВА ОРГАНОВ ВНУТРЕННИХ ДЕЛ РОССИЙСКОЙ ФЕДЕРАЦИИ, ГОСУДАРСТВЕННОЙ ПРОТИВОПОЖАРНОЙ СЛУЖБЫ, ОРГАНОВ ПО КОНТРОЛЮ ЗА ОБОРОТОМ НАРКОТИЧЕСКИХ СРЕДСТВ И ПСИХОТРОПНЫХ ВЕЩЕСТВ, СОТРУДНИКОВ УЧРЕЖДЕНИЙ И ОРГАНОВ УГОЛОВНО-ИСПОЛНИТЕЛЬНОЙ СИСТЕМЫ, В ТОМ ЧИСЛЕ СТРУКТУРЫ СТРАХОВОГО ТАРИФА, ПОРЯДКА ЕГО ПРИМЕНЕНИЯ ПРИ РАСЧЕТЕ СТРАХОВОЙ ПРЕМИИ, ПЕРЕЧНЯ, ПОРЯДКА СБОРА И ХРАНЕНИЯ СТАТИСТИЧЕСКИХ ДАННЫХ, ПРИМЕНЯЕМЫХ ПРИ РАСЧЕТЕ РАЗМЕРА СТРАХОВОГО ТАРИФА, ПОРЯДКА ОБМЕНА ТАКИМИ ДАННЫМИ МЕЖДУ СТРАХОВАТЕЛЕМ И СТРАХОВЩИКОМ, ПОРЯДКА УВЕДОМЛЕНИЯ СТРАХОВЩИКОМ ФЕДЕРАЛЬНОГО ОРГАНА ИСПОЛНИТЕЛЬНОЙ ВЛАСТИ, ОСУЩЕСТВЛЯЮЩЕГО ФУНКЦИИ ПО ВЫРАБОТКЕ ГОСУДАРСТВЕННОЙ ПОЛИТИКИ И НОРМАТИВНО-ПРАВОВОМУ РЕГУЛИРОВАНИЮ В СФЕРЕ СТРАХОВОЙ ДЕЯТЕЛЬНОСТИ, О ЗАКЛЮЧЕНИИ ДОГОВОРА ОБЯЗАТЕЛЬНОГО ГОСУДАРСТВЕННОГО СТРАХОВАНИЯ

В соответствии с пунктом 4 статьи 6 и пунктом 4 статьи 9 Федерального закона от 28 марта 1998 г. N 52-ФЗ "Об обязательном государственном страховании жизни и здоровья военнослужащих, граждан, призванных на военные сборы, лиц рядового и начальствующего состава органов внутренних дел Российской Федерации, Государственной противопожарной службы, органов по контролю за оборотом наркотических средств и психотропных веществ, сотрудников учреждений и органов уголовно-исполнительной системы" (Собрание законодательства Российской Федерации, 1998, N 13, ст. 1474, N 30, ст. 3613; 2002, N 30, ст. 3033; 2003, N 27, ст. 2700; 2008, N 24, ст. 2799; 2013, N 27, ст. 3457) приказываю:

1. Утвердить прилагаемый Порядок определения размера страхового тарифа по обязательному государственному страхованию жизни и здоровья военнослужащих, граждан, призванных на военные сборы, лиц рядового и начальствующего состава органов внутренних дел Российской Федерации, Государственной противопожарной службы, органов по контролю за оборотом наркотических средств и психотропных веществ, сотрудников учреждений и органов уголовно-исполнительной системы, в том числе структуру страхового тарифа, порядок его применения при расчете страховой премии, перечень, порядок сбора и хранения статистических данных, применяемых при расчете размера страхового тарифа, порядок обмена такими данными между страхователем и страховщиком, порядок уведомления страховщиком федерального органа исполнительной власти, осуществляющего функции по выработке государственной политики и нормативно-правовому регулированию в сфере страховой деятельности, о заключении договора обязательного государственного страхования.

2. Настоящий приказ вступает в силу с 1 января 2014 года.

Министр
А.Г.СИЛУАНОВ

УТВЕРЖДЕН
приказом Министерства финансов
Российской Федерации
от 29.11.2013 N 110н

ПОРЯДОК
ОПРЕДЕЛЕНИЯ РАЗМЕРА СТРАХОВОГО ТАРИФА ПО ОБЯЗАТЕЛЬНОМУ ГОСУДАРСТВЕННОМУ СТРАХОВАНИЮ ЖИЗНИ И ЗДОРОВЬЯ ВОЕННОСЛУЖАЩИХ, ГРАЖДАН, ПРИЗВАННЫХ НА ВОЕННЫЕ СБОРЫ, ЛИЦ РЯДОВОГО И НАЧАЛЬСТВУЮЩЕГО СОСТАВА ОРГАНОВ ВНУТРЕННИХ ДЕЛ РОССИЙСКОЙ ФЕДЕРАЦИИ, ГОСУДАРСТВЕННОЙ ПРОТИВОПОЖАРНОЙ СЛУЖБЫ, ОРГАНОВ ПО КОНТРОЛЮ ЗА ОБОРОТОМ НАРКОТИЧЕСКИХ СРЕДСТВ И ПСИХОТРОПНЫХ ВЕЩЕСТВ, СОТРУДНИКОВ УЧРЕЖДЕНИЙ И ОРГАНОВ УГОЛОВНО-ИСПОЛНИТЕЛЬНОЙ СИСТЕМЫ, В ТОМ ЧИСЛЕ СТРУКТУРА СТРАХОВОГО ТАРИФА, ПОРЯДОК ЕГО ПРИМЕНЕНИЯ ПРИ РАСЧЕТЕ СТРАХОВОЙ ПРЕМИИ, ПЕРЕЧЕНЬ, ПОРЯДОК СБОРА И ХРАНЕНИЯ СТАТИСТИЧЕСКИХ ДАННЫХ, ПРИМЕНЯЕМЫХ ПРИ РАСЧЕТЕ РАЗМЕРА СТРАХОВОГО ТАРИФА, ПОРЯДОК ОБМЕНА ТАКИМИ ДАННЫМИ МЕЖДУ СТРАХОВАТЕЛЕМ И СТРАХОВЩИКОМ, ПОРЯДОК УВЕДОМЛЕНИЯ СТРАХОВЩИКОМ ФЕДЕРАЛЬНОГО ОРГАНА ИСПОЛНИТЕЛЬНОЙ ВЛАСТИ, ОСУЩЕСТВЛЯЮЩЕГО ФУНКЦИИ ПО ВЫРАБОТКЕ ГОСУДАРСТВЕННОЙ ПОЛИТИКИ И НОРМАТИВНО-ПРАВОВОМУ РЕГУЛИРОВАНИЮ В СФЕРЕ СТРАХОВОЙ ДЕЯТЕЛЬНОСТИ, О ЗАКЛЮЧЕНИИ ДОГОВОРА ОБЯЗАТЕЛЬНОГО ГОСУДАРСТВЕННОГО СТРАХОВАНИЯ

I. Общие положения

1. Настоящий Порядок разработан в соответствии с пунктом 4 статьи 6 и пунктом 4 статьи 9 Федерального закона от 28 марта 1998 г. N 52-ФЗ "Об обязательном государственном страховании жизни и здоровья военнослужащих, граждан, призванных на военные сборы, лиц рядового и начальствующего состава органов внутренних дел Российской Федерации, Государственной противопожарной службы, органов по контролю за оборотом наркотических средств и психотропных веществ, сотрудников учреждений и органов уголовно-исполнительной системы" (Собрание законодательства Российской Федерации, 1998, N 13, ст. 1474, N 30, ст. 3613; 2002, N 30, ст. 3033; 2003, N 27, ст. 2700; 2008, N 24, ст. 2799; 2013, N 27, ст. 3457) (далее - Федеральный закон) и устанавливает порядок определения размера страхового тарифа по обязательному государственному страхованию жизни и здоровья военнослужащих, граждан, призванных на военные сборы, лиц рядового и начальствующего состава органов внутренних дел Российской Федерации, Государственной противопожарной службы, органов по контролю за оборотом наркотических средств и психотропных веществ, сотрудников учреждений и органов уголовно-исполнительной системы (далее -обязательное государственное страхование), в том числе структуру страхового тарифа, порядок его применения при расчете страховой премии, перечень, порядок сбора и хранения статистических данных, применяемых при расчете размера страхового тарифа, порядок обмена статистическими данными между страхователем и страховщиком, а также порядок уведомления страховщиком федерального органа исполнительной власти, осуществляющего функции по выработке государственной политики и нормативно-правовому регулированию в сфере страховой деятельности, о заключении договора обязательного государственного страхования.

2. Настоящий Порядок подлежит применению страховыми организациями, имеющими соответствующую лицензию на осуществление обязательного государственного страхования, заключившими или имеющими намерение заключить договор обязательного государственного страхования (далее - Страховщик) с федеральными органами исполнительной власти, в которых законодательством Российской Федерации предусмотрены служба в органах внутренних дел Российской Федерации, Государственной противопожарной службе, служба в органах по контролю за оборотом наркотических средств и психотропных веществ, служба в учреждениях и органах уголовно-исполнительной системы (далее - служба), военная служба (далее - Страхователь).

II. Перечень, порядок сбора и хранения статистических данных, применяемых при расчете размера страхового тарифа, порядок обмена статистическими данными между Страхователем и Страховщиком

3. При расчете размера страхового тарифа Страховщиком применяются статистические данные, предоставленные Страхователем (далее - статистические данные).

4. В целях подготовки статистических данных Страхователь осуществляет учет страховых случаев, при наступлении которых страховые суммы выплачиваются в размерах, установленных статьей 5 Федерального закона, в разрезе следующих страховых рисков:

а) гибель (смерть) лица, жизнь и здоровье которого подлежат обязательному государственному страхованию (далее - застрахованное лицо), в период прохождения военной службы, службы, военных сборов;

б) смерть застрахованного лица до истечения одного года после увольнения с военной службы, со службы, после отчисления с военных сборов или окончания военных сборов вследствие увечья (ранения, травмы, контузии) или заболевания, полученных в период прохождения военной службы, службы, военных сборов;

в) установление застрахованному лицу инвалидности I группы в период прохождения военной службы, службы, военных сборов;

г) установление застрахованному лицу инвалидности II группы в период прохождения военной службы, службы, военных сборов;

д) установление застрахованному лицу инвалидности III группы в период прохождения военной службы, службы, военных сборов;

е) установление застрахованному лицу инвалидности I группы до истечения одного года после увольнения с военной службы, со службы, после отчисления с военных сборов или окончания военных сборов вследствие увечья (ранения, травмы, контузии) или заболевания, полученных в период прохождения военной службы, службы, военных сборов;

ж) установление застрахованному лицу инвалидности II группы до истечения одного года после увольнения с военной службы, со службы, после отчисления с военных сборов или окончания военных сборов вследствие увечья (ранения, травмы, контузии) или заболевания, полученных в период прохождения военной службы, службы, военных сборов;

з) установление застрахованному лицу инвалидности III группы до истечения одного года после увольнения с военной службы, со службы, после отчисления с военных сборов или окончания военных сборов вследствие увечья (ранения, травмы, контузии) или заболевания, полученных в период прохождения военной службы, службы, военных сборов;

и) получение застрахованным лицом в период прохождения военной службы, службы, военных сборов тяжелого увечья (ранения, травмы, контузии);

к) получение застрахованным лицом в период прохождения военной службы, службы, военных сборов легкого увечья (ранения, травмы, контузии);

л) увольнение военнослужащего, проходящего военную службу по призыву, с военной службы, отчисление гражданина, призванного на военные сборы на воинскую должность, для которой штатом воинской части предусмотрено воинское звание до старшины (главного корабельного старшины) включительно, с военных сборов в связи с признанием их военно-врачебной комиссией не годными к военной службе или ограниченно годными к военной службе вследствие увечья (ранения, травмы, контузии) или заболевания, полученных в период прохождения военной службы, военных сборов.

5. С целью уточнения степени страхового риска и размера страхового тарифа по договору обязательного государственного страхования Страхователем может производиться дифференциация застрахованных лиц по однородным группам застрахованных лиц (далее - группы риска), имея в виду повышенную или пониженную степень риска по одному или нескольким факторам, влияющим на степень риска (далее - факторы риска).

Принципы дифференциации застрахованных лиц по группам риска определяются Страхователем с учетом имеющихся у него данных. Группы риска могут быть сформированы, в частности, по географическому признаку, видам и родам войск, характеру исполняемых обязанностей, отношению к военной службе, службе (военнослужащие; граждане, призванные на военные сборы; граждане, со дня увольнения с военной службы, службы, отчисления с военных сборов или окончания военных сборов которых прошло не более 1 года (далее - уволенные со службы); сотрудники). При наличии оснований в отдельные группы риска могут быть выделены, в частности, войсковые части, подразделения, организации, учреждения.

Выделение в отдельную группу (отдельные группы) риска уволенных со службы является обязательным. Иные застрахованные лица при однородной степени риска могут дифференцироваться Страхователем в единую группу риска.

Совокупная численность застрахованных лиц, входящих во все группы риска по каждому фактору риска, должна быть равна численности всех застрахованных лиц.

Страховщик вправе представить Страхователю обоснованные предложения о принципах дифференциации застрахованных лиц по группам риска и их изменении, а также о факторах риска, подлежащих учету в целях реализации обязательного государственного страхования.

В случае изменения Страхователем принципов дифференциации застрахованных лиц по группам риска при обмене статистическими данными должна быть обеспечена преемственность статистических данных в отношении исполнения требований пункта 10 настоящего Порядка к продолжительности представляемого периода статистического наблюдения.

6. Страховщик в порядке обмена статистическими данными при осуществлении обязательного государственного страхования должен предоставлять Страхователю по согласованной с ним форме следующую информацию по всем страховым случаям по договору обязательного государственного страхования:

а) дата наступления страхового случая;

б) страховой риск в соответствии с пунктом 4 настоящего Порядка;

в) признаки, позволяющие однозначно идентифицировать застрахованное лицо (по усмотрению Страхователя);

г) дата поступления заявления Страховщику о наступлении страхового случая;

д) в случае произведенной выплаты страховой суммы размер выплаченной страховой суммы (накопительным итогом) и дата выплаты страховой суммы (последней ее части).

Указанная информация за прошедший отчетный период и накопительным итогом за период от начала срока действия договора обязательного государственного страхования предоставляется с согласованной со Страхователем периодичностью не реже, чем ежеквартально в течение срока действия договора обязательного государственного страхования и двух лет после окончания срока действия договора обязательного государственного страхования. По истечении двух лет после окончания срока действия договора обязательного государственного страхования Страховщик предоставляет указанную информацию ежегодно до истечения пяти лет после окончания срока действия договора обязательного государственного страхования.

Страховщик обеспечивает в электронном виде учет информации по обязательному государственному страхованию в срок, позволяющий предоставлять Страхователю информацию обо всех известных Страховщику страховых случаях отчетного периода не позднее 15 календарных дней после его окончания.

7. Страхователь имеет право запросить у страховщиков по договорам обязательного государственного страхования, в том числе срок действия которых истек, статистические данные о количестве страховых случаев, вероятности страхового риска за годы действия договоров обязательного государственного страхования, информацию о страховых случаях в соответствии с подпунктами "а" - "д" пункта 6 настоящего Порядка. При этом страховая организация вправе отказать в предоставлении запрашиваемой информации только в следующих случаях:

а) с момента окончания срока действия договора обязательного государственного страхования истек установленный законодательством Российской Федерации о страховании срок хранения страховой организацией запрашиваемой статистической информации;

б) положениями договора обязательного государственного страхования не предусмотрен учет страховой организацией факторов риска, позволяющий дифференцировать застрахованных лиц по указанным в запросе Страхователя группам риска, вследствие чего Страховщик не может осуществить указанную Страхователем дифференциацию застрахованных лиц;

в) предоставление указанной в запросе Страхователя информации осуществляется в соответствии с пунктом 6 настоящего Порядка.

8. Информация о застрахованных лицах при извещении о проведении конкурса на заключение договора обязательного государственного страхования предоставляется Страхователем по группам риска с соблюдением законодательства Российской Федерации. При этом информация по группе (группам) риска уволенных со службы предоставляется отдельно.

9. В состав статистических данных, подлежащих передаче Страхователем Страховщику для целей расчета размера страхового тарифа по договору обязательного государственного страхования, входят:

а) численность N_g каждой из групп риска g, прогнозируемая на срок действия договора обязательного государственного страхования; при этом численность N_g(T) группы риска g за период T определяется как среднесписочная численность застрахованных лиц за период T:

N_g(T) = N_g(T_i) x l(T_i), где
  i  

l(T_i) - длина (как доля единичной длины годового периода T) периода (T_i), суммирование производится по всем i - периодам, в течение которых численность N_g(T_i) застрахованных лиц в группе риска не изменялась и которые составляют в сумме годовой период T :

Т = U T_i,
  i  
l(T) = l(T_i) = 1,
  i  

б) вероятность q(r)_g(T) страхового риска по каждому из числа определенных пунктом 4 настоящего Порядка страховому риску r по каждой группе риска g по предшествующему дате извещения о проведении конкурса на заключение договора обязательного государственного страхования периоду Т (далее - период наблюдения), состоящему из К (далее - длина периода наблюдения) календарных лет; при этом вероятность q(r)_g(T) страхового риска для группы риска g за период Т определяется отношением количества страховых случаев M(r)_g(T) в группе риска g по страховому риску r к численности N_g(T) группы риска g за период Т:

q(r)_g(T) = M(r)_g(T) .
N_g(T)

Страхователем может дополнительно предоставляться иная информация, в том числе предусмотренная в пункте 6 настоящего Порядка или характеризующая абсолютное либо относительное изменение численности группы риска g в случае ее значительных колебаний за период наблюдения.

10. Страхователь передает статистические данные Страховщику для целей расчета размера страхового тарифа по договору обязательного государственного страхования за период наблюдения длиной К не менее чем за:

а) один год - при извещении о проведении конкурса на заключение договора обязательного государственного страхования в период до 2015 года;

б) два года - при извещении о проведении конкурса на заключение договора обязательного государственного страхования в 2015 году;

в) три года - при извещении о проведении конкурса на заключение договора обязательного государственного страхования после 2015 года.

11. Страхователь при формировании групп риска и запросов Страховщику, при предоставлении статистической информации, а также Страховщик при расчете страхового тарифа и предоставлении информации Страхователю учитывают следующие особенности, связанные со страховыми рисками в отношении уволенных со службы:

а) действие договора обязательного государственного страхования в отношении уволенных со службы распространяется только в пределах одного года после увольнения, вследствие чего для определения степени страхового риска и размера страхового тарифа по договору обязательного государственного страхования для каждого застрахованного лица данной категории должен быть определен период действия договора обязательного государственного страхования, а указание или использование значения численности группы или групп риска уволенных со службы должно производиться с учетом доли годового периода, которую составляет период действия договора обязательного государственного страхования для каждого уволенного со службы; в случае отсутствия указанной информации по каждому застрахованному лицу численность группы или групп риска уволенных со службы рассчитывается как количество уволенных или предполагаемых к увольнению за период, умноженное на 0,5;

б) в отношении уволенного со службы значения вероятности страхового случая определяются только для страховых рисков, определенных подпунктами "б", "е", "ж", "з" пункта 4 настоящего Порядка, а в отношении застрахованного лица, не являющегося уволенным со службы, - только для страховых рисков, определенных подпунктами "а", "в", "г", "д", "и", "к", "л" пункта 4 настоящего Порядка; по остальным страховым рискам значения вероятности страхового случая равны нулю.

12. Страхователь при извещении о проведении конкурса на заключение договора обязательного государственного страхования в составе документации о закупке услуг по обязательному государственному страхованию представляет статистические данные в соответствии с пунктами 9 - 11 настоящего Порядка.

13. Обмен статистическими данными и предоставление информации согласно настоящему Порядку производится с соблюдением требований законодательства Российской Федерации о государственной тайне и защите персональных данных.

14. Сбор и обеспечение сохранности статистических данных осуществляется Страхователем. Формат хранения статистических данных и меры, достаточные для обеспечения их сохранности в течение не менее пяти лет, определяются Страхователем самостоятельно.

15. Сбор и хранение документов и информации осуществляется Страховщиком в соответствии с законодательством Российской Федерации о страховании.

III. Порядок определения размера страхового тарифа

16. Расчет размера страхового тарифа по договору обязательного государственного страхования осуществляется Страховщиком на основании представленных Страхователем в соответствии с пунктами 9 - 11 настоящего Порядка статистических данных по группам риска, оценки Страховщиком уровня расходов Страховщика на осуществление обязательного государственного страхования (далее - расходы Страховщика), а также с учетом финансовых показателей деятельности Страховщика и результатов анализа Страховщиком статистических данных Страхователя.

В случае если представленные Страхователем статистические данные допускают возможность выбора варианта дифференциации застрахованных лиц по группам риска, Страховщик при расчете размера страхового тарифа по договору обязательного государственного страхования определяет дифференциацию застрахованных лиц по группам риска, исходя из целей оптимизации и точности расчета размера страховых тарифов.

17. Оценка q(r)_g вероятности страхового риска r для группы риска g за календарный год периода действия договора обязательного государственного страхования определяется как среднее арифметическое по периоду наблюдения:

q(r)_g(Т)  
q(r)_g = т   .
К

Кроме указанного в абзаце первом настоящего пункта метода расчета, оценка вероятности страхового риска может определяться Страховщиком методами экстраполяции - при наличии устойчивой в периоде наблюдения длиной не менее трех лет тенденции изменения вероятности страхового риска, и актуарными методами на основе анализа развития убытков - в случае представления Страхователем предусмотренной в пункте 6 настоящего Порядка информации по каждому страховому случаю за период наблюдения и наличия опыта осуществления обязательного государственного страхования и статистических данных по ранее заключенным договорам обязательного государственного страхования. При расчете страхового тарифа Страховщик имеет право использовать значение оценки вероятности страхового риска, полученное с использованием указанных в настоящем абзаце методов, при условии, что уменьшение размера страховой премии по договору обязательного государственного страхования по сравнению с размером страховой премии, рассчитанным при значении оценки вероятности страхового риска, определенным в соответствии с абзацем первым настоящего пункта, составляет величину меньшую, чем превышение фактического размера маржи платежеспособности Страховщика над величиной нормативного размера маржи платежеспособности, увеличенного на 30%.

В случае предоставления Страхователем в соответствии с абзацем седьмым пункта 9 настоящего Порядка данных об изменении численности группы риска оценка вероятности страхового риска определяется Страховщиком с учетом предоставленных данных.

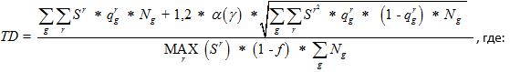
18. Размер страхового тарифа TD (в долях от максимального из размеров страховых сумм в соответствии с Федеральным законом) по договору обязательного государственного страхования с учетом численности групп риска определяется следующим образом:

S(r) - размер страховой суммы по страховому риску r в соответствии с абзацами вторым - восьмым пункта 2 статьи 5 Федерального закона;

q(r)_g - оценка вероятности страхового риска r для группы риска g;

N_g - численность группы риска g;

MAX (S(r)) - максимальный их размеров страховых сумм S(r);
r    

f - уровень расходов Страховщика (нагрузка);

() - коэффициент, зависящий от выбранного Страховщиком уровня гарантии достаточности рассчитываемого размера страховой премии по договору обязательного государственного страхования для обеспечения всех выплат страховых сумм по страховым случаям в рамках договора обязательного государственного страхования (далее - уровень гарантии достаточности страховой премии):

Y 0,84 0,9 0,95 0,98
() 1,0 1,3 1,645 2,0

При расчете страхового тарифа Страховщик имеет право использовать значение уровня гарантии достаточности страховой премии менее 0,98 при условии, что уменьшение размера страховой премии по договору обязательного государственного страхования по договору обязательного государственного страхования по сравнению с размером страховой премии, рассчитанным при значении уровня гарантии достаточности страховой премии 0,98, составляет величину, меньшую, чем превышение фактического размера маржи платежеспособности Страховщика над величиной нормативного размера маржи платежеспособности, увеличенного на 30%.

IV. Структура страхового тарифа

19. Структура страхового тарифа по обязательному государственному страхованию включает:

размера Страховщика (в частности, на расчет страхового тарифа, ведение учета, предоставление информации Страхователю, осуществление выплат страховых сумм) - доля в составе страхового тарифа определяется Страховщиком, но не более 6%;

нетто-ставка (часть страхового тарифа, предназначенная для обеспечение выплат страховых сумм по договору обязательного государственного страхования) - доля в составе страхового тарифа определяется как 100%, уменьшенные на долю расходов Страховщика.

V. Порядок применения страхового тарифа при расчете страховой премии

20. Расчет страховой премии по договору обязательного государственного страхования осуществляется Страховщиком, исходя из:

размера страхового тарифа, являющегося средневзвешенной по численности групп риска величиной страховых тарифов по группам риска в соответствии с пунктом 18 настоящего Порядка;

страховой суммы по договору обязательного государственного страхования, в соответствии с пунктом 2 статьи 9 Федерального закона определяемой как произведение размера страховой суммы по рискам гибели (смерти) застрахованного лица в период прохождения военной службы, службы или военных сборов либо до истечения одного года после увольнения с военной службы, со службы, после отчисления с военных сборов или окончания военных сборов вследствие увечья (ранения, травмы, контузии) или заболевания, полученных в период прохождения военной службы, службы или военных сборов, с учетом ежегодного увеличения (индексации) с учетом уровня инфляции в соответствии с федеральным законом о федеральном бюджете на очередной финансовый год и плановый период, и количества застрахованных лиц;

срока действия договора обязательного государственного страхования;

оценки Страховщиком показателей увеличения (индексации) размера страховых сумм в период действия договора обязательного государственного страхования.

Кроме того, при расчете страховой премии по договору обязательного государственного страхования учитываются финансовые показатели деятельности Страховщика и результаты анализа Страховщиком статистических данных Страхователя.

21. Размер страховой премии Р по договору обязательного государственного страхования определяется по следующей формуле:

Р = TD x S({7a, 7б})_ln d x K_ln d x T_dog x N_g, где
  g  

TD - размер страхового тарифа, определяемый в соответствии с пунктом 18 настоящего Порядка;

S({7a, 7б})_ln d - размер страховой суммы по рискам гибели (смерти) застрахованного лица в период прохождения военной службы, службы или военных сборов либо до истечения одного года после увольнения с военной службы, со службы, после отчисления с военных сборов или окончания военных сборов вследствие увечья (ранения, травмы, контузии) или заболевания, полученных в период прохождения военной службы, службы или военных сборов, с учетом произведенного до даты извещения о проведении конкурса ежегодного увеличения (индексации) в соответствии с федеральным законом о федеральном бюджете на очередной финансовый год и плановый период;

K_ln d - коэффициент индексации размеров страховых сумм на период срока действия договора обязательного государственного страхования в соответствии с федеральным законом о федеральном бюджете на очередной финансовый год и плановый период;

T_dog - срок действия договора обязательного государственного страхования в годах;

N_g - численность группы риска g.

22. В случае использования Страховщиком методов оценки вероятности страхового риска, предусмотренных абзацем третьим пункта 17 настоящего Порядка, и (или) значения уровня гарантии достаточности страховой премии менее 0,98, в целях обоснования правомерности указанного использования в состав представляемого расчета размера страхового тарифа и страховой премии входят сравнительные расчеты и формы отчетности на последнюю отчетную дату. Величины фактического размера маржи платежеспособности и нормативного размера маржи платежеспособности определяются на последнюю отчетную дату в соответствии с законодательством Российской Федерации в сфере страхования.

VI. Порядок уведомления Страховщиком Министерства финансов Российской Федерации о заключении договора обязательного государственного страхования

23. Страховщик в течение 10 календарных дней с даты заключения договора обязательного государственного страхования направляет в Министерство финансов Российской Федерации уведомление о заключении договора обязательного государственного страхования с приложением следующих документов и информации:

а) даты извещения о проведении конкурса на заключение договора обязательного государственного страхования и статистических данных, предоставленных Страхователем в целях расчета размера страхового тарифа;

б) расчета страхового тарифа и страховой премии, представленных Страхователю для участия в конкурсе на заключение договора обязательного государственного страхования, с указанием использованных статистических данных и их источников, с пояснением используемых символьных обозначений и числовых величин, с обоснованием применимости математических и актуарных методов, с приложением в предусмотренных пунктом 22 настоящего Порядка случаях сравнительных расчетов и форм отчетности;

в) копии заключенного договора обязательного государственного страхования, а в случае невозможности ее представления - с приложением следующей информации: даты начала и срока действия договора обязательного государственного страхования, численности застрахованных лиц, в том числе по зафиксированным в договоре обязательного государственного страхования группам риска, размеров страхового тарифа и страховой премии.

24. При внесении в соответствии с законодательством Российской Федерации изменений в договор обязательного государственного страхования в отношении указанной в подпункте "в" пункта 23 настоящего Порядка информации в течение 10 календарных дней с даты внесения изменений в договор обязательного государственного страхования Страховщик направляет уведомление в Министерство финансов Российской Федерации с приложением указанных в пункте 23 настоящего Порядка документов и информации с учетом внесенных в них изменений.