Постановление Правительства РФ от 27.12.2012 N 1432

"Об утверждении Правил предоставления субсидий производителям сельскохозяйственной техники"
Редакция от 30.07.2014 — Документ утратил силу, см. «Постановление Правительства РФ от 20.09.2025 N 1456»
Показать изменения

ПРАВИТЕЛЬСТВО РОССИЙСКОЙ ФЕДЕРАЦИИ

ПОСТАНОВЛЕНИЕ
от 27 декабря 2012 г. N 1432

ОБ УТВЕРЖДЕНИИ ПРАВИЛ ПРЕДОСТАВЛЕНИЯ СУБСИДИЙ ПРОИЗВОДИТЕЛЯМ СЕЛЬСКОХОЗЯЙСТВЕННОЙ ТЕХНИКИ

(в ред. Постановлений Правительства РФ от 15.05.2013 N 415, от 17.02.2014 N 115, от 30.07.2014 N 728)

Правительство Российской Федерации постановляет:

1. Утвердить прилагаемые Правила предоставления субсидий производителям сельскохозяйственной техники.

2. Настоящее постановление вступает в силу с 1 января 2013 г.

Председатель Правительства
Российской Федерации
Д.МЕДВЕДЕВ

УТВЕРЖДЕНЫ
постановлением Правительства
Российской Федерации
от 27 декабря 2012 г. N 1432

ПРАВИЛА
ПРЕДОСТАВЛЕНИЯ СУБСИДИЙ ПРОИЗВОДИТЕЛЯМ СЕЛЬСКОХОЗЯЙСТВЕННОЙ ТЕХНИКИ

(в ред. Постановлений Правительства РФ от 15.05.2013 N 415, от 17.02.2014 N 115 ,от 30.07.2014 N 728)

1. Настоящие Правила устанавливают порядок и условия предоставления производителям сельскохозяйственной техники (далее - производитель) субсидий из федерального бюджета на возмещение затрат на производство и реализацию сельскохозяйственной техники (далее - субсидия).

2. В настоящих Правилах используются следующие понятия: "сельскохозяйственная техника" - техника, предназначенная для выполнения сельскохозяйственных работ, которая была выпущена в обращение на территории Российской Федерации в течение года до дня ее реализации и не эксплуатировалась; (в ред. Постановления Правительства РФ от 30.07.2014 N 728)

"дилер" - организация, приобретающая сельскохозяйственную технику у производителя по договору купли-продажи с целью ее последующей реализации сельскохозяйственным товаропроизводителям и (или) российским лизинговым компаниям; (в ред. Постановления Правительства РФ от 30.07.2014 N 728)

"российская лизинговая компания" - коммерческая организация - резидент Российской Федерации, приобретающая в ходе реализации договора финансовой аренды (лизинга) в собственность сельскохозяйственную технику у производителя или дилера и предоставляющая ее в качестве предмета договора финансовой аренды (лизинга) лизингополучателю за определенную плату, на определенный срок и на определенных условиях во временное владение и пользование с переходом или без перехода к лизингополучателю права собственности на сельскохозяйственную технику; (в ред. Постановления Правительства РФ от 30.07.2014 N 728)

"лизингополучатель" - гражданин или юридическое лицо, признанное сельскохозяйственным товаропроизводителем в соответствии с Федеральным законом "О развитии сельского хозяйства". (в ред. Постановления Правительства РФ от 30.07.2014 N 728)

3. Субсидии предоставляются производителю в размере 15 процентов от цены сельскохозяйственной техники (без учета налога на добавленную стоимость): (в ред. Постановления Правительства РФ от 17.02.2014 N 115)

а) тракторов сельскохозяйственных общего назначения (код Общероссийского классификатора продукции ОК 005-93 (далее - код ОКП) 47 2200), тракторов сельскохозяйственных универсально-пропашных (код ОКП 47 2400) и тракторов специальных (код ОКП 47 2510): (в ред. Постановления Правительства РФ от 17.02.2014 N 115)

коды ОКП 47 2242, 47 2410, 47 2420, 47 2432, 47 2433, 47 2511, 47 2512 (но не более 100 тыс. рублей); (в ред. Постановления Правительства РФ от 17.02.2014 N 115)

коды ОКП 47 2243, 47 2244, 47 2254, 47 2264, 47 2434 (но не более 250 тыс. рублей); (в ред. Постановления Правительства РФ от 17.02.2014 N 115)

коды ОКП 47 2245, 47 2255, 47 2265 (но не более 700 тыс. рублей); (в ред. Постановления Правительства РФ от 17.02.2014 N 115)

коды ОКП 47 2256, 47 2266, 47 2267 (но не более 1250 тыс. рублей); (в ред. Постановления Правительства РФ от 17.02.2014 N 115)

б) комбайнов зерноуборочных (код ОКП 47 3518) с мощностью двигателя:

до 199 л.с. (но не более 750 тыс. рублей);

от 199 л.с. до 399 л.с. (но не более 1000 тыс. рублей);

свыше 399 л.с. (но не более 1400 тыс. рублей); (в ред. Постановления Правительства РФ от 17.02.2014 N 115)

в) сеялок тракторных (без туковых) (код ОКП 47 3310), сеялок зернотуковых (код ОКП 47 3321) (но не более 750 тыс. рублей); (в ред. Постановления Правительства РФ от 15.05.2013 N 415)

г) культиваторов для сплошной обработки почвы (код ОКП 47 3230) (но не более 200 тыс. рублей); (в ред. Постановления Правительства РФ от 17.02.2014 N 115)

д) машин комбинированных и универсальных (коды ОКП 47 3218, 47 3248), плугов общего назначения (код ОКП 47 3210) и дисковых борон (код ОКП 47 3244) (но не более 300 тыс. рублей); (в ред. Постановления Правительства РФ от 17.02.2014 N 115)

е) копателей картофеля (код ОКП 47 3611) и комбайнов картофелеуборочных (код ОКП 47 3618) (но не более 1150 тыс. рублей);

ж) косилок тракторных (код ОКП 47 4411), плющилок тракторных (код ОКП 47 4412), волокуш тракторных (код ОКП 47 4413), ворошилок (код ОКП 47 4416) и пресс-подборщиков (код ОКП 47 4418) (но не более 900 тыс. рублей);

з) комбайнов кормоуборочных (код ОКП 47 4438) (но не более 1000 тыс. рублей);

и) картофелесажалок (код ОКП 47 3331), опрыскивателей и аэрозольных аппаратов (код ОКП 47 3411), машин для уборки зерновых, масличных, бобовых и крупяных культур (код ОКП 47 3510, кроме кода ОКП 47 3518) (но не более 750 тыс. рублей);

к) культиваторов для сахарной свеклы неполивной, овощей сеяных (низкостебельных культур) (код ОКП 47 3261) и культиваторов для кукурузы, подсолнечника, картофеля, капусты, томатов, сахарной свеклы поливной (высокостебельных культур) (код ОКП 47 3262) (но не более 100 тыс. рублей); (в ред. Постановления Правительства РФ от 15.05.2013 N 415)

л) машин для внесения минеральных удобрений и извести (кроме жидких и пылевидных) (код ОКП 47 3352) (но не более 200 тыс. рублей); (в ред. Постановления Правительства РФ от 15.05.2013 N 415)

м) жаток кукурузных и собирателей початков (код ОКП 47 3551) (но не более 250 тыс. рублей); (в ред. Постановления Правительства РФ от 15.05.2013 N 415)

н) шасси самоходных для уборочных машин (код ОКП 47 3964) (но не более 400 тыс. рублей); (в ред. Постановления Правительства РФ от 15.05.2013 N 415)

о) сцепок тракторных (код ОКП 47 3981) (но не более 50 тыс. рублей); (в ред. Постановления Правительства РФ от 15.05.2013 N 415)

п) граблей тракторных (код ОКП 47 4414) (но не более 120 тыс. рублей); (в ред. Постановления Правительства РФ от 15.05.2013 N 415)

р) подборщиков-копнителей, стогообразователей (код ОКП 47 4417) (но не более 70 тыс. рублей). (в ред. Постановления Правительства РФ от 15.05.2013 N 415)

с) борон ножевых, игольчатых, ротационных, пружинных, шарнирных (код ОКП 47 3246) (но не более 200 тыс. рублей); (в ред. Постановления Правительства РФ от 17.02.2014 N 115)

т) разбрасывателей органических удобрений (код ОКП 47 3351) (но не более 330 тыс. рублей); (в ред. Постановления Правительства РФ от 17.02.2014 N 115)

у) машин для послеуборочной обработки зерна (код ОКП 47 3520) (но не более 300 тыс. рублей); (в ред. Постановления Правительства РФ от 17.02.2014 N 115)

ф) сушилок для послеуборочной сушки зерна перед закладкой на хранение (код ОКП 47 3530) (но не более 1000 тыс. рублей); (в ред. Постановления Правительства РФ от 17.02.2014 N 115)

х) машин для уборки ботвы корнеклубнеплодов (код ОКП 47 3627) (но не более 150 тыс. рублей); (в ред. Постановления Правительства РФ от 17.02.2014 N 115)

ц) комбайнов свеклоуборочных (код ОКП 47 3628) (но не более 500 тыс. рублей); (в ред. Постановления Правительства РФ от 17.02.2014 N 115)

ч) транспортеров сельскохозяйственных для зерна (и отходов) (код ОКП 47 3915) и зернопогрузчиков (код ОКП 47 3932) (но не более 60 тыс. рублей); (в ред. Постановления Правительства РФ от 17.02.2014 N 115)

ш) загрузчиков сельскохозяйственных (код ОКП 47 3941) и разгрузчиков сельскохозяйственных (код ОКП 47 3942) (но не более 90 тыс. рублей); (в ред. Постановления Правительства РФ от 17.02.2014 N 115)

щ) прицепов (код ОКП 47 3961) и полуприцепов (код ОКП 47 3962) (но не более 190 тыс. рублей); (в ред. Постановления Правительства РФ от 17.02.2014 N 115)

ы) раздатчиков кормов для ферм крупного рогатого скота (код ОКП 47 4131) и раздатчиков кормов для свиноферм (код ОКП 47 4132) (но не более 250 тыс. рублей); (в ред. Постановления Правительства РФ от 17.02.2014 N 115)

э) косилок-измельчителей (код ОКП 47 4431) и измельчителей грубых и сочных кормов (код ОКП 47 4472) (но не более 150 тыс. рублей); (в ред. Постановления Правительства РФ от 17.02.2014 N 115)

ю) дробилок для кормов (код ОКП 47 4471) (но не более 60 тыс. рублей); (в ред. Постановления Правительства РФ от 17.02.2014 N 115)

я) смесителей кормов (код ОКП 47 4474) (но не более 230 тыс. рублей); (в ред. Постановления Правительства РФ от 17.02.2014 N 115)

я(1)) погрузчиков универсальных сельскохозяйственного назначения (код ОКП 47 4938) (но не более 600 тыс. рублей); (в ред. Постановления Правительства РФ от 17.02.2014 N 115)

я(2)) установок доильных (код ОКП 47 4141) (но не более 450 тыс. рублей); (в ред. Постановления Правительства РФ от 17.02.2014 N 115)

я(3)) аппаратов доильных (код ОКП 47 4142) (но не более 3 тыс. рублей); (в ред. Постановления Правительства РФ от 17.02.2014 N 115)

я(4)) насосов и устройств для перекачивания и транспортирования молока на фермах (код ОКП 47 4144) (но не более 2 тыс. рублей); (в ред. Постановления Правительства РФ от 17.02.2014 N 115)

я(5)) емкостей для хранения молока (код ОКП 47 4145) (но не более 120 тыс. рублей); (в ред. Постановления Правительства РФ от 17.02.2014 N 115)

я(6)) очистителей-охладителей молока (код ОКП 47 4151) (но не более 5 тыс. рублей); (в ред. Постановления Правительства РФ от 17.02.2014 N 115)

я(7)) комплектов оборудования сборных стойл для коров (код ОКП 47 4168) (но не более 160 тыс. рублей); (в ред. Постановления Правительства РФ от 17.02.2014 N 115)

я(8)) транспортеров для навоза (код ОКП 47 4914) (но не более 30 тыс. рублей); (в ред. Постановления Правительства РФ от 17.02.2014 N 115)

я(9)) рыхлителей (код ОКП 47 3114) (но не более 150 тыс. рублей); (в ред. Постановления Правительства РФ от 17.02.2014 N 115)

я(10)) машин для пахоты и глубокого рыхления (специального назначения) прочих (код ОКП 47 3229) (но не более 150 тыс. рублей); (в ред. Постановления Правительства РФ от 17.02.2014 N 115)

я(11)) борон зубовых (код ОКП 47 3243) (но не более 80 тыс. рублей); (в ред. Постановления Правительства РФ от 17.02.2014 N 115)

я(12)) катков (код ОКП 47 3249) (но не более 40 тыс. рублей); (в ред. Постановления Правительства РФ от 17.02.2014 N 115)

я(13)) культиваторов фрезерных (код ОКП 47 3264) (но не более 110 тыс. рублей); (в ред. Постановления Правительства РФ от 17.02.2014 N 115)

я(14)) сортировок и пунктов первичной обработки картофеля (код ОКП 47 3614) (но не более 450 тыс. рублей); (в ред. Постановления Правительства РФ от 17.02.2014 N 115)

я(15)) транспортеров погрузочных и разгрузочных картофеля (код ОКП 47 3615) (но не более 360 тыс. рублей); (в ред. Постановления Правительства РФ от 17.02.2014 N 115)

я(16)) машин для уборки и первичной обработки картофеля прочих (код ОКП 47 3619) (но не более 180 тыс. рублей); (в ред. Постановления Правительства РФ от 17.02.2014 N 115)

я(17)) теребилок льна (код ОКП 47 3651) (но не более 60 тыс. рублей); (в ред. Постановления Правительства РФ от 17.02.2014 N 115)

я(18)) тележек (код ОКП 47 3966) (но не более 40 тыс. рублей); (в ред. Постановления Правительства РФ от 17.02.2014 N 115)

я(19)) фуражиров (код ОКП 47 4946) (но не более 40 тыс. рублей); (в ред. Постановления Правительства РФ от 17.02.2014 N 115)

я(20)) установок искусственного досушивания сена и машин заготовки грубых кормов прочих (код ОКП 47 4419) (но не более 230 тыс. рублей); (в ред. Постановления Правительства РФ от 30.07.2014 N 728)

я(21)) тележек-подборщиков тюков (код ОКП 47 4964) (но не более 220 тыс. рублей); (в ред. Постановления Правительства РФ от 30.07.2014 N 728)

я(22)) экскаваторов одноковшовых с ковшом емкостью 1 куб. метр (код ОКП 48 1140) (но не более 800 тыс. рублей); (в ред. Постановления Правительства РФ от 30.07.2014 N 728)

я(23)) бульдозеров (в том числе с рыхлителями) на гусеничных тракторах тяговых классов от 6-го до 10-го (код ОКП 48 1214) (но не более 1000 тыс. рублей); (в ред. Постановления Правительства РФ от 30.07.2014 N 728)

я(24)) машин капустоуборочных (код ОКП 47 3635) (но не более 100 тыс. рублей). (в ред. Постановления Правительства РФ от 30.07.2014 N 728)

4. Субсидии предоставляются в пределах бюджетных ассигнований, предусмотренных в федеральном законе о федеральном бюджете на соответствующий финансовый год и плановый период, и лимитов бюджетных обязательств, утвержденных в установленном порядке Министерству сельского хозяйства Российской Федерации на цели, указанные в пункте 1 настоящих Правил.

Суммарный объем субсидий (в процентах от общего объема субсидий на текущий финансовый год), предоставляемых одному производителю с численностью персонала, участвующего в производстве сельскохозяйственной техники (средней за последние 12 месяцев работы производителя), менее 75 человек, не может превышать 1,25 процента, от 75 до 500 человек - 5 процентов, от 500 до 1000 человек - 12,5 процента, от 1000 до 2000 человек - 25 процентов, более 2000 человек - 65 процентов. (в ред. Постановлений Правительства РФ от 15.05.2013 N 415, от 30.07.2014 N 728)

5. Субсидии предоставляются производителю, соответствующему следующим критериям:

а) производитель - юридическое лицо, являющееся налоговым резидентом Российской Федерации не менее 3 лет и осуществляющее производство сельскохозяйственной техники;

б) производитель обладает правами на конструкторскую и технологическую документацию в объеме, необходимом для осуществления разработки, производства, модернизации и обслуживания сельскохозяйственной техники, ее оборудования и компонентов, а также предоставляет на реализуемую сельскохозяйственную технику гарантию, действующую не менее чем 12 месяцев со дня реализации сельскохозяйственной техники;

в) не менее чем в 40 субъектах Российской Федерации производитель, реализующий сельскохозяйственную технику, указанную в подпунктах "а", "б" и "з" пункта 3 настоящих Правил, имеет соглашения (договоры) с сервисными организациями по техническому обслуживанию и ремонту сельскохозяйственной техники, которые являются налоговыми резидентами Российской Федерации и осуществляют сервисное обслуживание сельскохозяйственной техники производителя не менее 1 года.

6. Производитель осуществляет на территории Российской Федерации в полном объеме, необходимом для производства, следующие технологические операции:

а) при производстве тракторов сельскохозяйственных общего назначения (код ОКП 47 2200), тракторов специальных (код ОКП 47 2510), экскаваторов одноковшовых с ковшом емкостью 1 куб. метр (код ОКП 48 1140), бульдозеров (в том числе с рыхлителями) на гусеничных тракторах тяговых классов от 6-го до 10-го (код ОКП 48 1214) и тракторов сельскохозяйственных универсально-пропашных (код ОКП 47 2400): (в ред. Постановлений Правительства РФ от 17.02.2014 N 115, от 30.07.2014 N 728)

сборку и сварку (при необходимости) несущей рамы (при ее наличии), ее покраску;

производство или моста (мостов), или трансмиссии, или двигателя;

сборку моторно-силовой установки, трансмиссии, моста (мостов);

производство, сборку и окраску элементов экстерьера;

производство, сварку, покраску кабины;

монтаж и покраску моторного агрегата, осей и мостов, трансмиссии, навесного устройства; (в ред. Постановления Правительства РФ от 17.02.2014 N 115)

монтаж системы электрооборудования, гидрооборудования;

б) при производстве комбайнов зерноуборочных (код ОКП 47 3518) и комбайнов кормоуборочных (код ОКП 47 4438):

сборку и сварку несущей рамы (рамной конструкции), ее покраску;

производство или моста (мостов), или двигателя;

сварку, сборку и окраску молотильно-сепарирующего устройства (для комбайна зерноуборочного) и питающего аппарата с измельчающим и выгрузным устройствами (для комбайна кормоуборочного);

сборку моторно-силовой установки, или трансмиссии, или моста (мостов);

сборку (при необходимости окраску) элементов экстерьера;

производство, сварку, покраску кабины;

производство, включая сварку (при необходимости) и покраску бункера (при наличии в конструкции);

производство, включая сварку и сборку навесного оборудования (жатки, адаптера);

производство, включая сварку и сборку навесных устройств;

монтаж и покраску моторно-силовой установки, мостов, трансмиссии, навесных устройств; (в ред. Постановления Правительства РФ от 17.02.2014 N 115)

в) при производстве сеялок тракторных (без туковых) (код ОКП 47 3310), сеялок зернотуковых (код ОКП 47 3321), культиваторов для сплошной обработки почвы (код ОКП 47 3230), машин комбинированных и универсальных (коды ОКП 47 3218, 47 3248), плугов общего назначения (код ОКП 47 3210), дисковых борон (код ОКП 47 3244), копателей картофеля (код ОКП 47 3611), комбайнов картофелеуборочных (код ОКП 47 3618), косилок тракторных (код ОКП 47 4411), плющилок тракторных (код ОКП 47 4412), волокуш тракторных (код ОКП 47 4413), ворошилок (код ОКП 47 4416), пресс-подборщиков (код ОКП 47 4418), картофелесажалок (код ОКП 47 3331), опрыскивателей и аэрозольных аппаратов (код ОКП 47 3411), машин для уборки зерновых, масличных, бобовых и крупяных культур (код ОКП 47 3510, кроме кода ОКП 47 3518), культиваторов для сахарной свеклы неполивной, овощей сеяных (низкостебельных культур) (код ОКП 47 3261), культиваторов для кукурузы, подсолнечника, картофеля, капусты, томатов, сахарной свеклы поливной (высокостебельных культур) (код ОКП 47 3262), машин для внесения минеральных удобрений и извести (кроме жидких и пылевидных) (код ОКП 47 3352), жаток кукурузных и собирателей початков (код ОКП 47 3551), шасси самоходных для уборочных машин (код ОКП 47 3964), сцепок тракторных (код ОКП 47 3981), граблей тракторных (код ОКП 47 4414), подборщиков-копнителей, стогообразователей (код ОКП 47 4417), борон ножевых, игольчатых, ротационных, пружинных, шарнирных (код ОКП 47 3246), разбрасывателей органических удобрений (код ОКП 47 3351), машин для послеуборочной обработки зерна (код ОКП 47 3520), сушилок для послеуборочной сушки зерна перед закладкой на хранение (код ОКП 47 3530), машин для уборки ботвы корнеклубнеплодов (код ОКП 47 3627), комбайнов свеклоуборочных (код ОКП 47 3628), транспортеров сельскохозяйственных для зерна (и отходов) (код ОКП 47 3915), зернопогрузчиков (код ОКП 47 3932), загрузчиков сельскохозяйственных (код ОКП 47 3941), разгрузчиков сельскохозяйственных (код ОКП 47 3942), прицепов (код ОКП 47 3961), полуприцепов (код ОКП 47 3962), раздатчиков кормов для ферм крупного рогатого скота (код ОКП 47 4131), раздатчиков кормов для свиноферм (код ОКП 47 4132), косилок-измельчителей (код ОКП 47 4431), измельчителей грубых и сочных кормов (код ОКП 47 4472), дробилок для кормов (код ОКП 47 4471), смесителей кормов (код ОКП 47 4474), погрузчиков универсальных сельскохозяйственного назначения (код ОКП 47 4938), транспортеров для навоза (код ОКП 47 4914), рыхлителей (код ОКП 47 3114), машин для пахоты и глубокого рыхления (специального назначения) прочих (код ОКП 47 3229), борон зубовых (код ОКП 47 3243), катков (код ОКП 47 3249), культиваторов фрезерных (код ОКП 47 3264), сортировок и пунктов первичной обработки картофеля (код ОКП 47 3614), транспортеров погрузочных и разгрузочных картофеля (код ОКП 47 3615), машин для уборки и первичной обработки картофеля прочих (код ОКП 47 3619), теребилок льна (код ОКП 47 3651), тележек (код ОКП 47 3966), фуражиров (код ОКП 47 4946), установок искусственного досушивания сена и машин заготовки грубых кормов прочих (код ОКП 47 4419), тележек-подборщиков тюков (код ОКП 47 4964), машин капустоуборочных (код ОКП 47 3635): (в ред. Постановлений Правительства РФ от 15.05.2013 N 415, от 17.02.2014 N 115, от 30.07.2014 N 728)

сварку несущей рамы и рамных конструкций, корпусов, бункеров (из металла или производство неметаллических бункеров), навесного устройства, рабочих органов, элементов экстерьера;

окраску несущей рамы и рамных конструкций, корпусов и бункеров (если необходимо), навесного устройства и рабочих органов, элементов экстерьера;

сборку несущей рамы и рамных конструкций, корпусов и бункеров, навесного устройства и рабочих органов, элементов экстерьера;

сборку электрооборудования, пневмооборудования, гидрооборудования;

монтаж несущей рамы и рамных конструкций, корпусов, бункеров, навесного устройства, рабочих органов, элементов экстерьера;

монтаж электрооборудования, пневмооборудования, гидрооборудования.

г) при производстве установок доильных (код ОКП 47 4141), аппаратов доильных (код ОКП 47 4142), насосов и устройств для перекачивания и транспортирования молока на фермах (код ОКП 47 4144), комплектов оборудования сборных стойл для коров (код ОКП 47 4168): (в ред. Постановления Правительства РФ от 17.02.2014 N 115)

механическую обработку, штамповку и сварку несущих и рамных конструкций (при наличии в конструкции), корпусов (при наличии в конструкции); (в ред. Постановления Правительства РФ от 17.02.2014 N 115)

производство отливок из алюминиевых и цинковых сплавов; (в ред. Постановления Правительства РФ от 17.02.2014 N 115)

производство пластмассовых и резиновых деталей; (в ред. Постановления Правительства РФ от 17.02.2014 N 115)

сборку несущих и рамных конструкций корпусов (при наличии в конструкции), корпусов (при наличии в конструкции), рабочих органов (при наличии в конструкции); (в ред. Постановления Правительства РФ от 17.02.2014 N 115)

монтаж электрооборудования, пневмооборудования; (в ред. Постановления Правительства РФ от 17.02.2014 N 115)

д) при производстве емкостей для хранения молока (код ОКП 47 4145), очистителей-охладителей молока (код ОКП 47 4151): (в ред. Постановления Правительства РФ от 17.02.2014 N 115)

механическую обработку и штамповку деталей из нержавеющей стали; (в ред. Постановления Правительства РФ от 17.02.2014 N 115)

сварку емкостей и несущих конструкций; (в ред. Постановления Правительства РФ от 17.02.2014 N 115)

шлифовку наружных и внутренних поверхностей емкостей; (в ред. Постановления Правительства РФ от 17.02.2014 N 115)

сборку несущих и ограждающих конструкций; (в ред. Постановления Правительства РФ от 17.02.2014 N 115)

монтаж, пайку и испытание на герметичность системы охлаждения; (в ред. Постановления Правительства РФ от 17.02.2014 N 115)

монтаж электрооборудования. (в ред. Постановления Правительства РФ от 17.02.2014 N 115)

7. Для подтверждения соответствия критериям, указанным в пункте 5 настоящих Правил, производитель представляет в Министерство промышленности и торговли Российской Федерации заявление, в котором указывает сведения о праве собственности либо о договоре аренды на производственные мощности (оборудование).

8. Заявитель вправе предоставить в Министерство промышленности и торговли Российской Федерации сведения:

а) об отсутствии просроченной задолженности по налогам, сборам, иным обязательным платежам в бюджеты бюджетной системы Российской Федерации;

б) о государственной регистрации права собственности на производственные помещения (недвижимое имущество) либо о договоре аренды указанных помещений.

9. К заявлению, указанному в пункте 7 настоящих Правил, прикладываются следующие документы:

а) копия устава производителя, заверенная подписью руководителя и печатью производителя;

б) копия сертификата соответствия системы менеджмента качества требованиям ГОСТ Р ИСО 9001-2008 (ИСО 9001:2008), ГОСТ ISO 9001-2011 или гарантийное письмо об обязательстве получения сертификата в течение не более 18 месяцев со дня первого обращения, заверенные подписью руководителя и печатью производителя;

в) справка по производственным мощностям (перечень оборудования, балансовая справка или договор аренды и акт приема-передачи оборудования, используемого для производства сельскохозяйственной техники);

г) справка о численности персонала (средней за последние 12 месяцев работы производителя), занятого на производстве сельскохозяйственной техники, заверенная подписью руководителя и печатью производителя;

д) справка со сведениями о правах на конструкторскую, технологическую и иную документацию в объеме, необходимом для осуществления разработки, производства, модернизации и обслуживания сельскохозяйственной техники, оборудования и компонентов производимой техники, по форме, установленной Министерством промышленности и торговли Российской Федерации;

е) справка со сведениями о технической документации, подтверждающей осуществление на территории Российской Федерации технологических операций для производства сельскохозяйственной техники, по форме, установленной Министерством промышленности и торговли Российской Федерации (с приложением копий технологических карт осуществляемого технологического процесса или технологической инструкции по процессу производства сельскохозяйственной техники с указанием перечня технологических операций, используемых при изготовлении конечной продукции);

ж) копии сертификатов соответствия сельскохозяйственной техники требованиям технического регламента о безопасности машин и оборудования, утвержденного постановлением Правительства Российской Федерации от 15 сентября 2009 г. N 753, или техническому регламенту Таможенного союза "О безопасности машин и оборудования" (ТР ТС 010/2011), принятому решением Комиссии Таможенного союза от 18 октября 2011 г. N 823, заверенные подписью руководителя и печатью производителя;

В связи с утратой силы Постановления Правительства РФ от 15.09.2009 N 753, следует руководствоваться принятым взамен Решением Комиссии Таможенного союза ЕврАзЭС от 18.10.2011 N 823.

з) копии протоколов сертификационных испытаний сельскохозяйственной техники, на основании которых были выданы сертификаты соответствия, предусмотренные подпунктом "ж" настоящего пункта, заверенные подписью руководителя и печатью производителя;

и) справка о наличии у производителя или его дилера сервисных организаций по техническому обслуживанию и ремонту, осуществляющих обслуживание сельскохозяйственной техники производителя не менее 1 года, с указанием их реквизитов (наименование, контактные телефоны, адрес), а также номера и даты соглашения (договора), на основании которого осуществляется обслуживание. (в ред. Постановления Правительства РФ от 15.05.2013 N 415)

10. Министерство промышленности и торговли Российской Федерации:

а) регистрирует представленные в соответствии с пунктами 7 и 9 настоящих Правил документы в порядке их поступления в специальном журнале, который должен быть прошнурован, пронумерован и скреплен печатью Министерства;

б) проверяет в течение 15 рабочих дней со дня регистрации правильность оформления и комплектность документов, предусмотренных пунктами 7 и 9 настоящих Правил, а также полноту содержащихся в них сведений;

в) в случае непредставления заявителем сведений, указанных в пункте 8 настоящих Правил, запрашивает их самостоятельно;

г) в течение 30 рабочих дней со дня регистрации документов, указанных в пунктах 7 и 9 настоящих Правил, выдает заключение производителю о соответствии (несоответствии) критериям, указанным в пункте 5 настоящих Правил.

11. Министерство промышленности и торговли Российской Федерации направляет заявителю мотивированный отказ (в письменной форме) и возвращает документы, предусмотренные пунктами 7 и 9 настоящих Правил, в течение 10 дней со дня регистрации в следующих случаях:

а) ненадлежащее оформление документов, предусмотренных пунктами 7 и 9 настоящих Правил;

б) наличие просроченной задолженности по налогам, сборам, иным обязательным платежам в бюджеты бюджетной системы Российской Федерации;

в) отсутствие сведений о государственной регистрации права собственности на производственные помещения либо о договоре аренды производственных помещений.

12. Производитель вправе повторно подать в Министерство промышленности и торговли Российской Федерации документы, предусмотренные пунктами 7 и 9 настоящих Правил.

13. Субсидии предоставляются производителю при соблюдении следующих условий:

а) представление в Министерство сельского хозяйства Российской Федерации заявки на получение субсидии по форме и в сроки, установленные Министерством сельского хозяйства Российской Федерации, с приложением следующих документов:

заключение Министерства промышленности и торговли Российской Федерации о соответствии производителя критериям, указанным в пункте 5 настоящих Правил;

перечень наименований моделей сельскохозяйственной техники, предлагаемых к реализации в текущем финансовом году;

полная спецификация и предлагаемая в течение календарного года цена на каждую модель сельскохозяйственной техники;

перечень организаций, обеспечивающих гарантийное обслуживание сельскохозяйственной техники, с указанием их реквизитов (наименование, контактные телефоны, адрес);

перечень организаций, уполномоченных производителем реализовывать сельскохозяйственную технику, с указанием их реквизитов (наименование, контактные телефоны, адрес);

перечень российских лизинговых компаний, уполномоченных производителем передавать в финансовую аренду (лизинг) сельскохозяйственную технику, с указанием их реквизитов (наименование, контактные телефоны, адрес); (в ред. Постановления Правительства РФ от 30.07.2014 N 728)

б) соответствие сельскохозяйственной техники номенклатуре, определенной в пункте 3 настоящих Правил;

в) цена сельскохозяйственной техники на календарный год установлена на условии франко-завод и не превышает цену, представленную производителем в Министерство сельского хозяйства Российской Федерации в предыдущем году в соответствии с абзацем четвертым подпункта "а" пункта 13 настоящих Правил, увеличенную на коэффициент-дефлятор, утвержденный Министерством экономического развития Российской Федерации на текущий финансовый год. Для модификаций сельскохозяйственной техники, полная спецификация и цена на которые не были представлены производителем в Министерство сельского хозяйства Российской Федерации в предыдущем году, цена установлена на условии франко-завод и не превышает среднюю цену в предыдущем году, увеличенную на коэффициент-дефлятор, утвержденный Министерством экономического развития Российской Федерации на текущий финансовый год, а также увеличенную на наценку в размере не более 15 процентов цены сельскохозяйственной техники на условиях франко-завод. Средняя цена конкретной модификации сельскохозяйственной техники в предыдущем году определяется производителем по фактической сумме, полученной от реализации конкретной модификации сельскохозяйственной техники, разделенной на общее количество реализованной сельскохозяйственной техники этой модификации, и подтверждается справкой за подписью руководителя и главного бухгалтера производителя; (в ред. Постановления Правительства РФ от 17.02.2014 N 115)

цена сельскохозяйственной техники, переданной в финансовую аренду (лизинг) лизингополучателю, не превышает цену, установленную в соответствии с абзацем первым настоящего подпункта; (в ред. Постановления Правительства РФ от 30.07.2014 N 728)

г) наличие договора купли-продажи сельскохозяйственной техники, заключенного производителем или его дилером (далее - продавец) с покупателем или с российской лизинговой компанией (далее - договор купли-продажи); (в ред. Постановлений Правительства РФ от 15.05.2013 N 415, от 30.07.2014 N 728)

д) наличие акта приема-передачи сельскохозяйственной техники между продавцом и покупателем или наличие актов приема-передачи сельскохозяйственной техники между продавцом и российской лизинговой компанией, а также между российской лизинговой компанией и лизингополучателем; (в ред. Постановления Правительства РФ от 30.07.2014 N 728)

е) наличие платежных документов, подтверждающих факт оплаты, произведенной сельскохозяйственным товаропроизводителем, или дилером, или российской лизинговой компанией производителю за реализованную сельскохозяйственную технику; (в ред. Постановления Правительства РФ от 30.07.2014 N 728)

ж) покупатель (лизингополучатель) признан сельскохозяйственным товаропроизводителем в соответствии с Федеральным законом "О развитии сельского хозяйства" (в 2014 году действие настоящего подпункта не распространяется на Республику Крым и г. Севастополь); (в ред. Постановления Правительства РФ от 30.07.2014 N 728)

з) производитель (продавец) реализует сельскохозяйственную технику со скидкой не менее 15 процентов от цены сельскохозяйственной техники, установленной в соответствии с подпунктом "в" настоящего пункта; (в ред. Постановления Правительства РФ от 15.05.2013 N 415)

и) размер субсидий, предоставляемых производителям, реализовавшим сельскохозяйственную технику покупателям, находящимся на территории одного субъекта Российской Федерации, или реализовавшим сельскохозяйственную технику российским лизинговым компаниям, передавшим сельскохозяйственную технику в финансовую аренду (лизинг) лизингополучателям, находящимся на территории одного субъекта Российской Федерации, не превышает объемов, установленных в соответствии с пунктами 14 и 15 настоящих Правил; (в ред. Постановления Правительства РФ от 30.07.2014 N 728)

к) предоставление в Министерство сельского хозяйства Российской Федерации в случае передачи сельскохозяйственной техники в финансовую аренду (лизинг) следующих документов: (в ред. Постановления Правительства РФ от 30.07.2014 N 728)

заверенная руководителем российской лизинговой компании копия уведомления Федеральной службы по финансовому мониторингу о постановке российской лизинговой компании на учет в этой Службе в качестве организации, которая осуществляет операции с денежными средствами или иным имуществом и в сфере деятельности которой отсутствуют надзорные органы (в случае непредставления российской лизинговой компанией такого документа Министерство сельского хозяйства Российской Федерации запрашивает его самостоятельно); (в ред. Постановления Правительства РФ от 30.07.2014 N 728)

выписка из Единого государственного реестра юридических лиц о российской лизинговой компании, заверенная в установленном порядке (в случае непредставления российской лизинговой компанией такого документа Министерство сельского хозяйства Российской Федерации запрашивает его самостоятельно); (в ред. Постановления Правительства РФ от 30.07.2014 N 728)

справка налогового органа, подтверждающая отсутствие у российской лизинговой компании неисполненной обязанности по уплате налогов, сборов и иных обязательных платежей, подлежащих уплате в бюджеты бюджетной системы Российской Федерации в соответствии с законодательством Российской Федерации, заверенная в установленном порядке (в случае непредставления российской лизинговой компанией такого документа Министерство сельского хозяйства Российской Федерации запрашивает его самостоятельно); (в ред. Постановления Правительства РФ от 30.07.2014 N 728)

копия договора финансовой аренды (лизинга), заключенного лизингополучателем с российской лизинговой компанией, заверенная подписью руководителя и печатью российской лизинговой компании; (в ред. Постановления Правительства РФ от 30.07.2014 N 728)

копия графика погашения лизинговых платежей, заверенная лизингополучателем и российской лизинговой компанией; (в ред. Постановления Правительства РФ от 30.07.2014 N 728)

расчет лизинговых платежей с указанием сумм процентов по кредитам, полученным российской лизинговой компанией, и дохода российской лизинговой компании, являющихся частью лизинговых платежей, заверенный лизингополучателем и российской лизинговой компанией. (в ред. Постановления Правительства РФ от 30.07.2014 N 728)

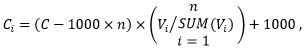
14. Размер субсидии (тысяч рублей), предоставляемой производителям, реализовавшим сельскохозяйственную технику покупателям, находящимся на территории одного субъекта Российской Федерации, или реализовавшим сельскохозяйственную технику российским лизинговым компаниям (фирмам), передавшим сельскохозяйственную технику в финансовую аренду (лизинг) лизингополучателям, находящимся на территории одного субъекта Российской Федерации, определяется по формуле: (в ред. Постановления Правительства РФ от 30.07.2014 N 728)

где:

C - объем субсидий, выделяемых из федерального бюджета Министерству сельского хозяйства Российской Федерации на цели, указанные в пункте 1 настоящих Правил, в текущем финансовом году;

- удельный вес продукции сельского хозяйства субъекта Российской Федерации в продукции сельского хозяйства Российской Федерации (по данным Федеральной службы государственной статистики за последний отчетный год на дату составления расчета, по Республике Крым и г. Севастополю в 2014 году - по данным Федеральной службы государственной статистики за 2010 год); (в ред. Постановления Правительства РФ от 30.07.2014 N 728)

n - количество субъектов Российской Федерации, удельный вес продукции сельского хозяйства которых в продукции сельского хозяйства Российской Федерации отличен от нуля.

14(1). В случае, если размер субсидии, причитающейся по договорам купли-продажи, представленным производителем сельскохозяйственной техники на регистрацию в орган, уполномоченный высшим исполнительным органом государственной власти субъекта Российской Федерации на взаимодействие с Министерством сельского хозяйства Российской Федерации по реализации Государственной программы развития сельского хозяйства и регулирования рынков сельскохозяйственной продукции, сырья и продовольствия на 2013 - 2020 годы, утвержденной постановлением Правительства Российской Федерации от 14 июля 2012 г. N 717 "О Государственной программе развития сельского хозяйства и регулирования рынков сельскохозяйственной продукции, сырья и продовольствия на 2013 - 2020 годы" (далее - уполномоченный орган), по состоянию на 1-е число текущего месяца начиная с 1 июля текущего года не достигает предусмотренной доли в общем объеме субсидий, причитающихся в текущем году по зарегистрированным в уполномоченном органе договорам купли-продажи, а также если размер субсидии, причитающейся по договорам купли-продажи, представленным производителем сельскохозяйственной техники на регистрацию в уполномоченный орган, по состоянию на 1 -е число текущего месяца как минимум в одном субъекте Российской Федерации превышает долю в общем объеме субсидий, причитающихся в текущем году по зарегистрированным в уполномоченном органе договорам купли-продажи, то годовой размер субсидий, причитающихся по договорам купли- продажи, представленным на регистрацию в уполномоченный орган, в последующих месяцах определяется по формуле: (в ред. Постановления Правительства РФ от 30.07.2014 N 728)

(в ред. Постановления Правительства РФ от 30.07.2014 N 728)

где: (в ред. Постановления Правительства РФ от 30.07.2014 N 728)

- размер субсидий, причитающихся по фактически зарегистрированным договорам купли-продажи в субъекте Российской Федерации за период с начала года на дату перерасчета; (в ред. Постановления Правительства РФ от 30.07.2014 N 728)

m - количество месяцев, прошедших с начала текущего финансового года. (в ред. Постановления Правительства РФ от 30.07.2014 N 728)

14(2). Доля в общем объеме субсидий, причитающихся в текущем году по зарегистрированным в уполномоченном органе договорам купли-продажи, определяется по формуле: (в ред. Постановления Правительства РФ от 30.07.2014 N 728)

(в ред. Постановления Правительства РФ от 30.07.2014 N 728)

где: (в ред. Постановления Правительства РФ от 30.07.2014 N 728)

Z - доля текущего финансового года, на которую производится перерасчет субсидии (0,5 - на 1 июля текущего финансового года, 0,6 - на 1 августа текущего финансового года, 0,7 - на 1 сентября текущего финансового года, 0,8 - на 1 октября текущего финансового года, 1 - на 1 ноября текущего финансового года). (в ред. Постановления Правительства РФ от 30.07.2014 N 728)

14(3). Высвободившиеся в результате расчета, произведенного в соответствии с пунктом 14(1) настоящих Правил, объемы субсидий распределяются в соответствии с пунктом 14(1) настоящих Правил между субъектами Российской Федерации, на территории которых в текущем финансовом году производителями, реализовавшими сельскохозяйственную технику сельскохозяйственным товаропроизводителям, находящимся на территории одного субъекта Российской Федерации, или реализовавшими сельскохозяйственную технику российским лизинговым компаниям, передавшим сельскохозяйственную технику в финансовую аренду (лизинг) лизингополучателям, находящимся на территории одного субъекта Российской Федерации, по состоянию на 1-е число текущего месяца представлены на регистрацию в уполномоченный орган договоры купли - продажи сельскохозяйственной техники, объем субсидий по которым превышает долю в общем объеме субсидий, причитающихся в текущем году по зарегистрированным в уполномоченном органе договорам купли-продажи, определенную в соответствии с пунктом 14(2) настоящих Правил. (в ред. Постановления Правительства РФ от 30.07.2014 N 728)

15. Суммарный объем субсидий, предоставляемых производителям, реализовавшим сельскохозяйственную технику покупателям, находящимся на территории одного субъекта Российской Федерации, или реализовавшим сельскохозяйственную технику российским лизинговым компаниям, передавшим сельскохозяйственную технику в финансовую аренду (лизинг) лизингополучателям, находящимся на территории одного субъекта Российской Федерации, не может превышать 10 процентов объема субсидий, предусмотренных в установленном порядке Министерству сельского хозяйства Российской Федерации на цели, указанные в пункте 1 настоящих Правил, в текущем финансовом году. (в ред. Постановления Правительства РФ от 30.07.2014 N 728)

16. Для учета объема субсидий продавцами представляются в уполномоченный орган следующие документы: (в ред. Постановления Правительства РФ от 30.07.2014 N 728)

а) копии договоров купли-продажи сельскохозяйственной техники;

б) копии документа, подтверждающего соответствие покупателя условию, предусмотренному подпунктом "ж" пункта 13 настоящих Правил;

в) копии договоров финансовой аренды (лизинга) сельскохозяйственной техники в случае передачи сельскохозяйственной техники в финансовую аренду (лизинг). (в ред. Постановления Правительства РФ от 30.07.2014 N 728)

17. Уполномоченный орган:

а) регистрирует представленные продавцами копии договоров купли-продажи и копии договоров финансовой аренды (лизинга) в порядке их поступления в специальном журнале, который должен быть прошнурован, пронумерован и скреплен печатью; (в ред. Постановления Правительства РФ от 30.07.2014 N 728)

б) обобщает и размещает в информационно-телекоммуникационной сети "Интернет" информацию об остатке средств, приходящихся на долю производителей, реализующих сельскохозяйственную технику в субъекте Российской Федерации, в соответствии с пунктом 15 настоящих Правил;

в) ежемесячно, до 10 числа, направляет перечни зарегистрированных копий договоров купли-продажи и копий договоров финансовой аренды (лизинга) в Министерство сельского хозяйства Российской Федерации в порядке, установленном Министерством сельского хозяйства Российской Федерации. (в ред. Постановления Правительства РФ от 30.07.2014 N 728)

18. Министерство сельского хозяйства Российской Федерации ежемесячно, до 15 числа обобщает и размещает на сайте Министерства сельского хозяйства Российской Федерации в информационно-телекоммуникационной сети "Интернет" информацию об остатках субсидий, не использованных на цели, указанные в пункте 1 Правил.

19. Предоставление субсидий осуществляется на основании соглашения, заключенного Министерством сельского хозяйства Российской Федерации с производителем (далее - соглашение).

Форма соглашения утверждается Министерством сельского хозяйства Российской Федерации.

20. Соглашением предусматривается:

а) право Министерства сельского хозяйства Российской Федерации осуществлять контроль за соблюдением условий предоставления субсидий, в том числе проверки соблюдения производителем условий, установленных соглашением;

б) порядок возврата субсидии, перечисленной производителю, в случае установления по итогам проверок, проведенных Министерством сельского хозяйства Российской Федерации и иными уполномоченными государственными органами контроля и надзора, факта нарушения условий, определенных настоящими Правилами и соглашением, а также остатка субсидии, не использованного на конец финансового года;

в) обязательство производителя ежемесячно, до 20 числа, представлять в Министерство сельского хозяйства Российской Федерации заявку на предоставление субсидии;

г) расчетный счет, на который перечисляются денежные средства в случае принятия положительного решения о предоставлении субсидии;

д) сроки перечисления субсидии;

е) размер субсидии в соответствии с пунктом 4 и подпунктом "и" пункта 13 настоящих Правил;

ж) формы и сроки представления отчетности об использовании субсидии, определяемые Министерством сельского хозяйства Российской Федерации;

з) значения показателей результативности предоставления субсидии, предусмотренных пунктом 27 настоящих Правил;

и) иные положения, регулирующие порядок предоставления субсидии.

21. Решение о предоставлении или мотивированном отказе в предоставлении субсидии принимается Министерством сельского хозяйства Российской Федерации в течение 15 дней со дня поступления в Министерство сельского хозяйства Российской Федерации заявки производителя с приложением следующих документов, заверенных подписью руководителя и печатью производителя:

а) копии документов, предусмотренных подпунктами "а", "в" - "е" пункта 13 настоящих Правил;

б) копии документов, подтверждающих соответствие реализованной сельскохозяйственной техники кодам ОКП, указанным в пункте 3 настоящих Правил.

21(1). В случаях запроса Министерства сельского хозяйства Российской Федерации документов, предусмотренных подпунктом "к" пункта 13 настоящих Правил, срок принятия решения о предоставлении или об отказе в предоставлении субсидии, предусмотренный пунктом 21 настоящих Правил, увеличивается на период времени, необходимый для их получения, но не более чем на 30 дней. (в ред. Постановления Правительства РФ от 30.07.2014 N 728)

22. В случае нарушения установленных настоящими Правилами целей и условий предоставления субсидий соответствующие средства подлежат взысканию в доход федерального бюджета в соответствии с бюджетным законодательством Российской Федерации.

23. Основанием для мотивированного отказа в предоставлении субсидии является:

а) некомплектность документов, предусмотренных пунктом 21 настоящих Правил, неполнота содержащейся в них информации, несоответствие указанных документов установленным требованиям и условиям предоставления субсидии, предусмотренным пунктом 13 настоящих Правил;

б) отсутствие зарегистрированного уполномоченным органом субъекта Российской Федерации договора купли-продажи или договора финансовой аренды (лизинга); (в ред. Постановления Правительства РФ от 30.07.2014 N 728)

в) превышение объема субсидии над лимитами бюджетных обязательств, предусмотренными на указанные цели.

24. Производитель вправе повторно подать в Министерство сельского хозяйства Российской Федерации заявку и документы, предусмотренные пунктом 21 настоящих Правил, при условии выполнения требований, установленных настоящими Правилами.

25. Министерство сельского хозяйства Российской Федерации в течение 15 дней со дня принятия решения о предоставлении субсидии обеспечивает перечисление средств на расчетный счет производителя, указанный в соглашении.

26. Информация об объемах и сроках перечисления субсидий учитывается Министерством сельского хозяйства Российской Федерации при формировании прогноза кассовых выплат из федерального бюджета, необходимого для составления в установленном порядке кассового плана исполнения федерального бюджета.

27. Эффективность осуществления затрат производителей, источником финансового обеспечения которых является субсидия, оценивается ежегодно Министерством сельского хозяйства Российской Федерации исходя из степени достижения следующих показателей результативности предоставления субсидии:

а) объем инвестиций в основное производство, соответствующий значению показателя, определенного в соглашении; (в ред. Постановления Правительства РФ от 15.05.2013 N 415)

б) объем инвестиций в разработку и освоение новых видов сельскохозяйственной техники или модернизацию моделей сельскохозяйственной техники, соответствующий значению показателя, определенного в соглашении. (в ред. Постановления Правительства РФ от 15.05.2013 N 415)

28. Контроль за соблюдением условий предоставления субсидий осуществляют Министерство сельского хозяйства Российской Федерации и Федеральная служба финансово-бюджетного надзора.