Аппараты телефонные общего применения. Общие технические условия. ГОСТ 7153-85

(утв. Постановлением Госстандарта СССР от 27.12.85 N 4716)
Редакция от 30.11.1991 — Действует

Утвержден и введен в действие
Постановлением Государственного
комитета СССР по стандартам
от 27 декабря 1985 г. N 4716

ГОСУДАРСТВЕННЫЙ СТАНДАРТ СОЮЗА ССР

АППАРАТЫ ТЕЛЕФОННЫЕ ОБЩЕГО ПРИМЕНЕНИЯ

Subscriber telephone sets. General specifications

ОБЩИЕ ТЕХНИЧЕСКИЕ УСЛОВИЯ

ГОСТ 7153-85

(в ред. Изменений N 1, N 2)

Дата введения 01.07.87

Настоящий стандарт распространяется на телефонные аппарату (ТА) общего применения с дисковым номеронабирателем, кнопочным номеронабирателем с импульсным или частотным способом передачи набора номера, с автонабором, предназначенные для работы с автоматическими телефонными станциями (АТС) с номинальными напряжениями станционных батарей 60 В с сопротивлением моста питания (500 x 2) Ом и 48 В с сопротивлением моста питания (400 x 2) Ом.

Стандарт не распространяется на ТА специального применения, таксофоны, громкоговорящие ТА.

Термины, применяемые в стандарте, - по ГОСТ 19472-88 и приложению к настоящему стандарту. (в ред. Изменений N 1)

1. КЛАССИФИКАЦИЯ

1.1. ТА в зависимости от сложности подразделяют на четыре класса в соответствии с табл. 1.

Таблица 1

Основное исполнение Наименование класса сложности Класс сложности
Многофункциональные ТА Высший 0
ТА с дополнительными функциональными возможностями Первый 1
ТА с кнопочным номеронабирателем, тональным приемником вызова, неугольным микрофоном Второй 2
ТА с дисковым номеронабирателем, электромеханическим приемником вызова с угольным и не угольным микрофоном Третий 3

Примечание. Разработка ТА с угольным микрофоном с 01.01.87 не допускается.

1.2. Основные отличительные функции и дополнительные функциональные возможности ТА приведены в табл. 2.

Допускается изготовление ТА с другим сочетанием узлов и функциональных возможностей, при этом, если не выполняется хотя бы одна из обязательных функций и дополнительных возможностей по табл. 2 или хотя бы один из узлов ТА является узлом более низкого класса, ТА должен быть отнесен к более низкому классу сложности.

Таблица 2

Основные отличительные функции и дополнительные возможности Класс сложности
0 1 2 3
1. Регулировка уровня громкости приема абонентом Р Р Р Н
2. Автоматическая регулировка уровня передачи и приема О О Р Н
3. Программирование структуры вызывного акустического сигнала О О Р Н
4. Автоматическая ступенчатая регулировка уровня вызывного акустического сигнала О Р Р Н
5. Отключение вызывного акустического сигнала Р Р Н Н
6. Дублирование вызывного акустического сигнала световым (оптическим) О Р Р Р
7. Громкоговорящий прием сигналов АТС и ответа абонента О Р Н Н
8. Электрическое программирование в режиме клавиатуры именных кнопок О О Н Н
9. Возможность совмещения импульсного и частотного способа передачи набора номера Р Р Н Н
10. Набор запрограммированного номера нажатием соответствующей кнопки О О Н Н
11. Индикация запрограммированного номера О Р Н Н
12. Индикация набираемого номера О Р Н Н
13. Передача и прием буквенно-цифровой информации Р Р Н Н
14. Запрет набора определенных номеров О Р Н Н
15. Последовательный набор нескольких запрограммированных номеров О О Н Н
16. Повтор последнего набранного номера О О О Н
17. Сохранение информации о запрограммированных номерах при отключении, основного питания О О Н Н
18. Хранение последнего набранного номера О О О Н
19. Прерывание набора номера нажатием кнопки "отбой" О О О Н
20 Подсветка номеронабирателя Р Р Р Р
21. Включение в АТС через блокиратор или абонентскую высокочастотную установку (АВУ). Тип АВУ указывается в эксплуатационной документации Р Р Р О
22. Подключение дополнительных устройств (магнитофона, автоответчика и др.) О О Р Н
23. Получение справки по учрежденческой АТС (при наличии соответствующего оборудования на АТС) Р Р Р Р
24. Включение дополнительного ТА по схеме "директор-секретарь" О О Р Р
25. Таймер О Р Р Р
26 Индикация текущего времени О Р Н Н
27. Подключение дополнительного вызывного устройства О О О Р

Примечания:

1. Буква "О" означает обязательную, буква "Н" - необязательную, буква "Р" - рекомендуемую функцию.

2. Требования пп. 8, 10, 11, 15, 16, 17, 18 - для ТА с импульсным способом передачи набора номера.

Например, ТА с кнопочным номеронабирателем, тональным приемником вызова и угольным микрофоном - ТА 3-го класса сложности; ТА, обеспечивающий функциональные возможности по табл. 2, соответствующие показателям 1-го класса сложности, но не имеющие автоматической регулировки уровня передачи и приема, - ТА 2-го класса сложности.

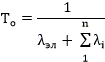
2. ОСНОВНЫЕ ПАРАМЕТРЫ

2.1. Основные параметры ТА должны соответствовать значениям, указанным в табл. 3.

Таблица 3

Наименование параметра Норма по классам сложности
0 1 2 3
1. Телефонометрические параметры        
1.1. Эквивалент затухания передачи (), дБ:        
- при затухании абонентской линии (АЛ), равном 0 дБ От 3 до 8 От 0 до 5
- при затухании АЛ, равном 4,5 дБ От 3 до 8 Не более 12
1.2. Эквивалент затихания приема ()        
- для ТА без возможности регулировки абонентом уровня громкости приема, дБ:        
при затухании АЛ, равном 0 дБ От минус 5 до 0 От минус 7 до минус 1,5
при затухании АЛ, равном 4,5 дБ От минус 5 до 0 Не более 3
для ТА с возможностью регулировки абонентом уровня приема:        
при затухании АЛ, равном 0 дБ, при минимальном уровне, дБ От минус 5 до плюс 1
при затухании АЛ, равном 4,5 дБ, при минимальном уровне, дБ, не более 5
1.3. Эквивалент затухания местного эффекта () местной телефонной системы с затуханием, равным 4,5 дБ, нагруженной на соединительную линию (СЛ) с затуханием, равным 22,5 дБ и более:        
- для ТА без возможности регулировки абонентом уровня приема, дБ, не менее 15
- для ТА с возможностью регулировки абонентом уровня приема при положении регулятора, соответствующем максимальной громкости, дБ, не менее 8
1.4. Слоговая разборчивость, обеспечиваемая трактом, состоящим из двух местных телефонных систем с затуханием каждой АЛ, равным 4,5 дБ, и включенной между ними СЛ с затуханием, равным 22,5 дБ при шуме в помещении приема 60 дБ (А) %, не менее 80
2. Электроакустические параметры  
2.1. Частотная характеристика коэффициента передачи Согласно черт.
1 2 3
2.2. Частотная характеристика коэффициента приема () Согласно черт.
4 5 6
2.3. Диапазон изменения для ТА с возможностью регулировки уровня приема абонентом, дБ, не менее 14
2.4. Уровень звукового давления, развиваемого телефоном при абсолютном уровне напряжения на входе аппарата 26 дБн, дБ, не более 115 120
2.5. Коэффициент гармоник на передачу, %, не более 6 7 -
2.6. Коэффициент гармоник на прием, %, не более 6 7 -
2.7. Отклонение от линейности амплитудной характеристики коэффициента передачи, не более - 6
2.8. Уровень вызывного акустического сигнала в положении регулятора соответствующем:  
- максимальной громкости, дБ (А), не менее 70
- минимальной громкости, дБ (А) От 40 до 60
2.9. Чувствительность ТА к вызывному сигналу при уровне вызывного акустического сигнала 65 дБ (А), мВ А, не более 100
3. Электрические параметры        
3.1. Напряжение собственного шума, , не более 0,5 05 (1,4 - для ТА с угольным микрофоном)
после 200000 срабатываний (включений ТА) рычажного переключателя, , не более 0,5 05 (0,4 - для ТА с угольным микрофоном)
3.2. Модуль входного электрического сопротивления:     -
- в разговорном режиме, Ом От 450 до 800 - -
- в режиме ожидания вызова, кОм, не менее 10 -
- в режиме вызова, кОм, не менее 4 -
3.3. Зависимость падения напряжения на входе ТА от тока питания Согласно черт. 7 -
3.4. Электрическое сопротивление постоянному току в разговорном режиме при токе 35 мА:      
- при вертикальном положении микротелефонной трубки, Ом От 160 до 370 Не более 320
- при горизонтальном положении микротелефонной трубки, Ом - Не более 600
3.5. Электрическое сопротивление постоянному току в режиме набора номера для ТА с импульсным способом передачи набора номера при токе питания 35 мА:        
при замыкании шлейфа, Ом, не более 150 50 -
при размыкании шлейфа, кОм, не менее 300 -
3.6. Сила постоянного тока, потребляемого ТА:        
в режиме ожидания вызова, режиме отбоя, мА, не более 1,0 0,5 -
в режиме вызова для ТА с низковольтным приемником вызывного сигнала, мА, не более 8 -
3.7. Частоты составляющих сигнала набора номера для ТА с частотным способом передачи набора номера (ТА ЧНН) Согласно табл. 4 -
3.8. Уровень каждой из частотных составляющих сигнала набора номера (для ТА ЧНН), дБн:        
- I группа Минус 62 -
- II группа Минус 32 -
3.9. Уровень помех, определяемый нелинейными искажениями сигналов набора и прохождением помехи по цепи передачи (для ТА ЧНН)     Минус 20 до 01.01.90
Минус 33 - для ТА, ТЗ на разработку которых утверждены после 01.01.87
 
относительно уровня основного сигнала, дБ, не более Минус 33   -
3.10. Время разрыва шлейфа для ТА, содержащих устройство нормированного разрыва шлейфа, мс 8040 - -
3.11. Значность программируемого набора номера, не менее 8
4. Временные параметры набора номера для ТА с импульсным способом передачи сигналов набора номера        
4.1. Период импульса в серии (Т), мс 1005 10010
4.2. Импульсный коэффициент От 1,4 до 1,6 От 1,4 до 1,7
4.3. Пауза между двумя сериями импульсов, мс От 4 Т до 10 Т Не менее 180
4.4. Программируемая пауза между двумя сериями импульсов, с, не менее 2 -
4.5. Время посылки сигнала набора номера для ТА с частотным способом передачи сигналов набора номера, мс, не менее 40 -

Примечания:

1. Допускается отклонение значений , , (пп. 1.1 - 1.3) от указанных на величину погрешности объективного измерителя эквивалентов затухания, но не более 1 дБ.

2. Отклонение уровня каждой из частотных составляющих сигнала набора номера (п. 3.8) должно односторонним (или "плюс" для обеих групп, или "минус" для обеих групп).

3. ТА 0 и 1-го классов сложности допускается включать в АЛ сопротивлением не более 850 Ом (п. 3.5).

Положение допускаемой области по оси ординат произвольное Положение допускаемой области по оси ординат произвольное
Черт. 1 Черт. 2
   
Положение допускаемой области по оси ординат произвольное Положение допускаемой области по оси ординат произвольное
Черт. 3 Черт. 4
   
Положение допускаемой области по оси ординат произвольное Положение допускаемой области по оси ординат произвольное
Черт. 5 Черт. 6
   
Черт. 7

Таблица 4

Частота группы I, ГЦ Частота группы II, Гц, кнопки, символа
1209 1336 1477 1633
697 1 2 3 A
770 4 5 6 B
852 7 8 9 C
941 * 0 # D

Примечания:

1. Допускаемое отклонение по частоте - не более 1,8%.

2. A, B, C, D, *, # - кнопки набора сигналов дополнительных видов обслуживания (ДВО) и передачи данных.

2.2. Условное обозначение телефонного аппарата при записи в технической документации и при заказе должно состоять из:

- слов "телефонный аппарат";

- торгового наименования;

- числового индекса, первая цифра которого означает класс сложности; вторая и третья цифры - порядковый номер модели;

- номера технических условий (ТУ).

Пример записи условного обозначения телефонного аппарата .общего применения 2-го класса сложности, первой модели;

Телефонный аппарат "Спектр-201" (ТУ)

3. ТЕХНИЧЕСКИЕ ТРЕБОВАНИЯ

3.1. ТА должны изготовляться в соответствии с требованиями настоящего стандарта и ТУ на ТА конкретного типа по рабочим чертежам, утвержденным в установленном порядке.

3.2. Требования к конструкции.

3.2.1. ТА должны обеспечивать выполнение функций в соответствии с табл. 2. Допускается дополнение ТА другими функциями.

Выполняемые функции и дополнительные возможности ТА. а также требования к материалоемкости должны быть указаны в ТУ на ТА конкретного типа.

3.2.2. ТА по внешнему виду и качеству отделки должны соответствовать контрольным образцам-эталонам, утвержденным в соответствии с требованиями ГОСТ 15.009-91. (в ред. Изменений N 2)

3.2.3. ТА должны изготовляться в настольном или настенном исполнении. Конструкция ТА настольного исполнения должна обеспечивать возможность его переноса одной рукой.

3.2.4. Габаритные и установочные размеры ТА должны быть указаны в ТУ на ТА конкретного типа. Масса ТА 2-го класса должна быть не более 1,1 кг, 3-го класса - не более 1,5 кг. Массу ТА 0 и 1-го классов и ТА в сувенирном исполнении указывают в ТУ на ТА конкретного типа.

3.2.5. Масса микротелефонной трубки вместе с электроакустическими преобразователями должна быть не более 0,35 кг.

3.2.6. ТА должны быть акустически устойчивыми.

3.2.7. Сила нажатия на любую из кнопок номеронабирателя и функциональную кнопку должна быть не более 1,5 Н.

Сила нажатия кнопки с "проваливающейся" диаграммой усилия должна быть не более 2,5 Н.

3.2.8. Расположение цифр и символов на кнопках номеронабирателя должно соответствовать табл. 4.

3.2.9. Допустимые значения напряжения радиопомех и напряженность радиопомех, создаваемых при работе ТА, не должны превышать значений, установленных "Нормами допускаемых радиопомех" (Нормы 9-72). утвержденными Государственной комиссией по радиочастотам СССР.

3.3. Требования к устойчивости при механических воздействиях.

3.3.1. ТА должны выдерживать без механических повреждений воздействие синусоидальной вибрации частотой 25 Гц с амплитудой виброускорения до 19,6 м/с2.

3.3.2. ТА в упакованном виде должны (выдерживать без механических повреждений воздействие механических ударов много-кратного действия с пиковым ускорением до 147 м/с2 с общим числом до 15000 ударов.

3.4. Требования к устойчивости при климатических воздействиях

3.4.1. ТА должны соответствовать требованиям настоящего стандарта и не должны иметь повреждений, следов коррозии при воздействии и после воздействия SO % влажности при температуре 25 °С.

3.4.2. ТА должны соответствовать требованиям настоящего стандарта при воздействии рабочих температур от 1 до 40 °С для ТА 0, 1 и 2-го классов, от минус 10 до 45 °С для ТА 3-го класса. При этом эквиваленты затухания передачи и приема не должны отличаться от измеренных в нормальных климатических условиях более чем на 3 дБ. но не превышать максимальных значений, указанных в пп. 1.1, 1.2 табл. 3. более чем на 2 дБ.

Примечание. Рабочие температуры ТА 0, 1 и 2-го классов могут быть изменены, при этом нижняя рабочая температура должна быть не ниже минус 10 °С и верхняя рабочая температура должна быть не выше 45 °С.

3.4.3. ТА должны соответствовать требованиям настоящего стандарта и не должны иметь повреждений и следов коррозии после воздействия предельных температур минус 50 и плюс 50 °С.

3.4.4. ТА в упакованном виде должны выдерживать воздействие пониженного атмосферного давления 12 кПа (90 мм рт. ст.) при температуре минус 50 °С.

3.5. Требования безопасности

3.5.1. ТА 0. 1, 2-го классов должны содержать элементы защиты от перенапряжений.

3.5.2. Требования безопасности должны соответствовать требованиям ГОСТ 12.2.007.0 для ТА класса 0.

3.5.3. Электрическое сопротивление изоляции ТА между соединенными накоротко линейными выводами и доступными металлическими частями ТА должно быть не менее:

- в нормальных климатических условиях - 100 МОм.

- при повышенной влажности 90 % - 2 МОм.

3.5.4. Изоляция электрических цепей ТА между соединенными накоротко линейными выводами и доступными металлическими частями ТА в нормальных климатических условиях должна выдерживать без пробоя и поверхностного перекрытия действие испытательного напряжения со среднеквадратическим значением 500 В синусоидальной формы частотой 50 Гц в течение 1 мин.

3.6. Требования к надежности

3.6.1. Средняя наработка на отказ должна быть не менее значений, выбираемых из рядов, приведенных в табл. 5.

Таблица 5

Класс ТА Наработка на отказ, ч
0 6500, 8000
1 6500, 8000, 10000
2 10000, 13000, 15000
3 13000, 14000, 15000

В течение указанной наработки на отказ рычажный переключатель и кнопки номеронабирателя ТА 0, 1 и 2-го классов должны выдерживать не менее 300000 переключений (срабатываний, включений ТА), рычажный переключатель ТА 3-го класса - не менее 450000. Функциональные кнопки должны выдерживать число срабатываний, установленное в ТУ на ТА конкретного типа.

3.6.2. Средний срок службы должен быть не 20 лет для ТА 2 и 3-го классов и не менее 10 лет для ТА 0 и 1-го классов.

3.6.3. Среднее время восстановления ТА должно быть не более 0,5 ч.

4. КОМПЛЕКТНОСТЬ

4.1. Входящие в комплект запасные и составные части, техническая документация должны быть указаны в ТУ на ТА конкретного типа.

5. ПРАВИЛА ПРИЕМКИ

5.1. Общие положения

5.1.1. Испытания, измерения, контроль всех видов проводят методами, установленными в настоящем стандарте и ТУ на ТА конкретного типа.

5.1.2. Для проверки соответствия ТА требованиям настоящего стандарта на предприятии-изготовителе устанавливают следующие виды испытаний: приемосдаточные, периодические, типовые, на надежность.

5.1.3. ТА. предъявляемые к сдаче на склад готовой продукции, должны быть проверены и приняты ОТК предприятия-изготовителя по пунктам приемосдаточных испытаний.

На принятых аппаратах ставят отметку (клеймо) ОТК.

5.1.4. Заказчику предоставляется право участия в приемке ТА на соответствие требованиям ТУ на предприятии-изготовителе.

Измерения осуществляют методами и средствами, предусмотренными в ТУ на ТА конкретного типа.

5.2. Приемосдаточные испытания

5.2.1. Приемосдаточные испытания проводят способом сплошного и выборочного контроля. Объем требований, последовательность проверки устанавливают в ТУ на ТА конкретного типа.

5.2.2. ТА подвергают сплошному контролю на соответствие требованиям настоящего стандарта и ТУ на ТА конкретного типа по следующим параметрам:

- комплектность;

- внешний вид;

- соответствие ТА рабочей документации;

- маркировка;

- выполнение основных функций;

- упаковка.

5.2.3. Выборочному контролю подвергают ТА, прошедшие сплошной контроль.

За партию принимают суточный выпуск ТА. Выборочный контроль - по ГОСТ 18242 <*>. План контроля - двухступенчатый, уровень контроля - II. Приемочный уровень дефектности - AQL указывают в ТУ на ГА конкретного типа. При этом обязательно проводят проверку , при затухании АЛ, равном 0, сопротивления изоляции, прочности изоляции, максимального уровня вызывного акустического сигнала, периода импульсов в серии импульсного коэффициента для ТА с импульсным набором номера (кроме ТА с дисковым номеронабирателем), частот и уровней составляющих сигнала для ТА ЧНН.

<*> На территории Российской Федерации действует ГОСТ Р 50779.71-99.

5.3. Периодичность испытания

5.3.1. Периодические испытания проводят на ТА, прошедших приемосдаточные испытания, один раз в год. График проведения периодических испытаний составляют и утверждают в установленном порядке. Метод отбора ТА для испытаний устанавливают в ТУ по ГОСТ 18321. Измерение слоговой разборчивости проводят один раз в два года.

5.3.2. Число испытуемых ТА должно быть установлено в ТУ на ТА конкретного типа, но не менее 3 шт.

Состав испытаний и последовательность их проведения указывают в ТУ, допускается не проводить проверку уровня допускаемых радиопомех и среднего времени восстановления ТА.

5.3.3. Испытания ТА на устойчивость к механическим и климатическим воздействиям рекомендуется проводить в следующей последовательности:

- воздействие синусоидальной вибрации (п. 3.3.1);

- воздействие повышенной влажности (п. 3.4.1);

- воздействие пониженной рабочей и предельной температуры (пп. 3.4.2, 3.4.3);

- воздействие повышенной рабочей и предельной температуры (пп. 3.4.2, 3.4.3);

- воздействие пониженного атмосферного давления (п. 3.4.4);

- воздействие механических ударов (п. 3.3.2).

5.3.4. Если хотя бы у одного ТА при измерении любого параметра будет установлено несоответствие требованиям настоящего стандарта и ТУ, то дефект, вызвавший отказ или несоответствие требованиям стандарта и ТУ, устраняют и испытания продолжают до завершения периодических испытаний, а по пунктам несоответствия проводят испытания на удвоенном числе ТА. взятых из текущего выпуска.

Если при испытаниях удвоенного числа ТА хотя бы одно несоответствие первой выборки повторится, то результаты испытаний считают неудовлетворительными по пунктам несоответствия.

Приемку ТА, а также отгрузку ранее принятых, но не отгруженных партий прекращают и возобновляют после устранения причин дефектов, получения положительных результатов и устранения дефектов в ранее принятых ТА. До получения положительных результатов испытаний допускается осуществлять приемку ГА при условии сплошного контроля по пунктам несоответствия.

5.3.5. Результаты периодических испытаний оформляют в установленном порядке.

5.4. Типовые испытания

5.4.1. Типовые испытания проводят по программе, утвержденной в установленном порядке, с включением измерений слоговой разборчивости, среднего времени восстановления ТА и уровня допускаемых радиопомех, если проведенные изменения влияют на указанные параметры.

Результаты типовых испытаний оформляют в установленном порядке.

5.5. Испытание на надежность

5.5.1. Порядок и выбор методов контроля показателей надежности устанавливают в ТУ (ТЗ) на ТА конкретного типа. (в ред. Изменений N 2)

5.5.2. Число ГА. необходимое для проведения определительных и контрольных испытаний на безотказность, указывают в ТУ на ТА конкретного типа, выбирая из ряда: 6, 8. 10, 13, 15, 20. 25, 32, 40.

5.5.3. Контрольные испытания на безотказность проводит предприятие-изготовитель один раз в три года.

Если по результатам испытаний аппараты не соответствуют требованиям ТУ, то предприятие-изготовитель проводит анализ причин несоответствия и разрабатывает план мероприятий по повышению надежности ТА. после выполнения которого испытания на безотказность проводят на прежнем числе ТА.

Если по результатам повторных испытаний ТА вновь не соответствует требованиям ТУ, то решение о поставке ТА принимают организации, утвердившие ТУ.

5.5.4. ТА. прошедшие испытания на безотказность, заказчику не поставляют.

5.6. Проверка на базах получателя

5.6.1. Проверку ТА проводят по ГОСТ 21194 с приемочным уровнем качества 4 % для ТА 0 и 1-го классов и 2.5 % для ТА 2 и 3-го классов.

5.6.2. При проверке ТА на соответствие требованиям ТУ следует проверять:

- соответствие упаковки и маркировки;

- внешний вид ТА;

- комплектность;

- выполнение функций ТА;

- другие показатели, если это указано в ТУ на ТА конкретного типа.

6. МЕТОДЫ ИЗМЕРЕНИЙ, КОНТРОЛЯ И ИСПЫТАНИЙ

6.1. Все измерения, кроме оговоренных особо, проводят при климатических условиях:

- температура окружающего воздуха - (25 10) °С;

- относительная влажность воздуха - от 45 до 80 %

- атмосферное давление - от % до 104 кПа.

Примечание. При температуре выше 30 С относительная влажность не должна быть более 70 %.

Перечень измерений, контроля и испытаний приведен в табл. 6.

Таблица 6

Наименование основных параметров, требований Пункт настоящего стандарта
технических требовании методов испытаний
Эквивалент затухания передачи Табл. 3, п. 1.1 6.4, 6.5
Эквивалент затухания приема Табл. 3. и. 1.2 6.4, 6.5
Эквивалент затухания местного эффекта Табл. 3, п. 1.3 6.4, 6.5
Слоговая разборчивость Табл. 3, п. 1.4 6.6
Частотная характеристика коэффициента передачи Табл. 3, п. 2.1 6.7, 6.8
Частотная характеристика коэффициента приема Табл. 3, п. 2.2 6.7, 6.9
Диапазон изменения K_пер для ТА с возможностью регулировки уровни приема абонентом Табл. 3, п. 2.3 6.7, 6.9
Уровень звукового давления, развиваемого телефоном при абсолютном напряжении на входе ТА 26 дБн Табл. 3, п. 2.4 6.10
Коэффициент гармоник на прием и передачу Табл. 3, пп. 2.5. 2.6 6.11, 6.12
Отклонение от линейности амплитудной характеристики коэффициента передачи Табл. 3. п. 2.7 6.13
Уровень вызывного акустического сигнала Табл. 3, п. 2.8 6.14, 6.14.1
Чувствительность ТА к вызывному сигналу Табл. 3, п. 2.9 6.14, 6.14.2
Напряжение собственного шума Табл. 3, п. 3.1 6.15
Модуль входного электрического сопротивления:    
- в режиме разговора Табл. 3, п. 3.2 6.16
- в режиме ожидания вызова То же 6.17
- в режиме вызова " 6.17
Зависимость падения напряжения на входе ТА от тока питания Табл. 3, п. 3.3 6.18
Электрическое сопротивление постоянному току в разговорном режиме Табл. 3, п. 3.4 6.18
Электрическое сопротивление постоянному току в режиме набора номера ТА с импульсным способом передачи набора номера:    
- при замыкании шлейфа Табл. 3, п. 3.5 6.19
- при размыкании шлейфа Табл. 3, п. 3.5 6.19
Постоянный ток. потребляемый ТА:    
- в режиме ожидания вызова Табл. 3, п. 3.6 6.20
- в режиме отбоя То же 6.20
- в режиме вызова для ТА с низковольтным приемником вызывного сигнала. " 6.20
Частоты составляющих сигнала набора номера для ТА ЧНН Табл. 3, п. 3.7 6.21
Уровень каждой из частотных составляющих сигнала набора номера Табл. 3, п. 3.8 6.21
Уровень помех, определяемый нелинейными искажениями сигналов набора номера и прохождения помехи по цепи передачи Табл. 3. п. 3.9 6.3, 6.22
Время разрыва шлейфа для ТА. содержащих устройства нормированного разрыва шлейфа Табл. 3, п 3.10 6.23
Значность программируемого набора номера Табл. 3, п. 3.11 6.24
Период импульса в серии Табл. 3, п. 4.1 6.25
Импульсный коэффициент Табл. 3, п. 4.2 6.25
Пауза между двумя сериями импульсов Табл. 3. п. 4.3 6.25
Программируемая пауза между двумя сериями импульсов Табл. 3, п. 4.4 6.26
Время посылки сигнала набора номера (ТА ЧНН) Табл. 3. п. 4.5 6.27
Выполнение функций ТА 3.2.1 6.28
Внешний вид. конструктивные особенности ТА 3.2.2., 3.2.3 6.29
Габаритные, установочные размеры, масса ТА 3.2.4 6.30, 6.31
Масса микротелефонной трубки 3.2.5 6.31
Акустическая устойчивость ТА 3.2.6 6.32
Сила нажатия на кнопку номеронабирателя и функциональную кнопку 3.2.7 6.33
Расположение цифр и символов на кнопках номеронабирателя 3.2.8 6.29
Уровень радиопомех 3.2.9 6.34
Действие синусоидальной вибрации 3.3.1 6.35, 6.35.1
Действие механических ударов 3.3.2 6.35, 6.35.2
Действие повышенной влажности 3.4.1 6.36, 6.36.1
Действие пониженной и повышенной рабочих температур 3.4.2 6.36, 6.36.2, 6.36.3
Действие пониженной и повышенной предельных температур 3.4.3 6.36, 6.36.2, 6.36.3
Действие пониженного атмосферного давления 3.4.4 6.36.4
Электрическое сопротивление изоляции 3.5.3 6.37
Прочность изоляции 3.5.4 6.38
Безотказность 3.6.1 6.39
Долговечность 3.6.2 6.40
Ремонтопригодность 3.6.3 6.40

6.2. При выполнении измерений и испытаний должны быть применены измерительные системы, испытательное оборудование, средства измерений и устройства, приведенные в табл. 7.

Таблица 7

Наименование измерительной системы, средства измерений, устройства, стенда Метрологические характеристики, не хуже Примечание
1. Государственная первичная измерительная телефонная система (ГПИТС) Случайная погрешность результата измерения ЭЗ 1 дБ с доверительной вероятностью 0,95. Диапазон измерений от минус 15 до плюс 30 дБ. Диапазон частот от 100 до 6000 Гц. Выходное сопротивление передающей части и входное сопротивление приемной части (600 60) Ом  
2. Объективный измеритель эквивалентов затухания Диапазон частот от 200 до 4000 Гц. Случайная погрешность 1 дБ  
3. Рот искусственный (РИ) Электрическое сопротивление постоянному току не более 15 Ом. Неравномерность частотной характеристики звукового давления в диапазоне от 150 до 10000 Гн не более 6 дБ. Коэффициент гармоник при давлении 3 Па на частоте 300 Гц не более 3 %. на частоте 1000 Гн не более 2 %. Изменение звукового давления при изменении температуры на каждые 10 С в пределах от 10 до 35 С не более I дБ. Амплитудная характеристика звукового давления. развиваемого РИ. линейна при давлениях от 0,1 до 3 Па. Отклонение от линейности не более 1 дБ
4. Ухо искусственное (УИ) Основная погрешность 1 дБ в диапазоне частот от 200 до 400 Гц. Объем камеры связи 6 см3. Неравномерность частотной характеристики чувствительности в диапазоне от 50 до 600 Гц не более 3 дБ. Коэффициент гармоник при звуковом давлении 100 Па на частоте 1000 Гц не более 3 %. При измерении параметров ТА 2 и 3-го классов
Напряжение собственного шума при отсутствии звукового давления не более напряжения, эквивалентного звуковому давлению 0.002 Па. Сила прижима измеряемого ТА к камере связи от 9 до 11 Н
5. Ухо искусственное Основная погрешность 0.5 дБ. Неравномерность частотной характеристики чувствительности в диапазоне частот от 0,1 до 8 кГц не более 2 дБ. Коэффициент гармоник на частоте 1000 Гц при звуковом давлении 10 Па не более 1 %. Другие характеристики по п. 4 настоящей таблицы При измерении параметров ТА 0 и 1-го классов
6. Зонд акустический (микрофон измерительный) Основная погрешность 1,5 дБ. Неравномерность частотной характеристики в диапазоне частот or 0.1 до 8 кГц не более 6 дБ. Диапазон измерений звукового давления от 0.1 до 3 Па. Коэффициент гармоник при звуковом давлении 200 Па не более 5 % При измерении параметров ТА 2 и 3-го классов
7. Зонд акустический (микрофон измерительный) Основная погрешность 0,5 дБ. Неравномерность частотной характеристики в диапазоне от 0.1 до 8 кГц не более 2 дБ. Коэффициент гармоник при давлении 3 Па не более 1 % При измерении параметров ТА 0 и 1-го классов
8. Генератор сигналов низкочастотный Основная погрешность установки частоты не более % до 200 Гц и не более % св.200 Гц. Диапазон частот от 20 Гц до 10 кГц. Коэффициент гармоник при напряжении 15 В не более 1 % до 200 Гц и не более 0.5 % св. 200 Гц. Выходное напряжение не менее 50 В на нагрузке 600 Ом и не менее 15 В на нагрузке 50 Ом. Для измерения коэффициента гармоник на прием
Основная погрешность установки частоты не более %. Диапазон частот от 300 до 4000 Гц. Коэффициент гармоник не более 0.05 %. Выходное напряжение не менее 5 В на нагрузке 600 Ом.
9. Генератор шума Спектральная плотность по черт. 8. Выходная мощность на сопротивлении 15 Ом 3 Вг При измерении амплитудной характеристики
10. Установка для создания шума Спектральная плотность шума (спектр Хота) по черт. 9. Диапазон регулировки уровня шума от 55 до 85 дБ При измерении разборчивости
11. Шумомер По ГОСТ 17187. Класс точности 3  
12. Электронный вольтметр для измерения синусоидальных сигналов Диапазон частот от 20 до 10000 Гц. Диапазон измерений от 1 мВ до 100 В. Входное сопротивление не менее 1 МОм. Класс точности 1,5. При измерении ЭЗ, , , уровня звукового давления телефона, модуля входного сопротивления в режиме вызова и режиме ожидания вызова, уровня составляющих сигнала ТА ЧНН чувствительность к вызывному сигналу.
Класс точности 4,0 При измерении коэффициента гармоник. уровня вызывного акустического сигнала, модуля входного сопротивления в режиме разговора, уровня помех ТА ЧНН
13. Электронный вольтметр для измерения напряжения произвольной формы Класс точности 2,5. Диапазон частот от 10 до 10000 Гц. Диапазон измерения от 1 мВ до 10 В. Входное сопротивление не менее 1 МОм При измерении амплитудной характеристики
14. Электронно-счетный частотомер По нормативно-технической документации, утвержденной в установленном порядке
15. Осциллограф По нормативно-технической документации, утвержденной в установленном порядке
16. Вольтметр селективный (В 6-9) Класс точности 6.0. Диапазон измерений от 100 мВ до 1 В. Входное сопротивление не менее 1 МОм. Диапазон частот от 0,2 до 5 кГц
17. Искусственная абонентская и соединительная линия (АЛ, СЛ) Схема искусственной абонентской линии с собственным затуханием (4.5 0,2) дВ на f = 800 Гц в соответствии с черт. 10
18. Мост питания Схема моста питания в соответствии с черт. 11
19. Измеритель электрических шумов (псофометр) Основная погрешность 5 % от конечного значения Диапазона показаний. Входное сопротивление не менее 20 кОм. Диапазон измерений от 0.1 до 150 мВ
20. Вольтметр постоянного напряжения По ГОСТ 8711. Класс точности 1,5. Конечные значения диапазона показаний 7,5; 15 и 30 В
21. Миллиамперметр постоянного тока По ГОСТ 8711. Класс точности 1.0. Конечные значения диапазона показаний 1.5; 15; 60; 150 мА. Падение напряжения на приборе не более 0.3 В
22. Миллиамперметр переменного тока По ГОСТ 8711. Класс точности 1.0. Конечные значения диапазона показаний 3, 10. 30 мА При измерении на частоте 25 Гц
Класс точности 0,6/0.6. Конечное значение диапазона показаний 0,2 мА При измерении на частоте 1000 Гц
23. Измеритель нелинейных искажений, автоматический Диапазон измерений от 0,1 до 10 %. Диапазон частот от 300 до 4000 Гц. Основная погрешность не более (0.05 + 0.02) % При измерении коэффициента гармоник
24. Измеритель нелинейных искажений с ручной настройкой Основная погрешность (0.05 + 0.02) %. Другие характеристики по п. 23 настоящей таблицы При уровня измерении помех ЧНН
25. Источник питания постоянного тока Максимальный ток 150 мА. Плавно-ступенчатая регулировка напряжения от 3 до 100 В  
26. Измеритель параметров импульсных номеронабирателей Основная погрешность от конечного значения диапазона показаний: 0.15 % для временных параметров. 2.5 % для сопротивления постоянному току. Диапазон измерений: от 20 до 1000 мс для временных параметров, от 50 до 500 Ом и от 50 до 500 кОм для сопротивления постоянному току  
27. Магазин сопротивления По ГОСТ 23737. Класс точности 0,2/6 10-6. Устанавливаемое сопротивление от 100 до 10000 Ом. Мощность на одну ступень 0.25 Вт  
28. Мегаомметр (тераомметр) Основная погрешность 4 % от длины шкалы. Диапазон измерений от 0.1 до 1000 МОм. Измерительное напряжение от 100 до 200 В  
29. Высоковольтная установка переменного напряжения Форма сигнала синусоидальная, среднеквадратическое значение напряжения 500 В, частота 50 Гц. Погрешность установки испытательного напряжения не более 20 %  
30. Весы Основная погрешность 5 г. Диапазон измерения от 0.1 до 5 кг  
31. Граммометр Основная погрешность 4 % от конечного значения диапазона показаний. Диапазон измерений от 0,5 до 3 Н  
32. Линейка По ГОСТ 427  
33. Штангенциркуль По ГОСТ 166  
34. Вибрационный стенд Погрешность по частоте вибрации не более 2 Гц  
35. Ударный стенд Погрешность по пиковому ударному ускорению 20%  
36. Камера влаги Погрешность не более 3 %  
37. Термобарокамера Погрешность не более 3 "С  
38. Стенд для испытаний рычажного переключателя Погрешность по высоте падения микротелефонной трубки не более 20 %  
39. Ограничительное кольцо для микротелефонной трубки Расположение кольца в соответствии с черт. 12. Внутренний диаметр кольца (25 0,2) мм. Должно изготовляться из проволоки диаметром от 2 до 3 мм  
Черт. 8
Черт. 9
   
Черт. 10 Черт. 11

(в ред. Изменений N 1)

6.3. При проведении измерений , , отклонения от линейности амплитудной характеристики коэффициента передачи, слоговой разборчивости (далее - разборчивость), уровня помех, определяемого нелинейными искажениями сигналов набора номера микротелефонная трубка ТА должна быть расположена в соответствии с черт. 12.

Черт. 12

Во время измерений уровень шума в помещении не должен быть более 60 дБ (А), если это особо не оговаривается.

Допускается проведение измерений при другом положении микротелефонной трубки, указанном в ТУ на ТА.

При измерении ТА с угольным микрофоном микротелефонная трубка ТА должна быть расположена так, чтобы мембрана находилась в вертикальном положении, перед измерением угольный микрофон должен быть подготовлен в соответствии с ГОСТ 7152.

На расстоянии до 0,5 м от ограничителя РИ, кроме микротелефонной трубки, не должно быть посторонних предметов, которые могли бы искажать акустическое поле РИ.

6.4. Измерение эквивалентов затухания (ЭЗ) субъективным методом проводят на ГПИТС в соответствии с НТД на ГПИТС.

6.5. Измерения ЭЗ объективным методом проводят на объективных измерителях ЭЗ в соответствии с НТД на измеритель конкретного типа.

При измерении ЭЗ определяют поправку для каждого типа ТА. Для определения поправки отбирают не менее 5 ТА одного типа, измеряют ЭЗ этих ТА на ГПИТС и на объективном измерителе ЭЗ (ИЭЗ).

Поправку определяют как разность между средними значениями по всем экземплярам ТА:

;

;

(ИЭЗ);

При измерении ТА с угольным микрофоном микрофон должен быть заменен резистором сопротивлением, равным номинальному динамическому сопротивлению микрофона.

Погрешность измерения с учетом поправки - не более 1.4 дБ.

6.6. Измерение разборчивости проводят артикуляционным или тональным методом по ГОСТ 8031.

Измерение разборчивости ТА с регулировкой уровня приема проводят при уровне, соответствующем оптимальному восприятию аудитора.

6.6.1. Измерение разборчивости проводит бригада операторов не менее трех человек в возрасте от 18 до 30 лет. не имеющих дефектов речи и слуха.

Перед измерениями бригада должна пройти тренировку в соответствии со следующими указаниями:

- тренировочные измерения разборчивости проводят на самом измерительном тракте или тренировочно-контрольном тракте, представляющем собой стабильный тракт, сходный по электро-акустическим свойствам с системой, в которую включают измеряемые ТА;

- методика тренировочных измерений такая же, как и при измерении разборчивости измеряемых ТА, и должна соответствовать указанной в настоящем разделе;

- тренировочные измерения повторяют до тех пор пока среднее значение разборчивости, определяемое бригадой, не станет стабильным;

- результаты тренировочных измерений не принимают во внимание при определении величины разборчивости испытуемых ТА;

- если средние значения разборчивости для некоторых операторов (дикторов, аудиторов) систематически отклоняются от среднего значения, определенного для бригады, более чем на 7 %, то эти операторы должны быть исключены из бригады.

6.6.2. Измерение разборчивости проводят при включении ТА в соответствии со структурной схемой, представленной на черт. 13.

Черт. 13

Уровень и спектр шума в помещении приема должен быть указан в ТУ на ТА конкретного типа.

6.6.3. Измерение разборчивости заключается в передаче по указанному тракту серии слоговых таблиц, утвержденных в установленном порядке, и записи принятых слогов. Диктор произносит испытательную фразу "Не видали мы такого невода" и добивается такой громкости речи, при которой шумомер на расстоянии 10 см от губ диктора показывает 80 дБ (С).

При измерении разборчивости диктор, не изменяя положения микротелефонной трубки относительно рта, поддерживает указанный уровень речи, контроль которого рекомендуется осуществлять при помощи волюминдикатора.

Передачу слогов проводят ровным голосом, четко, но без подчеркивания звуков, со скоростью передачи 18 - 20 слогов в минуту. Диктор произносит, а аудитор записывает принятые слоги последовательно по столбцам таблицы слогов.

Определение числа принятых слогов проводят сравнением записи с переданной таблицей. Слог считают принятым правильно, если все звуки в нем соответствуют основному или дополнительному варианту написания, указанному в таблице над основным.

Если аудитор не воспринял переданного слога, повторение его диктором не допускается, аудитор прочеркивает соответствующую строку в месте принятых слогов.

Прочеркнутый слог и слог, в котором хотя бы один звук записан неправильно, пропущен или добавлен, считают принятым неправильно. Значение разборчивости определяют в процентах.

За время одного измерения разборчивости не должно быть повторной передачи одной и той же таблицы.

6.6.4. Измерение разборчивости проводят в следующем порядке:

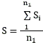
- принимают 12 таблиц и вычисляют среднее квадратическое отклонение r по формуле

, (1)

где - результат отдельного измерения, т. е. процент правильно принятых слогов каждой таблицы;

S - среднее значение разборчивости для бригады при приеме 12 таблиц, вычисленное по формуле

. (2)

По вычисленному r при помощи табл. 8 определяют число таблиц n, которое необходимо принять для получения требуемой точности измерения.

Если n меньше или равно 12, то двенадцати принятых таблиц достаточно для определения разборчивости с требуемой точностью, если n больше 12 измерения продолжают и число таблиц увеличивают.

Таблица 8

r 5,8 6.1 6.3 6.6 6.8 7.8 8.2 8.8 9.3 9.8 10.3
n 12 13 14 15 16 20 22 25 2S 31 34

Значение разборчивости измеряемых ТА определяют как среднее арифметическое результатов, полученных при подсчете для каждой таблицы, и вычисляют по формуле

, (3)

где n - общее число переданных таблиц.

При получении результатов по отдельным таблицам, резко отличающихся от остальных, проводят проверку необходимости их исключения при подсчете средней величины разборчивости следующим образом:

- вычисляют среднее значение разборчивости S без учета сомнительных результатов по формуле

, (4)

где n - общее число переданных таблиц,

к - число сомнительных результатов:

- вычисляют среднее квадратическое отклонение без учета сомнительных результатов по формуле

, (5)

- для каждого из сомнительных результатов находят отношение по формуле

, (6)

- если полученное для данного сомнительного результата отношение более t, указанного в табл. 9 в зависимости от общего числа принятых таблиц n, то сомнительный результат должен быть отброшена;

- если какой-либо из результатов после проверки отбрасываемых, то значение разборчивости (S) измеряемых ТА определяют без их учета по формуле

, (7)

где - число учтенных результатов.

Таблица 9

Число принятых таблиц n Параметр распределения Стьюдента t Число принятых таблиц n Параметр распределения Стьюдента t
5 3,041 20 2,145
6 2,777 21 2,135
7 2.616 22 2,127
8 2.508 23 2.119
9 2,431 24 2,112
10 2.372 25 2,105
11 2.327 26 2.099
12 2,291 27 2.094
13 2,261 28 2,088
14 2,236 29 2.083
15 2,215 30 2.079
16 2.197 31 2,075
17 2.181 32 2,071
18 2,168 33 2.068
19 2.156  

Абсолютная погрешность измерения - не более 3 %.

6.6.5. Если требуется определить разборчивость любого другого вида, то проводят измерение слоговой разборчивости и, в соответствии с черт. 14. определяют значение разборчивости требуемого вида.

Черт. 14

6.7. Измерение частотной характеристики коэффициента передачи (приема) проводят в диапазоне частот, заданном в ТУ. при помощи установки для автоматической записи частотной характеристики при плавном изменении частоты в направлении ее увеличения или по точкам перечисляемых частот (100, 125, 160, 200, 250, 315, 400, 500, 630, 800, 1000, 1250, 1600, 2000, 2500, 3150, 4000, 5000, 6300, 8000 Гц), которые входят в заданный диапазон частот, а также на всех промежуточных частотах, на которых наблюдаются экстремальные значения коэффициентов передачи (приема), и на граничных частотах.

6.8. Измерение частотной характеристики проводят в соответствии со структурной схемой, представленной на черт. 15 (автоматическую запись частотной характеристики проводят при замене вольтметра 8 на самописец. синхронно связанный с генератором). Время измерения частотной характеристики ТА с угольным микрофоном не должно превышать 10 мин.

Допускается проводить измерение с АЛ, включенной между ТА и ПК, если это указано в ТУ.

6.8.1. ТА определяют на частотах, указанных в п. 6.7. На частоте 1000 Гц устанавливают звуковое давление 1 Па, определенное измерительным конденсаторным микрофоном диаметром 1/4 дюйма или акустическим зондом на расстоянии 2.5 см от ограничителя РИ по оси РИ при отсутствии микротелефонной трубки.

После установления микротелефонной трубки относительно РИ измеряют звуковое давление акустическим зондом или измерительным микрофоном при расположении его вблизи микрофона ТА на частоте 1000 Гц, это значение давления поддерживают постоянным на всех частотах.

Черт. 15

Допускается проводить измерение при других значениях звукового давления, если это указано в ТУ.

ТА вычисляют по формуле

где U - напряжение на станционных зажимах ПК, В;

Р - звуковое давление, определенное при отсутствии микротелефонной трубки ТА. Погрешность измерения - не более 1 дБ для ТА 0 и 1-го классов и не более 2 дБ для ТА 2 и 3-го классов.

6.9. Измерение частотной характеристики проводят в соответствии со структурной схемой, представленной на черт. 16, на частотах, указанных в п. 6.7 (автоматическую запись частотной характеристики проводят при замене вольтметра 1 на самописец, синхронно связанный с генератором).

Черт. 16

Допускается проводить измерение при АЛ, включенной между ТА и ПК, если это указано в ТУ.

При измерениях ТА с угольным микрофоном, последний должен быть заменен резистором сопротивлением, равным номинальному динамическому сопротивлению микрофона.

Измерение проводят при напряжении генератора 0.4 В и вычисляют по формуле

, (9)

где - напряжение на выходе генератора. В;

- напряжение на выходе УИ. В;

- чувствительность УИ, В/Па.

Погрешность измерения - не более 1 дБ для ТА 0 и 1-го классов и не более 2 дБ для ТА 2 и 3-го классов.

Диапазон изменения для ТА с возможностью регулировки уровня приема абонентом определяют как разность , измеренных при максимальном и минимальном уровнях приема на частоте 1000 Гц.

6.10. Измерение уровня звукового давления, развиваемого телефоном, проводят для определения действия устройства защиты уха абонента от акустических ударов в соответствии со структурной схемой, представленной на черт. 17.

Черт. 17

Уровень звукового давления Р, дБ, развиваемого телефоном в камере УИ (по отношению к значению звукового давления 2 Па), определяют на частоте 1000 Гц при переменном напряжении на входе ТА 15,5 В и вычисляют по формуле

, (10)

где U - напряжение на выходе усилителя УИ, В;

- чувствительность УИ на f = 1000 Гц, В/Па.

Погрешность измерения - не более 2 дБ.

6.11. Измерение коэффициента гармоник на передачу проводят в соответствии со структурной схемой, представленной на черт. 15, где вольтметр 6 должен быть заменен на измеритель нелинейных искажений.

Измерения проводят на частоте 1000 Гц при звуковом давлении 1 Па. определенном в соответствии с п. 6.8.1.

Шум в помещении не должен превышать 45 дБ.

Погрешность измерения - не более 4 %.

6.12. Измерение коэффициента гармоник на прием проводят в соответствии со структурной схемой, представленной на черт. 16, где вольтметр 1 заменяют на измеритель нелинейных искажений. Измерения проводят на частоте 1000 Гц при напряжении на входе ТА 0,4 В.

Погрешность измерения - не более 4 %.

6.13. Отклонение от линейности амплитудной характеристики измеряют в соответствии со структурной схемой, представленной на черт. 15.

Определяют при возбуждении микрофона ТА сигналом речевого спектра (черт. 8) со звуковым давлением 0.1; 1; 3 Па.

Определяют отклонения по формулам:

, (11)

, (12)

где , , - коэффициенты передачи при звуковых давлениях 0.1; 1,0; 3 Па, В/Па, соответственно.

Погрешность измерения - не более 2,5 дБ.

6.14. Измерение уровней вызывного акустического сигнала проводят в помещении, имеющем длину и ширину не менее 3 м. Уровень шума в помещении должен быть ниже измеряемого уровня не менее чем на 10 дБ. Настольный ТА помещают на прямоугольном столе так. чтобы передняя кромка ТА совпадала с краем стола, настенный ТА помещают на средней части капитальной стены на высоте 1,3 м от пола.

На расстоянии 1.5 м от ТА не должно находиться посторонних предметов, вызывающих искажение звука. Измерение проводят с помощью шумомера. расположенного на расстоянии 0,5 м от передней кромки ТА (или лицевой стороны настенного ТА).

6.14.1. Измерение максимального и минимального уровней вызывного акустического сигнала проводят при включении ТА в соответствии со схемой, представленной на черт. 18.

Микротелефонная трубка ТА должна быть уложена на ТА.

От низкочастотного генератора подают сигнал частотой 25 Гц напряжением 50 В.

При измерении ТА ЧНН с низковольтным приемником вызывного сигнала от генератора подают сигнал частотой 500 Гц напряжением 0,775 В.

Диапазон регулировки вызывного акустического сигнала определяют как разность между максимальным и минимальным уровнем.

Погрешность измерений - не более г 3 дБ.

Допускается проводить измерения при подаче вызывного сигнала непосредственно на ТА, а также при включении АЛ между ПК и ТА, если это указано в ТУ.

Черт. 18

6.14.2. Измерение чувствительности к вызывному сигналу проводят при включении ТА в соответствии со структурной схемой, представленной на черт. 19.

Черт. 19

Измерение проводят при положении регулятора, соответствующем максимальной громкости.

При помощи регулятора выходного напряжения низкочастотного генератора устанавливают уровень вызывного акустического сигнала 65 дБ (А), измеряемый шумомером.

По показаниям миллиамперметра и вольтметра определяют подводимую мощность W в мВ А, которую вычисляют по формуле

, (13)

где U - напряжение. В;

I - ток, мА.

Погрешность измерения - не более 10 %.

6.15. Измерение напряжения собственного шума проводят в соответствии со структурной схемой, представленной на черт. 20.

Черт. 20

Измерение проводят в помещении с уровнем шума не более 30 дБ (А) (или при помощи микротелефонной трубки, помещенной в антивибрационный звуконепроницаемый шкаф). Измерение проводят в соответствии с ГОСТ 7152.

При измерениях ТА с электродинамическим микрофоном допускается микрофон ТА заменить резистором сопротивлением, равным номинальному значению модуля полного электрического сопротивления микрофона на частоте 1000 Гц.

6.16. Измерение модуля входного электрического сопротивления ТА в разговорном режиме проводят в соответствии со структурной схемой, представленной на черт. 21. на частоте 1000 Гц при токе 35 мА. при снятой с ТА микротелефонной трубке. Телефон ТА должен быть нагружен на камеру УИ.

Переключатель устанавливают в положение 1, устанавливают испытательное напряжение на входе ТА 0.4 В, переводят переключатель в положение 2 и подбирают на магазине сопротивления такое сопротивление, чтобы падение напряжения на нем равнялось установленному.

Погрешность измерения - не более 3 %.

6.17. Измерение модуля входного электрического сопротивления в режиме ожидания вызова и режиме вызова проводят при уложенной на ТА микротелефонной трубке в соответствии со схемой, представленной на черт. 19.

Измерение модуля входного электрического сопротивления в режиме ожидания вызова проводят при напряжении на входе ТА 1,5 В на частоте 1000 Гц. Измерение модуля входного электрического сопротивления в режиме вызова проводят на частоте 25 Гц при напряжении на входе ТА 50 В.

Модуль входного электрического сопротивления |z| в кОм определяют по формуле

, (14)

где U - напряжение. В;

I - ток, мА.

Погрешность измерения - не более 10 %.

Черт. 21

6.18. Зависимость падения напряжения на входе ТА от тока питания определяют в соответствии со структурной схемой, представленной на черт. 22, при снятой с ТА микротелефонной трубке. Зависимость падения напряжения на входе ТА от потребляемого тока определяют при токах питания от 20 до 70 мА. Электрическое сопротивление R, Ом, постоянному току определяют по формуле

, (15)

где U - напряжение. В;

I - ток, мА.

Черт. 22

Для ТА с угольным микрофоном измерение электрического сопротивления постоянному току проводят при двух положениях микротелефонной трубки, соответствующих вертикальному и горизонтальному, мембраной вниз, положениям микрофона.

6.19. Измерение электрического сопротивления постоянному току в режиме набора для ТА с кнопочным номеронабирателем с импульсным способом передачи сигналов набора номера проводят с помощью измерителя параметров номеронабирателей (далее ИПН).

Допускается проводить измерения другим методом, указанным в ТУ на ТА конкретного типа.

Погрешность измерения - не более 10 %.

Примечание. Допускается проводить измерения при замене моста питания на переменный резистор.

6.20. Измерение тока, потребляемого ТА в режиме ожидания и вызова и режиме отбоя проводят в соответствии со схемой, представленной на черт. 23, или с помощью ИНН. Измерение проводят при уложенной на ТА микротелефонной трубке, при снятой микротелефонной трубке и нажатии кнопки "отбой". Измерение тока, потребляемого в режиме вызова ТА с низковольтным приемником вызывного сигнала, проводят в соответствии со схемой, представленной на черт. 24. От генератора подается сигнал частотой 500 Гц напряжением 0,775 В.

Черт. 23 Черт. 24

6.21. Измерение частот уровней составляющих сигнала набора номера для ТА ЧНН проводят в соответствии со структурной схемой, представленной на черт. 25. Измерение проводят для каждой из частот, при нажатии по очереди па каждую кнопку номеронабирателя при соответствующей настройке частоты селективного вольтметра.

Черт. 25

Уровень отсчитывают по вольтметру 5, частоту - по частотомеру, подключенному к выходу усилителя селективного вольтметра.

Погрешность измерения - не более 0,2 %, уровня - не более 8 %.

6.22. Измерение уровня помех проводят при нажатии каждой кнопки номеронабирателя и возбуждении микрофона ТА сигналом частотой 300, 1000, 3400 Гц со звуковым давлением 1 Па в соответствии со схемой, представленной на черт. 26.

Черт. 26

Оба измерителя перед измерением поочередно калибруют двухчастотным сигналом на отметку 0 дБ в соответствии с НТД на измеритель. При измерении первый измеритель настраивают на первую составляющую сигнала набора, второй - на вторую. Затем оба измерителя, по очереди, настраивают на минимум отсчета. Конечный результат определяют на втором измерителе. Погрешность измерения - не более 2,3 дБ. Допускается проводить измерения другим методом, указанным в ТУ на ТА конкретного типа.

6.23. Измерение времени разрыва шлейфа для ТА, содержащих устройство нормированного разрыва шлейфа, проводят в соответствии со структурной схемой, представленной на черт. 27.

Погрешность измерения - не более 10 %.

Черт. 27

6.24. Значность программируемого номера определяют в соответствии с ТУ на ТА.

6.25. Измерение периода импульса, импульсного коэффициента, паузы между двумя сериями импульсов проводят для ТА с кнопочным номеронабирателем при нажатии каждой кнопки номеронабирателя с помощью ИПН с погрешностью измерения не более 1.6 %, для ТА с дисковым номеронабирателем - по ГОСТ 10710.

Допускается измерение другим методом, указанным в ТУ на ТА.

6.26. Измерение программируемой паузы между двумя сериями импульсов проводят по методике, указанной в ТУ на ТА.

6.27. Измерение времени посылки сигнала набора номера проводят в соответствии со структурной схемой, представленной на черт. 27. При измерении времени посылки не учитывают время нарастания сигнала до уровня, составляющего 0,9 от его установившегося значения.

Погрешность измерения - не более 10 %.

6.28. Проверку выполняемых функций и возможностей ТА проводят в соответствии с требованиями ТУ на ТА.

6.29. Проверку внешнего вида, конструктивных особенностей ТА проводят внешним осмотром, сличением с конструкторской документацией, контрольными образцами, проверкой рабочих чертежей.

6.30. Проверку габаритных, установочных размеров проводят при помощи средств измерений в соответствии с ТУ на ТА.

6.31. Проверку массы проводят взвешиванием на весах.

Погрешность измерения - не более 5 %.

6.32. Проверку акустической устойчивости ТА проводят следующим образом: ТА подключают к мосту питания, нагруженному на электрическую цепь, состоящую из параллельно соединенных конденсатора емкостью 0,1 мФ и резистора сопротивлением 1 кОм. Микротелефонную трубку ТА кладут амбушюром вниз на середину деревянной доски размером не менее 20 х 500 х 1000 мм. расположенную горизонтально. Испытание проводят в течение 10 с при максимальном усилении приема.

6.33. Проверку силы нажатия кнопки номеронабирателя и функциональной кнопки проводят по методике ТУ на ТА.

6.34. Измерение допустимых значений напряжения радиопомех и напряженности радиопомех проводят в соответствии с методикой ГОСТ 16842 <*> и нормами допускаемых радиопомех (Нормы 9-72) при подключении ТА к питающему комплекту.

<*> - На территории Российской Федерации действует ГОСТ Р 51320-99.

6.35. Испытания на механические воздействия проводят с отклонениями не более:

20 % по амплитуде виброускорения и пиковому ударному ускорению;

2 Гц по частоте вибрации;

10 % по времени;

10 % по высоте падения микротелефонной трубки.

6.35.1. Испытания на воздействие синусоидальной вибрации проводят для выявления дефектов, допущенных при изготовлении ТА. На частоте 25 Гц проводят испытания в течение 30 мин.

ТА считают выдержавшими испытания, если при внешнем осмотре не наблюдается повреждений ТА, , , максимальный и минимальный уровни вызывного акустического сигнала, чувствительность к вызывному сигналу соответствуют требованиям настоящего стандарта, обеспечивается правильный набор номера, выполняются функции, указанные в ТУ на ТА.

6.35.2. Испытания на воздействие механических ударов проводят для проверки ТА на прочность при транспортировании.

ТА в упакованном виде устанавливают на ударном стенде и подвергают действию удара в соответствии с табл. 10.

Таблица 10

Пиковое ударное ускорение, м/с2 Длительность действия ударного ускорения, мс Число ударов по каждому из трех направлений
147 5-10 1100
98 5-10 3900

Испытания проводят в трех взаимно перпендикулярных направлениях с числом ударов в каждом направлении, указанным в табл. 10. частота повторения ударов должна быть не более 0,5 (120 ударов в минуту).

ТА считают выдержавшими испытания. если при внешнем осмотре не наблюдается повреждений ТА, , , максимальный и минимальный уровни вызывного акустического сигнала, чувствительность к вызывному сигналу соответствуют требованиям настоящего стандарта, обеспечивается правильный набор номера, выполняются функции, указанные в ТУ на ТА.

6.36. Испытания на климатические воздействия проводят с отклонениями не более: 3 "С по температуре; 3 % по влажности; 5 % по пониженному давлению.

6.36.1. Испытание на воздействие влаги проводят следующим образом. Аппараты помещают в камеру влаги. Температуру в камере повышают до 25 С и аппараты выдерживают при этой температуре в течение от 1.5 до 2 ч, после чего в течение 1 ч влажность повышают до 90 % и поддерживают этот режим в камере в течение 96 ч.

В конце выдержки или непосредственно после извлечения ТА из камеры в течение не более 5 мин проводят измерение электрического сопротивления и прочности изоляции, затем проверку параметров и (или) выполняемых функций, указанных в ТУ на ТА. Общее время измерений должно быть не более 15 мин.

После изъятия ТА из камеры и выдержки его в нормальных климатических условиях в течение 2 ч проводят внешний осмотр ТА, измерение Э3_пер, ЭЗ_пр, максимального и минимального уровней вызывного акустического сигнала, электрического сопротивления и прочности изоляции на соответствие требованиям настоящего стандарта, проверку параметров набора номера, указанных в ТУ на ТА, чувствительности к вызывному сигналу.

ТА считают выдержавшими испытания, если при внешнем осмотре не наблюдается повреждений и следов коррозии, выполняются указанные требования настоящего стандарта и ТУ на ТА

6.36.2. Испытания на воздействие пониженной температуры проводят в рабочих и предельных условиях следующим образом. При испытании в рабочих условиях ТА без упаковки помещают в камеру холода. Температуру в камере с максимально возможной скоростью понижают до значений рабочей пониженной температуры и поддерживают ее в течение времени, указанного в табл. 11.

Непосредственно после извлечения ТА из камеры в течение не более 5 мин проводят измерение , и максимального уровня вызывного акустического сигнала на соответствие требованиям настоящего стандарта. Затем проводят проверку параметров и (или) выполняемых функций, указанных в ТУ на ТА.

Общее время измерений должно быть не более 15 мин.

При испытании в предельных условиях ТА помещают в камеру холода. Температуру в камере с максимально возможной скоростью понижают до значения предельной пониженной температуры.

Аппараты выдерживают при этой температуре в течение 4 ч.

После этого температуру в камере повышают с максимально возможной скоростью до рабочего значения пониженной температуры, извлекают ТА из камеры.

После извлечения ТА из камеры и выдержки их в нормальных климатических условиях в течение 2 ч проводят измерение , , максимального и минимального уровней вызывного акустического сигнала и чувствительности к вызывному сигналу на соответствие требованиям настоящего стандарта и проверку параметров набора номера, указанных в ТУ на ТА.

Допускается проводить испытания ТА в упаковке.

ТА считают выдержавшими испытания, если выполняются указанные требования настоящего стандарта и ТУ на ТА.

6.36.3. Испытания на воздействие повышенной температуры проводят в рабочих и предельных условиях следующим образом.

При испытании в рабочих условиях ТА помещают в камеру тепла. Температуру в камере повышают до рабочей в течение от 0,5 до 2 ч. ТА выдерживают при этой температуре в течение времени, указанного в табл. 11.

Таблица 11

Масса аппарата, KI Время выдержки в условиях рабочей повышенной (пониженной) температуры, ч
Не более 2 2
От 2 до 10 3

Непосредственно после извлечения ТА из камеры в течение не более 5 мин проводят измерения , и максимального уровня вызывного акустического сигнала на соответствие требованиям настоящего стандарта. Затем проводят проверку параметров и (или) выполняемых функций, указанных в ТУ на ТА.

Общее время измерений должно быть не более 15 мин.

При испытании в предельных условиях ТА помещают в камеру тепла, температуру повышают до предельной в течение от 0,5 до 2 ч.

ТА выдерживают при этой температуре в течение 6 ч, после этого температуру в камере понижают в течение от 0,5 до 2 ч до рабочего значения повышенной температуры, ТА извлекают из камеры и выдерживают в нормальных климатических условиях в течение 2 ч, после чего проводят измерение , , максимального и минимального уровней вызывного акустического сигнала и чувствительности к вызывному сигналу на соответствие требованиям настоящего стандарта, проверку параметров набора номера, указанных в ТУ на ТА.

Допускается проводить испытание ТА в упаковке.

ТА считают выдержавшими испытания, если выполняются указанные требования настоящего стандарта и ТУ на ТА.

6.36.4. Испытания на воздействие пониженного атмосферного давления проводят для проверки способности ТА выдерживать воздействие пониженного атмосферного давления при авиатранспортировании.

ТА в упаковке помещают в термобарокамеру. Температуру в камере понижают с максимально возможной скоростью до минус 50 °С и выдерживают при этой температуре в течение 2 ч. Давление в камере понижают до 12 кПа и поддерживают на этом уровне в течение 1 ч.

Давление, а затем и температуру повышают до нормальных значений. ТА извлекают из камеры и выдерживают их в нормальных климатических условиях, после чего проводят измерение , , максимального и минимального уровней вызывного акустического сигнала на соответствие требованиям настоящего стандарта, параметров набора номера, проверку параметров и (или) выполняемых функций, указанных в ТУ на ТА.

ТА считают выдержавшими испытания, если выполняются указанные требования настоящего стандарта и ТУ на ТА.

6.37. Измерение сопротивления изоляции проводят между соединенными накоротко линейными выводами ТА и металлическими деталями, выходящими на внешнюю поверхность ТА.

Испытания проводят при положенной на ТА и снятой с него микротелефонной трубке.

Измерение изоляции проводят с помощью мегаомметра с измерительным постоянным напряжением не более 30 В. отсчет значения сопротивления изоляции проводят по истечении 1 мин от подачи измерительного напряжения или через меньшее время, если мегаомметр показывает, что сопротивление изоляции остается постоянным.

Погрешность измерения - не более 20 %.

6.38. Проверку электрической прочности изоляции между соединенными накоротко линейными выводами и металлическими частями, выходящими на внешнюю поверхность ТА. проводят путем подачи (плавно или ступенями) напряжения 500 В частотой 50 Гц от высоковольтной установки в течение 1 мин. Испытания проводят при положенной на ТА и снятой с него микротелефонной трубке.

Погрешность установки испытательного напряжения - не более 20 %.

Допускается сокращать время измерения до 1 с при одновременном повышении испытательного напряжения на 25 %.

6.39. Расчет длительности и оценку результатов испытаний на безотказность проводят в соответствии с приложением 2.

Продолжительность испытаний () разбивают на три-четыре цикла. Состав одного цикла испытаний, последовательность и продолжительность наработок при воздействии различных климатических факторов приведены в табл. 12.

Таблица 12

Климатические факторы и последовательность их воздействия Продолжительность наработки в одном цикле испытаний,ч
Повышенная влажность 40
Пониженная влажность 1
Повышенная температура 25 % от длительности цикла
Нормальные климатические условия:  
- наработка РП По формуле 6 приложения 2
- наработка функциональных кнопок То же
Наработка номеронабирателя "
Наработка приемника вызывного сигнала По формуле 8 приложения 2
Наработка дополнительных функциональных узлов По методике ТУ на ТА
Наработка разговорной части схемы ТА Оставшееся время длительности цикла

Допускается испытания па безотказность проводить и режимах, отличающихся от приведенных в табл. 12, определяемых (выбираемых) по методикам, указанным в ТУ на ТА.

Критериями отказа ТА при испытаниях считают:

- невозможность выполнения какой-либо из функций ТА. указанной в ТУ;

- увеличение , более чем на 3 дБ по отношению к максимальному значению, указанному в настоящем стандарте;

- понижение максимального уровня вызывного акустического сигнала более чем на 5 дБ;

- период импульса менее 85 и более 117 мс для ТА 3-го класса или менее и более 110 мс для ТА 0, 1 и 2 классов;

- несоответствие сопротивления и прочности изоляции требованиям настоящего стандарта;

- превышение напряжением собственных шумов микрофона ТА значения 1,4 .

Допускается для ТА 0 и 1-го классов вводить дополнительные контролируемые параметры, которые должны быть указаны в ТУ на ТА.

До и после каждого цикла испытаний проводят проверку требований, указанных в ТУ на ТА. Отказавшие в процессе испытаний ТА ремонтируют и испытания продолжают.

Испытания на воздействие повышенной влажности проводят в камере влажности. ТА помещают в камеру влажности, температуру в которой повышают до 25 °С. Через 2 ч после достижения заданной температуры относительную влажность повышают до 90 % и данный режим поддерживают в течение 120 ч (5 сут). Ежесуточно на ТА подают напряжение по схеме, приведенной в ТУ на ТА конкретного типа, в течение 8 ч, а остальное время ТА находятся в камере в выключенном состоянии.

Испытания ТА на воздействие пониженной температуры проводят в камере холода. ТА помещают в камеру холода, температуру в камере понижают до значения, на 10 "С выше рабочей пониженной температуры, указанной в ТУ на ТА. и выдерживают в течение 4 ч в выключенном состоянии, после чего на ТА подают напряжение по схеме, приведенной в ТУ на ТА, в течение 1 ч. Затем ТА выключают, температуру в камере повышают до нормальной и ТА извлекают из камеры.

Испытания ТА на воздействие повышенной температуры проводят в камере тепла. ТА помещают в камеру тепла и включают по схеме, приведенной в ТУ на ТА. Температуру в камере повышают до значения, на 10 °С ниже рабочей повышенной температуры, указанной в ТУ на ТА, и в таком режиме ТА выдерживают в камере в течение времени, указанного в табл. 12. Если ТА не подвергают воздействию влажности, то время выдержки составляет 50 % продолжительности цикла испытаний.

Наработку в нормальных климатических условиях проводят по методике, указанной в ТУ на ТА. время наработки функциональных узлов определяют по формулам 6 и 8 приложения 2.

Наработку разговорной части схемы ТА проводят по схеме, приведенной в ТУ на ТА.

Испытание на ресурс рычажного переключателя, кнопок номеронабирателя, функциональных кнопок проводят по методике, указанной в ТУ на ТА.

Допускается проводить испытания на безотказность расчетно-экспериментальным методом или экспериментальным методом, указанным в ТУ на ТА.

6.40. Проверку ТА на долговечность и ремонтопригодность (пп. 3.6.2, 3.6.3) проводят расчетным или экспериментальным методом.

7. МАРКИРОВКА. УПАКОВКА, ТРАНСПОРТИРОВАНИЕ И ХРАНЕНИЕ

7.1. Каждый ТА должен иметь четкую маркировку, содержащую:

- наименование и (или) товарный знак предприятия-изготовителя;

- отметку ОТК предприятия-изготовителя;

- дату выпуска (месяц, год);

- дополнительные сведения, указанные в ТУ.

Место и способ исполнения маркировки должны быть установлены в ТУ на ТА.

Маркировка должна быть разборчивой и механически прочной при эксплуатации и хранении в условиях, установленных настоящим стандартом и ТУ на ТА конкретного типа. (в ред. Изменений N 2)

7.2. Каждый ТА должен быть упакован в индивидуальную тару (коробку), обеспечивающую его сохранность при транспортировании и хранении и изготовленную по ТУ (рабочим чертежам) на конкретный вид тары.

7.3. Индивидуальная тара или наклеиваемая на нее этикетка должна содержать следующие надписи и обозначения:

- условное обозначение ТА;

- наименование и (или) товарный знак предприятия-изготовителя;

- год и месяц выпуска;

- отметку ОТК предприятия-изготовителя;

- дополнительные сведения, указанные в ТУ. (в ред. Изменений N 2)

7.4. Для отправки с предприятия-изготовителя коробки с ТА должны быть уложены в транспортную тару или контейнер.

7.5. Маркировка транспортной тары - по ГОСТ 14192.

7.6. В транспортную тару должен быть вложен упаковочный лист, в котором указывают:

- наименование ТА;

- число ТА;

- подпись или личное клеймо упаковщика;

- отметку ОТК;

- дату упаковки.

7.7. Упакованные ТА должны транспортироваться всеми видами транспорта при температурах от минус 50 до 50 °С при защите их от прямого воздействия атмосферных осадков и механических повреждений по правилам, соответствующим требованиям ГОСТ 23088.

7.8. ТА должны храниться в условиях группы Л по ГОСТ 15150.

8. УКАЗАНИЯ ПО ЭКСПЛУАТАЦИИ (ПРИМЕНЕНИЮ)

8.1. Эксплуатация ТА должна проводиться в соответствии с эксплуатационной документацией на ТА конкретного типа.

9. ГАРАНТИИ ИЗГОТОВИТЕЛЯ

9.1. Изготовитель гарантирует соответствие ТА требованиям настоящего стандарта и ТУ на ТА конкретного типа при соблюдении условий эксплуатации, транспортирования и хранения.

9.2. В ТУ на ТА конкретного типа должны быть указаны конкретные значения:

- гарантийного срока эксплуатации, исчисляемого с даты ввода в эксплуатацию или со дня розничной продажи для ТА, поступающих в торговую сеть, выбираемого из ряда: 12, 18, 24 мес;

- гарантийного срока хранения, исчисляемого с даты изготовления, выбираемого из ряда: 6, 12 мес.

ПРИЛОЖЕНИЕ 1
Справочное

ПОЯСНЕНИЯ ТЕРМИНОВ, ИСПОЛЬЗУЕМЫХ В НАСТОЯЩЕМ СТАНДАРТЕ

Термин Пояснение
Питающий комплект ПК Комплекс, состоящий из источника питания постоянного тока и моста питания, соответствующих питающей системе ТА
Искусственная линия ИЛ Четырехполюсник, состоящий из последовательно соединенных звеньев, содержащий резисторы и конденсаторы, по параметрам эквивалентный естественной линии
Искусственная абонентская линия АЛ Эквивалент естественной линии от абонента (ТА) до районной АТС (ПК)
Искусственная соединительная линия СИ Эквивалент естественной линии между АТС (ПК)
Импульсный коэффициент Отношение времени размыкания к времени замыкания импульсного контакта для дискового номеронабирателя. Отношение бестоковой посылки к токовой для кнопочного номеронабирателя
Период импульса в серии Т Сумма продолжительности замыкания и размыкания импульсных контактов для дискового номеронабирателя. Сумма продолжительности токовой и бестоковой посылок для кнопочного номеронабирателя
Программируемая пауза между сериями импульсов Дополнительная (увеличенная) пауза между двумя серия­ми импульсов, вводимая абонентом при наборе номера.

Примечание. Необходима для прослушивания сигналов АТС.

ПРИЛОЖЕНИЕ 2
Обязательное

ПЛАНИРОВАНИЕ И ОЦЕНКА ИСПЫТАНИЙ НА БЕЗОТКАЗНОСТЬ

1. Определительные испытания

1.1. Определительные испытания на безотказность проводят одноступенчатым методом с ограниченных числом отказов или ограниченной продолжительностью при доверительной вероятности у = 0,9.

1.2. Исходными параметрами планов определительных испытаний являются:

- доверительная вероятность у;

- отношение верхней и нижней доверительных границ наработки на отказ;

- расчетное значение или указанное в ТЗ (ТУ) значение наработки на отказ

1.3. Время испытаний определяют по формуле

, (1)

где А - коэффициент. зависящий от величины отношения и выбираемый из табл. 1 настоящего приложения;

n - число ТА, необходимых для испытаний, указанное в ТУ на ТА конкретного типа в соответствии с п. 5.5.2 настоящего стандарта.

Примечание. Значение устанавливается в НТД, исходя из экономических и технических возможностей испытаний.

Таблица 1

2,0 2,5 3,0 4,0 5,7
А 23 13 9 6 4

1.4. Оценка результатов определительных испытаний

По результатам определительных испытаний вычисляют наработку на отказ по формуле

, (2)

где - время наработки i-го образца, ч;

r - суммарное число отказов, полученное за время испытаний;

n - число испытуемых ТА.

Если за время испытаний отказов не зафиксировано, т. е. r = 0, определяется нижняя доверительная граница в ч по формуле

, (3)

где - риск поставщика;

- время наработки на отказ i-го образца, ч;

n - число испытуемых образцов.

Верхняя граница не определяется.

2. Контрольные испытания

2.1. Контрольные испытания проводят последовательным методом.

2.2. При проведении контрольных испытаний последовательным методом планы испытаний для контроля наработки на отказ выбирают из приведенных в табл. 2 и указывают в ТУ на ТА конкретного типа.

Число одновременно испытуемых ТА выбирают из ряда, указанного в п. 5.5.2 настоящего стандарта.

Отказавшие в ходе испытаний ТА ремонтируют и испытания продолжают.

Планы предусматривают усечение процедуры испытаний по продолжительности и числу отказов сохранением рисков заказчика и поставщика.

2.3. Для выбора плана испытаний при контроле значения средней наработки на отказ пользуются следующими исходными данными:

- риск поставщика;

- риск заказчика:

- отношение приемочного значения наработки на отказ к ее браковочному значению, выбираемое в соответствии с табл. 2 и заданное в ТУ на ТА конкретного типа.

2.4. В соответствии с табл. 2 по значению отношения выбирают шифр плана контроля и по уравнениям этого плана определяют линии границ области соответствия (), линии границ области несоответствия (), значения и , необходимые для графического представления плана испытаний.

Значениями и , соответствующими выбранному плану испытаний, пользуются при усечении испытаний, где - нормированный коэффициент, определенный по табл. 2, - число отказов, при котором происходит усечение испытаний, определяемое по табл. 2.

2.5. По уравнению границы области соответствия при r = 0 вычисляют значение , определяют число отказов при значении = и в прямоугольной системе координат чертежа (r, ), проводят через две полученные точки прямую линию 1.

По уравнению границы области несоответствия при = 0 определяют чисто отказов, вычисляют значение при r = через две полученные точки проводят линию 2.

Через точку с координатами r = , = 0 параллельно оси проводят линию 4 усечения по числу отказов.

2.6. Среднюю продолжительность испытаний последовательным методом для выбранного плана испытаний определяют по формуле

, (4)

где b - нормируемый коэффициент, определяемый по табл. 2.

2.7. ТА считают соответствующими требованиям, указанным в ТУ. и испытания прекращают, если реализация процесса отказов достигает линии 1.

2.8. При усечении последовательных испытаний ТА считают соответствующими заданным в ТУ требованиям по наработке на отказ и испытания прекращают, если число отказов за время испытаний

r < ; , реализация процесса отказов достигает линии 3.

Таблица 2

Шифр плана Уравнения линий соответствия (число отказов, ) Уравнения линий несоответствия (число отказов, ) b
А-1 1,5 1,233 - 5,418 1,233 + 5,418 18,6 41 33,0
А-2 1,7 1,319 - 4,141 1,319 + 4,141 10,4 24 18,0
А-3 2,0 1,443 - 3,170 1,443 + 3,170 5,7 14 9,0
А-4 2,5 1,637 - 2,398 1,637 + 2,398 3,0 8 5,0
А-5 3,0 1,820 - 2,00 1,820 + 2,00 2,0 6 3,0

Примечание. Шифр плана указывается в ТУ на ТА конкретного типа.

2.9. ТА считают не соответствующими заданным в ТУ требованиям по наработке на отказ и испытания прекращают, если реализации процесса отказов достигает линии 2. т. е. когда

.

2.10. При усечении последовательных испытаний ТА считают не соответствующими заданным в ТУ требованиям по наработке на отказ и испытания прекращают, если реализация процесса отказов достигает линии 4, т. е. когда

.

3. Оценка безотказности ТА расчетно-экспериментальным методом

Оценку безотказности ТА расчетно-экспериментальным методом (РЭМ) проводят, используя результаты испытаний и теоретические расчеты на безотказность отдельных сборочных блоков (узлов) и элементов ТА.

Оценку безотказности ТА проводят по формуле

, (5)

где - средняя наработка на отказ ТА, ч;

- интенсивность отказов электрической схемы ТА, полученная расчетным путем, ;

n - число узлов (блоков), входящих в ТА;

- интенсивность отказов i-го узла (блока), полученная по результатам испытаний, .

Если отдельные узлы ТА производятся на другом предприятии, допускается использовать протоколы испытаний на надежность узлов, проведенных на этом предприятии.

4. Формулы для определения числа срабатываний и времени наработки узлов при испытаниях

4.1. Число срабатываний рычажного переключателя (РП), кнопок номеронабирателя, функциональных кнопок в одном цикле испытаний определяют по формуле

, (6)

где N - ресурс (число срабатываний) узла, указанный в ТЗ. ТУ на узел;

с - число циклов за период испытаний.

Число циклов испытаний равняется числу циклов, выбранному при планировании испытаний на безотказность.

4.2. Время наработки РП. кнопок номеронабирателя (номеронабирателя), функциональных кнопок определяется но формуле

, (7)

где t' - время наработки, ч;

К - частота срабатывания испытательного стенда, мин(-1)/

4.3. Длительность наработки приемника вызывного сигнала в одном цикле определяется по формуле

, (8)

где - длительность посылки вызова, с (10 с);

D - число входящих вызовов за срок службы, указывается в ТУ на ТА конкретного типа;

- длительность наработки приемника вызывного сигнала, ч.

ИНФОРМАЦИОННЫЕ ДАННЫЕ

1. УТВЕРЖДЕН И ВВЕДЕН В ДЕЙСТВИЕ Постановлением Государственного комитета СССР по стандартам от 27.12.85 N 4716

2. ВЗАМЕН ГОСТ 7153-68, ГОСТ 9686-68, ГОСТ 25554-82

3. ССЫЛОЧНЫЕ НОРМАТИВНО-ТЕХНИЧЕСКИЕ ДОКУМЕНТЫ

Обозначение НТД, на которые дана ссылка Номер пункта
ГОСТ 12.2.007.0-75 3.5.2
ГОСТ 15.009-91 3.2.2
ГОСТ 166-89 6.2
ГОСТ 427-75 6.2
ГОСТ 7152-85 6.3, 6.15
ГОСТ 8031-78 6.6
ГОСТ 8711-93 6.2
ГОСТ 10710-81 6.25
ГОСТ 14192-96 7.5
ГОСТ 15150-69 7.8
ГОСТ 16842-82 6.34
ГОСТ 17187-81 6.2
ГОСТ 18242-72 5.2.3
ГОСТ 18321-73 5.3.1
ГОСТ 19472-88 Вводная часть
ГОСТ 21194-87 5.6.1
ГОСТ 23088-80 7.7
ГОСТ 23737-79 6.2
Нормы 9-72 3.2.9

4. Ограничение срока действия снято по протоколу N 3-93 Межгосударственного Совета по стандартизации, метрологии и сертификации (ИУС 5-6-93)

5. ИЗДАНИЕ (ноябрь 2002 г.) с Изменениями N 1, 2, утвержденными в апреле 1987 г., декабре 1991 г. (ИУС 8-87, 4-92)