Приказ ЦБ РФ от 30.03.96 N 02-77

"Об утверждении Положения "Об обязательных резервах кредитных организаций, депонируемых в Центральном банке Российской Федерации"
Редакция от 04.07.1997 — Документ утратил силу, см. «Указание ЦБ РФ от 27.04.2004 N 1424-У»
Показать изменения

ЦЕНТРАЛЬНЫЙ БАНК РОССИИ

ПРИКАЗ
от 30 марта 1996 г. N 02-77

ОБ УТВЕРЖДЕНИИ ПОЛОЖЕНИЯ "ОБ ОБЯЗАТЕЛЬНЫХ РЕЗЕРВАХ КРЕДИТНЫХ ОРГАНИЗАЦИЙ, ДЕПОНИРУЕМЫХ В ЦЕНТРАЛЬНОМ БАНКЕ РОССИЙСКОЙ ФЕДЕРАЦИИ"

(в ред. - Писем ЦБ РФ от 26.04.96 N 279, от 25.04.97 N 440; Телеграммы ЦБ РФ от 06.06.97 N 49-97; Приказа ЦБ РФ от 04.07.97 N 02-293)

В целях обеспечения денежно-кредитного регулирования путем поддержания на определенном уровне денежной массы в обращении и на основании решения Совета директоров Банка России (Протокол от 15.03.96 N 13) приказываю:

1. Утвердить Положение "Об обязательных резервах кредитных организаций, депонируемых в Центральном банке Российской Федерации" (прилагается).

2. Ввести в действие Положение "Об обязательных резервах кредитных организаций, депонируемых в Центральном банке Российской Федерации", начиная с регулирования обязательных резервов на 1 мая 1996 года.

3. Установить нормативы обязательных резервов кредитных организаций в зависимости от сроков и видов привлеченных денежных средств юридических и физических лиц:

- по счетам до востребования и срочным обязательствам до 30 дней включительно - 18 процентов;

- по срочным обязательствам от 31 дня до 90 дней включительно - 14 процентов;

- по срочным обязательствам от 91 дня и более - 10 процентов;

- по средствам на счетах в иностранной валюте - 1,25 процента.

4. Для обеспечения выполнения кредитными организациями установленных резервных требований управлениям инспектирования коммерческих банков Главных управлений (Национальных банков) Банка России осуществлять постоянный контроль за соответствием бухгалтерского учета в кредитных организациях нормативным актам Банка России, имея в виду недопущение отражения по балансовым счетам N 076, N 904, N 932 и другим балансовым счетам операций, не соответствующих правилам ведения бухгалтерского учета по указанным счетам.

5. Довести настоящее Положение до кредитных организаций.

6. Впредь до особых указаний не распространять действие Положения на Сберегательный банк Российской Федерации.

7. В связи с введением нового Положения отменить действие:

- Положения о порядке формирования фонда обязательных резервов коммерческих банков и кредитных учреждений в Центральном банке Российской Федерации, введенное в действие письмом Банка России от 15.02.94 N 13-1/190;

- Дополнения N 1 к Положению о порядке формирования фонда обязательных резервов коммерческих банков и кредитных учреждений в Центральном банке Российской Федерации - письмо Банка России от 31.12.94 N 135;

- Дополнения N 2 к Положению о порядке формирования фонда обязательных резервов коммерческих банков и кредитных учреждений в Центральном банке Российской Федерации - письмо Банка России от 29.03.95 N 135;

- телеграммы Росцентробанка от 29.03.95 N 2454/к;

- телеграммы Росцентробанка от 18.04.95 N 51-95;

- телеграммы Росцентробанка от 28.04.95 N 62-95;

- телеграммы Росцентробанка от 29.04.95 N 51к;

- телеграммы Росцентробанка от 01.06.95 N 4353/к;

- телеграммы Росцентробанка от 04.07.95 N 5438/к;

- телеграммы Росцентробанка от 01.08.95 N 6605/к;

- телеграммы Росцентробанка от 31.08.95 N 7663/к;

- телеграммы Росцентробанка от 29.09.95 N 8616/к;

- телеграммы Росцентробанка от 30.10.95 N 9635/к;

- телеграммы Росцентробанка от 01.12.95 N 10640;

- телеграммы Росцентробанка от 03.01.96 N 37/к;

- телеграммы Росцентробанка от 01.02.96 N 1101/к.

Председатель Центрального банка
Российской Федерации
С.К.ДУБИНИН

Приложение

Утверждено
Приказом Банка России
от 30 марта 1996 г. N 02-77

30 марта 1996 г. N 37

ПОЛОЖЕНИЕ
ОБ ОБЯЗАТЕЛЬНЫХ РЕЗЕРВАХ КРЕДИТНЫХ ОРГАНИЗАЦИЙ, ДЕПОНИРУЕМЫХ В ЦЕНТРАЛЬНОМ БАНКЕ РОССИЙСКОЙ ФЕДЕРАЦИИ

(в ред. - Писем ЦБ РФ от 26.04.96 N 279, от 25.04.97 N 440; Телеграммы ЦБ РФ от 06.06.97 N 49-97; Приказа ЦБ РФ от 04.07.97 N 02-293)

1. ОБЩИЕ ПОЛОЖЕНИЯ

В соответствии с Федеральным законом "О Центральном банке Российской Федерации (Банке России)" Банк России во взаимодействии с Правительством Российской Федерации разрабатывает и проводит денежно - кредитную политику, направленную на защиту и обеспечение устойчивости российского рубля, применяя методы и инструменты, установленные Законом.

1.1. Обязательные резервы (резервные требования) - один из основных инструментов осуществления денежно - кредитной политики Банка России - представляют собой механизм регулирования общей ликвидности банковской системы, используемый для контроля денежных агрегатов посредством снижения денежного мультипликатора. Резервные требования устанавливаются в целях ограничения кредитных возможностей кредитных организаций и поддержания на определенном уровне денежной массы в обращении.

1.2. В соответствии со статьей 25 Федерального закона "О банках и банковской деятельности" кредитная организация обязана выполнять нормативы обязательных резервов, депонируемых в Банке России.

Обязанность выполнения резервных требований возникает с момента получения лицензии Банка России на право совершения соответствующих банковских операций и является необходимым условием их осуществления. Кредитная организация несет ответственность за соблюдение порядка депонирования обязательных резервов в Банке России. Обязательства кредитной организации перед третьими лицами не являются основанием освобождения от обязанностей по депонированию обязательных резервов в Банке России.

Порядок депонирования обязательных резервов осуществляется исключительно на основании настоящего Положения. При осуществлении депонирования правила расчетов и других банковских операций применяются в случаях, прямо указанных настоящим Положением.

1.3. В соответствии со статьей 38 Федерального закона "О Центральном банке Российской Федерации (Банке России)" размер обязательных резервов в процентном отношении к обязательствам кредитной организации, а также порядок их депонирования в Банке России устанавливаются Советом директоров Банка России. Нормативы обязательных резервов не могут превышать 20 процентов обязательств кредитной организации.

1.4. Нормативы обязательных резервов устанавливаются Советом директоров Банка России в зависимости от сроков и видов привлечения кредитными организациями денежных средств юридических и физических лиц в валюте Российской Федерации и иностранной валюте. (в ред. Письма ЦБ РФ от 25.04.97 N 440)

1.5. Порядок депонирования части привлеченных денежных средств, установленный настоящим Положением, распространяется на все кредитные организации, действующие на территории Российской Федерации на основании лицензии (разрешения) Банка России с правом совершения соответствующих банковских операций.

1.6. Регулирование размера обязательных резервов, подлежащих депонированию кредитными организациями, производится территориальным учреждением (расчетно - кассовым центром) Банка России по месту нахождения головной кредитной организации в целом по кредитной организации, включая филиалы, находящиеся на территории России.

Если кредитные организации, расположенные на территории Российской Федерации, имеют свои филиалы, открытые в установленном порядке за границей (в странах ближнего зарубежья либо на территориях государств дальнего зарубежья), то указанные филиалы самостоятельно депонируют часть привлеченных ими средств в национальном банке того государства, на территории которого открыт филиал, в порядке и по нормативам обязательных резервов, установленным национальным банком соответствующего государства.

В этом случае кредитная организация, расположенная на территории Российской Федерации, представляет в соответствующее территориальное учреждение (расчетно - кассовый центр) Банка России, кроме сводного баланса в целом по кредитной организации, включая все ее филиалы, также баланс без включения в него филиалов, расположенных на территории зарубежных государств. (в ред. Писем ЦБ РФ от 26.04.96 N 279, от 25.04.97 N 440)

1.7. Регулирование размера обязательных резервов, подлежащих депонированию, производится всеми кредитными организациями ежемесячно (по состоянию на 1 число месяца, следующего за отчетным) путем сверки сумм фактически внесенных средств и подлежащих внесению, исходя из остатков на счетах привлеченных средств и действующих нормативов резервных требований.

Расчет размера средств, подлежащих резервированию на 1 число каждого месяца, и другие необходимые документы представляются соответствующему территориальному учреждению (расчетно - кассовому центру) Банка России вместе с балансом в срок, установленный для представления баланса кредитной организации на 1 число месяца, следующего за отчетным.

В тех случаях, когда срок представления кредитной организацией бухгалтерского баланса на 1 января отчетного года с заключительными оборотами установлен более ранний, чем срок представления баланса и Расчета размера регулирования обязательных резервов на 1 февраля отчетного года, регулирование размера обязательных резервов, подлежащих депонированию в Банке России по состоянию на 1 января отчетного года, производится территориальным учреждением (расчетно - кассовым центром) Банка России дважды на основании Расчетов, составленных:

- по данным баланса без заключительных оборотов;

- по данным баланса с заключительными оборотами (представляемого в составе годового бухгалтерского отчета).

При этом кредитная организация в срок, установленный ей для представления баланса с заключительными оборотами, одновременно представляет Расчет регулирования размера обязательных резервов и другие необходимые документы. На основании представленного баланса с заключительными оборотами и Расчета регулирования размера обязательных резервов территориальное учреждение (расчетно - кассовый центр) Банка России производит перерасчет обязательных резервов кредитной организации в установленном порядке. (в ред. Письма ЦБ РФ от 25.04.97 N 440)

1.8. Покрытие обязательных резервов различными видами приносящих доход активов не допускается.

1.9. На обязательные резервы, депонированные кредитными организациями в Банке России, проценты не начисляются.

2. ПОРЯДОК РАСЧЕТА ОБЯЗАТЕЛЬНЫХ РЕЗЕРВОВ, ДЕПОНИРУЕМЫХ В БАНКЕ РОССИИ

2.1. В состав обязательств кредитной организации включаются средства в валюте Российской Федерации и в иностранной валюте, учитываемые на расчетных, текущих и депозитных счетах, счетах бюджетов различных уровней и внебюджетных фондов - пассивные остатки по балансовым счетам N N 070, 071, 078, 079, 084, 088, 090, 100 (за минусом активных остатков по счету N 100) <*>, 120 (за минусом активных остатков по счету N 120) <*>, 130 - 134, 141, 142, 144, 145 (за минусом активных остатков по счету N 145) <*>, 157, 158, 17, кроме счета N 170 (за минусом активных остатков по счету N 18, кроме счета N 180) <*>, 196 <**>, 199, 20, 22, 24, 26, 28, 30, 32, 34, 36, 38, 40, 42, 44, 46, 48, 50, 52, 54, 56, 58, 60 (кроме счета N 604), 605, 614, 631, 634, 64, 671, 672 (за минусом активных остатков по счету N 672) <*>, 673, 690, 691, 692, 693, 694, 695, 696, 697, 699, 70, 710, 711 (включая зачисленные во вклады проценты и компенсации), 713, 714, 715, 717, 718, 720, 722, 724, 726, 730, 731, 732, 733, 734, 735, 736, 737, 738, 739, 74, 750, 751 (за минусом кредитов, полученных от иностранных банков), 807, 810, 811, 812 (за минусом активных остатков по б/сч. N 411 и N 412 в сумме, не превышающей пассивных остатков по отдельным лицевым счетам, открытым для брокерских операций на ОРЦБ, б/сч. N 812), 818, 819, 900, 907 (за минусом активных остатков по счету N 907) <*>, 915. (в ред. Писем ЦБ РФ от 26.04.96 N 279, от 25.04.97 N 440)

<*> Уменьшение пассивных остатков по балансовым счетам N N 100, 120, 145, 17 (кроме счета N 170), 672, 907 на величину активных остатков по счетам N N 100, 120, 145, 18 (кроме счета N 180), 672, 907 соответственно производится в пределах пассивных остатков по указанным балансовым счетам. (в ред. Письма ЦБ РФ от 25.04.97 N 440)

<**> Привлеченные банком средства, учитываемые на балансовом счете N 196 "Банковские акцепты и собственные векселя", включаются в расчет обязательных резервов, депонируемых в Центральном банке Российской Федерации, в соответствии с их сроками и действующими нормативами обязательных резервов. При этом к векселям со сроками "по предъявлении" и "во столько-то времени от предъявления" применяется норматив обязательных резервов, установленный по обязательствам "до востребования". К векселям, имеющим указание, что они подлежат оплате "по предъявлении, но не ранее определенного срока", а также векселям со сроком платежа на определенный день и "во столько-то времени от составления векселя" применяется норматив в зависимости от срока, указанного в векселе. (в ред. Писем ЦБ РФ от 26.04.96 N 279, от 25.04.97 N 440)

Примечание. Кредитные организации ведут бухгалтерский учет по Плану счетов, изложенному в письме Госбанка СССР от 21.12.89 N 254 с учетом последующих изменений и дополнений.

2.2. При определении суммы средств по балансовым счетам N N 078, 079, 634, 731, 751, 810, 812, подлежащей включению в расчет обязательных резервов, депонируемых в ЦБ РФ: (в ред. Письма ЦБ РФ от 25.04.97 N 440)

2.2.1. из пассивного остатка по балансовому счету N 079 следует исключать пассивные остатки отдельных лицевых счетов этого счета:

- гарантии, подтвержденные в иностранных банках (в размере суммы средств, перечисленных банком в обеспечение подтвержденных гарантий банку - нерезиденту, международной платежной системе) - код обозначения 0792 Приложения N 2/3 к Положению;

- депозиты, привлеченные под гарантии, в обеспечение которых требуется депонирование средств в банках - корреспондентах, включая страховые депозиты по кредитным картам и другие (в размере суммы средств, перечисленных банку - корреспонденту в обеспечение подтвержденной гарантии) - код обозначения 0791 Приложения N 2/3 к Положению; (в ред. Письма ЦБ РФ от 25.04.97 N 440)

2.2.2. из пассивного остатка по балансовому счету N 731 следует исключать пассивные остатки отдельных лицевых счетов этого счета, на которых учитываются выпущенные кредитной организацией облигации со сроком погашения свыше 5 лет и не содержащие в условиях выпуска обязательства кредитной организации - эмитента по выкупу своих облигаций ранее, чем через 5 лет (код обозначения 7311 - Приложение N 2/3); (в ред. Письма ЦБ РФ от 25.04.97 N 440)

2.2.3. из пассивного остатка по балансовому счету N 751 следует исключать сумму кредитов, полученных от иностранных банков (код обозначения 7511 - Приложение N 2/3);

2.2.4. из пассивного остатка по балансовому счету N 810 следует исключать сумму средств, выделенных Минфином РФ в 1992 году по решениям Правительства РФ для финансирования инвестиционных и конверсионных программ, а также бюджетные средства, выделенные АККОРом в 1992 году для обеспечения гарантий при льготном кредитовании крестьянских (фермерских) хозяйств (код обозначения 8101 - Приложение N 2/3); (в ред. Писем ЦБ РФ от 26.04.96 N 279, от 25.04.97 N 440)

2.2.5. из пассивного остатка по балансовому счету N 812 следует исключать сумму активных остатков по б/сч. N 411 и N 412 в размере, не превышающем суммы пассивных остатков по отдельным лицевым счетам, открытым для брокерских операций на ОРЦБ, балансового счета N 812 (код обозначения 8121 - Приложение N 2/2 к настоящему Положению). При этом следует иметь в виду, что балансовые счета N 411, N 412 могут быть открыты только на балансах кредитных организаций - участников Расчетных центров ОРЦБ, осуществляющих операции на ОРЦБ на основании заключенного договора с Банком России;

2.2.6. из пассивного остатка по балансовому счету N 078 "Кредиторы по аккредитивам по иностранным операциям" следует исключать пассивные остатки отдельных лицевых счетов этого счета, на которых учитываются залоговые депозиты, привлеченные в процессе обслуживания аккредитивов (в размере суммы средств, перечисленных иностранному банку в покрытие импортного аккредитива) - код обозначения 0781 Приложения N 2/3 к Положению; (в ред. Письма ЦБ РФ от 25.04.97 N 440)

2.2.7. из пассивного остатка по балансовому счету N 634 "Счета нерезидентов типа "С" в валюте Российской Федерации" следует исключать пассивные остатки отдельных лицевых счетов этого счета по учету средств уполномоченных банков - нерезидентов - код обозначения 6341 Приложения N 2/3 к Положению. (в ред. Письма ЦБ РФ от 25.04.97 N 440)

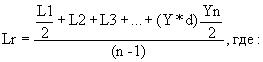
2.3. Сумма остатков привлеченных средств, используемых при расчете обязательных резервов, рассчитывается по формуле средней хронологической за отчетный период (месяц).

Средняя хронологическая ежедневных балансовых остатков привлеченных за отчетный месяц средств, учитываемых на счетах, участвующих в расчете обязательных резервов, рассчитывается по следующей формуле:

Ld - средние остатки привлеченных средств, используемых при расчете обязательных резервов, за отчетный период (месяц);

L1 - сумма остатков привлеченных средств, используемых при расчете обязательных резервов, на первое число отчетного периода (месяца);

Ln - сумма остатков привлеченных средств, используемых при расчете обязательных резервов, за последний календарный день отчетного периода (на первое число месяца, следующего за отчетным);

n - число календарных дней в расчетном периоде (с первого числа отчетного месяца по первое число месяца, следующего за отчетным, включительно), равное "31".

При расчете обязательных резервов количество дней в месяце условно принимается за 30. В месяцах, имеющих 31 день, остатки привлеченных средств на 31 число в расчет не принимаются, а в феврале остаток на последнее число месяца повторяется столько раз, сколько дней недостает до 30. (в ред. Письма ЦБ РФ от 25.04.97 N 440)

2.4. Расчет размера обязательных резервов, подлежащих депонированию в Центральном банке Российской Федерации, составляется по форме Приложения N 1 к настоящему Положению (в 2 экземплярах) с указанием фактически зарезервированной суммы на счетах обязательных резервов и приложением (в случае необходимости доперечисления средств на указанные счета) платежных поручений с отметкой "перечисление недовзноса в обязательные резервы" (выписанных в соответствии с банковскими правилами) на сумму недовзноса, а также Расшифровок по балансовым счетам N N 078, 079, 634, 731, 751, 810, 812 (Приложения N N 2/2, 2/3 к Положению). Территориальное учреждение (расчетно - кассовый центр) Банка России после осуществления проверки Расчета передает 2 экземпляр Расчета кредитной организации.

Расчет должен содержать данные об остатках по каждому счету на каждый календарный день отчетного периода (кроме остатков на 31 число) по форме Приложения N 2 к настоящему Положению. При этом сумма средств, подлежащих депонированию по счетам в валюте Российской Федерации, уменьшается на среднюю хронологическую величину наличных денежных средств в кассе кредитной организации, учитываемых на балансовых счетах N N 031, 033, 035, 036 - в пределах установленного территориальным учреждением (расчетно - кассовым центрам) Банка России лимита (включая лимиты, установленные филиалам данной кредитной организации по месту их нахождения) - код обозначения 0315 (Приложение N 2/4 к настоящему Положению).

При расчете средней хронологической величины наличных денежных средств в кассе кредитной организации количество дней в месяце условно принимается за 30. В месяцах, имеющих 31 день, остатки средств, учитываемые на балансовых счетах N N 031, 033, 035, 036, на 31 число в расчет не принимаются, а в феврале остатки на последнее число месяца повторяются столько раз, сколько дней недостает до 30. Территориальные учреждения (расчетно - кассовые центры) Банка России, устанавливающие филиалам кредитных организаций минимально допустимый остаток наличных денег в операционной кассе на конец дня, должны сообщать территориальным учреждениям (расчетно - кассовым центрам) Банка России по месту нахождения головных кредитных организаций размеры установленного лимита. (в ред. Телеграммы ЦБ РФ от 06.06.97 N 49-97)

Расчеты регулирования размера обязательных резервов, подлежащих депонированию в Центральном банке Российской Федерации, Расшифровки по балансовым счетам N N 078, 079, 634, 731, 751, 810, 812 (Приложения N N 1, 2, 2/2, 2/3 к Положению), а также другие документы, типовые формы которых являются приложениями к настоящему Положению, должны быть подписаны должностными лицами кредитной организации, подписи которых занесены в карточку образцов подписей, хранящуюся в территориальном учреждении (расчетно - кассовом центре) Банка России.

При несоответствии подписей на документах, составленных по форме Приложений к настоящему Положению, образцам подписей, занесенным в карточку образцов подписей, хранящуюся в территориальном учреждении (расчетно - кассовом центре) Банка России, указанные документы к исполнению не принимаются и возвращаются кредитной организации.

Регулирование размера обязательных резервов производится только при представлении документов, оформленных в установленном порядке. (в ред. Писем ЦБ РФ от 26.04.96 N 279, от 25.04.97 N 440)

2.4.1. При определении срока привлечения средств во вклады (депозиты) физических и юридических лиц следует исходить из срока, определенного в договоре. По окончании срока договора в тех случаях, когда физическое или юридическое лицо не требует возврата суммы вклада или депозита, договор считается продленным на условиях вклада (депозита) "до востребования" (если договором не предусмотрено иное), и сумма вклада (депозита) соответствующими бухгалтерскими проводками переносится со счета по учету срочных обязательств на счет по учету средств "до востребования и сроком до 30 дней включительно". Указанное изменение учета вклада (депозита) осуществляется на следующий день после окончания срока договора.

При заключении дополнительного соглашения о продлении договора банковского вклада (депозита), являющегося неотъемлемой частью договора банковского вклада (депозита), для расчета обязательных резервов срок привлечения средств по вкладу (депозиту) определяется исходя из срока, вытекающего из дополнительного соглашения. При этом сумма вклада (депозита) учитывается на соответствующем счете в зависимости от срока, вытекающего из дополнительного соглашения.

При невыполнении кредитной организацией обязательств по возврату суммы вклада (депозита) физическому или юридическому лицу по окончании срока договора банковского вклада (депозита) в связи с отсутствием средств на ее корреспондентском счете суммы невозвращенных вкладов (депозитов) соответствующими бухгалтерскими проводками переносятся на счета по учету вкладов (депозитов) "до востребования и сроком до 30 дней включительно".

В случае, если срок вклада (депозита) по сберегательному (депозитному) сертификату истек, сумма вклада (депозита), удостоверенная сберегательным (депозитным) сертификатом, на следующий день после наступления даты востребования вклада (депозита) по сертификату соответствующими бухгалтерскими проводками переносится на счет "до востребования и сроком до 30 дней включительно" и включается в расчет обязательных резервов, подлежащих депонированию в Банке России, исходя из норматива, установленного по счетам "до востребования и сроком до 30 дней включительно".

Банковские векселя, сроки предъявления к оплате по которым истекли, на следующий день после наступления срока платежа по векселям соответствующими бухгалтерскими проводками переносятся с лицевых счетов по учету срочных обязательств на лицевые счета по учету средств "до востребования и сроком до 30 дней включительно" и включаются в расчет обязательных резервов, подлежащих депонированию в Банке России, исходя из норматива, установленного по счетам "до востребования и сроком до 30 дней включительно".

Примечание. Возможность изменения балансового счета по учету вкладов (депозитов), сберегательных (депозитных) сертификатов и условий выплаты процентов по ним должна быть предусмотрена договором банковского вклада (по действующим договорам - дополнительным соглашением к договору банковского вклада). (в ред. Письма ЦБ РФ от 25.04.97 N 440)

2.5. При проведении ежемесячного регулирования размера обязательных резервов кредитной организации, подлежащих депонированию в Банке России, территориальное учреждение (расчетно - кассовый центр) Банка России со своей стороны заполняет строки 3 "Фактически внесено обязательных резервов на дату, установленную для представления Расчета - Всего", 3.1 "по обязательствам в рублях", 3.2 "по обязательствам в иностранной валюте" графы "по данным территориального учреждения (РКЦ) ЦБ РФ" Приложения N 1 к Положению на дату фактического проведения регулирования по Расчету. Территориальное учреждение (расчетно - кассовый центр) Банка России сверяет данные Расчета с размером фактически зарезервированных средств по соответствующей кредитной организации на дату фактического проведения регулирования по Расчету. При их соответствии требования считаются выполненными кредитной организацией, и ей передается 2 экземпляр проверенного Расчета.

В случае их несоответствия территориальное учреждение (расчетно - кассовый центр) Банка России в течение двух рабочих дней, не считая дня, установленного для представления Расчета, производит соответствующий перерасчет с кредитной организацией. При этом не позднее первого дня периода, установленного для перерасчета с кредитной организацией, территориальное учреждение (расчетно - кассовый центр) Банка России передает кредитной организации 2 экземпляр исправленного Расчета, на основании которого кредитная организация не позднее последнего дня периода, установленного для перерасчета с территориальным учреждением (расчетно - кассовым центром) Банка России, обязана представить новое платежное поручение с отметкой "перечисление недовзноса в обязательные резервы" взамен ранее представленного, либо платежное поручение на перечисление суммы недовзноса обязательных резервов в дополнение к ранее представленному платежному поручению. (в ред. Письма ЦБ РФ от 25.04.97 N 440)

2.5.1. При недовзносе средств кредитная организация производит доперечисление обязательных резервов с корреспондентского счета, открытого в территориальном учреждении (расчетно - кассовом центре) Банка России, на основании платежного поручения с отметкой "перечисление недовзноса в обязательные резервы" (выписанного в соответствии с банковскими правилами) в течение двух рабочих дней после установленного срока представления Расчета. Включение сумм обязательных резервов в сводные платежные поручения запрещается. (в ред. письма ЦБ РФ от 25.04.97 N 440)

2.5.2. В случае перевзноса средств территориальное учреждение (расчетно - кассовый центр) Банка России возвращает на корреспондентский счет кредитной организации излишне внесенную сумму обязательных резервов на основании соответствующего распоряжения не позднее двух рабочих дней после установленного срока представления Расчета. (в ред. Письма ЦБ РФ от 25.04.97 N 440)

2.5.3. Кредитной организации предоставляется право проведения зачета между причитающимися по результатам регулирования платежами по балансовым счетам N 815 и N 680 (N 816 и N 681) на основании ее письменного обращения в соответствующее территориальное учреждение (расчетно - кассовый центр) Банка России, составленного в двух экземплярах по форме Приложения N 3.

При проведении зачета делаются следующие внутренние бухгалтерские проводки в РКЦ Банка России и кредитной организации:

- в РКЦ Банка России:

Д-т сч. 815

К-т сч. 680

или

Д-т сч. 680

К-т сч. 815

- в кредитной организации:

Д-т сч. 681

К-т сч. 816

или

Д-т сч. 816

К-т сч. 681 (в ред. Письма ЦБ РФ от 25.04.97 N 440)

3. ПОРЯДОК БУХГАЛТЕРСКОГО УЧЕТА ОБЯЗАТЕЛЬНЫХ РЕЗЕРВОВ

3.1. Учет движения обязательных резервов кредитной организации, депонированных в Банке России, ведется в кредитной организации на балансовом счете N 816 "Обязательные резервы по счетам в валюте Российской Федерации, перечисленные в Банк России" - активный и балансовом счете N 681 "Обязательные резервы по счетам в иностранной валюте, перечисленные в Банк России" - активный.

В территориальных учреждениях (расчетно - кассовых центрах) Банка России учет поступающих и возвращаемых сумм средств обязательных резервов ведется на балансовом счете N 815 "Обязательные резервы по счетам в валюте Российской Федерации, депонированные в Банке России" - пассивный и балансовом счете N 680 "Обязательные резервы по счетам в иностранной валюте, депонированные в Банке России" - пассивный, по каждой кредитной организации в отдельности. (в ред. Письма ЦБ РФ от 25.04.97 N 440)

3.2. Формирование обязательных резервов производится путем перечисления денежных средств с корреспондентского счета кредитной организации, открытого в расчетно - кассовом центре Банка России, в валюте Российской Федерации. Указанные перечисления производятся до осуществления иных платежей в пределах остатка средств на корреспондентском счете отдельным платежным поручением с отметкой "формирование обязательных резервов" (выписанным в соответствии с банковскими правилами) при их первичном перечислении вновь созданной кредитной организацией и платежным поручением с отметкой "перечисление недовзноса в обязательные резервы" (выписанным в соответствии с банковскими правилами) при последующих перечислениях. Включение сумм обязательных резервов в сводные платежные поручения запрещается. (в ред. Письма ЦБ РФ от 25.04.97 N 440)

При это делаются следующие бухгалтерские проводки:

3.2.1. Если кредитная организация не имеет филиалов

1) при перечислении обязательных резервов Банку России

- в кредитной организации:

Д-т сч. 816, 681

К-т сч. 161

- в расчетно - кассовом центре Банка России:

Д-т сч. 161

К-т сч. 815, 680

2) при возврате кредитной организации излишне перечисленных обязательных резервов

- в кредитной организации:

Д-т сч. 161

К-т сч. 816, 681

- в расчетно - кассовом центре Банка России:

Д-т сч. 815, 680

К-т сч. 161

3.2.2. Если кредитная организация имеет филиалы, то при перечислении филиалом средств головной кредитной организации для депонирования обязательных резервов в Банке России делаются следующие бухгалтерские проводки:

1) филиалом кредитной организации (филиал также может открывать у себя на балансе счета N N 816, 681)

Д-т сч. 816, 681

К-т сч. 161

- в головной кредитной организации по получении платежа от филиала:

Д-т сч. 161

К-т сч. 904

2) при перечислении обязательных резервов Банку России

- в головной кредитной организации:

Д-т сч. 904 - на сумму, перечисленную филиалом

Д-т сч. 816, 681 - на сумму обязательных резервов головной кредитной организации

К-т сч. 161 - на всю сумму обязательных резервов кредитной организации

- в расчетно - кассовом центре Банка России:

Д-т сч. 161

К-т сч. 815, 680

3) при возврате кредитной организации излишне перечисленных обязательных резервов

- в расчетно - кассовом центре Банка России:

Д-т сч. 815, 680

К-т сч. 161

- в головной кредитной организации:

Д-т сч. 161

К-т сч. 816, 681 - на сумму возврата обязательных резервов головной кредитной организации

и сч.

Д-т сч. 161

К-т сч. 904 - на сумму возврата обязательных резервов филиалу кредитной организации

4) при возврате головной кредитной организацией филиалу излишне перечисленных обязательных резервов

- в головной кредитной организации:

Д-т сч. 904

К-т сч. 161

- в филиале кредитной организации:

Д-т сч. 161

К-т сч. 816, 681.

3.4. Территориальные учреждения (расчетно - кассовые центры) Банка России обеспечивают контроль за соответствием остатков средств по учету обязательных резервов балансовых счетов N 816 и N 815, а также на балансовых счетах N 681 и N 680. По кредитным организациям, имеющим филиалы, контроль осуществляется по сводному балансу.

В случае расхождений остатков территориальные учреждения (расчетно - кассовые центры) Банка России изучают причины их образования и принимают меры к приведению в соответствие остатков средств на указанных счетах. (в ред. Письма ЦБ РФ от 25.04.97 N 440)

4. ПОРЯДОК ВЫПОЛНЕНИЯ ОБЯЗАТЕЛЬНЫХ РЕЗЕРВНЫХ ТРЕБОВАНИЙ КРЕДИТНЫМИ ОРГАНИЗАЦИЯМИ, ОТВЕЧАЮЩИМИ КРИТЕРИЯМ, УСТАНОВЛЕННЫМ БАНКОМ РОССИИ

В целях предоставления возможностей кредитным организациям по внутримесячному регулированию их ликвидности устанавливается следующий порядок выполнения обязательных резервных требований кредитными организациями.

4.1. Кредитная организация в любой рабочий день может обратиться в территориальное учреждение (расчетно - кассовый центр) Банка России с просьбой (заявлением) о предоставлении ей в течение отчетного года права на внутримесячное (на один и более дней в период с 5 по 25 число каждого месяца) снижение нормативов обязательных резервов в размере не более 5% от суммы обязательных резервов, депонируемых в Банке России на балансовых счетах N 815 и N 680, исходя из Расчета обязательных резервов за отчетный месяц. (в ред. Письма ЦБ РФ от 25.04.97 N 440)

4.2. Указанное право предоставляется кредитной организации, имеющей ежедневный сводный баланс по кредитной организации в целом и выполняющей в течение не менее 6 месяцев до момента обращения в Банк России с указанной просьбой следующие требования:

а) своевременно и в полном объеме депонирующая обязательные резервы в Банке России;

б) соблюдающая обязательные экономические нормативы;

в) не имеющая просроченной задолженности по кредитам, предоставленным Банком России, и процентам по ним, а также просроченной задолженности по обязательным платежам, установленным законодательством, и другим обязательствам (не имеющая картотеки к внебалансовому счету N 9920 и N 9919);

г) имеющая аудиторское заключение по публикуемой годовой отчетности;

д) своевременно представляющая бухгалтерскую и статистическую отчетность Банку России;

е) не допускающая других нарушений банковского законодательства, нормативных актов и предписаний Банка России.

4.3. Для получения разрешения на внутримесячное снижение нормативов обязательных резервов кредитная организация представляет в территориальное учреждение (расчетно - кассовый центр) Банка России следующие документы:

1) Заявление с просьбой о внутримесячном снижении нормативов обязательных резервов в двух экземплярах по форме Приложения N 4;

2) Расчет обязательных резервов, подлежащих депонированию в Центральном банке РФ за отчетный период (месяц), в соответствии с п. 2.4 настоящего Положения;

3) Расчет (Прогноз) суммы остатков обязательных резервов, учитываемых на балансовых счетах N 815 и N 680 (N 816 и N 681), по формуле средней хронологической за текущий месяц - Приложение N 5;

4) Платежное поручение на доперечисление средств в обязательные резервы с отметкой "перечисление недовзноса в обязательные резервы", выписанное в соответствии с банковскими правилами (если кредитная организация должна доперечислить обязательные резервы по результатам регулирования за отчетный месяц), со сроком исполнения в день представления Расчета обязательных резервов (при необходимости). (в ред. Письма ЦБ РФ от 25.04.97 N 440)

4.4. Территориальное учреждение (расчетно - кассовый центр) Банка России рассматривает заявление кредитной организации в случае представления ею всех необходимых документов (в соответствии с п. 4.3 настоящего Положения) и выносит свое решение в течение следующего рабочего дня.

При положительном решении территориальное учреждение (расчетно - кассовый центр) Банка России заполняет вторую часть Заявления (в двух экземплярах) и передает один полностью оформленный экземпляр Заявления кредитной организации, второй оставляет у себя.

В случае принятия отрицательного решения территориальное учреждение (расчетно - кассовый центр) Банка России обязано письмом (по форме Приложения N 6) сообщить кредитной организации о своем решении на следующий рабочий день (после принятия указанного решения). (в ред. Письма ЦБ РФ от 25.04.97 N 440)

4.5. Если кредитная организация выполняет все требования, указанные в п. 4.2 настоящего Положения, и представила все необходимые документы, указанные в п. 4.3 настоящего Положения, она получает право на временное снижение нормативов обязательных резервов внутри месяца отчетного года (на один и более дней в период с 5 по 25 число каждого месяца) в размере не более 5 процентов от суммы обязательных резервов, депонируемых в Банке России за отчетный период.

При этом территориальное учреждение (расчетно - кассовый центр) Банка России переводит в конце операционного дня, предшествующего разрешенному периоду снижения нормативов обязательных резервов со счетов 815, 680 средства в установленном размере (не более 5 процентов от суммы обязательных резервов, депонируемых в Банке России за отчетный период) на корреспондентский счет кредитной организации на основании Заявки кредитной организации (в двух экземплярах) по форме Приложения N 7 к настоящему Положению, к которой прилагается Справка об остатках обязательных резервов по форме Приложения N 7/1, и соответствующего распоряжения и информирует об этом Сводный экономический департамент Банка России (на следующий рабочий день).

В последний день периода, в течение которого кредитной организации по ее Заявке были снижены нормативы обязательных резервов, кредитная организация производит возврат разрешенной суммы снижения обязательных резервов платежным поручением (выписанным в соответствии с банковскими правилами) с отметкой "доперечисление обязательных резервов. (в ред. Письма ЦБ РФ от 25.04.97 N 440)

4.6. Не позднее 26 числа каждого месяца кредитная организация обязана составлять Расчет (Окончательный) суммы остатков обязательных резервов, учитываемых на балансовых счетах N 815 и N 680 (N 816 и N 681), по формуле средней хронологической за текущий месяц (Приложение N 8).

В период с 26 по 30 число текущего месяца (по состоянию на 1 число следующего месяца) кредитная организация обязана внести платежным поручением с отметкой "перечисление недовзноса в обязательные резервы" (выписанным в соответствии с банковскими правилами) недостающую сумму обязательных резервов с тем, чтобы сумма остатков обязательных резервов (учитываемых на балансовых счетах N 815 и N 680 (N 816 и N 681)) в текущем месяце, рассчитанная по формуле средней хронологической (указываемая в Расчете (Окончательном) по форме Приложения N 8) была эквивалентна сумме, указанной в Расчете (Прогнозе) по форме Приложения N 5.

Допускается доперечисление средств обязательных резервов частями в несколько этапов.

В случае недоперечисления обязательных резервов в установленные сроки кредитная организация на 6 месяцев лишается предоставленного ей Банком России права внутримесячного снижения нормативов обязательных резервов. (в ред. Письма ЦБ РФ от 25.04.97 N 440)

4.7. Снижение нормативов резервирования для кредитной организации в период с 5 по 25 число месяца оформляется следующими бухгалтерскими проводками:

- в расчетно - кассовом центре Банка России:

Д-т сч. 815, 680

К-т сч. 161

- в кредитной организации:

Д-т сч. 161

К-т сч. 816, 681.

4.8. Перевод средств, связанный с внутримесячным снижением нормативов обязательных резервов, кредитной организацией в территориальное учреждение (расчетно - кассовый центр) Банка России оформляется следующими бухгалтерскими проводками:

- в расчетно - кассовом центре Банка России:

Д-т сч. 161

К-т сч. 815, 680

- в кредитной организации:

Д-т сч. 816, 681

К-т сч. 161. (в ред. Письма ЦБ РФ от 25.04.97 N 440)

4.9. Ежемесячно кредитная организация, получившая право на внутримесячное снижение нормативов обязательных резервов, представляет в территориальное учреждение (расчетно - кассовый центр) Банка России следующие документы:

1) Расчет обязательных резервов, подлежащих депонированию в территориальном учреждении (расчетно - кассовом центре) Банка России за отчетный месяц, в соответствии с п. 2.4 настоящего Положения - в срок, установленный для регулирования обязательных резервов;

2) Расчет (Прогноз) суммы остатков обязательных резервов, учитываемых на балансовых счетах N 815 и N 680 (N 816 и N 681), по формуле средней хронологической на текущий месяц (Приложение N 5) - в срок, установленный для регулирования обязательных резервов;

3) Справку об остатках обязательных резервов в текущем месяце по форме Приложения N 7/1 - в срок, установленный для регулирования обязательных резервов;

4) Платежное поручение на доперечисление средств в обязательные резервы с отметкой "перечисление недовзноса в обязательные резервы", выписанное в соответствии с банковскими правилами (если кредитная организация должна доперечислить обязательные резервы по результатам регулирования за отчетный месяц), со сроком исполнения в день представления Расчета обязательных резервов - в срок, установленный для регулирования обязательных резервов;

5) Заявку (заявки) на внутримесячное снижение нормативов обязательных резервов в двух экземплярах в период с 5 по 25 числа месяца по форме Приложения N 7 - в течение текущего месяца;

6) Расчет (Окончательный) суммы остатков обязательных резервов, учитываемых на балансовых счетах N 815 и N 680 (N 816 и N 681), по формуле средней хронологической за текущий месяц по форме Приложения N 8 - к 26 числу каждого месяца. (в ред. Письма ЦБ РФ от 25.04.97 N 440)

5. ПОРЯДОК ПЕРЕОФОРМЛЕНИЯ ОБЯЗАТЕЛЬНЫХ РЕЗЕРВОВ ПРИ РЕОРГАНИЗАЦИИ КРЕДИТНОЙ ОРГАНИЗАЦИИ

5.1. При реорганизации кредитной организации (слиянии, присоединении, разделении, выделении, преобразовании), проводимой в соответствии со ст. 57 Гражданского кодекса Российской Федерации, депонированные ранее в Банке России обязательные резервы на корреспондентский счет кредитной организации не возвращаются.

5.2. При слиянии / разделении, выделении и преобразовании кредитной организации территориальные учреждения (расчетно - кассовые центры) Банка России производят переоформление ранее депонированных обязательных резервов на вновь образованную кредитную организацию / вновь образованные кредитные организации соответствующими внутренними бухгалтерскими проводками по счетам балансового счета N 815 и N 680, если вновь образованная(ые) кредитная(ые) организация(и) обслуживается(ются) в одном РКЦ Банка России, либо на основании мемориальных ордеров и авизо между Расчетно - кассовыми центрами Банка России.

Указанные операции оформляются следующими бухгалтерскими проводками:

1) При слиянии нескольких кредитных организаций в одну кредитную организацию происходит объединение остатков, числящихся на балансовых счетах N 815 и N 680.

а) если счета обязательных резервов велись в разных РКЦ Банка России, то:

- в расчетно - кассовом центре Банка России по месту ведения счетов ликвидируемых кредитных организаций:

Д-т сч. 815, 680 - отдельные лицевые счета ликвидируемых кредитных организаций

К-т сч. 830

- в расчетно - кассовом центре Банка России по месту открытия счета кредитной организации, созданной путем слияния:

Д-т сч. 840

К-т сч. 815, 680 - отдельный лицевой счет кредитной организации, созданной путем слияния

б) если счета обязательных резервов велись в одном расчетно - кассовом центре Банка России, то:

Д-т сч. 815, 680 - отдельные лицевые счета ликвидируемых кредитных учреждений

К-т сч. 815, 680 - отдельный лицевой счет кредитной организации, созданной путем слияния

2) При разделении, выделении и преобразовании кредитной организации производится разделение остатков, числящихся на балансовых счетах N N 815, 680.

а) если счета обязательных резервов будут вестись в разных расчетно - кассовых центрах Банка России, то:

- в расчетно - кассовом центре Банка России, где обслуживается основная кредитная организация:

Д-т сч. 815, 680 - в части выделившегося подразделения

К-т сч. 830

- в расчетно - кассовом центре Банка России по месту открытия счета вновь созданной кредитной организации:

Д-т сч. 840

К-т сч. 815, 680 - отдельный лицевой счет созданной кредитной организации

б) если счета обязательных резервов будут вестись в одном расчетно - кассовом центре Банка России, то:

Д-т сч. 815, 680 - в части выделившегося подразделения

К-т сч. 815, 680 - отдельный лицевой счет созданной кредитной организации. (в ред. Письма ЦБ РФ от 25.04.97 N 440)

5.3. При присоединении одной кредитной организации к другой ранее депонированные обязательные резервы переоформляются на ту кредитную организацию, к которой присоединилась кредитная организация в порядке, изложенном в подпункте 1 п. 5.2 настоящего Положения.

6. КОНТРОЛЬ БАНКА РОССИИ ЗА ВЫПОЛНЕНИЕМ КРЕДИТНЫМИ ОРГАНИЗАЦИЯМИ ОБЯЗАТЕЛЬНЫХ РЕЗЕРВНЫХ ТРЕБОВАНИЙ

6.1. Территориальное учреждение (расчетно - кассовый центр) Банка России (его уполномоченные подразделения) не реже одного раза в квартал производит сплошную или выборочную проверку правильности составления кредитной организацией Расчета размера обязательных резервов, подлежащих депонированию в ЦБ РФ, и достоверности представленных в нем сведений с использованием ежедневных балансов кредитной организации и других документов и материалов, имеющихся у кредитной организации.

Указанную проверку проводят соответствующие подразделения территориального учреждения (расчетно - кассового центра) Банка России, на которые возложено исполнение этих обязанностей на основании соответствующего приказа (распоряжения) по территориальному учреждению (расчетно - кассовому центру) Банка России.

Руководители территориального учреждения (расчетно - кассового центра) Банка России и их заместители вправе поручать проведение проверок кредитных организаций по вопросу правильности составления расчета обязательных резервов, подлежащих депонированию в Банке России, помимо лиц, уполномоченных проводить проверки кредитных организаций в соответствии с Инструкцией ЦБ РФ от 19 февраля 1996 г. N 34, также сотрудникам других структурных подразделений территориального учреждения (расчетно - кассового центра) Банка России, которые осуществляют контроль за формированием обязательных резервов. (в ред. Письма ЦБ РФ от 25.04.97 N 440)

6.2 В соответствии со ст. 38 Федерального закона "О Центральном банке Российской Федерации (Банке России)" в случае невыполнения кредитной организацией требований настоящего Положения территориальное учреждение (расчетно - кассовый центр) Банка России взыскивает сумму недовзноса в обязательные резервы, а также штрафы за нарушение порядка резервирования в установленном им размере, но не более двойной ставки рефинансирования. Взыскание суммы недовзноса в обязательные резервы и штрафов за нарушение порядка резервирования осуществляется на основании письменных распоряжений (форма произвольная), подписанных руководителем территориального учреждения Банка России, либо руководящим работником территориального учреждения (расчетно - кассового центра) Банка России, уполномоченным на это руководителем территориального учреждения Банка России, по результатам регулирования обязательных резервов с отметкой "взыскание недовзноса в обязательные резервы", "взыскание штрафа за нарушение порядка резервирования" соответственно. (в ред. Писем ЦБ РФ от 26.04.96 N 279, от 25.04.97 N 440)

6.2.1. В случае недоперечисления обязательных резервов по счетам привлеченных средств в рублях и иностранной валюте в установленный пунктом 2.5 настоящего Положения срок территориальное учреждение (расчетно - кассовый центр) Банка России на следующий рабочий день до проведения иных операций по корреспондентскому счету взыскивает с корреспондентского счета кредитной организации сумму недовнесенных средств (в пределах имеющихся средств на корреспондентском счете). Взыскание недовзноса обязательных резервов производится до полного его возмещения. (в ред. Письма ЦБ РФ от 25.04.97 N 440)

6.2.2. С суммы недовнесенных средств в обязательные резервы территориальное учреждение (расчетно - кассовый центр) Банка России взыскивает с кредитной организации штраф за каждый день недовзноса в порядке и размере, установленном пунктом 6.2.4 настоящего Положения. Взыскание с кредитной организации штрафа производится с ее корреспондентского счета (в пределах средств на корреспондентском счете) в очередности, установленной законодательством, а внутри группы - в порядке календарной очередности.

Взыскание суммы недовзноса в обязательные резервы и штрафов за нарушение порядка резервирования производится территориальным учреждением (расчетно - кассовым центром) Банка России, начиная с третьего рабочего дня после установленного срока представления Расчета.

При наличии (сохранении) недовзноса в обязательные резервы и наступлении срока очередного регулирования размера обязательных резервов <*> на следующую отчетную дату территориальное учреждение (расчетно - кассовый центр) Банка России выписывает распоряжение на взыскание суммы недовзноса, образовавшегося по результатам вновь проведенного регулирования, а также распоряжение на взыскание штрафа за нарушение порядка резервирования. При этом взыскание недовзноса в обязательные резервы по результатам предыдущего регулирования и начисление штрафов за него прекращается. (в ред. Письма ЦБ РФ от 25.04.97 N 440)

<*> Под сроком очередного регулирования следует понимать дату, установленную кредитной организации для представления баланса и Расчета плюс два рабочих дня, в течение которых производится перерасчет. (в ред. Письма ЦБ РФ от 25.04.97 N 440)

Суммы штрафов за нарушение порядка резервирования, начисленные до проведения очередного регулирования, подлежат взысканию в полном объеме.

Допущенный недовзнос средств в обязательные резервы на новую отчетную дату является новым (очередным) нарушением порядка обязательного резервирования.

В случае, если у кредитной организации имеется (сохраняется) недовзнос в обязательные резервы по результатам предыдущего регулирования при наступлении срока очередного регулирования размера обязательных резервов на следующую отчетную дату, и кредитная организация не представила Расчет регулирования размера обязательных резервов, а также другие необходимые документы, территориальное учреждение (расчетно - кассовый центр) Банка России продолжает взыскание суммы недовзноса в обязательные резервы по результатам предыдущего регулирования и начисление штрафов за нарушение порядка резервирования до полного его возмещения.

При представлении кредитной организацией Расчета регулирования размера обязательных резервов позднее срока, установленного для проведения регулирования, территориальное учреждение (расчетно - кассовый центр) Банка России в день получения Расчета сверяет данные Расчета с размером фактически зарезервированных средств на этот день и производит перерасчет с кредитной организацией. При выявлении недовзноса в обязательные резервы в случае, если последний не внесен кредитной организацией в день представления Расчета платежным поручением, территориальное учреждение (расчетно - кассовый центр) Банка России на следующий рабочий день после представления Расчета списывает недовзнос в обязательные резервы в порядке, предусмотренном в подпункте 6.2.1 Положения, а также осуществляет перерасчет суммы штрафов за нарушение порядка резервирования, начиная с даты, установленной для начисления и взыскания штрафов за нарушение порядка резервирования, т.е. с третьего рабочего дня, после установленного срока представления Расчета на соответствующую отчетную дату. (в ред. Письма ЦБ РФ от 25.04.97 N 440)

6.2.3. Ежедневный учет сумм, недовнесенных в обязательные резервы, а также начисленных, но не уплаченных штрафов за нарушение порядка резервирования, осуществляется внесистемно (без отражения в аналитическом и синтетическом учете). Начисление штрафов производится за каждый календарный день недовзноса обязательных резервов до полного его возмещения. Пример расчета суммы штрафа приводится в Приложении N 9.

Списание средств, недовнесенных в обязательные резервы, производится мемориальным ордером, выписываемым на основании распоряжения руководителя территориального учреждения (расчетно - кассового центра) Банка России с отметкой "взыскание недовзноса в обязательные резервы". На обратной стороне распоряжения указывается сумма погашенной задолженности по обязательным резервам и новый остаток недовзноса в обязательные резервы.

Списание с корреспондентского счета кредитной организации штрафов за нарушение порядка резервирования производится мемориальным ордером, выписываемым на основании распоряжения руководителя территориального учреждения (расчетно - кассового центра) Банка России с отметкой "взыскание штрафа за нарушение порядка резервирования". (в ред. Письма ЦБ РФ от 25.04.97 N 440)

6.2.4. Размер штрафа устанавливается территориальным учреждением (расчетно - кассовым центром) Банка России исходя из количества допущенных кредитной организацией нарушений сроков и полноты депонирования обязательных резервов в течение календарного года, начиная с 1 января, и длительности задолженности по обязательным резервам в днях:

а) при нарушении сроков и полноты депонирования обязательных резервов один раз сроком не свыше двух календарных дней - в размере 1,3 ставки рефинансирования Банка России, деленной на 360, за каждый день. За каждый день недовзноса, свыше двух календарных дней - 1,3 ставки рефинансирования Банка России, деленной на 360, за каждый из первых двух дней, 1,5 ставки рефинансирования Банка России, деленной на 360 - за каждый из всех последующих дней недовзноса;

б) при повторном нарушении сроков и полноты депонирования обязательных резервов штраф взыскивается в размере 1,5 ставки рефинансирования Банка России, деленной на 360, за каждый из первых двух дней недовзноса, двойной ставки рефинансирования, деленной на 360 - за каждый из всех последующих дней;

в) при третьем и последующих нарушениях штраф от суммы недовнесенных средств взыскивается в размере двойной ставки рефинансирования Банка России, деленной на 360, за каждый день недовзноса.

Если в течение периода, в котором кредитная организация имела недовзнос обязательных резервов, ставка рефинансирования Банка России изменялась, то с момента ее введения начисление штрафа производится исходя из новой ставки.

Начисление суммы штрафа производится начиная с третьего рабочего дня после установленного срока представления Расчета регулирования размера обязательных резервов в территориальное учреждение (расчетно - кассовый центр) Банка России (в ред. Письма ЦБ РФ от 25.04.97 N 440)

6.2.5. Кроме того, в случае невыполнения требований о своевременном и полном перечислении обязательных резервов, несвоевременного представления Расчета регулирования размера обязательных резервов, недостоверности сведений, содержащихся в Расчете и других необходимых документах Банк России имеет право:

а) не предоставлять таким банкам ломбардные и другие кредиты;

б) не принимать депозиты у таких кредитных организаций;

в) применять иные меры воздействия, предусмотренные статьями 74 и 75 Федерального закона "О Центральном банке Российской Федерации (Банке России)", вплоть до отзыва лицензии на осуществление банковских операций. (в ред. Письма ЦБ РФ от 25.04.97 N 440)

6.2.6. Сумма уплаченного штрафа отражается кредитной организацией на соответствующем лицевом счете балансового счета N 979 "Штрафы, пени, неустойки уплаченные".

Территориальные учреждения (расчетно - кассовые центры) Банка России суммы взысканного штрафа зачисляют на соответствующий лицевой счет балансового счета N 969 "Штрафы, пени, неустойки полученные".

Взысканная сумма недовнесенных обязательных резервов отражается соответственно на балансовых счетах N 816 и N 681 кредитной организации и на балансовых счетах N 815 и N 680 Банка России. (в ред. Письма ЦБ РФ от 25.04.97 N 440)

6.2.7. Если в результате проверки, проведенной территориальным учреждением (расчетно - кассовым центром) Банка России, установлен факт неправильного составления Расчета регулирования размера обязательных резервов, недостоверности сведений, представленных в Расчете и других необходимых документах, то в течение пяти календарных дней, не считая дня подписания справки (акта) о проверке, производится соответствующий перерасчет с кредитной организацией. При этом по результатам проверки на основании справки (акта) о проверке (составленной в 2-х экземплярах), подписанной со стороны территориального учреждения (расчетно - кассового центра) Банка России ответственным за проведение проверки лицом и со стороны кредитной организации - руководителем и главным бухгалтером кредитной организации, кредитная организация заполняет в 2-х экземплярах исправленный Расчет регулирования размера обязательных резервов (по форме Приложения N 1 к Положению) за соответствующий период и представляет его (а также другие необходимые документы) в территориальное учреждение (расчетно - кассовый центр) Банка России. Территориальное учреждение (расчетно - кассовый центр) Банка России со своей стороны заполняет строки 3, 3.1 и 3.2 графы "по данным территориального учреждения (РКЦ) ЦБ РФ" Приложения N 1 на дату фактического регулирования по проверяемому Расчету. Территориальное учреждение (расчетно - кассовый центр) Банка России после осуществления проверки исправленного Расчета передает 2-ой экземпляр Расчета кредитной организации. (в ред. Письма ЦБ РФ от 25.04.97 N 440)

6.2.8. В случае, если проверкой, проведенной территориальным учреждением (расчетно - кассовым центром) Банка России, установлен факт недовзноса средств в обязательные резервы по результатам регулирования на последнюю отчетную дату, кредитная организация производит доперечисление обязательных резервов (в течение пяти календарных дней, не считая дня подписания справки (акта) о проверке) с корреспондентского счета, открытого в территориальном учреждении (расчетно - кассовом центре) Банка России, на основании платежного поручения с отметкой "перечисление недовзноса в обязательные резервы" (выписанного в соответствии с банковскими правилами). Включение сумм обязательных резервов в сводные платежные поручения запрещается.

Если кредитная организация не подписала справку (акт) о проверке, не представила исправленный Расчет (и все необходимые документы) и не перечислила недостающую сумму обязательных резервов по результатам проведенной проверки, территориальное учреждение (расчетно - кассовый центр) Банка России в первый рабочий день после окончания установленного срока проведения перерасчета по результатам проверки, до осуществления иных операций по корреспондентскому счету кредитной организации, взыскивает указанную сумму недовзноса с корреспондентского счета кредитной организации. Взыскание суммы недовзноса осуществляется на основании соответствующего распоряжения территориального учреждения (расчетно - кассового центра) Банка России в порядке, установленном в п. 6.2.

С суммы выявленного по результатам проверки недовзноса в обязательные резервы кредитная организация уплачивает штраф. Начисление штрафа производится территориальным учреждением (расчетно - кассовым центром) Банка России с третьего рабочего дня после установленного срока представления Расчета на соответствующую отчетную дату до дня перечисления суммы недовзноса, выявленного в результате проверки, в порядке и размере, установленных подпунктом 6.2.4 Положения. При этом выявленное нарушение рассматривается как новое (очередное) допущенное нарушение порядка обязательного резервирования.

Выявленный по результатам проверки перевзнос средств в обязательные резервы территориальное учреждение (расчетно - кассовый центр) Банка России не позднее 2-х рабочих дней после подписания справки (акта) о проверке возвращает на корреспондентский счет кредитной организации на основании соответствующего распоряжения. (в ред. Письма ЦБ РФ от 25.04.97 N 440)

6.2.9. Недовзнос (перевзнос) обязательных резервов, установленный при осуществлении проверки за определенный период, после которого уже производилось очередное регулирование размера обязательных резервов, не предъявляется ко взысканию (не возвращается кредитной организации). При этом за допущенный недовзнос производится начисление штрафа с третьего рабочего дня после установленного срока представления Расчета на соответствующую отчетную дату до дня регулирования обязательных резервов на следующую отчетную дату. Выявленный недовзнос рассматривается как новое (очередное) допущенное нарушение порядка обязательного резервирования.

Одновременно территориальное учреждение (расчетно - кассовый центр) Банка России должно провести сплошную проверку правильности составления кредитной организацией Расчета регулирования размера обязательных резервов на все последующие отчетные даты. При выявлении факта недовзноса обязательных резервов на последнюю отчетную дату взыскание его и начисление штрафа производятся в порядке, изложенном в подпункте 6.2.8. (в ред. Письма ЦБ РФ от 25.04.97 N 440)

6.3. Территориальные учреждения (расчетно - кассовые центры) Банка России представляют в Банк России отчет об обязательных резервах, депонированных кредитными организациями в Банке России, составляемый на основании получаемой от кредитных организаций информации по форме и в сроки, установленные Банком России. (в ред. Письма ЦБ РФ от 25.04.97 N 440)

7. ПОРЯДОК ВЫПОЛНЕНИЯ РЕЗЕРВНЫХ ТРЕБОВАНИЙ КРЕДИТНЫМИ ОРГАНИЗАЦИЯМИ, КОТОРЫМ НАПРАВЛЕНО ПРЕДПИСАНИЕ ОБ ОГРАНИЧЕНИИ КРУГА ВЫПОЛНЯЕМЫХ ОПЕРАЦИЙ ЛИБО ПОДГОТОВЛЕНЫ ДОКУМЕНТЫ НА ОТЗЫВ ЛИЦЕНЗИИ НА СОВЕРШЕНИЕ БАНКОВСКИХ ОПЕРАЦИЙ

7.1. После направления в Банк России территориальным учреждением (расчетно - кассовым центром) Банка России предписания кредитной организации об ограничении круга выполняемых операций либо документов на отзыв лицензии на совершение банковских операций регулирование обязательных резервов не прекращается. Доперечисление или возврат средств производится в установленном настоящим Положением порядке. (в ред. Письма ЦБ РФ от 25.04.97 N 440)

7.2. В случае резкого снижения величины привлеченных средств за счет массового изъятия клиентами кредитной организации вкладов и депозитов (в размере более 15 процентов от валюты баланса, составленного на отчетную дату), кредитная организация имеет право обратиться в территориальное учреждение (расчетно - кассовый центр) Банка России с просьбой о внеочередном регулировании обязательных резервов по состоянию на 5, 10, 15, 20, 25 и 30 числа месяца. При этом кредитная организация представляет Расчет регулирования обязательных резервов, подлежащих депонированию в ЦБ РФ, по форме Приложения N 1 к настоящему Положению, а также Приложения N N 2, 2/2, 2/3, 2/4 за последние 30 календарных дней (например, при представлении указанного Расчета по состоянию на 10 число отчетного месяца - расчет средней хронологической производится по остаткам привлеченных средств в период с 10 числа предыдущего месяца по 10 число текущего месяца включительно; при представлении указанного Расчета по состоянию на 20 число текущего месяца - расчет средней хронологической производится по остаткам привлеченных средств в период с 20 числа предыдущего месяца по 20 число текущего месяца включительно). (в ред. Письма ЦБ РФ от 25.04.97 N 440)

7.3. При ликвидации кредитной организации после создания в установленном законодательством порядке ликвидационной комиссии и открытии ей (на основании письменного заявления) лицевого счета на балансовом счете N 161, территориальное учреждение (расчетно - кассовый центр) Банка России перечисляет на этот счет средства, депонированные в Банке России на балансовых счетах N 815, N 680 (перечисление осуществляется в порядке, установленном Положением "Об отзыве лицензии на осуществление банковских операций у банков и иных кредитных организаций в Российской Федерации" от 02.04.96 N 264 с учетом последующих изменений и дополнений) Банка России. При этом проценты на остатки средств, учитываемые на счете ликвидационной комиссии, Банком России не начисляются.

Указанные средства в соответствии со ст. 38 Федерального закона "О Центральном банке Российской Федерации (Банке России)" используются для погашения обязательств кредитной организации перед вкладчиками и кредиторами. В других случаях, кроме перечисленных в пунктах 2.5.2, 7.3 и разделе 4 настоящего Положения, возврат депонируемых обязательных резервов не производится. (в ред. Письма ЦБ РФ от 25.04.97 N 440; Приказа ЦБ РФ от 04.07.97 N 02-293)

7.4. Наложение в установленном законодательством порядке ареста на корреспондентский счет кредитной организации в РКЦ Банка России не должно приостанавливать проведение территориальным учреждением (расчетно - кассовым центром) Банка России регулирования обязательных резервов. В этом случае доперечисление средств в обязательные резервы производится кредитной организацией с корреспондентского счета, открытого в другой кредитной организации, на основании платежного поручения с отметкой "перечисление недовзноса в обязательные резервы" (выписанного в соответствии с банковскими правилами).

При этом делаются следующие бухгалтерские проводки:

- в кредитной организации, на корреспондентский счет в РКЦ Банка России которой наложен арест:

Д-т сч. 816, 681

К-т сч. 167

- в кредитной организации, осуществляющей платеж по поручению кредитной организации, у которой наложен арест на корреспондентский счет, открытый в РКЦ Банка России:

Д-т сч. 168

К-т сч. 161

- в расчетно - кассовом центре Банка России по месту открытия корреспондентского счета кредитной организации, осуществляющей платеж по поручению кредитной организации, у которой наложен арест на корреспондентский счет:

Д-т сч. 161

К-т сч. 830

- в расчетно - кассовом центре Банка России по месту ареста корреспондентского счета кредитной организации:

Д-т сч. 840

К-т сч. 815, 680. (в ред. Письма ЦБ РФ от 25.04.97 N 440)

8. Территориальным учреждениям (расчетно - кассовым центрам) Банка России довести настоящее Положение до всех кредитных организаций; внести в установленном порядке изменения в договоры о расчетном и кассовом обслуживании. (в ред. Письма ЦБ РФ от 25.04.97 N 440)

Председатель Центрального банка
Российской Федерации
С.К.ДУБИНИН

Приложение N 1
к Положению
от 30 марта 1996 г. N 37

(в ред. - Письма ЦБ РФ от 25.04.97 N 440)

Представляется на 1 число месяца одновременно
с балансом в сроки, установленные для представления
баланса <1>

РАСЧЕТ <2> РЕГУЛИРОВАНИЯ РАЗМЕРА ОБЯЗАТЕЛЬНЫХ РЕЗЕРВОВ, ПОДЛЕЖАЩИХ ДЕПОНИРОВАНИЮ В ЦЕНТРАЛЬНОМ БАНКЕ РФ
_________________________________________________
(наименование кредитной организации)
НА 1-Е ЧИСЛО МЕСЯЦА ____________________________ 19__ Г.
(месяц, следующий за отчетным)

Сумма в тыс. рублей
по данным кредитной организации по данным территориального учреждения (РКЦ) ЦБ РФ
1. Привлеченные средства на расчетных, текущих, депозитных и других счетах, рассчитанные по средней хронологической (согласно разд. 2 Положения - ВСЕГО)   x
в том числе:    
1.1. привлеченные средства по счетам до востребования и срочным обязательствам до 30 дней включительно   x
1.2. привлеченные средства по срочным обязательствам от 31 до 90 дней включительно   x
1.3. привлеченные средства по срочным обязательствам от 91 дня и более   x
1.4. привлеченные средства по текущим счетам в иностранной валюте   x
2. Средства, подлежащие депонированию в Банке России, исходя из установленных нормативов обязательных резервов - ВСЕГО (стр. 2.5 + стр. 2.6)   x
в том числе:    
2.1. по счетам до востребования и срочным обязательствам до 30 дней включительно (стр. 1.1 <*> установленный норматив в %)   x
2.2. по срочным обязательствам от 31 до 90 дней включительно (стр. 1.2 <*> установленный норматив в %)   x
2.3. по срочным обязательствам от 91 дня и более (стр. 1.3 <*> установленный норматив в %)   x
2.4. Вычитаются: остатки кассы (в пределах установленного Банком России лимита), учитываемые на б/сч. N 031, N 033, N 035, N 036, рассчитанные по средней хронологической за расчетный период (код обозначения 0315)   x
2.5. ИТОГО по привлеченным средствам в рублях (стр. 2.1 + 2.2 + 2.3 минус 2.4)   x
2.6. по текущим счетам в иностранной валюте (стр. 1.4 <*> установленный норматив в %)   x
3. Фактически внесено обязательных резервов на дату, установленную для представления Расчета, - ВСЕГО   <3>
в том числе:    
3.1. по обязательствам в рублях   <3>
3.2. по обязательствам в иностранной валюте   <3>
4. Подлежит дополнительному перечислению в обязательные резервы (стр. 2 минус стр. 3) - ВСЕГО   x
в том числе:    
4.1. по обязательствам в рублях (стр. 2.5 минус стр. 3.1)   x
4.2. по обязательствам в иностранной валюте (стр. 2.6 минус стр. 3.2)   x
5. Подлежат возврату излишне перечисленные средства обязательных резервов (стр. 3 минус стр. 2) - ВСЕГО   x
в том числе:    
5.1. по обязательствам в рублях (стр. 3.1 минус стр. 2.5)   x
5.2. по обязательствам в иностранной валюте (стр. 3.2 минус стр. 2.6)   x
Руководитель кредитной организации   М.П. Главный бухгалтер кредитной организации
       
(подпись, Ф.И.О.)     (подпись, Ф.И.О.)
"__" ___________ 199_ г.      
"Расчет проверен"      
Уполномоченное лицо территориального учреждения (РКЦ) Банка России (должность)     (подпись, Ф.И.О.)
(должность)     "__" ___________ 199_ г.

<1> Расчет представляется в 2-х экземплярах. После проверки Расчета территориальным учреждением (расчетно - кассовым центром) Банка России 2-ой экземпляр передается кредитной организации в порядке, предусмотренном п. 2.5 Положения.

<2> Приложение должно быть подписано должностными лицами кредитной организации, подписи которых соответствуют образцам подписей, представленным в карточке образцов подписей, находящейся в территориальном учреждении (расчетно - кассовом центре) Банка России.

<3> Территориальное учреждение (расчетно - кассовый центр) Банка России проставляет фактическую сумму депонированных обязательных резервов на дату фактического регулирования размера обязательных резервов по Расчету.

Приложение N 2
к Положению
от 30 марта 1996 г. N 37

(в ред. - Писем ЦБ РФ от 26.04.96 N 279, от 25.04.97 N 440)

Представляется на 1-е число месяца
одновременно с балансом в сроки,
установленные для баланса

ДАННЫЕ <*> О ЕЖЕДНЕВНЫХ ОСТАТКАХ ПРИВЛЕЧЕННЫХ СРЕДСТВ, УЧАСТВУЮЩИХ В РАСЧЕТЕ ОБЯЗАТЕЛЬНЫХ РЕЗЕРВОВ
НА "____" _______________ 199_ Г.

<*> Приложение должно быть подписано должностными лицами кредитной организации, подписи которых соответствуют образцам подписей, представленным в карточке образцов подписей, находящейся в территориальном учреждении Банка России (расчетно - кассовом центре) Банка России. (в ред. Письма ЦБ РФ от 25.04.97 N 440)

(в тыс. руб.)
N балансового счета Остаток по счету на каждый календарный день месяца
01... дата дата дата ... ... дата 01...
1. Счета в ин. валюте
070                
071                
078                
079                
084                
088                
1.1. Итого                
Расшифровки по счетам (вычитаются):
0781                
(в ред. Письма ЦБ РФ от 25.04.97 N 440)
0791                
0792                
1.2. Итого                
1.3. ВСЕГО (стр. 1.1 минус стр. 1.2):
1.4. Средняя хронологическая ежедневных балансовых остатков
2. Рублевые счета до востребования и срочные обязательства банка до 30 дней включительно Остаток по счету на каждый календарный день месяца
01... дата дата дата ... ... дата 01...
090                
100 (100 П - 100 А)                
120 (120 П - 120 А)                
130                
131                
132                
133                
134                
141                
142                
144                
145 (145 П - 145 А)                
157                
158                
17 (172 + 173 - 182)                
196                
199                
200                
204                
205                
206                
208                
220                
221                
222                
240                
242                
243                
244                
245                
246                
248                
260                
261                
262                
263                
264                
267                
268                
269                
280                
281                
282                
284                
286                
287                
288                
289                
300                
301                
320                
321                
323                
324                
340                
341                
342                
245                
360                
361                
362                
363                
364                
365                
366                
367                
381                
382                
383                
384                
385                
386                
387                
388                
389                
400                
401                
402                
403                
404                
405                
406                
407                
408                
409                
420                
421                
422                
423                
424                
425                
426                
427                
428                
429                
440                
441                
446                
460                
461                
465                
466                
467                
468                
480                
483                
500                
501                
508                
509                
520                
521                
526                
540                
541                
542                
560                
561                
562                
563                
564                
565                
566                
567                
568                
569                
580                
581                
582                
583                
584                
585                
586                
587                
600                
601                
602                
603                
605                
606                
607                
608                
609                
614                
631                
                 
(в ред. Письма ЦБ РФ от 25.04.97 N 440)
640                
641                
642                
643                
644                
671                
672 (672 П - 672 А)                
673                
690                
691                
692                
693                
694                
695                
696                
697                
счет 698 исключен. (в ред. Письма ЦБ РФ от 25.04.97 N 440)
699                
700                
701                
702                
703                
704                
705                
706                
707                
708                
709                
710                
711                
713                
714                
715                
717                
718                
720                
722                
счет 723 исключен. (в ред. Письма ЦБ РФ от 25.04.97 N 440)
724                
726                
741                
742                
743                
744                
745                
746                
747                
748                
749                
750                
751                
807                
счет 809 (809 П - 808 А) исключен. (в ред. Письма ЦБ РФ от 25.04.97 N 440)
810                
811                
812                
счет 817 (817 П - 817 А) исключен. (в ред. Письма ЦБ РФ от 25.04.97 N 440)
818                
819                
900                
907 (907 П - 907 А)                
915                
2.1. Итого                
Расшифровки по счетам (вычитаются):
(в ред. Письма ЦБ РФ от 25.04.97 N 440)
7511                
8101                
8121                
2.2. Итого                
2.3. ВСЕГО (стр. 2.1 минус стр. 2.2):
2.4. Средняя хронологическая ежедневных балансовых остатков
3. Срочные обязательства от 31 дня до 90 включительно Остаток по счету на каждый календарный день месяца
01... дата дата дата ... ... дата 01...
196                
730                
732                
734                
736                
738                
3.1. ВСЕГО                
3.2. Средняя хронологическая ежедневных балансовых остатков
4. Срочные обязательства от 91 дня и более Остаток по счету на каждый календарный день месяца
01... дата дата дата ... ... дата 01...
196                
731                
733                
735                
737                
739                
4.1. Итого                
Расшифровки по счетам (вычитаются): 7311
4.2. Итого                
4.3. ВСЕГО (стр. 4.1 минус стр. 4.2):
4.4. Средняя хронологическая ежедневных балансовых остатков
Руководитель кредитной организации  
(подпись, Ф.И.О.)
   
Главный бухгалтер кредитной организации  
(подпись, Ф.И.О.)
М.П.  

<*> Исключена. (в ред. Письма ЦБ РФ от 25.04.97 N 440)

Приложение N 2/1
к Положению
от 30 марта 1996 г. N 37

Отменено. (в ред. Письма ЦБ РФ от 25.04.97 N 440)

Приложение N 2/2
к Положению
от 30 марта 1996 г. N 37

(в ред. - Письма ЦБ РФ от 25.04.97 N 440)

ЕЖЕДНЕВНАЯ РАСШИФРОВКА К БАЛАНСОВОМУ СЧЕТУ N 812 (КОД ОБОЗНАЧЕНИЯ 8121) ДЛЯ РАСЧЕТА ОБЯЗАТЕЛЬНЫХ РЕЗЕРВОВ, ДЕПОНИРУЕМЫХ КРЕДИТНОЙ ОРГАНИЗАЦИЕЙ <*>
___________________________________________________
(наименование кредитной организации)
В БАНКЕ РОССИИ
НА "__" __________________ 199_ ГОДА
(отчетный месяц)

<*> Приложение должно быть подписано должностными лицами кредитной организации, подписи которых соответствуют образцам подписей, представленным в карточке образцов подписей, находящейся в территориальном учреждении Банка России (расчетно - кассовом центре) Банка России. (в ред. Письма ЦБ РФ от 25.04.97 N 440)

(в тыс. руб.)
Пассивный остаток по лицевым счетам балансового счета N 812, открытым для брокерских операций на ОРЦБ Активный остаток по балансовому счету N 411 Активный остаток по балансовому счету N 412 Остатки, исключаемые из расчета обязательных резервов по б/сч. N 812 (код обозначения 8121) (гр. 2 + гр. 3) в пределах гр. 1
1 2 3 4
       
Руководитель кредитной организации  
(подпись, Ф.И.О.)
   
Главный бухгалтер кредитной организации  
(подпись, Ф.И.О.)
М.П.  

Приложение N 2/3
к Положению
от 30 марта 1996 г. N 37

ЕЖЕДНЕВНАЯ РАСШИФРОВКА <*> ОТДЕЛЬНЫХ БАЛАНСОВЫХ СЧЕТОВ ДЛЯ РАСЧЕТА ОБЯЗАТЕЛЬНЫХ РЕЗЕРВОВ, ДЕПОНИРУЕМЫХ КРЕДИТНОЙ ОРГАНИЗАЦИЕЙ
______________________________________
(наименование кредитной организации)
В БАНКЕ РОССИИ
НА "__" __________________ 199_ ГОДА
(отчетный месяц)

(в ред. - Письма ЦБ РФ от 25.04.97 N 440)

<*> Приложение должно быть подписано должностными лицами кредитной организации, подписи которых соответствуют образцам подписей, представленным в карточке образцов подписей, находящейся в территориальном учреждении Банка России (расчетно - кассовом центре) Банка России. (в ред. Письма ЦБ РФ от 25.04.97 N 440)

Наименование Код обозначения Сумма (в тыс. руб.)
1 2 3
1. Пассивный остаток по балансовому счету N 079 уменьшается на:
- сумму депозитов, привлеченных под гарантии, в обеспечение которых требуется депонирование средств в банках - корреспондентах, включая страховые депозиты по кредитным картам и др. (в размере суммы средств, перечисленных банку - корреспонденту в обеспечение подтвержденной гарантии);
0791  
- сумму средств, привлеченных под гарантии, подтвержденные в иностранных банках или международных платежных системах (в размере суммы средств, перечисленных банком в обеспечение подтвержденных гарантий банку - нерезиденту, международной платежной системе) 0792  
(п. 1 в ред. письма ЦБ РФ от 25.04.97 N 440)    
2. Пассивный остаток по балансовому счету N 731 уменьшается на:
- пассивные остатки отдельных лицевых счетов этого счета, на которых учитываются выпущенные кредитной организацией облигации со сроком погашения свыше 5 лет
7311  
3. Пассивный остаток по балансовому счету N 751 уменьшается на:
- сумму кредитов, полученных от иностранных банков
7511  
4. Пассивный остаток по балансовому счету N 810 уменьшается на:
- сумму средств, выделенных Минфином РФ в 1992 году по решениям Правительства РФ для финансирования инвестиционных и конверсионных программ, а также бюджетные средства, выделенные АККОРом в 1992 году для обеспечения гарантий при льготном кредитовании крестьянских (фермерских) программ
8101  
(в ред. письма ЦБ РФ от 25.04.97 N 440)    
5. Пассивный остаток по балансовому счету N 078 уменьшается на:
- пассивные остатки отдельных лицевых счетов этого счета по учету залоговых депозитов, привлеченных в процессе обслуживания аккредитивов (в размере суммы средств, перечисленных иностранному банку в покрытие импортного аккредитива)
0781  
(п. 5 введен письмом ЦБ РФ от 25.04.97 N 440) 6341  
6. Пассивный остаток по балансовому счету N 634 уменьшается на:
- пассивные остатки отдельных лицевых счетов этого счета по учету средств уполномоченных банков - нерезидентов
(п. 6 введен письмом ЦБ РФ от 25.04.97 N 440)    
Руководитель кредитной организации  
(подпись, Ф.И.О.)
   
Главный бухгалтер кредитной организации  
(подпись, Ф.И.О.)
М.П.  

Приложение N 2/4
к Положению
от 30 марта 1996 г. N 37

(в ред. - Писем ЦБ РФ от 26.04.96 N 279, от 25.04.97 N 440)

РАСЧЕТ <*> СРЕДНЕЙ ХРОНОЛОГИЧЕСКОЙ ВЕЛИЧИНЫ НАЛИЧНЫХ ДЕНЕЖНЫХ СРЕДСТВ В КАССЕ КРЕДИТНОЙ ОРГАНИЗАЦИИ (УЧИТЫВАЕМЫХ НА БАЛАНСОВЫХ СЧЕТАХ N N 031, 033, 035, 036 - В ПРЕДЕЛАХ УСТАНОВЛЕННОГО БАНКОМ РОССИИ ЛИМИТА)
_______________________________________________
(наименование кредитной организации)
НА _________________________ 199_ Г.
(отчетный месяц)

<*> Приложение должно быть подписано должностными лицами кредитной организации, подписи которых соответствуют образцам подписей, представленным в карточке образцов подписей, находящейся в территориальном учреждении Банка России (расчетно - кассовом центре) Банка России. (в ред. Письма ЦБ РФ от 25.04.97 N 440)

(в тыс. руб.)
01... Дата ... ... Дата 01...
1. Лимит кассы, установленный Банком России (включая лимиты кассы филиалов кредитной организации)  
2. Фактические остатки денежных средств в кассе, учитываемых на б/сч. N N 031, 033, 035, 036
3. Фактические остатки денежных средств в кассе, учитываемых на б/сч. N N 031, 033, 035, 036 в пределах установленного лимита (стр. 2 в пределах стр. 1)
4. Средние хронологические остатки денежных средств в кассе, учитываемых на б/сч. N N 031, 033, 035, 036 в пределах установленного лимита за отчетный месяц __________ (код обозначения 0315)

 

Руководитель кредитной организации  
(подпись, Ф.И.О.)
   
Главный бухгалтер кредитной организации  
(подпись, Ф.И.О.)
М.П.  

Приложение N 3
к Положению
от 30 марта 1996 г. N 37

(в ред. - Писем ЦБ РФ от 26.04.96 N 279, от 25.04.97 N 440)

В территориальное учреждение
(расчетно - кассовый центр)
Банка России
____________________________
(заполняется в двух
экземплярах, после
надлежащего оформления
1 экз. остается у кредитной
организации, 2 экз. - в
территориальном учреждении
(РКЦ) Банка России) <*>

"__" ______________ 199_ г.

 
 
    В связи  с  проведением  регулирования  размера   обязательных
резервов, подлежащих депонированию в ЦБ РФ на "__" ______ 199_ г.,
и в соответствии с пп. 2.5.3 Положения "Об  обязательных  резервах
кредитных организаций, депонируемых в Центральном банке Российской
Федерации",  утвержденного  Приказом  Банка  России   от  30 марта
1996 г. N 02-77
__________________________________________________________________
            (наименование кредитной организации)
просит произвести зачисление излишне перечисленной суммы _________
_______________________________________ (сумма цифрами и прописью)
с б/сч. N 815 (N 680) на б/сч. N 680 (N 815).
 
 Руководитель кредитной
 организации                 ______________ (подпись, Ф.И.О.)
 
 М.П.
 
__________________________________________________________________
     (заполняется территориальным учреждением (расчетно - кассовым
                        центром) Банка России)
 
Принято "__" _______________ 199_ г.
 
Уполномоченное лицо Банка России
(должность)                     ________________ (подпись, Ф.И.О.)
 
Произвести зачисление излишне перечисленной кредитной организацией
__________________________________________________________________
            (наименование кредитной организации)
суммы обязательных резервов ______________________________________
                             (сумма цифрами и прописью)
с отдельного  лицевого счета  N  _______  б/сч.  N  815 (N 680) на
отдельный лицевой счет N ________ б/сч. N 680 (N 815).
 
 Руководитель территориального
 учреждения (РКЦ) Банка
 России                      ________________ (подпись, Ф.И.О.)
 
 "__" ______________ 199_ г.


    <*> Приложение  должно  быть  подписано   должностными  лицами
кредитной организации,  подписи  которых  соответствуют   образцам
подписей, представленным в карточке образцов подписей, находящейся
в территориальном учреждении Банка  России  (расчетно  -  кассовом
центре) Банка России.
(в ред. Письма ЦБ РФ от 25.04.97 N 440)
 
 
 

Приложение N 4
к Положению
от 30 марта 1996 г. N 37

(в ред. - Письма ЦБ РФ от 25.04.97 N 440)

В территориальное учреждение
(расчетно - кассовый центр)
Банка России
______________________________________
(заполняется в двух экземплярах, после
надлежащего оформления 1 экз. остается
у кредитной организации, 2 экз. - в
территориальном учреждении (РКЦ)
Банка России)

 

                          ЗАЯВЛЕНИЕ <*>
        НА ВНУТРИМЕСЯЧНОЕ СНИЖЕНИЕ НОРМАТИВОВ ОБЯЗАТЕЛЬНЫХ
         РЕЗЕРВОВ N _______ ОТ "__" ____________ 199_ Г.
 
__________________________________________________________________
               (наименование кредитной организации)
корреспондентский счет N __________________________ в РКЦ ГУ ЦБ РФ
по _______________________________________________________________
почтовый адрес: __________________________________________________
 
    В соответствии  с  разделом  4   Положения  "Об   обязательных
резервах,  депонируемых  кредитными  организациями  в  Центральном
банке Российской Федерации",  утвержденного  Приказом Банка России
от 30 марта  1996   г.  N  02-77,  просим  предоставить  право  на
внутримесячное снижение нормативов обязательных резервов в 199_ г.
в  размере,  не  превышающем  5  процентов от суммы депонированных
обязательных резервов за  отчетный  месяц.  Кредитная  организация
выполняет требования, указанные в п. 4.2 Положения.
    Кредитная организация обязуется ежемесячно (к 26 числу каждого
месяца)  представлять  в территориальное  учреждение  (РКЦ)  Банка
России _________________ (наименование) все необходимые документы,
указанные  в п.   4.9  Положения,   и  производить  доперечисление
обязательных   резервов  в  период  с 26  числа  каждого месяца до
1 числа следующего месяца.
 
    Руководитель кредитной
    организации               __________________ (подпись, Ф.И.О.)
 
    М.П.
 
__________________________________________________________________
  (заполняется территориальным учреждением (расчетно - кассовым
                      центром) Банка России)
 
Принято "__" ______________ 199_ г.
 
Уполномоченное лицо Банка России
(должность)                       ______________ (подпись, Ф.И.О.)
 
Разрешается кредитной организации ________________________________
                                           (наименование)
внутримесячное снижение нормативов обязательных резервов в 199_ г.
в  размере  не  более  5 процентов от суммы обязательных резервов,
депонируемых в Банке России.
 
    Руководитель территориального
    учреждения (РКЦ) Банка России  _____________ (подпись, Ф.И.О.)
 
    "__" ______________ 199_ г.

 
    <*> Приложение  должно  быть  подписано   должностными  лицами
кредитной организации,  подписи  которых  соответствуют   образцам
подписей, представленным в карточке образцов подписей, находящейся
в территориальном учреждении Банка  России  (расчетно  -  кассовом
центре) Банка России.
(в ред. Письма ЦБ РФ от 25.04.97 N 440)
 
 
 

Приложение N 5
к Положению
от 30 марта 1996 г. N 37

(в ред. - Письма ЦБ РФ от 25.04.97 N 440)

В территориальное учреждение
(расчетно - кассовый центр)
Банка России
________________________

РАСЧЕТ (ПРОГНОЗ) <*> ОСТАТКОВ ОБЯЗАТЕЛЬНЫХ РЕЗЕРВОВ, УЧИТЫВАЕМЫХ НА БАЛАНСОВЫХ СЧЕТАХ N 815 И N 680 (N 816 И N 681) ПО ФОРМУЛЕ СРЕДНЕЙ ХРОНОЛОГИЧЕСКОЙ
НА ___________________ 199_ Г.
(текущий месяц)
__________________________________________
(наименование кредитной организации

<*> Приложение должно быть подписано должностными лицами кредитной организации, подписи которых соответствуют образцам подписей, представленным в карточке образцов подписей, находящейся в территориальном учреждении Банка России (расчетно - кассовом центре) Банка России. (в ред. Письма ЦБ РФ от 25.04.97 N 440)

(сумма в тыс. рублей)
01... Дата ... ... Дата 01...
1. Остатки средств обязательных резервов, учитываемых на б/сч. N 815, N 680, на каждый календарный день с 1 числа текущего месяца по 1 число следующего месяца включительно            
2. Количество календарных дней в периоде с 1 числа текущего месяца по 1 число следующего месяца включительно = 31 x x x x x x
3. Средняя хронологическая остатков обязательных резервов, учитываемых на б/сч. N 815, N 680, на текущий месяц <*>            

 

<*> Средняя хронологическая остатков обязательных резервов, учитываемых на б/сч. N 815, N 680, за месяц (Lr) рассчитывается по следующей формуле:

L1 - сумма остатков обязательных резервов на первое число текущего месяца;

Ln - сумма остатков обязательных резервов за последний календарный день месяца (на первое число следующего месяца);

n - число календарных дней в период с 1 числа текущего месяца по 1 число следующего месяца включительно, равное 31.

Руководитель кредитной организации  
(подпись, Ф.И.О.)

Приложение N 6
к Положению
от 30 марта 1996 г. N 37

(в ред. - Письма ЦБ РФ от 25.04.97 N 440)

На бланке территориального учреждения (расчетно - кассового центра) Банка России   Руководителю кредитной организации
     
    (наименование)
"__" ___________ 199_ г.    

Территориальное учреждение (расчетно - кассовый центр) Банка России ______________________ (наиемнование) рассмотрело Заявление ______________________ (наименование кредитной организации) N ____ от "__" ______ 199_ г. с просьбой о предоставлении права на внутримесячное снижение в 199_ г. нормативов обязательных резервов в размере, не превышающем 5 процентов от суммы депонированных обязательных резервов за отчетный месяц, и сообщает, что она не может быть удовлетворена на основании пункта 4.2 Положения "Об обязательных резервах, депонируемых кредитными организациями в Центральном банке Российской Федерации", утвержденного Приказом Банка России от 30 марта 1996 г. N 02-77.

Руководитель территориального учреждения (расчетно - кассового центра) Банка России  
(подпись, Ф.И.О.)

Приложение N 7
к Положению
от 30 марта 1996 г. N 37

(в ред. - Письма ЦБ РФ от 25.04.97 N 440)

В территориальное учреждение
(расчетно - кассовый центр) Банка России
________________________________
(заполняется в двух экземплярах,
после надлежащего оформления 1 экз.
остается у кредитной организации,
2 экз. - в территориальном учреждении
(РКЦ) Банка России)

                         ЗАЯВКА <*>
              НА ВНУТРИМЕСЯЧНОЕ СНИЖЕНИЕ НОРМАТИВОВ
                      ОБЯЗАТЕЛЬНЫХ РЕЗЕРВОВ
                N ________ ОТ "__" ______ 199_ Г.
 
__________________________________________________________________
               (наименование кредитной организации)
корреспондентский счет N __________________________ в РКЦ ГУ ЦБ РФ
по _______________________________________________________________
почтовый адрес: __________________________________________________
 
    На основании Заявления на внутримесячное  снижение  нормативов
обязательных  резервов от "__" ______________ 199_ г.  N _________
просим снизить нормативы обязательных резервов на период с "__" по
"__" _______________ 199_ г. на ____ процентов.
     (текущий месяц)
    Обязательные резервы в сумме _________________________________
(цифрами  и  прописью)   просим   перечислить   на   вышеуказанный
корреспондентский счет.
    Кредитная организация обязуется к 26 _________________ 199_ г.
                                          (текущий месяц)
представить в территориальное  учреждение (расчетно   -   кассовый
центр) Банка России  ______________________________ (наименование)
необходимые  документы,   указанные   в   п. 4.9   Положения   "Об
обязательных резервах  кредитных   организаций,  депонируемых    в
Центральном банке Российской  Федерации",  утвержденного  Приказом
Банка  России  от  30  марта  1996  г.   N  02-77,   и  произвести
доперечисление обязательных резервов в период с 26 числа _________
                                                   (текущий месяц)
до   1     числа  _______________________   199__ г.    на    счет
                     (следующий месяц)
территориального учреждения (РКЦ) Банка России N ____________.
 
    Руководитель кредитной
    организации                 ________________ (подпись, Ф.И.О.)
 
    М.П.
 
__________________________________________________________________
  (заполняется территориальным учреждением (расчетно - кассовым
                     центром) Банка России)
 
Принято "__" _________________ 199_ г.
 
Уполномоченное лицо Банка России
(должность)                     ________________ (подпись, Ф.И.О.)
 
    Перечислить кредитной организации ____________________________
                                              (наименование)
обязательные резервы в сумме _____________________________________
                                    (сумма цифрами и прописью)
на корреспондентский счет N _______ в РКЦ ГУ ЦБ РФ ______________.
При  этом  минимально  допустимый  остаток  обязательных резервов,
учитываемый на б/сч. N 815, N 680, должен быть __________________.
                                        (сумма цифрами и прописью)
 
    Руководитель территориального
    учреждения (РКЦ) Банка России      _________ (подпись, Ф.И.О.)
 
    "__" ______________ 199_ г.

    <*> Приложение  должно  быть  подписано   должностными  лицами
кредитной организации,  подписи  которых  соответствуют   образцам
подписей, представленным в карточке образцов подписей, находящейся
в территориальном учреждении Банка  России  (расчетно  -  кассовом
центре) Банка России.
(в ред. Письма ЦБ РФ от 25.04.97 N 440)
 
 
 

Приложение N 7/1
к Положению
от 30 марта 1996 г. N 37

(в ред. - Письма ЦБ РФ от 25.04.97 N 440)

В территориальное учреждение
(расчетно - кассовый центр)
Банка России ____________________________

СПРАВКА <*> ОБ ОСТАТКАХ ОБЯЗАТЕЛЬНЫХ РЕЗЕРВОВ
_________________________________________________
(наименование кредитной организации)
НА "__" ___________________ 199_ Г.
(текущий месяц)

<*> Приложение должно быть подписано должностными лицами кредитной организации, подписи которых соответствуют образцам подписей, представленным в карточке образцов подписей, находящейся в территориальном учреждении (расчетно - кассовом центре) Банка России. (в ред. Письма ЦБ РФ от 25.04.97 N 440)

(сумма в тыс. рублей)
1. Фактические остатки обязательных резервов, учитываемые на б/сч. N 815, N 680 (N 816, N 681), с учетом произведенного регулирования за отчетный месяц  
2. Сумма обязательных резервов в размере 5% от фактических остатков обязательных резервов, учитываемых на б/сч. N 815, N 680 (N 816, N 681) (стр. 1 * 5%)  
3. Минимальная допустимая сумма остатков обязательных резервов, учитываемых на б/сч. N 815, N 680 (N 816, N 681) (стр. 1 минус стр. 2)  
4. Средняя хронологическая остатков обязательных резервов на текущий месяц, учитываемых на б/сч. N 815, N 680 (N 816, N 681), по Расчету (Прогнозу) (Приложение N 5 к Положению)  
Руководитель кредитной организации  
(подпись, Ф.И.О.)

Приложение N 8
к Положению
от 30 марта 1996 г. N 37

(в ред. - Письма ЦБ РФ от 25.04.97 N 440)

В территориальное учреждение
(расчетно - кассовый центр)
Банка России
____________________________

РАСЧЕТ (ОКОНЧАТЕЛЬНЫЙ) <*> ОСТАТКОВ ОБЯЗАТЕЛЬНЫХ РЕЗЕРВОВ, УЧИТЫВАЕМЫХ НА БАЛАНСОВЫХ СЧЕТАХ N 815 И N 680 (N 816 И N 681) ПО ФОРМУЛЕ СРЕДНЕЙ ХРОНОЛОГИЧЕСКОЙ
ЗА __________________ 199_ Г.
(текущий месяц)
_____________________________________________
(наименование кредитной организации)

<*> Приложение должно быть подписано должностными лицами кредитной организации, подписи которых соответствуют образцам подписей, представленным в карточке образцов подписей, находящейся в территориальном учреждении (расчетно - кассовом центре) Банка России. (в ред. Письма ЦБ РФ от 25.04.97 N 440)

(сумма в тыс. рублей)
01... Дата ... ... Дата 01...
1. Остатки средств обязательных резервов, учитываемых на б/сч. N 815, N 680, на каждый календарный день месяца (фактические за месяц)            
2. Количество календарных дней в периоде с 1 числа текущего месяца по 1 число следующего месяца включительно = 31 x x x x x x
3. Средняя хронологическая остатков обязательных резервов, учитываемых на б/сч. N 815, N 680, за текущий месяц <*>            

<*> Средняя хронологическая остатков обязательных резервов, учитываемых на б/сч. N 815, N 680, за текущий месяц (Lr) рассчитывается по следующей формуле:

L1 - сумма остатков обязательных резервов на первое число текущего месяца;

Y - сумма остатков обязательных резервов, которые должны учитываться на б/сч. N 815, N 680 (начиная с 5 числа текущего месяца по 1 число следующего месяца), с тем чтобы средняя хронологическая остатков обязательных резервов по настоящему Расчету (Окончательному) была эквивалентна средней хронологической остатков обязательных резервов по Расчету (Прогнозу);

d - количество календарных дней в расчетном периоде, в течение которых сумма остатков обязательных резервов (Y) учитывается на б/сч. N 815, N 680. При этом "d" меньше "n"

Yn - сумма остатков обязательных резервов на 1 число следующего месяца;

n - число календарных дней в периоде (с 1 числа текущего месяца по 1 число следующего месяца включительно), равное 31.

Руководитель кредитной организации  
(подпись, Ф.И.О.)

Приложение N 9
к Положению
от 30 марта 1996 г. N 37

УСЛОВНЫЙ ПРИМЕР РАСЧЕТА СУММЫ ШТРАФА ЗА НЕДОВЗНОС В ОБЯЗАТЕЛЬНЫЕ РЕЗЕРВЫ

Исходные данные:  
Сумма недовзноса в обязательные резервы - 100 млн. руб.;
Просрочка платежа - 12 дней;
Ставка рефинансирования Банка России - 120% годовых;
1,3 ставки рефинансирования - 156% годовых
(120% x 1,3 = 156% годовых);
1,5 ставки рефинансирования - 180% годовых
(120% x 1,5 = 180% годовых);
2,0 ставки рефинансирования
- 240% годовых
(120% x 2,0 = 240% годовых)

РАСЧЕТ СУММЫ ШТРАФА ЗА НЕДОВЗНОС В ОБЯЗАТЕЛЬНЫЕ РЕЗЕРВЫ

Количество допущенных нарушений Размер штрафа
Первое нарушение за первые 2 дня (1,3 ставки рефинансирования): 100 млн. руб. x 156% x (2 дня / 360 дней) = 0,867 млн. руб.
за следующие 10 дней (1,5 ставки рефинансирования): 100 млн. руб. x 180% x (10 дней / 360 дней) = 5,0 млн. руб.
  Итого штраф за 12 дней просрочки: 0,867 млн. руб. + 5,0 млн. руб. = 5,867 млн. руб.
Второе нарушение за первые 2 дня (1,5 ставки рефинансирования): 100 млн. руб. x 180% x (2 дня / 360 дней) = 1,0 млн. руб.
за следующие 10 дней (2,0 ставки рефинансирования): 100 млн. руб. x 240% x (10 дней / 360 дней) = 6,667 млн. руб.
  Итого штраф за 12 дней просрочки: 1,0 млн. руб. + 6,667 млн. руб. = 7,667 млн. руб.
Третье и последующие нарушения за первые 2 дня (2,0 ставки рефинансирования): 100 млн. руб. x 240% x (2 дня / 360 дней ) = 1,333 млн. руб.
за следующие 10 дней (2,0 ставки рефинансирования): 100 млн. руб. x 240% x (10 дней / 360 дней) = 6,667 млн. руб.
  Итого штраф за 12 дней просрочки: 1,333 млн. руб. + 6,667 млн. руб. = 8,0 млн. руб.

Приложение N 10
к Положению
от 30 марта 1996 г. N 37

УСЛОВНЫЙ ПРИМЕР РАСЧЕТА СУММЫ СРЕДСТВ, ПОДЛЕЖАЩИХ ДОПЕРЕЧИСЛЕНИЮ КРЕДИТНОЙ ОРГАНИЗАЦИЕЙ В ОБЯЗАТЕЛЬНЫЕ РЕЗЕРВЫ ПРИ ИСПОЛЬЗОВАНИИ ПРАВА ВНУТРИМЕСЯЧНОГО СНИЖЕНИЯ НОРМАТИВОВ ОБЯЗАТЕЛЬНЫХ РЕЗЕРВОВ

(в ред. - Письма ЦБ РФ от 25.04.97 N 440)

ОБЩИЕ ПОЛОЖЕНИЯ

Кредитная организация получила разрешение Банка России на внутримесячное снижение нормативов обязательных резервов в течение 1996 г. В феврале 1996 г. у кредитной организации периодически возникала необходимость воспользоваться этой льготой для поддержания текущей ликвидности.

Срок представления в Банк России Расчета обязательных резервов за отчетный месяц - 4-й рабочий день месяца, следующего за отчетным, т.к. кредитная организация имеет сеть филиалов.

Срок перечисления средств в обязательные резервы по Расчету обязательных резервов за отчетный месяц (балансовые счета N 815 и N 680 - в расчетно - кассовом центре Банка России; N 816 и N 681 - в кредитной организации) - 4-й рабочий день месяца, следующего за отчетным.

Расчет (Прогноз) - Приложение N 5 к Положению средней хронологической остатков обязательных резервов, учитываемых на балансовых счетах N 815 и N 680, на текущий месяц производится по формуле:

L1 - остаток средств кредитной организации на балансовых счетах N 815 и N 680 на 1-е число текущего месяца (за последний день отчетного месяца);

L2 - остаток средств кредитной организации на балансовых счетах N 815 и N 680 на 2-е число текущего месяца (за 1 день месяца, следующего за отчетным);

Ln - остаток средств кредитной организации на балансовых счетах N 815 и N 680 на 1-е число месяца, следующего за текущим (за последний день месяца, следующего за отчетным);

n - число календарных дней в расчетном периоде (с 1-го числа текущего месяца по 1-е число месяца, следующего за текущим, включительно), равное 31. При расчете обязательных резервов количество дней в месяце условно принимается равным 30. Если в месяце 31 день, 31 число в расчет не принимается, а в феврале остаток за последнее число повторяется столько раз, сколько дней недостает до 30.

Кредитная организация, воспользовавшаяся правом внутримесячного снижения нормативов обязательных резервов, должна довнести в обязательные резервы необходимую сумму средств в период с 26-го по 30-е число текущего месяца (по состоянию на 1-е число следующего месяца), исходя из средней хронологической остатков обязательных резервов за текущий месяц в соответствии с Расчетом (Окончательным) - Приложение N 8 к Положению.

При этом средняя хронологическая остатков обязательных резервов по Расчету (Прогнозу) - Приложение N 5 к Положению - должна быть равна величине средней хронологической остатков обязательных резервов по Расчету (Окончательному) - Приложение N 8 к Положению.

Расчет за февраль:

1. Исходные данные:

1.1. Срок предоставления Расчета обязательных резервов за отчетный месяц (январь 1996 г.) - 06.02.96.

1.2. Срок перечисления средств в обязательные резервы по Расчету обязательных резервов за отчетный месяц - 06.02.96.

1.3. У кредитной организации на балансовых счетах N 815 и N 680 сформированы обязательные резервы в следующих размерах:

на 01.02.96 - 1800 млн. руб. (по расчету за декабрь 1995 г.);

на 07.02.96 - 2000 млн. руб. (по расчету за январь 1996 г.).

1.4. Максимальное снижение нормативов обязательных резервов на льготный период текущего месяца (с 07.02.96 по 25.02.96) не должно превышать 5% от фактической суммы обязательных резервов за отчетный месяц (январь), т.е. 100 млн. руб. (2000 x 5% = 100). Поэтому остаток средств кредитной организации на балансовых счетах N 815 и N 680 в течение льготного периода не должен быть меньше 1900 млн. руб. (2000 - 100 = 1900).

1.5. Средняя хронологическая остатков обязательных резервов, учитываемых на балансовых счетах N 815 и N 680, на февраль 1996 г. составляет 1963,33 млн. руб. (по Расчету (Прогнозу) - Приложение N 5):

Так как в феврале 1996 г. 29 календарных дней, а при расчете обязательных резервов количество дней в месяце условно принимается равным 30, то остаток 2000 млн. руб. за 29.02.96 должен повториться еще один раз.

1.6. Кредитная организация воспользовалась в феврале правом на внутримесячное снижение нормативов обязательных резервов в установленной сумме - 100 млн. руб. два раза в следующие периоды:

с 09.02.96 по 12.02.96 (в течение 4 дней); (в ред. письма ЦБ РФ от 25.04.97 N 440)

с 20.02.96 по 22.02.96 (в течение 3 дней). (в ред. письма ЦБ РФ от 25.04.97 N 440)

Территориальное учреждение (расчетно - кассовый центр) Банка России в конце операционного дня 08.02.96 и 19.02.96 переводит со счетов N N 815, 680 средства в сумме 100 млн. руб. на корреспондентский счет кредитной организации. (абзац введен письмом ЦБ РФ от 25.04.97 N 440)

Кредитная организация 12.02.96 и 22.02.96 производит доперечисление средств в обязательные резервы в сумме 100 млн. руб. (абзац введен письмом ЦБ РФ от 25.04.97 N 440)

1.7. Кредитная организация 26.02.96 довносит обязательные резервы в такой сумме, что средняя хронологическая фактических остатков обязательных резервов, учитываемых на балансовых счетах N 815 и N 680, в феврале (с 01.02.96 по 01.03.96 включительно) - по Расчету (Окончательному) - Приложение N 8 к Положению - эквивалентна средней хронологической остатков обязательных резервов по Расчету (Прогнозу) - Приложения N 5 к Положению. В нашем примере этот расчет произведен в п. 1.5 и расчетная средняя хронологическая на февраль 1996 г. составляет 1963,33 млн. руб.

2. Расчет суммы доперечисления в обязательные резервы:

Сумма - S, которая должна быть довнесена кредитной организацией 26.02.96 на балансовые счета N 815 и N 680 (т.е. на оставшиеся 5 расчетных календарных дней) при внутримесячном снижении нормативов обязательных резервов (исходя из средней хронологической, равной 1963,33 млн. руб.), рассчитывается с применением следующего уравнения:

S = 2155,56 млн. руб.

Кредитной организации 26.02.96 подлежит довнести в обязательные резервы 155,56 млн. руб. (2155,56 - 2000 = 155,56).

Таблица N 1

ДАННЫЕ ОБ ОБЯЗАТЕЛЬНЫХ РЕЗЕРВАХ КРЕДИТНОЙ ОРГАНИЗАЦИИ, ИСПОЛЬЗУЕМЫЕ ДЛЯ СОСТАВЛЕНИЯ РАСЧЕТА (ПРОГНОЗА) И РАСЧЕТА (ОКОНЧАТЕЛЬНОГО) ЗА ФЕВРАЛЬ 1996 Г.

млн. руб.
По балансу на дату Расчет (Прогноз) на дату Расчет (Окончательный) на дату Расчетные данные
01.02.96 1800 1800 кол-во фактических календарных дней в феврале 29
02.02.96 1800 1800
03.02.96 1800 1800 кол-во календарных дней для расчета суммы доперечисления средств 30
04.02.96 1800 1800
05.02.96 1800 1800 средняя хронологическая за февраль 1963,33
06.02.96 1800 1800    
07.02.96 2000 2000    
08.02.96 2000 2000    
09.02.96 2000 1900    
10.02.96 2000 1900    
11.02.96 2000 1900    
12.02.96 2000 1900    
13.02.96 2000 2000    
14.02.96 2000 2000    
15.02.96 2000 2000    
16.02.96 2000 2000    
17.02.96 2000 2000    
18.02.96 2000 2000    
19.02.96 2000 2000    
20.02.96 2000 1900    
21.02.96 2000 1900    
22.02.96 2000 1900    
23.02.96 2000 2000    
24.02.96 2000 2000    
25.02.96 2000 2000    
26.02.96 2000 2000 дата доперечисления средств 26.02.96
27.02.96 2000 2155,56 сумма доперечисления средств 155,56
28.02.96 2000 2155,56  
29.02.96 2000 2155,56
добавленный день <*> 2000 2155,56    
01.03.96 2000 2155,56    
-выходные дни

<*> В феврале остаток на 29 число в расчет принимается дважды.

Приложение N 11
к Положению
от 30.03.96 N 37

УСЛОВНЫЙ ПРИМЕР РАСЧЕТА СРЕДНЕЙ ХРОНОЛОГИЧЕСКОЙ ВЕЛИЧИНЫ ЕЖЕДНЕВНЫХ БАЛАНСОВЫХ ОСТАТКОВ ПРИВЛЕЧЕННЫХ ЗА ОТЧЕТНЫЙ ПЕРИОД СРЕДСТВ, УЧИТЫВАЕМЫХ ПРИ РАСЧЕТЕ РАЗМЕРА ОБЯЗАТЕЛЬНЫХ РЕЗЕРВОВ, ПОДЛЕЖАЩИХ ДЕПОНИРОВАНИЮ В БАНКЕ РОССИИ

(в ред. - Письма ЦБ РФ от 25.04.97 N 440)

ОБЩИЕ ПОЛОЖЕНИЯ

Кредитная организация представляет в территориальное учреждение Банка России расчеты регулирования размера обязательных резервов, подлежащих депонированию в Банке России, на первое марта, апреля и мая 1997 года.

Размер привлеченных средств кредитной организации, по которым начисляются обязательные резервы, определяется по формуле средней хронологической за отчетный месяц (февраль, март, апрель) в порядке, установленном п. 2.3 Положения от 30.03.96 N 37.

Кредитная организация производит расчет средней хронологической ежедневных балансовых остатков по каждой группе привлеченных средств в валюте Российской Федерации и иностранной валюте, в нашем примере - только по рублевым счетам до востребования и срочным обязательствам банка до 30 дней включительно.

1. Расчет за февраль

При расчете регулирования размера обязательных резервов на 01.03.97 кредитная организация использует данные ежедневных балансов за февраль, а также данные баланса на 01.03.97. Поскольку в феврале 1997 года фактическое количество календарных дней - 28, остаток привлеченных средств по данным баланса на 28.02.97 повторяется в расчете еще два раза (чтобы количество календарных дней в расчетном периоде составило 30).

Средняя хронологическая величина ежедневных балансовых остатков привлеченных за февраль средств составляет 1109 млрд. руб. (см. таблицу N 1 к настоящему Приложению).

2. Расчет за март

При расчете регулирования размера обязательных резервов на 01.04.97 кредитная организация использует данные ежедневных балансов за март, а также данные баланса на 01.04.97. В связи с тем, что в марте фактическое количество календарных дней составляет 31, остаток привлеченных средств по данным баланса на 31.03.97 в расчет не принимается.

Средняя хронологическая величина ежедневных балансовых остатков привлеченных за март средств составляет 1325 млрд. руб. (см. таблицу N 2 к настоящему Приложению).

3. Расчет за апрель

При расчете регулирования размера обязательных резервов на 01.05.97 кредитная организация использует данные ежедневных балансов за апрель, а также данные баланса на 01.05.97. В апреле фактическое количество календарных дней (30) полностью совпадает с расчетным периодом. Таким образом, в расчет включаются данные о ежедневных остатках привлеченных средств на все 30 календарных дней апреля.

Средняя хронологическая величина ежедневных балансовых остатков привлеченных за апрель средств составляет 1563 млрд. руб. (см. таблицу N 3 к настоящему Приложению).

ПРИМЕР РАСЧЕТА СРЕДНЕЙ ХРОНОЛОГИЧЕСКОЙ ЕЖЕДНЕВНЫХ БАЛАНСОВЫХ ОСТАТКОВ ПО РУБЛЕВЫМ СЧЕТАМ ДО ВОСТРЕБОВАНИЯ И СРОЧНЫМ ОБЯЗАТЕЛЬСТВАМ БАНКА ДО 30 ДНЕЙ ВКЛЮЧИТЕЛЬНО

Таблица N 1 Таблица N 2
Февраль 1997 года Март 1997 года

 

  (млрд. руб.)       (млрд. руб.)
Остатки привлеченных средств по балансу Средняя хронологическая ежедневных балансовых остатков за февраль   Остатки привлеченных средств по балансу Средняя хронологическая ежедневных балансовых остатков за март
на дату сумма на дату сумма
01.02.97 <*> 02.02.97 <*> 1020/2 1020 01.03.97<*> 02.03.97<*> 1028/2 1028
03.02.97 04.02.97 05.02.97 06.02.97 07.02.97 1020
870
875
850
820
03.03.97 04.03.97 05.03.97 06.03.97 07.03.97 1028 1267 1284 1310 1312
1109 1325
     
08.02.97 <*> 09.02.97 <*> 860
860
08.03.97<*> 09.03.97<*> 10.03.97<*> 1321 1321 1321
10.02.97 11.02.97 12.02.97 13.02.97 14.02.97 860
945 1015 1030 1030
11.03.97 12.03.97 13.03.97 14.03.97 1321 1415 1412 1302  
 
15.02.97 <*> 16.02.97 <*> 1025 1025 15.03.97<*> 16.03.97<*> 1315 1315  
17.02.97 18.02.97 19.02.97 20.02.97 21.02.97 1025 1370 1490 1465 1450 17.03.97 18.03.97 19.03.97 20.03.97 21.03.97 1315 1308 1415 1109 1121  
22.02.97 <*> 23.02.97 <*> 1478 1478 22.03.97<*> 23.03.97<*> 1090 1090  
24.02.97 25.02.97 26.02.97 27.02.97 28.02.97 Добавленный день Добавленный день 1478 1290 1150 1118 1120 1120

1120
24.03.97 25.03.97 26.03.97 27.03.97 28.03.97 1090 1432 1567 1644 1643  
29.03.97<*> 30.03.97<*> 1647 1647  
31.03.97 1647 в расчет не принимаются
01.03.97<*> 1028/2   01.04.97 1706/2  
     
<*> - нерабочие дни  
 
Таблица N 3
Апрель 1997 года
(млрд. руб.)
Остатки привлеченных средств по балансу Средняя хронологическая ежедневных балансовых остатков за апрель
на дату сумма
01.04.97 02.04.97 03.04.97 04.04.97 1706/2 1812 1830 1870
1563
05.04.97 <*> 06.04.97 <*> 1892 1892
 
07.04.97 08.04.97 09.04.97 10.04.97 11.04.97 1892 1789 1703 1654 1656  
12.04.97 <*> 13.04.97 <*> 1618 1618  
14.04.97 15.04.97 16.04.97 17.04.97 18.04.97 1618 1585 1586 1492 1408  
19.04.97 <*> 20.04.97 <*> 1423 1423  
21.04.97 22.04.97 23.04.97 24.04.97 25.04.97 1423 1401 1365 1341 1309  
26.04.97 <*> 27.04.97 <*> 1378 1378  
28.04.97 29.04.97 30.04.97 1378 1318 1321  
01.05.97 <*> 1344/2  

Приложение N 12
к Положению
от 30.03.96 N 37

ПРИМЕР К ПУНКТУ 6.2.9 ПОЛОЖЕНИЯ

(в ред. - Письма ЦБ РФ от 25.04.97 N 440)

А. Условные данные:

а) на 01.01.97 у кредитной организации нарушений по формированию обязательных резервов не было;

б) ставка рефинансирования Банка России - 42% годовых.

1. Территориальное учреждение Банка России 10.04.97 осуществляет проверку кредитной организации по вопросу своевременности и полноты выполнения обязательных резервных требований за период с января по март.

2. Срок представления кредитной организацией Расчета размера обязательных резервов - 3 рабочий день месяца, начало взыскания штрафа за нарушение порядка обязательного резервирования - с 6 рабочего дня месяца.

3. Регулирование размера обязательных резервов на 1 февраля произведено 6 февраля, на 1 марта - 7 марта, на 1 апреля - 4 апреля.

4. По результатам проверки правильности составления кредитной организацией Расчета регулирования размера обязательных резервов на 1 февраля установлен факт занижения суммы средней хронологической ежедневных балансовых остатков за январь, в результате чего кредитная организация допустила недовзнос в обязательные резервы в сумме 10 млн. рублей.

5. После этого территориальное учреждение Банка России осуществляет проверку расчетов обязательных резервов по состоянию на 1 марта и 1 апреля.

6. По результатам проверки Расчета на 1 марта выявлен недовзнос в обязательные резервы в сумме 50 млн. рублей.

По результатам проверки Расчета на 1 апреля выявлен недовзнос в обязательные резервы в сумме 5 млн. рублей.

7. В связи с тем, что на момент проверки (10 апреля) уже произведено регулирование размера обязательных резервов на 1 марта и на 1 апреля, то выявленные суммы недовзносов (на 1 февраля - 10 млн. рублей и на 1 марта - 50 млн. рублей) ко взысканию не предъявляются. Сумма недовзноса в обязательные резервы, образовавшаяся по результатам проверки Расчета на 1 апреля (5 млн. рублей), была перечислена кредитной организацией 15.04.97.

8. За нарушение порядка формирования обязательных резервов с кредитной организации должен быть взыскан штраф в следующих размерах:

а) за недовзнос в обязательные резервы по расчету на 1 февраля (количество дней недовзноса - 25 дней, первое нарушение в новом году):

за первые два дня, 10 и 11 февраля (1,3 ставки рефинансирования):

за оставшиеся 23 дня, в период с 12 февраля по 6 марта включительно (1,5 ставки рефинансирования):

Итого сумма штрафа: 0,43 млн. руб.

б) за недовзнос в обязательные резервы по Расчету на 1 марта (количество дней недовзноса - 24, поскольку 10 марта - нерабочий день, второе нарушение в отчетном году):

за первые два дня, 11 и 12 марта (1,5 ставки рефинансирования):

за оставшиеся 22 дня, в период с 13 марта по 3 апреля включительно (2,0 ставки рефинансирования):

Итого сумма штрафа: 2,742 млн. руб.

в) за недовзнос в обязательные резервы на 1 апреля (количество дней недовзноса - 7, третье нарушение в отчетном году):

за семь дней, в период с 8 по 14 апреля включительно (2,0 ставки рефинансирования):

Всего сумма штрафа: 3,254 млн. руб. (0,43 + 2,742 + 0,082).