По состоянию на 01.01.2016
ЗНАЧЕНИЯ КОРРЕКТИРУЮЩЕГО КОЭФФИЦИЕНТА К2 (ЕНВД) В МУНИЦИПАЛЬНЫХ ОБРАЗОВАНИЯХ ТУЛЬСКОЙ ОБЛАСТИ НА 2016 ГОД
Значения корректирующего коэффициента К2 (ЕНВД) в муниципальных образованиях Тульской области на 2020, 2019, 2018, 2017, 2015, 2014, 2013 гг. включены в систему отдельными документами.
ГОРОДА
Утвержден Решением Тульской городской Думы от 28.09.2005 N 71/1371 (ред. от 24.10.2012),
Решением Тульской городской Думы от 29.10.2014 N 3/42
ТУЛА
Единый налог вводится в отношении следующих видов предпринимательской деятельности:
1) оказание бытовых услуг, их групп, подгрупп, видов и (или) отдельных бытовых услуг, классифицируемых в соответствии с Общероссийским классификатором услуг населению;
2) оказание ветеринарных услуг;
3) оказание услуг по ремонту, техническому обслуживанию и мойке автомототранспортных средств;
4) оказание услуг по предоставлению во временное владение (в пользование) мест для стоянки автомототранспортных средств, а также по хранению автомототранспортных средств на платных стоянках (за исключением штрафных автостоянок);
5) оказание автотранспортных услуг по перевозке пассажиров и грузов, осуществляемых организациями и индивидуальными предпринимателями, имеющими на праве собственности или ином праве (пользования, владения и (или) распоряжения) не более 20 транспортных средств, предназначенных для оказания таких услуг;
6) розничная торговля, осуществляемая через магазины и павильоны с площадью торгового зала не более 150 квадратных метров по каждому объекту организации торговли;
7) розничная торговля, осуществляемая через объекты стационарной торговой сети, не имеющей торговых залов, а также объекты нестационарной торговой сети;
8) оказание услуг общественного питания, осуществляемых через объекты организации общественного питания с площадью зала обслуживания посетителей не более 150 кв. м по каждому объекту организации общественного питания;
9) оказание услуг общественного питания, осуществляемых через объекты организации общественного питания, не имеющие зала обслуживания посетителей;
10) распространение наружной рекламы с использованием рекламных конструкций;
11) размещение рекламы с использованием внешних и внутренних поверхностей транспортных средств;
12) оказание услуг по временному размещению и проживанию организациями и предпринимателями, использующими в каждом объекте предоставления данных услуг общую площадь помещений для временного размещения и проживания не более 500 квадратных метров;
13) оказание услуг по передаче во временное владение и (или) пользование торговых мест, расположенных в объектах стационарной торговой сети, не имеющих торговых залов, объектов нестационарной торговой сети, а также объектов организации общественного питания, не имеющих зала обслуживания посетителей;
14) оказание услуг по передаче во временное владение и (или) в пользование земельных участков для размещения объектов стационарной и нестационарной торговой сети, а также объектов организации общественного питания.
Корректирующий коэффициент базовой доходности К2 определяется как произведение установленных настоящим решением значений факторов, учитывающих влияние на результат предпринимательской деятельности:
1. Значения фактора вида предпринимательской деятельности (таблица 1).
2. Значения фактора режима работы в розничной торговле (кроме развозной и разносной розничной торговли) и в организациях общественного питания (таблица 2).
3. Значения фактора расположения объекта предпринимательской деятельности (таблица 3).
4. Значения фактора расположения объекта наружной рекламы (таблица 4).
5. Значения фактора места расположения объекта временного размещения и проживания (таблица 5).
6. Значения фактора, учитывающего особенности осуществления деятельности по оказанию автотранспортных услуг по перевозке пассажиров (таблица 6).
Для налогоплательщиков - инвалидов с детства, инвалидов I и II групп, индивидуально осуществляющих деятельность без привлечения наемных работников, общественных организаций, оказывающих бытовые услуги при среднесписочной численности инвалидов не менее 50 процентов и доле заработной платы инвалидов в фонде оплаты труда не менее 50 процентов, значения коэффициента К2 уменьшаются в 2 раза.
В случае если при определении коэффициента К2 его значение получается более или менее соответственно 1 или 0,005, то устанавливается значение коэффициента К2 равным соответственно 1 или 0,005.
Таблица 1
Фактор вида предпринимательской деятельности
Розничная торговля (по видам товаров)
1. В случае оказания одним работником в течение налогового периода нескольких видов услуг, по которым установлены различные значения факторов вида услуг, учет этого работника производится по тому виду услуг, по которому установлено максимальное значение фактора.
2. При осуществлении на одном объекте розничной торговли в течение налогового периода смешанным ассортиментом товаров применяется максимальное значение фактора, учитывающего вид реализуемого товара из числа товаров, торговля которыми осуществляется на данном объекте.
3. Код вида продукции (товара) определяется по Общероссийскому классификатору продукции ОК 005-93.
Таблица 2
Фактор режима работы в розничной торговле (кроме развозной и разносной розничной торговли) и в организациях общественного питания
1. Продолжительность рабочей недели и продолжительность ежедневной работы определяется правилами внутреннего трудового распорядка. Для объектов розничной торговли и объектов организации общественного питания, осуществляющих деятельность на территориях сторонних организаций, режим которых исключает возможность ведения предпринимательской деятельности более определенного количества дней в неделю, часов в сутки, продолжительность рабочей недели и продолжительность ежедневной работы определяется правилами внутреннего трудового распорядка указанных сторонних организаций.
Таблица 3
Фактор расположения объекта предпринимательской деятельности
Раздел 1. Фактор расположения объекта предпринимательской деятельности на территории города Тулы
1. Перечень, определяющий предприятия, оказывающие услуги общественного питания малоимущим гражданам, в целях применения понижающего коэффициента при исчислении суммы единого налога на вмененный доход в соответствии с настоящим пунктом, устанавливается органами социальной защиты населения.
Категория места расположения объекта предпринимательской деятельности на территории города Тулы
1. Диапазон номеров домов, использующий четные (нечетные) числа, определяет четную (нечетную) сторону нумерации домов.
2. В диапазон номеров домов, если явно не указано иное, включаются дома, имеющие номера из указанного диапазона с дополнительным буквенным обозначением и (или) номером корпуса.
Раздел 2. Фактор расположения объекта предпринимательской деятельности на территории сельских округов
1. Перечень, определяющий предприятия, оказывающие услуги общественного питания малоимущим гражданам, в целях применения понижающего коэффициента при исчислении суммы единого налога на вмененный доход в соответствии с настоящим пунктом, устанавливается органами социальной защиты населения.
Категория места расположения объекта предпринимательской деятельности на территории сельских округов
Фактор расположения объекта наружной рекламы
Категория места расположения объекта наружной рекламы
Фактор места расположения объекта временного размещения и проживания
Фактор вида транспортного средства, оказывающего услуги по перевозке пассажиров (по количеству посадочных мест)
Утвержден Решением Собрания депутатов МО г. Новомосковск от 18.11.2011 N 63-3 (ред. от 26.08.2014),
Решением Собрания депутатов МО г. Новомосковск Новомосковского района от 14.11.2008 N 6-4 (ред. от 22.12.2008)
НОВОМОСКОВСК
Единый налог вводится в отношении следующих видов предпринимательской деятельности:
Ввести на территории муниципального образования город Новомосковск систему налогообложения в виде единого налога на вмененный доход в отношении следующих видов предпринимательской деятельности:
1.1. оказание бытовых услуг;
1.2. оказание услуг по ремонту, техническому обслуживанию и мойке автотранспортных средств;
1.3. розничной торговли, осуществляемой через магазины и павильоны с площадью торгового зала не более 150 квадратных метров по каждому объекту организации торговли;
1.4. розничной торговли, осуществляемой через объекты стационарной торговой сети, не имеющей торговых залов, а также объекты нестационарной торговой сети;
1.5. оказание автотранспортных услуг по перевозке пассажиров и грузов, осуществляемых организациями и индивидуальными предпринимателями, имеющими на праве собственности или ином праве (пользования, владения и (или) распоряжения) не более 20 транспортных средств, предназначенных для оказания таких услуг;
1.6. оказание услуг общественного питания, осуществляемых через объекты организации общественного питания с площадью зала обслуживания посетителей не более 150 квадратных метров по каждому объекту организации общественного питания;
1.7. оказание ветеринарных услуг;
1.8. оказание услуг по предоставлению во временное владение (в пользование) мест для стоянки автотранспортных средств, а также по хранению автотранспортных средств на платных стоянках (за исключением штрафных стоянок);
1.9. распространение наружной рекламы с использованием рекламных конструкций;
1.10. оказание услуг общественного питания, осуществляемых через объекты организации общественного питания, не имеющие зала обслуживания посетителей;
1.11. размещение рекламы на транспортных средствах;
1.12. оказание услуг по временному размещению и проживанию организациями и предпринимателями, использующими в каждом объекте предоставления данных услуг общую площадь помещений для временного размещения и проживания не более 500 квадратных метров;
1.13. оказание услуг по передаче во временное владение и (или) в пользование торговых мест, расположенных в объектах стационарной торговой сети, не имеющих торговых залов, объектов нестационарной торговой сети, а также объектов организации общественного питания, не имеющих зала обслуживания посетителей;
1.14. оказание услуг по передаче во временное владение и (или) в пользование земельных участков для размещения объектов стационарной и нестационарной торговой сети, а также объектов организации общественного питания.
Установлено, что на 2012 - 2017 годы значения корректирующего коэффициента базовой доходности К2, учитывающего совокупность особенностей ведения предпринимательской деятельности, при исчислении единого налога на вмененный доход для отдельных видов деятельности определяются:
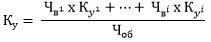
1. при оказании бытовых услуг - по формуле:
где
- коэффициент бытовых услуг, определяется в соответствии со значениями, приведенными в таблице 1;
- территориальный коэффициент городского округа, определяется в соответствии со значением, приведенным в таблице 2.
Городской округ - муниципальное образование город Новомосковск.
При оказании налогоплательщиком одновременно нескольких бытовых услуг, по которым установлены разные значения коэффициента , значение коэффициента
определяется по формуле:
, ...,
- численность работников, занятых оказанием услуг, в отношении которой установлено значение коэффициента
;
Чоб - количество работников, занятых оказанием бытовых услуг;
, ...,
- значение коэффициента
для отдельных бытовых услуг.
В случае оказания одним работником нескольких бытовых услуг, по которым установлены различные значения коэффициента , учет этого работника производится по той бытовой услуге, по которой установлено максимальное значение коэффициента
;
2. при оказании услуг по ремонту, техническому обслуживанию и мойке автотранспортных средств - по формуле:
где:
- территориальный коэффициент городского округа, определяется в соответствии со значениями, приведенными в таблице 2;
3. при оказании услуг по предоставлению во временное владение (пользование) мест для стоянки автотранспортных средств, а также по хранению автотранспортных средств на платных стоянках (за исключением штрафных стоянок) - как величина, равная:
- территориальный коэффициент городского округа, определяется в соответствии со значениями, приведенными в таблице 2;
4. для розничной торговли, осуществляемой через магазины и павильоны с площадью торгового зала не более 150 квадратных метров по каждому объекту организации торговли и розничной торговли, осуществляемой через объекты стационарной торговой сети, не имеющие торговых залов, а также объекты нестационарной торговой сети, - по формуле:
где:
- территориальный коэффициент городского округа, определяется в соответствии со значениями, приведенными в таблице 2;
- коэффициент категории места расположения объекта, определяется из числа указанных для категорий городского округа величин, приведенных в таблице 2.
Отнесение улиц и (или) домов к той или иной категории места расположения объекта определяется в соответствии со значениями, приведенными в таблице 5;
- коэффициент вида товара, определяется в соответствии со значениями, приведенными в таблице 3;
- равный 0,7 - коэффициент розничной торговли, осуществляемой через объекты нестационарной торговой сети, учитывающий время работы.
Значение коэффициента К2 уменьшается в 2 раза:
для налогоплательщиков, осуществляющих исключительно реализацию продукции по договорам комиссии (агентским договорам);
в случае одновременной реализации налогоплательщиком в течение квартала через магазины и павильоны продукции собственного производства и товаров при условии, что объем реализации за квартал продукции собственного производства составляет не менее 30 процентов от общего объема реализации за тот же квартал;
для налогоплательщиков, осуществляющих в течение квартала наряду с реализацией товаров продажу (отпуск) товаров с оплатой по безналичному расчету детским яслям и садам, школам, интернатам, домам престарелых, больницам и другим учреждениям социального обслуживания, здравоохранения и образования, финансируемым из бюджетов различных уровней, при условии, что объем продажи (отпуска) товаров этим учреждениям за квартал составляет не менее 10 процентов от общего объема реализации товаров за тот же квартал. Перечень учреждений социального обслуживания установлен действующим законодательством Российской Федерации, регулирующим вопросы в социальной сфере;
5. при оказании услуг общественного питания, осуществляемых через объекты организации общественного питания с площадью зала обслуживания посетителей не более 150 квадратных метров по каждому объекту организации общественного питания и при оказании услуг общественного питания, осуществляемых через объекты организации общественного питания, не имеющие зала обслуживания посетителей:
- в соответствии со значениями, приведенными в таблице 4;
6. при оказании ветеринарных услуг - по формуле:
где:
- территориальный коэффициент городского округа, определяется в соответствии со значениями, приведенными в таблице 2;
7. при оказании услуг по временному размещению и проживанию организациями и предпринимателями, использующими в каждом объекте предоставления данных услуг общую площадь помещений для временного размещения и проживания не более 500 квадратных метров, и при распространении наружной рекламы с использованием рекламных конструкций - по формуле:
где
- территориальный коэффициент городского округа, определяется в соответствии со значениями, приведенными в таблице 2;
- коэффициент категории места расположения объекта, определяется из числа указанных для категорий городского округа величин, приведенных в таблице 2. Отнесение улиц и (или) домов к той или иной категории места расположения объекта определяется в соответствии со значениями, приведенными в таблице 5.
Для налогоплательщиков, предоставляющих услуги по размещению и (или) распространению социальной рекламы, значение коэффициента К2 уменьшается в 2 раза;
8. при размещении рекламы на транспортных средствах - как величина, равная 1,0;
9. при оказании услуг по передаче во временное владение и (или) в пользование торговых мест, расположенных в объектах стационарной торговой сети, не имеющих торговых залов, объектов нестационарной торговой сети, а также объектов организации общественного питания, не имеющих зала обслуживания, - как величина, равная 0,65.
Значение коэффициента К2 уменьшается в 2 раза при предоставлении стационарных торговых мест в рынках только по выходным дням;
10. при оказании услуг по передаче во временное владение и (или) в пользование земельных участков для размещения объектов стационарной и нестационарной торговой сети, а также объектов организации общественного питания - по формуле:
где
- территориальный коэффициент городского округа, определяется в соответствии со значениями, приведенными в таблице 2;
- коэффициент категории места расположения объекта, определяется из числа указанных для категорий городского округа величин, приведенных в таблице 2. Отнесение улиц и (или) домов к той или иной категории места расположения объекта определяется в соответствии со значениями, приведенными в таблице 5;
11. при оказании автотранспортных услуг по перевозке грузов, осуществляемых организациями и индивидуальными предпринимателями, имеющими на праве собственности или ином праве (пользования, владения и (или) распоряжения) не более 20 транспортных средств, предназначенных для оказания таких услуг, - равные 1,0;
при оказании автотранспортных услуг по перевозке пассажиров, осуществляемых организациями и индивидуальными предпринимателями, имеющими на праве собственности или ином праве (пользования, владения и (или) распоряжения) не более 20 транспортных средств, предназначенных для оказания таких услуг, - по формуле:
где
- коэффициент вида транспортного средства, оказывающего услуги по перевозке пассажиров, определяется в соответствии со значениями, приведенными в таблице 6.
Значение коэффициента К2 уменьшается в 2 раза для налогоплательщиков - инвалидов с детства, инвалидов I и II групп, индивидуально осуществляющих виды предпринимательской деятельности, указанные в настоящем пункте, без привлечения наемных работников.
Налогоплательщик, имеющий право на уменьшение значения коэффициента К2 одновременно по нескольким основаниям, указанным в настоящей статье, может им воспользоваться только по одному основанию.
Таблица 1
Коэффициенты бытовых услуг (Ку)
Территориальные коэффициенты городского округа (Кт) и коэффициенты категории места расположения объекта стационарной или нестационарной торговой сети (Км)
В случае если в течение налогового периода изменяется место расположения объекта нестационарной торговой сети, при расчете коэффициента К2 применяются максимальные значения коэффициентов и
для используемых мест расположения.
Таблица 3
Коэффициенты вида товара (Кв)
| Код вида продукции по Общероссийскому классификатору продукции | Вид товара по виду продукции Общероссийского классификатора продукции | Коэффициент вида товара ( |
| 89 0000 | Меха, меховые и овчинно-шубные изделия (за исключением товаров для детей) | 1,00 |
| 96 4000 | Изделия ювелирные, галантерея ювелирная и металлическая, изделия ритуально-обрядовые, награды, монеты | |
| 45 2850 | Мотоциклы с мощностью двигателя до 112,5 кВт (150 л.с.) | |
| 91 7000 | Продукция винодельческой промышленности | |
| 91 8100 | Водка и ликероводочные изделия | |
| 91 8201 - 91 8203, | Продукция спиртового производства | |
| 91 8210 - 91 8244 | ||
| 51 5500 | Приборы бытовые электрические нагревательные | |
| 40 0000 | Вычислительная техника | |
| 50 0000 | Программные средства и информационные продукты вычислительной техники | |
| 44 4000 | Фото- и киноаппаратура (кроме профессиональной). Аппаратура для измерения характеристик и обработки фото- и киноматериалов | |
| 23 7000 | Кино-, фото - и магнитные материалы | |
| 48 6000 | Оборудование для кондиционирования воздуха и вентиляции | |
| 42 8000 | Приборы времени | |
| 91 9300 | Продукция табачной промышленности | |
| 91 8400 | Продукция пивоваренной промышленности | |
| Прочие | 0,84 | |
| 34 6000 | Оборудование светотехническое и изделия электроустановочные. Лампы электрические. Изделия культурно-бытового назначения и хозяйственного обихода | 0,42 |
| 92 2000 | Продукция молочной и маслосыродельной промышленности | |
| 92 9000 | Продукция микробиологической и мукомольно-крупяной промышленности | |
| 96 0121 | Сувениры | |
| 96 1000 | Изделия для физкультуры, спорта и туризма | |
| 91 1000 | Продукция сахарной и хлебопекарной промышленности | |
| 91 4900 | Изделия макаронные | |
| 91 9200 | Продукция соляной промышленности | |
| 91 9100 | Продукция чайной промышленности | |
| 96 2000 | Инструменты музыкальные | |
| 96 9800 | Изделия художественных промыслов | |
| 96 9900 | Оборудование, инструмент и материалы для художников | |
| 23 3100 | Материалы художественные | |
| 96 7703 | Кисти художественные ученические | |
| 81 5000 | Галантерея текстильная | |
| 96 9200 (за искл. 96290) | Предметы мелкой галантереи. Значки. Принадлежности канцелярские и школьно-письменные; для домашнего содержания рыб, птиц и зверей (за искл. принадлежностей для курения) | |
| 42 6130 | Ручки автоматические | |
| 42 6140 | Карандаши механические | |
| 42 6150 | Наборы ручек автоматических и карандашей механических. Приборы письменные настольные | |
| 42 6531 | Готовальни | |
| 42 6532 | Циркули | |
| 42 6190 | Устройства вспомогательные и принадлежности к средствам составления текстовых документов | |
| 54 6100 | Тетради школьные ученические | |
| 54 6310 | Тетради разные (кроме тетрадей школьных ученических) и дневники школьные | |
| 54 6321 | Альбомы и папки с бумагой для рисования, черчения (эскизов) | |
| 54 6370 | Бумага и картон для черчения и рисования | |
| 54 6380 | Бумага для письма и конверты промаркированные (немаркированные) | |
| 54 6392 | Папки для нот | |
| 54 6393 | Папки для хранения тетрадей | |
| 54 6395 | Обложки для обертывания школьных тетрадей, учебников, книг, деловых бумаг, суперобложки | |
| 81 4000 | Нитки и изделия ниточные | |
| 97 0000 | Продукция растениеводства, сельского и лесного хозяйства | |
| 95 0000 | Продукция полиграфической промышленности | |
| 96 3000 25 1467, 25 1468 25 9130, 25 9140, 25 9150, 25 9230, 25 9240, 25 9414 - 25 9416, 25 9424 - 25 9426, 25 9434, 25 9435,25 9630, 25 9640, 25 9650, 45 2990, 84 1053 - 84 1059, 84 1082, 84 1130,84 1140, 84 1160, 84 1230, 84 1240, 84 1260, 84 1330, 84 1340, 84 1360, 84 1430, 84 1460, 84 1530, 84 1540, 84 1560, 84 1630, 84 1640, 84 1660, 84 1730, 84 1740, 84 1760, 84 1830, 84 1840, 84 1860, 84 1930, 84 2140, 84 2150, 84 2180, 84 2240, 84 2250, 84 2280, 84 2340, 84 2350, 84 2440, 84 2450, 84 2480, 84 2540, 84 2550, 84 2580, 84 2640, 84 2680, 84 2740, 84 2750, 84 2780, 84 2850, 84 2880, 84 3037, 84 3085, 84 3130, 84 3230, 84 3430, 84 3530, 84 3630, 84 3830, 84 4130, 84 4230, 84 4330, 84 4430, 84 4530, 84 4630, 84 4730, 84 4830, 84 5130, 84 5230, 84 5330, 84 5430, 84 5530, 84 5630, 84 5730, 84 5830, 85 0136, 85 1061, 85 1066, 85 1108, 85 1114 - 85 1116, 85 1123, 85 1124, 85 1126, 85 1143 - 85 1146, 85 1153 - 85 1156, 85 1163 - 85 1166, 85 1173 - 85 1176, 85 1201, 85 1213 - 85 1216, 85 1253, 85 1254, 85 1273 - 85 1276, 85 1283 - 85 1286, 85 1373 - 85 1376, 85 1383, 85 1384, 85 1419, 85 1489, 85 1519, 85 1559, 85 1579, 85 1713 - 85 1716, 85 1733, 85 1734, 85 1743 - 85 1745, 85 1753 - 85 1756, 85 1773, 85 1774, 85 2014, 85 2024, 85 2058, 85 2104, 85 2113 - 85 2116, 85 2133 - 85 2136, 85 2153 - 85 2156, 85 2173 - 85 2176, 85 2193, 85 2194, 85 2202, 85 2213 - 85 2216, 85 2226, 85 2233 - 85 2236, 85 2243, 85 2244, 85 2253 - 85 2256, 85 2273 - 85 2276, 85 2501, 85 2508, 85 2513 - 85 2516, 85 2533 - 85 2536, 85 2543 - 85 2545, 85 2553 - 85 2556, 85 2573 - 85 2576, 85 2583, 85 2584, 85 3018, 85 3025, 85 3106, 85 3114 - 85 3116, 85 3134, 85 3136, 85 3144, 85 3154, 85 3156, 85 3173 - 85 3176, 85 3190, 85 3203, 85 3214, 85 3216, 85 3234, 85 3236, 85 3244, 85 3254, 85 3256, 85 3274, 85 3276, 85 3314, 85 3316, 85 3334, 85 3336, 85 3354, 85 3356, 85 3374, 85 3376, 85 3414, 85 3416, 85 3434, 85 3436, 85 3443, 85 3444, 85 3453 - 85 3456, 85 3474, 85 3476, 85 3513 - 85 3516 85 3534, 85 3536, 85 3550, 85 3574, 85 3576, 85 3593, 85 3595, 85 3615, 85 3634, 85 3636, 85 3653, 85 3656, 85 3674, 85 4113, 85 4115, 85 4133, 85 4135, 85 4153, 85 4155, 85 4173, 85 4175, 85 4193, 85 4195, 85 4205, 85 4213 - 85 4217, 85 4233 - 85 4237, 85 4273 - 85 4277, 85 4293 - 85 4297, 85 4317, 85 4319, 85 4337 - 85 4339, 85 4357, 85 4377, 85 4379, 85 4397, 85 4399, 85 4413 - 85 4416, 85 4473, 85 4475, 85 4493 - 85 4496, 85 4514, 85 4519, 85 4534, 85 4574, 85 4614, 85 4634, 85 4664, 85 4674, 85 4719, 85 4779, 85 4819, 85 4839, 85 4879, 85 4917, 85 4977, 85 5153, 85 5154, 85 5353, 85 5354, 85 5453, 85 5513, 85 5553, 85 5613, 85 5633, 85 5653, 85 5713, 85 5753, 85 5814, 85 5854, 85 5913, 85 5973, 85 6113, 85 6133, 85 6135, 85 6143, 85 6153, 85 6155, 85 6163, 85 6165, 85 6173, 85 6175, 85 6213, 85 6253 - 85 6255, 85 6263, 85 6265, 85 6273, 85 6275, 85 6319, 85 6329, 85 6339, 85 6359, 85 6379, 85 6419, 85 6459, 85 6469, 85 6579, 85 6619, 85 6659, 85 6669, 85 6679, 85 6689, 85 6701, 85 6729, 85 6739, 85 6853, 85 6863, 85 6913, 85 6963, 85 7213, 85 7214, 85 7313, 85 7314, 85 7413, 85 7414, 85 7513, 85 7714, 85 9569, 87 8540, 87 8630, 88 0056, 88 0909, 88 1300, 88 1338, 88 1339, 88 1340, 88 1400, 88 1500, 88 1600, 88 1700, 88 2300, 88 2500, 88 2600, 88 2700, 88 2900, 88 3300, 88 3400, 88 3500, 88 3600, 88 3700, 88 3900, 88 4300, 88 4400, 88 4500, 88 4600, 88 5300, 88 5400, 88 5500, 88 6300, 88 6500, 88 6600, 88 7300, 88 7400, 88 7500, 88 7600, 88 7700, 88 8300, 88 8400, 88 8500, 88 8600, 88 8700, 88 8900, 89 2140 - 89 2149, 89 2340 - 89 2349, 89 2540 - 89 2549, 89 3001, 89 3103, 89 3130, 89 3140, 89 4140, 89 5140, 89 6540, 89 6840, 91 6011 - 91 6014, 91 6160, 91 6201, 91 6202, 91 6218, 91 6302, 91 6360, 91 9700, 96 9240 | Изделия медицинские (соски-пустышки, соски молочные). Игрушки и украшения елочные. Товары для детей | 0,32 |
При торговле смешанным ассортиментом товаров применяется максимальное значение коэффициента из числа значений коэффициентов, установленных по видам товаров, торговля которыми осуществляется на данном объекте торговли. При торговле смешанным ассортиментом товаров в поселках и сельских населенных пунктах, не являющихся муниципальными образованиями, значение коэффициента
устанавливается в размере 0,6. Код вида продукции определяется по Общероссийскому классификатору продукции ОК 005-93.
Корректирующие коэффициенты базовой доходности при оказании услуг общественного питания (К2)
Вид транспортного средства, оказывающего услуги по перевозке пассажиров (Квт)
Утвержден Решением Собрания депутатов муниципального образования г. Донской
от 28.09.2005 N 70-3 (ред. от 23.11.2009),
Решением Собрания депутатов муниципального образования г. Донской
от 02.11.2011 N 23-14 (ред. от 21.11.2013)
ДОНСКОЙ
Единый налог вводится в отношении следующих видов предпринимательской деятельности:
1) оказания бытовых услуг, за исключением услуг по изготовлению мебели, строительству индивидуальных домов;
2) оказания услуг по ремонту, техническому обслуживанию и мойке автотранспортных средств;
3) розничной торговли, осуществляемой через магазины и павильоны с площадью торгового зала не более 150 квадратных метров по каждому объекту организации торговли;
4) розничной торговли, осуществляемой через объекты стационарной торговой сети, не имеющие торговых залов, а также объекты нестационарной торговой сети;
5) оказания автотранспортных услуг по перевозке пассажиров и грузов, осуществляемых организациями и индивидуальными предпринимателями, имеющими на праве собственности или ином праве (пользования, владения и (или) распоряжения) не более 20 транспортных средств, предназначенных для оказания таких услуг;
6) оказание услуг общественного питания, осуществляемых через объекты организации общественного питания с площадью зала обслуживания посетителей не более 150 квадратных метров по каждому объекту организации общественного питания;
7) оказания ветеринарных услуг;
8) оказание услуг по предоставлению во временное владение (в пользование) мест для стоянки автотранспортных средств, а также по хранению автотранспортных средств на платных стоянках (за исключением штрафных автостоянок);
9) распространение наружной рекламы с использованием рекламных конструкций.
Значения корректирующего коэффициента базовой доходности К2, учитывающего совокупность особенностей ведения предпринимательской деятельности, при исчислении суммы единого налога на вмененный доход для отдельных видов деятельности определяются:
1) при оказании бытовых услуг, их групп, подгрупп, видов и (или) отдельных бытовых услуг, классифицируемых в соответствии с Общероссийским классификатором услуг населению, - по формуле:
где
- коэффициент бытовых услуг, определяется в соответствии со значениями, приведенными в таблице 1;
- коэффициент микрорайона, определяется в соответствии со значениями, приведенными в таблице 2.
В случае если при определении коэффициента К2 для бытовых услуг значения коэффициента К2 получаются менее 0,005, устанавливается коэффициент К2, равный 0,005;
2) при оказании услуг по ремонту, техническому обслуживанию и мойке автотранспортных средств - по формуле:
где
- коэффициент микрорайона, определяется в соответствии со значениями, приведенными в таблице 2;
3) при оказании услуг по предоставлению во временное владение (в пользование) мест для стоянки автотранспортных средств, а также по хранению автотранспортных средств на платных стоянках (за исключением штрафных автостоянок) - по формуле:
где
- коэффициент микрорайона, определяется в соответствии со значениями, приведенными в таблице 2;
4) для розничной торговли, осуществляемой через магазины и павильоны с площадью торгового зала не более 150 квадратных метров по каждому объекту организации торговли; для розничной торговли, осуществляемой через объекты стационарной торговой сети, не имеющей торговых залов, а также объекты нестационарной торговой сети, - по формуле:
где
- коэффициент микрорайона, определяется в соответствии со значениями, приведенными в таблице 2;
- коэффициент категории места расположения объекта стационарной или нестационарной торговой сети, определяется из числа указанных для категорий микрорайонов величин, приведенных в таблице 2. Отнесение улиц и (или) домов к той или иной категории места расположения объекта стационарной или нестационарной торговой сети определяется в соответствии со значениями, приведенными в таблице 5;
- коэффициент вида товара, определяется в соответствии со значениями, приведенными в таблице 3;
- коэффициент розничной торговли, осуществляемой через объекты нестационарной торговой сети, учитывающий время работы, равный 0,7.
Значения коэффициента К2 уменьшаются в 2 раза:
в случае одновременной реализации налогоплательщиком в течение квартала через магазины и павильоны продукции собственного производства и товаров при условии, что объем реализации за квартал продукции собственного производства составляет не менее 30 процентов от общего объема реализации за тот же квартал;
5) при оказании автотранспортных услуг по перевозке пассажиров и грузов, осуществляемых организациями и индивидуальными предпринимателями, имеющими на праве собственности или ином праве (пользования, владения и (или) распоряжения) не более 20 транспортных средств, предназначенных для оказания таких услуг:
- по перевозке грузов - К2 как величина, равная 1,0;
- по перевозке пассажиров - К2 как величина, равная 1,0;
6) при оказании услуг общественного питания, осуществляемых через объекты организации общественного питания с площадью зала обслуживания посетителей не более 150 квадратных метров по каждому объекту организации общественного питания, - по формуле:
где
- коэффициент общественного питания, определяется в соответствии со значениями, приведенными в таблице 4;
7) при оказании ветеринарных услуг - по формуле:
где
- коэффициент микрорайона, определяется в соответствии со значениями, приведенными в таблице 2;
8) при распространении наружной рекламы с использованием рекламных конструкций:
К2 определяется в соответствии со значениями, приведенными в приложении таблице 6;
9) при оказании услуг по временному размещению и проживанию организациями и предпринимателями, использующими в каждом объекте предоставления данных услуг общую площадь помещений для временного размещения и проживания не более 500 квадратных метров, - по формуле:
где
- коэффициент микрорайона, определяется в соответствии со значениями, приведенными в таблице 2;
- коэффициент категории места расположения объекта стационарной или нестационарной торговой сети, определяется из числа указанных для категорий микрорайонов величин, приведенных в таблице 2. Отнесение улиц и (или) домов к той или иной категории места расположения объекта стационарной или нестационарной торговой сети определяется в соответствии со значениями, приведенными в таблице 5;
10) при оказании услуг общественного питания, осуществляемых через объекты организации общественного питания, не имеющие зала обслуживания посетителей, - как величина, равная 0,1;
11) при размещении рекламы на транспортных средствах - как величина, равная 1,0;
12) при оказании услуг по передаче во временное владение и (или) в пользование торговых мест, расположенных в объектах стационарной торговой сети, не имеющих торговых залов, объектов нестационарной торговой сети, а также объектов организации общественного питания, не имеющих зала обслуживания посетителей, - по формуле:
где
- коэффициент микрорайона, определяется в соответствии со значениями, приведенными в таблице 2;
13) при оказании услуг по передаче во временное владение и (или) в пользование земельных участков для размещения объектов стационарной и нестационарной торговой сети, а также объектов организации общественного питания - по формуле:
где
- коэффициент микрорайона, определяется в соответствии со значениями, приведенными в таблице 2;
- коэффициент категории места расположения объекта стационарной или нестационарной торговой сети, определяется из числа указанных для категорий микрорайонов величин, приведенных в таблице 2. Отнесение улиц и (или) домов к той или иной категории места расположения объекта стационарной или нестационарной торговой сети определяется в соответствии со значениями, приведенными в таблице 5.
2. Значение коэффициента К2 уменьшается в 2 раза для налогоплательщиков - инвалидов с детства, инвалидов I и II групп, индивидуально осуществляющих виды предпринимательской деятельности, указанные в Решении Собрания депутатов муниципального образования г. Донской от 02.11.2011 N 23-14, без привлечения наемных работников.
Налогоплательщик, имеющий право на уменьшение значения коэффициента К2 одновременно по нескольким основаниям, указанным в Решении Собрания депутатов муниципального образования г. Донской от 02.11.2011 N 23-14, может им воспользоваться только по одному основанию.
Таблица 1
Коэффициенты бытовых услуг (КУ)
| Код по Общероссийскому классификатору услуг населению | Наименование услуг | Коэффициент бытовых услуг ( |
| 011100 | Ремонт обуви | 0,15 |
| 011200 | Окраска обуви | 0,15 |
| 011300 | Пошив обуви | 0,30 |
| 011400 | Прочие услуги по ремонту и пошиву обуви | 0,15 |
| 012100 | Ремонт швейных, меховых и кожаных изделий, головных уборов и изделий текстильной галантереи | 0,15 |
| 012200 | Пошив швейных, меховых и кожаных изделий, головных уборов и изделий текстильной галантереи | 0,20 |
| 012300 | Прочие услуги по ремонту и пошиву швейных, меховых и кожаных изделий, головных уборов и изделий текстильной галантереи | 0,15 |
| 012400 | Ремонт трикотажных изделий | 0,15 |
| 012500 | Пошив и вязание трикотажных изделий | 0,20 |
| 012600 | Прочие услуги при пошиве и вязании трикотажных изделий | 0,15 |
| 013100 | Ремонт и техническое обслуживание бытовой радиоэлектронной аппаратуры | 0,25 |
| 013200 | Ремонт бытовых машин | 0,25 |
| 013300 | Ремонт бытовых приборов | 0,25 |
| 013400 | Ремонт и изготовление металлоизделий | 0,25 |
| 014200 | Ремонт мебели | 0,30 |
| 014300 | Прочие услуги по изготовлению и ремонту мебели | 0,30 |
| 015100 | Химическая чистка | 0,25 |
| 015200 | Прочие услуги при химической чистке | 0,25 |
| 015300 | Крашение | 0,25 |
| 015400 | Услуги прачечных | 0,15 |
| 016100 | Ремонт жилья и других построек | 0,30 |
| 016200 (за исключением 016201) | Строительство жилья и других построек (за исключением строительства индивидуальных домов) | 0,60 |
| 016300 | Прочие услуги, оказываемые при ремонте и строительстве жилья и других построек | 0,30 |
| 018100 | Услуги фотоателье, фото- и кинолабораторий | 0,30 |
| 018300 | Прочие услуги производственного характера | 0,20 |
| 019100 | Услуги бань, душевых и саун | 0,15 |
| 019200 | Прочие услуги, оказываемые в банях и душевых | 0,15 |
| 019300 | Парикмахерские и косметические услуги, оказываемые организациями коммунально-бытового назначения | 0,40 |
| 019400 | Услуги предприятий по прокату | 0,10 |
| 019434 | Прокат игровых автоматов, компьютеров, игровых программ | 0,70 |
| 019436 | Прокат компьютерной техники | 0,70 |
| 019500 | Ритуальные услуги | 0,50 |
| 019600 | Обрядовые услуги | 0,15 |
| 019700 | Прочие услуги непроизводственного характера | 0,15 |
При оказании налогоплательщиком одновременно нескольких бытовых услуг, по которым установлены разные значения коэффициента , значение коэффициента
определяется по формуле:
Чв(1), ..., Чв(i) - численность работников, занятых оказанием услуги, в отношении которой установлено значение коэффициента Ку;
Чоб - количество работников, занятых оказанием бытовых услуг;
Ку(1), ..., Ку(i) - значения коэффициента Ку для отдельных бытовых услуг.
В случае оказания одним работником нескольких бытовых услуг, по которым установлены различные значения коэффициента Ку, учет этого работника производится по той бытовой услуге, по которой установлено максимальное значение коэффициента Ку.
Коэффициенты микрорайона (КТ) и коэффициенты категории места расположения объекта стационарной или нестационарной торговой сети (КМ)
В случае если в течение налогового периода изменяется место расположения объекта нестационарной торговой сети, при расчете коэффициента К2 применяются максимальные значения коэффициентов и
для используемых мест расположения.
Таблица 3
Коэффициенты вида товара (КВ)
| Код вида продукции по Общероссийскому классификатору продукции | Вид товара по виду продукции Общероссийского классификатора продукции | Коэффициент вида товара ( |
| 45 1100 | Автомобили грузовые. Автобусы | 0,96 |
| 45 1700 | Прицепы к легковым автомобилям | |
| 45 2510 | Прицепы общего назначения к грузовым автомобилям | |
| 45 2520 | Меха, меховые и овчинно-шубные изделия (за исключением товаров для детей) | |
| 89 0000 | Изделия ювелирные, галантерея ювелирная и металлическая, изделия ритуально-обрядовые, награды, монеты | |
| 96 4000 | Мотоциклы с мощностью двигателя до 112,5 кВт (150 л.с.) | |
| 45 2850 | Продукция винодельческой промышленности | |
| 91 7000 | Водка и ликероводочные изделия | |
| 91 8100 | Продукция спиртового производства | |
| 91 8201 | Приборы бытовые электрические нагревательные | |
| 91 8203 | Вычислительная техника | |
| 91 8210 | Программные средства и информационные продукты вычислительной техники | |
| 91 8244 | Фото- и киноаппаратура (кроме профессиональной) | |
| 51 5500 | Аппаратура для измерения характеристик и обработки фото- и киноматериалов | |
| 40 0000 | Кино-, фото- и магнитные материалы | |
| 50 0000 | Оборудование для кондиционирования воздуха и вентиляции | |
| 44 4000 | Оборудование светотехническое и изделия электроустановочные | |
| 23 7000 | Лампы электрические | |
| 48 6000 34 6000 | Изделия культурно-бытового назначения и хозяйственного обихода | |
| 42 8000 | Приборы времени | |
| 91 9300 | Продукция табачной промышленности | |
| 91 8400 | Продукция пивоваренной промышленности | |
| Прочие | 0,78 | |
| 92 2000 | Продукция молочной и маслосыродельной промышленности | 0,39 |
| 92 9000 | Продукция микробиологической и мукомольно-крупяной промышленности | |
| 96 0121 | Сувениры | |
| 96 1000 | Изделия для физкультуры, спорта и туризма | |
| 91 1000 | Продукция сахарной и хлебопекарной промышленности | |
| 91 4900 | Изделия макаронные | |
| 91 9200 | Продукция соляной промышленности | |
| 91 9100 | Продукция чайной промышленности | |
| 96 2000 | Инструменты музыкальные | |
| 96 9800 | Изделия художественных промыслов | |
| 96 9900 | Оборудование, инструмент и материалы для художников | |
| 23 3100 | Материалы художественные | |
| 96 7703 | Кисти художественные ученические | |
| 81 5000 | Галантерея текстильная | |
| 96 9200 | Предметы мелкой галантереи | |
| 42 6130 | Значки | |
| 42 6140 | Принадлежности канцелярские и школьно-письменные; для домашнего содержания рыб, птиц и зверей | |
| 42 6150 | Ручки автоматические | |
| 42 6190 | Карандаши механические | |
| 81 4000 | Наборы ручек автоматических и карандашей механических. | |
| 97 0000 | Приборы письменные настольные | |
| 95 0000 | Устройства вспомогательные и принадлежности к средствам составления текстовых документов | |
| Нитки и изделия ниточные | ||
| Продукция растениеводства, сельского и лесного хозяйства | ||
| Продукция полиграфической промышленности | ||
| 96 3000 25 9130, 25 9140, 25 9150, 25 9230, 25 9240, 25 9414 25 9416, 25 9424 25 9426, 25 9434, 25 9435, 25 9630, 25 9640, 25 9650, 45 2990, 84 1053 84 1059, 84 1082, 84 1130, 84 1140, 84 1160, 84 1230, 84 1240, 84 1260, 84 1330, 84 1340, 84 1360, 84 1430, 84 1460, 84 1530, 84 1540, 84 1560, 84 1630, 84 1640, 84 1660, 84 1730, 84 1740, 84 1760, 84 1830, 84 1840, 84 1860, 84 1930, 84 2140, 84 2150, 84 2180, 84 2240, 84 2250, 84 2280, 84 2340, 84 2350, 84 2440, 84 2450, 84 2480, 84 2540, 84 2550, 84 2580, 84 2640, 84 2680, 84 2740, 84 2750, 84 2780, 84 2850, 84 2880, 84 3037, 84 3085, 84 3130, 84 3230, 84 3430, 84 3530, 84 3630, 84 3830, 84 4130, 84 4230, 84 4330, 84 4430, 84 4530, 84 4630, 84 4730, 84 4830, 84 5130, 84 5230, 84 5330, 84 5430, 84 5530, 84 5630, 84 5730, 84 5830, 85 0136, 85 1061, 85 1066, 85 1108, 85 1114 85 1116, 85 1123, 85 1124, 85 1126, 85 1143 - 85 1146, 85 1153 - 85 1156, 85 1163 - 85 1166, 85 1173 - 85 1176, 85 1201, 85 1213 85 1216, 85 1253, 85 1254, 85 1273 85 1276, 85 1283 85 1286, 85 1373 85 1376, 85 1383, 85 1384, 85 1419, 85 1489, 85 1519, 85 1559, 85 1579, 85 1713 - 85 1716, 85 1733, 85 1734, 85 1743 - 85 1745, 85 1753 - 85 1756, 85 1773, 85 1774, 85 2014, 85 2024, 85 2058, 85 2104, 85 2113 - 85 2116, 85 2133 - 85 2136, 85 2153 - 85 2156, 85 2173 - 85 2176, 85 2193, 85 2194, 85 2202, 85 2213 85 2216, 85 2226, 85 2233 - 85 2236, 85 2243, 85 2244, 85 2253 - 85 2256, 85 2273 - 85 2276, 85 2501, 85 2508, 85 2513 - 85 2516, 85 2533 - 85 2536, 85 2543 - 85 2545, 85 2553 - 85 2556, 85 2573 - 85 2576, 85 2583, 85 2584, 85 3018, 85 3025, 85 3106, 85 3114 85 3116, 85 3134, 85 3136, 85 3144, 85 3154, 85 3156, 85 3173 - 85 3176, 85 3190, 85 3203, 85 3214, 85 3216, 85 3234, 85 3236, 85 3244, 85 3254, 85 3256, 85 3274, 85 3276, 85 3314, 85 3316, 85 3334, 85 3336, 85 3354, 85 3356, 85 3374, 85 3376, 85 3414, 85 3416, 85 3434, 85 3436, 85 3443, 85 3444, 85 3453 85 3456, 85 3474, 85 3476, 85 3513 85 3516, 85 3534, 85 3536, 85 3550, 85 3574, 85 3576, 85 3593, 85 3595, 85 3615, 85 3634, 85 3636, 85 3653 85 3656, 85 3674, 85 4113, 85 4115, 85 4133, 85 4135, 85 4153, 85 4155, 85 4173, 85 4175, 85 4193, 85 4195, 85 4205, 85 4213 85 4217, 85 4233 85 4237, 85 4273 85 4277, 85 4293 85 4297, 85 4317, 85 4319, 85 4337 - 85 4339, 85 4357, 85 4377, 85 4379, 85 4397, 85 4399, 85 4413 85 4416, 85 4473, 85 4475,85 4493 85 4496, 85 4514, 85 4519, 85 4534, 85 4574, 85 4614, 85 4634, 85 4664, 85 4674, 85 4719, 85 4779, 85 4819, 85 4839, 85 4879, 85 4917, 85 4977, 85 5153, 85 5154, 85 5353, 85 5354, 85 5453, 85 5513, 85 5553, 85 5613, 85 5633, 85 5653, 85 5713, 85 5753, 85 5814, 85 5854, 85 5913, 85 5973, 85 6113, 85 6133, 85 6135, 85 6143, 85 6153, 85 6155, 85 6163, 85 6165, 85 6173, 85 6175, 85 6213, 85 6253 85 6255, 85 6263, 85 6265, 85 6273, 85 6275, 85 6319, 85 6329, 85 6339, 85 6359, 85 6379, 85 6419, 85 6459, 85 6469, 85 6579, 85 6619, 85 6659, 85 6669, 85 6679, 85 6689, 85 6701, 85 6729, 85 6739, 85 6853, 85 6863, 85 6913, 85 6963, 85 7213, 85 7214, 85 7313, 85 7314, 85 7413, 85 7414, 85 7513, 85 7714, 85 9569, 87 8540, 87 8630, 88 0056, 88 0909, 88 1300, 88 1338, 88 1339, 88 1340, 88 1400, 88 1500, 88 1600, 88 1700, 88 2300, 88 2500, 88 2600, 88 2700, 88 2900, 88 3300, 88 3400, 88 3500, 88 3600, 88 3700, 88 3900, 88 4300, 88 4400, 88 4500, 88 4600, 88 5300, 88 5400, 88 5500, 88 6300, 88 6500, 88 6600, 88 7300, 88 7400, 88 7500, 88 7600, 88 7700, 88 8300, 88 8400, 88 8500, 88 8600, 88 8700, 88 8900, 89 2140 89 2149, 89 2340 89 2349, 89 2540 89 2549, 89 3001, 89 3103, 89 3130, 89 3140, 89 4140, 89 5140, 89 6540, 89 6840, 91 6011 - 91 6014, 91 6160, 91 6201, 91 6202, 91 6218, 91 6302, 91 6360, 91 9700, 96 9240 | Игрушки и украшения елочные | 0,30 |
| Товары для детей |
При торговле смешанным ассортиментом товаров применяется максимальное значение коэффициента из числа значений коэффициентов, установленных по видам товаров, торговля которыми осуществляется на данном объекте торговли.
Код вида продукции определяется по Общероссийскому классификатору продукции ОК 005-93.
Таблица 4
Коэффициенты общественного питания (Кп)
Категории места расположения объектов стационарной или нестационарной торговой сети
Значения корректирующего коэффициента базовой доходности К2 при исчислении суммы единого налога на вмененный доход в отношении деятельности по распространению наружной рекламы с использованием рекламных конструкций
ЕФРЕМОВ
Утвержден Решением Собрания депутатов муниципального образования г. Ефремов
от 20.11.2014 N 7-33 (ред. от 29.04.2015),
решением Собрания представителей муниципального образования Ефремовский район
от 27.09.2005 N 11-88 (ред. от 26.11.2009)
Единый налог вводится в отношении следующих видов предпринимательской деятельности:
1) оказания бытовых услуг (кроме бытовых услуг по изготовлению мебели и строительству индивидуальных домов), их групп, подгрупп, видов и (или) отдельных бытовых услуг (кроме бытовых услуг по изготовлению мебели и строительству индивидуальных домов), классифицируемых в соответствии с Общероссийским классификатором услуг населению;
2) оказание услуг по ремонту, техническому обслуживанию и мойке автотранспортных средств;
3) розничной торговли, осуществляемой через магазины и павильоны с площадью торгового зала не более 150 квадратных метров по каждому объекту организации торговли. Для целей настоящей главы розничная торговля, осуществляемая через магазины и павильоны с площадью торгового зала более 150 квадратных метров по каждому объекту организации торговли, признается видом предпринимательской деятельности, в отношении которого единый налог не применяется;
4) оказания автотранспортных услуг по перевозке пассажиров и грузов, осуществляемых организациями и индивидуальными предпринимателями, имеющими на праве собственности или ином праве (пользования, владения и (или) распоряжения) не более 20 транспортных средств, предназначенных для оказания таких услуг;
5) оказание услуг общественного питания, осуществляемых через объекты организации общественного питания с площадью зала обслуживания посетителей не более 150 квадратных метров по каждому объекту организации общественного питания. Для целей настоящей главы оказание услуг общественного питания, осуществляемых через объекты организации общественного питания с площадью зала обслуживания посетителей более 150 квадратных метров по каждому объекту организации общественного питания, признается видом предпринимательской деятельности, в отношении которого единый налог не применяется;
6) оказание ветеринарных услуг;
7) оказания услуг по предоставлению во временное владение (в пользование) мест для стоянки автотранспортных средств, а также по хранению автотранспортных средств на платных стоянках (за исключением штрафных автостоянок);
8) распространения наружной рекламы с использованием рекламных конструкций;
9) оказания услуг по передаче во временное владение и (или) в пользование торговых мест, расположенных в объектах стационарной торговой сети, не имеющих торговых залов, объектов нестационарной торговой сети, а также объектов организации общественного питания, не имеющих зала обслуживания посетителей;
10) розничной торговли, осуществляемой через объекты стационарной торговой сети, не имеющей торговых залов, а также объекты нестационарной торговой сети;
11) оказания услуг по передаче во временное владение и (или) в пользование земельных участков для размещения объектов стационарной и нестационарной торговой сети, а также объектов организации общественного питания;
12) оказание услуг общественного питания, осуществляемых через объекты организации общественного питания, не имеющие зала обслуживания посетителей;
13) распространение и (или) размещение рекламы на транспортных средствах.
Значения корректирующего коэффициента базовой доходности К2, учитывающего совокупность особенностей ведения предпринимательской деятельности, при исчислении суммы единого налога на вмененный доход для отдельных видов деятельности определяются:
1) при оказании бытовых услуг, их групп, подгрупп, видов и отдельных бытовых услуг, классифицируемых в соответствии с Общероссийским классификатором услуг населению, - по формуле:
где
0,312 - максимальное значение корректирующего коэффициента К2;
Ку - коэффициент вида услуг, определяется в соответствии со значениями, приведенными в таблице 1;
Кт - коэффициент категории города или сельского населенного пункта, определяется в соответствии со значениями, приведенными в таблице 2.
В случае если при определении коэффициента К2 для бытовых услуг значения коэффициента К2 получатся менее 0,005, устанавливается коэффициент К2, равный 0,005;
2) при оказании ветеринарных услуг - по формуле:
где
0,188 - максимальное значение корректирующего коэффициента К2;
Кт - коэффициент категории города или сельского населенного пункта, определяется в соответствии со значениями, приведенными в таблице 2.
3) при оказании услуг по ремонту, техническому обслуживанию и мойке автотранспортных средств - по формуле:
0,34 - максимальное значение корректирующего коэффициента К2 для данного вида деятельности;
Кт - коэффициент категории города или сельского населенного пункта, определяется в соответствии со значениями, приведенными в таблице 2;
4) при оказании услуг по предоставлению во временное владение (пользование) мест для стоянки автотранспортных средств, а также по хранению автотранспортных средств на платных стоянках (за исключением штрафных автостоянок) - как величина, равная:
где
1,0 - максимальное значение корректирующего коэффициента К2 для данного вида деятельности;
Кт - коэффициент категории города или сельского населенного пункта, определяется в соответствии со значениями, приведенными в таблице 2;
5) при оказании автотранспортных услуг по перевозке пассажиров и грузов, осуществляемых организациями и индивидуальными предпринимателями, имеющими на праве собственности или ином праве (пользования, владения и (или) распоряжения) не более 20 транспортных средств, предназначенных для оказания таких услуг, - по формуле:
- при оказании услуг по перевозке грузов:
где
1,0 - максимальное значение корректирующего коэффициента К2;
Кт - коэффициент категории города или сельского населенного пункта, определяется в соответствии со значениями, приведенными в таблице 2;
- при оказании услуг по перевозке пассажиров:
К2 = 1;
6) для розничной торговли, осуществляемой через магазины и павильоны с площадью торгового зала не более 150 квадратных метров по каждому объекту организации торговли, - по формуле:
где
0,5 - максимальное значение корректирующего коэффициента К2;
Кт - коэффициент категории города или сельского населенного пункта, определяется в соответствии со значениями, приведенными в таблице 2;
Км - коэффициент категории места расположения объекта стационарной или нестационарной торговой сети, объекта наружной рекламы, земельного участка, определяется в соответствии со значениями, приведенными в таблице 5;
Кв - коэффициент вида товара, определяется в соответствии со значениями, приведенными в таблице 3;
7) для розничной торговли, осуществляемой через объекты стационарной торговой сети, не имеющие торговых залов, а также объекты нестационарной торговой сети, - по формуле:
где
0,5 - максимальное значение корректирующего коэффициента К2;
Кт - коэффициент категории города или сельского населенного пункта, определяется в соответствии со значениями, приведенными в таблице 2;
Км - коэффициент категории места расположения объекта стационарной или нестационарной торговой сети, объекта наружной рекламы, земельного участка, определяется в соответствии со значениями, приведенными в таблице 5;
Кв - коэффициент вида товара, определяется в соответствии со значениями, приведенными в таблице 3;
8) при оказании услуг общественного питания, осуществляемых через объекты организации общественного питания с площадью зала обслуживания посетителей не более 150 квадратных метров по каждому объекту организации общественного питания, - по формуле:
где
0,87 - максимальное значение корректирующего коэффициента К2;
Кп - корректирующий коэффициент базовой доходности при оказании услуг общественного питания, определяется в соответствии со значениями, приведенными в таблице 4;
9) при оказании услуг общественного питания, осуществляемых через объекты организации общественного питания, не имеющие зала обслуживания посетителей, - по формуле:
где
1,0 - максимальное значение корректирующего коэффициента К2;
Кп - корректирующий коэффициент базовой доходности при оказании услуг общественного питания, определяется в соответствии со значениями, приведенными в таблице 4;
10) при распространении наружной рекламы с использованием рекламных конструкций - по формуле:
где
0,12 - максимальное значение корректирующего коэффициента К2;
Кт - коэффициент категории города или сельского населенного пункта, определяется в соответствии со значениями, приведенными в таблице 2;
Км - коэффициент категории места расположения объекта стационарной или нестационарной торговой сети, объекта наружной рекламы, земельного участка, определяется в соответствии со значениями, приведенными в таблице 5;
11) при размещении рекламы на транспортных средствах - по формуле:
где
Км - коэффициент, учитывающий место расположения рекламного объекта на транспортном средстве, определяется в соответствии со значениями, приведенными в таблице 6;
Кр - коэффициент, учитывающий вид рекламного объекта, находящегося на транспортном средстве, определяется в соответствии со значениями, приведенными в таблице 7;
12) при оказании услуг по временному размещению и проживанию организациями и предпринимателями, использующими в каждом объекте предоставления данных услуг общую площадь помещений для временного размещения и проживания не более 500 квадратных метров, - по формуле:
где
Кт - коэффициент города или сельского населенного пункта, определяется в соответствии со значениями, приведенными в таблице 2;
13) при оказании услуг по передаче во временное владение и (или) пользование торговых мест, расположенных в объектах стационарной торговой сети, не имеющих торговых залов, объектов нестационарной торговой сети, а также объектов организации общественного питания, не имеющих зала обслуживания посетителей, - по формуле:
где
Кт - коэффициент города или сельского населенного пункта, определяется в соответствии со значениями, приведенными в таблице 2;
14) при оказании услуг по передаче во временное владение и (или) пользование земельных участков для размещения объектов стационарной и нестационарной торговой сети, а также объектов организации общественного питания - по формуле:
где
1,0 - максимальное значение корректирующего коэффициента К2;
Км - коэффициент категории места расположения объекта стационарной или нестационарной торговой сети, объекта наружной рекламы, земельного участка, определяется в соответствии со значениями, приведенными в таблице 5.
Значения коэффициента К2 уменьшаются в 2 раза:
- в случае одновременной реализации налогоплательщиком в течение квартала через магазины и павильоны продукции собственного производства и товаров при условии, что объем реализации за квартал продукции собственного производства составляет не менее 30 процентов от общего объема реализации за тот же квартал;
- для налогоплательщиков, осуществляющих в течение квартала наряду с реализацией товаров продажу (отпуск) товаров с оплатой по безналичному расчету яслям, детским садам, школам, интернатам, домам престарелых, больницам и другим учреждениям социального обслуживания, здравоохранения и образования, финансируемым из бюджетов различного уровня, при условии, что объем продажи (отпуска) товаров этим учреждениям за квартал составляет не менее 10 процентов от общего объема реализации товаров за тот же квартал. Перечень учреждений социального обслуживания определяется в соответствии с Федеральным законом от 10 декабря 1995 года N 195-ФЗ "Об основах социального обслуживания населения в Российской Федерации";
- для налогоплательщиков - инвалидов с детства, инвалидов I и II групп, индивидуально осуществляющих виды предпринимательской деятельности без привлечения наемных работников.
Налогоплательщик, имеющий право на уменьшение значения коэффициента К2 одновременно по нескольким основаниям, указанным выше, может им воспользоваться только по одному основанию.
Таблица 1
Коэффициент вида услуг (товара) (КУ)
| Код по Общероссийскому классификатору услуг населению | Наименование вида услуг (товаров) | Значение коэффициента Ку |
| Бытовые услуги | ||
| 011100 | Ремонт обуви | 0,11 |
| 011200 | Окраска обуви | 0,11 |
| 011300 | Пошив обуви | 0,21 |
| 011400 | Прочие услуги по ремонту и пошиву обуви | 0,11 |
| 012100 | Ремонт швейных, меховых и кожаных изделий, головных уборов и изделий текстильной галантереи | 0,09 |
| 012200 | Пошив швейных, меховых и кожаных изделий, головных уборов и изделий текстильной галантереи | 0,18 |
| 012300 | Прочие услуги по ремонту и пошиву швейных, меховых и кожаных изделий, головных уборов и изделий текстильной галантереи | 0,09 |
| 012400 | Ремонт трикотажных изделий | 0,08 |
| 012500 | Пошив и вязание трикотажных изделий | 0,18 |
| 012600 | Прочие услуги при пошиве и вязании трикотажных изделий | 0,08 |
| 013100 | Ремонт и техническое обслуживание бытовой радиоэлектронной аппаратуры | 0,28 |
| 013200 | Ремонт бытовых машин | 0,28 |
| 013300 | Ремонт бытовых приборов | 0,28 |
| 013400 | Ремонт и изготовление металлоизделий | 0,36 |
| 014200 | Ремонт мебели | 0,26 |
| 014300 | Прочие услуги по изготовлению и ремонту мебели | 0,26 |
| 015100 | Химическая чистка | 0,32 |
| 015200 | Прочие услуги при химической чистке | 0,32 |
| 015300 | Крашение | 0,32 |
| 015400 | Услуги прачечных | 0,18 |
| 016100 | Ремонт жилья и других построек | 0,32 |
| 016200 | Строительство жилья и других построек | 0,78 |
| 016300 | Прочие услуги, оказываемые при ремонте и строительстве жилья и других построек | 0,32 |
| 018100 | Услуги фотоателье, фото- и кинолабораторий | 0,36 |
| 018300 | Прочие услуги производственного характера | 0,26 |
| 019100 | Услуги бань и душевых | 0,18 |
| 019200 | Прочие услуги, оказываемые в банях и душевых | 0,18 |
| 019300 | Услуги парикмахерских | 0,35 |
| 019400 | Услуги предприятий по прокату | 0,14 |
| 019434 | Прокат игровых автоматов, компьютеров, игровых программ | 0,78 |
| 019436 | Прокат компьютерной техники | 0,78 |
| 019500 | Ритуальные услуги | 0,39 |
| 019600 | Обрядовые услуги | 0,14 |
| 019700 | Прочие услуги непроизводственного характера | 0,14 |
При оказании налогоплательщиком одновременно нескольких бытовых услуг, по которым установлены разные значения коэффициента Ку, значение коэффициента Ку определяется по формуле:
где:
Чв(1), ..., Чв(i) - численность работников, занятых оказанием услуги, в отношении которой установлено значение коэффициента Ку;
Чоб - количество работников, занятых оказанием бытовых услуг;
Ку(1), ..., Ку(i) - значения коэффициента Ку для отдельных бытовых услуг.
В случае оказания одним работником нескольких бытовых услуг, по которым установлены различные значения коэффициента Ку, учет этого работника производится по той бытовой услуге, по которой установлено максимальное значение коэффициента Ку.
Таблица 2
Коэффициент категории города или сельского населенного пункта (КТ)
Коэффициент вида товара (КВ)
При торговле смешанным ассортиментом товаров применяется максимальное значение коэффициента Кв из числа значений коэффициентов, установленных по видам товаров, торговля которыми осуществляется на данном объекте торговли.
При торговле смешанным ассортиментом товаров в сельских населенных пунктах значение коэффициента Кв устанавливается в размере 0,6.
Код вида продукции определяется по Общероссийскому классификатору продукции ОК 005-93.
Таблица 4
Корректирующие коэффициенты базовой доходности при оказании услуг общественного питания (КП)
Коэффициент категории места расположения объекта стационарной или нестационарной торговой сети, объекта наружной рекламы, земельного участка
1. В диапазон номеров домов, если явно не указано иное, включаются дома, имеющие номера из указанного диапазона с дополнительным буквенным обозначением и (или) номером корпуса.
2. Местом расположения торгового объекта считать место расположения торговой точки, местом расположения объекта наружной рекламы считать место расположения рекламного шита, местом расположения земельного участка считать место расположения на соответствующем земельном участке торгового места в стационарной торговой сети, объекта нестационарной торговой сети, объекта организации общественного питания, не имеющего зала обслуживания посетителей.
Таблица 6
Корректирующие коэффициенты, учитывающие место расположения рекламного объекта на транспортном средстве (КМ)
Корректирующие коэффициенты, учитывающие вид рекламного объекта (КР)
РАЙОНЫ
Утвержден Решением Собрания представителей муниципального образования Алексинский район
от 15.11.2012 N 14(48).8 (ред. от 12.11.2014),
Решением Собрания представителей муниципального образования Алексинский район
от 28.09.2005 N 4(24).26 (ред. от 12.11.2014)
АЛЕКСИНСКИЙ
Единый налог вводится в отношении следующих видов предпринимательской деятельности:
1) при оказании бытовых услуг, их групп, подгрупп, видов и (или) отдельных бытовых услуг, классифицируемых в соответствии с Общероссийским классификатором услуг населению;
2) при оказании ветеринарных услуг;
3) при оказании услуг по ремонту, техническому обслуживанию и мойке автомототранспортных средств;
4) при оказании услуг по предоставлению во временное владение (пользование) мест для стоянки автомототранспортных средств, а также по хранению автомототранспортных средств на платных стоянках (за исключением штрафных автостоянок);
5) при оказании автотранспортных услуг и перевозке пассажиров и грузов, осуществляемых организациями и индивидуальными предпринимателями, имеющими на праве собственности или ином праве (пользования, владения и (или) распоряжения) не более 20 транспортных средств, предназначенных для оказания таких услуг;
6) для розничной торговли, осуществляемой через магазины и павильоны с площадью торгового зала не более 150 квадратных метров по каждому объекту организации торговли;
7) для розничной торговли, осуществляемой через объекты стационарной торговой сети, не имеющей торговых залов, а также объекты нестационарной торговой сети;
8) при оказании услуг общественного питания, осуществляемых через объекты организации общественного питания с площадью зала обслуживания посетителей не более 150 квадратных метров по каждому объекту организации общественного питания;
9) при оказании услуг общественного питания, осуществляемых через объекты организации общественного питания, не имеющие зала обслуживания посетителей;
10) при распространении наружной рекламы с использованием рекламных конструкций;
11) при размещении рекламы с использованием внешних и внутренних поверхностей транспортных средств;
12) при оказании услуг по временному размещению и проживанию организациями и предпринимателями, использующими в каждом объекте предоставления данных услуг общую площадь помещений для временного размещения и проживания не более 500 квадратных метров;
13) при оказании услуг по передаче во временное владение и (или) в пользование торговых мест, расположенных в объектах стационарной торговой сети, не имеющих торговых залов, объектов нестационарной торговой сети, а также объектов организации общественного питания, не имеющих зала обслуживания посетителей;
14) при оказании услуг по передаче во временное владение и (или) в пользование земельных участков для размещения объектов стационарной и нестационарной торговой сети, а также объектов организации общественного питания.
К2 при оказании бытовых услуг
где
- коэффициент бытовых услуг, определяемый в соответствии со значениями, приведенными в Таблице 1;
- коэффициент поселения, определяемый в соответствии со значениями, приведенными в Таблице 1.
При оказании налогоплательщиком одновременно нескольких наименований бытовых услуг, по которым установлены разные значения коэффициента Ку, значение коэффициента Ку определяется по формуле:
где
,...,
- численность работников, занятых оказанием услуги, в отношении которой установлено значение коэффициента
;
Чоб - количество работников, занятых оказанием бытовых услуг;
,...,
- значения коэффициента Ку для отдельных бытовых услуг.
В случае оказания одним работником нескольких бытовых услуг, по которым установлены различные значения коэффициента , учет этого работника производится по той бытовой услуге, по которой установлено максимальное значение коэффициента
.
К2 при оказании ветеринарных услуг
где
- коэффициент поселения, определяемый в соответствии со значениями, приведенными в Таблице 2;
К2 при оказании услуг по ремонту, техническому обслуживанию и мойке автомототранспортных средств
Величина, равная 0,5 (К2 = 0,5).
К2 при оказании услуг по предоставлению во временное владение (в пользование) мест для стоянки автомототранспортных средств, а также по хранению автомототранспортных средств на платных стоянках (за исключением штрафных автостоянок)
где
- коэффициент поселения, определяемый в соответствии со значениями, приведенными в Таблице 2.
К2 при оказании автотранспортных услуг по перевозке грузов, осуществляемых организациями и индивидуальными предпринимателями, имеющими на праве собственности или ином праве (пользования, владения и (или) распоряжения) не более 20 транспортных средств, предназначенных для оказания таких услуг
Величина, равная 1 (К2 = 1)
К2 при оказании автотранспортных услуг по перевозке пассажиров, осуществляемых организациями и индивидуальными предпринимателями, имеющими на праве собственности или ином праве (пользования, владения и (или) распоряжения) не более 20 транспортных средств, предназначенных для оказания таких услуг
а) в транспортных средствах до 5 посадочных мест включительно - как величина, равная 1 (К2 = 1);
б) в транспортных средствах от 6 до 16 посадочных мест включительно - как величина, равная 0,62 (К2 = 0,62);
в) в транспортных средствах свыше 16 посадочных мест - как величина, равная 0,5 (К2 = 0,5).
К2 для розничной торговли
Осуществляемой через:
а) магазины и павильоны с площадью торгового зала не более 150 квадратных метров по каждому объекту организации торговли и через объекты стационарной торговой сети, не имеющей торговых залов, - по формуле:
где
- коэффициент поселения, определяемый в соответствии со значениями, приведенными в Таблице 2;
- коэффициент категории места расположения объекта стационарной или нестационарной торговой сети, определяемый в соответствии со значениями, приведенными в Таблице 2.
Категория места расположения объекта стационарной или нестационарной торговой сети определяется согласно Таблице 5;
- коэффициент вида товара, определяемый в соответствии со значениями, приведенными в Таблице 3;
б) объекты нестационарной торговой сети - по формуле:
где
- коэффициент поселения, определяемый в соответствии со значениями, приведенными в Таблице 2;
- коэффициент категории места расположения объекта стационарной или нестационарной торговой сети, определяемый в соответствии со значениями, приведенными в Таблице 2.
Категория места расположения объекта стационарной или нестационарной торговой сети определяется согласно Таблице 5;
- коэффициент вида товара, определяемый в соответствии со значениями, приведенными в Таблице 3;
- коэффициент фактического периода времени осуществления предпринимательской деятельности, определяемый как отношение количества календарных дней ведения предпринимательской деятельности в течение календарного месяца налогового периода к количеству календарных дней в данном календарном месяце налогового периода.
К2 при оказании услуг общественного питания, осуществляемых через объекты организации общественного питания
а) с площадью зала обслуживания посетителей не более 150 квадратных метров по каждому объекту организации общественного питания - по формуле:
где
- коэффициент поселения, определяемый в соответствии со значениями, приведенными в Таблице 2;
- коэффициент общественного питания, определяемый в соответствии со значениями, приведенными в Таблице 4;
б) не имеющие зала обслуживания посетителей - как величина, равная 1 (К2 = 1).
К2 при распространении наружной рекламы с использованием рекламных конструкций и размещении рекламы с использованием внешних и внутренних поверхностей транспортных средств
Величина, равная 0,7 (К2 = 0,7).
К2 при оказании услуг по временному размещению и проживанию организациями и предпринимателями, использующими в каждом объекте предоставления данных услуг общую площадь помещений для временного размещения и проживания не более 500 квадратных метров
Величина, равная 0,4 (К2 = 0,4).
К2 при оказании услуг по передаче во временное владение и (или) в пользование торговых мест, расположенных в объектах стационарной торговой сети, не имеющих торговых залов, объектов нестационарной торговой сети, а также объектов организации общественного питания, не имеющих зала обслуживания посетителей
Величина, равная 0,8 (К2 = 0,8).
К2 при оказании услуг по передаче во временное владение и (или) в пользование земельных участков для размещения объектов стационарной и нестационарной торговой сети, а также объектов организации общественного питания
Величина, равная 1 (К2 = 1).
Значение коэффициента К2 уменьшается в 2 раза для налогоплательщиков - инвалидов с детства, инвалидов I и II групп, индивидуально осуществляющих виды предпринимательской деятельности, без привлечения наемных работников.
Таблица 1
Коэффициент бытовых услуг (КУ)
| Код по Общероссийскому классификатору услуг населению | Наименование услуг | Коэффициент бытовых услуг ( |
| 011100 | Ремонт обуви | 0,14 |
| 011200 | Окраска обуви | 0,14 |
| 011300 | Пошив обуви | 0,26 |
| 011400 | Прочие услуги по ремонту и пошиву обуви | 0,14 |
| 012100 | Ремонт швейных, меховых и кожаных изделий, головных уборов и изделий текстильной галантереи | 0,11 |
| 012200 | Пошив швейных, меховых и кожаных изделий, головных уборов и изделий текстильной галантереи | 0,22 |
| 012300 | Прочие услуги по ремонту и пошиву швейных, меховых и кожаных изделий, головных уборов и изделий текстильной галантереи | 0,11 |
| 012400 | Ремонт трикотажных изделий | 0,10 |
| 012500 | Пошив и вязание трикотажных изделий | 0,22 |
| 012600 | Прочие услуги при пошиве и вязании трикотажных изделий | 0,10 |
| 013100 | Ремонт и техническое обслуживание бытовой радиоэлектронной аппаратуры | 0,24 |
| 013200 | Ремонт бытовых машин | 0,22 |
| 013300 | Ремонт бытовых приборов | 0,24 |
| 013400 | Ремонт и изготовление металлоизделий | 0,29 |
| 014200 | Ремонт мебели | 0,32 |
| 014300 | Прочие услуги по изготовлению и ремонту мебели | 0,32 |
| 015100 | Химическая чистка | 0,26 |
| 015200 | Прочие услуги при химической чистке | 0,26 |
| 015300 | Крашение | 0,28 |
| 015400 | Услуги прачечных | 0,14 |
| 016100 | Ремонт жилья и других построек | 0,26 |
| 016200 | Строительство жилья и других построек (кроме строительства индивидуальных домов) | 0,62 |
| 016300 | Прочие услуги, оказываемые при ремонте и строительстве жилья и других построек | 0,26 |
| 018100 | Услуги фотоателье, фото- и кинолабораторий | 0,30 |
| 018300 | Прочие услуги производственного характера | 0,20 |
| 019100 | Услуги бань, душевых и саун | 0,14 |
| 019200 | Прочие услуги, оказываемые в банях и душевых | 0,14 |
| 019300 | Услуги парикмахерских | 0,45 |
| 019400 | Услуги предприятий по прокату | 0,11 |
| 019434 | Прокат игровых автоматов, компьютеров, игровых программ | 0,76 |
| 019436 | Прокат компьютерной техники | 0,66 |
| 019500 | Ритуальные услуги | 0,32 |
| 019600 | Обрядовые услуги | 0,11 |
| 019700 | Прочие услуги непроизводственного характера | 0,11 |
Коэффициенты поселения (КТ) и коэффициенты категории места расположения объекта стационарной или нестационарной торговой сети (Км)
Коэффициент вида товара (Кв)
| Код вида продукции по Общероссийскому классификатору продукции | Вид товара по виду продукции Общероссийского классификатора продукции | Коэффициент вида товара ( |
| 23 7000 | Кино-, фото- и магнитные материалы | 0,96 |
| 34 6000 | Оборудование светотехническое и изделия электроустановочные. Лампы электрические. Изделия культурно-бытового назначения и хозяйственного обихода | 0,96 |
| 40 0000 | Вычислительная техника | 0,96 |
| 42 8000 | Приборы времени | 0,96 |
| 44 4000 | Фото- и киноаппаратура (кроме профессиональной). Аппаратура для измерения характеристик и обработки фотои киноматериалов | 0,96 |
| 45 2850 | Мотоциклы с мощностью двигателя до 112,5 кВт (150 л.с.) | 0,96 |
| 48 6000 | Оборудование для кондиционирования воздуха и вентиляции | 0,96 |
| 50 0000 | Программные средства и информационные продукты вычислительной техники | 0,96 |
| 51 5500 | Приборы бытовые электрические нагревательные | 0,96 |
| 89 0000 | Меха, меховые и овчинно-шубные изделия (за исключением товаров для детей) | 0,96 |
| 91 7000 | Продукция винодельческой промышленности | 0,96 |
| 91 8100 | Водка и ликероводочные изделия | 0,96 |
| 91 8201 - 91 8203, 91 8210 - 91 8244 | Продукция спиртового производства | 0,96 |
| 91 8400 | Продукция пивоваренной промышленности | 0,96 |
| 91 9300 | Продукция табачной промышленности | 0,96 |
| 96 4000 | Изделия ювелирные, галантерея ювелирная и металлическая, изделия ритуально-обрядовые, награды, монеты | 0,96 |
| Прочие товары | 0,78 | |
| 23 3100 | Материалы художественные и вспомогательные | 0,48 |
| 42 6130 | Ручки автоматические | 0,48 |
| 42 6140 | Карандаши механические | 0,48 |
| 42 6150 | Наборы ручек автоматических и карандашей механических. Приборы письменные настольные | 0,48 |
| 42 6190 | Устройства вспомогательные и принадлежности к средствам составления текстовых документов | 0,48 |
| 81 4000 | Нитки и изделия ниточные | 0,48 |
| 81 5000 | Галантерея текстильная | 0,48 |
| 91 1000 | Продукция сахарной и хлебопекарной промышленности | 0,48 |
| 91 4900 | Изделия макаронные | 0,48 |
| 91 9100 | Продукция чайной промышленности | 0,48 |
| 91 9200 | Продукция соляной промышленности | 0,48 |
| 92 2000 | Молоко и молочная продукция | 0,48 |
| 92 9000 | Продукция микробиологической и мукомольно-крупяной промышленности | 0,48 |
| 95 0000 | Продукция полиграфической промышленности | 0,48 |
| 96 0121 | Сувениры | 0,48 |
| 96 1000 | Изделия для физической культуры, спорта и туризма | 0,48 |
| 96 2000 | Инструменты музыкальные | 0,48 |
| 96 7703 | Кисти художественные ученические | 0,48 |
| 96 9200 | Предметы мелкой галантереи, включая детские. Коляски детские. Значки. Принадлежности канцелярские и школьно-письменные. Принадлежности для домашнего содержания рыб, птиц и зверей | 0,48 |
| 96 9800 | Изделия художественных промыслов | 0,48 |
| 96 9900 | Оборудование, инструмент и материалы для художников | 0,48 |
| 97 0000 | Продукция растениеводства, сельского и лесного хозяйства | 0,48 |
| 95 3000 | Книги и брошюры | 0,38 |
| 95 5000 | Картографическая продукция | 0,38 |
| 95 6000 | Нотные издания | 0,38 |
| 95 9000 | Издания для слепых | 0,38 |
| 96 3000 | Игрушки и украшения елочные | 0,38 |
| 25 9140, 25 9150, 25 9230, 25 9240, 25 9414 - 25 9416, 25 9424 - 25 9426, 25 9434, 25 9435, 25 9630, 25 9640, 25 9650, 45 2990, 84 1053 - 84 1059, 84 1082, 84 1130, 84 1140, 84 1160, 84 1230, 84 1240, 84 1260, 84 1330, 84 1340, 84 1360, 84 1430, 84 1460, 84 1530, 84 1540, 84 1560, 84 1630, 84 1640, 84 1660, 84 1730, 84 1740, 84 1760, 84 1830, 84 1840, 84 1860, 84 1930, 84 2140, 84 2150, 84 2180, 84 2240, 84 2250, 84 2280, 84 2340, 84 2350, 84 2440, 84 2450, 84 2480, 84 2540, 84 2550, 84 2580, 84 2640, 84 2680, 84 2740, 84 2750, 84 2780, 84 2850, 84 2880, 84 3037, 84 3085, 84 3130, 84 3230, 84 3430, 84 3530, 84 3630, 84 3830, 84 4130, 84 4230, 84 4330, 84 4430, 84 4530, 84 4630, 84 4730, 84 4830, 84 5130, 84 5230, 84 5330, 84 5430, 84 5530, 84 5630, 84 5730, 84 5830, 85 0136, 85 1061, 85 1066, 85 1108, 85 1114, 85 1116, 85 1123, 85 1124, 85 1126, 85 1143 - 85 1146, 85 1153 - 85 1156, 85 1163 - 85 1166, 85 1173 - 85 1176, 85 1201, 85 1213 - 85 1216, 85 1253, 85 1254, 85 1273 - 85 1276, 85 1283 - 85 1286, 85 1373 - 85 1376, 85 1383, 85 1384, 85 1419, 85 1489, 85 1519, 85 1559, 85 1579, 85 1713 - 85 1716, 85 1733, 85 1734, 85 1743 - 85 1745, 85 1753 - 85 1756, 85 1773, 85 1774, 85 2014, 85 2024, 85 2058, 85 2104, 85 2113 - 85 2116, 85 2133 - 85 2136, 85 2153 - 85 2156, 85 2173 - 85 2176, 85 2193, 85 2194, 85 2202, 85 2213 - 85 2216, 85 2226, 85 2233 - 85 2236, 85 2243, 85 2244, 85 2253 - 85 2256, 85 2273 - 85 2276, 85 2501, 85 2508, 85 2513 - 85 2516, 85 2533 - 85 2536, 85 2543 - 85 2545, 85 2553 - 85 2556, 85 2573 - 85 2576, 85 2583, 85 2584, 85 3018, 85 3025, 85 3106, 85 3114, 85 3116, 85 3134, 85 3136, 85 3144, 85 3154, 85 3156, 85 3173 - 85 3176, 85 3190, 85 3203, 85 3214, 85 3216, 85 3234, 85 3236, 85 3244, 85 3254, 85 3256, 85 3274, 85 3276, 85 3314, 85 3316, 85 3334, 85 3336, 85 3354, 85 3356, 85 3374, 85 3376, 85 3414, 85 3416, 85 3434, 85 3436, 85 3443, 85 3444, 85 3453 - 85 3456, 85 3474, 85 3476, 85 3513 - 85 3516, 85 3534, 85 3536, 85 3550, 85 3574, 85 3576, 85 3593, 85 3595, 85 3615, 85 3634, 85 3636, 85 3653 - 85 3656, 85 3674, 85 4113, 85 4115, 85 4133, 85 4135, 85 4153, 85 4155, 85 4173, 85 4175, 85 4193, 85 4195, 85 4205, 85 4213 - 85 4217, 85 4233 - 85 4237, 85 4273 - 85 4277, 85 4293 - 85 4297, 85 4317, 85 4319, 85 4337 - 85 4339, 85 4357, 85 4377, 85 4379, 85 4397, 85 4399, 85 4413 - 85 4416, 85 4473, 85 4475, 85 4493 - 85 4496, 85 4514, 85 4519, 85 4534, 85 4574, 85 4614, 85 4634, 85 4664, 85 4674, 85 4719, 85 4779, 85 4819, 85 4839, 85 4879, 85 4917, 85 4977, 85 5153, 85 5154, 85 5513, 85 5553, 85 5613, 85 5633, 85 5653, 85 5713, 85 5753, 85 5814, 85 5854, 85 5913, 85 5973, 85 6113, 85 6133, 85 6135, 85 6143, 85 6153, 85 6155, 85 6163, 85 6165, 85 6173, 85 6175, 85 6213, 85 6253, 85 6255, 85 6263, 85 6265, 85 6273, 85 6275, 85 6319, 85 6329, 85 6339, 85 6359, 85 6379, 85 6419, 85 6459, 85 6469, 85 6579, 85 6619, 85 6659, 85 6669, 85 6679, 85 6689, 85 6701, 85 6729, 85 6739, 85 6853, 85 6863, 85 6913, 85 6963, 85 7213, 85 7214, 85 7313, 85 7314, 85 7413, 85 7414, 85 7513, 85 7714, 85 9569, 87 8540, 87 8630, 88 0056, 88 0909, 88 1300, 88 1338, 88 1339, 88 1340, 88 1400, 88 1500, 88 1600, 88 1700, 88 2300, 88 2500, 88 2600, 88 2700, 88 2900, 88 3300, 88 3400, 88 3500, 88 3600, 88 3700, 88 3900, 88 4300, 88 4400, 88 4500, 88 4600, 88 5300, 88 5400, 88 5500, 88 6300, 88 6500, 88 6600, 88 7300, 88 7400, 88 7500, 88 7600, 88 7700, 88 8300, 88 8400, 88 8500, 88 8600, 88 8700, 88 8900, 89 2140 - 89 2149, 89 2340 - 89 2349, 89 2540 - 89 2549, 89 3001, 89 3103, 89 3130, 89 3140, 89 4140, 89 5140, 89 6540, 89 6840, 91 6160, 91 6218, 91 6360, 91 9700, 96 9240 | Товары для детей | 0,38 |
При торговле смешанным ассортиментом товаров применяется максимальное значение коэффициента из числа значений коэффициентов, установленных по видам товаров, торговля которыми осуществляется на данном объекте торговли.
При торговле смешанным ассортиментом товаров в сельских населенных пунктах значение коэффициента устанавливается равным 0,6.
Коэффициенты услуг общественного питания (Ко)
Категория места расположения объекта стационарной или нестационарной торговой сети (Км)
Утвержден Решением Собрания представителей муниципального образования Богородицкого района
от 25.09.2014 N 14-103
БОГОРОДИЦКИЙ
Единый налог вводится в отношении следующих видов предпринимательской деятельности:
1) оказания бытовых услуг;
2) оказания ветеринарных услуг;
3) оказания услуг по ремонту, техническому обслуживанию и мойке автомототранспортных средств;
4) оказания услуг по предоставлению во временное владение (пользование) мест для стоянки автомототранспортных средств, а также по хранению автомототранспортных средств на платных стоянках (за исключением штрафных автостоянок);
5) оказания автотранспортных услуг по перевозке пассажиров и грузов, осуществляемых организациями и индивидуальными предпринимателями, имеющими на праве собственности или ином праве (пользования, владения и (или) распоряжения) не более 20 транспортных средств, предназначенных для оказания таких услуг;
6) розничной торговли, осуществляемой через магазины и павильоны с площадью торгового зала не более 150 квадратных метров по каждому объекту организации торговли.
Розничная торговля, осуществляемая через магазины и павильоны с площадью торгового зала более 150 квадратных метров по каждому объекту организации торговли, признается видом предпринимательской деятельности, в отношении которого единый налог не применяется;
7) розничной торговли, осуществляемой через объекты стационарной торговой сети, не имеющей торговых залов, а также объектов нестационарной торговой сети;
8) оказания услуг общественного питания, осуществляемых через объекты организации общественного питания с площадью зала обслуживания посетителей не более 150 квадратных метров по каждому объекту организации общественного питания.
Оказание услуг общественного питания, осуществляемых через объекты организации общественного питания с площадью зала обслуживания посетителей более 150 квадратных метров по каждому объекту организации общественного питания, признается видом предпринимательской деятельности, в отношении которого единый налог не применяется;
9) оказания услуг общественного питания, осуществляемых через объекты организации общественного питания, не имеющие зала обслуживания посетителей;
10) распространения наружной рекламы с использованием рекламных конструкций;
11) размещения рекламы с использованием внешних и внутренних поверхностей транспортных средств;
12) оказания услуг по временному размещению и проживанию организациями и предпринимателями, использующими в каждом объекте предоставления данных услуг общую площадь помещений для временного размещения и проживания не более 500 квадратных метров;
13) оказания услуг по передаче во временное владение и (или) пользование торговых мест, расположенных в объектах стационарной торговой сети, не имеющих торговых залов, объектов нестационарной торговой сети, а также объектов организации общественного питания, не имеющих зала обслуживания посетителей;
14) оказания услуг по передаче во временное владение и (или) пользование земельных участков для размещения объектов стационарной и нестационарной торговой сети, а также объектов организации общественного питания.
Значения корректирующего коэффициента базовой доходности К2, учитывающего совокупность особенностей ведения предпринимательской деятельности, при исчислении суммы единого налога на вмененный доход для отдельных видов деятельности определяются:
1) при оказании бытовых услуг - по формуле:
где:
Ку - коэффициент бытовых услуг, определяется в соответствии со значениями, приведенными в таблице 1;
Кт - коэффициент города (категории городского округа, городского или сельского поселения), определяется в соответствии со значениями, приведенными в таблице 2.
В случае если при определении коэффициента К2 для бытовых услуг значения коэффициента К2 получаются менее 0,005, устанавливается коэффициент К2, равный 0,005;
2) при оказании ветеринарных услуг - по формуле:
где:
Ку = 1,18
Кт- коэффициент города (категории городского округа, городского или сельского поселения), определяется в соответствии со значениями, приведенными в таблице 2;
3) при оказании услуг по ремонту, техническому обслуживанию и мойке автомототранспортных средств - по формуле:
где:
Ку = 1,4
Кт - коэффициент города (категории городского округа, городского или сельского поселения), определяется в соответствии со значениями, приведенными в таблице 2;
4) при оказании услуг по предоставлению во временное владение (пользование) мест для стоянки автомототранспортных средств, а также по хранению автомототранспортных средств на платных стоянках (за исключением штрафных автостоянок) - по формуле:
где:
Ку - 1,4
Кт - коэффициент города (категории городского округа, городского или сельского поселения), определяется в соответствии со значениями, приведенными в таблице 2;
5) при оказании автотранспортных услуг по перевозке пассажиров и грузов, осуществляемых организациями и индивидуальными предпринимателями, имеющими на праве собственности или ином праве (пользования, владения и (или) распоряжения) не более 20 транспортных средств, предназначенных для оказания таких услуг:
а) по перевозке пассажиров на автотранспортных средствах:
- вместимостью до 8 посадочных мест (включительно) К2 = 1,0;
- вместимостью 8 и более посадочных мест К2 = 0,5;
б) по перевозке грузов К2 = 1,0;
6) для розничной торговли, осуществляемой через:
- магазины и павильоны с площадью торгового зала не более 150 квадратных метров по каждому объекту организации торговли;
- объекты стационарной торговой сети, не имеющей торговых залов, а также объекты нестационарной торговой сети - по формуле:
где:
Кт - коэффициент города (категории городского округа, городского или сельского поселения), определяется в соответствии со значениями, приведенными в таблице 2;
Км - коэффициент категории места расположения объекта стационарной или нестационарной торговой сети, определяется из числа указанных для категорий городских и сельских поселений величин, приведенных в таблице 2. Отнесение улиц и (или) домов к той или иной категории места расположения объекта стационарной или нестационарной торговой сети определяется в соответствии со значениями, приведенными в таблице 2;
Кв - коэффициент вида товара, определяется в соответствии со значениями, приведенными в таблице 3;
В случае если в течение налогового периода изменяется место расположения объекта нестационарной торговой сети, при расчете коэффициента К2 применяются максимальные значения коэффициентов Кт и Км для используемых мест расположения.
Значения коэффициента К2 уменьшаются в 2 раза:
- в случае одновременной реализации налогоплательщиком в течение квартала через магазины и павильоны продукции собственного производства и товаров при условии, что объем реализации за квартал продукции собственного производства составляет не менее 30 процентов от общего объема реализации за тот же квартал;
- для налогоплательщиков, заключивших с администрацией муниципального образования Богородицкий район соглашение на обслуживание не менее двух отдаленных, труднодоступных населенных пунктов товарами первой необходимости;
- для налогоплательщиков, осуществляющих в течение квартала наряду с реализацией товаров продажу (отпуск) товаров с оплатой по безналичному расчету яслям, детским садам, школам, интернатам, домам престарелых, больницам и другим учреждениям социального обслуживания, здравоохранения и образования, финансируемым из бюджетов различного уровня, при условии, что объем продажи (отпуска) товаров этим учреждениям за квартал составляет не менее 10 процентов от общего объема реализации товаров за тот же квартал. Перечень учреждений социального обслуживания определяется в соответствии с Федеральным законом от 10 декабря 1995 года N 195-ФЗ "Об основах социального обслуживания населения в Российской Федерации";
7) при оказании услуг общественного питания, осуществляемых через объекты организации общественного питания с площадью зала обслуживания посетителей не более 150 квадратных метров по каждому объекту организации общественного питания и объекты организации общественного питания, не имеющие зала обслуживания посетителей, в соответствии со значениями, приведенными в таблице 4;
8) распространения наружной рекламы с использованием рекламных конструкций как величина, равная 0,1;
9) размещения рекламы на транспортных средствах как величина, равная 0,1;
10) при оказании услуг по временному размещению и проживанию организациями и предпринимателями, использующими в каждом объекте предоставления данных услуг общую площадь помещений для временного размещения и проживания не более 500 квадратных метров, - по формуле:
где:
Кт - коэффициент города (категории городского округа, городского или сельского поселения), определяется в соответствии со значениями, приведенными в таблице 2;
Км - коэффициент категории места расположения объекта, определяется из числа указанных для категорий городских и сельских поселений величин, приведенных в таблице 2;
11) при оказании услуг по передаче во временное владение и (или) пользование торговых мест, расположенных в объектах стационарной торговой сети, не имеющих торговых залов, объектов нестационарной торговой сети, а также объектов организации общественного питания, не имеющих зала обслуживания посетителей, в соответствии со значениями, приведенными в таблице 5;
12) при оказании услуг по передаче во временное владение и (или) пользование земельных участков для размещения объектов стационарной и нестационарной торговой сети, а также объектов организации общественного питания как величина, в соответствии со значениями, приведенными в таблице 6;
Значение коэффициента К2 уменьшается в 2 раза для налогоплательщиков - инвалидов с детства, инвалидов I и II групп, индивидуально осуществляющих виды предпринимательской деятельности, указанные выше, без привлечения наемных работников.
Налогоплательщик, имеющий право на уменьшение значения коэффициента К2 одновременно по нескольким основаниям, указанным выше, может им воспользоваться только по одному основанию.
При отсутствии в таблице 2 мест расположения объектов стационарной или нестационарной торговой сети и объектов оказания услуг по временному размещению и проживанию значение коэффициента Км устанавливается равным 1,0.
В случае если значение коэффициента К2 превышает 1,0, то при начислении суммы единого налога на вмененный доход применять значение коэффициента К2 равным 1,0.
Таблица 1
Коэффициенты бытовых услуг (КУ)
При оказании налогоплательщиком одновременно нескольких бытовых услуг, по которым установлены разные значения коэффициента Ку, значение коэффициента Ку определяется по формуле:
Чв(1), ..., Чв(i) - численность работников, занятых оказанием услуги, в отношении которой установлено значение коэффициента Ку;
Чоб - количество работников, занятых оказанием бытовых услуг;
Ку(1), ..., Ку(i) - значения коэффициента Ку для отдельных бытовых услуг.
В случае оказания одним работником нескольких бытовых услуг, по которым установлены различные значения коэффициента Ку, учет этого работника производится по той бытовой услуге, по которой установлено максимальное значение коэффициента Ку.
Таблица 2
Коэффициенты городов (категории городского округа, городского или сельского поселения) (Кт) и коэффициенты категории места расположения объекта стационарной или нестационарной торговой сети и объектов оказания услуг по временному размещению и проживанию (Км)
Коэффициенты вида товара (КВ)
| Код вида продукции по Общероссийскому классификатору продукции | Вид товара по виду продукции Общероссийского классификатора продукции | Коэффициент вида товара Кв |
| 23 7000 | Кино-, фото- и магнитные материалы | 1,0 |
| 34 6000 | Оборудование светотехническое и изделия электроустановочные. Лампы электрические. Изделия культурно-бытового назначения и хозяйственного обихода | |
| 40 0000 | Вычислительная техника | |
| 42 8000 | Приборы времени | |
| 44 4000 | Фото- и киноаппаратура (кроме профессиональной). Аппаратура для измерения характеристик и обработки фото- и киноматериалов | |
| 48 6000 | Оборудование для кондиционирования воздуха и вентиляции | |
| 50 0000 | Программные средства и информационные продукты вычислительной техники | |
| 51 5500 | Приборы бытовые электрические нагревательные | |
| 89 0000 | Меха, меховые и овчинно-шубные изделия (за исключением товаров для детей) | |
| 91 7000 | Продукция винодельческой промышленности | |
| 91 8100 | Водка и ликероводочные изделия | |
| 91 8201 | Спирт-сырец этиловый виноградный | |
| 91 8202 | Спирт этиловый ректификованный высшей очистки | |
| 91 8203 | Спирт этиловый из пищевого сырья и технический | |
| 91 8210, 91 8211 | Спирт этиловый | |
| 91 8220 - 91 8224, 91 8229 | Настои спиртовые | |
| 91 8240 - 91 8244 | Продукция спиртового производства прочая | |
| 91 8400 | Продукция пивоваренной промышленности | |
| 91 9021 | Табак ферментированный | |
| 91 9022 | Сигареты высшего сорта | |
| 91 9023 | Табак | |
| 91 9024 | Сигареты с фильтром | |
| 91 9025 | Махорка | |
| 91 9026 | Табачные изделия | |
| 91 9300 | Продукция табачной промышленности | |
| 96 4000 | Изделия ювелирные, галантерея ювелирная и металлическая, изделия ритуально-обрядовые, награды, монеты | |
| 23 3100 | Материалы художественные | 0,45 |
| 42 6130 | Ручки автоматические | |
| 42 6140 | Карандаши механические | |
| 42 6150 | Наборы ручек автоматических и карандашей механических. Приборы письменные настольные | |
| 42 6190 | Устройства вспомогательные и принадлежности к средствам составления текстовых документов | |
| 81 4000 | Нитки и изделия ниточные | |
| 81 5000 | Галантерея текстильная | |
| 91 1000 | Продукция сахарной и хлебопекарной промышленности | |
| 91 4900 | Изделия макаронные | |
| 91 9100 | Продукция чайной промышленности | |
| 91 9200 | Продукция соляной промышленности | |
| 92 2000 | Продукция молочной и маслосыродельной промышленности | |
| 92 9000 | Продукция микробиологической и мукомольно-крупяной промышленности | |
| 95 0000 | Продукция полиграфической промышленности | |
| 96 0121 | Сувениры | |
| 96 1000 | Изделия для физической культуры, спорта и туризма | |
| 96 2000 | Инструменты музыкальные | |
| 96 7703 | Кисти художественные ученические | |
| 96 9200 | Предметы мелкой галантереи. Коляски детские. Значки. Принадлежности канцелярские и школьно-письменные; для домашнего содержания рыб, птиц и зверей | |
| 96 9800 | Изделия художественных промыслов | |
| 96 9900 | Оборудование, инструмент и материалы для художников | |
| 97 0000 | Продукция растениеводства, сельского и лесного хозяйства | |
| 96 3000 | Игрушки и украшения елочные | 0,4 |
| 25 9130, 25 9140, 25 9150, 25 9230, 25 9240, 25 9414 - 25 9416, 25 9424 - 25 9426, 25 9434, 25 9435, 25 9630, 25 9640, 25 9650, 45 2990, 84 1053, 84 1054, 84 1056, 84 1059, 84 1082, 84 1130, 84 1140, 84 1160, 84 1230, 84 1240, 84 1260, 84 1330, 84 1340, 84 1360, 84 1430, 84 1460, 84 1530, 84 1540, 84 1560, 84 1630, 84 1640, 84 1660, 84 1730, 84 1740, 84 1760, 84 1830, 84 1840, 84 1860, 84 1930, 84 2140, 84 2150, 84 2180, 84 2240, 84 2250, 84 2280, 84 2340, 84 2350, 84 2440, 84 2450, 84 2480, 84 2540, 84 2550, 84 2580, 84 2640, 84 2650, 84 2680, 84 2740, 84 2750, 84 2780, 84 2840, 84 2850, 84 2880, 84 3037, 84 3085, 84 3130, 84 3230, 84 3430, 84 3530, 84 3630, 84 3830, 84 4130, 84 4230, 84 4330, 84 4430, 84 4530, 84 4630, 84 4730, 84 4830, 84 5130, 84 5230, 84 5330, 84 5430, 84 5530, 84 5630, 84 5730, 84 5830, 85 0136, 85 1061, 85 1066, 85 1108, 85 1114, 85 1116, 85 1123, 85 1124, 85 1126, 85 1143 - 85 1146, 85 1153 - 85 1156, 85 1163 - 85 1166, 85 1173 - 85 1176, 85 1201, 85 1213 - 85 1216, 85 1253, 85 1254, 85 1273 - 85 1276, 85 1283 - 85 1286, 85 1373 - 85 1376, 85 1383, 85 1384, 85 1419, 85 1489, 85 1519, 85 1559, 85 1579, 85 1713 - 85 1716, 85 1733, 85 1734, 85 1743 - 85 1745, 85 1753 - 85 1756, 85 1773, 85 1774, 85 2014, 85 2024, 85 2058, 85 2104, 85 2113 - 85 2116, 85 2133 - 85 2136, 85 2153 - 85 2156, 85 2173 - 85 2176, 85 2193, 85 2194, 85 2202, 85 2213 - 85 2216, 85 2226, 85 2233 - 85 2236, 85 2243, 85 2244, 85 2253 - 85 2256, 85 2273 - 85 2276, 85 2501, 85 2508, 85 2513 - 85 2516, 85 2533 - 85 2536, 85 2543 - 85 2545, 85 2553 - 85 2556, 85 2573 - 85 2576, 85 2583, 85 2584, 85 3018, 85 3025, 85 3106, 85 3114, 85 3116, 85 3134, 85 3136, 85 3144, 85 3154, 85 3156, 85 3173, 85 3174, 85 3176, 85 3194, 85 3196, 85 3203, 85 3214, 85 3216, 85 3234, 85 3236, 85 3244, 85 3254, 85 3256, 85 3274, 85 3276, 85 3314, 85 3316, 85 3334, 85 3336, 85 3354, 85 3356, 85 3374, 85 3376, 85 3414, 85 3416, 85 3434, 85 3436, 85 3443, 85 3444, 85 3453, 85 3454, 85 3456, 85 3474, 85 3476, 85 3513 - 85 3516, 85 3534, 85 3536, 85 3554, 85 3556, 85 3574, 85 3576, 85 3593, 85 3595, 85 3615, 85 3634, 85 3636, 85 3653 - 85 3656, 85 3674, 85 4113, 85 4115, 85 4133, 85 4135, 85 4153, 85 4155, 85 4173, 85 4175, 85 4193, 85 4195, 85 4205, 85 4213 - 85 4217, 85 4233 - 85 4237, 85 4273 - 85 4277, 85 4293, 85 4295 - 85 4297, 85 4317, 85 4319, 85 4337, 85 4339, 85 4357, 85 4377, 85 4379, 85 4397, 85 4399, 85 4413 - 85 4416, 85 4473, 85 4475, 85 4493 - 85 4496, 85 4514, 85 4519, 85 4534, 85 4574, 85 4614, 85 4634, 85 4664, 85 4674, 85 4719, 85 4779, 85 4819, 85 4839, 85 4879, 85 4917, 85 4977, 85 5153, 85 5154, 85 5353, 85 5354, 85 5453, 85 5513, 85 5553, 85 5613, 85 5633, 85 5653, 85 5713, 85 5753, 85 5814, 85 5854, 85 5913, 85 5973, 85 6113, 85 6133, 85 6135, 85 6143, 85 6153, 85 6155, 85 6163, 85 6165, 85 6173, 85 6175, 85 6213, 85 6253, 85 6255, 85 6256, 85 6263, 85 6265, 85 6273, 85 6275, 85 6319, 85 6329, 85 6339, 85 6359, 85 6379, 85 6419, 85 6459, 85 6469, 85 6579, 85 6619, 85 6659, 85 6669, 85 6679, 85 6689, 85 6701, 85 6729, 85 6739, 85 6853, 85 6863, 85 6913, 85 6963, 85 7213, 85 7214, 85 7313, 85 7314, 85 7413, 85 7414, 85 7513, 85 7714, 85 9569, 87 8540, 87 8630, 88 0056, 88 0909, 88 1300, 88 1340, 88 1400, 88 1500, 88 1600, 88 1700, 88 2300, 88 2400, 88 2500, 88 2600, 88 2700, 88 2900, 88 3300, 88 3400, 88 3500, 88 3600, 88 3700, 88 3900, 88 4300, 88 4400, 88 4500, 88 4600, 88 5300, 88 5400, 88 5500, 88 6300, 88 6500, 88 6600, 88 7300, 88 7400, 88 7500, 88 7600, 88 7700, 88 8300, 88 8400, 88 8500, 88 8600, 88 8700, 88 8900, 89 2140, 89 2340, 89 2540, 89 3001, 89 3103, 89 3130, 89 3140, 89 4140, 89 5140, 89 6540, 89 6840, 91 6011 - 91 6014, 91 6160, 91 6201, 91 6202, 91 6218, 91 6260 - 91 6263, 91 6302, 91 6361 - 91 6363, 91 6366 - 91 6368, 92 2006 - 92 2218, 92 2256 - 92 2258, 92 2295, 92 2324, 92 2340, 92 2341, 92 2414, 92 2443, 92 2452, 92 2940, 92 2950, 96 1424, 96 1426, 96 1478, 96 1933, 96 9240, 96 9323, 96 9324 | Товары для детей | 0,4 |
| 91 9700 | Сухие продукты для детского, диетического и лечебно-профилактического питания и отходы их производства | 0,4 |
| Прочие товары | 0,85 |
При торговле смешанным ассортиментом товаров применяется максимальное значение коэффициента Кв из числа значений коэффициентов, установленных по видам товаров, торговля которыми осуществляется на данном объекте торговли.
При торговле смешанным ассортиментом товаров в сельских поселениях значение коэффициента Кв устанавливается в размере 0,6.
Код вида продукции определяется по Общероссийскому классификатору продукции ОК 005-93.
Таблица 4
Коэффициенты общественного питания (К2)
Корректирующий коэффициент базовой доходности К2 для исчисления суммы единого налога на вмененный доход при осуществлении деятельности по оказанию услуг по передаче во временное владение и (или) пользование торговых мест, расположенных в объектах стационарной торговой сети, не имеющих торговых залов, объектов нестационарной торговой сети, а также объектов организации общественного питания, не имеющих зала обслуживания посетителей
Корректирующий коэффициент базовой доходности К2 для исчисления суммы единого налога на вмененный доход при осуществлении деятельности по оказанию услуг по передаче во временное владение и (или) пользование земельных участков для размещения объектов стационарной и нестационарной торговой сети, а также объектов организации общественного питания
Утвержден Решением Собрания представителей муниципального образования Киреевский район
от 30.10.2013 N 2-19,
решением Собрания представителей муниципального образования Киреевский район
от 29.10.2014 N 13-101
КИРЕЕВСКИЙ
Единый налог вводится в отношении следующих видов предпринимательской деятельности:
1) оказания бытовых услуг, их групп, подгрупп, видов и (или) отдельных бытовых услуг, классифицируемых в соответствии с Общероссийским классификатором услуг населению;
2) оказания ветеринарных услуг;
3) оказания услуг по ремонту, техническому обслуживанию и мойке автомототранспортных средств;
4) оказания услуг по предоставлению во временное владение (в пользование) мест для стоянки автомототранспортных средств, а также по хранению автомототранспортных средств на платных стоянках (за исключением штрафных автостоянок);
5) оказания автотранспортных услуг по перевозке пассажиров и грузов, осуществляемых организациями и индивидуальными предпринимателями, имеющими на праве собственности или ином праве (пользования, владения и (или) распоряжения) не более 20 транспортных средств, предназначенных для оказания таких услуг;
6) розничной торговли, осуществляемой через магазины и павильоны с площадью торгового зала не более 150 квадратных метров по каждому объекту организации торговли. Розничная торговля, осуществляемая через магазины и павильоны с площадью торгового зала более 150 квадратных метров по каждому объекту организации торговли, признается видом предпринимательской деятельности, в отношении которого единый налог не применяется;
7) розничной торговли, осуществляемой через объекты стационарной торговой сети, не имеющей торговых залов, а также объекты нестационарной торговой сети;
8) оказания услуг общественного питания, осуществляемых через объекты организации общественного питания с площадью зала обслуживания посетителей не более 150 квадратных метров по каждому объекту организации общественного питания. Оказание услуг общественного питания, осуществляемых через объекты организации общественного питания с площадью зала обслуживания посетителей более 150 квадратных метров по каждому объекту организации общественного питания, признается видом предпринимательской деятельности, в отношении которого единый налог не применяется;
9) оказания услуг общественного питания, осуществляемых через объекты организации общественного питания, не имеющие зала обслуживания посетителей;
10) распространения наружной рекламы с использованием рекламных конструкций;
11) размещения рекламы с использованием внешних и внутренних поверхностей транспортных средств;
12) оказания услуг по временному размещению и проживанию организациями и предпринимателями, использующими в каждом объекте предоставления данных услуг общую площадь помещений для временного размещения и проживания не более 500 квадратных метров;
13) оказания услуг по передаче во временное владение и (или) в пользование торговых мест, расположенных в объектах стационарной торговой сети, не имеющих торговых залов, объектов нестационарной торговой сети, а также объектов организации общественного питания, не имеющих залов обслуживания посетителей;
14) оказания услуг по передаче во временное владение и (или) в пользование земельных участков для размещения объектов стационарной и нестационарной торговой сети, а также объектов организации общественного питания.
Значения корректирующего коэффициента базовой доходности К2, учитывающего совокупность особенностей ведения предпринимательской деятельности, при исчислении суммы единого налога на вмененный доход для отдельных видов деятельности определяются:
1.1 при оказании бытовых услуг, их групп, подгрупп, видов и (или) отдельных бытовых услуг, классифицируемых в соответствии с Общероссийским классификатором услуг населению - по формуле:
где:
Ку - коэффициент бытовых услуг, определяется в соответствии со значениями, приведенными в таблице 1;
Кт - коэффициент города (категории городского округа, городского или сельского поселения), определяется в соответствии со значениями, приведенными в таблице 2.
В случае, если при определении коэффициента К2 для бытовых услуг значения коэффициента К2 получаются менее 0,005, устанавливается коэффициент К2, равный 0,005;
1.2. при оказании услуг по ремонту, техническому обслуживанию и мойке автомототранспортных средств - по формуле:
где
Кт - коэффициент города ( городского или сельского поселения), определяется в соответствии со значениями, приведенными в таблице 2;
1.3. при оказании услуг по предоставлению во временное владение (в пользование) мест для стоянки автомототранспортных средств, а также по хранению автотранспортных средств на платных автостоянках (за исключением штрафных автостоянок):
где
Кт - коэффициент города (городского или сельского поселения), определяется в соответствии со значениями, приведенными в таблице 2;
1.4. для розничной торговли, осуществляемой через магазины и павильоны с площадью торгового зала не более 150 квадратных метров по каждому объекту организации торговли;
для розничной торговли, осуществляемой через объекты стационарной торговой сети, не имеющей торговых залов, а также объекты нестационарной торговой сети
- по формуле:
где:
Кт - коэффициент города (городского или сельского поселения), определяется в соответствии со значениями, приведенными в таблице 2;
Км - коэффициент категории места расположения объекта стационарной или нестационарной торговой сети, определяется из числа указанных для категорий городских поселений величин, приведенных в таблице 2. Отнесение улиц и (или) домов к той или иной категории места расположения объекта стационарной или нестационарной торговой сети определяется в соответствии со значениями, приведенными в таблице 5;
Кв - коэффициент вида товара, определяется в соответствии со значениями, приведенными в таблице 3;
1.5 при оказании автотранспортных услуг по перевозке пассажиров и грузов, осуществляемых организациями и индивидуальными предпринимателями, имеющими на праве собственности или ином праве (пользования, владения и (или) распоряжения не более 20 транспортных средств, предназначенных для оказания таких услуг:
а) при оказании автотранспортных услуг по перевозке грузов К2 = 2.5хКт, где Кт - коэффициент города (категории городского округа, городского округа, городского или сельского поселения), определяется в соответствии со значениями, приведенными в таблице 2;
б) при оказании автотранспортных услуг по перевозке пассажиров для автотранспортных средств с количеством посадочных мест:
до 5 мест
от 5 до 16 мест
от 16 до 22 мест
свыше 22 мест
где
Кт - коэффициент города (категории городского округа, городского округа, городского или сельского поселения), определяется в соответствии со значениями, приведенными в таблице 2;
1.6 при оказании услуг общественного питания, осуществляемых через объекты организации общественного питания с площадью зала обслуживания посетителей не более 150 квадратных метров по каждому объекту организации общественного питания;
при оказании услуг общественного питания, осуществляемых через объекты организации общественного питания, не имеющие зала обслуживания посетителей:
где
Кп - коэффициент общественного питания, определяется в соответствии со значениям, приведенными в таблице 4;
1.7 при оказании ветеринарных услуг - по формуле:
где
Кт - коэффициент города (категории городского округа, городского или сельского поселения), определяется в соответствии со значениями, приведенными в таблице 2;
1.8 при распространении наружной рекламы с использованием рекламных конструкций - по формуле:
где
Кр - коэффициент места расположения объекта наружной рекламы, определяется в соответствии со значениями, приведенными в таблице 6;
1.9. размещении рекламы с использованием внешних и внутренних поверхностей транспортных средств - по формуле:
где:
Кр - коэффициент места расположения объекта наружной рекламы, определяется в соответствии со значениями, приведенными в таблице 6;
1.10 при оказании услуг по временному размещению и проживанию - по формуле:
где:
Кт - коэффициент города (категории городского округа, городского или сельского поселения), определяется в соответствии со значениями, приведенными в таблице 2;
1.11 при оказании услуг по передаче во временное владение и (или) в пользование торговых мест, расположенных в объектах стационарной торговой сети, не имеющих торговых залов, объектов нестационарной торговой сети, а также объектов организации общественного питания, не имеющих залов обслуживания посетителей - по формуле:
где:
Кт - коэффициент города (категории городского округа, городского или сельского поселения), определяется в соответствии со значениями, приведенными в таблице 2;
1.12 при оказании услуг по передаче во временное владение и (или) в пользование земельных участков для размещения объектов стационарной и нестационарной торговой сети, а также объектов организации общественного питания:
где:
Кт - коэффициент города (категории городского округа, городского или сельского поселения), определяется в соответствии со значениями, приведенными в таблице 2;
При отсутствии в таблице 5 об отнесении улиц и (или) домов к категориям места расположения объекта стационарной или нестационарной торговой сети значение коэффициента Км устанавливается равным 1,0.
Таблица 1
Коэффициенты бытовых услуг (КУ)
| Код по Общероссийскому Классификатору услуг населению | Наименование услуг | Коэффициент Бытовых услуг (Ку) |
| 011100 | Ремонт обуви | 0,33 |
| 011200 | Окраска обуви | 0,33 |
| 011300 | Пошив обуви | 0,66 |
| 011400 | Прочие услуги по ремонту и пошиву обуви | 0,33 |
| 012100 | Ремонт швейных, меховых и кожаных изделий, головных уборов и изделий текстильной галантереи | 0,28 |
| 012200 | Пошив швейных, меховых и кожаных изделий, головных уборов и изделий текстильной галантереи | 0,57 |
| 012300 | Прочие услуги по ремонту и пошиву швейных, меховых и кожаных изделий, головных уборов и изделий текстильной галантереи | 0,28 |
| 012400 | Ремонт трикотажных изделий | 0,25 |
| 012500 | Пошив и вязание трикотажных изделий | 0,57 |
| 012600 | Прочие услуги при пошиве и вязании трикотажных изделий | 0,25 |
| 013100 | Ремонт и техническое обслуживание Бытовой радиоэлектронной аппаратуры | 0,58 |
| 013200 | Ремонт бытовых машин | 0,57 |
| 013300 | Ремонт бытовых приборов | 0,58 |
| 013400 | Ремонт и изготовление металлоизделий | 0,70 |
| 014200 | Ремонт мебели | 0,83 |
| 014300 | Прочие услуги по изготовлению и ремонту мебели | 0,83 |
| 015100 | Химическая чистка | 0,66 |
| 015200 | Прочие услуги при химической чистке | 0,66 |
| 015300 | Крашение | 0,69 |
| 015400 | Услуги прачечных | 0,33 |
| 016100 | Ремонт жилья и других построек | 0,66 |
| 016300 | Прочие услуги, оказываемые при ремонте и строительстве жилья и других построек | 0,66 |
| 018100 | Услуги фотоателье, фото- и кинолабораторий | 0,75 |
| 018300 | Прочие услуги производственного характера | 0,51 |
| 019100 | Услуги бань, душевых и саун | 0,33 |
| 019200 | Прочие услуги, оказываемые в банях и душевых | 0,45 |
| 019300 | Парикмахерские и косметические услуги, оказываемые организациями коммунально-бытового назначения | 0,95 |
| 019400 | Услуги предприятий по прокату | 0,28 |
| 019434 | Прокат игровых автоматов, компьютеров, игровых программ | 1,91 |
| 019436 | Прокат компьютерной техники | 1,66 |
| 019500 | Ритуальные услуги | 0,83 |
| 019600 | Обрядовые услуги | 0,28 |
| 018700 | Прочие услуги непроизводственного характера | 0,28 |
При торговле смешанным ассортиментом товаров применяется максимальное значение коэффициента Кв из числа значений коэффициентов, установленных по видам товаров, торговля которыми осуществляется на данном объекте торговли.
При торговле смешанным ассортиментом товаров в сельских поселениях значение коэффициента К в устанавливается в размере 0,7.
Код вида продукции определяется по Общероссийскому классификатору продукции ОК 005-93.
Коэффициенты городов (категории городского округа, городского или сельского поселения) (КТ) и коэффициенты категории места расположения объекта стационарной или нестационарной торговой сети (КМ)
В случае, если в течение налогового периода изменяется место расположения объекта нестационарной торговой сети, при расчете коэффициента К2 применяются максимальные значения коэффициентов Кт и Км для используемых мест расположения.
<*> - отнесение объектов административно-территориального деления к городским округам, городским или сельским поселениям определяется в соответствии с законами Тульской области о переименовании муниципальных образований Тульской области, установлении границ, наделении статусом и определении районов Тульской области.
Таблица 3
Коэффициенты вида товара (КВ)
| Код вида продукции по Общероссийскому классификатору продукции | Вид товара по виду продукции Общероссийского классификатора продукции | Коэффициент вида товара (Кв) |
| 89 0000 | Меха, меховые и овчинно-шубные изделия (за исключением товаров для детей) | 2,25 |
| 96 4000 | Изделия ювелирные, галантерея ювелирная и металлическая, изделия ритуально-обрядовые,награды, монеты | |
| 91 7000 | Продукция винодельческой промышленности | |
| 91 8100 | Водка и ликероводочные изделия | |
| 91 8201 - 91 8203 | Продукция спиртового производства | |
| 91 8210 - 91 8244 | Приборы бытовые электрические | |
| 51 5500 | нагревательные | |
| 51 5500 | Вычислительная техника | |
| 50 0000 | Программные средства и информационные продукты вычислительной техники | |
| 44 4000 | Фото и киноаппаратура (кроме профессиональной) Аппаратура для измерения характеристик и обработки фото-и киноматериалов | |
| 23 7000 | Кино-,фото- и магнитные материалы | |
| 48 6000 | Оборудование для кондиционирования воздуха и вентиляции | |
| 34 6000 | Оборудование светотехническое и изделия электроустановочные.Лампы электрические. Изделия культурно-бытового назначения и хозяйственного обихода. | |
| 42 8000 | Приборы времени | |
| 91 9300 | Продукция табачной промышленности | |
| 91 8400 | Продукция пивоваренной промышленности | |
| Прочие | 1,75 | |
| 92 2000 | Продукция молочной и масло-сыродельной промышленности | 0,9 |
| 92 9000 | Продукция микробиологической и мукомольно-крупяной промышленности | |
| 96 0121 | Сувениры | |
| 96 1000 | Изделия для физкультуры, спорта и туризма | |
| 91 1000 | Продукция сахарной и хлебопекарной промышленности | |
| 91 4900 | Изделия макаронные | |
| 91 9200 | Продукция соляной промышленности | |
| 91 9100 | Продукция чайной промышленности | |
| 96 2000 | Инструменты музыкальные | |
| 96 9800 | Изделия художественных промыслов | |
| 96 9900 | Оборудование, инструмент и материалы для художников | |
| 23 3100 | Материалы художественные | |
| 96 7703 | Кисти художественные ученические | |
| 81 5000 | Галантерея текстильная | |
| 96 9200 | Предметы мелкой галантереи. | |
| 42 6130 | Значки. Принадлежности канцелярские и школьно-письменные; для домашнего содержания рыб, птиц и зверей | |
| 42 6140 | Ручки автоматические | |
| 42 6150 | Карандаши механические Наборы ручек, автоматических и карандашей механических. | |
| 42 6190 | Приборы письменные настольные Устройства вспомогательные и принадлежности к средствам | |
| 81 4000 | составления текстовых документов | |
| 97 0000 | Нитки и изделия ниточные Продукция растениеводства, сельского и лесного хозяйства | |
| 95 0000 | Продукция полиграфической промышленности | |
| 96 3000 25 9130, 25 9140, 25 9150 25 9230, 25 9240, 259414 - 25 9416, 25 9424-25 9426, 25 9434, 25 9435, 25 9630, 25 9640, 25 9650, 42 2990, 84 1053-84 1059, 84 1082, 84 1130, 84 1140, 84 1160, 84 1230, 84 1240, 84 1260, 84 1330, 84 1340, 84 1360, 84 1430, 84 1460, 84 1530, 84 1540, 84 1560, 84 1630, 84 1640, 84 1660, 84 1730, 84 1740, 84 1760, 84 1830, 84 1840, 84 1860, 84 1930, 84 2140, 84 2150, 84 2180, 84 2240, 84 2250, 84 2280, 84 2340, 84 2350, 84 2440, 84 2450, 84 2480, 84 2540, 84 2550, 84 2580, 84 2640, 84 2680, 84 2740, 84 2750, 84 2780, 84 2850, 84 2880, 84 3037, 84 3085, 84 3130, 84 3230, 84 3430, 84 3530, 84 3630, 84 3830, 84 4130, 84 4230, 84 4330, 84 4430, 84 4530, 84 4630, 84 4730, 84 4830, 84 5130, 84 5230, 84 5330, 84 5430, 84 5530, 84 5630, 84 5730, 84 5830, 85 0136, 85 1061, 85 1066, 85 1108, 85 1114-85 1116, 85 1123, 85 1124, 85 1126, 85 1143- 85 1146, 85 1153- 85 1156, 85 1163-85 1166, 85 1173-85 1176, 85 1201, 85 1213- 85 1216, 85 1253, 85 1254, 85 1273-85 1276, 85 1283-85 1286, 85 1373- 85 1376, 85 1383, 85 1384, 85 1419, 85 1489, 85 1519, 85 1559, 85 1579, 85 1713- 85 1716, 85 1733, 85 1734, 85 1743-85 1745, 85 1753- 85 1756, 85 1773, 85 1774, 85 2014, 85 2024, 85 2058, 852104,85 2113-85 2116, 85 2133-85 2136, 85 2153- 85 2156, 85 2173-85 2176, 85 2193, 85 2194, 85 2202, 85 2213-85 2216, 85 2226, 85 2233- 85 2236, 85 2243, 85 2244, 85 2253- 85 2256, 85 2273- 85 2276, 85 2501, 85 2508, 85 2513- 85 2516, 85 2533- 85 2536, 85 2543- 85 2545, 85 2553-85 2556, 85 2573-85 2576, 85 2583, 85 2584, 85 3018, 85 3025, 85 3106, 85 3114- 85 3116, 85 3134, 85 3136, 85 3144, 85 3154, 85 3156, 85 3173- 85 3176, 85 3190, 85 3203, 85 3214, 85 3216, 85 3234, 85 3236, 85 3244, 85 3254, 85 3256, 85 3274, 85 3276, 85 3314, 85 3316, 85 3334, 85 3336, 85 3354, 85 3356, 85 3374, 85 3376, 85 3414, 85 3416, 85 3434, 85 3436, 85 3443, 85 3444, 85 3453- 85 3456, 85 3474, 85 3476, 85 3513- 85 3516, 85 3534, 85 3536, 85 3550, 85 3574, 85 3576, 85 3593, 85 3595, 85 3615, 85 3634, 85 3636, 85 3653- 85 3656, 85 3674, 85 4113, 85 4115, 85 4133, 85 4135, 85 4153, 85 4155, 85 4173, 85 4175, 85 4193, 85 4195, 85 4205, 85 4213- 85 4217, 85 4233- 85 4237, 85 4273- 85 4277, 85 4293- 85 4297, 85 4317, 85 4319, 85 4337- 85 4339, 85 4357, 85 4377, 85 4379, 85 4397, 85 4399, 85 4413- 85 4416, 85 4473, 85 4475, 85 4493- 85 4496, 85 4514, 85 4519, 85 4534, 85 4574, 85 4614, 85 4634, 85 4664, 85 4674, 85 4719, 85 4779, 85 4819, 85 4839, 85 4879, 85 4917, 85 4977, 85 5153, 85 5154, 85 5353, 85 5354, 85 5453, 85 5513, 85 5553, 85 5613, 85 5633, 85 5653, 85 5713, 85 5753, 85 5814, 85 5854, 85 5913, 85 5973, 85 6113, 85 6133, 85 6135, 85 6143, 85 6153, 85 6155, 85 6163, 85 6165, 85 6173, 85 6175, 85 6213, 85 6253- 85 6255, 85 6263, 85 6265, 85 6273, 85 6275, 85 6319, 85 6329,85 6339, 85 6359, 85 6379, 85 6419, 85 6459, 85 6469,85 6579, 85 6619, 85 6659, 85 6669, 85 6679, 85 6689, 85 6701, 85 6729, 85 6739, 85 6853, 85 6863, 85 6913, 85 6963, 85 7213, 85 7214, 85 7313, 85 7314, 85 7413, 85 7414, 85 7513, 85 7714, 85 9569, 87 8540, 87 8630, 88 0056, 88 0909, 88 1300, 88 1338, 88 1339, 88 1340,88 1400, 88 1500, 88 1600,88 1700, 88 2300, 88 2500, 88 2600, 88 2700, 88 2900, 88 3300, 88 3400, 88 3500, 88 3600, 88 3700, 88 3900, 88 4300, 88 4400, 88 4500, 88 4600, 88 5300, 88 5400, 8 5500, 88 6300, 88 6500, 88 6600, 88 7300, 88 7400, 88 7500, 88 7600, 88 7700, 88 8300, 88 8400, 88 8500, 88 8600, 88 8700, 88 8900, 89 2140- 89 2149, 89 2340- 89 2349, 89 2540- 89 2549, 89 3001, 89 3103, 89 3130, 89 3140, 89 4140, 89 5140, 89 6540, 89 6840, 91 6011- 91 6014, 91 6160, 91 6201, 91 6202, 91 6218, 91 6302, 91 6360, 91 9700, 96 9240 | Игрушки и украшения елочные Товары для детей | 0,7 |
При торговле смешанным ассортиментом товаров применяется максимальное значение коэффициента Кв из числа значений коэффициентов, установленных по видам товаров, торговля которыми осуществляется на данном объекте торговли.
При торговле смешанным ассортиментом товаров в сельских поселениях значение коэффициента К в устанавливается в размере 0,7.
Код вида продукции определяется по Общероссийскому классификатору продукции ОК 005-93.
Тадлица 4
Коэффициенты общественного питания (КП)
<*> - отнесение объектов административно -территориального деления к городским округам, городским или сельским поселениям определяется в соответствии с законами Тульской области о переименовании муниципальных образований Тульской области, установлении границ, населении статусом и определении административных центров муниципальных образований на территории районов Тульской области.
Отнесение улиц и (или) домов к той или иной категории места расположения объекта стационарной или нестационарной торговой сети по городским и сельским поселениям муниципального образования Киреевский район
Коэффициенты места расположения объекта наружной рекламы (КР) по категориям
Категория места расположения объекта наружной рекламы
ПЛАВСКИЙ
Утвержден Решением Собрания представителей муниципального образования Плавский район
от 30.10.2014 N 14/79,
Решением Собрания представителей муниципального образования Плавский район
от 25.11.2015 N 28/157
Решением Собрания представителей муниципального образования Плавский район
от 29.10.2013 N 2/8
Единый налог вводится в отношении следующих видов предпринимательской деятельности:
1) оказания бытовых услуг, их групп, подгрупп, видов и (или) отдельных бытовых услуг, классифицируемых в соответствии с Общероссийским классификатором услуг населению;
2) оказания ветеринарных услуг;
3) оказания услуг по ремонту, техническому обслуживанию и мойке автомототранспортных средств;
4) оказания услуг по предоставлению во временное владение (в пользование) мест для стоянки автомототранспортных средств, а также по хранению автомототранспортных средств на платных стоянках (за исключением штрафных автостоянок);
5) оказания автотранспортных услуг по перевозке пассажиров и грузов, осуществляемых организациями и индивидуальными предпринимателями, имеющими на праве собственности или ином праве (пользования, владения и (или) распоряжения) не более 20 транспортных средств, предназначенных для оказания таких услуг;
6) розничной торговли, осуществляемой через магазины и павильоны с площадью торгового зала не более 150 квадратных метров по каждому объекту организации торговли;
7) розничной торговли, осуществляемой через объекты стационарной торговой сети, не имеющей торговых залов, а также объекты нестационарной торговой сети;
8) оказания услуг общественного питания, осуществляемых через объекты организации общественного питания с площадью зала обслуживания посетителей не более 150 квадратных метров по каждому объекту организации общественного питания;
9) оказания услуг общественного питания, осуществляемых через объекты организации общественного питания, не имеющие зала обслуживания посетителей;
10) распространения наружной рекламы с использованием рекламных конструкций;
11) размещения рекламы с использованием внешних и внутренних поверхностей транспортных средств;
12) оказания услуг по временному размещению и проживанию организациями и предпринимателями, использующими в каждом объекте предоставления данных услуг общую площадь помещений для временного размещения и проживания не более 500 квадратных метров.
13) оказания услуг по передаче во временное владение и (или) в пользование торговых мест, расположенных в объектах стационарной торговой сети, не имеющих торговых залов, объектов нестационарной торговой сети, а также объектов организации общественного питания, не имеющих зала обслуживания посетителей;
14) оказания услуг по передаче во временное владение и (или) в пользование земельных участков для размещения объектов стационарной и нестационарной торговой сети, а также объектов организации общественного питания.
Значения корректирующего коэффициента базовой доходности К2, учитывающего совокупность особенностей ведения предпринимательской деятельности, при исчислении суммы единого налога на вмененный доход для отдельных видов деятельности определяются:
1) при оказании бытовых услуг - по формуле:
где:
Ку - коэффициент бытовых услуг, который определяется в соответствии со значениями, приведенными в таблице 1;
Кт - коэффициент категории городского и сельского поселений Плавского района, который определяется в соответствии со значениями, приведенными в таблице 2.
В случае если при определении коэффициента К2 для бытовых услуг значения коэффициента К2 получаются менее 0,005, устанавливается коэффициент К2, равный 0,005;
2) при оказании ветеринарных услуг - по формуле:
где:
Кт - коэффициент категории городского и сельского поселений Плавского района, который определяется в соответствии со значениями, приведенными в таблице 2.
3) при оказании услуг по ремонту, техническому обслуживанию и мойке автомототранспортных средств - по формуле:
где
Кт - коэффициент категории городского и сельского поселений Плавского района, который определяется в соответствии со значениями, приведенными в таблице 2.
4) при оказании услуг по предоставлению во временное владение (пользование) мест для стоянки автомототранспортных средств, а также по хранению автомототранспортных средств на платных стоянках (за исключением штрафных автостоянок) - по формуле:
где
Кт - коэффициент категории городского и сельского поселений Плавского района, который определяется в соответствии со значениями, приведенными в таблице 2.
5) при оказании автотранспортных услуг по перевозке пассажиров и грузов, осуществляемых организациями и индивидуальными предпринимателями, имеющими на праве собственности или ином праве (пользования, владения и (или) распоряжения) не более 20 транспортных средств, предназначенных для оказания таких услуг:
- по перевозке грузов, - по формуле:
где
Квт - коэффициент вида транспортного средства, оказывающего услуги по перевозке грузов, равный 1;
- по перевозке пассажиров, - по формуле:
Квт - коэффициент вида транспортного средства, оказывающего услуги по перевозке пассажиров, определяемый в соответствии со значениями:
- в транспортном средстве, имеющем помимо места водителя не более 8 мест для сидения, - как величина, равная 1,0;
- в транспортном средстве, имеющем помимо места водителя более 8 мест для сидения и максимальная масса которого не превышает 5 тонн, - как величина, равная 0,54;
- в транспортном средстве, имеющем помимо места водителя более 8 мест для сидения и максимальная масса которого превышает 5 тонн, - как величина, равная 0,43;
6) для:
- розничной торговли, осуществляемой через объекты стационарной торговой сети, имеющие торговые залы;
- розничной торговли, осуществляемой через объекты стационарной торговой сети, не имеющие торговых залов, а также через объекты нестационарной торговой сети, площадь торгового места в которых не превышает 5 квадратных метров;
- розничной торговли, осуществляемой через объекты стационарной торговой сети, не имеющие торговых залов, а также через объекты нестационарной торговой сети, площадь торгового места в которых превышает 5 квадратных метров;
- развозной и разносной розничной торговли;
- реализации товаров с использованием торговых автоматов - по формуле:
где:
Кт - коэффициент категории городского и сельского поселений Плавского района, который определяется в соответствии со значениями, приведенными в таблице 2.
Км - коэффициент категории места расположения объекта стационарной или нестационарной торговой сети, который определяется из числа указанных для категории городского поселения величин, приведенных в таблице 2. Отнесение улиц и (или) домов к той или иной категории места расположения объекта стационарной или нестационарной торговой сети определяется в соответствии со значениями, приведенными в таблице 5;
Кв - коэффициент вида товара, который определяется в соответствии со значениями, приведенными в таблице 3. Значения коэффициента К2 уменьшаются в 2 раза: - в случае одновременной реализации налогоплательщиком в течение квартала через магазины и павильоны продукции собственного производства и товаров при условии, что объем реализации за квартал продукции собственного производства составляет не менее 30 процентов от общего объема реализации за тот же квартал; - для налогоплательщиков, осуществляющих в течение квартала наряду с реализацией товаров продажу (отпуск) товаров с оплатой по безналичному расчету яслям, детским садам, школам, интернатам, домам престарелых, больницам и другим учреждениям социального обслуживания, здравоохранения и образования, финансируемым из бюджетов различного уровня, при условии, что объем продажи (отпуска) товаров этим учреждениям за квартал составляет не менее 10 процентов от общего объема реализации товаров за тот же квартал. Перечень учреждений социального обслуживания определяется в соответствии с Федеральным законом от 10 декабря 1995 года N 195-ФЗ "Об основах социального обслуживания населения в Российской Федерации";
7) при:
- оказании услуг общественного питания через объект организации общественного питания, имеющий зал обслуживания посетителей;
- оказании услуг общественного питания через объект организации общественного питания, не имеющий зала обслуживания посетителей - по формуле:
где:
Кп - коэффициент общественного питания, который определяется в соответствии со значениями, приведенными в таблице 4;
8) при оказании услуг:
- по распространению наружной рекламы с использованием рекламных конструкций (за исключением рекламных конструкций с автоматической сменой изображения и электронных табло);
- по распространению наружной рекламы с использованием рекламных инструкций с автоматической сменой изображения;
- по распространению наружной рекламы посредством электронных табло; - при размещении рекламы с использованием внешних и внутренних поверхностей транспортных средств - по формуле:
где:
Кт - коэффициент категории городского и сельского поселений Плавского района, который определяется в соответствии со значениями, приведенными в таблице 2;
9) при оказании услуг по временному размещению и проживанию - по формуле:
где
Кт - коэффициент категории городского и сельского поселений Плавского района, который определяется в соответствии со значениями, приведенными в таблице 2;
10) при оказании услуг по передаче во временное владение и (или) пользование торговых мест, расположенных в объектах стационарной торговой сети, не имеющих торговых залов, объектов нестационарной торговой сети, а также объектов организации общественного питания, не имеющих залов обслуживания посетителей, если площадь каждого из них не превышает 5 кв. м, - как величина, равная 0,41;
при оказании услуг по передаче во временное владение и (или) пользование торговых мест, расположенных в объектах стационарной торговой сети, не имеющих торговых залов, объектов нестационарной торговой сети, а также объектов организации общественного питания, не имеющих залов обслуживания посетителей, если площадь каждого из них превышает 5 кв. м, - как величина, равная 0,62;
11) при оказании услуг по передаче во временное владение и (или) пользование земельных участков для размещения объектов стационарной и нестационарной торговой сети, а также объектов организации общественного питания, если площадь земельного участка не превышает 10 квадратных метров, - как величина, равная 0,62;
при оказании услуг по передаче во временное владение и (или) в пользование земельных участков для размещения объектов стационарной и нестационарной торговой сети, а также объектов организации общественного питания, если площадь земельного участка превышает 10 квадратных метров, как величина, - равная 0,82.
Установить, что:
- значение коэффициента К2 уменьшается в 2 раза для налогоплательщиков - инвалидов с детства, инвалидов I и II групп, индивидуально осуществляющих виды предпринимательской деятельности, указанные в пункте 1, без привлечения наемных работников;
- налогоплательщик, имеющий право на уменьшение значения коэффициента К2 одновременно по нескольким основаниям, указанным в пунктах 1, 2, может им воспользоваться только по одному основанию. В случае если значение коэффициента К2 превышает 1, то при начислении суммы единого налога на вмененный доход применяется значение коэффициента К2 = 1.
Таблица 1
Коэффициенты бытовых услуг (КУ)
| Код по Общероссийскому классификатору услуг населению | Наименование услуг | Коэффициент бытовых услуг (Ку) |
| 011100 | Ремонт обуви | 0,811 |
| 011200 | Окраска обуви | 0,811 |
| 011300 | Пошив обуви | 0,811 |
| 011400 | Прочие услуги по ремонту и пошиву обуви | 0,811 |
| 012100 | Ремонт швейных, меховых и кожаных изделий, головных уборов и изделий текстильной галантереи | 0,243 |
| 012200 | Пошив швейных, меховых и кожаных изделий, головных уборов и изделий текстильной галантереи | 0,487 |
| 012300 | Прочие услуги по ремонту и пошиву швейных, меховых и кожаных изделий, головных уборов и изделий текстильной галантереи | 0,243 |
| 012400 | Ремонт трикотажных изделий | 0,243 |
| 012500 | Пошив и вязание трикотажных изделий | 0,487 |
| 012600 | Прочие услуги при пошиве и вязании трикотажных изделий | 0,243 |
| 013100 | Ремонт и техническое обслуживание бытовой радиоэлектронной аппаратуры | 1,622 |
| 013200 | Ремонт бытовых машин | 1,622 |
| 013300 | Ремонт бытовых приборов | 1,622 |
| 013400 | Ремонт и изготовление металлоизделий | 1,622 |
| 014200 | Ремонт мебели | 0,649 |
| 014300 | Прочие услуги по изготовлению и ремонту мебели | 0,649 |
| 015100 | Химическая чистка | 0,567 |
| 015200 | Прочие услуги при химической чистке | 0,567 |
| 015300 | Крашение | 0,567 |
| 015400 | Услуги прачечных | 0,243 |
| 016100 | Ремонт жилья и других построек | 2,028 |
| 016300 | Прочие услуги, оказываемые при ремонте и строительстве жилья и других построек | 1,622 |
| 018100 | Услуги фотоателье, фото- и кинолабораторий | 0,811 |
| 018300 | Прочие услуги производственного характера | 0,811 |
| 019100 | Услуги бань и душевых | 0,216 |
| 019200 | Прочие услуги, оказываемые в банях и душевых | 0,216 |
| 019300 | Услуги парикмахерских | 1,216 |
| 019400 | Услуги предприятий по прокату | 0,324 |
| 019434 | Прокат игровых автоматов, компьютеров, игровых программ | 2,46 |
| 019436 | Прокат компьютерной техники | 1,46 |
| 019500 | Ритуальные услуги | 0,811 |
| 019600 | Обрядовые услуги | 0,324 |
| 019700 | Прочие услуги непроизводственного характера | 0,324 |
При оказании налогоплательщиком одновременно нескольких бытовых услуг, по которым установлены разные значения коэффициента Ку, значение коэффициента Ку определяется по формуле:
где
Чв(1), ..., Чв(i) - численность работников, занятых оказанием услуги, в отношении которой установлено значение коэффициента Ку;
Чоб - количество работников, занятых оказанием бытовых услуг;
Ку(1), ..., Ку(i) - значения коэффициента Ку для отдельных бытовых услуг.
В случае оказания одним работником нескольких бытовых услуг, по которым установлены различные значения коэффициента Ку, учет этого работника производится по той бытовой услуге, по которой установлено максимальное значение коэффициента Ку.
Коэффициенты категории городского и сельского поселений (КТ) и коэффициенты категории места расположения объекта стационарной или нестационарной торговой сети (КМ)
В случае если в течение налогового периода изменяется место расположения объекта нестационарной торговой сети, при расчете коэффициента К2 применяются максимальные значения коэффициентов Кт и Км для используемых мест расположения.
Таблица 3
Коэффициенты вида товара (КВ)
| Код вида продукции по Общероссийскому классификатору продукции | Вид товара по виду продукции Общероссийского классификатора продукции | Коэффициент вида товара (Кв) |
| 89 0000 | Меха, меховые и овчинно-шубные изделия (за исключением товаров для детей) | 1,687 |
| 96 4000 | Изделия ювелирные, галантерея ювелирная и металлическая, изделия ритуально-обрядовые, награды, монеты | |
| 45 2850 | Мотоциклы с мощностью двигателя до 112,5 кВт (150 л.с.) | |
| 91 7000 | Продукция винодельческой промышленности | |
| 91 8100 | Водка и ликероводочные изделия | |
| 91 8201 - 91 8203, 91 8210 - 91 8244 | Продукция спиртового производства | |
| 51 5500 | Приборы бытовые электрические нагревательные | |
| 40 0000 | Вычислительная техника | |
| 50 0000 | Программные средства и информационные продукты вычислительной техники | |
| 44 4000 | Фото- и киноаппаратура (кроме профессиональной). Аппаратура для измерения характеристик и обработки фото- и киноматериалов | |
| 23 7000 | Кино-, фото- и магнитные материалы | |
| 48 6000 | Оборудование для кондиционирования воздуха и вентиляции | |
| 34 6000 | Оборудование светотехническое и изделия электроустановочные. Лампы электрические. Изделия культурно-бытового назначения и хозяйственного обихода | |
| 42 8000 | Приборы времени | |
| 91 9300 | Продукция табачной промышленности | |
| 91 8400 | Продукция пивоваренной промышленности | |
| Прочие | 1,428 | |
| 92 2000 | Продукция молочной и маслосыродельной промышленности | 0,779 |
| 92 9000 | Продукция микробиологической и мукомольно-крупяной промышленности | |
| 96 0121 | Сувениры | |
| 96 1000 | Изделия для физкультуры, спорта и туризма | |
| 91 1000 | Продукция сахарной и хлебопекарной промышленности | |
| 91 4900 | Изделия макаронные | |
| 91 9200 | Продукция соляной промышленности | |
| 91 9100 | Продукция чайной промышленности | |
| 96 2000 | Инструменты музыкальные | |
| 96 9800 | Изделия художественных промыслов | |
| 96 9900 | Оборудование, инструмент и материалы для художников | |
| 23 3100 | Материалы художественные | |
| 96 7703 | Кисти художественные ученические | |
| 81 5000 | Галантерея текстильная | |
| 96 9200 | Предметы мелкой галантереи. Значки. Принадлежности канцелярские и школьно-письменные; для домашнего содержания рыб, птиц и зверей | |
| 42 6130 | Ручки автоматические | |
| 42 6140 | Карандаши механические | |
| 42 6150 | Наборы ручек автоматических и карандашей механических. Приборы письменные настольные | |
| 42 6190 | Устройства вспомогательные и принадлежности к средствам составления текстовых документов | |
| 81 4000 | Нитки и изделия ниточные | |
| 97 0000 | Продукция растениеводства, сельского и лесного хозяйства | |
| 95 0000 | Продукция полиграфической промышленности | |
| 96 3000 | Игрушки и украшения елочные | 0,649 |
| 25 9130, 25 9140, 25 9150, 25 9230, 25 9240, 25 9414 - 25 9416, 25 9424 - 25 9426, 25 9434, 25 9435, 25 9630, 25 9640, 25 9650, 45 2990, 84 1053 - 84 1059, 84 1082, 84 1130, 84 1140, 84 1160, 84 1230, 84 1240, 84 1260, 84 1330, 84 1340, 84 1360, 84 1430, 84 1460, 84 1530, 84 1540, 84 1560, 84 1630, 84 1640, 84 1660, 84 1730, 84 1740, 84 1760, 84 1830, 84 1840, 84 1860, 84 1930, 84 2140, 84 2150, 84 2180, 84 2240, 84 2250, 84 2280, 84 2340, 84 2350, 84 2440, 84 2450, 84 2480, 84 2540, 84 2550, 84 2580, 84 2640, 84 2680, 84 2740, 84 2750, 84 2780, 84 2850, 84 2880, 84 3037, 84 3085, 84 3130, 84 3230, 84 3430, 84 3530, 84 3630, 84 3830, 84 4130, 84 4230, 84 4330, 84 4430, 84 4530, 84 4630, 84 4730, 84 4830, 84 5130, 84 5230, 84 5330. 84 5430, 84 5530, 84 5630, 84 5730, 84 5830, 85 0136, 85 1061, 85 1066, 85 1108, 85 1114 - 85 1116, 85 1123, 85 1124, 85 1126, 85 1143 - 85 1146, 85 1153 - 85 1156, 85 1163 - 85 1166, 85 1173 - 85 1176, 85 1201, 85 1213 - 85 1216, 85 1253, 85 1254, 85 1273 - 85 1276, 85 1283 - 85 1286, 85 1373 - 85 1376, 85 1383, 85 1384, 85 1419, 85 1489, 85 1519, 85 1559, 85 1579, 85 1713 - 85 1716, 85 1733, 85 1734, 85 1743 - 85 1745, 85 1753 - 85 1756, 85 1773, 85 1774, 85 2014, 85 2024, 85 2058, 85 2104, 85 2113 - 85 2116, 85 2133 - 85 2136, 85 2153 - 85 2156, 85 2173 - 85 2176, 85 2193, 85 2194, 85 2202, 85 2213 - 85 2216, 85 2226, 85 2233 - 85 2236, 85 2243, 85 2244, 85 2253 - 85 2256, 85 2273 - 85 2276, 85 2501, 85 2508, 85 2513 - 85 2516, 85 2533 - 85 2536, 85 2543 - 85 2545, 85 2553 - 85 2556, 85 2573 - 85 2576, 85 2583, 85 2584, 85 3018, 85 3025, 85 3106, 85 3114 - 85 3116, 85 3134, 85 3136, 85 3144, 85 3154, 85 3156, 85 3173 - 85 3176, 85 3190, 85 3203, 85 3214, 85 3216, 85 3234, 85 3236, 85 3244, 85 3254, 85 3256, 35 3274, 85 3276, 85 3314, 85 3316, 85 3334, 85 3336, 85 3354, 85 3356, 85 3374, 85 3376, 85 3414, 85 3416, 85 3434, 85 3436, 85 3443, 85 3444, 85 3453 - 85 3456, 85 3474, 85 3476, 85 3513 - 85 3516, 85 3534, 25 3536, 85 3550, 85 3574, 85 3576, 85 3593, 85 3595, 85 3615, 85 3634, 85 3636, 85 3653 - 85 3656, 85 3674, 85 4113, 85 4115, 85 4133, 85 4135, 85 4153, 85 4155, 25 4173, 85 4175, 85 4193, 85 4195, 85 4205, 85 4213 - 85 4217, 85 4233 - 85 4237, 85 4273 - 85 4277, 85 4293 - 85 4297, 85 4317, 85 4319, 85 4337 - 85 4339, 85 4357, 35 4377, 85 4379, 85 4397, 85 4399, 85 4413 - 85 4416, 35 4473, 85 4475, 85 4493 - 85 - 4496, 85 4514, 85 4519, 85 4534, 85 4574, 85 4614, 85 - 4634, 85 4664, 85 4674, 85 4719, 85 4779, 85 4819, 85 4839, 85 4879, 85 4917, 35 4977, 85 5153, 85 5154, 85 5353, 85 5354, 85 5453, 85 5513, 85 5553, 85 5613, 85 5633, 85 5653, 85 5713, 85 5753, 85 5814, 85 5854, 85 5913, 85 5973, 85 6113, 35 6133, 85 6135, 85 6143, 85 6153, 85 6155, 85 6163, 85 6165, 85 6173, 85 6175, 85 6213, 85 6253 - 85 6255, 85 6263, 85 6265, 85 6273, 85 6275, 85 6319, 85 6329, 85 6339, 85 6359, 85 6379, 85 6419, 85 6459, 85 6469, 85 6579, 85 6619, 85 6659, 85 6669, 85 6679, 85 6689, 85 6701, 85 6729, 85 6739, 85 6853, 85 6863, 85 6913, 85 6963, 85 7213, 85 7214, 85 7313, 85 7314, 85 7413, 85 7414, 85 7513, 85 7714, 85 9569, 87 8540, 87 8630, 88 0056, 88 0909, 88 1300, 88 1338, 88 1339, 88 1340, 88 1400, 88 1500, 88 1600, 88 1700, 88 2300, 88 2500, 88 2600, 88 2700, 88 2900, 88 3300, 88 3400, 88 3500, 88 3600, 88 3700, 88 3900, 88 4300, 88 4400, 88 4500, 88 4600, 88 5300, 88 5400, 88 5500, 88 6300, 88 6500, 88 6600, 88 7300, 88 7400, 88 7500, 88 7600, 88 7700, 88 8300, 88 8400, 88 8500, 88 8600, 88 8700, 88 8900, 89 2140 - 89 2149, 89 2340 - 89 2349, 89 2540 - 89 2549, 89 3001, 89 3103, 89 3130, 89 3140, 89 4140, 89 5140, 89 6540, 89 6840, 91 6011 - 91 6014, 91 6160, 91 6201, 91 6202, 91 6218, 91 6302, 91 6360, 91 9700, 96 9240 | Товары для детей |
При торговле смешанным ассортиментом товаров применяется максимальное значение коэффициента Кв из числа значений коэффициентов, установленных по видам товаров, торговля которыми осуществляется на данном объекте торговли.
При торговле смешанным ассортиментом товаров в сельских поселениях значение коэффициента Кв устанавливается в размере 0,65.
Код вида продукции определяется по Общероссийскому классификатору продукции ОК 005-93.
Таблица 4