Приказ Минфина РФ от 20.03.2014 N 18Н

"Об утверждении Административного регламента исполнения Федеральной службой финансово-бюджетного надзора государственной функции по контролю в финансово-бюджетной сфере"
Редакция от 20.03.2014 — Документ не действует

Данный документ фактически утратил силу в связи с изданием Указа Президента РФ от 02.02.2016 N 41.

Зарегистрировано в Минюсте России 15 мая 2014 г. N 32270


МИНИСТЕРСТВО ФИНАНСОВ РОССИЙСКОЙ ФЕДЕРАЦИИ

ПРИКАЗ
от 20 марта 2014 г. N 18н

ОБ УТВЕРЖДЕНИИ АДМИНИСТРАТИВНОГО РЕГЛАМЕНТА ИСПОЛНЕНИЯ ФЕДЕРАЛЬНОЙ СЛУЖБОЙ ФИНАНСОВО-БЮДЖЕТНОГО НАДЗОРА ГОСУДАРСТВЕННОЙ ФУНКЦИИ ПО КОНТРОЛЮ В ФИНАНСОВО-БЮДЖЕТНОЙ СФЕРЕ

В соответствии с Правилами разработки и утверждения административных регламентов исполнения государственных функций, утвержденными постановлением Правительства Российской Федерации от 16 мая 2011 г. N 373 "О разработке и утверждении административных регламентов исполнения государственных функций и административных регламентов предоставления государственных услуг" (Собрание законодательства Российской Федерации, 2011, N 22, ст. 3169, N 35, ст. 5092; 2012, N 28, ст. 3908; N 36, ст. 4903, N 50, ст. 7070, N 52, ст. 7507; 2014, N 5, ст. 506), приказываю:

1. Утвердить прилагаемый Административный регламент исполнения Федеральной службой финансово-бюджетного надзора государственной функции по контролю в финансово-бюджетной сфере.

2. Федеральной службе финансово-бюджетного надзора обеспечить исполнение Административного регламента исполнения Федеральной службой финансово-бюджетного надзора государственной функции по контролю в финансово-бюджетной сфере.

3. Признать утратившими силу:

а) приказ Министерства финансов Российской Федерации от 4 сентября 2007 г. N 75н "Об утверждении Административного регламента исполнения Федеральной службой финансово-бюджетного надзора государственной функции по осуществлению контроля и надзора за соблюдением законодательства Российской Федерации при использовании средств федерального бюджета, средств государственных внебюджетных фондов, а также материальных ценностей, находящихся в федеральной собственности" (зарегистрирован Министерством юстиции Российской Федерации 3 октября 2007 г., регистрационный номер 10256; Бюллетень нормативных актов федеральных органов исполнительной власти, 2007, N 47);

б) приказ Министерства финансов Российской Федерации от 4 октября 2010 г. N 120н "О внесении изменений в приказ Министерства финансов Российской Федерации от 4 сентября 2007 г. N 75н" (зарегистрирован Министерством юстиции Российской Федерации 1 ноября 2010 г., регистрационный номер 18869; Бюллетень нормативных актов федеральных органов исполнительной власти, 2010, N 48).

Министр
А. Г. СИЛУАНОВ

УТВЕРЖДЕН
приказом Министерства финансов
Российской Федерации
от 20.03.2014 г. N 18н

АДМИНИСТРАТИВНЫЙ РЕГЛАМЕНТ
ИСПОЛНЕНИЯ ФЕДЕРАЛЬНОЙ СЛУЖБОЙ ФИНАНСОВО-БЮДЖЕТНОГО НАДЗОРА ГОСУДАРСТВЕННОЙ ФУНКЦИИ ПО КОНТРОЛЮ В ФИНАНСОВО-БЮДЖЕТНОЙ СФЕРЕ

I. Общие положения

1.1. Наименование государственной функции

1. Наименование государственной функции - контроль в финансово- бюджетной сфере (далее - государственная функция).

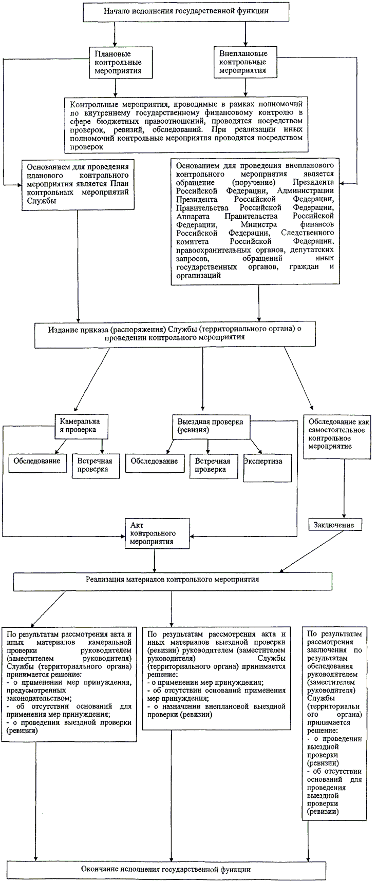
2. Полномочия по контролю в финансово-бюджетной сфере осуществляются посредством плановых и внеплановых проверок, а также в рамках полномочий по внутреннему государственному финансовому контролю в сфере бюджетных правоотношений - ревизий и обследований (далее - контрольные мероприятия). Проверки подразделяются на камеральные и выездные, в том числе встречные проверки. В рамках проведения контрольных мероприятий совершаются контрольные действия.

3. Государственная функция осуществляется в отношении следующих лиц (далее - объекты контроля):

а) главных распорядителей (распорядителей, получателей) средств федерального бюджета, главных администраторов (администраторов) доходов федерального бюджета, главных администраторов (администраторов) источников финансирования дефицита федерального бюджета;

б) финансовых органов (главных распорядителей (распорядителей) и получателей средств бюджета, которому предоставлены межбюджетные трансферты) в части соблюдения ими целей и условий предоставления межбюджетных трансфертов, бюджетных кредитов, предоставленных из федерального бюджета;

в) федеральных государственных учреждений;

г) федеральных государственных унитарных предприятий;

д) государственных корпораций и государственных компаний;

е) хозяйственных товариществ и обществ с участием публично - правовых образований в их уставных (складочных) капиталах, а также коммерческих организаций с долей (вкладом) таких товариществ и обществ в их уставных (складочных) капиталах;

ж) юридических лиц (за исключением государственных (муниципальных) учреждений, государственных (муниципальных) унитарных предприятий, государственных корпораций и государственных компаний, хозяйственных товариществ и обществ с участием публично- правовых образований в их уставных (складочных) капиталах, а также коммерческих организаций с долей (вкладом) таких товариществ и обществ в их уставных (складочных) капиталах), индивидуальных предпринимателей, физических лиц в части соблюдения ими условий договоров (соглашений) о предоставлении средств из федерального бюджета, договоров (соглашений) о предоставлении государственных гарантий Российской Федерации;

з) органов управления государственными внебюджетными фондами Российской Федерации;

и) юридических лиц, получающих средства из бюджетов государственных внебюджетных фондов Российской Федерации по договорам о финансовом обеспечении обязательного медицинского страхования;

к) кредитных организаций, осуществляющих отдельные операции с бюджетными средствами, в части соблюдения ими условий договоров (соглашений) о предоставлении средств из федерального бюджета;

л) заказчиков, контрактных служб, контрактных управляющих, уполномоченных органов, уполномоченных учреждений, осуществляющих действия, направленные на осуществление закупок товаров, работ, услуг для обеспечения государственных и муниципальных нужд в соответствии с Федеральным законом от 05.04.2013 N 44-ФЗ "О контрактной системе в сфере закупок товаров, работ, услуг для обеспечения государственных и муниципальных нужд" (далее - Федеральный закон "О контрактной системе в сфере закупок товаров, работ, услуг для обеспечения государственных и муниципальных нужд");

м) товариществ собственников жилья, жилищных, жилищно-строительных кооперативов или иных специализированных потребительских кооперативов, выбранных собственниками помещений в многоквартирных домах управляющих организаций;

н) специализированных некоммерческих организаций, которые осуществляют деятельность, направленную на обеспечение проведения капитального ремонта общего имущества в многоквартирных домах (далее - региональные операторы);

о) органов государственного (муниципального) финансового контроля, являющихся органами (должностными лицами) исполнительной власти субъектов Российской Федерации (местных администраций), в части осуществления ими контроля за соблюдением Федерального закона "О контрактной системе в сфере закупок товаров, работ, услуг для обеспечения государственных и муниципальных нужд".

1.2. Наименование федерального органа исполнительной власти, исполняющего государственную функцию

4. Исполнение государственной функции осуществляется Федеральной службой финансово-бюджетного надзора (далее - Служба).

5. Перечень территориальных органов Службы (далее территориальные органы), уполномоченных на исполнение государственной функции, приведен в приложении N 1 к настоящему Административному регламенту исполнения Федеральной службой финансово-бюджетного надзора государственной функции по контролю в финансово-бюджетной сфере (далее - Административный регламент).

1.3. Перечень нормативных правовых актов, регулирующих исполнение государственной функции, с указанием их реквизитов и источников официального опубликования

6. Исполнение государственной функции осуществляется в соответствии с:

Бюджетным кодексом Российской Федерации (Собрание законодательства Российской Федерации, 1998, N 31, ст. 3823);

Кодексом Российской Федерации об административных правонарушениях (Собрание законодательства Российской Федерации, 2002, N 1, ст. 1);

Жилищным кодексом Российской Федерации (Собрание законодательства Российской Федерации, 2005, N 1, ст. 14);

Федеральным законом от 05.04.2013 N 44-ФЗ "О контрактной системе в сфере закупок товаров, работ, услуг для обеспечения государственных и муниципальных нужд" (Собрание законодательства Российской Федерации, 2013, N 14, ст. 1652);

Федеральным законом от 21.07.2007 N 185-ФЗ "О Фонде содействия реформированию жилищно-коммунального хозяйства" (Собрание законодательства Российской Федерации, 2007, N 30, ст. 3799);

постановлением Правительства Российской Федерации от 28.11.2013 N 1092 "О порядке осуществления Федеральной службой финансово- бюджетного надзора полномочий по контролю в финансово-бюджетной сфере" (Собрание законодательства Российской Федерации, 2013, N 49, ст. 6435) (далее - Правила);

постановлением Правительства Российской Федерации от 04.02.2014 N 77 "О Федеральной службе финансово-бюджетного надзора" (Собрание законодательства Российской Федерации, 2014, N 6, ст. 591);

приказом Министерства финансов Российской Федерации от 11 июля 2005 г. N 89н "Об утверждении Положения о территориальных органах Федеральной службы финансово-бюджетного надзора" (зарегистрирован Министерством юстиции Российской Федерации 5 августа 2005 г., регистрационный номер 6888, Бюллетень нормативных актов федеральных органов исполнительной власти, 2005, N 33) в редакции приказов Министерства финансов Российской Федерации от 20 сентября 2005 г. N 120н (зарегистрирован Министерством юстиции Российской Федерации 19 октября 2005 г., регистрационный номер 7105) и от 17 ноября 2010 г. N 151н (зарегистрирован Министерством юстиции Российской Федерации 21 декабря 2010 г., регистрационный номер 19281).

1.4. Предмет государственного контроля

7. Предметом государственного контроля является соблюдение объектами контроля:

а) бюджетного законодательства Российской Федерации и иных нормативных правовых актов, регулирующих бюджетные правоотношения, в том числе при исполнении бюджетных полномочий главными распорядителями (распорядителями) и получателями средств федерального бюджета и бюджетов государственных внебюджетных фондов Российской Федерации, главными администраторами (администраторами) доходов федерального бюджета и бюджетов государственных внебюджетных фондов Российской Федерации, главными администраторами (администраторами) источников финансирования дефицита федерального бюджета и бюджетов государственных внебюджетных фондов Российской Федерации;

б) законодательных и иных нормативных правовых актов о контрактной системе в сфере закупок товаров, работ, услуг для обеспечения федеральных нужд в целях установления законности составления и исполнения федерального бюджета и бюджетов государственных внебюджетных фондов Российской Федерации в отношении расходов, связанных с осуществлением закупок, достоверности учета таких расходов и отчетности;

в) законодательных и иных нормативных правовых актов, регулирующих порядок использования средств Фонда содействия реформированию жилищно-коммунального хозяйства (далее - Фонд), направленных на предоставление финансовой поддержки за счет средств Фонда и предусмотренных в бюджете субъекта Российской Федерации и (или) местном бюджете на долевое финансирование проведения капитального ремонта многоквартирных домов, переселения граждан из аварийного жилищного фонда, модернизации системы коммунальной инфраструктуры;

г) законодательных и иных нормативных правовых актов, регулирующих порядок использования региональными операторами средств, полученных в качестве государственной поддержки, муниципальной поддержки капитального ремонта, а также средств, полученных от собственников помещений в многоквартирных домах, формирующих фонды капитального ремонта на счете, счетах регионального оператора;

д) законодательных и иных нормативных правовых актов о контрактной системе в сфере закупок товаров, работ, услуг для обеспечения государственных и муниципальных нужд, регулирующих порядок осуществления органами государственного (муниципального) финансового контроля, являющимися органами (должностными лицами) исполнительной власти субъектов Российской Федерации (местных администраций), контроля за соблюдением Федерального закона "О контрактной системе в сфере закупок товаров, работ, услуг для обеспечения государственных и муниципальных нужд".

1.5. Права и обязанности должностных лиц Службы при осуществлении государственного контроля

8. Должностными лицами Службы, осуществляющими контроль в финансово-бюджетной сфере, являются:

а) руководитель Службы (территориального органа);

б) заместители руководителя Службы (территориального органа), к компетенции которых относятся вопросы осуществления контроля в финансово-бюджетной сфере;

в) руководители (заместители руководителей) структурных подразделений Службы (территориального органа), ответственные за организацию осуществления контрольных мероприятий;

г) федеральные государственные гражданские служащие Службы (территориального органа), уполномоченные на участие в проведении контрольных мероприятий в соответствии с приказом (распоряжением) Службы (территориального органа).

9. Должностные лица Службы (территориального органа), указанные в пункте 8 настоящего Административного регламента, в пределах установленных должностными регламентами полномочий при исполнении государственной функции имеют следующие права:

а) запрашивать и получать на основании мотивированного запроса в письменной форме информацию, документы и материалы, объяснения в письменной и устной формах, необходимые для проведения контрольных мероприятий;

б) при осуществлении выездных проверок (ревизий) беспрепятственно по предъявлении служебных удостоверений и копии приказа (распоряжения) руководителя (заместителя руководителя) Службы (территориального органа) о проведении выездной проверки (ревизии) посещать помещения и территории, которые занимают лица, в отношении которых осуществляется проверка (ревизия), требовать предъявления поставленных товаров, результатов выполненных работ, оказанных услуг;

г) в случаях, предусмотренных бюджетным законодательством Российской Федерации, направлять уведомления о применении бюджетных мер принуждения;

д) в случаях, предусмотренных законодательством Российской Федерации, выдавать представления, предписания;

е) осуществлять производство по делам об административных правонарушениях в порядке, установленном законодательством об административных правонарушениях;

ж) обращаться в суд с исковыми заявлениями о возмещении ущерба, причиненного Российской Федерации нарушением бюджетного законодательства Российской Федерации и иных нормативных правовых актов, регулирующих бюджетные правоотношения, а также о признании осуществленных закупок недействительными в соответствии с Гражданским кодексом Российской Федерации.

10. Должностные лица Службы (территориального органа), указанные в пункте 8 настоящего Административного регламента, в соответствии со своими должностными регламентами при исполнении государственной функции обязаны:

а) своевременно и в полной мере исполнять предоставленные в соответствии с законодательством Российской Федерации полномочия по предупреждению, выявлению и пресечению нарушений в установленной сфере деятельности;

б) соблюдать требования нормативных правовых актов в установленной сфере деятельности;

в) проводить контрольные мероприятия в соответствии с приказом (распоряжением) руководителя (заместителя руководителя) Службы (территориального органа);

г) знакомить под роспись руководителя или уполномоченное должностное лицо объекта контроля (далее - представитель объекта контроля) с копией приказа (распоряжения) и удостоверением на проведение выездной проверки (ревизии), с приказом (распоряжением) о приостановлении, возобновлении и продлении срока проведения проверки (ревизии), об изменении состава проверочной (ревизионной) группы, а также с результатами контрольных мероприятий (акты и заключения);

д) обеспечивать сохранность полученных от объектов контроля документов и материалов;

е) при выявлении факта, указывающего на наличие признаков преступления, направлять в правоохранительные органы в соответствии с подследственностью информацию о таком факте и (или) документы и иные материалы, подтверждающие такой факт.

1.6. Права и обязанности лиц, в отношении которых осуществляются мероприятия по контролю

11. Должностные лица объектов контроля имеют следующие права:

а) присутствовать при проведении выездных контрольных мероприятий, давать объяснения по вопросам, относящимся к предмету контрольных мероприятий;

б) знакомиться с актами проверок (ревизий), заключений, подготовленных по результатам проведения обследований, проведенных Службой (территориальным органом);

в) обжаловать решения и действия (бездействие) Службы (территориального органа) и их должностных лиц в порядке, установленном настоящим Административным регламентом и иными нормативными правовыми актами Российской Федерации;

г) на возмещение в установленном законодательством Российской Федерации порядке реального ущерба, причиненного неправомерными действиями (бездействием) Службы (территориального органа) и их должностных лиц.

12. Должностные лица объектов контроля обязаны:

а) своевременно и в полном объеме представлять информацию, документы и материалы, необходимые для проведения контрольных мероприятий;

б) давать устные и письменные объяснения должностным лицам Службы (территориального органа);

в) предоставлять места для исполнения государственной функции в период проведения выездной проверки (ревизии) в служебном помещении по месту нахождения объекта контроля и (или) по месту фактического осуществления им деятельности, в том числе в случае проведения выездной проверки (ревизии) в обособленном структурном подразделении (территориальном органе) объекта контроля - в служебном помещении по месту нахождения его обособленного структурного подразделения (территориального органа);

г) обеспечивать беспрепятственный допуск должностных лиц, входящих в состав проверочной (ревизионной) группы, к помещениям и территориям, предъявлять товары, результаты выполненных работ, оказанных услуг;

д) выполнять иные законные требования должностных лиц, входящих в состав проверочной (ревизионной) группы, а также не препятствовать законной деятельности указанных лиц при исполнении ими своих служебных обязанностей;

е) своевременно и в полном объеме исполнять требования представлений, предписаний;

ж) обеспечивать сохранность данных бухгалтерского (бюджетного) учета и других документов, предусмотренных законодательными и иными нормативными правовыми актами;

з) обеспечивать допуск специалистов и экспертов, привлекаемых в рамках контрольных мероприятий, в помещения, на территории, а также к объектам (предметам) исследований, экспертиз;

и) нести иные обязанности, предусмотренные законодательством Российской Федерации.

1.7. Описание результата исполнения государственной функции

13. К результатам исполнения государственной функции относятся решения руководителя (заместителя руководителя) Службы (территориального органа), принятые по результатам рассмотрения материалов контрольного мероприятия, в том числе актов и заключений.

II. Требования к порядку исполнения государственной функции

2.1. Порядок информирования об исполнении государственной функции

14. Место нахождения Службы: г. Москва, Миусская пл., д. 3, стр. 1, 4,

15. Место принятия документов и заявлений Службой по вопросам исполнения государственной функции: 125993, г. Москва, Миусская пл., д. 3, стр. 1. Принятие документов и заявлений по вопросам исполнения государственной функции осуществляется также территориальными органами.

16. Часы приема письменных обращений в Службе и ее территориальных органах: понедельник - четверг 9.00 - 18.00; пятница - 9.00 - 16.45. Перерыв: 12.00 - 12.45. В предпраздничные дни часы приема письменных обращений в Службе и ее территориальных органах сокращаются на 1 час. График работы Службы и ее территориальных органов: понедельник - четверг 9.00 - 18.00; пятница 9.00 - 16.45. В предпраздничные дни продолжительность времени работы Службы и ее территориальных органов сокращается на 1 час.

17. Телефон Службы для получения справок по входящей корреспонденции по вопросам исполнения государственной функции: (499)251 7064.

18. Адрес электронной почты для направления в Службу электронных обращений: info@rosfinnadzor.ru. Адреса электронной почты территориальных органов указаны в приложении N 1 к Административному регламенту.

19. На официальном сайте Службы в информационно- телекоммуникационной сети "Интернет" www.rosfinnadzor.ru и на информационных стендах Службы (территориального органа) размещается следующая информация:

а) сведения о местонахождении, контактных телефонах, официальных сайтах в информационно-телекоммуникационной сети "Интернет", адресах электронной почты территориальных органов;

б) текст настоящего Административного регламента с приложениями;

в) информация о ходе исполнения государственной функции;

г) порядок обжалования решений, действий (бездействия) должностных лиц, исполняющих государственную функцию.

20. При выдаче по справочному номеру телефона справок по входящей корреспонденции, связанной с исполнением государственной функции, предоставляется информация о:

а) входящих номерах, под которыми зарегистрирована в системе делопроизводства Службы и ее территориальных органов письменная корреспонденция;

б) направлении ответа.

Информация о деятельности Службы и ее территориальных органов распространяется через официальный сайт Службы (территориального органа) в сети Интернет, информационные агентства, печать, радио, телевидение.

2.2. Срок исполнения государственной функции

21. Общий срок исполнения государственной функции не может превышать 234 рабочих дня.

22. В срок исполнения государственной функции не включается время, в течение которого проведение контрольного мероприятия приостанавливалось в соответствии с настоящим Административным регламентом.

III. Состав, последовательность и сроки выполнения административных процедур, требования к порядку их выполнения

23. В рамках исполнения государственной функции осуществляются следующие административные процедуры:

а) подготовка и назначение контрольного мероприятия;

б) проведение контрольного мероприятия и оформление его результатов;

в) реализация результатов проведения контрольного мероприятия.

Блок-схема исполнения государственной функции приводится в приложении N 2 к настоящему Административному регламенту.

24. Документы, передача которых предусмотрена настоящим Административным регламентом, вручаются представителю объекта контроля под роспись, либо направляются заказным почтовым отправлением с уведомлением о вручении или иным способом, свидетельствующим о дате его получения адресатом.

25. Критериями принятия решений в рамках административных процедур являются:

а) законность, объективность, эффективность, независимость, достоверность результатов и гласность при проведении административных процедур и совершении должностными лицами административных действий;

б) степень обеспеченности Службы (территориального органа) ресурсами (трудовыми, материальными и финансовыми);

в) реальность сроков выполнения административных действий, составляющих содержание административной процедуры, определяемую с учетом всех возможных временных затрат;

г) подтверждение факта выявленных нарушений материалами контрольного мероприятия;

д) наличие достаточных оснований для применения меры принуждения;

е) невозможность получения объективных результатов контрольного мероприятия без получения дополнительных информации, документов и материалов.

3.1. Подготовка и назначение контрольного мероприятия

26. Основанием для начала административной процедуры подготовки и назначения планового контрольного мероприятия является план контрольных мероприятий, который утверждается руководителем Службы по согласованию с Министром финансов Российской Федерации, и планы контрольных мероприятий территориальных органов, которые утверждаются руководителями территориальных органов по согласованию со Службой.

Основанием для начала административной процедуры подготовки и назначения внепланового контрольного мероприятия является решение руководителя (заместителя руководителя) Службы, принятое в связи с поступлением обращений (поручений) Президента Российской Федерации, Администрации Президента Российской Федерации, Правительства Российской Федерации, Аппарата Правительства Российской Федерации, Министра финансов Российской Федерации, Следственного комитета Российской Федерации, правоохранительных органов, депутатских запросов, обращений иных государственных органов, граждан и организаций.

27. Плановые контрольные мероприятия назначаются руководителем (заместителем руководителя) Службы (территориального органа).

Внеплановые контрольные мероприятия назначаются руководителем (заместителем руководителя) Службы.

Руководитель (заместитель руководителя) Службы вправе поручить осуществление внеплановых контрольных мероприятий территориальным органам.

28. Внеплановые контрольные мероприятия назначаются в сроки, установленные законодательством Российской Федерации для рассмотрения соответствующих обращений (поручений).

29. Срок выполнения административной процедуры подготовки и назначения контрольного мероприятия не может превышать десяти рабочих дней.

30. Административная процедура подготовки и назначения контрольного мероприятия предусматривает следующие действия:

а) издание приказа (распоряжения) Службы (территориального органа) о проведении контрольного мероприятия;

б) оформление на основании приказа (распоряжения) Службы (территориального органа) о проведении контрольного мероприятия удостоверения на проведение выездной, встречной проверок (ревизий) и обследования.

31. Ответственными за выполнение административных действий, составляющих содержание административной процедуры подготовки и назначения контрольного мероприятия, являются должностные лица, указанные в пункте 8 настоящего Административного регламента.

32. Проекты приказа (распоряжения) Службы (территориального органа) о проведении контрольного мероприятия, удостоверения на проведение контрольного мероприятия готовятся структурным подразделением Службы (территориального органа), ответственным за организацию и проведение контрольного мероприятия.

Если ответственными за организацию и проведение контрольного мероприятия являются 2 или более структурных подразделения Службы (территориального органа), проекты документов готовит структурное подразделение, которое указано первым в плане контрольных мероприятий либо в поручении о проведении внепланового контрольного мероприятия.

33. В приказе (распоряжении) Службы (территориального органа) о проведении контрольного мероприятия указываются:

а) полное и сокращенное наименования либо фамилия, имя, отчество (при наличии) объектов контроля; ОГРН, ИНН каждого объекта контроля;

б) наименование контрольного мероприятия;

в) проверяемый период;

г) основание проведения контрольного мероприятия;

д) дата начала контрольного мероприятия и срок его проведения;

е) должности, фамилии и инициалы федеральных государственных гражданских служащих, которым поручается проведение контрольного мероприятия, с указанием руководителя проверочной (ревизионной) группы;

ж) должность, фамилия и инициалы уполномоченного должностного лица, назначившего контрольное мероприятие;

з) должности, фамилии и инициалы специалистов, экспертов в случае их привлечения к проведению контрольного мероприятия.

34. В случае планового контрольного мероприятия в отношении объекта контроля, имеющего обособленные структурные подразделения в иных субъектах Российской Федерации, приказ (распоряжение) о проведении контрольного мероприятия может быть издан руководителем территориального органа по месту нахождения обособленного структурного подразделения.

При проведении контрольных мероприятий в отношении объектов контроля, имеющих обособленные структурные подразделения в иных субъектах Российской Федерации, руководитель территориального органа, осуществляющего контрольное мероприятие, вправе привлекать должностных лиц территориальных органов (по согласованию) по месту нахождения обособленного структурного подразделения для проверки этого подразделения.

35. В качестве руководителя проверочной (ревизионной) группы назначается федеральный государственный гражданский служащий структурного подразделения Службы (территориального органа), ответственного за проведение контрольного мероприятия, наделенный правом составления протоколов об административных правонарушениях.

36. Удостоверение на проведение контрольного мероприятия содержит следующие сведения:

а) состав проверочной (ревизионной) группы с указанием ее руководителя, сведения о привлеченных к контрольному мероприятию экспертах, представителях экспертной организации (в случае их привлечения).

б) реквизиты приказа (распоряжения) о проведении контрольного мероприятия;

в) наименование контрольного мероприятия.

37. Удостоверение на проведение контрольного мероприятия подписывается руководителем Службы (территориального органа) или заместителем руководителя Службы (территориального органа) и заверяется печатью Службы (территориального органа).

В соответствии с пунктом 79 Правил удостоверение на проведение контрольного мероприятия выписывается по форме, установленной Службой.

38. Результатами исполнения административной процедуры подготовки и назначения контрольного мероприятия являются:

а) утвержденный в установленном порядке приказ (распоряжение) Службы (территориального органа) о проведении контрольного мероприятия;

б) оформленное в установленном порядке удостоверение на проведение выездной проверки (ревизии).

39. Фиксация результата выполнения административной процедуры подготовки и назначения контрольного мероприятия осуществляется путем регистрации приказа (распоряжения) о проведении контрольного мероприятия и удостоверения на проведение выездной проверки (ревизии) в соответствии с требованиями правил делопроизводства в Службе (в территориальном органе).

3.2. Проведение контрольного мероприятия и оформление его результатов

40. Основанием для начала административной процедуры проведения контрольного мероприятия и оформления его результатов является утвержденный в рамках административной процедуры назначения и подготовки контрольного мероприятия приказ (распоряжение) Службы (территориального органа) о проведении контрольного мероприятия.

41. Контрольные мероприятия осуществляются методом проверки, ревизии, обследования. Проверки подразделяются на камеральные, выездные, встречные.

42. Выездные проверки, ревизии проводятся по месту нахождения объекта контроля и его обособленных подразделений.

43. Камеральные проверки проводятся по месту нахождения Службы (территориального органа).

44. Обследование может проводиться в рамках камеральных и выездных проверок и ревизий, либо как самостоятельное контрольное мероприятие, в порядке и сроки, установленные для выездных проверок и ревизий.

45. Административная процедура проведения контрольного мероприятия и оформления его результатов предусматривает следующие административные действия, продолжительность их выполнения:

а) проведение контрольного мероприятия в пределах следующих максимальных сроков:

проведение выездной проверки, ревизии структурными подразделениями Службы - не более 40 рабочих дней, территориальными органами Службы - не более 30 рабочих дней, а при продлении срока проведения выездной проверки (ревизии), проводимой структурными подразделениями Службы (территориальными органами Службы) не более чем на 20 рабочих дней (10 рабочих дней) - не более 60 рабочих дней (40 рабочих дней); проведение камеральной проверки - не более 30 рабочих дней;

проведение обследования (за исключением обследования, проводимого в рамках камеральных и выездных проверок, ревизий) - в сроки, установленные для выездных проверок (ревизий);

б) оформление результатов контрольного мероприятия - не более 15 рабочих дней;

в) вручение (направление) акта проверки (ревизии), заключения, подготовленного по результатам проведения обследования - в течение 3 рабочих дней со дня его подписания.

46. Ответственными за выполнение административных действий, составляющих содержание административной процедуры проведения контрольного мероприятия и оформления его результатов, являются должностные лица, указанные в пункте 8 настоящего Административного регламента.

47. Критерием принятия решений в рамках административной процедуры проведения контрольного мероприятия и оформления его результатов является законность, объективность, эффективность, независимость, достоверность результатов и гласность при совершении должностными лицами административных действий.

48. Результатом исполнения административной процедуры проведения контрольного мероприятия и оформления его результатов является акт проверки (ревизии), заключение, подготовленное по результатам проведения обследования, и иные материалы контрольного мероприятия.

49. Фиксация результата выполнения административной процедуры проведения контрольного мероприятия и оформления его результатов осуществляется путем оформления в установленном порядке акта проверки (ревизии), заключения, подготовленного по результатам проведения обследования, на бумажных носителях, а также иных материалов контрольного мероприятия на бумажных и иных носителях информации.

3.2.1. Проведение камеральной проверки

50. После подписания приказа (распоряжения) Службы (территориального органа) о проведении камеральной проверки в адрес объекта контроля и иных лиц направляется запрос о предоставлении документов и информации об объекте контроля в порядке, установленном настоящим Административным регламентом.

51. Камеральная проверка включает в себя исследование информации, документов и материалов, представленных по запросам Службы (территориального органа), а также информации, документов и материалов, полученных в ходе встречных проверок и (или) обследований и иных документов и информации об объекте контроля.

52. В соответствии с пунктом 52 Правил при непредставлении или несвоевременном представлении должностными лицами объектов контроля информации, документов и материалов, запрошенных при проведении камеральной проверки, составляется акт по форме, утверждаемой Службой.

53. В рамках камеральной проверки могут быть проведены обследование и встречная проверка.

54. При принятии решения о проведении встречной проверки и (или) обследования учитываются следующие критерии:

а) законность и обоснованность проведения встречной проверки и (или) обследования;

б) невозможность получения объективных результатов камеральной проверки без получения дополнительных информации, документов и материалов.

55. При проведении камеральной проверки в срок ее проведения не засчитываются периоды времени с даты направления запроса Службой (территориальным органом) в адрес объекта контроля до даты получения запрошенных документов, материалов и информации, а также периоды времени, в течение которых проводятся встречные проверки и (или) обследования.

56. Результаты камеральной проверки оформляются актом, который подписывается должностным лицом, проводящим проверку, не позднее последнего дня срока проведения камеральной проверки.

Акт камеральной проверки в течение 3 рабочих дней со дня его подписания направляется представителю объекта контроля в порядке, установленном настоящим Административным регламентом.

Объекты контроля вправе представить письменные возражения на акт, оформленный по результатам камеральной проверки, в течение 5 рабочих дней со дня получения акта. Письменные возражения объекта контроля по акту проверки приобщаются к материалам проверки.

3.2.2. Проведение выездной проверки (ревизии)

57. Срок проведения выездной проверки (ревизии) исчисляется со дня предъявления удостоверения и до дня составления справки о завершении контрольных действий проведенной выездной проверки (ревизии). Дата составления справки о завершении контрольных действий проведенной выездной проверки (ревизии) является днем завершения осуществления контрольных действий в месте нахождения объекта контроля.

58. Доступ на территорию или в помещение объекта контроля проверочной (ревизионной) группы предоставляется при предъявлении ими служебных удостоверений и копии приказа (распоряжения) руководителя (заместителя руководителя) Службы (территориального органа) о проведении выездной проверки (ревизии).

59. Руководитель (заместитель руководителя) территориального органа может продлить срок проведения выездной проверки (ревизии) на основании мотивированного обращения руководителя проверочной (ревизионной) группы на срок не более 10 рабочих дней.

60. Руководитель (заместитель руководителя) Службы может продлить срок проведения выездной проверки (ревизии) на срок не более 20 рабочих дней:

а) в отношении контрольного мероприятия, проводимого структурным подразделением Службы - на основании мотивированного обращения руководителя проверочной (ревизионной) группы;

б) в отношении контрольного мероприятия, проводимого территориальным органом - на основании мотивированного обращения руководителя (заместителя руководителя) территориального органа.

61. Основаниями продления срока выездной проверки (ревизии) являются:

а) проведение выездной проверки (ревизии) объекта контроля, имеющего большое количество территориальных органов и (или) обособленных структурных подразделений;

б) получение в ходе проведения выездной проверки (ревизии) информации от правоохранительных, контролирующих органов либо из иных источников, свидетельствующей о наличии у объекта контроля нарушений законодательства и требующей дополнительного изучения;

в) наличие форс-мажорных обстоятельств (затопление, наводнение, пожар и т.п.) на территории, где проводится выездная проверка (ревизия);

г) большой объем проверяемых и анализируемых документов.

62. Приказ (распоряжение) Службы (территориального органа) о продлении срока проведения выездной проверки (ревизии) подготавливается в соответствии с требованиями правил делопроизводства в Службе (в территориальном органе) и содержит основание и срок продления проведения проверки (ревизии).

63. В срок не позднее 3 рабочих дней со дня издания приказа о продлении срока выездной проверки (ревизии) копия приказа (распоряжения) направляется (вручается) представителю объекта контроля в порядке, установленном настоящим Административным регламентом.

64. При непредставлении или несвоевременном представлении должностными лицами объектов контроля информации, документов и материалов, запрошенных при проведении выездной проверки (ревизии), составляется акт по форме, утверждаемой Службой.

65. В соответствии с пунктом 53 Правил в случае обнаружения подделок, подлогов, хищений, злоупотреблений и при необходимости пресечения данных противоправных действий изымаются соответствующие необходимые документы и материалы с учетом ограничений, установленных законодательством Российской Федерации, о чем составляется акт изъятия и опись изъятых документов и материалов. В случае обнаружения данных, указывающих на наличие признаков преступлений, опечатываются кассы, кассовые и служебные помещения, склады и архивы. Формы акта изъятия и акта опечатывания утверждаются Службой.

66. Должностные лица Службы вправе производить изъятие документов и материалов. Изъятие производится с использованием фото- и киносъемки, видеозаписи и иных средств фиксации. Должностные лица объекта контроля вправе присутствовать при изъятии документов и материалов. Изъятые документы должны быть пронумерованы, прошнурованы и скреплены печатью объекта контроля либо заверены подписью руководителя проверочной (ревизионной) группы. Копия акта изъятия вручается (направляется) представителю объекта контроля в порядке, установленном настоящим Административным регламентом.

67. Руководитель (заместитель руководителя) Службы (территориального органа) на основании мотивированного обращения руководителя проверочной (ревизионной) группы может назначить:

а) проведение обследования;

б) проведение встречной проверки;

в) экспертизу.

68. Заключения, подготовленные по результатам проведения обследований, акты встречных проверок и заключения экспертиз прилагаются к материалам проверки (ревизии).

69. В ходе выездных контрольных мероприятий проводятся контрольные действия по документальному и фактическому изучению деятельности объекта контроля с целью установления обстоятельств, имеющих значение для контроля, а также сбор доказательств. Контрольные действия по документальному изучению проводятся по финансовым, бухгалтерским, отчетным документам, документам о планировании и осуществлении закупок и иным документам объекта контроля, а также путем анализа и оценки полученной из них информации с учетом информации по устным и письменным объяснениям, справкам и сведениям должностных, материально ответственных и иных лиц объекта контроля и другими действиями по контролю. Контрольные действия по фактическому изучению проводятся путем осмотра, инвентаризации, наблюдения, пересчета, экспертизы, контрольных замеров и другими действиями по контролю, установленными действующим законодательством Российской Федерации. Проведение контрольных действий по фактическому изучению, осуществляемых посредством, в том числе осмотра, инвентаризации, наблюдения, пересчета, контрольных замеров, фиксируется соответствующими актами.

70. Выездная проверка (ревизия) может быть приостановлена руководителем (заместителем руководителя) Службы (территориального органа) на основании мотивированного обращения руководителя проверочной (ревизионной) группы:

а) на период проведения встречной проверки и (или) обследования;

б) при отсутствии или неудовлетворительном состоянии бухгалтерского (бюджетного) учета у объекта контроля на период восстановления объектом контроля документов, необходимых для проведения выездной проверки (ревизии), в сроки, установленные руководителем (заместителем руководителя) Службы (территориального управления), а также приведения в надлежащее состояние документов учета и отчетности объектом контроля;

в) на период организации и проведения экспертиз;

г) на период исполнения запросов в компетентные государственные органы, в том числе органы государств - членов Таможенного союза или иностранных государств;

д) в случае непредставления объектом контроля документов и информации или представления неполного комплекта истребуемых документов и информации и (или) при воспрепятствовании проведению контрольному мероприятию или уклонении от контрольного мероприятия;

е) при необходимости обследования имущества и (или) исследования документов, находящихся не по месту нахождения объекта контроля.

71. На время приостановления выездной проверки (ревизии) течение ее срока прерывается.

72. В срок не позднее 3 рабочих дней со дня принятия решения о приостановлении выездной проверки (ревизии) руководитель (заместитель руководителя) Службы (территориального органа), принявший такое решение:

а) письменно извещает объект контроля о приостановлении выездной проверки (ревизии) и о причинах приостановления;

б) может принимать предусмотренные законодательством Российской Федерации и способствующие возобновлению выездной проверки (ревизии) меры по устранению препятствий в проведении выездной проверки (ревизии).

Руководитель (заместитель руководителя) Службы (ее территориального органа) в течение 3 рабочих дней со дня получения сведений об устранении причин приостановления выездной проверки (ревизии):

а) принимает решение о возобновлении проведения выездной проверки (ревизии);

б) письменно извещает объект контроля о возобновлении проведения выездной проверки (ревизии).

73. После окончания контрольных действий и иных мероприятий, проводимых в рамках выездной проверки (ревизии), руководитель проверочной (ревизионной) группы подписывает справку о завершении контрольных действий и вручает ее представителю объекта контроля не позднее последнего дня срока проведения выездной проверки (ревизии). В случае если представитель объекта контроля уклоняется от получения справки о завершении контрольных действий, указанная справка направляется объекту контроля в порядке, установленном настоящим Административным регламентом.

74. Результаты выездной проверки (ревизии) оформляются актом, который должен быть подписан руководителем проверочной (ревизионной) группы в срок не позднее 15 рабочих дней, исчисляемых со дня, следующего за днем подписания справки о завершении контрольных действий.

75. К акту выездной проверки (ревизии), помимо акта встречной проверки и заключения, подготовленного по результатам проведения обследования, прилагаются изъятые предметы и документы, результаты экспертиз (исследований), фото-, видео- и аудиоматериалы.

76. Акт выездной проверки (ревизии) в течение 3 рабочих дней со дня его подписания вручается (направляется) представителю объекта контроля в порядке, установленном настоящим Административным регламентом. Дата вручения (направления) представителю объекта контроля акта выездной проверки (ревизии) является днем окончания выездной проверки (ревизии).

77. Объект контроля вправе представить письменные возражения на акт выездной проверки (ревизии) в течение 5 рабочих дней со дня получения такого акта. Письменные возражения объекта контроля прилагаются к материалам выездной проверки (ревизии).

3.2.3. Проведение встречных проверок

78. В целях установления и (или) подтверждения фактов, связанных с деятельностью объекта контроля в рамках выездных или камеральных проверок могут проводиться встречные проверки.

79. Встречные проверки назначаются и проводятся в порядке, установленном для выездных или камеральных проверок соответственно. Срок проведения встречных проверок не может превышать 20 рабочих дней.

80. В случае если лица и организации, в отношении которых должна быть проведена встречная проверка, не находятся на территории, подведомственной территориальному органу, осуществляющему проверку (ревизию), в территориальный орган по месту нахождения таких объектов встречного контроля территориальным органом, осуществляющим проверку (ревизию), направляется поручение на проведение встречной проверки, принимаемое руководителем (заместителем руководителя) территориального органа, осуществляющего проверку (ревизию).

81. Результаты встречной проверки оформляются актом, который прилагается к материалам выездной или камеральной проверки соответственно.

82. По результатам встречной проверки меры принуждения к объекту встречной проверки не применяются.

3.2.4. Проведение обследования

83. При проведении обследования осуществляется анализ и оценка состояния сферы деятельности объекта контроля, определенной приказом (распоряжением) руководителя (заместителя руководителя) Службы (территориального органа).

84. Обследование (за исключением обследования, проводимого в рамках камеральных и выездных проверок, ревизий) проводится в порядке и сроки, установленные для выездных проверок (ревизий).

85. Обследование, проводимое в рамках камеральных и выездных проверок (ревизий) проводится в срок не более 20 рабочих дней.

86. При проведении обследования могут проводиться исследования и экспертизы с использованием фото-, видео- и аудио-, а также иных средств измерения и фиксации, в том числе измерительных приборов.

87. Результаты обследования, проведенного в рамках проверки (ревизии), оформляются заключением, которое прилагается к материалам проверки (ревизии).

88. Результаты обследования, проведенного в качестве самостоятельного контрольного мероприятия, оформляются заключением, которое в течение 3 рабочих дней со дня его подписания вручается (направляется) представителю объекта контроля в порядке, установленном настоящим Административным регламентом.

Объекты контроля вправе представить письменные возражения на заключение, оформленное по результатам обследования (за исключением обследования, проводимого в рамках камеральных и выездных проверок (ревизий), в течение 5 рабочих дней со дня получения заключения. Письменные возражения объекта контроля по заключению приобщаются к материалам обследования.

3.3. Реализация результатов проведения контрольного мероприятия

89. Основанием для начала административной процедуры реализации результатов проведения контрольного мероприятия является наличие оформленных в установленном порядке акта проверки (ревизии), заключения, подготовленного по результатам проведения обследования, и иных материалов контрольного мероприятия.

90. Административная процедура реализации результатов проведения контрольного мероприятия предусматривает следующие административные действия, продолжительность их выполнения:

а) подготовка материалов контрольного мероприятия к рассмотрению и принятие руководителем (заместителем руководителя) Службы (территориального органа) решения - в срок не более 30 календарных дней с момента подписания акта проверки (ревизии), заключения, подготовленного по результатам проведения обследования;

б) оформление решения руководителя (заместителя руководителя) Службы (территориального органа) - в течение 25 рабочих дней со дня принятия решения руководителем (заместителем руководителя) Службы (территориального органа);

в) направление представлений, предписаний и уведомлений о применении бюджетных мер принуждения (далее - применение мер принуждения) - в течение 5 рабочих дней со дня их оформления.

91. Ответственными за выполнение административных действий, составляющих содержание административной процедуры реализации результатов проведения контрольного мероприятия, являются должностные лица, указанные в пункте 8 настоящего Административного регламента.

92. По результатам рассмотрения заключения, подготовленного по результатам проведения обследования, руководителем (заместителем руководителя) Службы (территориального органа) принимается решение:

а) о проведении выездной проверки (ревизии);

б) об отсутствии оснований для проведения выездной проверки (ревизии).

93. По результатам рассмотрения акта и иных материалов камеральной проверки руководителем (заместителем руководителя) Службы (территориального органа) принимается решение:

а) о применении мер принуждения;

б) об отсутствии оснований для применения мер принуждения;

в) о проведении выездной проверки (ревизии).

94. По результатам рассмотрения акта и иных материалов выездной проверки (ревизии) руководителем (заместителем руководителя) Службы (территориального органа) принимается решение:

а) о применении мер принуждения;

б) об отсутствии оснований применения мер принуждения;

в) о назначении внеплановой выездной проверки (ревизии) при наличии письменных возражений от объекта контроля, а также при предоставлении объектом контроля дополнительных документов, относящихся к проверяемому периоду, влияющих на выводы по результатам выездной проверки (ревизии).

95. При принятии решений о применении мер принуждения руководитель (заместитель руководителя) Службы (территориального органа) руководствуется следующими критериями:

а) наличие достаточных оснований для применения меры принуждения;

б) законность и обоснованность применения меры принуждения;

в) подтверждение факта выявленных нарушений материалами контрольного мероприятия.

96. Предписание, представление, уведомление о применении бюджетных мер принуждения направляются (вручаются) в порядке, установленном настоящим Административным регламентом в течение 5 рабочих дней исчисляемых со дня, следующего за днем их оформления.

97. Решение об отсутствии оснований для применения мер принуждения оформляется справкой.

98. Решение о назначении (проведении) выездной проверки (ревизии) оформляется приказом (распоряжением) Службы (территориального органа).

99. При осуществлении полномочий по внутреннему государственному финансовому контролю в сфере бюджетных правоотношений руководитель (заместитель руководителя) Службы (территориального органа) направляет:

а) представления, содержащие обязательную для рассмотрения в установленные в них сроки или, если срок не указан, в течение 30 дней со дня его получения информацию о выявленных нарушениях бюджетного законодательства Российской Федерации и иных нормативных правовых актов, регулирующих бюджетные правоотношения, и требования о принятии мер по их устранению, а также устранению причин и условий таких нарушений;

б) предписания, содержащие обязательные для исполнения в указанный в предписании срок требования об устранении нарушений бюджетного законодательства Российской Федерации и иных нормативных правовых актов, регулирующих бюджетные правоотношения, и (или) требования о возмещении причиненного такими нарушениями ущерба Российской Федерации;

в) уведомления о применении бюджетных мер принуждения.

100. При осуществлении внутреннего государственного финансового контроля в отношении закупок для обеспечения федеральных нужд Служба направляет обязательные для исполнения предписания об устранении выявленных нарушений законодательства Российской Федерации и иных нормативных правовых актов о контрактной системе в сфере закупок. Указанные нарушения подлежат устранению в срок, установленный в предписании.

101. При осуществлении полномочий по контролю за использованием региональными операторами средств, полученных в качестве государственной поддержки, муниципальной поддержки капитального ремонта, а также средств, полученных от собственников помещений в многоквартирных домах, формирующих фонды капитального ремонта на счете (счетах) регионального оператора, Служба направляет региональному оператору представления и (или) предписания об устранении выявленных нарушений требований законодательства Российской Федерации.

102. При установлении по результатам проведения контрольного мероприятия состава бюджетных нарушений, предусмотренных Бюджетным кодексом Российской Федерации, руководитель (заместитель руководителя) Службы (территориального органа) направляет уведомление о применении бюджетных мер принуждения.

Уведомление о применении бюджетных мер принуждения направляется в Министерство финансов Российской Федерации в определенный Бюджетным кодексом Российской Федерации срок и содержит описание совершенного бюджетного нарушения.

103. В случае неисполнения предписания о возмещении ущерба, причиненного Российской Федерации нарушением бюджетного законодательства Российской Федерации и иных нормативных правовых актов, регулирующих бюджетные правоотношения, Служба (территориальный орган) направляет в суд исковое заявление о возмещении объектом контроля, должностными лицами которого допущено указанное нарушение, ущерба, причиненного Российской Федерации, защищает в суде интересы Российской Федерации по этому иску.

104. Служба (территориальный орган) осуществляет мониторинг за исполнением объектами контроля представлений и предписаний. В случае неисполнения представления и (или) предписания Служба (территориальный орган) применяет к лицу, не исполнившему такое представление и (или) предписание, меры ответственности в соответствии с законодательством Российской Федерации.

105. При выявлении в ходе проведения контрольных мероприятий административных правонарушений должностные лица Службы (территориального органа) возбуждают дела об административных правонарушениях в порядке, установленном законодательством Российской Федерации об административных правонарушениях.

106. В случае выявления обстоятельств и фактов, свидетельствующих о признаках нарушений, относящихся к компетенции другого государственного органа (должностного лица), такие материалы направляются для рассмотрения в порядке, установленном законодательством Российской Федерации.

107. В соответствии с пунктом 79 Правил формы и требования к оформлению представлений и предписаний, уведомлений о применении бюджетных мер принуждения, справок о завершении контрольных действий, актов проверки (ревизии), заключений, подготовленных по результатам проведения обследования, справок об отсутствии оснований применения мер принуждения, иных документов, предусмотренных настоящим Административным регламентом, устанавливаются Службой.

108. Результатом исполнения административной процедуры реализации результатов проведения контрольного мероприятия является:

а) предписание, представление, уведомление о применении бюджетной меры принуждения;

б) справка об отсутствии оснований для применения мер принуждения;

в) приказ (распоряжение) о назначении выездной проверки (ревизии).

109. Фиксация результата выполнения административной процедуры реализации результатов проведения контрольного мероприятия осуществляется путем:

а) оформления в установленном порядке на бумажном носителе представления, предписания, уведомления о применении бюджетной меры принуждения;

б) оформления в установленном порядке на бумажном носителе справки об отсутствии оснований для применения мер принуждения;

в) оформления в установленном порядке на бумажном носителе приказа (распоряжения) о назначении выездной проверки (ревизии).

IV. Порядок и формы контроля за исполнением государственной функции

4.1. Порядок осуществления текущего контроля за соблюдением и исполнением должностными лицами Службы (территориальных органов) положений Административного регламента и иных нормативных правовых актов, устанавливающих требования к исполнению государственной функции, а также за принятием ими решений

110. Контроль за соблюдением и исполнением должностными лицами Службы (территориального органа) положений настоящего Административного регламента и иных нормативных правовых актов, устанавливающих требования к исполнению государственной функции, а также за принятием ими решений организуется руководителем Службы (территориального органа), а также заместителем руководителя Службы (территориального органа), ответственными за организацию и исполнение государственной функции.

111. Руководитель структурного подразделения Службы (территориального органа), ответственного за организацию и исполнение государственной функции, осуществляет текущий контроль за соблюдением и исполнением проверочной (ревизионной) группой положений настоящего Административного регламента и иных нормативных правовых актов, устанавливающих требования к исполнению государственной функции, а также за принятием ими решений.

112. В ходе контрольных мероприятий руководитель проверочной (ревизионной) группы ежедневно осуществляет контроль за ее работой по мере проведения контрольного мероприятия до принятия решения по результатам контрольного мероприятия, несет ответственность за проведение контрольного мероприятия с надлежащим качеством и в установленные сроки.

4.2. Порядок и периодичность осуществления плановых и внеплановых проверок полноты и качества исполнения государственной функции

113. Контроль качества и полноты исполнения территориальными органами государственной функции осуществляется Службой путем проведения плановых и внеплановых проверок территориальных органов, рассмотрения жалоб на действия (бездействие) должностных лиц, а также проведения внеплановых проверок (ревизий) объектов контроля, в отношении которых территориальными органами были проведены контрольные мероприятия.

114. Внеплановые проверки (ревизии) объектов контроля, в отношении которых территориальными органами были проведены контрольные мероприятия, назначаются руководителем (заместителем руководителя) Службы в порядке и случаях, установленных Службой.

4.3. Ответственность должностных лиц Службы (территориального органа) за решения и действия (бездействие), принимаемые (осуществляемые) ими в ходе исполнения государственной функции

115. В случае выявления нарушений положений настоящего Административного регламента и иных нормативных правовых актов, устанавливающих требования к исполнению государственной функции, должностные лица Службы (территориального органа) несут ответственность за решения и действия (бездействие), принимаемые (осуществляемые) в процессе исполнения государственной функции, в соответствии с законодательством Российской Федерации.

4.4. Требования к порядку и формам контроля за исполнением государственной функции, в том числе со стороны граждан, их объединений и организаций

116. Контроль за исполнением государственной функции со стороны граждан, их объединений и организаций осуществляется посредством получения ими информации о результатах осуществления контроля в финансово-бюджетной сфере, размещаемой на официальном сайте Службы в информационно-телекоммуникационной сети "Интернет" в объеме, установленном Федеральным законом от 9 февраля 2009 г. N 8-ФЗ "Об обеспечении доступа к информации о деятельности государственных органов и органов местного самоуправления" (Собрание законодательства Российской Федерации, 2009, N 7, ст. 776; 2011, N 29, ст. 4291; 2013, N 23, ст. 2870, N 51, ст. 6686, N 52, ст. 6961), за исключением сведений, составляющих государственную, служебную, банковскую, налоговую, коммерческую тайну, тайну связи и с учетом требований сохранения охраняемой законом тайны, установленных законодательством Российской Федерации.

117. Граждане, их объединения и организации имеют право направлять в Службу (территориальные органы) обращения по вопросам исполнения государственной функции, в том числе с предложениями, рекомендациями, а также заявления и жалобы с сообщениями о нарушении должностными лицами положений настоящего Административного регламента и иных нормативных правовых актов, устанавливающих требования к исполнению государственной функции.

V. Досудебный (внесудебный) порядок обжалования решений и действий (бездействия) Службы (территориальных органов) и их должностных лиц

118. Действия (бездействие) должностных лиц Службы могут быть обжалованы в досудебном (внесудебном) порядке руководителю Службы.

Правовые акты территориальных органов, принимаемые по результатам контрольных мероприятий, могут быть обжалованы в Службу в порядке, установленном настоящим Административным регламентом.

Действия (бездействие) должностных лиц территориальных органов могут быть обжалованы руководителю соответствующего территориального органа.

119. Основанием для начала процедуры досудебного (внесудебного) обжалования решений территориальных органов и действий (бездействия) их должностных лиц является поступление в Службу (территориальный орган) жалобы заинтересованного лица или его законного представителя (далее - заявитель).

При поступлении в территориальный орган жалобы, рассмотрение которой относится к компетенции Службы, соответствующий территориальный орган регистрирует ее и в течение 3 рабочих дней направляет с сопроводительным письмом и материалами, относящимися к предмету жалобы, в Службу.

120. Жалоба на решения территориальных органов и действия (бездействие) их должностных лиц может быть подана в течение 30 календарных дней со дня, когда заявитель узнал о принятии решения территориальным органом, действии (бездействии) его должностных лиц или должен был узнать о таком решении территориального органа, действии (бездействии) его должностных лиц.

121. Подача жалобы не приостанавливает исполнение обжалуемого решения территориального органа или совершение обжалуемого действия его должностным лицом, за исключением случаев, предусмотренных настоящим Административным регламентом.

В случае обжалования решения территориального органа или действия его должностного лица по ходатайству заявителя исполнение обжалуемого решения территориального органа или совершение обжалуемого действия его должностным лицом может быть приостановлено руководителем (заместителем руководителя) Службы при наличии достаточных оснований полагать, что указанное решение или действие не соответствуют законодательству Российской Федерации.

О принятом по ходатайству решении в течение 3 дней со дня его принятия сообщается в письменной форме заявителю.

122. Жалоба должна содержать:

а) наименование органа, должностного лица, решения и действия (бездействие) которых обжалуются;

б) фамилию, имя, отчество (при наличии), сведения о месте жительства заявителя - физического лица либо наименование, сведения о месте нахождения заявителя - юридического лица, а также номер (номера) контактного телефона, адрес (адреса) электронной почты (при наличии) и почтовый адрес, по которым должен быть направлен ответ заявителю;

в) сведения об обжалуемых решениях и действиях (бездействии) органа, должностного лица;

г) доводы, на основании которых заявитель не согласен с решением и действием (бездействием) органа, должностного лица.

Заявителем к жалобе прилагаются документы (их копии), подтверждающие доводы заявителя.

123. Направивший жалобу заявитель имеет право представлять дополнительные документы и материалы, а также обращаться с просьбой об истребовании документов, необходимых для обоснования или рассмотрения жалобы.

124. Жалоба остается без рассмотрения, если будет установлено, что:

а) жалоба не подписана заявителем, либо не представлены оформленные в установленном порядке документы, подтверждающие полномочия на ее подписание;

б) жалоба подана после истечения срока ее подачи;

в) в жалобе не указаны фамилия, имя, отчество (при наличии) заявителя - физического лица либо наименование, сведения о месте нахождения заявителя - юридического лица, а также почтовый адрес (адрес электронной почты), по которому должен быть направлен ответ заявителю;

г) текст жалобы не поддается прочтению, о чем сообщается заявителю, если его фамилия (наименование юридического лица) и адрес поддаются прочтению;

д) до принятия решения по жалобе от заявителя поступило заявление об ее отзыве;

е) ранее подавалась жалоба по тем же основаниям, о чем сообщается заявителю;

ж) если ответ по существу поставленного в жалобе вопроса не может быть дан без разглашения сведений, составляющих государственную или иную охраняемую федеральным законом тайну, о чем сообщается заявителю.

При получении жалобы, в которой содержатся нецензурные либо оскорбительные выражения, угрозы жизни, здоровью и имуществу должностного лица, а также членов его семьи, жалоба может быть оставлена без ответа по существу поставленных в ней вопросов с одновременным сообщением заявителю, направившему жалобу, о недопустимости злоупотребления правом.

125. Срок рассмотрения жалобы не должен превышать 30 дней с даты ее регистрации в Службе.

В исключительных случаях, а также в случае направления запроса другим государственным органам, иным должностным лицам для получения необходимых для рассмотрения жалобы документов и материалов руководитель (заместитель руководителя) Службы либо уполномоченное должностное лицо вправе продлить срок рассмотрения жалобы, но не более чем на 30 рабочих дней, уведомив об этом заявителя с указанием причин продления срока.

126. Основаниями для приостановления процедуры досудебного (внесудебного) обжалования решений территориального органа, действий (бездействия) их должностных лиц являются обстоятельства непреодолимой силы, препятствующие исполнению государственной функции (чрезвычайное и непредотвратимое при данных условиях обстоятельство).

127. По результатам рассмотрения жалобы руководитель (заместитель руководителя) Службы (территориального органа) принимает одно из следующих решений:

а) удовлетворение жалобы полностью или в части;

б) оставление жалобы без удовлетворения.

Указанное решение в течение 3 рабочих дней оформляется приказом (распоряжением) руководителя (заместителя руководителя) Службы (территориального органа).

128. Не позднее 5 рабочих дней, следующих за днем принятия решения по жалобе, заявителю в письменной форме направляется ответ о результатах рассмотрения жалобы (в случае удовлетворения жалобы либо оставления жалобы без удовлетворения). Одновременно о принятом решении информируется территориальный орган, решения, действия (бездействие) должностных лиц которого обжаловались.

Приложение N 1
к Административному регламенту
исполнения Федеральной службой
финансово-бюджетного надзора
государственной функции по контролю
в финансово-бюджетной сфере,
утвержденному приказом
Министерства финансов
Российской Федерации
от 20.03.2014 N 18н

СПИСОК ТЕРРИТОРИАЛЬНЫХ ОРГАНОВ ФЕДЕРАЛЬНОЙ СЛУЖБЫ ФИНАНСОВО-БЮДЖЕТНОГО НАДЗОРА В СУБЪЕКТАХ РОССИЙСКОЙ ФЕДЕРАЦИИ

1. РЕСПУБЛИКА БАШКОРТОСТАН

адрес: 450008, г. Уфа, ул. Пушкина, 95

тел. (347) 272-36-72

адрес электронной почты: tu_bashkor@rosfinnadzor.ru

2. РЕСПУБЛИКА БУРЯТИЯ

адрес: 670000, г. Улан-Удэ, ул. Борсоева, 13 "б"

тел. (3012) 21-84-23

адрес электронной почты: tu_bur@rosfinnadzor.ru

3. РЕСПУБЛИКА ДАГЕСТАН

адрес: 367010, г. Махачкала, ул. О. Кошевого, 42

тел. (8722) 56-09-10

адрес электронной почты: tu_dag@rosfinnadzor.ru

4. РЕСПУБЛИКА ИНГУШЕТИЯ

адрес: 386101, г. Назрань, ул. Победы, 3

тел. (8732) 22-27-40

адрес электронной почты: tu_ing@rosfinnadzor.ru

5. КАБАРДИНО-БАЛКАРСКАЯ РЕСПУБЛИКА

адрес: 360051, г. Нальчик, ул. Бехтерева, 6.

тел. (8662) 40-60-00

адрес электронной почты: tu_kabar@rosfinnadzor.ru

6. РЕСПУБЛИКА КАЛМЫКИЯ

адрес: 358000, г. Элиста, ул. Губаревича, 3

тел. (84722) 4-10-89

адрес электронной почты: tu_kalmik@rosfinnadzor.ru

7. КАРАЧАЕВО-ЧЕРКЕССКАЯ РЕСПУБЛИКА

адрес: 369000, г. Черкесск, ул. Лободина, 65 "а"

тел. (87822) 7-52-50

адрес электронной почты: tu_kchr@rosfinnadzor.ru

8. РЕСПУБЛИКА КАРЕЛИЯ

адрес: 185910, г. Петрозаводск, ул. Андропова, д. 6

тел. (8142) 77-48-35

адрес электронной почты: tu_karelia@rosfinnadzor.ru

9. РЕСПУБЛИКА КОМИ

адрес: 167010, г. Сыктывкар, ул. Интернациональная, д. 108А

тел. (8212) 24-01-26

адрес электронной почты: tu_komi@rosfinnadzor.ru

10. РЕСПУБЛИКА МАРИЙ ЭЛ

адрес: 424000, г. Йошкар-Ола, Ленинский проспект, 24 "а"

тел. (8362) 41-44-86

адрес электронной почты: tu_mari@rosfinnadzor.ru

11. РЕСПУБЛИКА МОРДОВИЯ

адрес: 430011, г. Саранск, ул. Полежаева, 62 "б"

тел. (8342) 47-56-14

адрес электронной почты: tu_mordovia@rosfinnadzor.ru

12. РЕСПУБЛИКА САХА (ЯКУТИЯ)

адрес: 677018, г. Якутск, ул. Дзержинского, д. 22/7

тел. (4112) 45-25-65

адрес электронной почты: tu_sakha@rosfinnadzor.ru

13. РЕСПУБЛИКА СЕВЕРНАЯ ОСЕТИЯ - АЛАНИЯ

адрес: 362038, г. Владикавказ, пл. Свободы, 5

тел. (8762) 53-84-69

адрес электронной почты: tu_alania@rosfinnadzor.ru

14. РЕСПУБЛИКА ТАТАРСТАН

адрес: 420015, г. Казань, ул. Карла Маркса, 61

тел. (843) 231-70-00,

адрес электронной почты: tu_rosfinnadzor@tatar.ru

15. РЕСПУБЛИКА ТЫВА

адрес: 667010, г. Кызыл, ул. Комсомольская, д. 122А

тел. (39422) 6-61-30

адрес электронной почты: tu_tuva@rosfinnadzor.ru

16. УДМУРТСКАЯ РЕСПУБЛИКА

адрес: 426028, г. Ижевск, ул. Красная, 144

тел. (341) 51-15-09,

адрес электронной почты: tu_udmurtia@rosfinnadzor.ru

17. РЕСПУБЛИКА ХАКАСИЯ

адрес: 655017, г. Абакан, ул. Вяткина, 12

тел. (3902) 357-857

адрес электронной почты: tu_hakas@rosfinnadzor.ru

18. ЧЕЧЕНСКАЯ РЕСПУБЛИКА

адрес: 364051, г. Грозный, ул. Гаражная, 10.

тел. (8712) 22-24-53

адрес электронной почты: tu_che@rosfinnadzor.ru

19. ЧУВАШСКАЯ РЕСПУБЛИКА

адрес: 428004, г. Чебоксары, ул. Площадь Республики, 2

тел. (8352) 62-09-82,

адрес электронной почты: tu_chuvash@rosfinnadzor.ru

20. АЛТАЙСКИЙ КРАЙ

адрес: 656049, г. Барнаул, ул. Интернациональная, 72 "а"

тел. (83852) 65-85-05

официальный сайт www.r22.rosfinnadzor.ru,

адрес электронной почты: tu_altai@rosfinnadzor.ru

21. КРАСНОДАРСКИЙ КРАЙ

адрес: 350000, г. Краснодар, ул. Красная, 118

тел. (861) 253-13-34

адрес электронной почты: tu_krasnodar@rosfinnadzor.ru

22. КРАСНОЯРСКИЙ КРАЙ

адрес: 660021, г. Красноярск, ул. Робеспьера, 2

тел. (391) 211-66-50

адрес электронной почты: tu_krasnoyarsk@rosfinnadzor.ru

23. ПРИМОРСКИЙ КРАЙ

адрес: 690001, г. Владивосток, ул. Дальзаводская, 1

тел.(4232) 22-22-53

адрес электронной почты: tu_primorye@rosfinnadzor.ru

24. СТАВРОПОЛЬСКИЙ КРАЙ

адрес: 355002, г. Ставрополь, ул. Артема, 35-А

тел. (8652) 35-50-00

адрес электронной почты: tu_stavropol@rosfinnadzor.ru

25. ХАБАРОВСКИЙ КРАЙ

адрес: 680002, г. Хабаровск, ул. Фрунзе, 72

тел. (4212) 32-74-43,

адрес электронной почты: tu_habarovsk@rosfinnadzor.ru

26. АМУРСКАЯ ОБЛАСТЬ

адрес: 675000, г. Благовещенск, ул. Амурская, 145

тел. (4162) 49-12-35

адрес электронной почты: tu_amur@rosfinnadzor.ru

27. АРХАНГЕЛЬСКАЯ ОБЛАСТЬ

адрес: 163000, г. Архангельск, ул. Карла Либкнехта, 2

тел.(8182) 28-64-07

адрес электронной почты: tu_arkh@rosfinnadsor.ru

28. АСТРАХАНСКАЯ ОБЛАСТЬ

адрес: 414000, г. Астрахань, ул. Никольская, 10/14

тел. (8512) 52-41-71

адрес электронной почты: tu_astr@rosfinnadzor.ru

29. БЕЛГОРОДСКАЯ ОБЛАСТЬ

адрес: 308010, г. Белгород, пр. Б. Хмельницкого, 139

тел. (4722) 31-43-13

адрес электронной почты: tu_belg@rosfinnadzor.ru

30. БРЯНСКАЯ ОБЛАСТЬ

адрес: 241050, г. Брянск, ул. Дуки, д. 59

тел. (4832) 64-22-26

адрес электронной почты: tu_dryansk@rosfinnadzor.ru

31. ВЛАДИМИРСКАЯ ОБЛАСТЬ

адрес: 600000, г. Владимир, ул. Большая Московская, д. 51

тел. (4922) 42-06-44

адрес электронной почты: tu_vladimir@rosfinnadzor.ru

32. ВОЛГОГРАДСКАЯ ОБЛАСТЬ

адрес: 400131, г. Волгоград, ул. Гагарина, 2

тел. (8442) 24-06-32

адрес электронной почты: tu_volg@rosfinnadzor.ru

33. ВОЛОГОДСКАЯ ОБЛАСТЬ

адрес: 160000, г. Вологда, ул. Герцена, 2, к. 530

тел. (8172) 72-04-66

адрес электронной почты: tu_vologda@rosfinnadzor.ru

34. ВОРОНЕЖСКАЯ ОБЛАСТЬ

адрес: 394000, г. Воронеж, ул. Карла Маркса, 55

тел. (4732) 53-11-64,

адрес электронной почты: tu_voronezh@rosfinnadzor.ru

35. ИВАНОВСКАЯ ОБЛАСТЬ

адрес: 153000, г. Иваново, ул. Жарова, 10, к. 403.

тел. (4932) 41-76-61

адрес электронной почты: tu_ivanov@rosfinnadzor.ru

36. ИРКУТСКАЯ ОБЛАСТЬ

адрес: 664074, г. Иркутск, ул. Академика Курчатова, 14, а/я 184

тел. (3952) 41-23-34

адрес электронной почты: tu_irkutsk@rosfinnadzor.ru

37. КАЛИНИНГРАДСКАЯ ОБЛАСТЬ

адрес: 236039, г. Калининград, ул. Краснооктябрьская, 9

тел. (4012) 64-72-26

адрес электронной почты: tu_kalin@rosfinnadzor.ru

38. КАЛУЖСКАЯ ОБЛАСТЬ

адрес: 248000, г. Калуга, ул. Марата, 7

тел. (4842) 56-38-57

адрес электронной почты: tu_kaluga@rosfinnadzor.ru

39. КАМЧАТСКИЙ КРАЙ

адрес: 683031, г. Петропавловск-Камчатский, проспект Карла

Маркса, 29/1

тел. (4152) 25-22-59

адрес электронной почты: tu_kamchatka@rosfinnadzor.ru

40. КЕМЕРОВСКАЯ ОБЛАСТЬ

адрес: 650000, г. Кемерово, Кузнецкий проспект, 25

тел. (3842) 36-46-09

адрес электронной почты: tu_kemer@rosfinnadzor.ru

41. КИРОВСКАЯ ОБЛАСТЬ

адрес: 610046, г. Киров, ул. Пятницкая, 84 "а"

тел. (8332) 64-74-04

адрес электронной почты: tu_kirov@rosfinnadzor.ru

42. КОСТРОМСКАЯ ОБЛАСТЬ

адрес: 156000, г. Кострома, ул. Калиновская, д. 40

тел. (4942) 45-53-41

адрес электронной почты: tu_kostroma@rosfinnadzor.ru

43. КУРГАНСКАЯ ОБЛАСТЬ

адрес: 640018, г. Курган, ул. Советская, 69

тел. (3522) 41-76-25

адрес электронной почты: tu_kurgan@rosfinnadzor.ru

44. КУРСКАЯ ОБЛАСТЬ

адрес: 305002, г. Курск, ул. Марата, 9

тел. (4712) 52-14-69

адрес электронной почты: tu_kursk@rosfinnadzor.ru

45. ЛЕНИНГРАДСКАЯ ОБЛАСТЬ

адрес: 191311, г. Санкт-Петербург, ул. Смольного, 3

тел. (812) 576-45-43

адрес электронной почты: tu_lenobl@rosfinnadzor.ru

46. ЛИПЕЦКАЯ ОБЛАСТЬ

адрес: 398038, г. Липецк, пл. Плеханова, 33

тел. (4742) 27-86-46

адрес электронной почты: tu_lipetsk@rosfinnadzor.ru

47. МАГАДАНСКАЯ ОБЛАСТЬ

адрес: 685000, г. Магадан, ул. Набережная реки Магаданки, 15

тел. (4132) 60-51-34

адрес электронной почты: tu_magadan@rosfinnadzor.ru

48. МОСКОВСКАЯ ОБЛАСТЬ

адрес: 125319, г. Москва, ул. Коккинаки, 6

тел. (499) 152-02-96

адрес электронной почты: tu_mosobl@rosfinnadzor.ru

49. МУРМАНСКАЯ ОБЛАСТЬ

адрес: 183006, г. Мурманск, проспект Ленина, 75

тел. (8152) 45-89-95

адрес электронной почты: tu_murm@rosfinnadzor.ru

50. НИЖЕГОРОДСКАЯ ОБЛАСТЬ

адрес: 603950, г. Нижний Новгород, ул. Грузинская, 48

тел. (831) 437-34-03

адрес электронной почты: tu_nizh@rosfinnadzor.ru

51. НОВГОРОДСКАЯ ОБЛАСТЬ

адрес: 173001, г. Великий Новгород, ул. Козьмодемьянская, 8

тел. (8162) 73-24-42

адрес электронной почты: tu_novgorod@rosfinnadzor.ru

52. НОВОСИБИРСКАЯ ОБЛАСТЬ

адрес: 630011, г. Новосибирск, ул. Советская, д. 52/2

тел. (383) 243-56-30

адрес электронной почты: tu_novosib@rosfinnadzor.ru

53. ОМСКАЯ ОБЛАСТЬ

адрес: 644099, г. Омск, ул. Тарская, 11

тел. (3812) 25-23-61

официальный сайт: www.finnadzor.omsk.ru

адрес электронной почты: tu_omsk@rosfinnadzor.ru

54. ОРЕНБУРГСКАЯ ОБЛАСТЬ

адрес: 460001, г. Оренбург, ул. Чкалова, 34

тел. 8(3532) 31-13-95

официальный сайт: r56.rosfinnadzor.ru

адрес электронной почты: tu_oren@rosfinnadzor.ru

55. ОРЛОВСКАЯ ОБЛАСТЬ

адрес: 302026, г. Орел, ул. Комсомольская, 66

тел. (4862) 73-70-73

адрес электронной почты: tu_orel@rosfinnadzor.ru

56. ПЕНЗЕНСКАЯ ОБЛАСТЬ

адрес: 440000, г. Пенза, ул. М. Горького, 20

тел. (8412) 52-44-66

адрес электронной почты: tu_penza@rosfinnadzor.ru

57. ПЕРМСКИЙ КРАЙ

адрес: 614990, г. Пермь, ул. Попова, 9, офис 510

тел. (342) 237-31-99

адрес электронной почты: rosfinnadzor@permregion.ru

58. ПСКОВСКАЯ ОБЛАСТЬ

адрес: 180001, г. Псков, ул. Конная, 10

тел. (8112) 57-79-32

адрес электронной почты: tu_pskov@rosfinnadzor.ru

59. РОСТОВСКАЯ ОБЛАСТЬ

адрес: 344050, г. Ростов-на-Дону, ул. Социалистическая, 112

тел. (863) 240-18-26

адрес электронной почты: tu_rostov@rosfinnadzor.ru

60. РЯЗАНСКАЯ ОБЛАСТЬ

адрес: 390000, г. Рязань, ул. Петрова, 10 "с"

тел. (4912) 25-61-68

адрес электронной почты: tu_ryazan@rosfinnadzor.ru

61. САМАРСКАЯ ОБЛАСТЬ

адрес: 443010, г. Самара, ул. Шостаковича, 2, офис 524

тел. (846) 332-19-90

адрес электронной почты: tu_samara@rosfinnadzor.ru

62. САРАТОВСКАЯ ОБЛАСТЬ

адрес: 410042, г. Саратов, ул. Московская, 72, а/я 14

тел. (8452) 26-34-19

адрес электронной почты: tu_saratov@rosfinnadzor.ru

63. САХАЛИНСКАЯ ОБЛАСТЬ

адрес: 693011, г. Южно-Сахалинск, Коммунистический проспект, 39

тел. (4242) 74-22-67

адрес электронной почты: tu_sakhalin@rosfinnadzor.ru

64. СВЕРДЛОВСКАЯ ОБЛАСТЬ

адрес: 620014, г. Екатеринбург, ул. Малышева, 28

тел. (343) 376-36-55

адрес электронной почты: tu_sverdlovsk@rosfinnadzor.ru

65. СМОЛЕНСКАЯ ОБЛАСТЬ

адрес: 214000, г. Смоленск, ул. Дохтурова, 3

тел. (4812) 65-41-82

адрес электронной почты: tu_smolensk@rosfinnadzor.ru

66. ТАМБОВСКАЯ ОБЛАСТЬ

адрес: 392000, г. Тамбов, ул. Интернациональная, 16 "Б"

тел. (4752) 72-75-76

официальный сайт: r68.rosfinnadzor.ru

адрес электронной почты: tu_tambov@rosfinnadzor.ru

67. ТВЕРСКАЯ ОБЛАСТЬ

адрес: 170000, г. Тверь, ул. Советская, 23

тел. (4822) 32-02-88

адрес электронной почты: tu_tver@rosfinnadzor.ru

68. ТОМСКАЯ ОБЛАСТЬ

адрес: 634050, г. Томск, ул. Герцена, 68

тел. (3822) 52-33-90

адрес электронной почты: tu_tomsk@rosfinnadzor.ru

69. ТУЛЬСКАЯ ОБЛАСТЬ

адрес: 300012, г. Тула, ул. Мира, 54 тел. (4872) 21-20-57

адрес электронной почты: tu_tula@rosfinnadzor.ru

70. ТЮМЕНСКАЯ ОБЛАСТЬ

адрес: 625018, г. Тюмень, ул. Республики, 52

тел. (3452) 46-35-17

адрес электронной почты: tu_tumen@rosfinnadzor.ru

71. УЛЬЯНОВСКАЯ ОБЛАСТЬ

адрес: 432071, г. Ульяновск, ул. К. Маркса, 38

тел. (8422) 41-72-43

официальный сайт: www.r73.rosfinnadzor.ru

адрес электронной почты: tu_ylian@rosfinnadzor.ru

72. ЧЕЛЯБИНСКАЯ ОБЛАСТЬ

адрес: 454080, г. Челябинск, пр. Ленина, 83

тел. (351) 265-26-11

адрес электронной почты: tu_chel@rosfinnadzor.ru

73. ЗАБАЙКАЛЬСКИЙ КРАЙ

адрес: 672002, г. Чита, ул. Профсоюзная, 18

тел. (3022) 26-04-42

адрес электронной почты: turfn-chita@mail.ru

74. ЯРОСЛАВСКАЯ ОБЛАСТЬ

адрес: 150000, г. Ярославль, Советская пл., 1/19

тел. (4852) 32-98-44

адрес электронной почты: tu_yar@rosfinnadzor.ru

75. г. МОСКВА

адрес: 107031, г. Москва, ул. Рождественка, 5/7

тел. (495) 625-92-12

адрес электронной почты: tu_mos@rosfinnadzor.ru

76. г. САНКТ-ПЕТЕРБУРГ

адрес: 191104, г. Санкт-Петербург, ул. Рылеева, 7-А

тел. (812) 315-06-53

адрес электронной почты: tu_spb@rosfinnadzor.ru

77. ХАНТЫ-МАНСИЙСКИЙ АВТОНОМНЫЙ ОКРУГ - ЮГРА

адрес: 628002, г. Ханты-Мансийск, ул. Мира, д. 5

тел. (3467) 33-78-02

адрес электронной почты: tu_hmansy@rosfinnadzor.ru

78. ЯМАЛО-НЕНЕЦКИЙ АВТОНОМНЫЙ ОКРУГ

адрес: 629001, г. Салехард, ул. Подшибякина, 46а

тел. (34922) 4-12-08

адрес электронной почты: tu_yamal@rosfinnadzor.ru

Приложение N 2
к Административному регламенту
исполнения Федеральной службой
финансово-бюджетного надзора
государственной функции по контролю
в финансово-бюджетной сфере

БЛОК-СХЕМА ИСПОЛНЕНИЯ ГОСУДАРСТВЕННОЙ ФУНКЦИИ