"Методика расчета показателей мониторинга эффективности образовательных организаций высшего образования 2014 года(на основе данных формы "Мониторинг по основным направлениям деятельности образовательной организации высшего образования за 2013 Г. (форма N 1-МОНИТОРИНГ)")"

(утв. Минобрнауки РФ 03.04.2014 АК-39/05ВН)
Редакция от 03.04.2014 — Действует с 03.04.2014

УТВЕРЖДАЮ
заместитель Министра образования и науки
Российской Федерации
А.А. КЛИМОВ
3 апреля 2014 г ак-39/05вн

МЕТОДИКА РАСЧЕТА ПОКАЗАТЕЛЕЙ МОНИТОРИНГА ЭФФЕКТИВНОСТИ ОБРАЗОВАТЕЛЬНЫХ ОРГАНИЗАЦИЙ ВЫСШЕГО ОБРАЗОВАНИЯ 2014 ГОДА(НА ОСНОВЕ ДАННЫХ ФОРМЫ "МОНИТОРИНГ ПО ОСНОВНЫМ НАПРАВЛЕНИЯМ ДЕЯТЕЛЬНОСТИ ОБРАЗОВАТЕЛЬНОЙ ОРГАНИЗАЦИИ ВЫСШЕГО ОБРАЗОВАНИЯ ЗА 2013 Г. (ФОРМА N 1-МОНИТОРИНГ)")

N п/п Показатели Единица измерения ВУЗ/Филиал Категория вузов/филиалов Методика расчета
А Б В Г Д Е
1 Образовательная деятельность
Е1.1 Средний балл единого государственного экзамена (далее ЕГЭ) студентов, принятых по результатам ЕГЭ на обучение по очной форме по программам бакалавриата и специалитета за счет средств соответствующих бюджетов бюджетной системы Российской Федерации и с оплатой стоимости затрат на обучение физическими и юридическими лицами баллы Вуз Филиал Без специфики Медицинская направленность Транспортная направленность Сельскохозяйственная направленность Отношение суммы средних баллов ЕГЭ студентов, принятых на обучение по очной форме обучения по результатам ЕГЭ или по результатам ЕГЭ и дополнительных испытаний за исключением лиц, принятых по результатам целевого приема, по всем направлениям и специальностям программ бакалавриата и специалитета, умноженных на численность таких студентов, обучающихся по соответствующим направлениям и специальностям программ бакалавриата и специалитета, к суммарной численности таких студентов. Результаты студентов, имеющих право на прием без вступительных испытаний, признаются как наивысшие результаты ЕГЭ (100 баллов) по соответствующим общеобразовательным предметам.
Е1.2 Средний балл студентов, принятых по результатам ЕГЭ и результатам испытаний профессиональной направленности (проводимых по 100-бальной шкале) на обучение по очной форме по программам бакалавриата и специалитета за счет средств соответствующих бюджетов бюджетной системы Российской Федерации и с оплатой стоимости затрат на обучение физическими и юридическими лицами баллы Вуз Филиал Военная и силовая направленность Отношение суммы средних баллов ЕГЭ (с учетом результатов испытаний профессиональной направленности (проводимых по 100-бальной шкале)) студентов, принятых на обучение по очной форме обучения по результатам ЕГЭ или по результатам ЕГЭ и дополнительных испытаний за исключением лиц, принятых по результатам целевого приема, по всем направлениям и специальностям программ бакалавриата и специалитета, умноженных на численность таких студентов, обучающихся по соответствующим направлениям и специальностям программ бакалавриата и специалитета, к суммарной численности таких студентов.
Спортивная направленность Результаты студентов, имеющих право на прием без вступительных испытаний, признаются как наивысшие результаты ЕГЭ (100 баллов) по соответствующим общеобразовательным предметам.
Е1.3 Средний балл студентов, принятых по результатам ЕГЭ и результатам творческих испытаний (проводимых по 100-бальной шкале) на обучение по очной форме по программам бакалавриата и специалитета за счет средств соответствующих бюджетов бюджетной системы Российской Федерации и с оплатой стоимости затрат на обучение физическими и юридическими лицами баллы Вуз Филиал Творческая направленность Отношение суммы средних баллов ЕГЭ (с учетом результатов творческих испытаний (проводимых по 100-бальной шкале)) студентов, принятых на обучение по очной форме обучения по результатам ЕГЭ или по результатам ЕГЭ и дополнительных испытаний за исключением лиц, принятых по результатам целевого приема, по всем направлениям и специальностям программ бакалавриата и специалитета, умноженных на численность таких студентов, обучающихся по соответствующим направлениям и специальностям программ бакалавриата и специалитета, к суммарной численности таких студентов.
Результаты студентов, имеющих право на прием без вступительных испытаний, признаются как наивысшие результаты ЕГЭ (100 баллов) по соответствующим общеобразовательным предметам.
I1.1 Средний балл ЕГЭ студентов, принятых по результатам ЕГЭ на обучение по очной форме по программам бакалавриата и специалитета за счет средств соответствующих бюджетов бюджетной системы Российской Федерации баллы Вуз Филиал Все Отношение суммы средних баллов ЕГЭ студентов, принятых на обучение по очной форме обучения по результатам ЕГЭ или по результатам ЕГЭ и дополнительных испытаний за счет средств соответствующих бюджетов бюджетной системы Российской Федерации за исключением лиц, принятых по результатам целевого приема, по всем направлениям и специальностям программ бакалавриата и специалитета, умноженных на численность таких студентов, обучающихся по соответствующим направлениям и специальностям программ бакалавриата и специалитета, к суммарной численности таких студентов.
Результаты студентов, имеющих право на прием без вступительных испытаний, признаются как наивысшие результаты ЕГЭ (100 баллов) по соответствующим общеобразовательным предметам
I1.2 Средний балл ЕГЭ студентов, принятых по результатам ЕГЭ на обучение по очной форме по программам бакалавриата и специалитета с оплатой стоимости затрат на обучение физическими и юридическими лицами баллы Вуз
Филиал
Все Отношение суммы средних баллов ЕГЭ студентов, принятых на обучение по очной форме обучения по результатам ЕГЭ или по результатам ЕГЭ и дополнительных испытаний с оплатой стоимости затрат на обучение физическими и юридическими лицами за исключением лиц, принятых по результатам целевого приема, по всем направлениям и специальностям программ бакалавриата и специалитета, умноженных на численность таких студентов, обучающихся по соответствующим направлениям и специальностям программ бакалавриата и специалитета, к суммарной численности таких студентов.
I1.3 Усредненный по реализуемым направлениям (специальностям) минимальный балл ЕГЭ студентов, принятых по результатам ЕГЭ на обучение по очной форме на программы бакалавриата и специалитета баллы Вуз Филиал Все Отношение суммы средних минимальных баллов ЕГЭ студентов, принятых на обучение по очной форме обучения за исключением лиц, принятых по результатам целевого приема, по всем направлениям и специальностям программ бакалавриата и специалитета, к количеству направлений и специальностей, на которые осуществлен прием студентов по результатам ЕГЭ.
I1.4 Численность студентов, победителей и призеров заключительного этапа всероссийской олимпиады школьников, членов сборных команд Российской Федерации, учавствовавших в международных олимпиадах по общеобразовательным предметам по специальностям и (или) направлениям подготовки, соответствующим профилю всероссийской олимпиады школьников или международной олимпиады, принятых на очную форму обучения на первый курс по программам бакалавриата и специалитета без вступительных испытаний человек Вуз Филиал Все Численность студентов, победителей и призеров заключительного этапа всероссийской олимпиады школьников, членов сборных команд Российской Федерации, участвовавших в международных олимпиадах по общеобразовательным предметам по специальностям и (или) направлениям подготовки, соответствующим профилю всероссийской олимпиады школьников или международной олимпиады, принятых на очную форму обучения на первый курс по программам бакалавриата и специалитета без вступительных испытаний
I1.5 Численность студентов, победителей и призеров олимпиад школьников, принятых на очную форму обучения на первый курс по программам бакалавриата и специалитета по специальностям и (или) направлениям подготовки, соответствующим профилю олимпиады школьников, без вступительных испытаний человек Вуз Филиал Все Численность студентов, победителей и призеров олимпиад школьников, принятых на очную форму обучения на первый курс по программам бакалавриата и специалитета по специальностям и (или) направлениям подготовки, соответствующим профилю олимпиады школьников, без вступительных испытаний
I1.6 Численность студентов, принятых на условиях целевого приема на первый курс на очную форму обучения по программам бакалавриата и специалитета человек Вуз Филиал Все Численность студентов, принятых на условиях целевого приема на первый курс на очную форму обучения по программам бакалавриата и специалитета
I1.7 Удельный вес численности студентов, принятых на условиях целевого приема на первый курс на очную форму обучения по программам бакалавриата и специалитета в общей численности студентов, принятых на первый курс по программам бакалавриата и специалитета на очную форму обучения % Вуз Филиал Все Отношение численности студентов, принятых на условиях целевого приема на первый курс на очную форму обучения по программам бакалавриата и специалитета к общей численности студентов, принятых на первый курс по программам бакалавриата и специалитета на очную форму обучения, выраженное в процентах.
I1.8 Удельный вес численности студентов (приведенного контингента), обучающихся по программам магистратуры, в общей численности приведенного контингента обучающихся по основным образовательным программам высшего образования % Вуз Филиал Все Отношение приведенного контингента студентов, обучающихся по программам магистратуры, к приведенному контингенту студентов, обучающихся по образовательным программам бакалавриата, специалитета и магистратуры, выраженное в процентах.
Приведенный контингент студентов здесь и далее рассчитывается по формуле , где а - численность студентов очной формы обучения; b - численность студентов очно-заочной (вечерней) формы обучения; с - численность студентов заочной формы обучения; d - численность студентов экстерната.
I1.9 Удельный вес численности студентов, имеющих диплом бакалавра, диплом специалиста или диплом магистра других организаций, осуществляющих образовательную деятельность, принятых на первый курс на обучение по программам магистратуры образовательной организации, в общей численности студентов, принятых на первый курс по программам магистратуры на очную форму обучения % Вуз Филиал Все Отношение численности студентов, имеющих диплом бакалавра, диплом специалиста или диплом магистра других организаций, осуществляющих образовательную деятельность, принятых на первый курс на обучение по программам магистратуры образовательной организации на очную форму обучения, к общей численности студентов, принятых на первый курс по программам магистратуры на очную форму обучения, выраженное в процентах.
I1.10 Численность аспирантов вуза в расчете на 100 студентов (приведенного контингента) человек Вуз Филиал Все Отношение численности аспирантов образовательной организации к приведенному контингенту студентов, обучающихся по образовательным программам бакалавриата, специалитета и магистратуры, умноженное на 100.
I1.11 Удельный вес численности слушателей из сторонних организаций в общей численности слушателей, прошедших обучение в вузе по программам повышения квалификации и переподготовки % Вуз Филиал Все Отношение численности слушателей из сторонних организаций, прошедших обучение в образовательной организации по программам повышения квалификации и переподготовки, к общей численности слушателей, прошедших обучение в вузе по программам повышения квалификации и переподготовки, выраженное в процентах.
2 Научно-исследовательская деятельность
Е2.1 Объем НИОКР в расчете на одного научно-педагогического работника (далее НПР) тыс.руб. Вуз Филиал Без специфики Медицинская направленность Транспортная направленность Сельскохозяйственная направленность Военная и силовая направленность Спортивная направленность Отношение общего объема выполненных исследований и разработок к численности НПР.
Численность НПР (как общая численность, так и численность всех возможных подмножеств) здесь и далее рассчитывается как приведенная к числу ставок численность работников профессорско-преподавательского состава и научных работников на 01 октября отчетного года, включая работающих на условиях штатного совместительства (внешних совместителей), без работающих по договорам гражданско-правового характера.
Е2.2 Объем НИОКР и средств, направленных на творческие проекты, в расчете на одного НПР тыс.руб. Вуз Филиал Творческая направленность Отношение суммы общего объема выполненных исследований и разработок и средств, направленных на творческие проекты, к численности НПР
I2.1 Количество цитирований статей, изданных за последние 5 лет, в индексируемой системе цитирования Web of Science в расчете на 100 НПР ед. Вуз Все Отношение количества цитирований статей, изданных за последние 5 лет, в рецензируемых научных журналах мира, индексируемых в базе данных Web of Science, к численности НПР, умноженное на 100.
I2.2 Количество цитирований статей, изданных за последние 5 лет, в индексируемой системе цитирования Scopus в расчете на 100 НПР ед. Вуз Все Отношение количества цитирований статей, изданных за последние 5 лет, в рецензируемых научных журналах мира, индексируемых в базе данных Scopus, к численности НПР, умноженное на 100.
I2.3 Количество цитирований статей, изданных за последние 5 лет, в Российском индексе научного цитирования (далее - РИНЦ) в расчете на 100 НПР ед. Вуз Все Отношение количества цитирований статей, изданных за последние 5 лет, в рецензируемых научных журналах, включенных в РИНЦ, к численности НПР, умноженное на 100.
I2.4 Количество опубликованных за отчетный год статей в научной периодике, индексируемой в системе цитирования Web of Science, в расчете на 100 НПР ед. Вуз Все Отношение количества статей, изданных в отчетном году, в научной периодике, индексируемой в системе цитирования Web of Science, к численности НПР, умноженное на 100.
I2.5 Количество опубликованных за отчетный год статей в научной периодике, индексируемой в системе цитирования Scopus, в расчете на 100 НПР ед. Вуз Все Отношение количества статей, изданных в отчетном году, в научной периодике, индексируемой в системе цитирования Scopus, к численности НПР, умноженное на 100.
I2.6 Количество опубликованных за отчетный год статей в научной периодике, индексируемой в РИНЦ, в расчете на 100 НПР ед. Вуз Все Отношение количества публикаций, изданных в отчетном году в научных журналах, включенных в РИНЦ, к численности НПР, умноженное на 100.
I2.7 Общий объем научно-исследовательских и опытно-конструкторских работ (далее -НИОКР) тыс.руб. Вуз Филиал Все Общий объем научно-исследовательских и опытно-конструкторских работ
I2.8 Удельный вес доходов от НИОКР в общих доходах образовательной организации % Вуз Филиал Все Отношение доходов от НИОКР к общим доходам образовательной организации, без учета собственных средств, выраженное в процентах.
I2.9 Удельный вес НИОКР, выполненных собственными силами (без привлечения соисполнителей), в общих доходах образовательной организации от НИОКР % Вуз Филиал Все Отношение объема НИОКР, выполненных собственными силами (без привлечения соисполнителей), к общим доходам образовательной организации от НИОКР, без учета собственных средств, выраженное в процентах.
I2.10 Доходы от НИОКР (за исключением средств бюджетов бюджетной системы Российской Федерации, государственных фондов поддержки науки) в расчете на одного НПР тыс.руб. Вуз Филиал Все Отношение доходов от НИОКР (за исключением средств бюджетов бюджетной системы Российской Федерации, государственных фондов поддержки науки) к численности НПР.
I2.11 Количество лицензионных соглашений ед. Вуз Все Количество лицензионных соглашений образовательной организации
I2.12 Удельный вес средств, полученных вузом от управления объектами интеллектуальной собственности, в общих доходах вуза % Вуз Филиал Все Отношение объема средств, полученных образовательной организацией от управления объектами интеллектуальной собственности, к общим доходам образовательной организации, без учета собственных средств, выраженное в процентах.
I2.13 Удельный вес численности НПР без ученой степени - до 30 лет, кандидатов наук - до 35 лет, докторов наук- до 40 лет, в общей численности НПР % Вуз Филиал Все Отношение численности научно-педагогических работников без ученой степени - до 30 лет, кандидатов наук - до 35 лет, докторов наук - до 40 лет к общей численности работников, относящихся к категории профессорско-преподавательского состава или научных работников по основной занимаемой должности, на 01 октября отчетного года, включая работающих на условиях штатного совместительства (внешних совместителей), без работающих по договорам гражданско-правового характера, без учета занимаемых ставок, выраженное в процентах.
I2.14 Удельный вес научно-педагогических работников, защитивших кандидатские и докторские диссертации за отчетный год в общей численности НПР % Вуз Филиал Все Отношение численности НПР (без внешних совместителей и работавших по договорам ГПХ) защитивших кандидатские и докторские диссертации в период с 01.10.12 по 30.09.13 к общей численности работников, относящихся к категории профессорско-преподавательского состава или научных работников по основной занимаемой должности, на 01 октября отчетного года, включая работающих на условиях штатного совместительства (внешних совместителей), без работающих по договорам гражданско-правового характера, без учета занимаемых ставок, выраженное в процентах.
I2.15 Количество научных журналов, в том числе электронных, издаваемых вузом ед. Вуз Все Количество научных журналов, в том числе электронных, издаваемых вузом
I2.16 Количество полученных грантов за отчетный год в расчете на 100 НПР ед. Вуз Все Отношение количества грантов, полученных в отчетном году, к численности НПР, умноженное на 100.
3 Международная деятельность
Е3.1 Удельный вес численности иностранных студентов, обучающихся по программам бакалавриата, специалитета, магистратуры, в общей численности студентов (приведенный контингент) % Вуз Филиал Все Отношение приведенного контингента студентов - граждан иностранных государств, к приведенному контингенту студентов (кроме студентов, обучающихся на специальностях, на которые не предусмотрен прием иностранных граждан).
I3.1 Удельный вес численности иностранных студентов (кроме стран Содружества Независимых Государств (далее - СНГ)), обучающихся программам бакалавриата, специалитета, магистратуры, в общей численности студентов (приведенный контингент) % Вуз Филиал Все Отношение приведенного контингента студентов - граждан иностранных государств (кроме стран СНГ), обучающихся по образовательным программам бакалавриата, специалитета, магистратуры, к приведенному контингенту студентов, обучающихся по образовательным программам бакалавриата, специалитета, магистратуры (кроме студентов, обучающихся на специальностях, на которые не предусмотрен прием иностранных граждан), выраженное в процентах.
I3.2 Удельный вес численности иностранных студентов из СНГ, обучающихся по программам бакалавриата, специалитета, магистратуры, в общей численности студентов (приведенный контингент) % Вуз Филиал Все Отношение приведенного контингента студентов - граждан из стран СНГ, обучающихся по образовательным программам бакалавриата, специалитета, магистратуры, к приведенному контингенту студентов, обучающихся по образовательным программам бакалавриата, специалитета, магистратуры (кроме студентов, обучающихся на специальностях, на которые не предусмотрен прием иностранных граждан), выраженное в процентах.
I3.3 Удельный вес численности иностранных студентов, завершивших освоение образовательных программ бакалавриата, специалитета, магистратуры, в общей численности студентов (приведенный контингент) % Вуз
Филиал
Все Отношение выпуска студентов (приведенного контингента) - граждан иностранных государств, обучавшихся по образовательным программам бакалавриата, специалитета, магистратуры, к общему выпуску студентов (приведенного контингента), обучавшихся по образовательным программам бакалавриата, специалитета, магистратуры (кроме студентов, обучавшихся на специальностях, на которые не предусмотрен прием иностранных граждан), выраженное в процентах.
I3.4 Удельный вес численности иностранных студентов (кроме стран СНГ), завершивших освоение образовательных программ бакалавриата, программ специалитета, программ магистратуры, в общей численности студентов (приведенный контингент) % Вуз
Филиал
Все Отношение выпуска студентов (приведенного контингента) - граждан иностранных государств (кроме стран СНГ), обучавшихся по образовательным программам бакалавриата, специалитета, магистратуры, к общему выпуску студентов (приведенного контингента), обучавшихся по образовательным программам бакалавриата, специалитета, магистратуры (кроме студентов, обучавшихся на специальностях, на которые не предусмотрен прием иностранных граждан), выраженное в процентах.
I3.5 Удельный вес численности иностранных студентов из стран СНГ, завершивших освоение образовательных программ бакалавриата, программ специалитета, программ магистратуры, в общей численности студентов (приведенный контингент) % Вуз
Филиал
Все Отношение выпуска студентов (приведенного контингента) - граждан из стран СНГ, обучавшихся по образовательным программам бакалавриата, специалитета, магистратуры, к общему выпуску студентов (приведенного контингента), обучавшихся по образовательным программам бакалавриата, специалитета, магистратуры (кроме студентов, обучавшихся на специальностях, на которые не предусмотрен прием иностранных граждан), выраженное в процентах.
I3.6 Удельный вес численности студентов вуза, обучающихся по очной форме обучения по образовательным программам бакалавриата, программам специалитета, программам магистратуры, прошедших обучение за рубежом не менее семестра (триместра), в общей численности студентов, обучающихся по очной форме обучения % Вуз Филиал Все Отношение численности студентов образовательной организации, обучающихся по очной форме обучения по образовательным программам бакалавриата, специалитета, магистратуры, прошедших обучение за рубежом не менее семестра (триместра), к общей численности студентов, обучающихся по очной форме обучения по образовательным программам бакалавриата, специалитета, магистратуры, выраженное в процентах.
I3.7 Численность студентов иностранных образовательных организаций, прошедших обучение в вузе по образовательным по очной форме обучения по образовательным программам бакалавриата, программам специалитета, программам магистратуры, не менее семестра (триместра) в расчете на 100 студентов, обучающихся по очной форме обучения ед. Вуз
Филиал
Все Отношение численности студентов иностранных образовательных организаций, прошедших обучение в образовательной организации по очной форме обучения по образовательным программам бакалавриата, специалитета, магистратуры, не менее семестра (триместра), к общей численности студентов, обучающихся по очной форме обучения по образовательным программам бакалавриата, специалитета, магистратуры, умноженное на 100
I3.8 Удельный вес численности иностранных граждан из числа НПР в общей численности НПР % Вуз
Филиал
Все Отношение численности иностранных граждан из числа научно-педагогических работников к общей численности работников, относящихся к категории профессорско-преподавательского состава или научных работников по основной занимаемой должности, на 01 октября отчетного года, включая работающих на условиях штатного совместительства (внешних совместителей), без работающих по договорам гражданско-правового характера, без учета занимаемых ставок, выраженное в процентах.
I3.9 Удельный вес численности иностранных граждан (кроме стран СНГ) из числа аспирантов вуза в общей численности аспирантов % Вуз Филиал Все Отношение численности иностранных граждан (кроме стран СНГ) из числа аспирантов к общей численности аспирантов образовательной организации, выраженное в процентах.
I3.10 Удельный вес численности иностранных граждан из стран СНГ из числа аспирантов вуза в общей численности аспирантов % Вуз
Филиал
Все Отношение численности иностранных граждан стран СНГ из числа аспирантов к общей численности аспирантов образовательной организации, выраженное в процентах.
I3.11 Объем средств, полученных вузом на выполнение НИОКР от иностранных граждан и иностранных юридических лиц тыс.руб. Вуз
Филиал
Все Объем средств, полученных вузом на выполнение НИОКР от иностранных граждан и иностранных юридических лиц
I3.12 Объем средств от образовательной деятельности, полученных вузом от иностранных граждан и иностранных юридических лиц тыс.руб. Вуз
Филиал
Все Объем средств от образовательной деятельности, полученных вузом от иностранных граждан и иностранных юридических лиц
4 Финансово-экономическая деятельность
E4.1 Доходы вуза из всех источников в расчете на одного НИР тыс.руб. Вуз Филиал Все Отношение объема средств учреждения, полученных из бюджетных и внебюджетных источников, без учета собственных средств, к численности НПР.
I4.1 Доходы вуза из средств от приносящей доход деятельности в расчете на одного НПР тыс.руб. Вуз Филиал Все Отношение доходов образовательной организации из средств от приносящей доход деятельности, без учета собственных средств, к численности НПР.
I4.2 Отношение среднего заработка НПР в вузе (из всех источников) к средней заработной плате по экономике региона % Вуз Филиал Все Отношение фонда начисленной заработной платы работников профессорско-преподавательского состава и научных работников, включая работающих на условиях штатного совместительства (внешних совместителей), без работающих по договорам гражданско-правового характера, к среднесписочной численности таких работников, деленное на 12 и деленное на среднюю заработную плату по экономике региона.
I4.3 Доходы вуза из всех источников в расчете на численность студентов (приведенный контингент) тыс.руб. Вуз Филиал Все Отношение объема средств учреждения, полученных из бюджетных и внебюджетных источников, без учета собственных средств, к приведенному контингенту студентов, обучающихся по образовательным программам бакалавриата, специалитета, магистратуры
5 Инфраструктура
E5.1 Общая площадь учебно- лабораторных помещений в расчете на одного студента (приведенного контингента), имеющихся у вуза на праве собственности, переданных учредителем, закрепленных за вузом на праве оперативного управления и безвозмездного пользования кв.м Вуз Филиал Все Отношение общей площади учебно-лабораторных зданий, имеющихся у вуза на праве собственности и закрепленных за вузом на праве оперативного управления, а также переданные федеральными (региональными, муниципальными) органами исполнительной власти в безвозмездное пользование и переданные учредителем образовательной организации, к численности приведенного контингента студентов.
I5.1 Общая площадь учебно- лабораторных помещений в расчете на одного студента (приведенного контингента), в том числе: кв.м Вуз Филиал Все Отношение площади учебно-лабораторных зданий к приведенному контингенту студентов, обучающихся по образовательным программам бакалавриата, специалитета, магистратуры.
I5.1.1 имеющихся у вуза на праве собственности кв.м Вуз Филиал Все Отношение площади учебно-лабораторных зданий, имеющихся у вуза на праве собственности, к приведенному контингенту студентов, обучающихся по образовательным программам бакалавриата, специалитета, магистратуры.
I5.1.2 закрепленных за вузом на праве оперативного управления кв.м Вуз Филиал Все Отношение площади учебно-лабораторных зданий, закрепленных за вузом на праве оперативного управления, к приведенному контингенту студентов, обучающихся по образовательным программам бакалавриата, специалитета, магистратуры.
I5.1.3 предоставленных вузу в безвозмездное пользование кв.м Вуз Филиал Все Отношение площади учебно-лабораторных зданий, предоставленных вузу в безвозмездное пользование, к приведенному контингенту студентов, обучающихся по образовательным программам бакалавриата, специалитета, магистратуры.
I5.1.4 предоставленных вузу в аренду кв.м Вуз Филиал Все Отношение площади учебно-лабораторных зданий, предоставленных вузу в аренду, к приведенному контингенту студентов, обучающихся по образовательным программам бакалавриата, специалитета, магистратуры.
I5.2 Количество персональных компьютеров в расчете на одного студента (приведенного контингента) ед. Вуз Филиал Все Отношение количества персональных компьютеров к приведенному контингенту студентов, обучающихся по образовательным программам бакалавриата, специалитета, магистратуры.
I5.3 Удельный вес стоимости машин и оборудования (не старше 5 лет) вуза в общей стоимости машин и оборудования % Вуз Филиал Все Отношение стоимости оборудования (не старше 5 лет) к общей стоимости оборудования образовательной организации, выраженное в процентах
I5.4 Количество экземпляров печатных учебных изданий (включая учебники и учебные пособия) из общего количества единиц хранения библиотечного фонда, состоящих на учете, в расчете на одного студента (приведенного контингента) ед. Вуз Филиал Все Отношение количества экземпляров печатных учебных изданий (включая учебники и учебные пособия) из общего количества единиц хранения библиотечного фонда, состоящих на учете, к приведенному контингенту студентов, обучающихся по образовательным программам бакалавриата, специалитета, магистратуры
6 Показатель для вузов (Трудоустройство)
Е6.1 Удельный вес численности выпускников вуза, обучавшихся по очной форме обучения, не обращавшихся в службы занятости для содействия в трудоустройстве в течение первого года после окончания обучения в вузе, и трудоустроенных из числа обратившихся, в общем числе выпускников. % Вуз Все Отношение численности выпускников вуза, обучавшихся по очной форме обучения, не обратившихся в службы занятости для содействия в трудоустройстве в течение первого года после окончания обучения в вузе, а также трудоустроенных из числа обратившихся, к общей численности выпускников очной формы обучения, выраженное в процентах.
I6.1 Удельный вес выпускников отчетного года очной формы обучения, обратившихся за содействием в поиске подходящей работы в органы содействия в трудоустройстве % Вуз Все Отношение численности выпускников вуза, обучавшихся по очной форме обучения, обратившихся в службы занятости для содействия в трудоустройстве в течение первого года после окончания обучения в вузе, к общей численности выпускников очной формы обучения, выраженное в процентах.
I6.2 Удельный вес выпускников отчетного года очной формы обучения, обратившихся за содействием в поиске подходящей работы в органы содействия в трудоустройстве и признанных безработными % п. .. Все Отношение численности выпускников вуза, обучавшихся по очной форме обучения, не обратившихся в службы занятости для содействия в трудоустройстве в течение первого года после окончания обучения в вузе и признанных безработными, к общей численности выпускников очной формы обучения, выраженное в процентах.
I6.3 Удельный вес нетрудоустроенных в течение года выпускников отчетного года очной формы обучения, из числа обратившихся за содействием в трудоустройстве % Вуз Все Отношение численности выпускников вуза, обучавшихся по очной форме обучения, нетрудоустроенных в течение года выпускников отчетного года очной формы обучения из числа обратившихся за содействием в трудоустройстве в течение первого года после окончания обучения в вузе, к общей численности выпускников очной формы обучения, выраженное в процентах.
7 Показатель для филиалов (Контингент студентов)
E7.1 Приведенный контингент студентов ед. Филиал Все Численность приведенного контингента студентов, обучающихся по программам бакалавриата, специалитета и магистратуры.
8 Дополнительные показатели образовательных организаций
E8.1 Доля преподавателей военно-профессиональных, специальных учебных дисциплин, имеющих профильное высшее образование, опыт работы в войсках (на флотах), штабах, управлениях, частях, воинских формированиях, организациях, не менее 5 лет, воинское (специальное) звание не ниже "майор", а также боевой опыт, в том числе ликвидации чрезвычайных ситуаций природного и техногенного характера или государственные награды, государственные или отраслевые почетные звания, государственные премии % Вуз Филиал Военная и силовая направленность Отношение численности преподавателей военно-профессиональных, специальных учебных дисциплин, имеющих профильное высшее образование, опыт работы в войсках (на флотах), штабах, управлениях, частях, воинских формированиях, организациях, не менее 5 лет, воинское (специальное) звание не ниже "майор", а также боевой опыт, в том числе ликвидации чрезвычайных ситуаций природного и техногенного характера или государственные награды, государственные или отраслевые почетные звания, государственные премии, к численности преподавателей военно-профессиональных, специальных учебных дисциплин, выраженное в процентах.
E8.2 Доля работников (приведенных к числу ставок) из числа профессорско-преподавательского состава, имеющих государственные почетные звания, лауреатов международных и всероссийских конкурсов, лауреатов государственных премий, в численности работников ППС без совместителей и работающих по договорам гражданско-правового характера % Вуз Филиал Творческая направленность Отношение численности работников (приведенных к числу ставок) из числа профессорско-преподавательского состава, имеющих государственные почетные звания, лауреатов международных и всероссийских конкурсов, лауреатов государственных премий (на 01 октября отчетного года, без учета работающих по договорам гражданско-правового характера) к численности работников профессорско-преподавательского состава, выраженное в процентах.
Е8.3 Доля студентов, включенных в списки кандидатов в спортивные сборные команды Российской Федерации по видам спорта, в общей численности студентов % Вуз Филиал Спортивная направленность Отношение численности контингента студентов, включенных в списки кандидатов в спортивные сборные команды Российской Федерации по видам спорта, к общей численности контингента студентов, выраженное в процентах.
Е8.4 Доля работников (приведенных к числу ставок) из числа ППС в численности работников ППС без совместителей и работающих по договорам гражданско-правового характера, имеющих ученую степень кандидата или доктора наук, соответствующую специальностям раздела 14.00.00 Номенклатуры специальностей научных работников % Вуз Филиал Медицинская направленность Отношение численности (приведенной к числу ставок) работников, имеющих ученую степень кандидата или доктора наук, соответствующую специальностям раздела 14.00.00 Номенклатуры специальностей научных работников, к численности ППС без работающих по договорам гражданско-правового характера, выраженное в процентах.
Е8.5 Среднегодовой контингент обучающихся по программам повышения квалификации и профессиональной переподготовки, реализуемых на базе образовательных программ и направлений подготовки, отражающих специфику образовательной организации % Вуз Филиал Транспортная направленность Отношение среднегодового контингента обучающихся по программам повышения квалификации и профессиональной переподготовки, реализуемых на базе образовательных программ и направлений подготовки, отражающих специфику образовательной организации к приведенному контингенту студентов, обучающихся по образовательным программам и направлениям подготовки, отражающим специфику образовательной организации. Среднегодовой контингент обучающихся по программам повышения квалификации и профессиональной переподготовки рассчитывается как отношение суммы произведений количества обучающихся по программе повышения квалификации или профессиональной переподготовки и количества часов, отведенных на реализацию соответствующей программы к количеству часов предельной аудиторной нагрузки в год на одного обучающегося. Количество часов предельной аудиторной нагрузки в год на одного обучающегося принимается равным 1440.
Е8.6 Доля работников (приведенных к числу ставок) из числа ППС в численности работников ППС без совместителей и работающих по договорам гражданско-правового характера, имеющих ученую степень кандидата или доктора наук, соответствующую специальностям разделов 03.00.00, 05.20.00, 06.00.00, 25.00.00 Номенклатуры специальностей научных работников % Вуз Филиал Сельскохозяйственная направленность Отношение численности (приведенной к числу ставок) работников, имеющих ученую степень кандидата или доктора наук, соответствующую специальностям разделов 03.00.00, 05.20.00, 06.00.00, 25.00.00 Номенклатуры специальностей научных работников, к численности ППС без работающих по договорам гражданско-правового характера, выраженное в процентах.
Е8.7 Численность сотрудников, из числа ППС (приведенных к доле ставки), имеющих ученые степени кандидата или доктора наук, в расчете на 100 студентов ед. Вуз Филиал Без специфики Отношение приведенной к числу ставок численности работников профессорско-преподавательского состава, имеющих ученую степень доктора наук или кандидата наук, к численности студентов, обучающихся по программам бакалавриата, специалитета и магистратуры
9 Кадровый состав
I9.1 Доля НПР, имеющих ученую степень кандидата наук, в общей численности НПР % Вуз Филиал Все Отношение численности НПР, имеющих ученую степень кандидата наук, к общей численности НПР, выраженное в процентах.
I9.2 Удельный вес НПР имеющих ученую степень доктора наук, в общей численности НПР % Вуз Филиал Все Отношение численности НПР, имеющих ученую степень доктора наук, к общей численности НПР, выраженное в процентах.
I9.3 Удельный вес НПР, имеющих ученую степень кандидата и доктора наук, в общей численности НПР вуза (без совместителей и работающих по договорам гражданско-правового характера) % Вуз Филиал Все Отношение численности НПР (без совместителей и работающих по договорам гражданско-правового характера), имеющих ученую степень кандидата и доктора наук, к общей численности НПР образовательной организации (без совместителей и работающих по договорам гражданско-правового характера), выраженное в процентах.
I9.4 Число НПР, имеющих ученую степень кандидата и доктора наук, в расчете на 100 студентов ед. Вуз Филиал Все Отношение приведенной к числу ставок численности НПР, имеющих ученую степень доктора наук или кандидата наук, к численности студентов, обучающихся по программам бакалавриата, специалитета и магистратуры.
I9.5 Доля штатных работников ППС в общей численности ППС % Филиал Все Отношение численности штатных работников ППС (без учета внутренних совместителей и работающих по договорам гражданско-правового характера, без учета занимаемых ставок) к общей численности ППС (без учета внутренних совместителей и работающих по договорам гражданско-правового характера, без учета занимаемых ставок), выраженное в процентах.

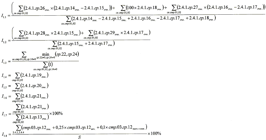
Формула расчета основных (целевых) показателей эффективности деятельности образовательной организации

<*> св.стр. -свободные (множественные) строки

<**> гр. [ставка] - графа таблицы, соответствующая доле ставки

Формула расчета дополнительных показателей деятельности образовательной организации

V<*> - приведенный выпуск студентов, обучавшихся по направлениям/специальностям, на которые предусмотрен прием иностранных граждан