Приказ Минэкономразвития РФ от 13.12.2010 N 628

"Об утверждении формы декларации об объекте недвижимости и требований к ее подготовке"
Редакция от 31.12.2013 — Документ утратил силу, см. «Приказ Минэкономразвития РФ от 21.11.2016 N 733»
Показать изменения

Зарегистрировано в Минюсте РФ 9 февраля 2011 г. N 19771


МИНИСТЕРСТВО ЭКОНОМИЧЕСКОГО РАЗВИТИЯ РОССИЙСКОЙ ФЕДЕРАЦИИ

ПРИКАЗ
от 13 декабря 2010 г. N 628

ОБ УТВЕРЖДЕНИИ ФОРМЫ ДЕКЛАРАЦИИ ОБ ОБЪЕКТЕ НЕДВИЖИМОСТИ И ТРЕБОВАНИЙ К ЕЕ ПОДГОТОВКЕ

(в ред. Приказа Минэкономразвития РФ от 31.12.2013 N 805)

В соответствии с частью 10 статьи 41 Федерального закона от 24 июля 2007 г. N 221-ФЗ "О государственном кадастре недвижимости" (Собрание законодательства Российской Федерации, 2007, N 31, ст. 4017; 2008, N 30, ст. 3597, ст. 3616; 2009, N 1, ст. 19; N 19, ст. 2283; N 29, ст. 3582; N 52, ст. 6410, ст. 6419) и пунктом 1 Положения о Министерстве экономического развития Российской Федерации, утвержденного Постановлением Правительства Российской Федерации от 5 июня 2008 г. N 437 (Собрание законодательства Российской Федерации, 2008, N 24, ст. 2867; N 46, ст. 5337; 2009, N 3, ст. 378; N 18, ст. 2257; N 19, ст. 2344; N 25, ст. 3052; N 26, ст. 3190; N 38, ст. 4500; N 41, ст. 4777; N 46, ст. 5488; 2010, N 5, ст. 532; N 9, ст. 960; N 10, ст. 1085; N 19, ст. 2324; N 21, ст. 2602; N 26, ст. 3350; N 45, ст. 5860), приказываю:

Утвердить:

форму декларации об объекте недвижимости (приложение N 1);

требования к подготовке декларации об объекте недвижимости (приложение N 2).

Министр
Э.С.НАБИУЛЛИНА

Приложение N 1
к Приказу Минэкономразвития России
от 13.12.2010 N 628

ФОРМА ДЕКЛАРАЦИИ ОБ ОБЪЕКТЕ НЕДВИЖИМОСТИ

(в ред. Приказа Минэкономразвития РФ от 31.12.2013 N 805)
 

Декларация об объекте недвижимости
1. Адрес (местоположение) объекта недвижимости
Субъект Российской Федерации
Муниципальное образование (вид, наименование)
Населенный пункт (тип, наименование)
Наименование некоммерческого объединения граждан
Улица (проспект, переулок и т.д.)
Номер дома (владения, участка)
Номер корпуса (строения)
Номер квартиры
Номер комнаты
Иное
2. Вид, назначение и наименование объекта недвижимости
2.1. Вид объекта недвижимости
помещение
здание
сооружение
объект незавершенного строительства
2.2. Назначение здания
жилой дом  
нежилое здание  
многоквартирный дом  
2.3. Назначение помещения
жилое    
нежилое    
2.4. Вид жилого помещения
квартира  
комната  
2.5. Назначение сооружения
2.6. Проектируемое назначение объекта незавершенного строительства
2.7. Наименование (здания, сооружения)
3. Номер кадастрового квартала (кадастровых кварталов), в котором (которых) находится объект недвижимости
4. Кадастровый номер
земельного участка (земельных участков)
помещения (помещений)
здания (сооружения)
квартиры, в которой расположена комната
5. Техническое описание объекта недвижимости
5.1. Техническое описание здания, помещения
Площадь (здания, помещения) (кв. м)
Этаж
Количество этажей
в том числе подземных
Год ввода в эксплуатацию или год завершения строительства
Материал наружных стен здания
кирпич
бетон
камень
деревянный
прочий
смешанный
5.2. Техническое описание сооружения
Количество этажей
в том числе подземных
Год ввода в эксплуатацию или год завершения строительства
Тип и значение основной характеристики
протяженность (м)
глубина (глубина залегания) (м)
площадь (кв. м)
объем (куб. м)
высота (м)
площадь застройки (кв. м)
5.3. Техническое описание объекта незавершенного строительства
Проектируемое значение основной характеристики объекта незавершенного строительства
протяженность (м)
глубина (глубина залегания) (м)
площадь (кв. м)
объем (куб. м)
высота (м)
площадь застройки (кв. м)
Степень готовности (%)
6.<*> Правообладатель объекта недвижимости (земельного участка, на котором находится здание, сооружение, объект незавершенного строительства)
6.1. Физическое лицо
Фамилия
Имя
Отчество (указывается при наличии)
Страховой номер индивидуального лицевого счета (указывается при наличии)
Вид и номер документа, удостоверяющего личность
Выдан
Адрес постоянного места жительства или преимущественного пребывания
Почтовый индекс
Субъект Российской Федерации
Город
Район
Населенный пункт (село, поселок и т.д.)
Улица (проспект, переулок и т.д.)
Номер дома (владения, участка)
Номер корпуса (строения)
Номер квартиры (комнаты)
Адрес электронной почты
6.2. Юридическое лицо
Полное наименование
ОГРН
Дата государственной регистрации
ИНН
Страна регистрации (инкорпорации)
Дата регистрации
Регистрационный номер
Почтовый индекс
Почтовый адрес
Субъект Российской Федерации
Город
Район
Населенный пункт (село, поселок и т.д.)
Улица (проспект, переулок и т.д.)
Номер дома (владения, участка)
Номер корпуса (строения) |
Адрес электронной почты
6.3. Публичное образование
6.3.1. Российская Федерация    
6.3.2. Субъект Российской Федерации    
Полное наименование
6.3.3. Муниципальное образование    
Полное наименование
6.3.4. Иностранное государство    
Полное наименование
7. Сведения о представителе правообладателя объекта недвижимости (земельного участка, на котором расположено здание, сооружение, объект незавершенного строительства)
7.1. Физическое лицо
Реквизиты документа, подтверждающего полномочия представителя заявителя
Фамилия
Имя
Отчество (указывается при наличии)
Страховой номер индивидуального лицевого счета (указывается при наличии)
Вид и номер документа, удостоверяющего личность
Выдан
Адрес постоянного места жительства или преимущественного пребывания
Почтовый индекс
Субъект Российской Федерации
Город
Район
Населенный пункт (село, поселок и т.д.)
Улица (проспект, переулок и т.д.)
Номер дома (владения, участка)
Номер корпуса (строения)
Номер квартиры (комнаты)
Адрес электронной почты
7.2. Юридическое лицо
Реквизиты документа, подтверждающего полномочия представителя заявителя
Полное наименование
ОГРН
Дата государственной регистрации
ИНН
Страна регистрации (инкорпорации)
Дата регистрации
Регистрационный номер
Почтовый индекс
Почтовый адрес
Субъект Российской Федерации
Город
Район
Населенный пункт (село, поселок и т.д.)
Улица (проспект, переулок и т.д.)
8. Правоустанавливающие, правоудостоверяющие документы на объект недвижимости (земельный участок, на котором расположено здание, сооружение, объект незавершенного строительства)
Достоверность и полноту сведений, указанных в настоящей декларации, подтверждаю
Дата

<*> Если правообладателями являются участники общей собственности, в декларации об объекте недвижимости (далее - Декларация) указываются сведения об одном из них. Сведения об остальных участниках общей собственности приводятся в приложении к Декларации в том же объеме, что и в Декларации. В этом случае в реквизите "6" указывается "список приведен в приложении на листах". В случае если Декларация оформляется в форме электронного документа, количество реквизитов "6" должно соответствовать количеству участников общей долевой собственности. Декларация подписывается всеми участниками общей собственности.

Приложение N 2
к Приказу Минэкономразвития России
от 13.12.2010 N 628

ТРЕБОВАНИЯ
К ПОДГОТОВКЕ ДЕКЛАРАЦИИ ОБ ОБЪЕКТЕ НЕДВИЖИМОСТИ

(в ред. Приказа Минэкономразвития РФ от 31.12.2013 N 805)

1. Настоящие Требования устанавливают правила оформления декларации об объекте недвижимости (далее - Декларация).

2. Декларация составляется и заверяется правообладателем объекта недвижимости или его представителем (далее - лицо, заполнившее Декларацию) в отношении здания, сооружения, помещения или объекта незавершенного строительства (далее - объект недвижимости).

При этом Декларация о созданных объектах недвижимости составляется и заверяется правообладателем земельного участка, на котором находится такое здание, сооружение, объект незавершенного строительства. Декларация о бесхозяйных объектах недвижимости составляется и заверяется органом местного самоуправления (уполномоченным органом исполнительной власти города федерального значения Москвы или Санкт-Петербурга), на территории которого находится такой объект недвижимости.

3. В соответствии с частью 8 статьи 41 Федерального закона от 24 июля 2007 г. N 221-ФЗ "О государственном кадастре недвижимости"<1> Декларация является неотъемлемой частью технического плана.

<1> Собрание законодательства Российской Федерации, 2007, N 31, ст. 4017; 2008, N 30, ст. 3597, 3616; 2009, N 1, ст. 19; N 19, ст. 2283; N 29, ст. 3582; N 52, ст. 6410, 6419; 2011, N 1, ст. 47; N 23, ст. 3269; N 27, ст. 3880; N 30, ст. 4563, 4594, 4605; N 49, ст. 7024, 7061; N 50, ст. 7365; 2012, N 31, ст. 4322; 2013, N 14, ст. 1651; N 23, ст. 2866; N 27, ст. 3477; N 30, ст. 4083.

4. Декларация заполняется в случае отсутствия разрешения на ввод объекта недвижимости в эксплуатацию, проектной документации объекта недвижимости (если указанные документы в соответствии с законодательством в области градостроительной деятельности не изготавливались) или технического паспорта на объект недвижимости, изготовленного до 1 января 2013 года.

5. В состав Декларации включаются следующие реквизиты: "Адрес (местоположение) объекта недвижимости", "Вид, назначение и наименование объекта недвижимости", "Номер кадастрового квартала (кадастровых кварталов), в котором (которых) находится объект недвижимости", "Кадастровый номер", "Техническое описание объекта недвижимости", "Правообладатель объекта недвижимости (земельного участка, на котором находится здание, сооружение, объект незавершенного строительства)", "Сведения о представителе правообладателя объекта недвижимости (земельного участка, на котором находится здание, сооружение, объект незавершенного строительства)", "Правоустанавливающие, правоудостоверяющие документы на объект недвижимости (земельный участок, на котором расположено здание, сооружение, объект незавершенного строительства)".

6. Декларация может оформляться в форме электронного или бумажного документа. Все записи, за исключением установленных законодательством случаев, производятся на русском языке. Числа записываются арабскими цифрами.

7. Декларация подготавливается в форме электронного документа в виде XML-документа, созданного с использованием XML-схем, обеспечивающего считывание и контроль представленных данных, и заверяется усиленной квалифицированной электронной подписью лица, заполнившего Декларацию.

XML-схемы, используемые для формирования XML-документов, считаются введенными в действие по истечении двух месяцев со дня их размещения на официальном сайте Федеральной службы государственной регистрации, кадастра и картографии в информационно-телекоммуникационной сети "Интернет" по адресу: www.rosreestr.ru (далее - официальный сайт).

При изменении нормативных правовых актов, устанавливающих форму и требования к подготовке Декларации, Федеральная служба государственной регистрации, кадастра и картографии изменяет XML-схему, при этом обеспечивает на официальном сайте возможность публичного доступа к текущей актуальной версии и предыдущим (утратившим актуальность) версиям.

Средства усиленной квалифицированной электронной подписи лица, заполнившего Декларацию, должны быть сертифицированы в соответствии с законодательством Российской Федерации и совместимы со средствами квалифицированной электронной подписи, применяемыми Федеральной службой государственной регистрации, кадастра и картографии, ее территориальными органами, подведомственным ей государственным учреждением.

Информация о требованиях к совместимости, сертификату ключа подписи, обеспечению возможности подтверждения подлинности усиленной квалифицированной электронной подписи лица, заполнившего Декларацию, размещается на официальном сайте.

8. Декларация в форме бумажного документа должна быть прошита и скреплена подписью лица, заполнившего Декларацию. Подпись лица, которое вправе действовать от имени юридического лица без доверенности, подпись представителя соответствующего органа государственной власти или органа местного самоуправления, заверяется оттиском печати соответствующего юридического лица или органа.

Подпись и расшифровка подписи лица, заполнившего Декларацию, проставляется на обороте последнего листа Декларации с указанием даты подготовки Декларации.

9. Оформление Декларации в форме бумажного документа может производиться с применением технических средств, а также ручным (от руки) или комбинированным способом. Внесение текстовых сведений ручным способом производится разборчиво тушью, чернилами или пастой синего цвета. Оформление Декларации карандашом, а также опечатки, подчистки, приписки, зачеркивания и иные исправления не допускаются. Декларация оформляется на листах формата А4.

10. Нумерация листов Декларации, подготовленной в форме бумажного документа, является сквозной в пределах документа.

Если сведения, относящиеся к какому-либо реквизиту, не умещаются на одном листе, допускается размещать их на нескольких листах либо на обороте соответствующего листа. В указанном случае на каждом листе либо на каждой странице воспроизводятся следующие сведения: слова "Декларация об объекте недвижимости" и название соответствующего реквизита Декларации.

Незаполненные строки реквизитов Декларации не исключаются, в таких реквизитах проставляется знак "-" (прочерк).

11. В реквизите "Адрес (местоположение) объекта недвижимости" указывается официально присвоенный (почтовый) адрес. Наименования города, населенного пункта, некоммерческого объединения граждан, улицы, номера дома, корпуса, строения, квартиры, комнаты указываются в случае их наличия.

При отсутствии присвоенного в установленном порядке адреса объекта недвижимости в строке "Иное" вносится описание местоположения объекта недвижимости с указанием наименования субъекта Российской Федерации, муниципального образования, населенного пункта, улицы (проспекта, шоссе, переулка, бульвара и т.д.).

Дополнительно указываются вид муниципального образования (муниципальный район, городской округ, поселение и т.д.) и тип (вид) городского (город, поселок) либо сельского (село, деревня и т.д.) поселения.

12. В реквизите "Вид, назначение и наименование объекта недвижимости" в выбранных ячейках проставляется знак "V".

При этом указываются следующие сведения:

для здания - один из видов назначения здания (нежилое здание, жилой дом, многоквартирный дом);

для помещения - один из видов назначения помещения (жилое или нежилое), для жилых помещений дополнительно указывается вид помещения (комната или квартира);

для сооружения в строке "Назначение сооружения" - назначение с учетом следующих групп (подгрупп) видов назначений сооружений, которые применяются в целях оформления Декларации:

1) сооружения топливно-энергетического, металлургического, химического или нефтехимического производства, в том числе:

1.1. сооружения электроэнергетики;

1.2. сооружения топливной промышленности;

1.3. сооружения нефтеперерабатывающей промышленности;

1.4. сооружения нефтяных месторождений;

1.5. сооружения добывающей промышленности;

1.6. сооружения газохимического комплекса;

1.7. сооружения угольной и сланцевой добывающей промышленности;

1.8. сооружения черной металлургии;

1.9. сооружения горнорудных предприятий;

1.10. сооружения цветной металлургии;

1.11. сооружения для добычи цветных металлов;

1.12. сооружения для химических и нефтехимических производств;

1.13. сооружения химико-фармацевтического производства;

1.14. сооружения органического синтеза;

2) сооружения машиностроительного производства, в том числе:

2.1. сооружения авиастроения;

2.2. сооружения судостроительного производства;

2.3. сооружения судостроительной промышленности;

3) сооружения гидротехнические;

4) сооружения лесной промышленности;

5) сооружения мукомольно-крупяной и комбикормовой промышленности;

6) сооружения сельскохозяйственного производства, в том числе:

6.1. сооружения животноводства;

6.2. сооружения ирригационных и мелиоративных систем;

6.3. сооружения рыборазведенческие;

7) сооружения транспорта и связи, в том числе:

7) сооружения транспорта и связи, в том числе:

7.1. сооружения железнодорожного транспорта;

7.2. сооружения линий метрополитена;

7.3. сооружения водного транспорта;

7.4. сооружения дорожного транспорта;

7.5. сооружения городского электрического транспорта;

7.6. сооружения воздушного транспорта;

7.7. сооружения трубопроводного транспорта;

7.8. сооружения связи;

8) сооружения строительной индустрии;

9) иные сооружения производственного назначения;

10) сооружения коммунального хозяйства, в том числе:

10.1. сооружения водозаборные;

10.2. сооружения очистные водоснабжения;

10.3. сооружения канализации;

11) сооружения по охране окружающей среды и рациональному природопользованию, в том числе:

11.1. сооружения противоэрозионные гидротехнические и противоселевые;

11.2. сооружения противооползневые;

11.3. сооружения по охране атмосферного воздуха;

12) сооружения спортивно-оздоровительные;

13) сооружения культуры и отдыха;

14) сооружения исторические;

15) сооружения науки и образования;

16) сооружения обороны;

17) сооружения гражданской обороны (в том числе сооружения обеспечения защиты от чрезвычайных ситуаций).

Назначение сооружения указывается в соответствии с подгруппой видов назначения сооружений (например, "1.1. сооружение электроэнергетики", "7.8. сооружение связи").

При отсутствии подгруппы вида назначения сооружения, соответствующей фактическому назначению такого сооружения, сооружение может быть отнесено к группе видов назначения сооружений (например, "2) сооружение машиностроительного производства", "4) сооружение лесной промышленности").

При отсутствии вида назначения сооружения, соответствующего фактическому назначению сооружения, в строке "Назначение сооружения" указывается "иное сооружение". При этом в скобках указывается фактическое назначение сооружения.

В строке "Проектируемое назначение объекта незавершенного строительства" указывается проектируемое назначение здания, сооружения, строительство которых не завершено.

В строке "Наименование (здания, сооружения)" указывается наименование объекта недвижимости (если оно имеется), например, храм Христа Спасителя, Театр оперы и балета и т.п.

13. В реквизите "Номер кадастрового квартала (кадастровых кварталов), в котором (которых) находится объект недвижимости", указывается учетный номер (номера) кадастрового квартала (кадастровых кварталов), в котором (которых) находится объект недвижимости.

14. В случае если Декларация заполняется в отношении здания, сооружения или объекта незавершенного строительства, в строке "кадастровый номер земельного участка (участков)" реквизита "Кадастровый номер" указывается кадастровый номер земельного участка (земельных участков), в границах которого расположено такое здание, сооружение, объект незавершенного строительства (при наличии таких сведений).

В случае если здание, сооружение или объект незавершенного строительства расположено на нескольких земельных участках, на часть из которых сведения отсутствуют в государственном кадастре недвижимости, в строке "кадастровый номер земельного участка (участков)" указываются через запятую кадастровые номера земельных участков, в реквизите "Номер кадастрового квартала (кадастровых кварталов), в котором (которых) находится объект недвижимости" указываются учетные номера кадастровых кварталов, в границах которых расположено здание, сооружение или объект незавершенного строительства.

В случае если Декларация заполняется в отношении здания или сооружения, в строке "кадастровый номер помещения (помещений)" указывается кадастровый номер (кадастровые номера) помещения (помещений), расположенного в здании или сооружении (при наличии таких сведений).

В случае если Декларация заполняется в отношении помещения, в строке "кадастровый номер здания (сооружения)" указывается кадастровый номер здания (сооружения), в пределах которого расположено помещение (при наличии таких сведений).

В случае если Декларация заполняется в отношении комнаты, в строке "кадастровый номер квартиры" указывается кадастровый номер квартиры, в пределах которой расположена комната (при наличии таких сведений).

15. Строки "Техническое описание здания, помещения" реквизита "Техническое описание объекта недвижимости" включают следующие сведения:

1) площадь здания (помещения) с округлением до 0,1 кв. метра;

2) номер этажа, на котором расположено помещение, если объектом недвижимости является помещение;

3) количество этажей, в том числе подземных, если объектом недвижимости является здание;

4) год ввода в эксплуатацию или год завершения строительства, если объектом недвижимости является здание;

5) материал наружных стен, если объектом недвижимости является здание.

16. Строки "Техническое описание сооружения" реквизита "Техническое описание объекта недвижимости" включают следующие сведения:

1) количество этажей, в том числе подземных;

2) год ввода в эксплуатацию или год завершения строительства;

3) тип и значение основной характеристики, указываемые исходя из следующего:

для линейных сооружений (в том числе линейных подземных сооружений) - протяженность в метрах с округлением до 1 метра;

для подземных сооружений - глубина (глубина залегания) в метрах с округлением до 0,1 метра;

для площадных сооружений - площадь в квадратных метрах с округлением до 0,1 кв. метра;

для сооружений, предназначенных для хранения (например, нефтехранилищ, газохранилищ), - объем в кубических метрах с округлением до 1 куб. метра;

для высотных сооружений (например, вышек, матч) - высота в метрах с округлением до 0,1 метра;

для иных сооружений - площадь застройки в квадратных метрах с округлением до 0,1 кв. метра.

Если сооружение обладает несколькими типами характеристик, в Декларации указываются сведения обо всех таких характеристиках.

17. Строки "Техническое описание объекта незавершенного строительства" реквизита "Техническое описание объекта недвижимости" заполняются исходя из следующего:

1) если объект незавершенного строительства представляет собой здание, строительство которого не завершено, в строке "площадь (кв. м)" указывается значение площади здания, строительство которого не завершено, в квадратных метрах с округлением до 0,1 кв. метра;

2) если объект незавершенного строительства представляет собой сооружение, строительство которого не завершено, в выбранной строке указывается значение основной характеристики такого сооружения, исходя из следующего:

2.1. для линейных сооружений (в том числе линейных подземных сооружений) - протяженность в метрах с округлением до 1 метра;

2.2. для подземных сооружений - глубина (глубина залегания) в метрах с округлением до 0,1 метра;

2.3. для площадных сооружений - площадь в квадратных метрах с округлением до 0,1 кв. метра;

2.4. для сооружений, предназначенных для хранения (например, нефтехранилищ, газохранилищ), - объем в кубических метрах с округлением до 1 куб. метра;

2.5. для высотных сооружений (например, вышек, матч) - высота в метрах с округлением до 0,1 метра;

2.6. для иных сооружений - площадь застройки в квадратных метрах с округлением до 0,1 кв. метра.

3) в строке "Степень готовности (%)" указывается степень готовности объекта незавершенного строительства, определенная по одному из следующих правил:

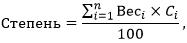
3.1. в соответствии со сметой на строительство по формуле:

Степень - степень готовности объекта незавершенного строительства (%); Объем выполненных работ - стоимость фактически выполненных работ (руб.); Стоимость строительства - стоимость строительства в соответствии со сметой на строительство объекта (руб.);

3.2. в соответствии с готовностью конструктивных элементов объекта по формуле:

где

Степень - степень готовности объекта незавершенного строительства (%);

- номер конструктивного элемента по порядку;

- общее количество конструктивных элементов в объекте;

- значение удельного веса -ого конструктивного элемента в объекте (%);

- доля построенной части -ого конструктивного элемента (%).

Для объектов незавершенного строительства, представляющих собой здания, строительство которых не завершено, для расчета степени готовности в соответствии с готовностью конструктивных элементов используется следующий перечень конструктивных элементов: фундамент, стены и перегородки, перекрытия, крыша, полы, окна и двери, оборудование, прочие работы.

18. В реквизите "Правообладатель объекта недвижимости (земельного участка, на котором расположено здание, сооружение, объект незавершенного строительства)" указываются следующие сведения:

в отношении физического лица - фамилия, имя, отчество (отчество указывается при наличии), страховой номер индивидуального лицевого счета (при его отсутствии - наименование и реквизиты документа, удостоверяющего личность, адрес постоянного места жительства или преимущественного пребывания в соответствии с федеральной информационной адресной системой);

в отношении юридического лица (в том числе органа государственной власти или органа местного самоуправления, выступающего от имени правообладателя - публичного образования), иностранного юридического лица - полное наименование, идентификационный номер налогоплательщика, основной государственный регистрационный номер, дата государственной регистрации, адрес (место нахождения) постоянно действующего исполнительного органа (в случае отсутствия постоянного действующего исполнительного органа - иного органа или лица, имеющих право действовать от имени юридического лица без доверенности), адрес электронной почты;

в отношении иностранного юридического лица - полное наименование, страна регистрации (инкорпорации), регистрационный номер, дата регистрации, адрес (место нахождения) в стране регистрации (инкорпорации), адрес электронной почты;

в отношении Российской Федерации в соответствующей ячейке проставляется знак "V";

в отношении субъекта Российской Федерации, муниципального образования, иностранного государства в соответствующей ячейке проставляется знак "V", а в соответствующей строке указывается полное наименование субъекта Российской Федерации, муниципального образования (согласно уставу муниципального образования) или иностранного государства.

19. В случае если Декларация оформляется представителем правообладателя объекта недвижимости, в том числе лицом, имеющим право действовать без доверенности от имени соответствующего юридического лица, органа государственной власти, органа местного самоуправления, в реквизите "Сведения о представителе правообладателя объекта недвижимости (земельного участка, на котором находится здание, сооружение, объект незавершенного строительства)" указываются следующие сведения:

о физическом лице, непосредственно заполнившем и подписавшем Декларацию, - реквизиты документа, подтверждающего полномочия действовать от имени представляемого физического или юридического лица, фамилия, имя, отчество (отчество указывается при наличии), страховой номер индивидуального лицевого счета (при его отсутствии- наименование и реквизиты документа, удостоверяющего личность, адрес постоянного места жительства или преимущественного пребывания в соответствии с федеральной информационной адресной системой).

Если данное физическое лицо действует от имени органа государственной власти Российской Федерации, органа государственной власти субъекта Российской Федерации или органа местного самоуправления и является при этом руководителем или иным работником такого органа, указываются - реквизиты документа, подтверждающего полномочия действовать от имени данного органа, фамилия, имя, отчество (отчество указывается при наличии);

в отношении представляемого российского юридического лица (в том числе органа государственной власти или органа местного самоуправления) -полное наименование, идентификационный номер налогоплательщика, основной государственный регистрационный номер, дата государственной регистрации, адрес (место нахождения) постоянно действующего исполнительного органа (в случае отсутствия постоянного действующего исполнительного органа - иного органа или лица, имеющих право действовать от имени юридического лица без доверенности), адрес электронной почты;

в отношении представляемого иностранного юридического лица - полное наименование, страна регистрации (инкорпорации), регистрационный номер, дата регистрации, адрес (место нахождения) в стране регистрации (инкорпорации), адрес электронной почты.

20. В реквизите "Правоустанавливающие, правоудостоверяющие документы на объект недвижимости (земельный участок, на котором расположено здание, сооружение, объект незавершенного строительства)" указываются наименования, номера, даты документов, устанавливающих и (или) удостоверяющих право на объект недвижимости.

В случае заполнения Декларации лицами, право которых на земельный участок, здание, сооружение, объект незавершенного строительства считается возникшим в силу федерального закона вне зависимости от момента государственной регистрации этого права в Едином государственном реестре прав на недвижимое имущество и сделок с ним, указываются реквизиты документа (документов), являющегося (являющихся) основанием возникновения права на такой земельный участок.

21. В случае если Декларация заполняется в отношении созданного объекта недвижимости, реквизиты "Правообладатель объекта недвижимости (земельного участка, на котором находится здание, сооружение, объект незавершенного строительства)" и "Правоустанавливающие, правоудостоверяющие документы на объект недвижимости (земельный участок, на котором находится здание, сооружение, объект незавершенного строительства)" заполняются в отношении лица, обладающего соответствующим земельным участком на праве собственности, пожизненного наследуемого владения, постоянного (бессрочного) пользования, аренды земельного участка, если такой земельный участок находится в государственной или муниципальной собственности и соответствующий договор аренды заключен на срок более чем пять лет (далее - правообладатель), реквизит "Сведения о представителе правообладателя объекта недвижимости (земельного участка, на котором находится здание, сооружение, объект незавершенного строительства)" - в отношении представителя правообладателя такого земельного участка.

22. В случае если Декларация заполняется в отношении бесхозяйного объекта недвижимости,реквизиты "Правообладатель объекта недвижимости (земельного участка, на котором находится здание, сооружение, объект незавершенного строительства)" и "Правоустанавливающие,

правоудостоверяющие документы на объект недвижимости (земельный участок, на котором находится здание, сооружение, объект незавершенного строительства)" заполняются в отношении органа местного самоуправления (органа исполнительной власти городов федерального значения - Москвы и Санкт-Петербурга), на территории которого находится такой объект недвижимости, реквизит "Сведения о представителе правообладателя объекта недвижимости (земельного участка, на котором находится здание, сооружение, объект незавершенного строительства)" - в отношении представителя такого органа.

В указанном случае в реквизите "Правоустанавливающие, правоудостоверяющие документы на объект недвижимости (земельный участок, на котором находится здание, сооружение, объект незавершенного строительства)" указываются сведения о том, что объект является бесхозяйным и реквизиты документов, подтверждающих, что объект недвижимого имущества не имеет собственника или его собственник неизвестен, или от права собственности на него собственник отказался (при их наличии).