Постановление Правительства РФ от 24.05.2010 N 361

"Об утверждении Правил установления размера расходов на материалы и запасные части при восстановительном ремонте транспортных средств"
Редакция от 30.07.2014 — Документ утратил силу, см. «Постановление Правительства РФ от 07.10.2014 N 1017»
Показать изменения

ПРАВИТЕЛЬСТВО РОССИЙСКОЙ ФЕДЕРАЦИИ

ПОСТАНОВЛЕНИЕ
от 24 мая 2010 г. N 361

ОБ УТВЕРЖДЕНИИ ПРАВИЛ УСТАНОВЛЕНИЯ РАЗМЕРА РАСХОДОВ НА МАТЕРИАЛЫ И ЗАПАСНЫЕ ЧАСТИ ПРИ ВОССТАНОВИТЕЛЬНОМ РЕМОНТЕ ТРАНСПОРТНЫХ СРЕДСТВ

(в ред. Постановления Правительства РФ от 30.07.2014 N 717)

В соответствии с Федеральным законом "Об обязательном страховании гражданской ответственности владельцев транспортных средств" Правительство Российской Федерации постановляет:

1. Утвердить прилагаемые Правила установления размера расходов на материалы и запасные части при восстановительном ремонте транспортных средств.

2. Настоящее постановление вступает в силу по истечении 3 месяцев со дня его официального опубликования.

Председатель Правительства
Российской Федерации
В.ПУТИН

УТВЕРЖДЕНЫ
постановлением Правительства
Российской Федерации
от 24 мая 2010 г. N 361

ПРАВИЛА
УСТАНОВЛЕНИЯ РАЗМЕРА РАСХОДОВ НА МАТЕРИАЛЫ И ЗАПАСНЫЕ ЧАСТИ ПРИ ВОССТАНОВИТЕЛЬНОМ РЕМОНТЕ ТРАНСПОРТНЫХ СРЕДСТВ

(в ред. Постановления Правительства РФ от 30.07.2014 N 717)

I. Общие положения

1. Настоящие Правила устанавливают порядок расчета размера расходов на материалы и запасные части при восстановительном ремонте транспортных средств.

2. Восстановительный ремонт назначается для устранения повреждений транспортного средства, причиной которых является дорожно-транспортное происшествие. Перечень указанных повреждений определяется на основе результатов осмотра поврежденного транспортного средства и (или) независимой технической экспертизы транспортного средства. (в ред. Постановления Правительства РФ от 30.07.2014 N 717)

3. Размер расходов на материалы и запасные части при восстановительном ремонте транспортного средства рассчитывается:

а) на дату дорожно-транспортного происшествия;

б) с учетом условий и географических границ товарных рынков материалов и запасных частей, соответствующих месту дорожно-транспортного происшествия.

4. Определение номенклатуры комплектующих изделий (деталей, узлов и агрегатов), подлежащих замене, и установление размера расходов на запасные части проводится с учетом характеристик и ограничений товарных рынков запасных частей (поставка только в комплекте, поставка отдельных элементов только в сборе, продажа агрегатов только при условии обмена на ремонтный фонд с зачетом его стоимости, продажа запасных частей только под срочный заказ (поставку) и т. д.).

5. Размер расходов на запасные части определяется с учетом износа комплектующих изделий (деталей, узлов и агрегатов), подлежащих замене при восстановительном ремонте транспортного средства. Износ является показателем, характеризующим относительную потерю стоимости комплектующих изделий (деталей, узлов и агрегатов) транспортного средства в процессе эксплуатации.

II. Расчет размера расходов на материалы при восстановительном ремонте транспортного средства

6. Расчет размера расходов проводится в отношении материалов, на которые осуществляется воздействие в процессе восстановительного ремонта транспортного средства, а также материалов, которые в процессе восстановительного ремонта в соответствии с его технологией изменяют физическое или химическое состояние основных эксплуатационных материалов (отвердители, растворители, разбавители и т. д.).

7. Размер расходов на материалы при восстановительном ремонте транспортного средства рассчитывается по следующей формуле:

где:

- расходы на материалы при восстановительном ремонте транспортного средства (рублей);

n - количество видов материалов при восстановительном ремонте транспортного средства;

- стоимость одной единицы материала i-го вида (рублей);

- удельная норма расхода материала i-го вида (единиц материала/ремонтных единиц);

- количество ремонтных единиц (количество деталей, узлов, агрегатов, килограммов, метров, кв. метров и т. д.), подвергаемых восстановительному ремонту с использованием материала i-го вида.

8. Определение стоимости одной единицы материала i-го вида осуществляется методом статистического наблюдения, проводимого среди хозяйствующих субъектов (продавцов), действующих в пределах географических границ товарного рынка материала i-го вида, соответствующего месту дорожно-транспортного происшествия, и осуществляющих свою деятельность в соответствии с законодательством Российской Федерации. Стоимость одной единицы материала i-го вида рассчитывается как средневзвешенное значение ее цены с учетом долей хозяйствующих субъектов (продавцов) на товарном рынке этого материала.

9. Удельная норма расхода материала i-го вида рассчитывается как среднее значение, определенное по данным производителей такого материала, представленных на товарном рынке этого материала.

10. Количество ремонтных единиц (количество деталей, узлов, агрегатов, килограммов, метров, кв. метров и т. д.), подвергаемых восстановительному ремонту с использованием материала i-го вида, определяется по результатам осмотра транспортного средства и (или) независимой технической экспертизы транспортного средства в соответствии с нормами, правилами и процедурами ремонта транспортных средств, установленными изготовителями транспортных средств с учетом условий их эксплуатации. (в ред. Постановления Правительства РФ от 30.07.2014 N 717)

III. Расчет размера расходов на запасные части при восстановительном ремонте транспортного средства

11. Количество и номенклатура комплектующих изделий (деталей, узлов и агрегатов), подлежащих замене при восстановительном ремонте транспортного средства, устанавливаются по результатам его осмотра и (или) независимой технической экспертизы в соответствии с нормами, правилами и процедурами ремонта транспортных средств, установленными изготовителями транспортных средств с учетом условий их эксплуатации. (в ред. Постановления Правительства РФ от 30.07.2014 N 717)

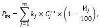
12. Размер расходов на запасные части при восстановительном ремонте транспортного средства рассчитывается по следующей формуле:

где:

- расходы на запасные части при восстановительном ремонте транспортного средства (рублей);

m - количество наименований комплектующих изделий (деталей, узлов и агрегатов), подлежащих замене при восстановительном ремонте транспортного средства;

- количество единиц комплектующего изделия (детали, узла и агрегата) j-го наименования, подлежащих замене при восстановительном ремонте транспортного средства;

- стоимость новой запасной части j-го наименования, установка которой назначается взамен комплектующего изделия (детали, узла и агрегата) j-го наименования, подлежащего замене при восстановительном ремонте транспортного средства (рублей);

- износ комплектующего изделия (детали, узла и агрегата) j-го наименования, подлежащего замене при восстановительном ремонте транспортного средства (процентов).

13. Установление размера расходов на запасные части проводится с учетом следующих условий:

а) наименование запасной части приводится на русском языке и должно содержать полное наименование конструктивного элемента, указанного в каталоге запасных частей для этой марки (модели, модификации) транспортного средства, составленного изготовителем транспортного средства;

б) при замене комплектующего изделия (детали, узла и агрегата) на новую запасную часть такая запасная часть не должна ухудшать безопасность транспортного средства относительно его состояния на момент выпуска в обращение и должна соответствовать обязательным требованиям, если такие требования установлены законодательством Российской Федерации;

в) в случаях, предусмотренных технологической документацией, при замене отдельных комплектующих изделий (деталей, узлов и агрегатов) должна быть учтена необходимость их замены в качестве ремонтного комплекта, включающего не только заменяемые комплектующие изделия, а также детали, полностью обеспечивающие устранение повреждения.

14. Определение стоимости новой запасной части, установка которой назначается взамен подлежащего замене комплектующего изделия (детали, узла и агрегата) j-го наименования, осуществляется методом статистического наблюдения, проводимого среди хозяйствующих субъектов (продавцов), действующих в пределах географических границ товарного рынка новой запасной части j-го наименования, соответствующего месту дорожно-транспортного происшествия. Стоимость новой запасной части j-го наименования рассчитывается как средневзвешенное значение ее цены с учетом долей хозяйствующих субъектов (продавцов) на товарном рынке новой запасной части этого наименования.

15. Износ комплектующего изделия (детали, узла и агрегата) j-го наименования, подлежащего замене при восстановительном ремонте транспортного средства, не может начисляться свыше 80 процентов его стоимости.

16. Для комплектующих изделий (деталей, узлов и агрегатов), при неисправности которых в соответствии с законодательством Российской Федерации о безопасности дорожного движения запрещается движение транспортных средств, а подтверждение соответствия должно осуществляться в форме обязательной сертификации, а также для подушек безопасности и ремней безопасности транспортных средств принимается нулевое значение износа.

Номенклатура комплектующих изделий (деталей, узлов и агрегатов), для которых устанавливается нулевое значение износа, утверждается федеральным органом исполнительной власти, осуществляющим функции по нормативно-правовому регулированию в сфере транспорта.

IV. Расчет износа комплектующих изделий (деталей, узлов и агрегатов), подлежащих замене при восстановительном ремонте транспортного средства

17. Пункт утратил силу. (в ред. Постановления Правительства РФ от 30.07.2014 N 717)

18. Износ шины транспортного средства рассчитывается по следующей формуле:

где:

- износ шины (процентов);

- высота рисунка протектора новой шины (миллиметров);

- фактическая высота рисунка протектора шины (миллиметров);

- минимально допустимая высота рисунка протектора шины в соответствии с требованиями законодательства Российской Федерации (миллиметров).

Износ шины дополнительно увеличивается для шин с возрастом от 3 до 5 лет - на 15 процентов, свыше 5 лет - на 25 процентов.

19. Износ аккумуляторной батареи транспортного средства рассчитывается по следующей формуле:

где:

- износ аккумуляторной батареи (процентов);

- возраст аккумуляторной батареи (лет);

- нормативный срок службы аккумуляторной батареи до замены (списания) (лет).

Нормативный срок службы аккумуляторной батареи до замены (списания) принимается равным:

4 годам - при среднегодовом пробеге транспортного средства до 40 тыс. километров включительно;

3 годам - при среднегодовом пробеге транспортного средства более 40 тыс. километров.

20. Пункт утратил силу. (в ред. Постановления Правительства РФ от 30.07.2014 N 717)

21. Износ комплектующих изделий (деталей, узлов и агрегатов) транспортного средства рассчитывается по следующей формуле: (в ред. Постановления Правительства РФ от 30.07.2014 N 717)

где:

- износ комплектующего изделия (детали, узла и агрегата) (процентов);

е - основание натуральных логарифмов (е приблизительно 2,72);

- коэффициент, учитывающий влияние на износ комплектующего изделия (детали, узла и агрегата) его возраста;

- возраст комплектующего изделия (детали, узла и агрегата) (лет);

- коэффициент, учитывающий влияние на износ комплектующего изделия (детали, узла и агрегата) величины пробега транспортного средства с этим комплектующим изделием;

- пробег транспортного средства с комплектующим изделием (деталью, узлом и агрегатом) (тыс. километров).

Значения коэффициентов и для различных видов транспортных средств приведены в приложении.

22. Если комплектующее изделие (деталь, узел и агрегат) не заменялось с начала эксплуатации транспортного средства или отсутствует документальное подтверждение замены с указанием ее даты, возраст комплектующего изделия (детали, узла и агрегата) рассчитывается с даты выпуска транспортного средства, а пробег транспортного средства с этим комплектующим принимается равным пробегу транспортного средства с начала эксплуатации. За дату выпуска транспортного средства принимается дата (число, месяц и год) изготовления транспортного средства, а при отсутствии этих данных - дата приобретения транспортного средства первым владельцем. В случае если ни одна из указанных дат не известна, за дату выпуска принимается первое января года выпуска транспортного средства в соответствии с паспортом транспортного средства. (в ред. Постановления Правительства РФ от 30.07.2014 N 717)

Если по результатам независимой технической экспертизы транспортного средства установлено или имеется документальное подтверждение (запись в паспорте транспортного средства, оплаченный заказ-наряд авторемонтной организации, маркировка организации-изготовителя даты выпуска комплектующего изделия и т. п.) того, что комплектующее изделие (деталь, узел и агрегат) было установлено при замене, произведенной до даты дорожно-транспортного происшествия, его возраст принимается равным разности между датой дорожно-транспортного происшествия и датой предыдущей замены, а пробег транспортного средства с этим комплектующим изделием принимается равным разности между пробегом транспортного средства на дату дорожно-транспортного происшествия и пробегом на дату предыдущей замены комплектующего изделия.

Возраст комплектующего изделия, подлежащего замене при восстановительном ремонте транспортного средства, рассчитывается в годах с точностью до одного десятичного знака. (в ред. Постановления Правительства РФ от 30.07.2014 N 717)

Пробег транспортного средства определяется по одометру. Если одометр неисправен или его состояние не соответствует установленным требованиям, пробег с начала эксплуатации транспортного средства определяется расчетным путем в соответствии со справочными данными.

V. Информационное обеспечение расчетов размера расходов на материалы и запасные части при восстановительном ремонте транспортных средств

23. Расчет размера расходов на материалы и запасные части при восстановительном ремонте транспортных средств проводится с использованием информационного обеспечения, формируемого и распространяемого в порядке, определяемом федеральным органом исполнительной власти, осуществляющим функции по нормативно-правовому регулированию в сфере транспорта.

24. В состав информационного обеспечения входят:

а) номенклатура и характеристика материалов для восстановительного ремонта транспортных средств;

б) номенклатура комплектующих изделий (деталей, узлов и агрегатов), для которых устанавливается нулевое значение износа;

в) нормативные данные в отношении материалов и запасных частей;

г) полный перечень региональных товарных рынков материалов и запасных частей с указанием их географических границ;

д) ценовая информация в отношении материалов и запасных частей;

е) подпункт утратил силу. (в ред. Постановления Правительства РФ от 30.07.2014 N 717)

ж) справочные данные о среднегодовых пробегах транспортных средств;

з) подпункт утратил силу. (в ред. Постановления Правительства РФ от 30.07.2014 N 717)

и) перечень нормативных правовых актов, правил, стандартов, технических норм и других нормативно-технических документов, данных федеральной статистической отчетности и других информационных материалов, рекомендуемых для использования при проведении расчета размера расходов на материалы и запасные части при восстановительном ремонте транспортных средств.

ПРИЛОЖЕНИЕ
к Правилам установления размера
расходов на материалы и запасные
части при восстановительном
ремонте транспортных средств

ЗНАЧЕНИЯ КОЭФФИЦИЕНТОВ ДЕЛЬТА T И ДЕЛЬТА L ДЛЯ РАЗЛИЧНЫХ ВИДОВ ТРАНСПОРТНЫХ СРЕДСТВ

Вид транспортного средства Коэффициенты
1. Легковые автомобили, страной происхождения которых является Российская Федерация 0,055 0,0028
2. Грузовые бортовые автомобили, страной происхождения которых является Российская Федерация 0,08 0,0024
3. Автомобили-тягачи, страной происхождения которых является Российская Федерация 0,072 0,0016
4. Автомобили-самосвалы, страной происхождения которых является Российская Федерация 0,12 0,002
5. Специализированные автомобили, страной происхождения которых является Российская Федерация 0,11 0,0016
6. Автобусы, страной происхождения которых является Российская Федерация 0,122 0,0008
7. Легковые автомобили, странами происхождения которых являются государства Европы, включая Турцию 0,04 0,002
8. Легковые автомобили, странами происхождения которых являются государства Северной Америки и Южной Америки 0,044 0,0024
9. Легковые автомобили, странами происхождения которых являются государства Азии (кроме Японии) 0,05 0,0026
10. Легковые автомобили, страной происхождения которых является Япония 0,036 0,0016
11. Грузовые автомобили иностранного производства 0,072 0,0017
12. Автобусы иностранного производства 0,096 0,0008
13. Прицепы и полуприцепы, страной происхождения которых является Российская Федерация, для грузовых автомобилей 0,096 0
14. Прицепы и полуприцепы иностранного производства для грузовых автомобилей 0,08 0
15. Прицепы для легковых автомобилей и жилых автомобилей (типа автомобиль-дача) 0,048 0
16. Мотоциклы, страной происхождения которых является Российская Федерация 0,095 0
17. Мотоциклы иностранного производства 0,055 0
18. Сельскохозяйственные тракторы, страной происхождения которых является Российская Федерация 0,16 0
19. Сельскохозяйственные тракторы (80-100 л. с.) иностранного производства 0,055 0
20. Прочие тракторы иностранного производства 0,088 0
21. Прочая самоходная сельскохозяйственная техника и машины 0,12 0
22. Автогрейдеры 0,126 0
23. Погрузчики фронтальные одноковшовые 0,124 0
24. Экскаваторы одноковшовые 0,08 0
25. Катки дорожные 0,085 0
26. Прочая самоходная дорожно-строительная техника и машины 0,11 0
27. Аэродромная самоходная техника и машины 0,1 0
28. Землеройная самоходная техника и машины 0,08 0
29. Коммунальная самоходная техника и машины 0,13 0
30. Лесозаготовительная самоходная техника и машины 0,11 0
31. Пожарная самоходная техника и машины 0,15 0
32. Строительная самоходная техника и машины 0,06 0
33. Самоходная техника и машины для нефтедобычи и нефтепереработки 0,18 0