Постановление Правительства РФ от 11.08.2014 N 793

"О направлении бюджетных ассигнований на компенсацию расходов энергосбытовой организации, определенной решением Правительства Российской Федерации в качестве энергосбытовой организации, осуществляющей покупку электрической энергии из энергосистем иностранных государств и у производителей, функционирующих на территории Крымского федерального округа"
Редакция от 11.08.2014 — Не действует Перейти в действующую
Показать изменения

ПРАВИТЕЛЬСТВО РОССИЙСКОЙ ФЕДЕРАЦИИ

ПОСТАНОВЛЕНИЕ
от 11 августа 2014 г. N 793

О НАПРАВЛЕНИИ БЮДЖЕТНЫХ АССИГНОВАНИЙ НА КОМПЕНСАЦИЮ РАСХОДОВ ЭНЕРГОСБЫТОВОЙ ОРГАНИЗАЦИИ, ОПРЕДЕЛЕННОЙ РЕШЕНИЕМ ПРАВИТЕЛЬСТВА РОССИЙСКОЙ ФЕДЕРАЦИИ В КАЧЕСТВЕ ЭНЕРГОСБЫТОВОЙ ОРГАНИЗАЦИИ, ОСУЩЕСТВЛЯЮЩЕЙ ПОКУПКУ ЭЛЕКТРИЧЕСКОЙ ЭНЕРГИИ ИЗ ЭНЕРГОСИСТЕМ ИНОСТРАННЫХ ГОСУДАРСТВ И У ПРОИЗВОДИТЕЛЕЙ, ФУНКЦИОНИРУЮЩИХ НА ТЕРРИТОРИИ КРЫМСКОГО ФЕДЕРАЛЬНОГО ОКРУГА

Правительство Российской Федерации постановляет:

1. В соответствии с пунктом 13 части 1 статьи 23 Федерального закона "О федеральном бюджете на 2014 год и на плановый период 2015 и 2016 годов" направить бюджетные ассигнования, предусмотренные Министерству финансов Российской Федерации по подразделу "Общеэкономические вопросы" раздела "Национальная экономика" классификации расходов бюджетов, в размере 9828582 тыс. рублей Министерству энергетики Российской Федерации для предоставления в 2014 году из федерального бюджета бюджетам субъектов Российской Федерации субсидий на компенсацию расходов энергосбытовой организации, определенной решением Правительства Российской Федерации в качестве энергосбытовой организации, осуществляющей покупку электрической энергии из энергосистем иностранных государств и у производителей, функционирующих на территории Крымского федерального округа.

2. Утвердить прилагаемые:

Правила предоставления в 2014 году субсидий из федерального бюджета бюджетам субъектов Российской Федерации, входящих в состав Крымского федерального округа, на компенсацию расходов энергосбытовой организации, определенной решением Правительства Российской Федерации в качестве энергосбытовой организации, осуществляющей покупку электрической энергии из энергосистем иностранных государств и у производителей, функционирующих на территории Крымского федерального округа;

распределение субсидий из федерального бюджета, предоставляемых в 2014 году бюджетам субъектов Российской Федерации, входящих в состав Крымского федерального округа, на компенсацию расходов энергосбытовой организации, определенной решением Правительства Российской Федерации в качестве энергосбытовой организации, осуществляющей покупку электрической энергии из энергосистем иностранных государств и у производителей, функционирующих на территории Крымского федерального округа.

3. Настоящее постановление вступает в силу со дня его официального опубликования.

Председатель Правительства
Российской Федерации
Д.МЕДВЕДЕВ

УТВЕРЖДЕНЫ
постановлением Правительства
Российской Федерации
от 11 августа 2014 г. N 793

ПРАВИЛА
ПРЕДОСТАВЛЕНИЯ В 2014 ГОДУ СУБСИДИЙ ИЗ ФЕДЕРАЛЬНОГО БЮДЖЕТА БЮДЖЕТАМ СУБЪЕКТОВ РОССИЙСКОЙ ФЕДЕРАЦИИ, ВХОДЯЩИХ В СОСТАВ КРЫМСКОГО ФЕДЕРАЛЬНОГО ОКРУГА, НА КОМПЕНСАЦИЮ РАСХОДОВ ЭНЕРГОСБЫТОВОЙ ОРГАНИЗАЦИИ, ОПРЕДЕЛЕННОЙ РЕШЕНИЕМ ПРАВИТЕЛЬСТВА РОССИЙСКОЙ ФЕДЕРАЦИИ В КАЧЕСТВЕ ЭНЕРГОСБЫТОВОЙ ОРГАНИЗАЦИИ, ОСУЩЕСТВЛЯЮЩЕЙ ПОКУПКУ ЭЛЕКТРИЧЕСКОЙ ЭНЕРГИИ ИЗ ЭНЕРГОСИСТЕМ ИНОСТРАННЫХ ГОСУДАРСТВ И У ПРОИЗВОДИТЕЛЕЙ, ФУНКЦИОНИРУЮЩИХ НА ТЕРРИТОРИИ КРЫМСКОГО ФЕДЕРАЛЬНОГО ОКРУГА

1. Настоящие Правила устанавливают порядок и условия предоставления в 2014 году субсидий из федерального бюджета бюджетам субъектов Российской Федерации, входящих в состав Крымского федерального округа (далее - субъект Российской Федерации), на компенсацию расходов энергосбытовой организации, определенной решением Правительства Российской Федерации в качестве энергосбытовой организации, осуществляющей покупку электрической энергии из энергосистем иностранных государств и у производителей, функционирующих на территории Крымского федерального округа (далее - единый закупщик), в целях ее дальнейшей реализации потребителям по установленным ценам (тарифам) (далее - субсидия).

2. Субсидии предоставляются на финансовое обеспечение мероприятий, осуществляемых в рамках компенсации расходов единого закупщика на реализацию электрической энергии в целях обеспечения энергоснабжения потребителей электрической энергии по установленным ценам (тарифам) (далее - мероприятия).

3. Субсидии предоставляются в соответствии со сводной бюджетной росписью федерального бюджета в пределах утвержденных Министерству энергетики Российской Федерации лимитов бюджетных обязательств.

4. Субсидии перечисляются бюджетам субъектов Российской Федерации, соответствующих критериям, установленным методикой расчета субсидий, предоставляемых из федерального бюджета бюджетам субъектов Российской Федерации, входящих в состав Крымского федерального округа, на компенсацию расходов энергосбытовой организации, определенной решением Правительства Российской Федерации в качестве энергосбытовой организации, осуществляющей покупку электрической энергии из энергосистем иностранных государств и у производителей, функционирующих на территории Крымского федерального округа, согласно приложению (далее - методика расчета субсидии), и включенных в распределение субсидий из федерального бюджета, предоставляемых в 2014 году бюджетам субъектов Российской Федерации, входящих в состав Крымского федерального округа, на компенсацию расходов энергосбытовой организации, определенной решением Правительства Российской Федерации в качестве энергосбытовой организации, осуществляющей покупку электрической энергии из энергосистем иностранных государств и у производителей, функционирующих на территории Крымского федерального округа, утвержденное постановлением Правительства Российской Федерации от 11 августа 2014 г. N 793 "О направлении бюджетных ассигнований на компенсацию расходов энергосбытовой организации, определенной решением Правительства Российской Федерации в качестве энергосбытовой организации, осуществляющей покупку электрической энергии из энергосистем иностранных государств и у производителей, функционирующих на территории Крымского федерального округа" (далее - распределение субсидий), при соблюдении субъектом Российской Федерации следующих условий:

а) определение уполномоченного органа исполнительной власти субъекта Российской Федерации, осуществляющего взаимодействие с Министерством энергетики Российской Федерации и Федеральной службой по тарифам;

б) наличие соглашения о предоставлении субсидии, заключенного между Министерством энергетики Российской Федерации, Федеральной службой по тарифам и уполномоченным органом исполнительной власти субъекта Российской Федерации, по типовой форме, утвержденной Министерством энергетики Российской Федерации по согласованию с Федеральной службой по тарифам (далее - соглашение).

5. В соглашении предусматриваются:

а) наличие обязательства субъекта Российской Федерации обеспечить достижение значения показателя результативности предоставления субсидии, предусмотренного пунктами 11 и 12 настоящих Правил;

б) направление субсидии на компенсацию расходов, произведенных единым закупщиком (далее - получатель средств), на реализацию электрической энергии в целях обеспечения энергоснабжения потребителей электрической энергии по ценам (тарифам) ниже экономически обоснованного уровня;

в) осуществление в отношении каждого субъекта Российской Федерации, входящего в состав Крымского федерального округа, уполномоченным органом исполнительной власти соответствующего субъекта Российской Федерации расчета размера средств, направляемых получателю средств, в соответствии с методикой расчета субсидии;

г) представление в Министерство энергетики Российской Федерации и Федеральную службу по тарифам отчетов о расходах бюджета субъекта Российской Федерации, источником финансового обеспечения которых является субсидия, в соответствии с подпунктами "б" и "в" пункта 10 настоящих Правил;

д) наличие нормативного правового акта субъекта Российской Федерации, устанавливающего расходное обязательство субъекта Российской Федерации, на исполнение которого предоставляется субсидия;

е) осуществление контроля за соблюдением субъектом Российской Федерации условий, установленных при предоставлении субсидии;

ж) последствия недостижения субъектом Российской Федерации установленных значений показателей результативности предоставления субсидии;

з) размер субсидии, условия предоставления и расходования субсидии;

и) значения показателей результативности предоставления субсидии;

к) право Министерства энергетики Российской Федерации:

проводить проверки соблюдения условий, установленных настоящими Правилами и соглашением;

давать высшим должностным лицам Республики Крым и г. Севастополя обязательные для исполнения поручения по вопросам исполнения мероприятий в случае, если требуется координация осуществления мероприятий всеми или несколькими субъектами Российской Федерации, а также в случае нарушения условий предоставления субсидий;

вносить высшим исполнительным органам государственной власти Республики Крым и г. Севастополя предписания (представления) об устранении нарушений, выявленных при осуществлении контроля за соблюдением условий, установленных при предоставлении субсидий, подлежащие обязательному рассмотрению в срок, не превышающий 30 дней;

вносить высшим должностным лицам Республики Крым и г. Севастополя представления об освобождении от занимаемой должности их заместителей и (или) руководителей соответствующих органов исполнительной власти Республики Крым и г. Севастополя, ответственных за осуществление мероприятий, в случаях систематического невыполнения и (или) ненадлежащего выполнения ими мероприятий, подлежащие рассмотрению в 10-дневный срок;

л) основания и порядок отмены актов органов исполнительной власти Республики Крым и г. Севастополя по вопросам осуществления мероприятий;

м) право органов государственной власти Республики Крым и г. Севастополя дополнительно использовать собственные материальные ресурсы и финансовые средства для осуществления мероприятий в порядке, установленном законами Республики Крым и г. Севастополя.

6. Уполномоченный орган исполнительной власти субъекта Российской Федерации в соответствии с методикой расчета субсидии выполняет расчет размера субсидии за июнь - декабрь 2014 г. с помесячной разбивкой и направляет в течение 5 дней со дня вступления в силу настоящих Правил указанный расчет размера субсидии в Министерство энергетики Российской Федерации и Федеральную службу по тарифам с указанием параметров, используемых для расчета.

При этом Федеральная служба по тарифам в течение 5 рабочих дней со дня получения от уполномоченных органов исполнительной власти субъектов Российской Федерации расчетов размера субсидий, предусмотренных абзацем первым настоящего пункта, направляет в Министерство энергетики Российской Федерации заключения по представленным расчетам размера субсидий. В случае подготовки отрицательного заключения Федеральная служба по тарифам направляет такое заключение в Министерство с приложением соответствующих пояснений и собственных расчетов размера субсидий.

Размер субсидий, предоставляемых из бюджетов субъектов Российской Федерации получателю средств, определяется Министерством энергетики Российской Федерации в соответствии с заключениями Федеральной службы по тарифам.

7. Размер субсидий, предоставляемых из бюджетов субъектов Российской Федерации получателю средств, рассчитанный в соответствии с пунктом 6 настоящих Правил, не может превышать размер средств, предусмотренный в федеральном бюджете на цели, указанные в пункте 2 настоящих Правил.

При этом уровень софинансирования расходного обязательства со стороны федерального бюджета в 2014 году на цели, предусмотренные пунктом 2 настоящих Правил, составляет 100 процентов.

8. Министерство энергетики Российской Федерации в течение 2 дней со дня получения от Федеральной службы по тарифам заключений, указанных в пункте 6 настоящих Правил, направляет их копии в уполномоченные органы исполнительной власти субъектов Российской Федерации и получателю средств.

В случае если Федеральная служба по тарифам не представила в Министерство энергетики Российской Федерации соответствующие заключения в сроки, указанные в пункте 6 настоящих Правил, Министерство энергетики Российской Федерации осуществляет перечисление субсидий в соответствии с расчетами размера субсидий, выполненными уполномоченными органами исполнительной власти субъектов Российской Федерации.

Перечисление субсидий бюджетам субъектов Российской Федерации, включенных в распределение субсидий, осуществляется Министерством энергетики Российской Федерации в соответствии с заключением Федеральной службы по тарифам в течение 5 дней со дня получения такого заключения. Субсидии перечисляются на счета территориальных органов Федерального казначейства, открытые для учета поступлений и их распределения между бюджетами бюджетной системы Российской Федерации, для последующего перечисления в установленном порядке в бюджеты субъектов Российской Федерации.

9. Получатель средств в течение одного рабочего дня со дня получения копии расчета субсидии представляет в уполномоченный орган исполнительной власти субъекта Российской Федерации платежные реквизиты.

10. Уполномоченные органы исполнительной власти субъектов Российской Федерации, включенных в распределение субсидий:

а) не позднее 2 дней со дня предоставления субсидий перечисляют получателям средств причитающиеся им средства;

б) ежемесячно, до 15 числа месяца, следующего за месяцем, в котором предоставлены субсидии, представляют в Министерство энергетики Российской Федерации и Федеральную службу по тарифам отчет о расходах бюджета за месяц 2014 года;

в) до 1 февраля 2015 г. представляют в Министерство энергетики Российской Федерации и Федеральную службу по тарифам отчет об использовании субсидии за 2014 год.

11. Показателем результативности предоставления субсидии является отношение средневзвешенной (по полезному отпуску электрической энергии) цены электрической энергии, реализуемой потребителям, с учетом предоставленной субсидии к средневзвешенной (по полезному отпуску электрической энергии) цене электрической энергии, определяемой исходя из затрат энергоснабжающих (энергосбытовых) организаций, единого закупщика, организаций, оказывающих услуги по передаче электрической энергии, на обеспечение поставок электрической энергии потребителям.

12. Показатель результативности предоставления субсидии определяется по формуле:

где:

- средневзвешенная (по полезному отпуску электрической энергии) цена электрической энергии, поставляемой потребителям в k-м субъекте Российской Федерации, с учетом величины предоставленной субсидии (рублей/МВт·ч);

- средневзвешенная (по полезному отпуску электрической энергии) цена электрической энергии в k-м субъекте Российской Федерации, определяемая исходя из затрат энергоснабжающих (энергосбытовых) организаций, единого закупщика, организаций, оказывающих услуги по передаче электрической энергии, на обеспечение поставок электрической энергии потребителям (рублей/МВт·ч).

При этом показатель результативности предоставления субсидии должен быть больше либо равен 1.

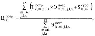
13. Средневзвешенная (по полезному отпуску электрической энергии) цена электрической энергии, поставляемой потребителям в к-м субъекте Российской Федерации, с учетом величины предоставленной субсидии (рублей/МВт·ч), определяется по формуле:

где:

- установленная уполномоченным органом исполнительной власти в к-м субъекте Российской Федерации цена (тариф) на электрическую энергию, поставляемую 1-й категории покупателей на розничных рынках (в том числе населению и приравненным к нему категориям потребителей) s-ro гарантирующего поставщика (энергосбытовой, энергоснабжающей организации), действующая в m-м месяце для j-ro уровня напряжения (рублей/МВт·ч);

- объем потребления электрической энергии в m-м месяце для j-го уровня напряжения 1-й категорией потребителей s-ro гарантирующего поставщика (энергосбытовой, энергоснабжающей организации) в k-м субъекте Российской Федерации (МВт·ч);

- величина субсидии, предоставленная к-му субъекту Российской Федерации в m-м месяце (тыс. рублей).

14. Средневзвешенная (по полезному отпуску электрической энергии) цена электрической энергии в k-м субъекте Российской Федерации, определяемая исходя из затрат энергоснабжающих (энергосбытовых) организаций, единого закупщика, организаций, оказывающих услуги по передаче электрической энергии, на обеспечение поставок электрической энергии потребителям (рублей/МВт·ч), определяется по формуле:

где:

- средневзвешенная цена покупки электрической энергии единым закупщиком в m-м месяце в k-м субъекте Российской Федерации (рублей/МВт·ч);

- объем электрической энергии, приобретаемой единым закупщиком из энергосистем иностранных государств и у n-х производителей электрической энергии, расположенных на территории k-го субъекта Российской Федерации, в m-м месяце (МВт·ч);

- величина потерь электрической энергии при ее передаче по электрическим сетям в m-м месяце, расположенным на территории k-го субъекта Российской Федерации, определенная в соответствии с постановлением Правительства Российской Федерации от 11 августа 2014 г. N 792 "Об особенностях применения законодательства Российской Федерации в сфере электроэнергетики на территории Республики Крым и г. Севастополя" (МВт·ч);

- тарифы на услуги по передаче электрической энергии, установленные уполномоченным органом исполнительной власти k-го субъекта Российской Федерации на m-й месяц для j-ro уровня напряжения в отношении 1-й категории потребителей s-гo гарантирующего поставщика (энергосбытовой, энергоснабжающей организации) (рублей/МВт·ч);

- сбытовая надбавка, установленная уполномоченным органом исполнительной власти k-го субъекта Российской Федерации на m-й месяц для j-ro уровня напряжения в отношении 1-й категории потребителей s-ro гарантирующего поставщика (для энергосбытовой, энергоснабжающей организации - размер расходов на реализацию (сбыт) электрической энергии) (рублей/МВт·ч);

- расходы единого закупщика в расчете на единицу реализуемой электрической энергии, установленные уполномоченным органом исполнительной власти субъекта Российской Федерации на m-й месяц на территории k-го субъекта Российской в соответствии с постановлением Правительства Российской Федерации от 11 августа 2014 г. N 792 "Об особенностях применения законодательства Российской Федерации в сфере электроэнергетики на территории Республики Крым и г. Севастополя" (рублей/МВт·ч).

15. Средневзвешенная цена покупки электрической энергии единым закупщиком в m-м месяце в k-м субъекте Российской Федерации (рублей/МВт·ч) определяется по формуле:

где:

- объем электрической энергии, приобретаемой единым закупщиком из энергосистем иностранных государств для k-го субъекта Российской Федерации в m-м месяце (МВт·ч);

- цена электрической энергии, приобретаемой единым закупщиком из энергосистем иностранных государств в m-м месяце для k-го субъекта Российской Федерации (рублей/МВт·ч);

- объем электрической энергии, приобретаемой единым закупщиком у n-х производителей электрической энергии, расположенных на территории k-го субъекта Российской Федерации, в m-м месяце (МВт·ч);

- цена (тариф) на электрическую энергию, установленная уполномоченным органом исполнительной власти в k-м субъекте Российской Федерации для n-го производителя электрической энергии, функционирующего на территории этого субъекта Российской Федерации, и действующая в m-м месяце (рублей/МВт·ч).

16. Объем электрической энергии, приобретаемой единым закупщиком из энергосистем иностранных государств и у n-х производителей электрической энергии, расположенных на территории k-го субъекта Российской Федерации, в m-м месяце (МВт·ч), определяется по формуле:

где n - количество производителей электрической энергии, функционирующих на территории k-го субъекта Российской Федерации.

17. Контроль за соблюдением субъектами Российской Федерации условий предоставления субсидий осуществляется Министерством энергетики Российской Федерации и Федеральной службой финансово- бюджетного надзора.

18. Оценка эффективности расходов бюджетов субъектов Российской Федерации, источником финансового обеспечения которых являются субсидии, осуществляется Министерством энергетики Российской Федерации и Федеральной службой по тарифам на основании представляемого уполномоченными органами исполнительной власти субъектов Российской Федерации в соответствии с подпунктом "в" пункта 10 настоящих Правил отчета.

19. Уполномоченный орган исполнительной власти субъекта Российской Федерации выполняет годовой расчет размера субсидии с учетом корректировок по фактическим данным за июнь - октябрь 2014 г. и с указанием параметров, используемых для этого расчета, и не позднее 15 ноября 2014 г. направляет скорректированный расчет размера субсидии в Министерство энергетики Российской Федерации и Федеральную службу по тарифам.

При этом Федеральная служба по тарифам в течение 5 рабочих дней со дня получения от уполномоченных органов исполнительной власти субъектов Российской Федерации расчетов размера субсидий, предусмотренных абзацем первым настоящего пункта, направляет в Министерство энергетики Российской Федерации заключения по представленным расчетам. В случае подготовки отрицательного заключения Федеральная служба по тарифам направляет такое заключение в Министерство энергетики Российской Федерации с приложением соответствующих пояснений и собственных расчетов размера субсидий.

Федеральная служба по тарифам на основании представляемого уполномоченным органом исполнительной власти субъекта Российской Федерации в соответствии с подпунктом "в" пункта 10 настоящих Правил отчета проводит анализ представленной за 2014 год информации и направляет до 1 марта 2015 г. в Министерство энергетики Российской Федерации заключения по результатам проведенного анализа.

20. В случае несоблюдения органом государственной власти субъекта Российской Федерации условий предоставления субсидии, предусмотренных пунктом 4 настоящих Правил, перечисление субсидии приостанавливается Министерством финансов Российской Федерации в установленном им порядке.

Перераспределение субсидий между бюджетами субъектов Российской Федерации не допускается.

21. Субсидия в случае ее нецелевого использования подлежит взысканию в доход федерального бюджета в соответствии с бюджетным законодательством Российской Федерации.

22. Не использованный на 1 января 2015 г. остаток субсидии подлежит возврату в федеральный бюджет органом государственной власти субъекта Российской Федерации, за которым в соответствии с законодательными и иными нормативными правовыми актами закреплены источники доходов бюджета субъекта Российской Федерации по возврату остатков субсидии, в соответствии с требованиями, установленными Бюджетным кодексом Российской Федерации и федеральным законом о федеральном бюджете на текущий финансовый год и плановый период.

В случае если неиспользованный остаток субсидии не перечислен в доход федерального бюджета, указанные средства подлежат взысканию в доход федерального бюджета в порядке, установленном Министерством финансов Российской Федерации.

В соответствии с решением Министерства энергетики Российской Федерации о наличии потребности в не использованных на 1 января 2015 г. остатках субсидий средства в размере, не превышающем остатки субсидии, подлежат перечислению в 2015 году из федерального бюджета в бюджеты субъектов Российской Федерации в целях финансового обеспечения расходов бюджетов субъектов Российской Федерации, соответствующих условиям предоставления субсидий, предусмотренных пунктом 2 настоящих Правил.

23. Решение о приостановлении перечисления (сокращении объема) субсидии бюджету субъекта Российской Федерации не принимается в случае, если условия предоставления субсидии были не выполнены в силу обстоятельств непреодолимой силы.

ПРИЛОЖЕНИЕ
к Правилам предоставления в 2014 году
субсидий из федерального бюджета
бюджетам субъектов Российской
Федерации, входящих в состав
Крымского федерального округа, на
компенсацию расходов энергосбытовой
организации, определенной решением
Правительства Российской Федерации в
качестве энергосбытовой организации,
осуществляющей покупку электрической
энергии из энергосистем иностранных
государств и у производителей,
функционирующих на территории
Крымского федерального округа

МЕТОДИКА
РАСЧЕТА СУБСИДИЙ, ПРЕДОСТАВЛЯЕМЫХ ИЗ ФЕДЕРАЛЬНОГО БЮДЖЕТА БЮДЖЕТАМ СУБЪЕКТОВ РОССИЙСКОЙ ФЕДЕРАЦИИ, ВХОДЯЩИХ В СОСТАВ КРЫМСКОГО ФЕДЕРАЛЬНОГО ОКРУГА, НА КОМПЕНСАЦИЮ РАСХОДОВ ЭНЕРГОСБЫТОВОЙ ОРГАНИЗАЦИИ, ОПРЕДЕЛЕННОЙ РЕШЕНИЕМ ПРАВИТЕЛЬСТВА РОССИЙСКОЙ ФЕДЕРАЦИИ В КАЧЕСТВЕ ЭНЕРГОСБЫТОВОЙ ОРГАНИЗАЦИИ, ОСУЩЕСТВЛЯЮЩЕЙ ПОКУПКУ ЭЛЕКТРИЧЕСКОЙ ЭНЕРГИИ ИЗ ЭНЕРГОСИСТЕМ ИНОСТРАННЫХ ГОСУДАРСТВ И У ПРОИЗВОДИТЕЛЕЙ, ФУНКЦИОНИРУЮЩИХ НА ТЕРРИТОРИИ КРЫМСКОГО ФЕДЕРАЛЬНОГО ОКРУГА

1. Настоящая методика устанавливает критерии определения субъектов Российской Федерации, между бюджетами которых распределяются субсидии, предоставляемые из федерального бюджета бюджетам субъектов Российской Федерации, входящих в состав Крымского федерального округа, на компенсацию расходов энергосбытовой организации, определенной решением Правительства Российской Федерации в качестве энергосбытовой организации, осуществляющей покупку электрической энергии из энергосистем иностранных государств и у производителей, функционирующих на территории Крымского федерального округа (далее - единый закупщик), от реализации электрической энергии в целях обеспечения энергоснабжения потребителей электрической энергии по установленным ценам (тарифам) (далее - субсидия).

2. Субсидия предоставляется бюджету субъекта Российской Федерации, одновременно удовлетворяющего следующим критериям:

а) входит в состав Крымского федерального округа;

б) имеет обязательство субъекта Российской Федерации обеспечить достижение значения показателя результативности предоставления субсидии, предусмотренного пунктом 11 Правил предоставления в 2014 году субсидий из федерального бюджета бюджетам субъектов Российской Федерации, входящих в состав Крымского федерального округа, на компенсацию расходов энергосбытовой организации, определенной решением Правительства Российской Федерации в качестве энергосбытовой организации, осуществляющей покупку электрической энергии из энергосистем иностранных государств и у производителей, функционирующих на территории Крымского федерального округа, утвержденных постановлением Правительства Российской Федерации от 11 августа 2014 г. N 793 "О направлении бюджетных ассигнований на компенсацию расходов энергосбытовой организации, определенной решением Правительства Российской Федерации в качестве энергосбытовой организации, осуществляющей покупку электрической энергии из энергосистем иностранных государств и у производителей, функционирующих на территории Крымского федерального округа" (далее - Правила).

3. Размер субсидии, предоставляемой бюджету k-го субъекта Российской Федерации в 2014 году (рублей), определяется по формуле:

где:

m - соответствующий месяц 2014 года;

к - субъект Российской Федерации, входящий в состав Крымского федерального округа;

- плановый размер субсидии для k-го субъекта Российской Федерации на m-й месяц 2014 года (рублей);

- корректировка размера субсидии за m-й месяц 2014 года (рублей).

4. Плановый размер субсидии для k-го субъекта Российской Федерации на m-й месяц 2014 года (рублей) определяется по формуле:

где:

- плановая средневзвешенная цена покупки электрической энергии единым закупщиком из энергосистем иностранных государств и у производителей электрической энергии, расположенных на территории k-го субъекта Российской Федерации, в m-м месяце (рублей/МВт·ч), определяемая по формуле, предусмотренной пунктом 7 настоящей методики для определения средневзвешенной цены покупки электрической энергии единым закупщиком из энергосистем иностранных государств и у производителей электрической энергии, расположенных на территории k-го субъекта Российской Федерации, в m-м месяце;

- плановый объем покупки электрической энергии единым закупщиком из энергосистем иностранных государств и у производителей электрической энергии, расположенных на территории k-го субъекта Российской Федерации, в m-м месяце (МВт·ч);

- плановый объем потерь электрической энергии при ее передаче в m-м месяце по электрическим сетям по s-му гарантирующему поставщику (иной энергосбытовой, энергоснабжающей организации, сетевой организации), расположенным на территории k-го субъекта Российской Федерации, определяемый в соответствии с постановлением Правительства Российской Федерации от 11 августа 2014 г. N 792 "Об особенностях применения законодательства Российской Федерации в сфере электроэнергетики на территории Республики Крым и г. Севастополя" (МВт·ч);

- расходы единого закупщика, установленные уполномоченным органом исполнительной власти субъекта Российской Федерации на территории k-го субъекта Российской Федерации в соответствии с постановлением Правительства Российской Федерации от 11 августа 2014 г. N 792 "Об особенностях применения законодательства Российской Федерации в сфере электроэнергетики на территории Республики Крым и г. Севастополя" и действующие на m-й месяц 2014 года (рублей/МВт·ч);

- цена (тариф) на электрическую энергию, поставляемую единым закупщиком s-му гарантирующему поставщику (иным энергоснабжающим, энергосбытовым организациям), установленная уполномоченным органом исполнительной власти в k-м субъекте Российской Федерации в соответствии с постановлением Правительства Российской Федерации от 11 августа 2014 г. N 792 "Об особенностях применения законодательства Российской Федерации в сфере электроэнергетики на территории Республики Крым и г. Севастополя" и действующая на m-й месяц 2014 года (рублей/МВт·ч);

- плановый объем продажи электрической энергии единым закупщиком в m-м месяце s-му гарантирующему поставщику (иной энергосбытовой, энергоснабжающей организации), за исключением планового объема потерь электрической энергии при ее передаче по электрическим сетям в k-м субъекте Российской Федерации (МВт·ч).

5. Корректировка размера субсидии за m-й месяц 2014 года определяется в соответствии с требованиями Правил по формуле:

где - размер субсидии для k-го субъекта Российской Федерации, определяемый на основании фактических данных на m-й месяц 2014 года (рублей).

6. Размер субсидии для k-го субъекта Российской Федерации, определяемый на основании фактических данных на m-й месяц 2014 года (рублей), определяется по формуле:

где параметры определяются в соответствии с настоящей методикой на основании фактических данных по заключенным договорам и выставленным счетам на оплату приобретенной электрической энергии.

7. Средневзвешенная цена покупки электрической энергии единым закупщиком из энергосистем иностранных государств и у производителей электрической энергии, расположенных на территории k-го субъекта Российской Федерации, в m-м месяце (рублей/МВт·ч), определяется по формуле:

где:

- объем электрической энергии, приобретаемой единым закупщиком из энергосистем иностранных государств для k-го субъекта Российской Федерации в m-м месяце (МВт·ч);

- цена электрической энергии, приобретаемой единым закупщиком из энергосистем иностранных государств в m-м месяце для k-го субъекта Российской Федерации (рублей/МВт·ч);

- объем электрической энергии, приобретаемой единым закупщиком у n-х производителей электрической энергии, расположенных на территории k-го субъекта Российской Федерации, в m-м месяце (МВт·ч);

- цена (тариф) на электрическую энергию, установленная уполномоченным органом исполнительной власти в k-м субъекте Российской Федерации для n-го производителя электрической энергии, функционирующего на территории такого субъекта Российской Федерации, и действующая в m-м месяце (рублей/МВт·ч);

- объем электрической энергии, приобретаемой единым закупщиком из энергосистем иностранных государств и у n-х производителей электрической энергии, расположенных на территории k-го субъекта Российской Федерации, в m-м месяце (МВт·ч).

8. Объем электрической энергии, приобретаемый единым закупщиком из энергосистем иностранных государств и у n-х производителей электрической энергии, расположенных на территории k-го субъекта Российской Федерации, в m-м месяце (МВт·ч), определяется по формуле:

9. Общий размер субсидии k-му субъекту Российской Федерации определяется как сумма субсидий, предоставляемых бюджету k-го субъекта Российской Федерации за каждый m-й месяц 2014 года, рассчитанных в соответствии пунктом 3 настоящей методики.

10. Параметры, используемые для расчета размера субсидий в соответствии с пунктами 3 - 8 настоящей методики, не включают налог на добавленную стоимость.

УТВЕРЖДЕНО
постановлением Правительства
Российской Федерации
от 11 августа 2014 г. N 793

РАСПРЕДЕЛЕНИЕ СУБСИДИЙ ИЗ ФЕДЕРАЛЬНОГО БЮДЖЕТА, ПРЕДОСТАВЛЯЕМЫХ В 2014 ГОДУ БЮДЖЕТАМ СУБЪЕКТОВ РОССИЙСКОЙ ФЕДЕРАЦИИ, ВХОДЯЩИХ В СОСТАВ КРЫМСКОГО ФЕДЕРАЛЬНОГО ОКРУГА, НА КОМПЕНСАЦИЮ РАСХОДОВ ЭНЕРГОСБЫТОВОЙ ОРГАНИЗАЦИИ, ОПРЕДЕЛЕННОЙ РЕШЕНИЕМ ПРАВИТЕЛЬСТВА РОССИЙСКОЙ ФЕДЕРАЦИИ В КАЧЕСТВЕ ЭНЕРГОСБЫТОВОЙ ОРГАНИЗАЦИИ, ОСУЩЕСТВЛЯЮЩЕЙ ПОКУПКУ ЭЛЕКТРИЧЕСКОЙ ЭНЕРГИИ ИЗ ЭНЕРГОСИСТЕМ ИНОСТРАННЫХ ГОСУДАРСТВ И У ПРОИЗВОДИТЕЛЕЙ, ФУНКЦИОНИРУЮЩИХ НА ТЕРРИТОРИИ КРЫМСКОГО ФЕДЕРАЛЬНОГО ОКРУГА

Субъект Российской Федерации Размер бюджетных ассигнований (тыс. рублей)
Республика Крым 8032866
Город Севастополь 1795716
Всего 9828582