Приказ МПР РФ от 17.12.2007 N 333

"Об утверждении Методики разработки нормативов допустимых сбросов веществ и микроорганизмов в водные объекты для водопользователей"
Редакция от 22.07.2014 — Документ утратил силу, см. «Постановление Правительства РФ от 18.09.2020 N 1496»
Показать изменения

Зарегистрировано в Минюсте РФ 21 февраля 2008 г. N 11198


МИНИСТЕРСТВО ПРИРОДНЫХ РЕСУРСОВ РОССИЙСКОЙ ФЕДЕРАЦИИ

ПРИКАЗ
от 17 декабря 2007 г. N 333

ОБ УТВЕРЖДЕНИИ МЕТОДИКИ РАЗРАБОТКИ НОРМАТИВОВ ДОПУСТИМЫХ СБРОСОВ ВЕЩЕСТВ И МИКРООРГАНИЗМОВ В ВОДНЫЕ ОБЪЕКТЫ ДЛЯ ВОДОПОЛЬЗОВАТЕЛЕЙ

(в ред. Приказа Минприроды РФ от 22.07.2014 N 332)

В соответствии с пунктом 2 Постановления Правительства Российской Федерации от 23 июля 2007 г. N 469 "О порядке утверждения нормативов допустимых сбросов веществ и микроорганизмов в водные объекты для водопользователей" (Собрание законодательства Российской Федерации, 2007, N 31, ст. 4088) приказываю:

утвердить по согласованию с Государственным комитетом Российской Федерации по рыболовству, Министерством здравоохранения и социального развития Российской Федерации, Федеральной службой по гидрометеорологии и мониторингу окружающей среды и Федеральной службой по экологическому, технологическому и атомному надзору прилагаемую методику разработки нормативов допустимых сбросов веществ и микроорганизмов в водные объекты для водопользователей.

Министр
Ю.П.ТРУТНЕВ

УТВЕРЖДЕНА
Приказом МПР России
от 17.12.2007 N 333

МЕТОДИКА
РАЗРАБОТКИ НОРМАТИВОВ ДОПУСТИМЫХ СБРОСОВ ВЕЩЕСТВ И МИКРООРГАНИЗМОВ В ВОДНЫЕ ОБЪЕКТЫ ДЛЯ ВОДОПОЛЬЗОВАТЕЛЕЙ

(в ред. Приказа Минприроды РФ от 22.07.2014 N 332)

I. Назначение и область применения

1. В соответствии со ст. 1 Федерального закона от 10 января 2002 г. N 7-ФЗ "Об охране окружающей среды" (Собрание законодательства Российской Федерации, 2002, N 2, ст. 133; 2004, N 35, ст. 3607; 2005, N 1, ст. 25; N 19, ст. 1752; 2006, N 1, ст. 10; N 52, ст. 5498) нормативы допустимых сбросов веществ, в том числе радиоактивных, иных веществ и микроорганизмов (нормативы допустимых сбросов веществ и микроорганизмов) - нормативы, которые установлены для субъектов хозяйственной и иной деятельности в соответствии с показателями массы химических веществ, в том числе радиоактивных, иных веществ и микроорганизмов, допустимых для поступления в окружающую среду от стационарных, передвижных и иных источников в установленном режиме и с учетом технологических нормативов, и при соблюдении которых обеспечиваются нормативы качества окружающей среды.

Методика разработки нормативов допустимых сбросов веществ и микроорганизмов в водные объекты для водопользователей (НДС) не предусматривает разработку нормативов допустимых сбросов для радиоактивных веществ.

Величины НДС определяются исходя из нормативов качества воды водного объекта. Если нормативы качества воды в водных объектах не могут быть достигнуты из-за воздействия природных факторов, не поддающихся регулированию, то величины НДС определяются исходя из условий соблюдения в контрольном пункте сформировавшегося природного фонового качества воды.

2. Нормирование качества воды осуществляется в соответствии с физическими, химическими, биологическими (в том числе микробиологическими и паразитологическими) и иными показателями состава и свойств воды водных объектов, определяющими пригодность ее для конкретных целей водопользования и/или устойчивого функционирования экологической системы водного объекта в соответствии со статьями 20 и 21 Федерального закона от 10 января 2002 г. N 7-ФЗ "Об охране окружающей среды".

Расчетная величина норматива допустимого сброса тесно связана с числовым значением норматива качества вод водных объектов.

Нормативы качества воды разрабатываются для условий питьевого, хозяйственно-бытового и рыбохозяйственного водопользования, определяемых в соответствии с действующим законодательством.

3. Нормативы качества воды водного объекта включают:

- общие требования к составу и свойствам поверхностных вод для различных видов водопользования;

- перечень предельно допустимых концентраций (ПДК) веществ в воде водных объектов питьевого и хозяйственно-бытового водопользования;

- перечень ПДК веществ для водных объектов рыбохозяйственного значения.

4. При сбросе сточных вод или других видах хозяйственной деятельности, влияющих на состояние водных объектов, используемых для питьевых и хозяйственно-бытовых целей, нормативы качества вод или их природный состав и свойства выдерживаются на водотоках, начиная со створа, расположенного на 1 км выше ближайшего по течению пункта водопользования (водозабор для питьевого и хозяйственно-бытового водоснабжения, места купания, организованного отдыха, территория населенного пункта и т.п. вплоть до самого места водопользования), а на водоемах - на акватории в радиусе 1 км от пункта водопользования.

В водохранилищах и в нижнем бьефе плотины гидроэлектростанции, работающей в резко переменном режиме, учитывается возможность воздействия на пункты водопользования обратного течения при резкой смене режима работы электростанции или прекращении ее работы.

5. При сбросе сточных вод или других видах хозяйственной деятельности, влияющих на состояние водных объектов рыбохозяйственного значения, нормативы качества поверхностных вод или их природные состав и свойства (в случае природного превышения этих нормативов) соблюдаются на протяжении всего участка водопользования, начиная с контрольного створа (контрольный створ - поперечное сечение водного потока, в котором контролируется качество воды), но не далее чем 500 м от места сброса сточных вод или расположения других источников загрязнения поверхностных вод (мест добычи полезных ископаемых, производства работ на водном объекте и т.п.).

6. В случае одновременного использования водного объекта или его участка для различных нужд для состава и свойств его вод принимаются наиболее жесткие нормы качества воды из числа установленных.

7. Для веществ, относящихся к 1-му и 2-му классам опасности при всех видах водопользования, НДС определяются так, чтобы для веществ с одинаковым лимитирующим признаком вредности (ЛПВ), содержащихся в воде водного объекта, сумма отношений концентраций каждого вещества к соответствующим ПДК не превышала 1.

8. Для сбросов сточных вод в черте населенного пункта НДС определяются исходя из отнесения нормативных требований к составу и свойствам воды водных объектов к самим сточным водам <*>.

<*> При сбросе сточных вод в водный объект через рассеивающие выпуски, гарантирующие необходимое смешение и разбавление сбрасываемых вод, нормативные требования к составу и свойствам воды должны обеспечиваться в створе начального разбавления рассеивающего выпуска.

9. Если фоновая загрязненность водного объекта по каким-либо показателям не позволяет обеспечить нормативное качество воды в контрольном пункте, то НДС по этим показателям разрабатываются исходя из отнесения нормативных требований к составу и свойствам воды водных объектов к самим сточным водам.

Для тех веществ, для которых нормируется приращение к природному естественному фону, НДС определяются с учетом этих допустимых приращений к природному фоновому качеству воды.

В числе естественных факторов, формирующих качество воды, рассматриваются факторы, не входящие в хозяйственное звено круговорота воды, включающее возвратные воды всех видов (сточные, сбросные и дренажные).

10. При сбросе теплообменных вод ТЭС, АЭС и других подобных объектов НДС разрабатываются на уровне концентраций нормированных веществ в воде водного объекта в месте водозабора (при условии водопользования одним водным объектом) или соблюдения в сточных водах нормативов качества воды для вида водопользования, установленного на рассматриваемом участке водного объекта - приемника сточных вод.

11. Исходная информация для разработки проекта НДС может быть получена в территориальных органах Росгидромета или принята по данным организаций, имеющих лицензию на выполнение работ, связанных с получением требуемых данных.

12. Величины НДС разрабатываются и утверждаются для действующих и проектируемых организаций-водопользователей (приложения 1, 2). Разработка величин НДС осуществляется как организацией-водопользователем, так и по его поручению проектной или научно-исследовательской организацией. Если фактический сброс действующей организации-водопользователя меньше расчетного НДС, то в качестве НДС принимается фактический сброс <*>.

<*> За исключением показателей, значения которых возрастают после биологической очистки (например, нитриты и нитраты).

Величины НДС проектируемых и строящихся (реконструируемых) организаций-водопользователей определяются в составе проектов строительства (реконструкции) этих организаций. Если при пересмотре или уточнении ранее установленного НДС окажется, что проектное значение сброса строящейся (реконструируемой) организации-водопользователя меньше расчетного НДС, то в качестве НДС принимается проектное значение сброса.

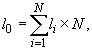
13. При разработке НДС перерасчет массы вещества, сбрасываемого в час (г/час), на массу вещества, сбрасываемого в месяц (т/мес.), производится умножением допустимых концентраций вещества на объем сточных вод за соответствующий период (приложение 1).

14. НДС разрабатываются на пять лет. Пересмотр и уточнение НДС осуществляется до истечения срока их действия в следующих случаях:

при изменении более чем на 20% показателей, определяющих водохозяйственную обстановку на водном объекте (появление новых и изменение параметров существующих сбросов сточных вод и водозаборов, изменение расчетных расходов водотока, фоновой концентрации и др.);

при изменении технологии производства, методов очистки сточных вод, параметров сброса;

при утверждении в установленном порядке нормативов допустимого воздействия на водные объекты.

15. Пересмотр и уточнение ранее утвержденных НДС могут быть произведены как одновременно для совокупности водопользователей, расположенных в бассейне водного объекта в пределах водохозяйственного участка, так и индивидуально, для каждого отдельного водопользователя (отдельного выпуска).

16. При сбросе сточных вод во внутренние морские воды и территориальное море Российской Федерации расчет НДС производится с учетом степени смешения и разбавления сточных вод морской водой при условии соблюдения требований и нормативов установленного вида водопользования.

17. Критерии эффективности обеззараживания сточных вод, отводимых в водные объекты, и допустимые изменения состава воды в водоемах и водотоках после выпуска в них очищенных сточных вод приведены в приложении 3.

18. В соответствии со ст. 44, 60 Водного кодекса Российской Федерации от 3 июня 2006 года N 74-ФЗ (Собрание законодательства Российской Федерации, 2006, N 23, ст. 2381; N 50, ст. 5279; 2007, N 26, ст. 3075) запрещается сброс сточных и (или) дренажных вод в водные объекты:

- содержащие природные лечебные ресурсы;

- отнесенные к особо охраняемым водным объектам.

Запрещается сброс сточных и (или) дренажных вод в водные объекты, расположенные в границах:

- зон, округов санитарной охраны источников питьевого и хозяйственно-бытового водоснабжения;

- первой, второй зон округов санитарной (горно-санитарной) охраны лечебно-оздоровительных местностей и курортов;

- рыбоохранных зон, рыбохозяйственных заповедных зон.

При эксплуатации водохозяйственной системы запрещается:

1) осуществлять сброс в водные объекты сточных вод, не подвергшихся санитарной очистке, обезвреживанию (исходя из недопустимости превышения нормативов допустимого воздействия на водные объекты и нормативов предельно допустимых концентраций вредных веществ в водных объектах), а также сточных вод, не соответствующих требованиям технических регламентов;

2) производить забор (изъятие) водных ресурсов из водного объекта в объеме, оказывающем негативное воздействие на водный объект;

3) осуществлять сброс в водные объекты сточных вод, в которых содержатся возбудители инфекционных заболеваний, а также вредные вещества, для которых не установлены нормативы предельно допустимых концентраций.

19. Перечень нормируемых веществ формируется на основе исходной информации об использовании веществ на конкретном предприятии и анализе данных о качестве исходной и сточной воды. Фактическое содержание загрязняющих веществ в сточных водах определяется как среднеарифметическое значение концентрации за год.

II. Методическая основа расчета нормативов допустимых сбросов

20. НДС разрабатываются в соответствии с нормативами допустимых воздействий на водные объекты (НДВ). Разработка НДС для расчетного водохозяйственного участка приведена в разделе IV для водотоков, в разделе VI для водохранилищ и озер, в разделе VIII для внутренних морских вод и территориального моря Российской Федерации.

21. При расчете НДС для водохозяйственного участка, величины НДС устанавливаются с учетом предельно допустимых концентраций (ПДК) веществ в местах водопользования, ассимилирующей способности водного объекта и оптимального распределения массы сбрасываемых веществ между водопользователями, сбрасывающими сточные воды. Ассимилирующая способность водного объекта - способность водного объекта принимать определенную массу веществ в единицу времени без нарушения нормативов качества воды в контролируемом створе или пункте водопользования.

В связи со сложностью реализации расчета НДС для совокупности организаций-водопользователей возможно применение пакетов прикладных программ, обеспечивающих расчеты НДС.

При расчете НДС для водопользователей, расположенных в пределах водохозяйственного участка, необходимо соблюдение следующего условия:

где SUМНДС - сумма нормативов допустимых сбросов по выпускам сточных вод, расположенным в пределах расчетного водохозяйственного участка, т/год;

SUMLim - сумма лимитов на сброс загрязняющих веществ со сточными водами по выпускам сточных вод, расположенным в пределах расчетного водохозяйственного участка, т/год;

0,8 НДВхимупр - 80% норматива допустимого воздействия по привносу химического вещества для водопользователей, имеющих управляемые и потенциально управляемые источники загрязнения, т/год.

Оставшиеся 20% НДВхимупр используются с учетом перспективы развития территории и появления новых выпусков сточных вод.

При достижении:

проводится перерасчет нормативов допустимого сброса по указанному выше принципу. Перерасчет НДС в первую очередь проводится за счет уменьшения значений лимитов на сброс загрязняющих веществ со сточными водами.

22. В случае отсутствия утвержденных в установленном порядке НДВ величины НДС рассчитываются для отдельных водопользователей.

23. Если при расчете величины НДС отсутствует достоверная информация о качестве воды выше сброса, то проводится расчет фоновых концентраций химических веществ в установленном порядке. До установления фоновых концентраций следует соблюдать нормативные требования к составу и свойствам сточных вод, обеспечивающие выполнение требований к качеству вод водного объекта.

24. При расчете НДС необходимо учитывать технико-экономические характеристики производства, системы очистки, а также оборотного или повторного использования воды каждой конкретной организации.

III. Расчет величин НДС для отдельных выпусков сточных вод в водотоки

25. Величины НДС определяются для всех категорий водопользователей как произведение максимального часового расхода сточных вод - q' (м3/ч) на допустимую концентрацию загрязняющего вещества Сндс (г/м3). При расчете условий сброса сточных вод сначала определяется значение Сндс, обеспечивающее нормативное качество воды в контрольных створах с учетом требований Методики, а затем определяется НДС согласно формуле:

Необходимо подчеркнуть обязательность требования увязки сброса массы вещества, соответствующей НДС, с расходом сточной воды. Например, уменьшение расхода при сохранении величины НДС будет приводить к концентрации вещества в водном объекте, превышающей ПДК.

Если фоновая концентрация загрязняющего вещества в водном объекте превышает ПДК, то Сндс определяется в соответствии с п. 1 настоящей Методики. В противном случае для определения Сндс в зависимости от типа водного объекта используются расчетные формулы, приведенные в разд. III.

Фоновая концентрация химического вещества - расчетное значение концентрации химического вещества в конкретном створе водного объекта, расположенном выше одного или нескольких контролируемых источников этого вещества, при неблагоприятных условиях, обусловленных как естественными, так и антропогенными факторами воздействия.

26. Основная расчетная формула для определения Сндс без учета неконсервативности вещества имеет вид:

где: - предельно допустимая концентрация загрязняющего вещества в воде водотока, г/м3;

- фоновая концентрация загрязняющего вещества в водотоке (г/м3) выше выпуска сточных вод, определяемая в соответствии с действующими методическими документами по проведению расчетов фоновых концентраций химических веществ в воде водотоков;

n - кратность общего разбавления сточных вод в водотоке, равная произведению кратности начального разбавления на кратность основного разбавления (основное разбавление, возникающее при перемещении воды от места выпуска к расчетному створу)

С учетом неконсервативности загрязняющего вещества расчетная формула имеет вид:

где: k - коэффициент неконсервативности органических веществ, показывающий скорость потребления кислорода, зависящий от характера органических веществ, 1/сут.;

t - время добегания от места выпуска сточных вод до расчетного створа, сутки.

Значения коэффициента неконсервативности принимаются по данным натурных наблюдений или по справочным данным и пересчитываются в зависимости от температуры и скорости течения воды реки.

При установлении НДС по БПК расчетная формула имеет вид:

где: - осредненное значение коэффициента неконсервативности органических веществ, обусловливающих фона и сточных вод, 1/сут.;

- , обусловленная метаболитами и органическими веществами, смываемыми в водоток атмосферными осадками с площади водосбора на последнем участке пути перед контрольным створом длиной 0,5 суточного пробега.

Значение принимается равным: для горных рек - 0,6 0,8 г/м3; для равнинных рек, протекающих по территории, почва которой не слишком богата органическими веществами, - 1,7 2 г/м3; для рек болотного питания или протекающих по территории, с которой смывается повышенное количество органических веществ, - 2,3 2,5 г/м3. Если расстояние от выпуска сточных вод до контрольного створа меньше 0,5 суточного пробега, то принимается равной нулю.

Определение норматива допустимого сброса по концентрации взвешенных веществ. Допустимая концентрация взвешенных веществ m, в спускаемых в водоем сточных водах определяется по уравнению (в соответствии с санитарными правилами):

откуда

где гамма - коэффициент смешения, определяемый по формуле (22);

b - содержание взвешенных веществ в воде водного объекта до спуска сточных вод, г/м3; p - допустимое по санитарным правилам увеличение содержания взвешенных веществ в водном объекте после спуска сточных вод, г/м3;

Q, q - расходы соответственно речных и сточных вод, м3/сут.

При установлении НДС по БПК с учетом требований к содержанию растворенного кислорода рекомендуется использовать формулы, приведенные в справочнике проектировщика (Канализация населенных мест и промышленных предприятий).

Допустимое изменение температуры воды водного объекта после выпуска в них очищенных сточных вод.

Для водных объектов питьевого и хозяйственно-бытового назначения летняя температура воды в результате сброса сточных вод не должна повышаться более чем на 3 °C по сравнению со среднемесячной температурой воды самого жаркого месяца года за последние 10 лет.

Для водных объектов рыбохозяйственного назначения температура воды не должна повышаться по сравнению с естественной температурой водного объекта более чем на 5 °C с общим повышением температуры не более чем до 20 °C летом и 5 °C зимой для водных объектов, где обитают холодноводные рыбы (лососевые и сиговые), и не более чем до 28 °C летом и 8 °C зимой. В местах нерестилищ налима запрещается повышать температуру воды зимой более чем до 2 °C.

27. По методу Н.Н. Лапшева кратность начального разбавления учитывается при выпуске сточных вод в водотоки в следующих случаях:

- для напорных сосредоточенных и рассеивающих выпусков в водоток при соотношении скоростей и выпуска :

- при абсолютных скоростях истечения струи из выпуска, больших 2 м/с.

При меньших скоростях расчет начального разбавления не производится.

Для единичного напорного выпуска кратность начального разбавления рассчитывается следующим образом: вычисляются отношения

где: - скорость на оси струи. По рис. 1 находится отношение , где d - диаметр загрязненного пятна в граничном створе зоны начального разбавления, - диаметр выпуска. Затем по рис. 2 находится кратность начального разбавления по известным величинам.

Для рассеивающего напорного выпуска расчет осуществляется следующим образом. Задаваясь числом выпускных отверстий оголовка выпуска и скоростью истечения сточных вод из них >= 2,0 м/с, определяют диаметр отверстия или оголовка рассеивающего выпуска:

где: q - суммарный расход сточных вод, м3/с.

Затем (по рис. 1) определяется отношение и найденное значение d сравнивается с глубиной реки H. Если d < H, то по рис. 2 находят кратность начального разбавления . Для случая естественной струи (d > H) соответствующая ему кратность разбавления находится умножением найденного значения на поправочный коэффициент f(H/d), который определяется из рис. 3. Расстояние до пограничного сечения зоны начального разбавления определяется по формуле:

Расход смеси сточных вод и воды водотока в том же сечении находится по формуле:

где: q - расход сточных вод на выходе из отверстий или оголовков рассеивающего выпуска, м3/с.

Средняя концентрация вещества в граничном сечении определяется по формуле:

где: - концентрация загрязняющего вещества в сточных водах, г/м3.

Максимальная концентрация в центре пятна примеси в этом сечении равна:

Рис. 1. Номограмма для определения диаметра струи в расчетном сечении (не приводится)

Рис. 2. Номограмма для определения начального разбавления в потоке (не приводится)

Рис. 3. Номограмма для определения поправочного коэффициента (не приводится)

28. Кратность основного разбавления n_0 определяется по методу В.А. Фролова - И.Д. Родзиллера:

где: Q - расчетный расход водотока, м3/с;

гамма - коэффициент смешения, показывающий, какая часть речного расхода смешивается со сточными водами в максимально загрязненной струе расчетного створа:

(18)

где: l - расстояние от выпуска до расчетного створа по фарватеру, м;

альфа - коэффициент, учитывающий гидравлические условия в реке:

(19)

где: фи - коэффициент извилистости (отношение расстояния до контрольного створа по фарватеру к расстоянию по прямой);

кси - коэффициент, зависящий от места выпуска сточных вод (при выпуске у берега кси = 1, при выпуске в стрежень реки кси = 1,5); D - коэффициент турбулентной диффузии, м2/с. Для летнего времени:

где: g - ускорение свободного падения, g = 9,81 м/с2;

тхэта - средняя скорость течения реки, м/с;

H - средняя глубина реки, м;

- коэффициент шероховатости ложа реки, определяемый по справочным данным (по таблице М.Ф. Срибного);

C - коэффициент Шези (м(0,5)/с), определяемый по формуле Н.Н. Павловского (при H <= 5 м):

где: R - гидравлический радиус потока, м (R ~= H);

(22)

Для зимнего времени (периода ледостава):

(23)

где: , , - приведенные значения гидравлического радиуса, коэффициента шероховатости и коэффициента Шези;

(25)

где: - коэффициент шероховатости нижней поверхности льда по П.Н. Белоконю, определяемый по справочным данным.

(26)

где:

(27)

Для повышения точности расчетов вместо средних значений тхэта, H, и C рекомендуется брать их значения в зоне непосредственного смешения сточной жидкости с речной водой.

Рассмотренный метод может применяться при соблюдении следующего неравенства:

Если сточные воды и притоки могут поступать с обоих берегов реки, обеспечивая практически постоянную струйность речных вод вдоль каждого берега, то для расчетов концентраций веществ в максимально загрязненной струе рекомендуется использовать метод В.А. Фролова - И.Д. Родзиллера для случая впадения сточных вод с обоих берегов реки.

29. Если не соблюдаются условия применимости метода В.А. Фролова - И.Д. Родзиллера или в расчете необходимо учесть данные о накоплении загрязняющих веществ в донных отложениях, то рекомендуется использовать методы, изложенные в книге Методические основы оценки и регламентирования антропогенного влияния на качество поверхностных вод под редакцией А.В. Караушева.

29.1. При наличии регулирующей емкости достаточного объема, возможен регулируемый сброс очищенных сточных вод. (в ред. Приказа Минприроды РФ от 22.07.2014 N 332)

Для расчета норматива допустимого сброса веществ при регулируемом сбросе очищенных сточных вод необходимо: (в ред. Приказа Минприроды РФ от 22.07.2014 N 332)

1) используя минимальный из среднемесячных расходов года 95%-ной обеспеченности, из соотношения формулы (28) Методики определить допустимый расход сточных вод для самого маловодного месяца; (в ред. Приказа Минприроды РФ от 22.07.2014 N 332)

2) рассчитать НДС в мг/дм3 исходя из указанного допустимого расхода сточных вод для самого маловодного месяца. Допустимая к сбросу концентрация НДС в мг/дм3 является постоянной для каждого месяца; (в ред. Приказа Минприроды РФ от 22.07.2014 N 332)

3) умножить определенную как указано выше концентрацию НДС (мг/дм3) на расход сточных вод, определенный по формуле (28), для минимального из среднемесячных расходов года 95%-ной обеспеченности - рассчитать НДС (т/мес.) для самого маловодного месяца; (в ред. Приказа Минприроды РФ от 22.07.2014 N 332)

4) рассчитать отношения каждого месячного расхода года 95%-ной обеспеченности к минимальному расходу в указанном году 95%-ной обеспеченности. В результате получить коэффициенты пересчета расхода очищенных сточных вод для каждого месяца. Результаты свести в таблицу 1. (в ред. Приказа Минприроды РФ от 22.07.2014 N 332)

Таблица 1

Весна Лето - осень Зима
Месяцы IV V VI VII VIII IX X XI XII I II III
- расход воды в водном объекте (м3/с) года 95% обеспеченности
К - коэффициент пересчета расхода очищенных сточных вод для каждого месяца

(в ред. Приказа Минприроды РФ от 22.07.2014 N 332)

где К - коэффициент пересчета расхода очищенных сточных вод для каждого месяца.

- расход воды в водном объекте (м3/с) для года 95% обеспеченности в i-й месяц. (в ред. Приказа Минприроды РФ от 22.07.2014 N 332)

- минимальный из среднемесячных расходов года 95%-ной обеспеченности (м3/с); (в ред. Приказа Минприроды РФ от 22.07.2014 N 332)

5) для получения НДС (т/мес.) для остальных месяцев, НДС (т/мес.) для самого маловодного месяца умножается на коэффициент пересчета расхода очищенных сточных вод для каждого месяца. (в ред. Приказа Минприроды РФ от 22.07.2014 N 332)

IV. Расчет величин НДС для водохозяйственного участка водотока

30. Расчет величин НДС для водохозяйственного участка определяется из решения задачи математического программирования.

Критерий оптимальности - минимум суммарных приведенных затрат на достижение НДС:

(29)

где: - приведенные затраты i-го водопользователя на достижение НДС, тыс. руб./год;

= (1, ..., R) - оптимизируемых переменных, определяющих доли расхода сточных вод - r, проходящие по различным технологическим маршрутам их очистки и использования, r = 1, ..., R; R - число технологических маршрутов очистки и использования сточных вод;

N - число водопользователей.

31. Для формирования модели водного объекта водоток разбивается на секции с постоянным расходом, в пределах которых все параметры модели можно принять постоянными, границы секций совмещаются с местами сброса сточных вод, водозаборами, устьями притоков, створами, в которых контролируется качество воды, и местами резкого изменения гидрометрических характеристик водотока. При совпадении места водозабора с местом сброса сточных вод или устьем притока для этого водозабора вводится отдельная секция нулевой протяженности. Для каждого притока и основной реки помимо створов контроля качества воды необходимо указать расчетный створ в устье и начальный створ и качество воды в истоке реки. Все створы нумеруются последовательно от истока к устью для каждого притока и основной реки. Аналогично нумеруются расчетные секции.

32. Модель водного объекта:

(30)

где: k - множество номеров расчетных створов, в которых моделируется качество воды;

Y_k - вектор показателей (концентраций веществ), характеризующих качество воды в створе k, г/м3;

Y_k-1 - то же для предшествующего по течению створа k - 1. Если k - 1 не принадлежит K, то створ k - 1 является начальным створом (истоком) реки и Y_k-1 = (C_ф k-1);

(C_ф k-1) - вектор фоновых концентраций веществ в воде водотока в створе k - 1, г/м3;

Y_ню - то же для створа ню, расположенного в устье притока, впадающего на участке (k; k - 1);

C_i - вектор максимальных среднечасовых концентраций веществ в сточных водах выпуска i, г/м3;

q_i - расход сточных вод выпуска i, м3/с;

Q_альфа - расход воды реки в расчетной секции альфа, м3/с;

альфа_i - номер расчетной секции, в начале которой расположен выпуск сточных вод водопользователя i, м3/с;

V_k - множество номеров створов, расположенных в устьях притоков, впадающих на участке (k; k - 1);

I_k - множество номеров выпусков сточных вод, поступающих в водный объект на участке (k; k - 1);

A_k,k-1, A_kню, B_ki - матрицы, характеризующие разбавление и трансформацию качества речных и сточных вод;

(31)

J_km - множество номеров расчетных секций с постоянными характеристиками потока, соединяющих створ m со створом k;

J(0)_k альфа - то же для сброса i;

кси_j - разбавление речных вод при переходе от секции к следующей по течению данной реки секции j + 1. кси_j = 1, если секция j последняя или Q_j+1 <= Q_j

S_j = (S(Y, кси )_j) - нижняя треугольная матрица, характеризующая самоочищение и трансформацию веществ в водотоке на протяжении секции j.

Диагональные элементы матрицы S_j определяются как:

(33)

где кси - индекс вещества (показателя);

k_кси - коэффициент неконсервативности вещества кси, 1/сут.;

t_j - время перемещения воды в водотоке на протяжении секции j, сут.

Внедиагональные элементы матрицы характеризуют переход одних соединений в другие или потребление веществ при химических реакциях. В простейшем случае внедиагональные элементы матрицы равны нулю для всех показателей кроме растворенного кислорода, для которого внедиагональный элемент имеет вид:

(34)

где: кси' - индекс БПК_полн;

r' - индекс растворенного кислорода. При расчете концентрации растворенного кислорода в соответствующее ему уравнение в системе (30) также добавляется член, характеризующий насыщение речной воды атмосферным кислородом:

(34)

где: H_0 - растворимость кислорода в 1 м3 воды при расчетной температуре, г/м3;

J(0)_kp - множество номеров расчетных секций, соединяющих секцию p со створом k.

33. Модель водного объекта по формулам (30) - (35) предполагает полное и мгновенное смешение речных и сточных вод и предназначена для расчета водоохранных мероприятий на перспективу, когда учет степени смешения речных и сточных вод затрудняется из-за отсутствия исходных данных.

При расчетах на ближайший период, а также при наличии необходимых данных при перспективных расчетах для учета степени смешения речных и сточных вод может быть применен описанный выше метод В.А. Фролова - И.Д. Родзиллера либо другие упрощенные методы расчета разбавления (см. п. 29).

34. Требования к качеству воды:

- для БПК, минерализации и других показателей, не оказывающих аддитивного воздействия; (36)
- для растворенного кислорода;
- для показателей, нормируемых по лимитирующим признакам вредности (ЛПВ).
 

где: ПДК_k кси - предельно допустимая концентрация вещества кси в створе k;

E_p - множество номеров показателей, нормируемых по лимитирующему признаку вредности p;

P_k - множество ЛПВ, определяемых нормативными требованиями к качеству воды в створе k;

K_1 - множество номеров створов, в которых контролируется качество воды.

Модель комплекса водоохранных мероприятий:

(37)
   
(38)
   
(39)

где: d(0)_ir - приведенные затраты, соответствующие технологическому маршруту r очистки или использования сточных вод, руб./м3;

q(r)_i - вектор концентрации веществ в сточных водах выпуска i с расходом q_i, x_ir после прохождения технологического маршрута r по очистке сточных вод.

35. При наличии данных о зависимости затрат на водоохранные мероприятия от расхода обрабатываемых сточных вод для расчетов может быть использована более сложная модель, отличающаяся формой записи затрат на водоохранные мероприятия - выражение (37) заменяется следующим:

(40)

где: J_il - множество входящих в технологический маршрут r агрегатов (очистных сооружений) обработки сточных вод;

M_ij - множество технологических маршрутов, включающих агрегат j;

q(c)_i - расход сточных вод выпуска i, тыс. м3/сут.;

D(0)_ij, альфа(0)_ij - коэффициенты аппроксимации.

36. В результате решения задачи оптимизации (29) - (39) определяются оптимальные доли расхода сточных вод, проходящие по различным технологическим маршрутам очистки и использования X*_i, i = 1, ..., N соответствующие им величины расходов обрабатываемых сточных вод:

где: r - номер технологического маршрута очистки или использования сточных вод;

R - число технологических маршрутов.

37. Концентрации веществ в сточных водах выпуска i рассчитываются по формуле:

(42)

где: C(0)_ir - концентрации веществ в сточных водах выпуска i с расходом q(0)_i X_ir после прохождения технологического маршрута r по очистке сточных вод, г/м3.

38. Норматив допустимого сброса веществ на выпуске сточных вод, обеспечивающий соблюдение нормативного качества воды в контрольных створах при оптимальном распределении массы сбрасываемых веществ между отдельными водопользователями, определяются как:

где: q'_i - расход сточных вод выпуска i, м3/ч.

V. Расчет НДС для отдельных выпусков в водохранилища и озера

39. Величины НДС для выпусков сточных вод в водохранилища и озера определяются по приведенным ниже расчетным формулам, аналогичным формулам п. 26.

Основная расчетная формула для определения Сндс без учета неконсервативности вещества имеет вид:

где: C_ПДК - предельно допустимая концентрация загрязняющего вещества в воде водоема, г/м3;

C_ф - фоновая концентрация загрязняющего вещества в воде водоема в месте выпуска сточных вод, г/м3;

n - кратность общего разбавления сточных вод в водоеме, определяемая по формуле (5).

С учетом неконсервативности загрязняющего вещества расчетная формула имеет вид:

где: k - коэффициент неконсервативности, 1/сут.;

t - время перемещения сточных вод под влиянием течения от места их выпуска до расчетного створа, сут.

Значения коэффициента неконсервативности k принимаются по данным натурных наблюдений или по справочным данным и пересчитываются в зависимости от температуры и скорости течения в водоеме.

При установлении НДС по БПК расчетная формула имеет вид:

где: k_0 - осредненное значение коэффициента неконсервативности органических веществ, обусловливающих БПК_полн фона и сточных вод, 1/сут.;

C_см - БПК_полн, обусловленная метаболитами и органическими веществами, смываемыми в водоем атмосферными осадками с площади водосбора на последнем участке пути перед контрольным створом длиной 0,5 суточного пробега.

Значение C_см принимается равным: для горных водоемов - 0,6 0,8 г/м3; для равнинных водоемов, расположенных на территории, почва которой не слишком богата органическими веществами - 1,7 2 г/м3; для водоемов, расположенных на болотистой территории или территории, с которой смывается повышенное количество органических веществ - 2,3 2,5 г/м3. Если расстояние от выпуска сточных вод до контрольного створа меньше 0,5 суточного пробега, то C_см принимается равной нулю.

При установлении НДС по БПК с учетом требования к содержанию растворенного кислорода, а также при установлении НДС по взвешенным веществам рекомендуется использовать формулы из раздела III.

40. При наличии в водоеме устойчивых ветровых течений для расчета кратности общего разбавления n может быть использован метод М.А. Руффеля. В расчетах по этому методу рассматриваются два случая:

а) выпуск в мелководную часть или в верхнюю треть глубины водоема, загрязненная струя распространяется вдоль берега под воздействием прямого поверхностного течения, имеющего одинаковое с ветром направление;

б) выпуск в нижнюю треть глубины водоема, загрязненная струя распространяется к береговой полосе против выпуска под воздействием донного компенсационного течения, имеющего направление, обратное направлению ветра.

Метод М.А. Руффеля имеет следующие ограничения: глубина зоны смешения не превышает 10 м, расстояние от выпуска до контрольного створа вдоль берега в первом случае не превышает 20 км, расстояние от выхода сточных вод до берега против выпускного оголовка во втором случае не превышает 0,5 км.

Кратность общего разбавления определяется по формуле (3). Кратность начального разбавления вычисляется следующим образом:

- при выпуске в мелководье или в верхнюю треть глубины:

(47)

где: q - расход сточных вод выпуска, м3/с;

тхэта - скорость ветра над водой в месте выпуска сточных вод, м/с;

H_ср - средняя глубина водоема вблизи выпуска, м. Значение H_ср определяется в зависимости от средней глубины водоема H_0 следующим образом: при H_0 = (3 4) м на участке протяженностью 100 м; при H_0 = (5 6) м на участке протяженностью 150 м; при H_0 = (7 8) м на участке протяженностью 200 м; при H_0 = (9 10) м на участке протяженностью 250 м;

- при выпуске в нижнюю треть глубины:

(48)

Кратность основного разбавления вычисляется следующим образом:

- при выпуске в мелководье или в верхнюю треть глубины:

(49)

где: l - расстояние от места выпуска до контрольного створа, м;

(50)

- при выпуске в нижнюю треть глубины:

(51)
   
(52)

41. Если не выполняются условия применимости метода М.А. Руффеля, то расчет кратности начального разбавления n_н выполняется согласно п. 27. Расчет кратности основного разбавления может быть выполнен численным методом А.В. Караушева.

При наличии в водоеме устойчивых течений расчет кратности основного разбавления может быть проведен с использованием аналитического решения уравнения турбулентной диффузии для сосредоточенного выпуска сточных вод:

(53)
   
(54)
   
(55)
   
(56)
   
(57)
   
(58)
   
(59)

где: x* - параметр сопряжения участка двухмерной диффузии с участком трехмерной диффузии, м;

x_0 - параметр сопряжения начального участка разбавления с основным участком;

гамма_0 - параметр, учитывающий влияние ближайшего берега на кратность основного разбавления;

u_м - характерная минимальная скорость течения в водоеме в месте сброса, соответствующая неблагоприятной гидрологической ситуации, м/с;

l_0 - расстояние выпуска от ближайшего берега, м;

l_н - длина начального участка разбавления, рассчитываемая по формуле (13), м;

D - коэффициент турбулентной диффузии, м2/с, определяемый по формулам (20), (23), в которых вместо средней скорости течения, глубины и коэффициента шероховатости ложа реки принимаются, соответственно, характерная минимальная скорость течения в водоеме u_м, средняя глубина водоема вблизи выпуска H_ср и коэффициент шероховатости ложа водоема в зоне течения.

42. Если ветровые течения в водоеме имеют регулярно попеременное направление либо берега водоемов имеют неспокойную линию, а выпуск осуществляется в заливную или мысовую часть, либо зимой после ледостава отсутствуют ветровые течения, то описанные выше методы неприменимы. В этих случаях необходимо разрабатывать с участием специализированных научно-исследовательских организаций методы расчета, ориентированные на решение конкретных задач.

VI. Расчет величин НДС для совокупности выпусков в водохранилища и озера, расположенных в пределах водохозяйственного участка

43. Совокупность выпусков сточных вод для водоема составляют выпуски, сточные воды которых сбрасываются непосредственно в водоем.

44. Реки, впадающие в водоем, следует рассматривать как береговые выпуски сточных вод. При этом концентрации веществ в устьях рек определяются заранее или описываются уравнением вида (30).

45. НДС для всех выпусков из рассматриваемой совокупности определяются из решения задачи математического программирования. Критерий оптимальности - минимум суммарных приведенных затрат на достижение НДС вида (29):

46. Модель водного объекта:

(60)

где: Y_k - вектор показателей (концентраций веществ), характеризующих качество воды в створе k, г/м3;

Y_ф - вектор фоновых концентраций веществ в водоеме, г/м3;

C_i - вектор максимальных среднечасовых концентраций веществ в сточных водах выпуска i, г/м3;

n_i,k - кратность разбавления сточных вод выпуска i на пути до створа k;

I_k - множество номеров выпусков, оказывающих влияние на качество воды в створе k.

47. Для расчета фоновых концентраций веществ в водоеме принимается, что они формируются в результате поступления нормированных веществ от всех источников и влияния внутриводоемных факторов, одинаковы в любом створе водоема (приближение полного перемешивания) и описываются системой уравнений:

(61)

где: A - матрица, коэффициенты которой отражают процессы трансформации веществ в водоеме;

I - множество номеров всех источников поступления нормированных веществ;

q_i - расход сточных вод выпуска l, м3/с.

48. Матрица коэффициентов трансформации имеет следующую структуру:

(62)
   
(63)
   
(64)

где: а_кси - коэффициенты трансформации веществ в водохранилище, м3/с.

Значениям кси соответствуют следующие показатели:

кси = 0 - Азот общий;

кси = 1 - БПК_полн;

кси = 2 - Азот аммонийный;

кси = 3 - Азот нитритов;

кси = 4 - Азот нитратов;

кси = 5 - Растворенный кислород;

кси = 6, ..., m - остальные показатели;

альфа_0 - коэффициент, характеризующий соотношение между БПК_полн и органическим азотом в воде водоема;

гамма_1 - коэффициент пересчета БПК_полн в БПК_5 в воде водоема;

гамма_2, гамма_3 - соответственно коэффициенты стехиометрической эквивалентности аммонийный азот - кислород и нитритный азот - кислород, гамма_2 = 3,43, гамма_3 = 1,14. Коэффициенты альфа_0 и гамма_1 не являются универсальными и должны оцениваться для каждого конкретного водоема на основе калибрации модели по данным наблюдений.

49. Матрица A_I описывает внутренний круговорот биогенных элементов в водном объекте. Поскольку для водоемов время водообмена, как правило, превышает характерное время обращения биогенных элементов по указанному циклу, то моделируемая в нем группа показателей - БПК_полн, азот аммонийный, азот нитритов и азот нитратов должна рассчитываться только совместно. Изолированный расчет этих показателей или расчет для неполной группы могут привести к значительному занижению расчетных концентраций и, следовательно, к установлению недостаточно жестких НДС.

50. Коэффициенты трансформации вычисляются по формуле:

(65)

где: k_кси - коэффициент неконсервативности (для растворенного кислорода вместо коэффициента неконсервативности используется константа реаэрации), 1/сут.;

W_в - объем заполнения водоема (водохранилища), км3;

k_c - коэффициент приведения размерности в м3/с, k_c = 8,64 x 10(-5);

Q_j - расход водозабора или вытекающей из водоема реки, м3/с;

J - множество номеров мест изъятия воды из водоема, включая водозаборы и вытекающие из водоема реки.

51. При расчете концентрации растворенного кислорода в правую часть соответствующего уравнения системы (61) добавляется член:

где: H_a - растворимость кислорода в 1 м3 воды при расчетной температуре, г/м3.

52. Кратность разбавления n_i,k определяется по формуле (3) как произведение кратности начального разбавления n(i,k)_н и кратности основного разбавления n(i,k)_o. Значения n(i,k)_н определяются по формулам (47), (48) или, если не выполняются условия применимости метода М.А. Руффеля - согласно п. 27. Значения определяются по формулам (53) - (59) или численным методом А.В. Караушева.

53. Модель комплекса водоохранных мероприятий при расчете НДС веществ в водоемы полностью совпадает с описанной ранее моделью (37) - (39) комплекса водоохранных мероприятий для случая расчета НДС веществ в водотоки.

54. В результате решения задачи оптимизации (29), (60), (61), (34) - (39) определяются оптимальные доли расхода сточных вод, проходящие по различным технологическим маршрутам очистки и использования x*_i, i = 1, ..., N. После этого по формулам (41) - (43) определяются величины расходов сбрасываемых сточных вод - q*_i,r, концентрации веществ в сточных водах - C_ПДС и НДС веществ на выпусках сточных вод - НДСi, i = 1, ..., N.

VII. Расчет НДС для отдельных выпусков во внутренние морские воды и территориальное море Российской Федерации

55. Расчет НДС веществ для выпусков сточных вод в море производится в тех случаях, когда допускается отведение сточных вод в морскую среду, при этом величины НДС определяются в соответствии с п. 25 по приведенным ниже формулам.

56. Выпуск, удаленный от других выпусков на расстояние более 5 км вдоль линии берега, может рассматриваться как отдельный (изолированный выпуск).

57. С учетом разбавления сточных вод в морских водах концентрация вещества в сточных водах Сндс определяется по формуле:

где: C_ПДК - предельно допустимая концентрация загрязняющего вещества в морской воде, отвечающая лимитируемому виду водопользования, г/м3;

n - кратность общего разбавления сточных вод в море при их переносе течением от места выпуска до ближайшей границы морских районов водопользования;

C_ф - фоновая концентрация вещества, характеризующая степень загрязнения морской воды данным веществом вне зоны влияния выпуска сточных вод (на расстоянии более 5 км от выпуска), г/м3.

58. Кратность общего разбавления n определяется по формуле (3) и зависит от гидрологических условий района размещения выпуска сточных вод и его конструктивных характеристик. Поэтому при установлении НДС следует учитывать возможность оптимизации конструкции оголовка и места выпуска сточных вод для уменьшения затрат на очистку сточных вод.

59. Известные методики определения кратности начального разбавления позволяют производить расчет ее значения независимо от типа выпуска (сосредоточенный или рассеивающий), так как конструкции выпусков обеспечивают отсутствие взаимного влияния струй сточных вод в зоне начального разбавления.

На процесс перемешивания сточных вод в этой зоне существенное влияние оказывают силы плавучести, если плотность сточных вод существенно отличается от плотности морской воды. По этой причине применяют разные методы расчета кратности начального разбавления в зависимости от величины числа Фруда:

(68)

где: d_0 - диаметр выпускного отверстия, м;

g - ускорение силы тяжести, равное 9,81 м/с;

ро_м - плотность морской воды в месте сброса сточных вод, т/м3;

ро_ст - плотность сточной воды, т/м3;

тхэта_ст - скорость истечения сточной воды из выпускного отверстия, м/с, вычисляемая по расходу сточных вод:

(69)

q - расход сточных вод, м3/с;

N_0 - число выпускных отверстий оголовка выпуска.

60. Если сточная вода легче морской (ро_ст < ро_м) и расчетная величина Fr удовлетворяет условию:

где: H_В - расстояние (по вертикали) от выпуска до поверхности моря, м, то кратность начального разбавления можно определить по формуле Рама-Цедервала:

61. Если сточная вода тяжелее морской (ро_ст > ро_м) и расчетная величина Fr удовлетворяет условию:

где: фи - угол истечения струй сточных вод из выпускного отверстия относительно горизонта, расчет кратности начального разбавления выполняется по методике Н.Н. Лапшева:

(73)

Здесь F - параметр, зависящий от угла фи и определяемый по табл. 1.

Таблица 1

Значение функции F при различных углах наклона фи оголовка выпуска

фи F фи F фи F
1,00 35° 1,17 65° 2,01
10° 1,01 40° 1,23 70° 2,42
15° 1,03 45° 1,31 75° 3,12
20° 1,05 50° 1,42 80° 4,55
25° 1,08 55° 1,55 85° 8,91
30° 1,12 60° 1,74    

62. Если сточная вода легче морской, но не выполняется условие (70), или сточная вода тяжелее морской, но не выполняется условие (72), или же плотность сточной воды равна плотности морской воды в месте сброса, расчет кратности начального разбавления выполняется методом Н.Н. Лапшева:

где: тхэта_м - характерная минимальная скорость течения морских вод в месте сброса, м/с;

f - параметр, учитывающий стеснение струи сточных вод при их сбросе на мелководье.

Параметр f определяется следующим способом. Вычисляется сначала диаметр струи сточных вод d в конце зоны начального разбавления по формуле:

(75)

Если значение d не превышает глубины моря в месте сброса H, то f = 1, в противном случае:

63. При наличии устойчивой стратификации морской среды по плотности для расчета кратности начального разбавления могут использоваться модели, описывающие поведение струи в стратифицированной среде.

64. В любом случае, если расчетная кратность начального разбавления n_н окажется меньше 1, то для дальнейших вычислений следует принять n_н = 1.

65. Расчеты кратности основного разбавления основаны на решении уравнения турбулентной диффузии и могут выполняться численным или аналитическим методами.

Численный метод решения уравнения турбулентной диффузии подробно рассмотрен в книге под редакцией А.Б. Караушева (п. 29). Расчет кратности основного разбавления может также быть проведен с использованием аналитического решения уравнения турбулентной диффузии для сосредоточенного выпуска сточных вод в море.

(77)
   
(78)
   
(79)
   
(80)
   
(81)
   
(82)
   
(83)

где: l - расстояние от выпуска до ближайшей границы района водопользования (контрольного створа), м;

U_м - скорость морского течения, соответствующая неблагоприятной гидрологической ситуации, м/с;

x* - параметр сопряжения участка двухмерной диффузии с участком трехмерной диффузии, м;

D_В и D_г - соответственно коэффициенты вертикальной и горизонтальной турбулентной диффузии, м2/с;

H_ср - средняя глубина моря в месте выпуска, м;

l_н - длина начального участка разбавления, м;

гамма_0 - параметр, учитывающий влияние ближайшего берега на кратность основного разбавления;

l_0 - расстояние выпуска от берега, м.

Отличие формул (77) - (83) от аналогичных формул (53) - (59) связано с тем, что для прибрежной зоны моря по сравнению с водоемами характерна анизотропия коэффициентов турбулентной диффузии. При этом коэффициент горизонтальной диффузии, как правило, существенно больше, чем коэффициент вертикальной турбулентной диффузии.

В расчетах кратности основного разбавления при отсутствии данных о коэффициентах диффузии для конкретного района расположения выпуска следует использовать значение коэффициента горизонтальной турбулентной диффузии D_г, определяемое по формуле Л.Д. Пухтяра и Ю.С. Осипова:

(84)

Значение коэффициента вертикальной турбулентной диффузии можно принимать равным D_В = 5 x 10(-4) м2.

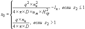
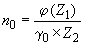
Значение l_н в зависимости от условий п. 60 - 62 определяется как:

Нср   для условий п. 60.  
       
- для условий п. 61. (85)
       
  для условий п. 62  

Формулы (78 - 83) применяются, когда перенос сточных вод течением от места сброса до границы района водопользования происходит вдоль берега.

Для расчета кратности основного разбавления при произвольном направлении течения используются формулы (77 - 83), в которых полагается гамма_0 = 1.

66. В отличие от водотоков и водоемов для прибрежной зоны моря эффект самоочищения эквивалентен дополнительному разбавлению сточных вод. Поэтому при расчете неконсервативного вещества самоочищение учитывается непосредственно в формуле (77) для основного разбавления, в правую часть которой добавляется множитель:

где: К - коэффициент неконсервативности вещества, 1/сут.;

К_с - коэффициент перевода секунд в сутки, К_с = 86400;

x_0 - параметр, определяемый по формуле (84).

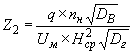
67. В расчетах кратности основного разбавления сточных вод для рассеивающих выпусков необходимо учитывать, что при рассеивающем выпуске соседние струи влияют друг на друга в зоне основного разбавления, ослабляя эффект перемешивания. Согласно исследованиям Н.Н. Лапшева, кратность основного разбавления при сбросе сточных вод через линейный рассеивающий выпуск в море при направлении течения перпендикулярно к оси оголовка выпуска можно вычислить по формуле:

(87)

где: l_В - длина рассеивающего оголовка выпуска, м.

Если значение n_0, полученное из формулы (87), окажется меньше 2, кратность основного разбавления при рассеивающем выпуске сточных вод для определения НДС можно не учитывать, полагая n_0 = 1.

68. Расчет кратности основного разбавления для выпусков сложной конфигурации, например U-образной, либо при направлении течения под произвольным углом к оси оголовка выпуска подробно рассмотрен в рекомендациях по расчету рассеивающих выпусков сточных вод в реки и водоемы.

VIII. Расчет НДС для совокупности выпусков во внутренние морские воды, расположенных в пределах расчетного водохозяйственного участка, и в территориальное море Российской Федерации

69. Совокупностью выпусков сточных вод можно считать выпуски, расположенные на расстоянии не более 5 км друг от друга вдоль береговой линии. С учетом конкретных гидрологических условий, расходов сбрасываемых сточных вод необходимость включения конкретного выпуска в совокупность может уточняться на основе расчетов их совместного влияния на качество воды в контрольных створах.

70. Реки, впадающие в море, следует рассматривать как береговые выпуски сточных вод. При этом концентрации веществ в устьях рек определяются заранее или описываются уравнением вида (30), начальное разбавление n_н принимается равным 1 и длина начального участка разбавления - равной 0.

71. НДС для всех выпусков из рассматриваемой совокупности определяется из решения задачи математического программирования.

72. Если удаления выпусков сточных вод от берега моря существенно отличаются друг от друга в сравнении с расстояниями между ними, то в качестве неблагоприятных гидрологических ситуаций принимаются направления морского течения от одного выпуска к другому (перенос сточных вод осуществляется по кратчайшему расстоянию от одного выпуска к другому). В качестве контрольных створов рассматриваются створы на расстоянии l от места выпуска до границы водопользования в направлении течений (от одного выпуска к другому). Концентрации веществ в контрольном створе определяются по формуле:

(88)

где: Y_к - вектор показателей (концентраций веществ), характеризующих качество воды в контрольном створе k, г/м3;

Y_ф - вектор фоновых концентраций веществ, определяемых вне зоны влияния выпусков сточных вод (на расстоянии 5 км влево и вправо от района совокупности выпусков вдоль береговой линии), г/м3;

C_i - вектор максимальных среднечасовых концентраций веществ в сточных водах выпуска i, г/м3;

n_i,k - кратность разбавления сточных вод при их переносе от выпуска i до створа k, определяется согласно разд. VII;

I_k - множество номеров выпусков, оказывающих влияние на качество воды в створе k.

73. Если удаления выпусков сточных вод от берега моря мало отличаются друг от друга по сравнению с расстояниями между ними, то совокупность выпусков можно рассматривать как ряд выпусков (линейное расположение выпусков), расположенных вдоль береговой линии на среднем расстоянии от берега моря, равном:

(89)

где: l_i - удаление выпуска i от берега моря, м;

N - число выпусков сточных вод.

Для этого случая в качестве наиболее неблагоприятной гидрологической ситуации принимается направление морского течения вдоль берега (справа налево и слева направо вдоль береговой линии). В качестве контрольных створов рассматриваются створы, расположенные слева и справа от выпусков на расстоянии l от места выпуска до ближайшей границы района водопользования (l = 250 м для водоемов рыбохозяйственного водопользования). Контрольные створы, расположенные правее выпусков, обозначим как M_п, где M - номер выпуска. Контрольные створы, расположенные левее выпуска, обозначим как M_л, где M - номер выпуска. Концентрации в контрольных створах с индексами M_п, M_л определяются по формулам:

(90)
   
(91)

где: Y(п)_ф, Y(л)_ф - вектора фоновых концентраций веществ, определяемых вне зоны влияния выпусков сточных вод на расстоянии 5 км левее первого выпуска сточных вод и на расстоянии 5 км правее выпуска N сточных вод, соответственно (нумерация выпусков слева направо), г/м3;

n_i,M_п - кратность разбавления сточных вод при их переносе от выпуска i до контрольного створа M_п (для выпусков, расположенных правее контрольного створа M_п);

n_i,M_л - кратность разбавления сточных вод при их переносе от выпуска i до контрольного створа M_л (для выпусков, расположенных левее контрольного створа М_л). Значения n_i,M_п и n_i,M_л рассчитываются как кратности разбавления отдельных выпусков согласно разд. VII.

74. Модель комплекса водоохранных мероприятий при расчете НДС веществ в прибрежные зоны морей полностью совпадает с описанной ранее моделью [(37) - (39)] комплекса водоохранных мероприятий для случая расчета НДС веществ в водотоки.

75. В результате решения задачи оптимизации [(29), (88), (36) - (39)] определяются оптимальные доли расхода сточных вод, проходящие по различным технологическим маршрутам очистки и использования x*_ir, i = 1,.....,N. После этого по формулам (41) - (43) определяются расходы обрабатываемых сточных вод - q*_ir, концентрации веществ в сточных водах - Сндсi и НДС веществ на выпусках сточных вод - НДСi, i = 1,.....N.

IX. Расчетные условия

76. Расчетные условия для определения НДС веществ и реализующих их водоохранных мероприятий включают:

гидрографические и морфометрические характеристики рек, расчетные гидрологические, гидравлические и гидрохимические характеристики речного стока в контрольных и расчетных (фоновых, устьевых и т.п.) створах, характеристики самоочищения рек бассейна;

расчетные количественные и качественные характеристики основных составных речного стока, формирующихся на участках между смежными по течению створами: подземного питания (стока) рек, поверхностного стока с промышленно-селитебных (застроенных), сельскохозяйственных (пахотных) и естественных (непахотных) территорий водосбора;

заданные или расчетные значения характеристик водозаборов, расходов и состава сбрасываемых сточных вод, сработки водохранилищ, перебросок стока, откачки подземных вод и т.п.;

характеристики размещения пунктов водопользования и других хозяйственных воздействий на сток по гидрографической сети, требования водопользователей к качеству воды.

77. Основные требования при выборе расчетных условий:

расчетные условия должны назначаться исходя из требований водопользователей к состоянию рек (расходам, качеству воды и их режиму) в контрольных створах или на участках между ними;

расчетные характеристики речного стока, его составляющих и влияющей на реки хозяйственной деятельности ввиду асинхронности их изменений должны рассматриваться совмещение во времени и по условиям водности года;

расчетные значения речного стока, его составляющих и влияния хозяйственной деятельности должны быть сбалансированы по течению реки, что достигается при максимальной детализации их рассмотрения;

расчетное качество воды в фоновых и контрольных створах должно определяться для условий достижимых на наилучших существующих технологиях очистки сточных вод характеристик сбрасываемых сточных вод, чтобы исключить неоптимальное использование ассимилирующей способности рек из-за отсутствия или неудовлетворительной работы водоохранных сооружений;

лимитирующие расчетные условия рек должны соответствовать совмещенным во времени значениям их количественных и качественных характеристик с учетом влияния хозяйственной деятельности, формирующим лимитирующие величины ассимилирующей способности рек по отдельным нормированным веществам или их группам на участках между контрольными створами; допускается при надлежащем обосновании определять лимитирующие расчетные условия рек бассейна по результатам расчетов для наиболее неблагоприятных сезонов (зимнего, летнего и, в ряде случаев, осеннего) маловодного года с учетом рассмотрения, при необходимости, лет более высокой расчетной водности;

расчетные условия для проектирования водоохранного сооружения должны соответствовать наиболее неблагоприятным значениям прогнозных характеристик реки, принимающей сточные воды, за период эксплуатации данного сооружения.

78. Для стандартизации процедуры выбора расчетных условий, формирующих лимитирующие величины ассимилирующей способности рек бассейна, необходимо применять следующее определение отдельных характеристик рек и хозяйственных факторов:

а) расходы забираемой воды и сбрасываемых сточных вод - максимальные часовые по лимитирующим сезонам года за период действия разрабатываемых НДС веществ;

б) составы сбрасываемых сточных вод - соответствующие достижимым на наилучших существующих технологиях очистки сточных вод;

в) расходы воды рек на незарегулированных (необводняемых) участках - расчетные среднемесячные года 95%-й обеспеченности с учетом влияния хозяйственной деятельности (допускается при надлежащем обосновании ограничиваться рассмотрением расчетных минимальных среднемесячных расходов по лимитирующим сезонам года 95%-й обеспеченности);

г) расходы воды рек на зарегулированных (обводняемых) участках - равные установленным гарантированным попускам (переброскам) воды с учетом влияния хозяйственной деятельности (не ниже расчетных минимальных среднемесячных расходов по лимитирующим сезонам года 95%-й обеспеченности);

д) фоновое качество воды рек - расчетное для условий принятых расчетных расходов воды по лимитирующим сезонам года, соответствующих им расчетных характеристик подземного и поверхностного стока, водозаборов, гидротехнических мероприятий, а также расходов и составов сточных вод, достижимых на наилучших существующих технологиях очистки сточных вод;

е) расстояния до створов - по фарватеру в километрах;

ж) скорости течения, морфометрические характеристики, коэффициенты смешения и неконсервативности - осредненные для участков рек между смежными по течению створами при принятых расчетных расходах воды по лимитирующим сезонам года; при отсутствии данных о значениях коэффициентов неконсервативности для рассматриваемых рек, их значения могут быть приняты по справочной литературе;

з) величины поверхностного стока - соответствующие расчетным приращениям поверхностной составляющей стока рек на участках между смежными по течению створами при принятых расчетных расходах воды по лимитирующим сезонам года;

и) величины (количество) атмосферных осадков - наблюденные месячные на участках водосборов между смежными створами гидропостов, совмещенные во времени с наблюденными среднемесячными расходами рек, близкими к принятым расчетным по лимитирующим сезонам года;

к) величины поверхностного стока с застроенных территорий - расчетные с учетом их площадей, принятых величин осадков и коэффициентов стока;

л) величины поверхностного стока с сельскохозяйственных (пахотных) и естественных (непахотных) территорий - соответствующие приращениям поверхностной составляющей стока рек (за вычетом расходов поверхностного стока с застроенных территорий) на участках между смежными по течению створами с учетом соотношений коэффициентов стока с данных типов территорий и их площадей;

м) составы поверхностного дождевого стока с застроенных территорий - расчетные в стоке дождевых вод при значениях периода однократного превышения расчетной интенсивности дождя в пределах от 0,05 до 0,1 года;

н) составы поверхностного дождевого стока с сельскохозяйственных и естественных территорий - расчетные по сезонам года в жидком и твердом стоке максимальных дождевых паводков 25%-й обеспеченности;

о) величины подземного стока - соответствующие расчетным приращениям подземной составляющей стока рек на участках между смежными по течению створами при принятых расчетных расходах воды по лимитирующим сезонам года;

п) величины дренажного стока - расчетные максимальные среднемесячные по лимитирующим сезонам года 95%-й обеспеченности;

р) концентрации веществ в дренажных водах - максимальные среднемесячные по лимитирующим сезонам года при расчетных величинах дренажного стока.

79. Выбор расчетных условий для водоемов производится аналогично применяемым для рек с учетом специфики водоемов.

К специфичным условиям относятся:

а) объемы и уровни воды в водоеме - расчетные минимальные среднемесячные по лимитирующим сезонам года 95%-й обеспеченности;

б) величины поверхностного и подземного стока с водосбора - соответствующие расчетным модулям составляющих стока рек, впадающих в водоем, или рек-аналогов при минимальных среднемесячных расходах воды по лимитирующим сезонам года 95%-й обеспеченности;

в) скорость водообмена водоема - расчетная для условий лет 95%-й обеспеченности;

г) частоты и скорости ветров вдоль берегового и нормального к берегу направлений, характеристики подледного течения воды;

д) время добегания до контрольного створа - расчетное по кратчайшему расстоянию при максимальной скорости переноса водных масс (с учетом влияния ветра);

е) ассимилирующая способность водоема - расчетная при максимальной стратификации водных масс, минимальных коэффициентах смешения и коэффициентах неконсервативности веществ по лимитирующим сезонам года 95%-й обеспеченности.

80. В качестве расчетных условий для прибрежных вод морей принимают:

а) гидрологические и гидрохимические данные водного объекта для наименее благоприятного периода;

б) санитарные показатели состава и свойств воды в период ее наиболее интенсивного использования;

в) фоновую концентрацию нормированного вещества, определяемую вне зоны влияния выпуска (на расстоянии более 5 км от выпуска) как среднеарифметическое значение концентрации нормированного вещества для наименее благоприятного периода;

г) характерную минимальную скорость морского течения, соответствующую среднемесячной 95%-й обеспеченности.

Приложение 1
К Методике разработки нормативов
допустимых сбросов веществ
и микроорганизмов в водные
объекты для водопользователей

                                                           Образец
 
      Нормативы допустимых сбросов веществ и микроорганизмов
          в водные объекты, представляемые на утверждение
                           (с оборотом)
 
    Согласовано                    Утверждаю
Федеральная служба                 Федеральное агентство
по гидрометеорологии               водных ресурсов
и мониторингу окружающей среды
_______________________________    _______________________________
      (должностное лицо)                  (должностное лицо)
М.П. "__" ____ 200_ г. ________    М.П. "__" ____ 200_ г. ________
                      (подпись)                          (подпись)
 
Федеральная служба по надзору
в сфере защиты прав потребителей
и благополучия человека
_______________________________
      (должностное лицо)       
М.П. "__" ____ 200_ г. ________
                      (подпись)
 
Государственный комитет
Российской Федерации 
по рыболовству
_______________________________
      (должностное лицо)       
М.П. "__" ____ 200_ г. ________
                      (подпись)
 
Федеральная служба 
по экологическому,
технологическому 
и атомному надзору
_______________________________
      (должностное лицо)       
М.П. "__" ____ 200_ г. ________
                      (подпись)
 
 
                  Норматив(ы) допустимого сброса
 
   в ___________________________________________________________
     (наименование водного объекта и водохозяйственного участка)
 
Рег. N ___________________________________________________________
1. Реквизиты водопользователя:
Адрес: ___________________________________________________________
ИНН: _____________________________________________________________
Ф.И.О.    и    телефон    должностного    лица,  ответственного за
водопользование, его должность ___________________________________
2. Цели использования водного объекта ____________________________
3.  Место  сброса  сточных  и  (или) дренажных вод (географические
координаты) ______________________________________________________
4. Категория сточных вод _________________________________________
5. Утвержденный расход сточных вод для установления НДС ___ м3/час
6.    Утвержденный    норматив    допустимого    сброса  веществ и
микроорганизмов.
6.1.  Утвержденный  норматив  допустимого  сброса веществ в водный
объект (сброс веществ, не указанных ниже, запрещен).
Наименование выпуска:
 
N п/п
 Наименование 
веществ
 Класс опасности 
 Допустимая концентрация 
мг/дм3
  1 
      2 
        3 
           4 
 
 
 
 
 
                    Утвержденный норматив 
допустимого сброса веществ
   январь 
   февраль 
   март 
   апрель 
    май 
г/ч
т/мес.
г/ч
т/мес.
г/ч
т/мес.
г/ч 
т/мес.
г/ч
т/мес.
  5 
  6 
  7 
  8 
  9 
  10 
 11 
  12 
 13 
  14 
 
 
 
 
 
 
 
 
 
 
 
                    Утвержденный норматив 
допустимого сброса веществ
    июнь 
    июль 
   август 
  сентябрь 
  октябрь 
г/ч 
т/мес.
г/ч 
т/мес.
г/ч 
т/мес.
г/ч 
т/мес.
г/ч 
т/мес.
 15 
  16 
 17 
  18 
 19 
  20 
 21 
  22 
 23 
  24 
 
 
 
 
 
 
 
 
 
 
 
         Утвержденный норматив 
допустимого сброса веществ
    Утвержденный 
норматив
допустимого
сброса веществ <*>
   октябрь 
    ноябрь 
   декабрь 
г/ч 
т/мес. 
г/ч 
т/мес. 
г/ч 
т/мес. 
        т/год 
  23 
  24 
  25 
  26 
  27 
  28 
         29 
 
 
 
 
 
 
 
 

    <*> Перерасчет в т/год производится суммированием т/мес.
 
6.2.  Утвержденный  норматив  допустимого сброса микроорганизмов в
водный объект.
Наименование выпуска:
 
 N 
п/п
Показатели по видам 
микроорганизмов
 Допустимое 
содержание
(КОЕ/100 мл,
БОЕ/100 мл)
Утвержденный допустимый 
норматив сброса
микроорганизмов
        ед./час 
 1 
          2 
      3 
           4 
 
7. Утвержденные свойства сточных вод:
                                            не допускаются
 1) плавающие примеси (вещества) ---------------------------------
 2) окраска ___________________  3) запахи, привкусы _____________
                                                     6,5 - 8,5
 4) температура (°C) __________  5) реакция (pH) -----------------
                                                           4 - 6 
                 не более 1000                             мг/дм3
 6) коли-индекс ---------------  7) растворенный кислород --------
 8) ХПК _______________________  9) БПК      _____________________
                                       полн.
 10) минерализация _______________________________________________
 
8. Наименование и адрес организации, разработавшей проект НДС ____
9.  Информация  о  водном объекте, об образовании, очистке сточных
вод и расчет НДС (приложение):
    гидрологическая   и   гидрохимическая   характеристика водного
объекта   на   участке   существующего  или проектируемого выпуска
сточных вод;
    данные  о  технологических  процессах,  в  результате  которых
образуются сточные воды;
    данные о составе очистных сооружений;
    данные об эффективности очистки;
    данные  о  соответствии  работы  очистных сооружений проектным
характеристикам;
    данные  о  расходе  сточных  вод  и  фактической  концентрации
загрязняющих веществ в сточных водах на момент разработки НДС;
    данные  о  качестве  воды в контрольном створе водного объекта
после сброса сточных вод;
    данные  о величинах фоновых концентраций, принятых для расчета
НДС, их обоснование;
    расчет НДС.
 
Руководитель организации ___________   ___________________________
   (водопользователь)     (подпись)             (Ф.И.О.)
                                       М.П.  "__" ________ 200_ г.
НДС утвержден "__" ______ 200_ г. на срок до "__" ________ 200_ г.
 
 
 

Приложение 2
К Методике разработки нормативов
допустимых сбросов веществ
и микроорганизмов в водные
объекты для водопользователей

                                                           Образец
 
            Фактический сброс веществ и микроорганизмов
  в ____________________________________________________________
    (наименование водного объекта и водохозяйственного участка)
                           (с оборотом)
 
Рег. N ___________________________________________________________
1. Реквизиты водопользователя:
Адрес: ___________________________________________________________
ИНН: _____________________________________________________________
Ф.И.О.    и    телефон    должностного    лица,  ответственного за
водопользование, его должность ___________________________________
2. Цели использования водного объекта ____________________________
3.  Место  сброса  сточных  и  (или) дренажных вод (географические
координаты) ______________________________________________________
4. Категория сточных вод _________________________________________
5. Фактический расход сточных вод ______ тыс. м3/год ______ м3/час
6.  Фактический  сброс  веществ и микроорганизмов (за предыдущие 5
лет).
6.1. Фактический сброс веществ в водный объект.
Наименование выпуска:
 
 N 
п/п
 Наименование 
веществ
 Класс опасности 
 Фактическая концентрация 
мг/дм3
 1 
      2 
        3 
           4 
 
 
 
 
 
                   Фактический сброс веществ 
   январь 
   февраль 
   март 
   апрель 
    май 
г/ч
т/мес.
г/ч
т/мес.
г/ч
т/мес.
г/ч 
т/мес.
г/ч
т/мес.
  5 
  6 
  7 
  8 
  9 
  10 
 11 
  12 
 13 
  14 
 
 
 
 
 
 
 
 
 
 
 
                   Фактический сброс веществ
    июнь 
    июль 
   август 
  сентябрь 
  октябрь 
г/ч 
т/мес.
г/ч 
т/мес.
г/ч 
т/мес.
г/ч 
т/мес.
г/ч 
т/мес.
 15 
  16 
 17 
  18 
 19 
  20 
 21 
  22 
 23 
  24 
 
 
 
 
 
 
 
 
 
 
 
          Фактический сброс веществ
 Фактический сброс 
веществ
   октябрь 
    ноябрь 
   декабрь 
г/ч 
т/мес. 
г/ч 
т/мес. 
г/ч 
т/мес. 
        т/год 
  23 
  24 
  25 
  26 
  27 
  28 
         29 
 
 
 
 
 
 
 
 
6.2. Фактический сброс микроорганизмов в водный объект.
Наименование выпуска:
 
 N 
п/п
 Показатели по видам 
микроорганизмов
 Фактическое 
содержание
(КОЕ/100 мл,
БОЕ/100 мл)
Фактический сброс 
микроорганизмов
     ед./час 
 1 
         2 
      3 
        4 
                       2007 год 
 
 
 
 
                       2006 год 
 
 
 
 
                        i год 
 
7. Наименование и адрес организации, разработавшей проект НДС ____
__________________________________________________________________
 
Руководитель организации ____________    _________________________
   (водопользователь)     (подпись)               Ф.И.О.
 
                                      М.П. "__" _______ 200_ г.
 
 
 

Приложение 3
к Методике разработки нормативов
допустимых сбросов веществ
и микроорганизмов в водные
объекты для водопользователей

Критерии эффективности обеззараживания сточных вод, отводимых в водные объекты

N N Показатели Допустимые остаточные уровни
сточные воды, отводимые в водные объекты
1 Общие колиформные бактерии (КОЕ/100 мл), не более 100
2 Колифаги (БОЕ/100 мл по фагу M2), не более 100
3 Термотолерантные колиформные бактерии (КОЕ/100 мл), не более 100
4 Фекальные стрептококки (КОЕ/100 мл), не более 10
5 Патогенные микроорганизмы отс.
8 Специфические вещества, образующиеся в результате обеззараживания Регламентируются в соответствии с требованиями санитарных норм и правил

Допустимые изменения состава воды в водоемах и водотоках после выпуска в них очищенных сточных вод

Показатели Цели водопользования
хозяйственно- питьевые нужды населения коммунально- бытовые нужды населения нужды рыбного хозяйства
высшая и первая категории вторая категория
1 2 3 4 5
Возбудители заболеваний Вода не должна содержать возбудителей заболеваний, в том числе жизнеспособные яйца гельминтов (аскарид, власоглав, токсокар, фасциол), онкосферы тенниид и жизнеспособные цисты патогенных кишечных простейших
Лактоположительные кишечные палочки (ЛПК) не более 10000 в 1 куб. дм 5000 в 1 куб. дм - -
Колифаги (в бляшкообразующих единицах) 100 в 1 куб. дм 100 в 1 куб. дм - -
Токсичность воды     Сточная вода на выпуске в водный объект не должна оказывать острого токсического действия на тест-объекты. Вода водного объекта в контрольном створе не должна оказывать хронического токсического действия на тест-объекты
Примечание. Прочерк означает, что показатель не нормирован.

Интенсивность загрязнения сточных вод по микробиологическим показателям (ориентировочные данные)

N N Вид сточных вод Микробиологические показатели
общие колиформные бактерии КОЕ/100 мл колифаги БОЕ/100 мл вирусы БОЕ/100 мл сальмонеллы КОЕ/л туберкулезная палочка
1 Хозяйственно-бытовые сточные воды 10(6) - 10(8) 10(3) - 10(4) до 10(3) 10(2) - 10(6) +
2 Городские сточные воды (соотношение х/бытовых и пром. сточных вод 60:40) 10(5) - 10(7) 10(3) - 10(4) до 10(3) 10(3) - 10(4) +
3 Сточные воды животноводческих комплексов 10(8) - 10(9) 10(7) 10(7) 10(5) -
4 Стоки инфекционных больниц 10(3) - 10(5) - + + +
5 Шахтные и карьерные воды 10(4) - 10(5) - до 100 - -
6 Дренажные воды 10(4) - 10(6) - - - -
7 Поверхностно-ливневые сточные воды 10(5) - 10(8) 100 - 3000 - - -