Приказ Росавиации от 21.08.2014 N 505

"Об утверждении Порядка определения нормативных затрат на оказание государственных услуг и нормативных затрат на содержание имущества в федеральных государственных образовательных организациях высшего образования, в отношении которых функции и полномочия учредителя осуществляет Федеральное агентство воздушного транспорта"
Редакция от 21.08.2014 — Действует с 01.02.2015

Зарегистрировано в Минюсте России 10 сентября 2013 г. N 34026


ФЕДЕРАЛЬНОЕ АГЕНТСТВО ВОЗДУШНОГО ТРАНСПОРТА

ПРИКАЗ
от 21 августа 2014 г. N 505

ОБ УТВЕРЖДЕНИИ ПОРЯДКА ОПРЕДЕЛЕНИЯ НОРМАТИВНЫХ ЗАТРАТ НА ОКАЗАНИЕ ГОСУДАРСТВЕННЫХ УСЛУГ И НОРМАТИВНЫХ ЗАТРАТ НА СОДЕРЖАНИЕ ИМУЩЕСТВА В ФЕДЕРАЛЬНЫХ ГОСУДАРСТВЕННЫХ ОБРАЗОВАТЕЛЬНЫХ ОРГАНИЗАЦИЯХ ВЫСШЕГО ОБРАЗОВАНИЯ, В ОТНОШЕНИИ КОТОРЫХ ФУНКЦИИ И ПОЛНОМОЧИЯ УЧРЕДИТЕЛЯ ОСУЩЕСТВЛЯЕТ ФЕДЕРАЛЬНОЕ АГЕНТСТВО ВОЗДУШНОГО ТРАНСПОРТА

В целях реализации пункта 2 постановления Правительства Российской Федерации от 3 июня 2013 г. N 467 "О мерах по осуществлению перехода к нормативно - подушевому финансированию имеющих государственную аккредитацию образовательных программ высшего профессионального образования" (Собрание законодательства Российской Федерации, 2013, N 23, ст. 2924) приказываю:

1. Утвердить прилагаемый Порядок определения нормативных затрат на оказание государственных услуг и нормативных затрат на содержание имущества в федеральных государственных образовательных организациях высшего образования, в отношении которых функции и полномочия учредителя осуществляет Федеральное агентство воздушного транспорта.

2. Признать утратившим силу приказы Росавиации:

от 30 декабря 2010 г. N 589 "Об утверждении порядка определения нормативных затрат на оказание государственных услуг и нормативных затрат на содержание имущества федеральных государственных учреждений, находящихся в ведении Федерального агентства воздушного транспорта и оказывающих государственные образовательные услуги" (зарегистрирован Минюстом России 15 марта 2011 г., регистрационный N 20118);

от 5 марта 2012 г. N 79 "О внесении изменений в порядок определения нормативных затрат на оказание государственных услуг и нормативных затрат на содержание имущества федеральных государственных учреждений, находящихся в ведении Федерального агентства воздушного транспорта и оказывающих государственные образовательные услуги, утвержденный приказом Федерального агентства воздушного транспорта от 30 декабря 2010 г. N 589" (зарегистрирован Минюстом России 30 марта 2012 г., регистрационный N 23670).

3. Контроль за исполнением настоящего приказа возложить на заместителя руководителя Федерального агентства воздушного транспорта К.А. Махова.

Руководитель
А.В. НЕРАДЬКО

Приложение

УТВЕРЖДЕН
приказом Федерального агентства
воздушного транспорта
от 21.08.2014 N 505

ПОРЯДОК
ОПРЕДЕЛЕНИЯ НОРМАТИВНЫХ ЗАТРАТ НА ОКАЗАНИЕ ГОСУДАРСТВЕННЫХ УСЛУГ И НОРМАТИВНЫХ ЗАТРАТ НА СОДЕРЖАНИЕ ИМУЩЕСТВА В ФЕДЕРАЛЬНЫХ ГОСУДАРСТВЕННЫХ ОБРАЗОВАТЕЛЬНЫХ ОРГАНИЗАЦИЯХ ВЫСШЕГО ОБРАЗОВАНИЯ, В ОТНОШЕНИИ КОТОРЫХ ФУНКЦИИ И ПОЛНОМОЧИЯ УЧРЕДИТЕЛЯ ОСУЩЕСТВЛЯЕТ ФЕДЕРАЛЬНОЕ АГЕНТСТВО ВОЗДУШНОГО ТРАНСПОРТА

I. Общие положения

1. Настоящий Порядок определения нормативных затрат на оказание государственных услуг и нормативных затрат на содержание имущества в федеральных государственных образовательных организациях высшего образования, в отношении которых функции и полномочия учредителя осуществляет Федеральное агентство воздушного транспорта (далее соответственно - Порядок, Организация), разработан в соответствии с постановлением Правительства Российской Федерации от 2 сентября 2010 г. N 671 "О порядке формирования государственного задания в отношении федеральных государственных учреждений и финансового обеспечения выполнения государственного задания" (Собрание законодательства Российской Федерации, 2010, N 37, ст. 4686; 2011, N 35, ст. 5087; 2012, N 45, ст. 6248; 2013, N 23, ст. 2924; 2014, N 10, ст. 1041, N 23, ст. 2997), а также с учетом методики определения нормативных затрат на оказание государственных услуг по реализации имеющих государственную аккредитацию образовательных программ высшего образования по специальностям и направлениям подготовки, утвержденной приказом Министерства образования и науки Российской Федерации от 2 августа 2013 г. N 638 (зарегистрирован Минюстом России 16 сентября 2013 г., регистрационный N 29967) (далее - Методика).

2. Порядок устанавливает методику расчета нормативных затрат на оказание Организацией в соответствии с ведомственным перечнем государственных услуг (работ), оказываемых (выполняемых) Организациями в качестве основных видов деятельности, следующих государственных услуг (далее - государственные услуги):

реализация основных профессиональных образовательных программ высшего образования - программ бакалавриата;

реализация основных профессиональных образовательных программ высшего образования - программ специалитета;

реализация основных профессиональных образовательных программ высшего образования - программ магистратуры;

реализация основных профессиональных образовательных программ высшего образования - программ подготовки научно-педагогических кадров в аспирантуре;

реализация основных профессиональных образовательных программ среднего профессионального образования - программ подготовки специалистов среднего звена.

3. Объем финансового обеспечения выполнения государственного задания, определяемый на основе нормативных затрат на оказание государственных услуг нормативных затрат на содержание имущества Организаций, не может превышать объем бюджетных ассигнований, предусмотренных на указанные цели сводной бюджетной росписью федерального бюджета и бюджетной росписью Федерального агентства воздушного транспорта на соответствующий финансовый год и плановый период.

4. Федеральное агентство воздушного транспорта ежегодно не позднее пятнадцати дней со дня официального опубликования федерального закона о федеральном бюджете на очередной финансовый год и плановый период направляет в Минобрнауки России предложения о значениях корректирующих коэффициентов, разработанных в отношении Организаций с учетом объема бюджетных ассигнований, предусмотренных федеральным бюджетом на указанные цели, указанных в пункте 21 настоящего Порядка.

II. Определение нормативных затрат на оказание государственных услуг по программам высшего образования в отношении контингента, принятого на обучение на первый курс до 1 сентября 2015 года и среднего профессионального образования

5. Для определения нормативных затрат могут использоваться следующие методы:

нормативный;

структурный;

экспертный.

6. В случае наличия утвержденных нормативов затрат, выраженных в натуральных показателях, в том числе нормативов питания, оснащения мягким инвентарем, норм потребления расходных материалов, нормативов затрат рабочего времени, объемов снижения потребления энергетических ресурсов в соответствии с требованиями энергетической эффективности или иных натуральных параметров оказания государственной услуги указанные нормативы затрат, выраженные в натуральных показателях, используются при определении нормативных затрат.

В случае отсутствия утвержденных натуральных нормативов затрат Росавиацией в целях определения нормативных затрат могут быть установлены нормативы затрат, выраженные в натуральных показателях.

7. При применении структурного метода нормативные затраты в отношении соответствующей группы затрат определяются пропорционально выбранному основанию (например, затратам на оплату труда и начисления на выплаты по оплате труда персонала, участвующего непосредственно в оказании государственной услуги; численности персонала, непосредственного участвующего в оказании государственной услуги; площади помещения, используемого для оказания государственной услуги, и др.).

8. При применении экспертного метода нормативные затраты в отношении соответствующей группы затрат определяются на основании экспертной оценки (например, оценки доли группы затрат (например, трудозатраты) в общем объеме затрат, необходимых для оказания государственной услуги, и др.).

9. Объем субсидии на выполнение государственного задания Организации в соответствующем финансовому году определяется по следующей формуле:

- объем субсидии на выполнение государственного задания Организации в соответствующем финансовом году;

- нормативные затраты на оказание i-той государственной услуги в соответствующем финансовом году;

k - объем (количество единиц) оказания i-той государственной услуги в соответствующем финансовом году;

- нормативные затраты на содержание имущества в соответствующем финансовом году.

10. Нормативные затраты на оказание государственной услуги по реализации основных профессиональных образовательных программ высшего образования и среднего профессионального образования на соответствующий финансовый год t определяются по следующей формуле:

- величина нормативных затрат, необходимых для оказания государственной услуги в финансовом году t;

- величина нормативных затрат на оплату труда и начисления на выплаты по оплате труда, определенных на финансовый год t;

- величина нормативных затрат на приобретение материальных запасов, определенных на финансовый год t;

- величина нормативных затрат на организацию производственной практики обучающихся, определенных на финансовый год t;

- величина норматива общехозяйственных затрат, определенных на финансовый год t.

11. Величина нормативных затрат для указанных групп затрат определяется исходя из расчетного норматива затрат на единицу объема оказания государственной услуги, умноженного на объем оказания государственной услуги, планируемый на соответствующий финансовый год.

Показатель, характеризующий объем оказания государственной услуги, определяется как контингент обучающихся, приведенный к очной форме обучения. При расчете указанного показателя используются следующие корректирующие коэффициенты:

для очной формы обучения - 1,0;

для очно-заочной формы обучения - 0,25;

для заочной формы обучения - 0,1.

При необходимости по ряду специальностей (в том числе 160503 "Летная эксплуатация воздушных судов", 160505 "Аэронавигационное обслуживание и использование воздушного пространства") производится дополнительная корректировка приведенного (к очной форме обучения) контингента обучающихся в соответствии с повышающими поправочными коэффициентами, значения которых определяются учредителем с учетом степени сложности профильных предметов и требуемого более высокого уровня материально-технического обеспечения (учебно-лабораторная и производственная база, необходимая для проведения летной практики и тренажерной подготовки).

12. Нормативные затраты на оплату труда и начислений на выплаты по оплате труда определяются в соответствии с постановлением Правительства Российской Федерации от 5 августа 2008 г. N 583 "О введении новых систем оплаты труда работников федеральных бюджетных, автономных и казенных учреждений и федеральных государственных органов, а также гражданского персонала воинских частей, учреждений и подразделений федеральных органов исполнительной власти, в которых законом предусмотрена военная и приравненная к ней служба, оплата труда которых в настоящее время осуществляется на основе Единой тарифной сетки по оплате труда работников федеральных государственных учреждений" (Собрание законодательства Российской Федерации, 2008, N 33, ст. 3852; N 40, ст. 4544; 2010, N 52 (ч. I), ст. 7104; 2012, N 21, ст. 2652; N 40, ст. 5456; 2013, N 5, ст. 396; 2014, N 4, ст. 373).

В составе затрат на оплату труда и начислений на выплаты по оплате труда учитываются затраты на оплату труда профессорско-преподавательского состава, а также летно-инструкторского, инженерно-технического и другого составов, участвующих в подготовке обучающихся по группе специальностей 160000 "Авиационная и ракетно-космическая техника".

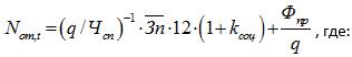
Нормативные затраты на оплату труда и начислений на выплаты по оплате труда на текущий финансовый год (период t), , в общем случае рассчитываются по государственной услуге в соответствии со следующей формулой:

- нормативное количество студентов приведенного (к очной форме обучения) контингента, приходящихся на одного преподавателя, устанавливаемое на основе анализа численности профессорско-преподавательского состава и контрольных цифр приема абитуриентов по каждой специальности за период, соответствующий сроку обучения по соответствующей специальности, на уровне, не превышающем лицензированного объема подготовки;

- средняя месячная заработная плата в расчете на одного преподавателя на текущий финансовый год;

- норматив отчислений на государственное социальное страхование, определяемый действующим законодательством;

- планируемые на текущий финансовый год, не относящиеся к заработной плате дополнительные выплаты и компенсации, обусловленные условиями трудовых отношений, статусом работников, относящихся к профессорско-преподавательскому составу, в соответствии с законодательством Российской Федерации.

Нормативные затраты на оплату труда и начислений на выплаты по оплате труда на очередной финансовый год (период t + 1), , рассчитываются по следующей формуле:

- доля затрат Организации по заработной плате профессорско-преподавательского состава и начислений на выплаты по оплате труда профессорско-преподавательского состава в совокупных затратах на оплату труда профессорско-преподавательского состава по результатам расчетов на текущий финансовый год (период t);

- доля затрат Организации на прочие выплаты профессорско-преподавательскому составу в совокупных затратах на оплату труда профессорско-преподавательского состава по результатам расчетов на текущий финансовый год (период t);

- значение индекса потребительских цен, установленного в процентах, на очередной финансовый год (в среднем за год к предыдущему году) по уточненному прогнозу Минэкономразвития России, действующему на момент проведения расчетов;

- значение индекса изменения реальной заработной платы, установленного в процентах, на очередной финансовый год по уточненному прогнозу Минэкономразвития России, действующему на момент проведения расчетов.

13. Норматив затрат на приобретение материальных запасов, потребляемых в процессе оказания государственной услуги, определяется с учетом величины расходов Организации по формированию материально-технической базы учебного процесса, включающих следующие расходы:

расходы на приобретение материалов на техническое обслуживание и ремонт авиационной техники, специальных тренажеров, используемых при проведении учебных практик и лабораторных работ;

расходы на формирование библиотечного фонда, приобретение в учебных целях книгоиздательской продукции и периодических изданий, канцелярских принадлежностей, студенческих билетов, зачетных книжек, читательских билетов, медицинских средств, спецоборудования и материалов для проведения научно-исследовательских и опытно-конструкторских работ.

В общем случае норматив затрат на приобретение материальных запасов определяется по каждой номенклатуре предметов (материалов), планируемых к приобретению на основе установленных нормативов обеспечения одного учащегося соответствующим материальным ресурсом с учетом динамики изменения цены за единицу материального ресурса.

14. При отсутствии нормативных требований к затратам на приобретение материальных запасов размер нормативных затрат по данной группе расходов определяется в рамках экспертного метода в следующем порядке:

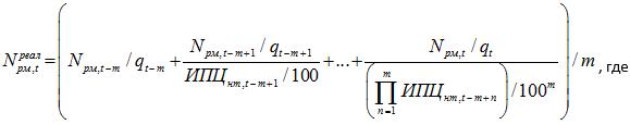
а) расчет нормативных затрат на приобретение материальных запасов текущего периода в ценах базисного периода (в реальном выражении) по соответствующей государственной услуге - :

- размеры затрат Организации на приобретение материальных запасов, отраженных по кодам экономической классификации "Увеличение стоимости материальных запасов" и "Увеличение стоимости основных средств", в части приобретения книг и иных печатных изданий для библиотечного фонда по данным отчетов об исполнении бюджета за отчетные периоды t-m... t-1 и бюджетной сметы на период t.

- контингент обучающихся, приведенный к очной форме обучения, по отчетным данным за периоды t-m... t-1 и планируемый приведенный контингент, учитываемый при проектировании бюджетной сметы на текущий финансовый год;

- значение индекса потребительских цен по товарной группе "непродовольственные товары", установленного в процентах, в (t-m+1)-м году;

б) расчет нормативных затрат на приобретение материальных запасов текущего периода в номинальном выражении - :

- значение индекса потребительских цен по товарной группе "непродовольственные товары", установленного в процентах, на текущий финансовый год (в среднем за год к предыдущему году) по прогнозу Минэкономразвития России, действующему на момент проведения расчетов;

в) расчет нормативных затрат на приобретение материальных запасов на очередной финансовый год (в номинальном выражении) - :

15. Нормативные затраты на организацию производственной практики студентов (обучающихся) очной формы обучения формируются исходя из требований по финансированию расходов организаций, предоставивших места практики в соответствии с заключенным договором, с учетом размера расходов по оплате суточных за каждый день служебной командировки руководителей производственной практики и за каждый день практики обучающегося, включая время нахождения в пути, средней стоимости проезда к месту прохождения практики, количества учащихся, направляемых на прохождение практики, нормативного срока практического обучения, устанавливаемого государственным образовательным стандартом.

16. Нормативные затраты на общехозяйственные нужды включают в себя:

нормативные затраты на оплату труда и начислений на выплаты по оплате труда для учебно-вспомогательного, инженерно-технического, административно-управленческого и обслуживающего персонала;

нормативные затраты на коммунальные услуги;

нормативные затраты на приобретение услуг связи;

нормативные затраты на приобретение транспортных услуг;

нормативные затраты на содержание недвижимого имущества;

нормативные затраты на содержание особо ценного движимого имущества;

прочие нормативные затраты, влияющие на стоимость оказания государственной услуги.

16.1. Нормативные затраты на оплату труда и начислений на выплаты по оплате труда для учебно-вспомогательного, инженерно-технического, административно-управленческого и обслуживающего персонала на текущий период рассчитываются исходя из сложившегося в рассматриваемой сфере деятельности среднего соотношения затрат на оплату труда и начислений на выплаты по оплате труда для указанных категорий работников и затрат на оплату труда и начислений на выплаты по оплате труда профессорско-преподавательского состава.

Указанный показатель рассчитывается на базе ретроспективного анализа динамики изменения затрат на оплату труда и начислений на выплаты по оплате труда для учебно-вспомогательного, инженерно-технического, административно-управленческого и обслуживающего персонала относительно изменения затрат на оплату труда и начислений на выплаты по оплате труда профессорско-преподавательского состава для группы Организаций, на которых распространяется данный Порядок.

Нормативные затраты на оплату труда и начислений на выплаты по оплате труда для учебно-вспомогательного, инженерно-технического, административно-управленческого и обслуживающего персонала на текущий период рассчитываются по следующей формуле:

- показатель, характеризующий среднее соотношение затрат на оплату труда и начислений на выплаты по оплате труда для учебно-вспомогательного, инженерно-технического, административно-управленческого и обслуживающего персонала и затрат на оплату труда и начислений на выплаты по оплате труда профессорско-преподавательского состава, для j-й Организации, рассчитанный по отчетным данным за ряд периодов (по которым доступна необходимая отчетно-статистическая информация или возможна экспертно-аналитическая оценка);

- нормативные затраты на оплату труда и начислений на выплаты по оплате труда текущего периода, рассчитанные в соответствии с пунктом 12 настоящего Порядка.

На следующие периоды нормативы затрат на оплату труда и начислений на выплаты по оплате труда для учебно-вспомогательного, инженерно-технического, административно-управленческого и обслуживающего персонала определяются на базе расчетного с учетом прогнозного индекса потребительских цен и индекса роста реальной заработной платы на соответствующий период и коэффициента эластичности данного вида затрат по объемам услуг, отражающего более низкую степень корреляции с объемными показателями затрат на оплату труда и начислений на выплаты по оплате труда для учебно-вспомогательного, инженерно-технического, административно-управленческого и обслуживающего персонала по сравнению с затратами на оплату труда и начислений на выплаты по оплате труда профессорско-преподавательского состава. Коэффициент эластичности устанавливается равным 0,5.

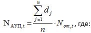
Таким образом, нормативные затраты на оплату труда и начислений на выплаты по оплате труда для учебно-вспомогательного, инженерно-технического, административно-управленческого и обслуживающего персонала на очередной финансовый год () рассчитываются по следующей формуле:

16.2. Нормативные затраты на коммунальные услуги включают в себя:

нормативные затраты на холодное водоснабжение и водоотведение;

нормативные затраты на горячее водоснабжение;

нормативные затраты на отопление;

нормативные затраты на электроснабжение.

Нормативные затраты на коммунальные услуги рассчитываются с учетом степени корреляции указанной группы расходов с показателями объемов оказания государственной услуги (приведенным контингентом обучающихся). Таким образом, данные нормативные затраты в реальном выражении будут корректироваться в зависимости от динамики изменения контингента обучающихся с использованием коэффициента эластичности. Указанный коэффициент рассчитывается как отношение темпов роста затрат на коммунальные услуги в реальном выражении к темпам роста объемов оказания услуги и определяется на базе ретроспективного сравнительного анализа динамики изменения затрат на коммунальные услуги и динамики изменения количества обучающихся.

Норматив затрат на коммунальные услуги на текущий период () рассчитывается по следующей формуле:

где:

- объемы финансирования затрат на холодное водоснабжение и водоотведение, горячее водоснабжение, электроснабжение, отопление, относимых на соответствующую государственную услугу, по отчетным данным Организации за период t-1;

- величины корректировок соответствующих фактических затрат Организации (являющихся базой для проектирования данных затрат на текущий финансовый год), производимых с учетом ожидаемых изменений площади помещений Организации, количества объектов движимого имущества, действующих в регионе санитарно-эпидемиологических и строительных норм, определяющих стандарты отопления и освещения помещений, уровень водопотребления на одного человека, а также с учетом требований обеспечения энергоэффективности и энергоснабжения;

- ожидаемый на текущий финансовый год приведенный контингент обучающихся;

- значение индекса изменения цен на услуги жилищно-коммунального хозяйства, установленного в процентах, по прогнозу Минэкономразвития России на текущий финансовый год, действующему на момент проведения расчетов;

- корректирующий коэффициент, отражающий отклонение динамики тарифов на услуги по холодному водоснабжению и водоотведению, устанавливаемых в соответствующих муниципальных образованиях, от индекса изменения цен на услуги жилищно-коммунального хозяйства, рассчитываемого для внутреннего рынка по всему комплексу жилищно-коммунальных услуг;

- значение индекса изменения цен на электроэнергию (регулируемых тарифов и рыночных цен) для всех категорий потребителей, исключая население, установленного в процентах (среднегодовой), по прогнозу Минэкономразвития России на текущий финансовый год, действующему на момент проведения расчетов;

- корректирующий коэффициент, отражающий отклонение динамики цен (тарифов) на электроэнергию, устанавливаемых в соответствующих муниципальных образованиях, от индекса изменения цен на электроэнергию, рассчитываемого для внутреннего рынка в целом;

- значение индекса изменения цен на тепловую энергию, выраженного в процентах (среднегодовой), по прогнозу Минэкономразвития России на текущий финансовый год, действующему на момент проведения расчетов;

- корректирующий коэффициент, отражающий отклонение динамики цен (тарифов) на тепловую энергию, устанавливаемых в соответствующих муниципальных образованиях, от индекса изменения цен на тепловую энергию, рассчитываемого для внутреннего рынка в целом;

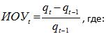
- индекс изменения объемов оказания соответствующей государственной услуги, рассчитываемый по формуле:

- объем оказания государственной услуги (контингент обучающихся, приведенный к очной форме обучения), прогнозируемый на текущий период;

- объем оказания соответствующей государственной услуги по данным отчета за предшествующий период t-1.

- коэффициент эластичности затрат на коммунальные услуги по объему услуг; на первый период расчета нормативов затрат в соответствии с данным Порядком определяется экспертно и устанавливается равным 0,75.

Нормативные затраты на коммунальные услуги на очередной финансовый год () рассчитываются по следующей формуле:

где:

- доля затрат на горячее и холодное водоснабжение и водоотведение в общем объеме затрат Организации на коммунальные услуги, определенная на текущий период;

- доля затрат на электроэнергию в общем объеме затрат Организации на коммунальные услуги, определенная на текущий период;

- доля затрат на тепловую энергию в общем объеме затрат Организации на коммунальные услуги, определенная на текущий период.

16.3. В затраты на приобретение услуг связи включаются затраты на оплату услуг предоставления доступа к телефонной сети, предоставления междугородних и международных соединений, местного телефонного соединения, затраты по оплате почтовых отправлений, услуг сотовой связи, услуг каналов передачи данных, подключения и использования глобальной информационной сети Интернет.

16.4. В затраты на приобретение транспортных услуг включаются затраты по оплате договоров по предоставлению транспортных услуг, оказываемых сторонними организациями, затраты по оплате проезда в служебные командировки и командировки на курсы повышения квалификации (за исключением затрат по оплате проезда руководителей производственной практики к месту проведения практики, учитываемых в составе затрат на организацию производственной практики обучающихся), затраты по обеспечению работников Организации проездными документами в служебных целях на все виды общественного транспорта, затраты, связанные с компенсационными выплатами за использование личного транспорта.

16.5. В прочие затраты на общехозяйственные нужды, влияющие на стоимость оказания государственной услуги, включаются затраты на приобретение производственной технологической и нормативно-методической документации, учебно-методической литературы, затраты на изготовление бланков документации, отчетности, расписания, командировочные расходы в части оплаты суточных (за исключением расходов по оплате суточных за каждый день служебной командировки руководителей производственной практики, учитываемых в составе затрат на организацию производственной практики обучающихся) и другие затраты общехозяйственного характера.

Нормативные затраты по указанным видам на текущий период ( соответственно) определяются по следующей формуле:

- сумма затрат Организации на приобретение услуг связи, транспортных услуг и прочих затрат на общехозяйственные нужды по отчетным данным за период t-1;

- сумма затрат Организации на оплату труда и начислений на выплаты по оплате труда профессорско-преподавательского состава, а также учебно-вспомогательного, инженерно-технического, административно-управленческого и обслуживающего персонала по отчетным данным за период t-1;

- нормативные затраты на оплату труда и начислений на выплаты по оплате труда профессорско-преподавательского состава и учебно-вспомогательного, инженерно-технического, административно-управленческого, обслуживающего персонала, рассчитанные на текущий период в соответствии с настоящим Порядком.

На очередной финансовый год нормативные затраты по указанным видам ( соответственно) определяются по следующей формуле:

- сумма затрат Организации на приобретение услуг связи, транспортных услуг и прочих затрат на общехозяйственные нужды, рассчитанная на текущий период с учетом нормативов по данным видам затрат и прогнозируемых объемов оказания соответствующей государственной услуги на текущий период;

- сумма затрат Организации на оплату труда и начислений на выплаты по оплате труда профессорско-преподавательского состава и учебно-вспомогательного, инженерно-технического, административно-управленческого, обслуживающего персонала, рассчитанная на текущий период с учетом нормативов по данным видам затрат и прогнозируемых объемов оказания соответствующей государственной услуги на текущий период;

- нормативные затраты на оплату труда и начислений на выплаты по оплате труда профессорско-преподавательского состава и учебно-вспомогательного, инженерно-технического, административно-управленческого, обслуживающего персонала, рассчитанные на очередной финансовый год в соответствии с настоящим Порядком.

16.6. В затраты на содержание недвижимого имущества включаются затраты на содержание в чистоте помещений, зданий, дворов, иного имущества Организации в соответствии с утвержденными санитарными правилами и нормами, затраты на эксплуатацию системы охранной сигнализации и противопожарной безопасности, затраты на аренду недвижимого имущества, затраты на текущий ремонт объектов недвижимого имущества, иные затраты на содержание недвижимого имущества.

16.7. В затраты на содержание особо ценного движимого имущества включаются затраты на техническое обслуживание и текущий ремонт объектов особо ценного движимого имущества, затраты на приобретение расходных материалов на содержание объектов особо ценного движимого имущества, затраты на обязательное страхование гражданской ответственности владельцев транспортных средств, иные затраты на содержание особо ценного движимого имущества.

16.8. Величина нормативных затрат на содержание недвижимого имущества и особо ценного движимого имущества на текущий финансовый год () определяется по следующей формуле:

где:

- величина затрат Организации на содержание недвижимого имущества и особо ценного движимого имущества по данным отчета об исполнении бюджета за предшествующий финансовый год (период t-1);

- величина затрат Организации на аренду производственных помещений, используемых при оказании государственной услуги, по данным отчета об исполнении бюджета за предшествующий финансовый год (период t-1);

- значение индекса цен производителей промышленной продукции для внутреннего рынка (без учета топлива и энергетики), установленного в процентах, по прогнозу Минэкономразвития России на текущий финансовый год, действующему на момент проведения расчетов;

- среднемесячная ставка арендной платы за 1 кв. м арендуемых зданий, помещений, сооружений Организации, используемых при оказании государственной услуги, планируемая на текущий финансовый год;

- общая площадь арендуемых в текущем финансовом году зданий, помещений, сооружений.

В аналогичном порядке рассчитывается величина нормативных затрат на содержание недвижимого имущества и особо ценного движимого имущества на финансовый год t+1.

17. В случае если Организация оказывает несколько государственных услуг, распределение затрат на общехозяйственные нужды по отдельным государственным услугам осуществляется пропорционально фонду оплаты труда основного персонала, непосредственно участвующего в оказании государственной услуги.

III. Определение нормативных затрат на оказание государственных услуг по программам высшего образования в отношении контингента, принятого на обучение на первый курс, начиная с 1 сентября 2015 года

18. Нормативные затраты на оказание государственной услуги по реализации имеющих государственную аккредитацию образовательных программ высшего образования по специальностям и направлениям подготовки, в отношении контингента, принимаемого на обучение на первый курс в очередном году, начиная с 1 сентября 2015 года, на весь период обучения, включают в себя нормативные затраты, непосредственно связанные с оказанием государственной услуги, и нормативные затраты на общехозяйственные нужды.

18.1. В составе нормативных затрат, непосредственно связанных с оказанием государственной услуги, учитываются следующие составляющие нормативных затрат:

18.1.1. Затраты на оплату труда и начисления на выплаты по оплате труда профессорско-преподавательского состава <1>, включая страховые взносы в Пенсионный фонд Российской Федерации, Фонд социального страхования Российской Федерации и Фонд обязательного медицинского страхования Российской Федерации, а также на обязательное социальное страхование от несчастных случаев на производстве и профессиональных заболеваний;

<1> С учетом натуральных нормативов (при наличии).

18.1.2. Затраты на приобретение материальных запасов, потребляемых в процессе оказания соответствующей государственной услуги;

18.1.3. Затраты на приобретение учебной литературы, периодических изданий, издательских и полиграфических услуг, непосредственно связанных с оказанием соответствующей государственной услуги;

18.1.4. Затраты на приобретение транспортных услуг, в том числе расходы на проезд профессорско-преподавательского состава до места прохождения повышения квалификации и обратно, расходы на проезд до места прохождения практики и обратно для обучающихся, проходящих практику и сопровождающих преподавателей;

18.1.5. Затраты на организацию учебной и производственной практики, в том числе затраты на проживание и оплату суточных для обучающихся, проходящих практику и сопровождающих преподавателей, за исключением затрат на приобретение транспортных услуг, указанных в пункте 18.1.4 настоящего Порядка с учетом затрат на проведение медицинского осмотра;

18.1.6. Затраты на повышение квалификации профессорско-преподавательского состава, включая затраты на суточные и расходы на проживание профессорско-преподавательского состава на время повышения квалификации, за исключением затрат на приобретение транспортных услуг, указанных в пункте 18.1.4 настоящего Порядка.

18.2. В составе нормативных затрат на общехозяйственные нужды учитываются следующие составляющие нормативных затрат:

18.2.1. Затраты на коммунальные услуги, включающие затраты на холодное и горячее водоснабжение и водоотведение, теплоснабжение, электроснабжение, газоснабжение и котельно-печное топливо, рассчитанные с учетом пункта 21 Методических рекомендаций по расчету нормативных затрат на оказание федеральными государственными учреждениями государственных услуг и нормативных затрат на содержание имущества федеральных государственных учреждений, утвержденных приказом Министерства финансов Российской Федерации и Министерства экономического развития Российской Федерации от 29 октября 2010 г. N 137н/527 (в государственной регистрации не нуждается, письмо Минюста России от 11 марта 2011 г. N 01/13655-ДК);

18.2.2. Затраты на содержание объектов недвижимого и особо ценного движимого имущества <1>, эксплуатируемого в процессе оказания государственной услуги, закрепленного за Организацией или приобретенных им за счет средств, выделенных учредителем на приобретение такого имущества, в том числе затраты на проведение текущего ремонта и мероприятий по обеспечению санитарно-эпидемиологических требований, противопожарной безопасности, охранной сигнализации;

<1> С учетом натуральных нормативов (при наличии).

18.2.3. Затраты на приобретение услуг связи, в том числе затраты на местную, междугороднюю и международную телефонную связь, интернет;

18.2.4. Затраты на приобретение транспортных услуг, если в соответствии с настоящим Порядком указанные затраты не включаются в состав затрат, непосредственно связанных с оказанием государственной услуги;

18.2.5. Затраты на оплату труда и начисления на выплаты по оплате труда работников Организации, которые не принимают непосредственного участия в оказании государственной услуги (административно-хозяйственного, учебно-вспомогательного персонала и иных работников, осуществляющих вспомогательные функции), включая страховые взносы в Пенсионный фонд Российской Федерации, Фонд социального страхования Российской Федерации и Фонд обязательного медицинского страхования Российской Федерации, а также на обязательное социальное страхование от несчастных случаев на производстве и профессиональных заболеваний;

18.2.6. Затраты на организацию культурно-массовой, физкультурной, спортивной и оздоровительной работы со студентами;

18.2.7. Затраты на приобретение основных средств стоимостью до трех тысяч рублей включительно за единицу.

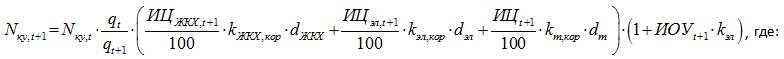
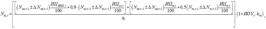
19. Нормативные затраты на оказание единицы i-той государственной услуги в очередном финансовом году в отношении контингента, принятого на обучение в q-том году по z-той специальности, направлению подготовки s-той стоимостной группы по y-той форме обучения, определяются по формуле:

- объем затрат по j-той составляющей нормативных затрат на оказание i-той государственной услуги в очередном финансовом году по z-той специальности, направлению подготовки s-той стоимостной группы по y-той форме обучения в отношении контингента, принятого на первый курс обучения в q-том году.

20. Нормативные затраты на оказание i-той государственной услуги, рассчитанные на очередной финансовый год в отношении контингента, принятого на первый курс обучения в q-том году по z-той специальности или направлению подготовки s-той стоимостной группы по y-той форме обучения (), включают в себя составляющие нормативных затрат, указанных в пункте 18 настоящего Порядка.

21. Объем затрат по j-той составляющей нормативных затрат Организации на оказание i-той государственной услуги в очередном финансовом году по z-той специальности, направлению подготовки s-той стоимостной группы по y-той форме обучения в отношении контингента, принятого на первый курс обучения в q-том году, определяется по формуле:

- размер j-той составляющей базовых нормативных затрат на оказание i-той государственной услуги для специальностей и направлений подготовки s-той стоимостной группы, установленных в отношении контингента, принятого на первый курс обучения в q-том году;

- корректирующий коэффициент для j-той составляющей базовых нормативных затрат на оказание i-той государственной услуги по z-той специальности или направлению подготовки, установленный в отношении контингента, принятого на первый курс обучения в q-том году, учитывающий специфику образовательных программ по отдельным специальностям и направлениям подготовки, в том числе требования абзаца девятого подпункта "а" пункта 1 Указа Президента Российской Федерации от 7 мая 2012 года N 599 "О мерах по реализации государственной политики в области образования и науки";

- произведение корректирующих коэффициентов для j-той составляющей базовых нормативных затрат по l объективным характеристикам групп Организаций, установленных на очередной финансовый год (применяется в отношении Организации, деятельность которой обусловлена наличием объективных характеристик, утверждаемых в установленном порядке Минобрнауки России);

- корректирующий коэффициент для j-той составляющей базовых нормативных затрат, отражающий корректировку затрат для y-той формы обучения, установленный в отношении контингента, принятого на первый курс обучения в q-том году (применяется в отношении услуги, реализуемой в очно-заочной или заочной форме обучения);

- произведение корректирующих коэффициентов для j-той составляющей базовых нормативных затрат по h характеристикам образовательной программы, включая формы реализации образовательных программ (применяется в отношении услуги, реализуемой с использованием сетевой формы), используемые технологии обучения (применяется в отношении услуги, реализуемой с использованием дистанционных образовательных технологий или электронного обучения при указании соответствующих характеристик образовательных программ в государственном задании), установленных в отношении контингента, принятого на первый курс обучения в q-том году;

- коэффициент, отражающий индексацию j-той составляющей базовых нормативных затрат в очередном финансовом году по сравнению с q-тым годом, в соответствии с законодательством Российской Федерации, с учетом коэффициентов индексации и порядка их применения, используемых Министерством финансов Российской Федерации при составлении федерального бюджета и бюджетов государственных внебюджетных фондов на очередной финансовый год и плановый период.

Значения объемов затрат, полученных при расчете по составляющим нормативных затрат, принимаются до одного знака после запятой.

22. Итоговые значения и величина составляющих базовых нормативных затрат, а также значения корректирующих коэффициентов, указанных в пункте 21 настоящего Порядка, определяются в установленном порядке Минобрнауки России.

Определение нормативных затрат на содержание имущества Организаций

23. Нормативные затраты на содержание имущества на очередной финансовый год и плановый период определяются по следующей формуле:

- величина нормативных затрат на содержание имущества в финансовом году t;

- величина нормативных затрат на оплату электрической энергии, учитываемых в размере 10 процентов от общего объема затрат на оплату указанного вида коммунальных платежей, в финансовом году t;

- величина нормативных затрат на оплату тепловой энергии (на отопление и технологические нужды), учитываемых в размере 50 процентов от общего объема затрат на оплату указанного вида коммунальных платежей, в финансовом году t;

- размер расходов на уплату налога на имущество и земельного налога в финансовом году t.

24. Нормативные затраты на оплату электрической энергии на текущий финансовый год () в части затрат на содержание имущества Организации определяются по следующей формуле:

- величина затрат на оплату электрической энергии по отчетным данным Организации за период t-1;

- величина корректировки фактических затрат Организации на оплату электрической энергии за период t-1 с учетом ожидаемых в текущем финансовом году (период t) изменений площади помещений Организации, действующих в регионе стандартов освещения, а также с учетом реализации мер по обеспечению энергоэффективности и энергосбережения;

- значение индекса изменения цен на электроэнергию (регулируемых тарифов и рыночных цен) для всех категорий потребителей, исключая население, установленного в процентах (среднегодовой), по прогнозу Минэкономразвития России на текущий финансовый год, действующему на момент проведения расчетов.

В аналогичном порядке рассчитывается величина нормативных затрат на оплату электрической энергии на финансовый год t+1.

25. Нормативные затраты на оплату тепловой энергии на текущий финансовый год () в части затрат на содержание имущества Организации определяются по следующей формуле:

- величина затрат на оплату тепловой энергии по отчетным данным за период t-1;

- величина корректировки фактических затрат на оплату тепловой энергии за период t-1 с учетом ожидаемых в текущем финансовом году (период t) изменений площади отапливаемых помещений Организации, действующих в регионе стандартов отопления, а также с учетом реализации мер по обеспечению энергоэффективности и энергосбережения;

- значение индекса изменения цен на тепловую энергию, установленного в процентах (среднегодовой), по прогнозу Минэкономразвития России на текущий финансовый год, действующему на момент проведения расчетов.

В аналогичном порядке рассчитывается величина нормативных затрат на оплату тепловой энергии на финансовый год t+1.

26. Размер расходов на уплату налога на имущество и земельного налога определяется в порядке, установленном налоговым законодательством Российской Федерации.

27. В случае сдачи в аренду с согласия учредителя недвижимого имущества или особо ценного движимого имущества, закрепленного за Организацией учредителем или приобретенного Организацией за счет средств, выделенных ей учредителем на приобретение такого имущества, затраты на содержание соответствующего имущества включаются в состав арендной платы и не учитываются при определении нормативных затрат на содержание имущества.

IV. Порядок утверждения нормативных затрат и внесения изменений в утвержденные нормативные затраты

28. Расчет объема нормативных затрат на оказание Организацией государственных услуг и нормативных затрат на содержание имущества Организации на очередной финансовый год и плановый период осуществляется в рамках формирования государственного задания при формировании федерального бюджета на очередной финансовый год и плановый период.

29. Исходные данные и результаты расчетов объема нормативных затрат на оказание Организацией государственных услуг и нормативных затрат на содержание имущества Организации на очередной финансовый год и плановый период отражаются в таблице по форме, приведенной в приложении к настоящему Порядку.

30. Нормативные затраты на оказание Организацией государственных услуг и нормативные затраты на содержание имущества Организации на очередной финансовый год и плановый период утверждаются одновременно с утверждением государственного задания не позднее одного месяца со дня официального опубликования федерального закона о федеральном бюджете на очередной финансовый год и плановый период.

31. Внесение изменений в утвержденные нормативные затраты осуществляется в месячный срок после официального опубликования нормативных правовых актов, предусматривающих внесение изменений в нормативные правовые акты, устанавливающие требования к оказанию государственных услуг, а также в случае изменения объема бюджетных ассигнований, предусмотренных в федеральном законе о федеральном бюджете для финансового обеспечения выполнения государственного задания.

Приложение
к Порядку определения нормативных
затрат на оказание государственных
услуг и нормативных затрат
на содержание имущества в федеральных
государственных образовательных
организациях высшего образования,
в отношении которых функции
и полномочия учредителя осуществляет
Федеральное агентство
воздушного транспорта

Утверждаю
(подпись, ф.и.о. руководителя органа,
осуществляющего функции и полномочия
учредителя Организации)

ИСХОДНЫЕ ДАННЫЕ И РЕЗУЛЬТАТЫ РАСЧЕТОВ ОБЪЕМА НОРМАТИВНЫХ ЗАТРАТ НА ОКАЗАНИЕ ФЕДЕРАЛЬНЫМИ ГОСУДАРСТВЕННЫМИ ОБРАЗОВАТЕЛЬНЫМИ ОРГАНИЗАЦИЯМИ ГОСУДАРСТВЕННЫХ УСЛУГ И НОРМАТИВНЫХ ЗАТРАТ НА СОДЕРЖАНИЕ ИМУЩЕСТВА ФЕДЕРАЛЬНЫХ ГОСУДАРСТВЕННЫХ ОБРАЗОВАТЕЛЬНЫХ ОРГАНИЗАЦИЙ НА ____ ГОД И НА ПЛАНОВЫЙ ПЕРИОД ____ И ____ ГОДОВ

Наименование государственной услуги Нормативные затраты, непосредственно связанные с оказанием государственной услуги, тыс руб. за ед Нормативные затраты на общехозяйственные нужды, тыс. руб. за ед. Итого нормативные затраты на оказание государственной услуги <*>, тыс. руб. за ед. Объем государственной услуги, ед. Затраты на содержание имущества федеральной государственной образовательной организацией, тыс. руб. Сумма финансового обеспечения выполнения государственного задания <**>, тыс. руб
1 2 3 4 5 6 7
Услуга N 1
Услуга N 2
...
Итого отчетный финансовый год
Услуга N 1
Услуга N 2
...
Итого текущий финансовый год
Услуга N 1
Услуга N 2
...
Итого очередной финансовый год
Услуга N 1
Услуга N 2
...
Итого первый год планового периода
Услуга N 1
Услуга N 2
...
Итого второй год планового периода

<*> Определяется путем суммирования нормативных затрат, непосредственно связанных с оказанием государственной услуги (графа 2), и затрат на общехозяйственные нужды (графа 3).

<**> Определяется путем суммирования произведения итогового объема нормативных затрат на оказание государственной услуги (графа 4) на объем государственной услуги (графа 5) с затратами на содержание имущества федерального государственного учреждения (графа 6).