Приказ Росстата от 23.10.2014 N 626

"Об утверждении статистического инструментария для организации Минспортом России федерального статистического наблюдения за деятельностью учреждений по физической культуре и спорту"
Редакция от 23.10.2014 — Документ утратил силу, см. «Приказ Росстата от 08.12.2014 N 687»

ФЕДЕРАЛЬНАЯ СЛУЖБА ГОСУДАРСТВЕННОЙ СТАТИСТИКИ

ПРИКАЗ
от 23 октября 2014 г. N 626

ОБ УТВЕРЖДЕНИИ СТАТИСТИЧЕСКОГО ИНСТРУМЕНТАРИЯ ДЛЯ ОРГАНИЗАЦИИ МИНСПОРТОМ РОССИИ ФЕДЕРАЛЬНОГО СТАТИСТИЧЕСКОГО НАБЛЮДЕНИЯ ЗА ДЕЯТЕЛЬНОСТЬЮ УЧРЕЖДЕНИЙ ПО ФИЗИЧЕСКОЙ КУЛЬТУРЕ И СПОРТУ

В соответствии с подпунктом 5.5 Положения о Федеральной службе государственной статистики, утвержденного постановлением Правительства Российской Федерации от 2 июня 2008 г. N 420, и во исполнение Федерального плана статистических работ, утвержденного распоряжением Правительства Российской Федерации 6 мая 2008 г. N 671-р, приказываю:

1. Утвердить представленную Министерством спорта Российской Федерации прилагаемую форму федерального статистического наблюдения N 1-ФК "Сведения о физической культуре и спорте" с указаниями по ее заполнению, сбор и обработка данных по которой осуществляются в системе Минспорта России, и ввести ее в действие с отчета по состоянию на 31 декабря 2014 года.

2. Установить предоставление данных по указанной в пункте 1 настоящего приказа форме федерального статистического наблюдения по адресам и в сроки, установленные в форме.

3. С введением указанного в пункте 1 настоящего приказа статистического инструментария признать утратившим силу приложение N 1 "Форма федерального статистического наблюдения N 1-ФК "Сведения о физической культуре и спорте", утвержденное приказом Росстата от 23 октября 2012 г. N 562.

Руководитель
А.Е. СУРИНОВ

ФЕДЕРАЛЬНОЕ СТАТИСТИЧЕСКОЕ НАБЛЮДЕНИЕ
 
КОНФИДЕНЦИАЛЬНОСТЬ ГАРАНТИРУЕТСЯ ПОЛУЧАТЕЛЕМ ИНФОРМАЦИИ
 
Нарушение порядка представления статистической информации, а равно представление недостоверной статистической информации влечет ответственность, установленную статьей 13.19 Кодекса Российской Федерации об административных правонарушениях от 30.12.2001 N 195-ФЗ, а также статьей 3 Закона Российской Федерации от 13.05.92 N 2761-1 "Об ответственности за нарушение порядка представления государственной статистической отчетности"
 
ВОЗМОЖНО ПРЕДОСТАВЛЕНИЕ В ЭЛЕКТРОННОМ ВИДЕ
 
СВЕДЕНИЯ О ФИЗИЧЕСКОЙ КУЛЬТУРЕ И СПОРТЕ
по состоянию на 31 декабря 20__ г.
Предоставляют: Сроки предоставления   Форма N 1-ФК
юридические лица, включая общественные организации, осуществляющие деятельность по физической культуре и спорту: 15 января после отчетного периода   Приказ Росстата:
Об утверждении формы
от 23.10.2014 N 626
О внесении изменений
(при наличии)
от __________ N ___
от __________ N ___
- районному (городскому) органу управления физической культурой и спортом 25 января после отчетного периода  
районные (городские) органы управления физической культурой и спортом:    
- органу исполнительной власти субъектов Российской Федерации в области физкультуры и спорта    
органы исполнительной власти субъектов Российской Федерации в области физкультуры и спорта: 10 февраля после отчетного периода  
- Минспорту России     Годовая
Наименование отчитывающейся организации ___________________________________
Почтовый адрес __________________________________________________________
Код формы по ОКУД Код
отчитывающейся организации по ОКПО    
1 2 3 4
0609402      

Раздел I. Кадры

Код по ОКЕИ: человек - 792

Штатные работники физической культуры и спорта N строки Всего из общей численности штатных работников (гр. 3): Количество вакансий
специалисты, впервые приступившие к работе в области физической культуры и спорта в отчетном периоде в сельской местности со специальным образованием имеющие ученую степень в возрасте женщины
высшим средним до 30 лет 31 - 60 лет старше 60 лет
1 2 3 4 5 6 7 8 9 10 11 12 13
Всего штатных работников физической культуры и спорта (сумма строк 02 - 13) 01
в том числе: 02
дошкольных образовательных организаций, осуществляющих работу по физической культуре и спорту
общеобразовательных организаций, осуществляющих работу по физической культуре и спорту 03
организаций среднего профессионального образования, осуществляющих работу по физической культуре и спорту 04
организаций высшего образования, осуществляющих работу по физической культуре и спорту 05
организаций дополнительного образования детей, осуществляющих работу по физической культуре и спорту 06
предприятий, организаций и учреждений 07
спортивных сооружений 08
фитнес-клубов 09
по месту жительства 10
аппаратов физкультурно-спортивных организаций всех уровней 11
органов управления физической культурой и спортом всех уровней 12
другие 13
Из общего числа (строка 01) высокопроизводительных рабочих мест 14

Раздел II. Физкультурно-оздоровительная работа

Коды по ОКЕИ: единица - 642;
человек - 792

Учреждения, предприятия, объединения, организации N строки Количество учреждений, предприятий, организаций, всего (ед.) Численность занимающихся физической культурой и спортом (человек) Посещают учебные занятия по физической культуре (человек) Численность учащихся, студентов, отнесенных по состоянию здоровья к спецмедгруппе (человек) из них посещают занятия по физической культуре в спецмедгруппе (человек) из общей численности занимающихся (гр. 4) - на платной основе
Всего из общей численности занимающихся (гр. 4):
в возрасте женщины в сельской местности
до 14 лет 15 - 17 лет 18 - 29 лет 30 - 59 лет 60 - 79 лет 80 и старше
1 2 3 4 5 6 7 8 9 10 11 12 13 14 15 16
Всего учреждений, предприятий, объединений, организаций (сумма строк 16, 17, 19, 21, 23, 24, 26 - 28, 30) 15
в том числе: 16 X X X X X
дошкольные образовательные организации
общеобразовательные организации 17 X X X
из них имеющие спортивные клубы 18 X X X X X X
образовательные организации среднего профессионального образования 19 X X X
из них имеющие спортивные клубы 20 X X X X X X
образовательные организации высшего образования 21 X X
из них имеющие спортивные клубы 22 X X X
организации дополнительного образования детей 23 X X X X X X
предприятия, учреждения, организации 24 X X X X
из них имеющие спортивные клубы 25 X X X
учреждения и организации при спортивных сооружениях 26 X X X
фитнес-клубы 27 X X X
физкультурно-спортивные клубы по месту жительства 28 X X X
из них детские, подростковые клубы 29 X X X X X X
другие учреждения и организации, в том числе адаптивной физической культуры и спорта 30 X X X
Из общего числа (строка 15) - в форме малых предприятий 31 X X X
Из общего числа (строка 15) - в сельской местности 32

Раздел III. Спортивные сооружения

Коды по ОКЕИ: единица - 642;
человек - 792

Наименование спортивного сооружения N строки Количество спортсооружений (ед.) Из общего числа спортивных сооружений (из гр. 3) Единовременная пропускная способность (человек) Загруженность Мощность
Всего в том числе по формам собственности: введены в эксплуатацию в отчетный период в сельской местности Всего из них в сельской местности
федеральной субъектов Российской Федерации муниципальной другой
1 2 3 4 5 6 7 8 9 10 11 12 13
Всего спортивных сооружений (сумма строк 34, 35, 38, 43, 44, 47, 48, 54, 55, 56, 60, 61) 33
в том числе: 34
Стадионы с трибунами на 1500 мест и более
Плоскостные спортивные сооружения - всего 35
- из них футбольные поля 36
Площадь плоскостных спортивных сооружений (м2) 37 X X X
Спортивные залы - всего 38
из них размером:
- (42 x 24 м)
39
- (36 x 18 м), (30 x 18 м) и (30 x 15 м) 40
- (24 x 12 м) и (18 x 9 м) 41
Площадь спортивных залов (м2) 42 X X X
Крытые спортивные объекты с искусственным льдом 43
Манежи - всего 44
из них:
- легкоатлетические
45
- футбольные 46
Велотреки, велодромы 47
Плавательные бассейны - всего 48
из них:
- 50-метровые
49
- 25-метровые 50
- для прыжков в воду 51
Площадь зеркала воды плавательных бассейнов (м2) 52 X X X
Из общего числа бассейнов (строка 48) - крытые 53
Лыжные базы 54
Биатлонные комплексы 55
Сооружения для стрелковых видов спорта - всего (сумма строк 57 - 59) 56
в том числе:
- тиры
57
- стрельбища 58
- стенды 59
Гребные базы и каналы 60
Другие спортивные сооружения - всего 61

Раздел IV. Финансирование физической культуры и спорта

Код по ОКЕИ: тысяча рублей - 384
(с одним десятичным знаком)

Статьи расходов N строки Фактически выделено бюджетных средств Получено из внебюджетных источников Всего израсходовано на развитие физической культуры и спорта Из гр. 8 по разделу 1100 "Физическая культура и спорт" бюджетной классификации Российской Федерации
Всего в том числе
из федерального бюджета из консолидированного бюджета субъекта Российской Федерации:
бюджет субъекта Российской Федерации бюджет муниципального образования
1 2 3 4 5 6 7 8 9
Расходы - всего (сумма строк 63 - 69) 62
в том числе: 63
Проведение спортивных мероприятий
Приобретение спортивного оборудования и инвентаря 64
Капитальный ремонт спортсооружений 65
Инвестиции на реконструкцию и строительство спортивных сооружений 66
Заработная плата работников физической культуры и спорта 67
На содержание спортивных сооружений 68
Другие 69

Справочно:

Поступило средств от предоставления платных услуг от занятий в клубах, секциях, группах физкультурно-оздоровительной направленности (70) ___________ тыс. руб.

Поступило средств от проведения спортивно-зрелищных мероприятий (71) ___________ тыс. руб.

Раздел V. Развитие видов спорта

Код по ОКЕИ: человек - 792

Виды спорта N строки Численность занимающихся (человек) Число штатных тренеров-преподавателей
Всего из них женщины
1 2 3 4 5
Всего видов спорта (сумма строк 73 - 199, 204) 72
в том числе: 73
Авиамодельный спорт
Автомобильный спорт 74
Айкидо 75
Акробатический рок-н-ролл 76
Альпинизм 77
Американский футбол 78
Армспорт 79
Бадминтон 80
Баскетбол 81
Бейсбол 82
Биатлон 83
Бильярдный спорт 84
Бобслей 85
Бодибилдинг 86
Бокс 87
Борьба на поясах 88
Боулинг 89
Велоспорт ВМХ 90
Велоспорт - маунтинбайк 91
Велоспорт - трек 92
Велоспорт - шоссе 93
Вертолетный спорт 94
Водно-моторный спорт 95
Водное поло 96
Воднолыжный спорт 97
Воздухоплавательный спорт 98
Волейбол 99
Восточное боевое единоборство 100
Гандбол 101
Гиревой спорт 102
Го 103
Гольф 104
Горнолыжный спорт 105
Городошный спорт 106
Гребля на байдарках и каноэ 107
Гребной слалом 108
Гребной спорт 109
Дартс 110
Джиу-джитсу 111
Дзюдо 112
Капоэйра 113
Каратэ 114
Керлинг 115
Кендо 116
Кикбоксинг 117
Кинологический спорт 118
Киокусинкай 119
Конный спорт 120
Конькобежный спорт 121
Корфбол 122
Кореш 123
Лапта 124
Легкая атлетика 125
Лыжное двоеборье 126
Лыжные гонки 127
Морское многоборье 128
Мотоциклетный спорт 129
Настольный теннис 130
Парашютный спорт 131
Парусный спорт 132
Пауэрлифтинг 133
Перетягивание каната 134
Плавание 135
Планерный спорт 136
Подводный спорт 137
Полиатлон 138
Практическая стрельба 139
Прыжки в воду 140
Прыжки на батуте 141
Прыжки на лыжах с трамплина 142
Пулевая стрельба 143
Пэйнтбол 144
Радиоспорт 145
Рафтинг 14666
Регби 147
Рукопашный бой 148
Рыболовный спорт 149
Сават 150
Самбо 151
Самолетный спорт 152
Санный спорт 153
Северное многоборье 154
Синхронное плавание 155
Скалолазание 156
Сквош 157
Смешанное боевое единоборство (ММА) 158
Сноуборд 159
Современное пятиборье 160
Софтбол 161
Спорт сверхлегкой авиации 162
Спортивная акробатика 163
Спортивная аэробика 164
Спортивная борьба 165
Спортивная гимнастика 166
Спортивно-прикладное собаководство 167
Спортивное ориентирование 168
Спортивный бридж 169
Спортивный туризм 170
Стендовая стрельба 171
Стрельба из арбалета 172
Стрельба из лука 173
Судомодельный спорт 174
Сумо 175
Тайский бокс 176
Танцевальный спорт 177
Теннис 178
Триатлон 179
Тхэквондо 180
Тяжелая атлетика 181
Универсальный бой 182
Ушу 183
Фехтование 184
Фигурное катание на коньках 185
Фитнес-аэробика 186
Флорбол 187
Фристайл 188
Футбол 189
Хоккей 190
Хоккей на траве 191
Хоккей с мячом 192
Художественная гимнастика 193
Черлидинг 194
Шахматы 195
Шашки 196
Эстетическая гимнастика 197
Прикладные виды спорта 198
Национальные виды спорта - всего (сумма строк 200 - 203) 199
в том числе:
керешу
200
мас-рестлинг 201
хапсагай 202
якутские национальные прыжки 203
Другие виды спорта, признанные в Российской Федерации 204

Раздел VI. Спортивное мастерство

Код по ОКЕИ: человек - 792

Виды спорта N строки Всего
1 2 3
Присвоено званий - всего (сумма строк 206 - 208) 205
в том числе:    
- МС 206
- МСМК и Гроссмейстер России 207
- ЗМС 208
Подготовлено за год спортсменов массовых разрядов 209
из них:    
- КМС 210
- I разряд 211
Присвоено званий - ЗТР 212
Присвоено званий - ЗРФК 213
Присуждены другие государственные почетные звания и награды 214
Присуждены почетные звания и награды субъекта Российской Федерации 215
Должностное лицо, ответственное за предоставление статистической информации (лицо, уполномоченное предоставлять статистическую информацию от имени юридического лица)          
  (должность)   (Ф.И.О.)   (подпись)
             
      E-mail:     "__"___________ 20__ год
  (номер контактного телефона)         (дата составления документа)

Указания по заполнению формы федерального статистического наблюдения

Общие положения

Годовую форму федерального статистического наблюдения N 1-ФК "Сведения о физической культуре и спорте" заполняют юридические лица, включая общественные организации, независимо от их организационно-правовых форм и форм собственности, осуществляющие деятельность по физической культуре и спорту (образовательные организации дошкольного, общего, среднего профессионального, высшего и дополнительного образования детей, дома, дворцы молодежи и школьников, жилищно-коммунальные организации, парки культуры и отдыха, дома и дворцы культуры, предприятия, организации, спортивные сооружения, фитнес-клубы, спортивные клубы, организации и объединения, работающие с инвалидами, пенсионерами, физкультурно-спортивные общества и организации, федерации, ассоциации, союзы по видам спорта, органы исполнительной власти субъектов Российской Федерации в области физической культуры и спорта и другие организации и объединения).

Дома и дворцы культуры, парки культуры и отдыха, дворцы молодежи и школьников, организации и объединения, работающие с инвалидами и пенсионерами, отчитываются только за физкультурно-оздоровительную и спортивную работу, которую они организуют и проводят самостоятельно.

Форма N 1-ФК составляется за прошедший календарный год, по данным на конец года.

В адресной части формы указывается полное наименование отчитывающейся организации в соответствии с учредительными документами, зарегистрированными в установленном порядке, а затем в скобках - краткое наименование.

По строке "Почтовый адрес" указывается наименование субъекта Российской Федерации, юридический адрес с почтовым индексом; если фактический адрес не совпадает с юридическим, то указывается также фактический почтовый адрес.

Юридическое лицо проставляет в кодовой части формы код Общероссийского классификатора предприятий и организаций (ОКПО) на основании Уведомления о присвоении кода ОКПО, направляемого (выдаваемого) организациям территориальными органами Росстата.

Внесение изменений и дополнений в форму не допускается.

Руководитель юридического лица назначает должностных лиц, уполномоченных предоставлять статистическую информацию от имени юридического лица.

Заполненная форма N 1-ФК направляется в Минспорт России до 10 февраля в отпечатанном виде, подписанная руководителем, заверенная печатью соответствующего органа государственного управления физической культурой и спортом субъекта Российской Федерации.

Раздел I. Кадры

Работниками физкультурно-спортивных организаций считаются лица, осуществляющие физкультурно-спортивную, педагогическую и административную работу и имеющие установленную законодательством профессиональную квалификацию.

Раздел I "Кадры". Учитываются штатные работники физической культуры и спорта по предлагаемому перечню раздела.

Лица, занимающие должности по совместительству, в разделе не учитываются. Технические работники не учитываются.

Сведения об образовании заполняются на основании документов об окончании полного курса специального образовательного учреждения.

Строка 01 (графа 3) "Всего штатных работников физической культуры и спорта". Учитывается сумма показателей, указанных в строках 02 - 13.

Строки 02, 03, 04, 05 (графа 3). Учитываются работники, занимающие штатные должности и проводящие физкультурно-оздоровительную работу в образовательных организациях.

Строка 04 (графа 3) "Работники организаций среднего профессионального образования, осуществляющие работу по физической культуре и спорту". Учитываются преподаватели, руководители физического воспитания организаций среднего профессионального образования, в том числе училищ олимпийского резерва (УОР).

Строка 06 (графа 3) "Работники организаций дополнительного образования детей, осуществляющие работу по физической культуре и спорту". Учитываются работники (директор, его заместители, тренеры-преподаватели, инструкторы-методисты и др.) всех типов организаций дополнительного образования детей (ДЮСШ, СДЮШОР, ДООЦ, дворцы молодежи и др.), занимающие штатные должности и проводящие физкультурно-оздоровительную и спортивную работу среди детей.

Строка 07 (графа 3) "Работники физической культуры и спорта предприятий, организаций и учреждений". Учитываются работники, занимающие штатные должности и проводящие физкультурно-оздоровительную и спортивную работу на предприятиях, в организациях в режиме рабочего дня и в нерабочее время.

Строка 08 (графа 3) "Работники физической культуры и спорта спортивных сооружений". Учитываются руководители спортивных сооружений, их заместители, тренеры, инструкторы и другие работники, занимающие штатные должности и проводящие физкультурно-оздоровительную и спортивную работу с населением различных возрастных групп.

Строка 09 (графа 3) "Работники физической культуры и спорта фитнес-клубов". Учитываются руководители фитнес-клубов, их заместители, тренеры, инструкторы и другие работники, занимающие штатные должности и проводящие физкультурно-оздоровительную и спортивную работу с населением различных возрастных групп.

Строка 10 (графа 3) "Работники физической культуры и спорта по месту жительства". Учитываются штатные работники, проводящие физкультурно-оздоровительную и спортивную работу с населением различных возрастных групп по месту жительства, включая общежития.

В строке 11 (графы 3) - "Работники физической культуры и спорта аппаратов физкультурно-спортивных организаций всех уровней" учитываются руководители физкультурно-спортивных обществ и организаций, федераций, ассоциаций, союзов по видам спорта, их заместители и все работники, занимающие штатные должности специалистов физической культуры.

Строка 12 (графа 3) - "Работники физической культуры и спорта органов управления физической культурой и спортом всех уровней" учитываются руководители и работники аппаратов органов управления физической культурой и спортом, занимающие штатные должности специалистов физической культуры. В объединенных государственных структурах всех уровней: министерствах, госкомитетах, комитетах, агентствах, управлениях, отделах по делам молодежи, физической культуре, спорту и туризму и т.д., учитываются только те работники, которые работают в сфере физической культуры, спорта и спортивного туризма.

Строка 13 (графа 3) - "Другие работники физической культуры и спорта" учитываются работники, занимающие штатные должности в сфере физической культуры и спорта, проводящие физкультурно-оздоровительную и спортивную работу, но не указанные в перечне данного раздела.

Строка 14 (графа 3) - учитывается количество высокопроизводительных рабочих мест из строки 01.

К высокопроизводительным рабочим местам относятся рабочие места, среднемесячная заработная плата по которым равна или превышает уровень среднемесячной заработной платы в экономике субъекта Российской Федерации (информация о размере среднемесячной заработной платы имеется в территориальном органе Федеральной службы государственной статистики).

В графе 4 учитываются специалисты, впервые приступившие к работе в сфере физической культуры и спорта в отчетном периоде, в графе 5 штатные работники, работающие в сфере физической культуры и спорта в сельской местности.

В графах 6 и 7 по всем строкам учитывается образовательный ценз штатных работников физической культуры и спорта, указанных в перечне данного раздела. Сумма показателей граф 6 и 7 может быть меньше или равна показателю графы 3 по всем строкам раздела.

В графе 8 из графы 3 выделяют работников, имеющих ученую степень.

В графах 9, 10, 11 по всем строкам раздела учитывается возрастной ценз штатных работников физической культуры и спорта, указанных в перечне данного раздела. Сумма показателей граф 9, 10, 11 должна быть равна показателю графы 3 по всем строкам раздела.

В графе 12 учитываются штатные работники женского пола.

В графе 13 по всем строкам раздела отражается количество имеющихся вакансий.

Раздел II. Физкультурно-оздоровительная работа

В данном разделе учитываются все формы физкультурно-оздоровительной и спортивной работы, проводимой с населением различных возрастных групп (в том числе с инвалидами) в учреждениях, на предприятиях, в объединениях и организациях, указанных в перечне раздела.

К числу систематически занимающихся физической культурой и спортом относятся физические лица, занимающиеся избранным видом спорта или общей физической подготовкой в организованной форме занятий (кроме урочной формы занятий в образовательных учреждениях) не менее 3-х раз или 3-х суммарных часов в неделю.

Учет занимающихся ведется по журналам учета работы секций, групп. Каждый занимающийся учитывается только по одной форме занятий.

В строке 15 (графы 3) учитывается суммарный показатель количества учреждений, предприятий, объединений, организаций, на базе которых осуществляется физкультурно-оздоровительная и спортивная работа.

В строке 15 (графы 4) учитывается показатель численности занимающихся всеми формами (кроме урочной) физкультурно-оздоровительной и спортивной работы в учреждениях и организациях, указанных в перечне раздела. В строке 15 учитывается сумма показателей строк 16, 17, 19, 21, 23, 24, 26 - 28, 30.

Показатель строки 15 (графы 4) должен быть больше или равен показателю строки 72 (графа 3, раздел V).

Из итогового показателя строки 15 (графы 4), в графах 5 - 10 учитываются занимающиеся по предложенным возрастным категориям. Сумма показателей граф 5 - 10 должна быть равна показателю графы 4 по всем строкам раздела.

Из итогового показателя строки 15 (графы 4) в графе 11 выделяются женщины, занимающиеся физической культурой и спортом, в графе 12 - занимающиеся в сельской местности. Итоговый показатель строки 15 (графы 11) должен быть больше или равен итоговому показателю V раздела, строки 72 (графа 4).

В итоговом показателе строки 15 (графы 13) учитываются обучающиеся образовательных организаций, посещающие занятия (уроки) по физической культуре в процессе учебы. В итоговом показателе строки 15 (графы 13) учитывается сумма показателей строк 16, 17, 19, 21 (графа 13).

В итоговом показателе строки 15 (графы 13) учитываются обучающиеся образовательных организаций, отнесенные по состоянию здоровья к специальной медицинской группе. Итоговый показатель строки 15 (графы 14) складывается из суммарного показателя строк 16, 17, 19, 21 (графа 14).

В итоговом показателе строки 15 (графы 15) учитывается количество обучающихся образовательных организаций (из графы 14), которые посещают занятия (уроки) по физической культуре в специальной медицинской группе.

В строках 16, 17, 19, 21 по всем графам учитываются показатели физкультурно-спортивной работы, проводимой образовательными организациями всех типов на собственной или арендуемой спортивной базе. Образовательные организации не отчитываются за работу, проводимую на базах данных учреждений арендаторами. Если на базе образовательного учреждения создан спортивный клуб (коллектив физкультуры) для работников образовательного учреждения, данная работа учитывается в строке 26.

Филиалы образовательных учреждений самостоятельно отчитываются о проводимой физкультурно-спортивной работе.

В строках 18, 20, 22 учитываются физкультурно-оздоровительные или спортивные клубы (школьные и студенческие), организованные при образовательных учреждениях.

Строка 23 "Организации дополнительного образования детей". Учитываются показатели физкультурно-спортивной работы в организациях дополнительного образования всех типов (ДЮСШ, СДЮШОР, ДООЦ, дворцы молодежи, дома творчества и т.д.).

Строка 24 (графа 3) "Предприятия, учреждения, организации" учитывается количество предприятий, учреждений, организаций, проводящих физкультурно-оздоровительную и спортивную работу в режиме рабочего дня и в свободное от работы время на собственных или арендуемых спортивных сооружениях.

Строка 25 (графа 3). Учитываются спортивные клубы (коллективы физкультуры), созданные на предприятиях, при учреждениях и организациях. Показатель строки 25 входит в показатель строки 24.

В строке 26 учитывается физкультурно-спортивная работа, осуществляемая на спортивных сооружениях. Спортивные сооружения не отчитываются за деятельность учреждений, арендующих данное сооружение.

В строке 27 учитывается физкультурно-спортивная работа в фитнес-клубах.

Строка 28 (графа 3) "Физкультурно-спортивные клубы по месту жительства". Учитывается деятельность физкультурно-спортивных и оздоровительных клубов по месту жительства. В строке 29 из строки 28 выделяются детские, подростковые клубы.

Строка 30 (графа 3). Учитываются формы физкультурно-оздоровительной и спортивной работы, проводимой с населением, не вошедшие в перечень данного раздела.

В строке 31 из строки 15 выделяются физкультурно-спортивные организации и центры для занятий спортом, осуществляющие свою деятельность в форме малых предприятий.

Из общего числа показателей строки 15 по всем графам раздела, в строке 32 выделяются показатели работы в сельской местности.

Показатели строки 15 графы 12, строки 32 графы 4, строки 32 графы 12 должны быть равны.

В графе 16 по соответствующим строкам учитываются занимающиеся в группах и секциях физкультурно-оздоровительной и спортивной направленности на платной основе.

Раздел III. Спортивные сооружения

Учету подлежат спортивные сооружения всех форм собственности, независимо от их организационно-правовой формы, предназначенные для учебно-тренировочных занятий и физкультурно-оздоровительных, спортивных мероприятий, как действующие, так и находящиеся на реконструкции и капитальном ремонте, отдельно стоящие или входящие в состав комплексных сооружений, отвечающие правилам соревнований по видам спорта, имеющие паспорта или учетные карточки (плоскостные спортивные сооружения), зарегистрированные в установленном порядке.

Органы государственного управления физической культурой и спортом муниципальных образований, органы исполнительной власти субъектов Российской Федерации в области физической культуры и спорта отчитываются за все спортивные сооружения, находящиеся на территории данного образования.

Плавательные бассейны и ледовые катки, оборудованные на естественных водоемах, не учитываются.

ДЮСШ, СДЮШОР, ШВСМ и другие организации не учитывают арендуемые ими спортивные сооружения.

Спортивные сооружения, не вошедшие в перечень раздела (горнолыжные базы, прыжковые трамплины, санно-бобслейные трассы и др.), учитываются в строке 61 (графы 3), как "Другие спортивные сооружения".

Строки 34 - 61. Учету подлежат спортивные сооружения, отдельно стоящие или входящие в состав комплексных сооружений, по предложенному перечню.

Строка 33. Учитывается сумма показателей строк 34, 35, 38, 43, 44, 47, 48, 54, 55, 56, 60, 61.

Строка 34 (графа 3) "Стадионы с трибунами на 1500 мест и более". Учитываются открытые комплексные сооружения, включающие спортивное ядро с трибунами на 1500 мест и более. В состав спортивного ядра входят: основное игровое футбольное поле, окаймленное беговой дорожкой, и места для занятий легкой атлетикой. Тренировочные (запасные) поля стадиона учитываются в строке 35 - "плоскостные спортивные сооружения".

Строка 35 (графа 3) "Плоскостные спортивные сооружения - всего". Учитываются площадки для игры в волейбол, баскетбол, бадминтон, городки, теннис, ручной мяч, хоккейные площадки (коробки), площадки для физкультурно-оздоровительных занятий для населения, комплексные площадки для подвижных игр, поля для игры в футбол, регби, бейсбол, хоккей на траве, гольф, стрельбы из лука, тренировочные (запасные) футбольные поля стадионов. В строке 36 из строки 35 выделяются футбольные поля.

Строка 37 "Площадь плоскостных спортивных сооружений". Учитывается суммарная площадь имеющихся плоскостных сооружений и стадионов. Площадь отражается в квадратных метрах.

Строка 38 (графа 3) "Спортивные залы - всего". Учету подлежат крытые сооружения, оборудованные для определенного вида занятий или универсального назначения. Показатель строки 38 (графы 3) может быть больше суммарного показателя строк 39 - 41 (графы 3) за счет спортивных залов других размеров. Минимальный размер спортивного зала для учета в строке 38 - 140 квадратных метров, высота не менее 5 метров. Спортивные залы меньшего размера (приспособленные помещения спортивного назначения) учитываются в строке 61 "Другие спортивные сооружения".

Строка 42 "Площадь спортивных залов". Учитывается суммарная площадь спортивных залов (в квадратных метрах), площадь приспособленных залов не учитывается.

Строка 43 (графа 3) "Крытые спортивные объекты с искусственным льдом". Учитываются крытые сооружения, имеющие стандартные ледовые площадки с искусственным льдом.

Строка 44 (графы 3) - "Манежи - всего" учитываются крытые, отдельно стоящие или встроенные сооружения, размеры которых отвечают требованиям учебно-тренировочного процесса и правилам соревнований по видам спорта. В строках 45 и 46 отдельно выделяются манежи легкоатлетические и футбольные. Если манеж используется и для легкой атлетики, и для футбола, то учитывается он по тому названию, которое первым стоит в паспорте спортивного сооружения. Показатель строки 44 (графа 3) может быть больше суммарного показателя строк 45 и 46 (графа 3) за счет манежей, предназначенных для других видов спорта.

В строке 47 учитываются велотреки - открытые или крытые спортивные сооружения, включающие полотно с наклоненными по расчету виражами, и велодромы - крытые сооружения, включающие велотрек и места для зрителей.

Строка 48 (графа 3) "Плавательные бассейны - всего". Учитываются открытые и крытые ванны плавательных бассейнов, размером не менее 10 x 6 метров. Из них, в строке 49 (графы 3), выделяются 50-метровые бассейны, в строке 50 (графы 3) - 25-метровые бассейны, в строке 51 (графы 3) учитываются ванны бассейнов, предназначенные только для прыжков в воду. В строке 53 (графы 3) из общего числа строки 48 (графы 3) учитываются крытые бассейны. Показатель строки 48 может быть равен или больше суммарного показателя строк 49 - 51 за счет бассейнов нестандартных, но не менее чем 10 x 6 метров, размеров. Плавательные бассейны, оборудованные на естественных водоемах, не учитываются.

Строка 52 "Площадь зеркала воды плавательных бассейнов". Учитывается суммарная площадь зеркала воды плавательных бассейнов (в квадратных метрах).

Строка 54 (графа 3) "Лыжные базы". Учитываются комплексные сооружения, включающие лыжехранилища, раздевалки, подсобные помещения и трассы для занятий лыжным спортом и для проведения соревнований. В состав трасс может входить лыжный стадион с участком для старта и финиша не менее 400 м в длину и 100 м в ширину с судейским павильоном, трибунами для зрителей.

Строка 55 (графа 3) "Биатлонные комплексы". Учитываются открытые плоскостные комплексные сооружения, имеющие в своем составе лыжный стадион с трассой от 2,5 до 20 и более километров, стрельбище (не менее 20 мишеней для стрельбы, стоя и лежа с установкой огневого рубежа до 50 м), стартовый и финишный городки, штрафной круг не менее 150 м, хранилища для стрелкового оружия и боеприпасов, лыжного инвентаря и оборудования, раздевалки, душевые, подсобные помещения.

Строка 56 (графа 3) "Сооружения для стрелковых видов спорта". Учитываются крытые или открытые сооружения для стрельбы из различных видов оружия:

- тир (крытое или открытое сооружение для стрельбы из боевого, спортивного оружия, в т.ч. стрельбы из лука);

- стрельбище (комплекс, состоящий из крытых или открытых сооружений для различных видов стрельбы);

- стенд (круглый, траншейный, совмещенный) для стендовой, спортивно-охотничьей стрельбы.

Показатель строки 56 (графы 3) состоит из суммарного показателя строк 57 - 59 (графы 3).

Строка 60 (графа 3) "Гребные базы и каналы". Учитывается комплекс сооружений для занятий гребными, водноспортивными и парусными видами спорта.

Строка 61 (графа 3) "Другие спортивные сооружения". Учитываются спортивные сооружения, находящиеся на территории данного административно-территориального образования, не вошедшие в предложенный перечень спортивных сооружений (графа 1), в том числе яхт-клубы, трамплины, горнолыжные базы, санные и санно-бобслейные трассы, учебно-тренировочные базы, спортивные сооружения для экстремальных видов спорта, велодорожки, скалодромы и др.

В графах 4, 5, 6, 7 указывается вид собственности спортивных сооружений, графа 4 - федеральная собственность, графа 5 - собственность субъекта Российской Федерации, графа 6 - муниципальная собственность, графа 7 - другая. Показатель графы 3 должен быть равен сумме показателей граф 4, 5, 6, 7.

В графе 8 из графы 3 по всем строкам раздела учитывают спортивные сооружения, введенные в эксплуатацию в отчетном году.

В графе 9 из общего количества спортивных сооружений (графа 3 - "Всего"), по перечню спортивных сооружений (графа 1), учитывается количество спортивных сооружений, расположенных в сельской местности.

В графе 10 указывается единовременная пропускная способность спортивных сооружений. Методика расчета приведена в Приложении N 1.

В графе 11 из общей единовременной пропускной способности спортивных сооружений (графа 10) учитывается единовременная пропускная способность спортивных сооружений, расположенных в сельской местности.

В графах 12, 13 отражается загруженность и мощность спортивных сооружений. Методика расчета приведена в приложении N 2.

Раздел IV. Финансирование физической культуры и спорта

В разделе IV "Финансирование физической культуры и спорта" учитываются кассовые расходы, направленные на развитие физической культуры и спорта из бюджетов всех уровней, а также из внебюджетных источников.

В строке 62 (графы) 3 "Расходы - всего" учитываются средства бюджетов всех уровней, расходуемые на развитие физической культуры и спорта в течение отчетного года. Показатель строки 62 должен быть равен сумме показателей строк 63 - 69.

В графе 3 "Всего" учитываются средства бюджетов всех уровней, выделенные на развитие физической культуры и спорта. Показатель гр. 3 должен быть равен сумме граф 4, 5 и 6.

В строке 63 (графы 3) учитываются средства бюджетов всех уровней, расходуемые на проведение спортивных мероприятий (соревнований, учебно-тренировочных сборов и т.д.) в течение отчетного года.

В строке 64 (графы 3) учитываются средства бюджетов всех уровней, выделенные на приобретение спортивного оборудования и инвентаря в течение отчетного года.

В строке 65 (графы 3) учитываются средства, выделяемые в течение отчетного года из бюджетов всех уровней согласно смет-расходам на проведение капитального ремонта спортивных сооружений.

В строке 66 (графы 3) учитываются инвестиции (средства), выделяемые в течение отчетного года из бюджетов всех уровней на реконструкцию и строительство спортивных сооружений.

В строке 67 (графы 3) учитываются средства, направленные на заработную плату работников сферы физической культуры и спорта.

В строке 68 (графы 3) указываются средства, направленные на содержание спортивных сооружений, без учета средств, израсходованных на реконструкцию и ремонт сооружений (данные средства учитываются в строках 65 и 66).

В графе 4 "из федерального бюджета" учитываются средства федерального бюджета, выделенные в течение отчетного года на развитие физической культуры и спорта.

В графе 5 "бюджет субъекта Российской Федерации" учитываются средства бюджета субъекта Российской Федерации, выделенные в течение отчетного года на развитие физической культуры и спорта из бюджета субъекта Российской Федерации.

В графе 6 "бюджет муниципального образования" учитываются средства бюджета муниципального образования, выделенные в течение отчетного года на развитие физической культуры и спорта.

В графе 7 "Получено из внебюджетных источников" учитываются средства, полученные из внебюджетных источников (средства спонсоров, инвесторов и т.д.) в течение отчетного года на развитие физической культуры и спорта.

В графе 8 "Всего израсходовано на развитие физической культуры и спорта" учитывается сумма средств, выделенных из бюджетов всех уровней (графа 3) и полученных из внебюджетных источников (графа 7), израсходованных на развитие физической культуры и спорта в течение отчетного года.

В графе 9 учитываются средства, направленные на развитие физической культуры и спорта, выделяемые по разделу Бюджетной классификации Российской Федерации 1100 "Физическая культура и спорт".

Подраздел "Справочно" является обязательным и заполняется по спортивным сооружениям, в которых проводятся платные физкультурно-оздоровительные занятия или спортивно-зрелищные мероприятия.

По строке 70 учитывается сумма средств, полученных от проведения физкультурно-оздоровительных занятий. По этой строке показывается объем поступлений от населения и организаций, оплачивающих занятия своих работников или учащихся.

По строке 71 учитывается сумма средств, полученных от проведения спортивно-зрелищных мероприятий. По этой строке показывается объем поступлений от населения и организаций, оплачивающих посещение этих мероприятий своими работниками или учащимися.

По указанным строкам учитываются средства, поступившие от населения или организаций в течение отчетного года за наличный расчет и по перечислению на расчетный счет. Объем поступлений приводится в фактически действовавших ценах, включающих налог на добавленную стоимость. Величина денежных поступлений должна быть приведена в тысячах рублей с одним десятичным знаком.

В данные по этим строкам не включаются поступления средств из государственного бюджета всех уровней и внебюджетных фондов. По спортивным сооружениям, сдаваемым в аренду, эти строки не заполняются.

Раздел V. Развитие видов спорта

В данном разделе учитывается количество занимающихся (в том числе инвалидов) в секциях по видам спорта, включенным во Всероссийский реестр видов спорта.

Виды спорта, не включенные в ВРВС, но развиваемые в отдельных субъектах Российской Федерации, признанные в этих субъектах и вошедшие в национальные классификационные программы, учитываются в строке 204 "Другие виды спорта, признанные в субъектах Российской Федерации".

В итоговой строке 72 (графы 3) - "Всего видов спорта" учитывается суммарный показатель строк 73 - 199, 204. Из графы 3 в графе 4 учитывается количество занимающихся женщин.

В строке 199 учитываются занимающиеся национальными видами спорта, показатель должен быть равен сумме строк 200 - 203.

В графе 5 учитываются тренеры-преподаватели по видам спорта, занимающие штатные должности.

Раздел VI. Спортивное мастерство

В данном разделе учитываются спортивные звания и разряды, государственные почетные звания и награды, присвоенные в отчетном году.

В строке 205 (графы 3) - "Присвоено званий (всего)" учитывается суммарный показатель строк 206 - 208.

В строке 209 (графы 3) - "Подготовлено за год спортсменов массовых разрядов" - учитываются спортсмены, выполнившие за отчетный год разрядные нормы и требования ЕВСК для КМС, 1, 2, 3 разрядов и 1, 2, 3 юношеских разрядов. В строке 210 показывается количество подготовленных спортсменов КМС, в строке 211 - I разряда.

В строке 212 (графы 3) - "Присвоено званий "ЗТР" учитывается количество тренеров, которым в отчетном году присвоено звание "Заслуженный тренер России".

В строке 213 (графы 3) - "Присвоено званий "ЗРФК" учитывается количество работников физической культуры и спорта, которым в отчетном году было присвоено звание "Заслуженный работник физической культуры Российской Федерации".

В строке 214 (графы 3) - "Присвоены другие государственные почетные звания и награды" учитывается количество работников физической культуры и спорта, которые в отчетном году были награждены иными государственными почетными званиями и наградами, не указанными в перечне раздела.

В строке 215 (графы 3) учитываются почетные звания и награды, присужденные в субъекте Российской Федерации.

Приложение 1

МЕТОДИКА
РАСЧЕТА ЕДИНОВРЕМЕННОЙ (НОРМАТИВНОЙ) ПРОПУСКНОЙ СПОСОБНОСТИ (ДАЛЕЕ - ЕПС)

ЕПС спортивных сооружений рассчитывается по Планово-расчетным показателям количества занимающихся, утвержденным приказом ГКФТ России от 04.02.1998 N 44.

За основу расчета единовременной (нормативной) пропускной способности спортивного сооружения принимается норматив количества занимающихся определенным видом спорта, имеющих (по ЕВСК) II и I юношеские разряды.

В случае расчета единовременной (нормативной) пропускной способности для комплексного спортивного сооружения (комплексной площадки), на которой могут проводиться занятия (соревнования) по нескольким видам спорта, единовременная (нормативная) пропускная способность рассчитывается как среднее арифметическое количества занимающихся спортсменов II и I юношеских разрядов по видам спорта, проводимым на комплексном спортивном сооружении (комплексной площадке), по формуле:

ЕПС - единовременная (нормативная) пропускная способность комплексного спортивного сооружения (комплексной площадки);

а, в, с - норматив занимающихся по видам спорта II и I юношеских разрядов;

n - количество видов спорта.

Примеры расчета и нормы единовременной пропускной способности некоторых типов спортивных сооружений

Единовременная (нормативная) пропускная способность стадиона складывается из суммы единовременной (нормативной) пропускной способности игрового футбольного поля и мест для занятий легкой атлетикой (беговые дорожки и сектора для метаний и прыжков).

Единовременная (нормативная) пропускная способность спортивного ядра рассчитывается исходя из единовременной пропускной способности:

- прямой беговой дорожки (на 1 дорожку) - 3 чел.
- круговой беговой дорожки (на 1 дорожку) - 5 чел.
- мест для прыжков (на 1 сектор) - 5 чел.
- мест для толкания ядра, метания молота, копья, диска (на 1 сектор) - 5 чел.
- футбольного поля - 25 чел.

Единовременная (нормативная) пропускная способность плоскостных спортивных сооружений площадок:

- бадминтона - 6 чел. городков - 10 чел.
- баскетбола - 15 чел. волейбола - 16 чел.
- ручного мяча - 20 чел. тенниса - 6 чел.
- площадки для физкультурно-оздоровительных занятий для детей:
от 6 до 10 лет - 3 кв. м; от 10 до 14 лет - 5 кв. м;
- площадки для физкультурно-оздоровительных занятий юношей и взрослых - 10 кв. м;
- площадки для подвижных игр   - 20 кв. м;
полей:
- для футбола, регби, хоккея на траве - 25 чел.

Единовременная (нормативная) пропускная способность спортивного зала, помещений для физкультурно-оздоровительных занятий рассчитывается:

- зал 42 x 24 м - до 50 чел. зал 24 x 12 м - 35 чел.
- зал 36 x 18 м - 40 чел. зал 18 x 9 м - 30 чел.
- зал 30 x 15 м - более 35 чел.
- тренажерных залов, помещений и залов для силовой подготовки рассчитывается исходя из нормативов 1 тренажер на 1 занимающегося.

Единовременная (нормативная) пропускная способность спортивных залов и плоскостных спортивных сооружений учебных заведений определяется из расчета одной учебной группы, класса (30 человек) на одно спортивное сооружение.

Единовременная (нормативная) пропускная способность крытых спортивных объектов с искусственным льдом составляет 25 человек.

Единовременная (нормативная) пропускная способность легкоатлетического манежа рассчитывается исходя из единовременной пропускной способности:

- прямой беговой дорожки (на одну дорожку) - 4 чел.
- круговой беговой дорожки (на одну дорожку) - 7 чел.
- мест для прыжков (на 1 сектор) - 6 чел.
- мест для толкания ядра, метаний молота, диска (на 1 сектор) - 5 чел.

Единовременная (нормативная) пропускная способность футбольного манежа рассчитывается исходя из норматива 200 кв. м на 1 человека.

Единовременная (нормативная) пропускная способность велотреков и велодромов рассчитывается исходя из единовременной пропускной способности длины полотна:

400 м - 25 чел.;

333 м - 20 чел.;

250 м - 15 чел.

Единовременная (нормативная) пропускная способность плавательного бассейна составляет на 1 дорожку:

- ванна 50 м - 10 чел.
- ванна 25 м - 7 чел.
- ванны для обучения плаванию с размерами 10 x 6 м; 12,5 x 6 м - 16 чел.

Единовременная (нормативная) пропускная способность бассейна для прыжков в воду рассчитывается:

- 1 прыжковое устройство - 6 чел.

Единовременная (нормативная) пропускная способность конькобежной дорожки рассчитывается:

- 333 x 13 м - 50 чел.
- 400 x 13 м - 60 чел.

площадки для фигурного катания, хоккея, поля для хоккея с мячом

- 25 чел.

Единовременная (нормативная) пропускная способность лыжной базы рассчитывается исходя из наличия лыжных трасс и их длины.

Лыжные трассы с длинной дистанцией:

- 2 км - 25 чел.
- 3 км - 30 чел.
- 5 км - 40 чел.

Единовременная (нормативная) пропускная способность спортивных сооружений стрелковых видов спорта рассчитывается исходя из единовременной пропускной способности имеющихся тиров, стрельбищ и стендов:

- тир 1 мишень - 1 человек
- стрельбище 1 мишень - 1 человек
- стенд 1 площадка - 6 человек
- поля для стрельбы из лука 1 мишень - 4 человека

Единовременная (нормативная) пропускная способность биатлонного комплекса рассчитывается исходя из единовременной пропускной способности биатлонного стрельбища и лыжных трасс.

Единовременная (нормативная) пропускная способность гребной базы, канала рассчитывается:

- академическая гребля (на 1 дорожку 13,5 x 2000 м) - 3 лодки, умноженные на количество гребцов;

- гребля на байдарках и каноэ (на 1 дорожку 9 x 2000 м) - 3 лодки, умноженные на количество гребцов.

Для расчета единовременной (нормативной) пропускной способности других спортивных сооружений (строка 61) необходимо пользоваться Планово-расчетными показателями количества занимающихся, учитывая вид спорта, тип спортивного сооружения.

Приложение 2

МЕТОДИКА
РАСЧЕТА ФАКТИЧЕСКОЙ ЗАГРУЖЕННОСТИ И МОЩНОСТЬ СПОРТИВНЫХ СООРУЖЕНИЙ

Фактическая годовая загруженность спортивного сооружения определяется по формуле:

ФЗ - фактическая годовая загруженность спортивного сооружения,

Р - среднее количество посещений спортивного объекта в день,

Ч - средняя продолжительность одного занятия (посещения),

Д - количество дней в неделю, в течение которых спортивное сооружение оказывает физкультурно-спортивные услуги населению,

Н - количество недель в году, в течение которых спортивное сооружение оказывает физкультурно-спортивные услуги населению.

Годовая мощность спортивного сооружения рассчитывается по следующей формуле:

МС - годовая мощность спортивного сооружения,

ЕПС - единовременная (нормативная) пропускная способность спортивного сооружения, рассчитанная в соответствии с Планово-расчетными показателями количества занимающихся, утвержденными приказом ГКФТ России от 04.02.1998 N 44,

РЧ - количество рабочих часов спортивного сооружения в сутки,

РД - количество рабочих дней спортивного сооружения в году.

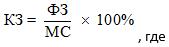
Рассчитав фактическую загруженность и годовую мощность объекта спорта можно произвести расчет коэффициента фактической загруженности спортивного сооружения по следующей формуле:

КЗ - коэффициент загруженности спортивного сооружения,

ФЗ - фактическая годовая загруженность спортивного сооружения,

МС - годовая мощность спортивного сооружения.

Для расчетных статистических показателей используется численность населения 3 - 79 лет.