Закон Белгородской области от 18.12.2019 N 432

"О внесении изменений в Закон Белгородской области "О бюджетном устройстве и бюджетном процессе в Белгородской области"
Редакция от 18.12.2019 — Действует

18 декабря 2019 г. N 432

ЗАКОН
БЕЛГОРОДСКОЙ ОБЛАСТИ

О ВНЕСЕНИИ ИЗМЕНЕНИЙ В ЗАКОН БЕЛГОРОДСКОЙ ОБЛАСТИ "О БЮДЖЕТНОМ УСТРОЙСТВЕ И БЮДЖЕТНОМ ПРОЦЕССЕ В БЕЛГОРОДСКОЙ ОБЛАСТИ"

Принят
Белгородской областной Думой
12 декабря 2019 года

Статья 1

Внести в закон Белгородской области от 16 ноября 2007 года N 162 "О бюджетном устройстве и бюджетном процессе в Белгородской области" (Сборник нормативных правовых актов Белгородской области, 2007, N 116; 2008, N 22 (140); Белгородские известия, 2010, 28 мая, 28 июля; 2011, 7 июня, 8 ноября; 2012, 3 апреля, 13 октября; 2013, 9 апреля, 18 мая, 10 октября, 7 ноября; 2014, 15 октября, 11 ноября, 27 декабря; 2015, 6 мая, 5 ноября, 10 декабря, 24 декабря; 2016, 25 февраля, 15 июня, 8 октября; 2017, 4 ноября, 23 декабря, 28 декабря; 2018, 31 марта, 29 сентября, 6 октября, 1 декабря, 8 декабря, 25 декабря; 2019, 12 марта, 30 апреля, 14 мая, 30 ноября) следующие изменения:

1) пункт 2 приложения 22 изложить в следующей редакции:

"2. Величина субвенции из областного бюджета бюджету i-ro муниципального района (городского округа) на оплату ежемесячных денежных выплат труженикам тыла рассчитывается по формуле:

,

где:

- величина субвенции из областного бюджета бюджету i-ro муниципального района (городского округа);

- численность тружеников тыла i-ro муниципального района (городского округа);

- размер ежемесячной денежной выплаты, установленный Социальным кодексом Белгородской области;

- сумма услуги по доставке ежемесячной денежной выплаты Федеральной почтовой связью с учетом НДС i-ro муниципального района (городского округа);

- сумма оплаты услуги по зачислению сумм ежемесячной денежной выплаты банками для i-ro муниципального района (городского округа);

- количество месяцев, принимаемых для расчета.";

2) пункт 2 приложения 23 изложить в следующей редакции:

"2. Величина субвенции из областного бюджета бюджету i-ro муниципального района (городского округа) на оплату ежемесячных денежных выплат ветеранам труда, ветеранам военной службы рассчитывается по формуле:

,

где:

- величина субвенции из областного бюджета бюджету i-ro муниципального района (городского округа);

- численность ветеранов труда (ветеранов военной службы) i-ro муниципального района (городского округа);

- размер ежемесячной денежной выплаты, установленный Социальным кодексом Белгородской области;

- сумма услуги по доставке ежемесячной денежной выплаты Федеральной почтовой связью с учетом НДС i-ro муниципального района (городского округа);

- сумма оплаты услуги по зачислению сумм ежемесячной денежной выплаты банками для i-ro муниципального района (городского округа);

- количество месяцев, принимаемых для расчета,";

3) пункт 2 приложения 24 изложить в следующей редакции:

"2. Величина субвенции из областного бюджета бюджету i-ro муниципального района (городского округа) на оплату ежемесячных денежных выплат реабилитированным лицам и лицам, признанным пострадавшими от политических репрессий, рассчитывается по формуле:

,

где:

- величина субвенции из областного бюджета бюджету i-ro муниципального района (городского округа);

- численность реабилитированных лиц и лиц, признанных пострадавшими от политических репрессий, i-ro муниципального района (городского округа);

- размер ежемесячной денежной выплаты, установленный Социальным кодексом Белгородской области;

- сумма услуги по доставке ежемесячной денежной выплаты Федеральной почтовой связью с учетом НДС i-ro муниципального района (городского округа);

- сумма оплаты услуги по зачислению сумм ежемесячной денежной выплаты банками для i-ro муниципального района (городского округа);

- количество месяцев, принимаемых для расчета.";

4) пункт 2 приложения 25 изложить в следующей редакции:

"2. Величина субвенции из областного бюджета бюджету i-ro муниципального района (городского округа) на выплату пособия лицам, которым присвоено звание "Почетный гражданин Белгородской области", рассчитывается по формуле:

,

где:

- величина субвенции из областного бюджета бюджету i-ro муниципального района (городского округа);

- численность лиц, которым присвоено звание "Почетный гражданин Белгородской области", i-ro муниципального района (городского округа);

- размер ежемесячного пособия соответствующей категории граждан, установленный Социальным кодексом Белгородской области;

- сумма услуги по доставке пособия Федеральной почтовой связью с учетом НДС i-ro муниципального района (городского округа);

- сумма оплаты услуги по зачислению сумм пособия банками для i-ro муниципального района (городского округа);

- количество месяцев, принимаемых для расчета.";

5) приложение 41.11 изложить в следующей редакции:

"Приложение 41.11
к Закону Белгородской области
"О бюджетном устройстве и бюджетном процессе
в Белгородской области"

МЕТОДИКА РАСПРЕДЕЛЕНИЯ СУБВЕНЦИЙ ИЗ ОБЛАСТНОГО БЮДЖЕТА БЮДЖЕТАМ МУНИЦИПАЛЬНЫХ РАЙОНОВ И ГОРОДСКИХ ОКРУГОВ НА ОСУЩЕСТВЛЕНИЕ ПЕРЕДАННОГО ПОЛНОМОЧИЯ РОССИЙСКОЙ ФЕДЕРАЦИИ ПО ПРЕДОСТАВЛЕНИЮ МЕР СОЦИАЛЬНОЙ ПОДДЕРЖКИ ГРАЖДАНАМ, ПОДВЕРГШИМСЯ ВОЗДЕЙСТВИЮ РАДИАЦИИ

1. Настоящая методика определяет порядок распределения субвенций, предоставляемых из областного бюджета бюджетам муниципальных районов и городских округов на осуществление переданного полномочия Российской Федерации по предоставлению мер социальной поддержки гражданам, подвергшимся воздействию радиации, в виде компенсаций и иных выплат (далее - субвенции).

2. Размер предоставляемой бюджету i-ro муниципального района (городского округа) субвенции () определяется по формуле:

,

где:

- размер субвенции в части выплаты компенсаций и иных выплат в соответствии с Законом Российской Федерации "О социальной защите граждан, подвергшихся воздействию радиации вследствие катастрофы на Чернобыльской АЭС";

- размер субвенции в части выплаты компенсации и иных выплат в соответствии с Федеральным законом "О социальной защите граждан Российской Федерации, подвергшихся воздействию радиации вследствие аварии в 1957 году на производственном объединении "Маяк" и сбросов радиоактивных отходов в реку Теча";

- размер субвенции в части выплаты компенсации и иных выплат в соответствии с Федеральным законом "О социальных гарантиях гражданам, подвергшимся радиационному воздействию вследствие ядерных испытаний на Семипалатинском полигоне".

3. Размер предоставляемой бюджету i-ro муниципального района (городского округа) субвенции в части выплаты компенсаций и иных выплат в соответствии с Законом Российской Федерации "О социальной защите граждан, подвергшихся воздействию радиации вследствие катастрофы на Чернобыльской АЭС" (), определяется по формуле:

,

где:

- прогнозная годовая численность граждан в муниципальном районе (городском округе), имеющих право на получение мер социальной поддержки в соответствии с указанным Законом;

- средний размер выплаты, определяемый на основе отчетов уполномоченных органов местного самоуправления муниципального района или городского округа (далее - уполномоченный орган) за год, предшествующий текущему, с учетом прогнозного показателя инфляции на соответствующий финансовый год;

- расходы на оплату услуг по доставке компенсации и иных выплат гражданам, подвергшимся воздействию радиации, и на компенсацию затрат на обеспечение деятельности уполномоченных органов в связи с осуществлением переданного полномочия Российской Федерации в пределах 1,5 процента предоставляемой бюджету муниципального района (городского округа) субвенции (далее - расходы на оплату услуг по доставке).

4. Размер предоставляемой бюджету i-ro муниципального района (городского округа) субвенции в части выплаты компенсаций и иных выплат в соответствии с Федеральным законом "О социальной защите граждан Российской Федерации, подвергшихся воздействию радиации вследствие аварии в 1957 году на производственном объединении "Маяк" и сбросов радиоактивных отходов в реку Теча" () определяется по формуле:

,

где:

- прогнозная годовая численность граждан в муниципальном районе (городском округе), пострадавших в результате аварии на производственном объединении "Маяк" и сбросов радиоактивных отходов в реку Теча, имеющих право на получение мер социальной поддержки в соответствии с указанным Федеральным законом;

- средний размер выплаты, определяемый на основе отчетов уполномоченных органов за год, предшествующий текущему, с учетом прогнозного показателя инфляции на соответствующий финансовый год;

- расходы на оплату услуг по доставке.

5. Размер предоставляемой бюджету i-ro муниципального района (городского округа) субвенции в части выплаты компенсаций и иных выплат в соответствии с Федеральным законом "О социальных гарантиях гражданам, подвергшимся радиационному воздействию вследствие ядерных испытаний на Семипалатинском полигоне" () определяется по формуле:

,

где:

- прогнозная годовая численность граждан в муниципальном районе (городском округе), подвергшихся радиационному воздействию вследствие ядерных испытаний на Семипалатинском полигоне, имеющих право на получение мер социальной поддержки в соответствии с указанным Федеральным законом;

- средний размер выплаты, определяемый на основе отчетов уполномоченных органов за год, предшествующий текущему, с учетом прогнозного показателя инфляции на соответствующий финансовый год;

- расходы на оплату услуг по доставке.";

6) приложение 41.15 изложить в следующей редакции:

"Приложение 41.15
к Закону Белгородской области
"О бюджетном устройстве и бюджетном процессе
в Белгородской области"

МЕТОДИКА РАСПРЕДЕЛЕНИЯ СУБВЕНЦИЙ ИЗ ОБЛАСТНОГО БЮДЖЕТА БЮДЖЕТАМ МУНИЦИПАЛЬНЫХ РАЙОНОВ И ГОРОДСКИХ ОКРУГОВ НА ОПЛАТУ ЖИЛИЩНО- КОММУНАЛЬНЫХ УСЛУГ ОТДЕЛЬНЫМ КАТЕГОРИЯМ ГРАЖДАН

1. Распределение субвенций, предоставляемых бюджетам муниципальных районов и городских округов на обеспечение мер социальной поддержки по оплате жилищно-коммунальных услуг, оказываемых в соответствии с законодательными актами Российской Федерации гражданам, подвергшимся радиационному воздействию вследствие катастрофы на Чернобыльской АЭС, аварии на производственном объединении "Маяк" и сбросов радиоактивных отходов в реку Теча, ядерных испытаний на Семипалатинском полигоне, а также отдельным категориям граждан из числа ветеранов и инвалидов (далее - субвенции), осуществляется в целях финансового обеспечения расходных обязательств муниципальных районов (городских округов), возникших при выполнении соответствующих полномочий Российской Федерации, переданных органам местного самоуправления муниципальных районов (городских округов).

2. Размер субвенции, предоставляемой бюджету i-ro муниципального района (городского округа), определяется по формуле:

,

где:

- численность лиц, относящихся к категориям граждан, указанным в пункте 1 настоящей методики, которым предоставлены меры социальной поддержки по оплате жилищно-коммунальных услуг, в i-м муниципальном районе (городском округе);

- стоимость жилищно-коммунальных услуг в расчете на 1 кв. метр площади жилья за отчетный год по i-му муниципальному району (городскому округу) исходя из данных Федеральной службы государственной статистики;

- коэффициент корректировки стоимости жилищно-коммунальных услуг в расчете на 1 кв. метр площади жилья за отчетный год по i-му муниципальному району (городскому округу) исходя из данных Федеральной службы государственной статистики с учетом благоустройства жилых помещений в i-м муниципальном районе (городском округе);

- коэффициент корректировки стоимости жилищно-коммунальных услуг в расчете на 1 кв. метр площади жилья за отчетный год по муниципальному району (городскому округу) исходя из данных Федеральной службы государственной статистики с учетом уровня возмещения населением затрат за предоставление жилищно-коммунальных услуг в i-м муниципальном районе (городском округе). Уровень возмещения населением затрат за предоставление жилищно-коммунальных услуг определяется по i-му муниципальному району (городскому округу) как отношение значения показателя возмещения населением затрат за предоставление услуг по установленным для населения тарифам к значению показателя стоимости предоставленных населению услуг, рассчитанной по экономически обоснованным тарифам, на основании данных, представляемых по форме федерального статистического наблюдения N 22-ЖКХ (сводная) "Сведения о работе жилищно-коммунальных организаций в условиях реформы";

- численность лиц, относящихся к инвалидам III группы, из числа граждан, указанных в пункте 1 настоящей методики, которым предоставлены меры социальной поддержки по оплате жилищно-коммунальных услуг, в i-м муниципальном районе (городском округе);

- установленный в Белгородской области минимальный размер взноса на капитальный ремонт общего имущества в многоквартирном доме на 1 кв. метр общей площади жилья в месяц;

- коэффициент корректировки установленного в Белгородской области минимального размера взноса на капитальный ремонт общего имущества в многоквартирном доме на 1 кв. метр общей площади жилья в месяц с учетом доли общей площади жилых помещений, находящихся в частной собственности граждан, в i-м муниципальном районе (городском округе) в общей площади жилых помещений в i-м муниципальном районе (городском округе);

- федеральный стандарт социальной нормы площади жилого помещения в размере 18 кв. метров общей площади жилья на 1 гражданина, установленный Постановлением Правительства Российской Федерации от 29 августа 2005 года N 541 "О федеральных стандартах оплаты жилого помещения и коммунальных услуг";

- количество месяцев, принимаемых для расчета;

- доля стоимости жилищно-коммунальных услуг, учитываемая при предоставлении мер социальной поддержки по оплате жилищно- коммунальных услуг категориям граждан, указанным в пункте 1 настоящей методики, которым предоставлены меры социальной поддержки по оплате жилищно-коммунальных услуг.

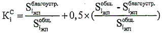
3. Коэффициент корректировки стоимости жилищно-коммунальных услуг в расчете на 1 кв. метр площади жилья за отчетный год по i-му муниципальному району (городскому округу) исходя из данных Федеральной службы государственной статистики с учетом благоустройства жилых помещений в i-м муниципальном районе (городском округе) определяется по формуле:

,

где:

- площадь благоустроенных жилых помещении в i-м муниципальном районе (городском округе) на конец отчетного периода по данным федерального статистического наблюдения (кв. метров);

- общая площадь жилых помещений в i-м муниципальном районе (городском округе) на конец отчетного периода по данным федерального статистического наблюдения (кв. метров);

- коэффициент, принимаемый для корректировки стоимости жилищно-коммунальных услуг на 1 кв. метр общей площади жилья с учетом благоустройства жилых помещений в i-м муниципальном районе (городском округе).

4. В случае установления органами государственной власти Белгородской области дифференцированных минимальных размеров взносов на капитальный ремонт общего имущества в многоквартирном доме значение показателя принимается равным наименьшему из установленных минимальных размеров взноса на капитальный ремонт общего имущества в многоквартирном доме.

До установления в Белгородской области минимального размера взноса на капитальный ремонт общего имущества в многоквартирном доме значение показателя принимается равным размеру федерального стандарта стоимости капитального ремонта жилого помещения на 1 кв. метр общей площади жилья в месяц, установленного Правительством Российской Федерации в отношении Белгородской области на соответствующий год.

5. Коэффициент корректировки установленного в Белгородской области минимального размера взноса на капитальный ремонт общего имущества в многоквартирном доме на 1 кв. метр общей площади жилья в месяц с учетом доли общей площади жилых помещений, находящихся в частной собственности граждан, в i-м муниципальном районе (городском округе) в общей площади жилых помещений в i-м муниципальном районе (городском округе) определяется по формуле:

,

где:

- общая площадь жилых помещений, находящихся в частной собственности граждан, в i-м муниципальном районе (городском округе) на конец отчетного периода по данным федерального статистического наблюдения (кв. метров).".

Статья 2

Настоящий закон вступает в силу с 1 января 2020 года и применяется к правоотношениям, возникающим при составлении и исполнении бюджетов бюджетной системы Белгородской области, начиная с бюджетов на 2020 год и на плановый период 2021 и 2022 годов.

Губернатор
Белгородской области
Е.С. САВЧЕНКО

г. Белгород

18 декабря 2019 года

N 432