Приказ Минтруда РФ от 12.09.2014 N 636Н

"Об утверждении Административного регламента предоставления Федеральной службой по труду и занятости государственной услуги по уведомительной регистрации отраслевых (межотраслевых) соглашений, заключенных на федеральном уровне социального партнерства, межрегиональных соглашений"
Редакция от 12.09.2014 — Документ утратил силу, см. «Приказ Минтруда РФ от 22.07.2019 N 515Н»
Показать изменения

Зарегистрировано в Минюсте России 1 декабря 2014 г. N 35024


 

МИНИСТЕРСТВО ТРУДА И СОЦИАЛЬНОЙ ЗАЩИТЫ РОССИЙСКОЙ ФЕДЕРАЦИИ

ПРИКАЗ
от 12 сентября 2014 г. N 636н

ОБ УТВЕРЖДЕНИИ АДМИНИСТРАТИВНОГО РЕГЛАМЕНТА ПРЕДОСТАВЛЕНИЯ ФЕДЕРАЛЬНОЙ СЛУЖБОЙ ПО ТРУДУ И ЗАНЯТОСТИ ГОСУДАРСТВЕННОЙ УСЛУГИ ПО УВЕДОМИТЕЛЬНОЙ РЕГИСТРАЦИИ ОТРАСЛЕВЫХ (МЕЖОТРАСЛЕВЫХ) СОГЛАШЕНИЙ, ЗАКЛЮЧЕННЫХ НА ФЕДЕРАЛЬНОМ УРОВНЕ СОЦИАЛЬНОГО ПАРТНЕРСТВА, МЕЖРЕГИОНАЛЬНЫХ СОГЛАШЕНИЙ

В соответствии с Трудовым кодексом Российской Федерации (Собрание законодательства Российской Федерации, 2002, N 1, ст. 3; N 30, ст. 3014, 3033; 2003, N 27, ст. 2700; 2004, N 18, ст. 1690; N 35, ст. 3607; 2005, N 1, ст. 27; N 13, ст. 1209; N 19, ст. 1752; 2006, N 27, ст. 2878; N 41, ст. 4285; N 52, ст. 5498; 2007, N 1, ст. 34; N 17, ст. 1930; N 30, ст. 3808; N 41, ст. 4844; N 43, ст. 5084; N 49, ст. 6070; 2008, N 9, ст. 812; N 30, ст. 3613, 3616; N 52, ст. 6235, 6236; 2009, N 1, ст. 17, 21; N 19, ст. 2270; N 29, ст. 3604; N 30, ст. 3732, 3739; N 46, ст. 5419; N 48, ст. 5717; N 50, ст. 6146; 2010, N 31, ст. 4196; N 52, ст. 7002; 2011, N 1, ст. 49; N 25, ст. 3539; N 27, ст. 3880; N 30, ст. 4586, 4590, 4591, 4596; N 45, ст. 6333, 6335; N 48, ст. 6730, 6735; N 49, ст. 7015, 7031; N 50, ст. 7359; N 52, ст. 7639; 2012, N 10, ст. 1164; N 14, ст. 1553; N 18, ст. 2127; N 31, ст. 4325; N 47, ст. 6399; N 50, ст. 6954, ст. 6957, 6959; N 53, ст. 7605; 2013, N 14, ст. 1666, 1668; N 19, ст. 2322, 2326, 2329; N 23, ст. 2866, 2883; N 27, ст. 3449, 3454, 3477; N 30, ст. 4037; N 48, ст. 6165; N 52, ст. 6986; 2014, N 14, ст. 1542, 1547, 1548; N 19, ст. 2321; N 23, ст. 2930; N 26, ст. 3405), постановлением Правительства Российской Федерации от 16 мая 2011 г. N 373 "О разработке и утверждении административных регламентов исполнения государственных функций и административных регламентов предоставления государственных услуг" (Собрание законодательства Российской Федерации, 2011, N 22, ст. 3169; N 35, ст. 5092; 2012, N 28, ст. 3908; N 36, ст. 4903; N 50, ст. 7070; N 52, ст. 7507; 2014, N 5, ст. 506) приказываю:

1. Утвердить прилагаемый Административный регламент предоставления Федеральной службой по труду и занятости государственной услуги по уведомительной регистрации отраслевых (межотраслевых) соглашений, заключенных на федеральном уровне социального партнерства, межрегиональных соглашений.

2. Признать утратившим силу приказ Министерства здравоохранения и социального развития Российской Федерации от 2 марта 2012 г. N 192н "Об утверждении Административного регламента предоставления Федеральной службой по труду и занятости государственной услуги по уведомительной регистрации отраслевых (межотраслевых) соглашений, заключенных на федеральном уровне социального партнерства" (зарегистрирован Министерством юстиции Российской Федерации 28 апреля 2012 г. N 24008).

Министр
М.А. ТОПИЛИН

УТВЕРЖДЕН
приказом Министерства труда
и социальной защиты
Российской Федерации
от 12 сентября 2014 г. N 636н

АДМИНИСТРАТИВНЫЙ РЕГЛАМЕНТ
ПРЕДОСТАВЛЕНИЯ ФЕДЕРАЛЬНОЙ СЛУЖБОЙ ПО ТРУДУ И ЗАНЯТОСТИ ГОСУДАРСТВЕННОЙ УСЛУГИ ПО УВЕДОМИТЕЛЬНОЙ РЕГИСТРАЦИИ ОТРАСЛЕВЫХ (МЕЖОТРАСЛЕВЫХ) СОГЛАШЕНИЙ, ЗАКЛЮЧЕННЫХ НА ФЕДЕРАЛЬНОМ УРОВНЕ СОЦИАЛЬНОГО ПАРТНЕРСТВА, МЕЖРЕГИОНАЛЬНЫХ СОГЛАШЕНИЙ

I. Общие положения

Предмет регулирования

1. Административный регламент предоставления Федеральной службой по труду и занятости государственной услуги по уведомительной регистрации отраслевых (межотраслевых) соглашений, заключенных на федеральном уровне социального партнерства, межрегиональных соглашений (далее соответственно - соглашение, государственная услуга, Роструд, Административный регламент), определяет сроки и последовательность административных процедур (действий) Роструда при уведомительной регистрации соглашений.

Круг заявителей

2. Заявителями на получение государственной услуги являются общероссийские объединения работодателей, межрегиональные объединения работодателей либо их уполномоченные представители, обратившиеся с запросом о предоставлении государственной услуги (далее - заявитель).

Требования к порядку информирования о предоставлении государственной услуги

3. Информация о порядке предоставления государственной услуги размещается в открытой и доступной форме на официальном сайте Роструда в информационно-телекоммуникационной сети "Интернет" (далее соответственно - сеть Интернет, официальный сайт Роструда), в федеральной государственной информационной системе "Единый портал государственных и муниципальных услуг (функций)" (далее - Единый портал) по адресу: www.gosuslugi.ru, на информационных стендах Роструда в местах, предназначенных для предоставления государственной услуги, в средствах массовой информации, представляется с использованием средств телефонной, факсимильной и электронной связи, посредством письменных разъяснений, на личном приеме.

4. Место нахождения Роструда: 109012, г. Москва, Биржевая площадь, д. 1

5. График (режим) работы Роструда:

понедельник - четверг 9.00 - 18.00;
пятница 9.00 - 16:45;
перерыв с 12.00 до 13.00;
предпраздничные дни 9.00 - 17.00;
суббота и воскресенье выходные дни.

6. Адрес официального сайта Роструда: www.rostrud.ru.

7. Номер телефона Роструда для справок: 8-800-707-88-41.

8. Адрес электронной почты Роструда: mail@rostrud.info.

9. При ответах на телефонные звонки и устные обращения заявителей должностное лицо Роструда, уполномоченное на предоставление государственной услуги (далее - должностное лицо Роструда), подробно и в вежливой форме информирует обратившегося по интересующим его вопросам. Ответ на телефонный звонок должен содержать информацию о наименовании органа, в который позвонил заявитель, фамилии, имени, отчестве (при наличии) и должности должностного лица Роструда, принявшего телефонный вызов.

10. На информационных стендах Роструда в местах предоставления государственной услуги размещаются:

а) график (режим) работы, номера телефонов для справок, адрес официального сайта и электронной почты Роструда;

б) краткие сведения о порядке предоставления государственной услуги в текстовом виде или в виде блок-схемы;

в) информация о документах, необходимых для предоставления государственной услуги;

г) требования к оформлению запроса заявителя о предоставлении государственной услуги (далее - запрос заявителя), форма которого предусмотрена приложением N 1 к Административному регламенту;

д) извлечения из нормативных правовых актов, содержащих нормы, регулирующие отношения, возникающие в связи с предоставлением государственной услуги;

е) порядок обжалования заявителем действий (бездействия) и решений, принятых (осуществляемых) должностным лицом Роструда при предоставлении государственной услуги.

11. На официальном сайте Роструда размещаются:

а) сведения о месте нахождения, схема проезда, график (режим) работы, номера телефонов для справок, адрес электронной почты Роструда;

б) краткие сведения о порядке предоставления государственной услуги;

в) информация о документах, необходимых для предоставления государственной услуги;

г) требования к оформлению запроса заявителя;

д) извлечения из нормативных правовых актов, содержащих нормы, регулирующие отношения, возникающие в связи с предоставлением государственной услуги;

е) порядок обжалования заявителем действий (бездействия) и решений, принятых (осуществляемых) должностным лицом Роструда при предоставлении государственной услуги;

ж) ответы на типовые вопросы.

II. Стандарт предоставления государственной услуги

Наименование государственной услуги

12. Наименование государственной услуги - государственная услуга по уведомительной регистрации отраслевых (межотраслевых) соглашений, заключенных на федеральном уровне социального партнерства, межрегиональных соглашений.

Наименование федерального органа исполнительной власти, предоставляющего государственную услугу

13. Государственная услуга предоставляется Рострудом.

Описание результата предоставления государственной услуги

14. Результатами предоставления государственной услуги являются:

а) направление заявителю уведомления о регистрации соглашения, форма которого предусмотрена приложением N 2 к Административному регламенту;

б) направление заявителю уведомления о регистрации соглашения с выявлением условий, ухудшающих положение работников по сравнению с трудовым законодательством и иными нормативными правовыми актами, содержащими нормы трудового права, в соответствии со статьей 50 Трудового кодекса Российской Федерации (далее - уведомление о регистрации соглашения с выявлением условий, ухудшающих положение работников), форма которого предусмотрена приложением N 3 к Административному регламенту;

в) направление заявителю уведомления об отказе в регистрации соглашения.

Срок предоставления государственной услуги, в том числе с учетом необходимости обращения в организации, участвующие в предоставлении государственной услуги, срок приостановления предоставления государственной услуги в случае, если возможность приостановления предусмотрена законодательством Российской Федерации, срок выдачи (направления) документов, являющихся результатом предоставления государственной услуги

15. Государственная услуга предоставляется в срок, не превышающий 30 календарных дней с момента регистрации запроса заявителя в Роструде.

16. Участие иных организаций в предоставлении государственной услуги не предусмотрено.

17. Приостановление предоставления государственной услуги не предусмотрено.

18. Срок направления заявителю документов, являющихся результатом предоставления государственной услуги, - не позднее рабочего дня, следующего за днем оформления.

Перечень нормативных правовых актов, регулирующих отношения, возникающие в связи с предоставлением государственной услуги, с указанием их реквизитов и источников официального опубликования

19. Предоставление государственной услуги осуществляется в соответствии с:

Трудовым кодексом Российской Федерации;

Федеральным законом от 27 июля 2010 г. N 210-ФЗ "Об организации предоставления государственных и муниципальных услуг" (Собрание законодательства Российской Федерации, 2010, N 31, ст. 4179; 2011, N 15, ст. 2038; N 27, ст. 3873, 3880; N 29, ст. 4291; N 30, ст. 4587; N 49, ст. 7061; 2012, N 31, ст. 4322; 2013, N 14, ст. 1651; N 27, ст. 3477, 3480; N 30, ст. 4084; N 51, ст. 6679; N 52, ст. 6961, 7009; 2014, N 26, ст. 3366; N 30, ст. 4264);

Федеральным законом от 6 апреля 2011 г. N 63-ФЗ "Об электронной подписи" (Собрание законодательства Российской Федерации, 2011, N 15, ст. 2036; N 27, ст. 3880; 2012, N 29, ст. 3988; 2013, N 14, ст. 1668; N 27, ст. 3463, 3477; 2014, N 11, ст. 1098; N 26, ст. 3390);

Указом Президента Российской Федерации от 7 мая 2012 г. N 601 "Об основных направлениях совершенствования системы государственного управления" (Собрание законодательства Российской Федерации, 2012, N 19, ст. 2338);

постановлением Правительства Российской Федерации от 19 июня 2012 г. N 610 "Об утверждении Положения о Министерстве труда и социальной защиты Российской Федерации" (Собрание законодательства Российской Федерации, 2012, N 26, ст. 3528; 2013, N 22, ст. 2809; N 36, ст. 4578; N 37, ст. 4703; N 45, ст. 5822; N 46, ст. 5952; 2014, N 21, ст. 2710; N 32, ст. 4499; N 36, ст. 4868);

постановлением Правительства Российской Федерации от 30 июня 2004 г. N 324 "Об утверждении Положения о Федеральной службе по труду и занятости" (Собрание законодательства Российской Федерации, 2004, N 28, ст. 2901; 2007, N 37, ст. 4455; 2008, N 46, ст. 5337; 2009, N 1, ст. 146; N 6, ст. 738; N 33, ст. 4081; 2010, N 26, ст. 3350; 2011, N 14, ст. 1935; 2012, N 1, ст. 171; N 15, ст. 1790; N 26, ст. 3529; 2013, N 33, ст. 4385; N 45, ст. 5822; 2014, N 32, ст. 4499);

постановлением Правительства Российской Федерации от 19 января 2005 г. N 30 "О Типовом регламенте взаимодействия федеральных органов исполнительной власти" (Собрание законодательства Российской Федерации, 2005, N 4, ст. 305; N 47, ст. 4933; 2007, N 43, ст. 5202; 2008, N 9, ст. 852; N 14, ст. 1413; 2009, N 12, ст. 1429; N 25, ст. 3060; N 41, ст. 4790; N 49, ст. 5970; 2010, N 22, ст. 2776; N 40, ст. 5072; 2011, N 34, ст. 4986; N 35, ст. 5092; 2012, N 37, ст. 4996; N 38, ст. 5102);

постановлением Правительства Российской Федерации от 28 июля 2005 г. N 452 "О Типовом регламенте внутренней организации федеральных органов исполнительной власти" (Собрание законодательства Российской Федерации, 2005, N 31, ст. 3233; 2007, N 43, ст. 5202; 2008, N 9, ст. 852; N 14, ст. 1413; N 46, ст. 5337; 2009, N 12, ст. 1443; N 19, ст. 2346; N 25, ст. 3060; N 47, ст. 5675; N 49, ст. 5970; 2010, N 9, ст. 964; N 22, ст. 2776; N 40, ст. 5072; 2011, N 15, ст. 2131; N 34, ст. 4986; N 35, ст. 5092; 2012, N 37, ст. 4996; N 38, ст. 5102; N 53, ст. 7958; 2013, N 13, ст. 1575);

постановлением Правительства Российской Федерации от 10 августа 2005 г. N 500 "О наделении федеральных органов исполнительной власти правом представления работодателей при проведении коллективных переговоров, заключении и изменении отраслевых (межотраслевых) соглашений на федеральном уровне" (Собрание законодательства Российской Федерации, 2005, N 33, ст. 3428);

постановлением Правительства Российской Федерации от 16 мая 2011 г. N 373 "О разработке и утверждении административных регламентов исполнения государственных функций и административных регламентов предоставления государственных услуг";

постановлением Правительства Российской Федерации от 16 августа 2012 г. N 840 "О порядке подачи и рассмотрения жалоб на решения и действия (бездействие) федеральных органов исполнительной власти и их должностных лиц, федеральных государственных служащих, должностных лиц государственных внебюджетных фондов Российской Федерации" (Собрание законодательства Российской Федерации, 2012, N 35, ст. 4829);

постановлением Правительства Российской Федерации от 25 августа 2012 г. N 852 "Об утверждении Правил использования усиленной квалифицированной электронной подписи при обращении за получением государственных и муниципальных услуг и о внесении изменения в Правила разработки и утверждения административных регламентов предоставления государственных услуг" (Собрание законодательства Российской Федерации, 2012, N 36, ст. 4903).

Исчерпывающий перечень документов, необходимых в соответствии с нормативными правовыми актами для предоставления государственной услуги и услуг, которые являются необходимыми и обязательными для предоставления государственной услуги, подлежащих представлению заявителем, способы их получения заявителем, в том числе в электронной форме, порядок их представления

20. Документами, необходимыми для предоставления государственной услуги, являются:

а) запрос заявителя;

б) соглашение на бумажном носителе (подлинник), пронумерованное, прошитое и скрепленное печатями сторон соглашения (соглашение включает титульный лист с подписями и печатями всех представителей сторон, заключивших соглашение);

в) для общероссийского объединения работодателей (дополнительно) - заверенные надлежащим образом копии устава и свидетельства о регистрации объединения, а также состав членов объединения на момент подписания соглашения, содержащийся в реестре членов объединения работодателей.

21. Для получения государственной услуги в электронной форме заявитель направляет запрос в электронной форме, в том числе с использованием Единого портала.

22. При обращении заявителя за получением государственной услуги в электронной форме запрос заявителя подписывается усиленной квалифицированной электронной подписью заявителя в соответствии с законодательством Российской Федерации.

23. Документы, необходимые для предоставления государственной услуги, должны быть четкими для прочтения, оформлены в машинописном виде на русском языке, при этом не допускается использование сокращений слов и аббревиатур.

Исчерпывающий перечень документов, необходимых в соответствии с нормативными правовыми актами для предоставления государственной услуги, которые находятся в распоряжении государственных органов, органов местного самоуправления и иных органов, участвующих в предоставлении государственных или муниципальных услуг, и которые заявитель вправе представить, а также способы их получения заявителями, в том числе в электронной форме, порядок их представления

24. Документы, необходимые в соответствии с нормативными правовыми актами для предоставления государственной услуги, которые находятся в распоряжении государственных органов, органов местного самоуправления и иных органов, участвующих в предоставлении государственных или муниципальных услуг, и которые заявитель вправе представить, законодательством Российской Федерации не предусмотрены.

25. Запрещается требовать от заявителя:

а) представления документов и информации или осуществления действий, представление или осуществление которых не предусмотрено нормативными правовыми актами, регулирующими отношения, возникающие в связи с предоставлением государственной услуги;

б) представления документов и информации, которые в соответствии с нормативными правовыми актами Российской Федерации, нормативными правовыми актами субъектов Российской Федерации и муниципальными правовыми актами находятся в распоряжении государственных органов, предоставляющих государственную услугу, иных государственных органов, органов местного самоуправления и (или) подведомственных государственным органам и органам местного самоуправления организаций, участвующих в предоставлении государственной услуги, за исключением документов, указанных в части 6 статьи 7 Федерального закона от 27 июля 2010 г. N 210-ФЗ "Об организации предоставления государственных и муниципальных услуг".

Исчерпывающий перечень оснований для отказа в приеме документов, необходимых для предоставления государственной услуги

26. Основания для отказа в приеме документов, необходимых для предоставления государственной услуги, не предусмотрены.

Исчерпывающий перечень оснований для приостановления или отказа в предоставлении государственной услуги

27. Основания для приостановления предоставления государственной услуги не предусмотрены.

28. Отказ в регистрации соглашения осуществляется при наличии одного из следующих оснований:

а) заявителем не представлены документы, необходимые для предоставления государственной услуги, предусмотренные пунктом 20 Административного регламента;

б) представленные заявителем документы не соответствуют требованиям к их оформлению, предусмотренным пунктами 22, 23 Административного регламента;

в) запрос заявителя не относится по существу к предоставлению государственной услуги;

г) правовой статус заявителя не соответствует требованиям, установленным Трудовым кодексом Российской Федерации и пунктом 2 Административного регламента.

Перечень услуг, которые являются необходимыми и обязательными для предоставления государственной услуги, в том числе сведения о документе (документах), выдаваемом (выдаваемых) организациями, участвующими в предоставлении государственной услуги

29. При предоставлении государственной услуги предоставление иных услуг, необходимых и обязательных для предоставления государственной услуги, а также участие иных организаций в предоставлении государственной услуги не предусмотрены.

Порядок, размер и основания взимания государственной пошлины или иной платы, взимаемой за предоставление государственной услуги

30. Плата за предоставление государственной услуги не взимается.

Порядок, размер и основания взимания платы за предоставление услуг, которые являются необходимыми и обязательными для предоставления государственной услуги, включая информацию о методике расчета размера такой платы

31. При предоставлении государственной услуги предоставление иных услуг, необходимых и обязательных для предоставления государственной услуги, не предусмотрено, плата за предоставление таких услуг не взимается.

Максимальный срок ожидания в очереди при подаче запроса о предоставлении государственной услуги, услуги, предоставляемой организацией, участвующей в предоставлении государственной услуги, и при получении результата предоставления таких услуг

32. Время ожидания в очереди при подаче запроса заявителем и при получении результата предоставления государственной услуги не должно превышать 15 минут.

Срок и порядок регистрации запроса заявителя о предоставлении государственной услуги и услуги, предоставляемой организацией, участвующей в предоставлении государственной услуги, в том числе в электронной форме

33. Время регистрации запроса заявителя, в том числе в электронной форме, не должно превышать 30 минут.

34. Учет запросов заявителей осуществляется в журнале учета запросов заявителей (далее - журнал учета), форма которого предусмотрена приложением N 4 к Административному регламенту.

В журнале учета фиксируется информация о процедуре предоставления государственной услуги.

Ведение журнала учета осуществляется также в электронном виде.

35. Запрос заявителя регистрируется в течение 3 рабочих дней со дня поступления в Роструд должностным лицом Роструда, ответственным за делопроизводство, и в день регистрации передается должностному лицу Роструда.

Требования к помещениям, в которых предоставляется государственная услуга, к месту ожидания и приема заявителей, размещению и оформлению визуальной, текстовой и мультимедийной информации о порядке предоставления государственной услуги

36. Прием запросов заявителей и их регистрация осуществляется в специально выделенных для этих целей помещениях Роструда.

37. Каждое рабочее место должностного лица Роструда, ведущего прием заявителей, оборудуется персональным компьютером с возможностью доступа к информационным базам данных, печатающим, а также сканирующим устройством (по возможности).

Должностные лица Роструда, ведущие прием заявителей, обеспечиваются личными нагрудными идентификационными карточками (бэйджами).

Кабинеты для приема заявителей оснащаются информационными табличками (вывесками) с указанием номера кабинета.

38. В помещении Роструда для приема заявителей, в котором предоставляется государственная услуга (далее - помещение Роструда), оборудуются места, имеющие стулья, столы (стойки) для возможности оформления документов, санитарно-технические помещения, в том числе для лиц с ограниченными физическими возможностями, а также места для хранения верхней одежды.

Помещение Роструда оборудуется системами кондиционирования (охлаждения и нагревания) воздуха, средствами пожаротушения и оповещения о возникновении чрезвычайных ситуаций.

Текстовая и мультимедийная информация о предоставлении государственной услуги размещается на информационном стенде в помещении Роструда, а также на официальном сайте Роструда.

Показатели доступности и качества государственной услуги

39. Основным показателем доступности и качества государственной услуги является предоставление государственной услуги в соответствии с требованиями, установленными законодательством Российской Федерации.

40. Показателями доступности предоставления государственной услуги являются:

а) доступность информации о предоставлении государственной услуги;

б) возможность получения информации о ходе предоставления государственной услуги, в том числе с использованием информационно-коммуникационных технологий;

в) соблюдение сроков предоставления государственной услуги;

г) отсутствие обоснованных жалоб со стороны заявителей на решения и (или) действия (бездействие) должностных лиц Роструда по результатам предоставления государственной услуги и на некорректное, невнимательное отношение должностных лиц Роструда к заявителям;

д) предоставление возможности подачи запроса заявителя и получения результата предоставления государственной услуги в электронной форме.

41. Показателями качества предоставления государственной услуги являются:

а) количество взаимодействий заявителя с должностным лицом Роструда при получении государственной услуги и их продолжительность;

б) достоверность предоставляемой заявителям информации о ходе предоставления государственной услуги;

в) своевременный прием и регистрация запроса заявителя;

г) удовлетворенность заявителей качеством государственной услуги;

д) принятие мер, направленных на восстановление нарушенных прав, свобод и законных интересов заявителей.

42. При подаче и при получении документов, необходимых для предоставления государственной услуги, предполагается однократное взаимодействие должностного лица Роструда и заявителя.

43. Информацию о государственной услуге и сведения о ходе ее предоставления заявители могут получить при личном обращении в Роструд, по каналам телефонной, факсимильной и электронной связи, в том числе с использованием Единого портала.

Иные требования, в том числе учитывающие особенности предоставления государственной услуги в многофункциональных центрах предоставления государственных и муниципальных услуг и особенности предоставления государственной услуги в электронной форме

44. Возможность получения государственной услуги в многофункциональном центре предоставления государственных и муниципальных услуг (далее - МФЦ) отсутствует.

45. При получении запроса заявителя в форме электронного документа должностное лицо Роструда, ответственное за делопроизводство, в день регистрации запроса заявителя направляет заявителю подтверждение о получении запроса в виде электронного документа, подписанное усиленной квалифицированной электронной подписью руководителя Роструда либо уполномоченного им должностного лица, с использованием Единого портала.

III. Состав, последовательность и сроки выполнения административных процедур, требования к порядку их выполнения, в том числе особенности выполнения административных процедур в электронной форме

Состав и последовательность административных процедур

46. Предоставление государственной услуги включает в себя следующие административные процедуры:

а) регистрация запроса заявителя;

б) рассмотрение запроса заявителя, принятие решения о регистрации соглашения либо об отказе в регистрации соглашения;

в) направление заявителю результата предоставления государственной услуги.

47. Максимально допустимые сроки административных процедур, предусмотренные настоящим разделом, указаны в рабочих днях.

Максимально допустимые сроки административных процедур, указанные в часах, исчисляются с учетом графика работы Роструда.

Блок-схема последовательности административных процедур при предоставлении государственной услуги предусмотрена приложением N 5 к Административному регламенту.

Регистрация запроса заявителя

48. Основанием для начала административной процедуры регистрации запроса заявителя является поступление запроса заявителя в Роструд.

49. Ответственным за выполнение административной процедуры является должностное лицо Роструда, ответственное за делопроизводство.

50. Должностное лицо Роструда, ответственное за делопроизводство, проставляет в запросе заявителя дату и входящий номер.

51. После регистрации запрос заявителя передается должностному лицу Роструда не позднее 3 дней со дня его поступления.

52. Результатом административной процедуры является регистрация запроса заявителя должностным лицом Роструда, ответственным за делопроизводство.

Рассмотрение запроса заявителя, принятие решения о регистрации соглашения либо об отказе в регистрации соглашения

53. Основанием для начала административной процедуры рассмотрения запроса заявителя, принятия решения о регистрации соглашения либо об отказе в регистрации соглашения является получение запроса заявителя должностным лицом Роструда.

54. Ответственным за выполнение административной процедуры является должностное лицо Роструда.

55. Должностное лицо Роструда при поступлении запроса заявителя осуществляет следующие действия:

а) проверяет наличие документов, необходимых для предоставления государственной услуги, предусмотренных пунктом 20 Административного регламента;

б) проверяет соответствие представленных заявителем документов, необходимых для предоставления государственной услуги, требованиям к их оформлению, предусмотренным пунктами 22, 23 Административного регламента;

в) выявляет наличие оснований для отказа в регистрации соглашения, предусмотренных пунктом 28 Административного регламента;

г) вносит в журнал учета информацию, предусмотренную Административным регламентом.

Срок выполнения административной процедуры не должен превышать 5 дней.

56. В случае выявления оснований для отказа в регистрации соглашения должностным лицом Роструда принимается решение об отказе в регистрации соглашения и готовится уведомление об отказе в регистрации соглашения с указанием основания отказа.

Срок выполнения административной процедуры не должен превышать 3 дней.

57. Должностное лицо Роструда представляет уведомление об отказе в регистрации соглашения, а также документы, необходимые для предоставления государственной услуги, поступившие от заявителя, руководителю Роструда либо уполномоченному им должностному лицу для рассмотрения и принятия решения.

Срок выполнения административной процедуры не должен превышать 3 дней.

58. Уведомление об отказе в регистрации соглашения подписывается руководителем Роструда либо уполномоченным им должностным лицом и направляется должностным лицом Роструда на регистрацию должностному лицу Роструда, ответственному за делопроизводство.

Срок выполнения административной процедуры не должен превышать 3 дней.

59. В случае отсутствия оснований для отказа в регистрации соглашения должностным лицом Роструда принимается решение о регистрации соглашения и готовится уведомление о регистрации соглашения.

В случае, если в соглашении выявлены условия, ухудшающие положение работников по сравнению с трудовым законодательством и иными нормативными правовыми актами, содержащими нормы трудового права, должностным лицом Роструда готовится уведомление о регистрации соглашения с выявлением условий, ухудшающих положение работников.

Срок выполнения административной процедуры не должен превышать 3 дней.

60. Должностное лицо Роструда представляет уведомление о регистрации соглашения либо уведомление о регистрации соглашения с выявлением условий, ухудшающих положение работников, а также документы, необходимые для предоставления государственной услуги, поступившие от заявителя, руководителю Роструда либо уполномоченному им должностному лицу для рассмотрения и принятия решения.

Срок выполнения административной процедуры не должен превышать 3 дней.

61. Уведомление о регистрации соглашения либо уведомление о регистрации соглашения с выявлением условий, ухудшающих положение работников, подписывается руководителем Роструда либо уполномоченным им должностным лицом.

Срок выполнения административной процедуры не должен превышать 3 дней.

62. Должностное лицо Роструда проставляет в подписанном руководителем Роструда либо уполномоченным им должностным лицом уведомлении о регистрации соглашения либо уведомлении о регистрации соглашения с выявлением условий, ухудшающих положение работников, дату регистрации и регистрационный номер соглашения и направляет уведомление о регистрации соглашения либо уведомление о регистрации соглашения с выявлением условий, ухудшающих положение работников, на регистрацию должностному лицу Роструда, ответственному за делопроизводство.

Срок выполнения административной процедуры не должен превышать 4 часов.

63. Результатом административной процедуры является передача должностным лицом Роструда уведомления о регистрации соглашения, либо уведомления о регистрации соглашения с выявлением условий, ухудшающих положение работников, либо уведомления об отказе в регистрации соглашения должностному лицу Роструда, ответственному за делопроизводство.

Направление заявителю результата предоставления государственной услуги

64. Основанием для начала административной процедуры направления заявителю результата предоставления государственной услуги является получение должностным лицом Роструда, ответственным за делопроизводство, уведомления о регистрации соглашения, либо уведомления о регистрации соглашения с выявлением условий, ухудшающих положение работников, либо уведомления об отказе в регистрации соглашения.

65. Ответственным за выполнение административной процедуры является должностное лицо Роструда, ответственное за делопроизводство.

66. Должностное лицо Роструда, ответственное за делопроизводство, проставляет в уведомлении о регистрации соглашения, либо уведомлении о регистрации соглашения с выявлением условий, ухудшающих положение работников, либо уведомлении об отказе в регистрации соглашения дату и исходящий номер.

Время выполнения административной процедуры не должно превышать 4 часов.

67. Должностное лицо Роструда, ответственное за делопроизводство, направляет заявителю уведомление о регистрации соглашения, либо уведомление о регистрации соглашения с выявлением условий, ухудшающих положение работников, либо уведомление об отказе в регистрации соглашения.

Срок выполнения административной процедуры не должен превышать 2 дней.

68. Должностное лицо Роструда вносит в журнал учета информацию о дате и исходящем номере направленного заявителю уведомления о регистрации соглашения, либо уведомления о регистрации соглашения с выявлением условий, ухудшающих положение работников, либо уведомления об отказе в регистрации соглашения.

Время выполнения административной процедуры не должно превышать 4 часов.

69. Результатом административной процедуры является направление заявителю уведомления о регистрации соглашения, либо уведомления о регистрации соглашения с выявлением условий, ухудшающих положение работников, либо уведомления об отказе в регистрации соглашения.

IV. Формы контроля за предоставлением государственной услуги

Порядок осуществления текущего контроля за соблюдением и исполнением должностными лицами Роструда положений Административного регламента и иных нормативных правовых актов, устанавливающих требования к предоставлению государственной услуги, а также принятием решений должностными лицами Роструда

70. Текущий контроль за соблюдением и исполнением должностными лицами Роструда положений Административного регламента и иных нормативных правовых актов, устанавливающих требования к предоставлению государственной услуги (далее - текущий контроль), осуществляется руководителем Роструда либо уполномоченным им должностным лицом Роструда.

71. Текущий контроль осуществляется путем проведения проверок полноты и качества предоставления государственной услуги, соблюдения и исполнения положений Административного регламента, иных нормативных правовых актов, устанавливающих требования к предоставлению государственной услуги, выявления и обеспечения устранения выявленных нарушений (далее - проверка), рассмотрения обращений заявителей, содержащих жалобы на действия (бездействие) должностных лиц Роструда.

Порядок и периодичность осуществления плановых и внеплановых проверок полноты и качества предоставления государственной услуги, в том числе порядок и формы контроля за полнотой и качеством предоставления государственной услуги

72. В целях осуществления контроля полноты и качества предоставления государственной услуги, а также выявления и устранения нарушений прав заявителей проводятся плановые и внеплановые проверки.

73. Периодичность проведения плановых и внеплановых проверок устанавливается руководителем Роструда либо уполномоченным им должностным лицом.

74. Для проведения плановых и внеплановых проверок полноты и качества предоставления государственной услуги (далее - проверка) Рострудом формируется комиссия, состав которой утверждается приказом Роструда.

75. По окончании проведения проверки составляется акт, состоящий из констатирующей части, выводов и предложений, направленных на улучшение предоставления государственной услуги.

76. Внеплановые проверки проводятся в случае жалобы на действия (бездействие) должностных лиц Роструда.

77. О результатах проведенной внеплановой проверки заявитель информируется в письменной форме на бумажном носителе.

Ответственность должностных лиц Роструда за решения и действия (бездействие), принимаемые (осуществляемые) ими в ходе предоставления государственной услуги

78. По результатам проведенных проверок в случае выявления нарушений соблюдения положений Административного регламента и иных нормативных правовых актов, устанавливающих требования к предоставлению государственной услуги, должностные лица Роструда несут ответственность за принимаемые (осуществляемые) в ходе предоставления государственной услуги решения и (или) действия (бездействие) в соответствии с требованиями законодательства Российской Федерации.

Положения, характеризующие требования к порядку и формам контроля за предоставлением государственной услуги, в том числе со стороны граждан, их объединений и организаций

79. Контроль за предоставлением государственной услуги может осуществляться со стороны заявителей, их объединений и организаций путем направления в адрес Роструда:

а) предложений по совершенствованию нормативных правовых актов, регламентирующих предоставление Рострудом государственной услуги;

б) сообщений о нарушении законов и иных нормативных правовых актов, регламентирующих предоставление Рострудом государственной услуги, недостатках в работе Роструда, его должностных лиц;

в) жалоб по фактам нарушения должностными лицами Роструда прав, свобод или законных интересов заявителей.

V. Досудебный (внесудебный) порядок обжалования решений и действий (бездействия) Роструда, а также его должностных лиц

Информация для заявителя о его праве подать жалобу на решение и (или) действие (бездействие) Роструда и (или) его должностных лиц

80. Заявитель имеет право подать жалобу на решения и (или) действия (бездействие) Роструда, а также его должностных лиц при предоставлении государственной услуги (далее - жалоба).

Предмет жалобы

81. Заявитель может обратиться с жалобой в том числе в следующих случаях:

а) нарушение срока регистрации запроса заявителя;

б) нарушение срока предоставления государственной услуги;

в) требование представления заявителем документов, не предусмотренных нормативными правовыми актами Российской Федерации для предоставления государственной услуги;

г) отказ в приеме документов, предоставление которых предусмотрено нормативными правовыми актами Российской Федерации для предоставления государственной услуги;

д) отказ в регистрации соглашения, если основания отказа не предусмотрены федеральными законами и принятыми в соответствии с ними иными нормативными правовыми актами Российской Федерации;

е) требование внесения заявителем при предоставлении государственной услуги платы, не предусмотренной нормативными правовыми актами Российской Федерации;

ж) отказ Роструда, его должностного лица в исправлении допущенных опечаток и ошибок в выданных в результате предоставления государственной услуги документах либо нарушение установленного срока таких исправлений.

Органы государственной власти и уполномоченные на рассмотрение жалобы должностные лица, которым может быть направлена жалоба

82. Жалоба на решение и (или) действия (бездействие) должностного лица Роструда подается в Роструд.

83. Жалоба на решение и (или) действия (бездействие) руководителя Роструда подается в Министерство труда и социальной защиты Российской Федерации (далее - Министерство).

Порядок подачи и рассмотрения жалобы

84. Жалоба подается в Роструд в письменной форме на бумажном носителе, в том числе при личном приеме заявителя, или форме электронного документа, заверенного усиленной квалифицированной электронной подписью заявителя в соответствии с законодательством Российской Федерации, с использованием сети Интернет, официального сайта Роструда, МФЦ, Единого портала.

85. Основанием для начала процедуры досудебного (внесудебного) обжалования решения и действия (бездействия) Роструда, его должностных лиц является подача заявителем жалобы.

86. Жалоба должна содержать:

а) наименование органа, предоставляющего государственную услугу (Роструд), должностного лица Роструда, решения и действия (бездействие) которых обжалуются;

б) наименование заявителя, сведения о его месте нахождения, а также номер (номера) контактного телефона, адрес (адреса) электронной почты (при наличии) и место нахождения, по которым должен быть направлен ответ заявителю;

в) сведения об обжалуемых решениях и действиях (бездействии) Роструда, его должностного лица;

г) доводы, на основании которых заявитель не согласен с решением и действием (бездействием) Роструда, его должностного лица.

87. Заявитель может представить документы (при наличии), подтверждающие его доводы, либо их копии.

88. Жалобы, поданные в письменной форме на бумажном носителе или форме электронного документа, остаются без рассмотрения в следующих случаях:

а) наличие в жалобе нецензурных либо оскорбительных выражений, угроз жизни, здоровью и имуществу должностного лица Роструда, а также членов его семьи;

б) отсутствие возможности прочитать какую-либо часть текста жалобы, фамилию, имя, отчество (при наличии) и (или) место нахождения заявителя, указанные в жалобе.

Сроки регистрации и рассмотрения жалобы

89. Жалоба подлежит обязательной регистрации не позднее рабочего дня, следующего за днем ее поступления в Роструд.

90. При обращении заявителей с жалобой в письменной форме на бумажном носителе или форме электронного документа жалоба рассматривается в течение 15 рабочих дней со дня ее регистрации, а в случае обжалования отказа Роструда, его должностного лица в приеме документов у заявителя либо в исправлении допущенных опечаток и ошибок или в случае обжалования нарушения установленного срока таких исправлений - в течение 5 рабочих дней со дня ее регистрации.

Перечень оснований для приостановления рассмотрения жалобы в случае, если возможность приостановления предусмотрена законодательством Российской Федерации

91. Основания для приостановления рассмотрения жалобы не предусмотрены.

Результат рассмотрения жалобы

92. По результатам рассмотрения жалобы принимается одно из следующих решений:

а) удовлетворить жалобу, в том числе в форме отмены принятого решения, исправления допущенных Рострудом опечаток и ошибок в выданных в результате предоставления государственной услуги документах, возврата заявителю денежных средств, взимание которых не предусмотрено нормативными правовыми актами Российской Федерации;

б) отказать в удовлетворении жалобы.

Порядок информирования заявителя о результатах рассмотрения жалобы

93. Ответ по результатам рассмотрения жалобы направляется заявителю не позднее рабочего дня, следующего за днем принятия решения, в письменной форме или форме электронного документа, заверенного усиленной квалифицированной электронной подписью руководителя Роструда либо уполномоченного им должностного лица в соответствии с законодательством Российской Федерации.

94. В случае установления в ходе или по результатам рассмотрения жалобы признаков состава административного правонарушения, предусмотренного статьей 5.63 Кодекса Российской Федерации об административных правонарушениях, или признаков состава преступления должностное лицо Роструда, уполномоченное на рассмотрение жалоб, незамедлительно направляет соответствующие материалы в органы прокуратуры.

Порядок обжалования решения по жалобе

95. Заявители имеют право обжаловать решение по жалобе в Министерстве в соответствии с законодательством Российской Федерации.

Право заявителя на получение информации и документов, необходимых для обоснования и рассмотрения жалобы

96. Заявители имеют право обратиться в Роструд за получением информации и документов, необходимых для обоснования и рассмотрения жалобы, в письменной форме на бумажном носителе, через МФЦ, с использованием сети Интернет, официального сайта Роструда, Единого портала.

Способы информирования заявителей о порядке подачи и рассмотрения жалобы

97. Информацию о порядке подачи и рассмотрения жалобы заявители могут получить на информационных стендах Роструда в местах предоставления государственной услуги, на официальном сайте Роструда, в Едином портале.

Приложение N 1
к Административному регламенту
предоставления Федеральной службой
по труду и занятости государственной
услуги по уведомительной
регистрации отраслевых (межотраслевых)
соглашений, заключенных на федеральном
уровне социального партнерства,
межрегиональных соглашений,
утвержденному приказом Министерства
труда и социальной защиты
Российской Федерации
от 12 сентября 2014 г. N 636н

                                                             Форма
 
На бланке организации
 
                                                  Руководителю
                                               Федеральной службы
                                              по труду и занятости
 
                              ЗАПРОС
 
Прошу   предоставить   государственную   услугу  по уведомительной
регистрации
__________________________________________________________________
                 (Полное наименование соглашения)
 
Дата подписания соглашения сторонами коллективных переговоров: ___
 
Наименование и правовой статус заявителя: ________________________
 
Место  нахождения  заявителя  (по  которому  должен быть направлен
ответ):
__________________________________________________________________
Адрес электронной почты заявителя: _______________________________
 
Контактные номера телефонов заявителя: ___________________________
 
Информация    о    второй    стороне    коллективных   переговоров
(наименование,   правовой   статус,   место нахождения, контактные
номера   телефонов,   адрес   электронной   почты   (при  наличии)
организации,  фамилия,  имя,  отчество  (при  наличии),  должность
представителя организации): ______________________________________
__________________________________________________________________
 
__________________________
(Дата составления запроса)
 
Должность представителя заявителя __________  ____________________
                                   (Подпись)          (ФИО)
 
 
 

Приложение N 2
к Административному регламенту
предоставления Федеральной службой
по труду и занятости государственной
услуги по уведомительной
регистрации отраслевых (межотраслевых)
соглашений, заключенных на федеральном
уровне социального партнерства,
межрегиональных соглашений,
утвержденному приказом Министерства
труда и социальной защиты
Российской Федерации
от 12 сентября 2014 г. N 636н

                                                             Форма
 
                           _______________________________________
                           _______________________________________
                           _______________________________________
                           (Место нахождения представителя стороны
                             социального партнерства, заключившей
                                        соглашение)
 
                            УВЕДОМЛЕНИЕ
                           о регистрации
 
__________________________________________________________________
__________________________________________________________________
                (Полное наименование соглашения)
 
Федеральная служба по труду и занятости сообщает, что: ___________
__________________________________________________________________
__________________________________________________________________
                (Полное наименование соглашения)
зарегистрировано __________________________ 20__ года.
                     (Дата регистрации)
 
Регистрационный номер: ___________________________________________
 
Условия соглашения, ухудшающие положение работников по сравнению с
трудовым  законодательством и иными нормативными правовыми актами,
содержащими нормы трудового права, не выявлены.
 
    Руководитель
 Федеральной службы
по труду и занятости
   (Уполномоченное
  должностное лицо)   ____________   _____________________________
                        (Подпись)               (ФИО)
 
 
 

Приложение N 3
к Административному регламенту
предоставления Федеральной службой
по труду и занятости государственной
услуги по уведомительной
регистрации отраслевых (межотраслевых)
соглашений, заключенных на федеральном
уровне социального партнерства,
межрегиональных соглашений,
утвержденному приказом Министерства
труда и социальной защиты
Российской Федерации
от 12 сентября 2014 г. N 636н

                                                             Форма
 
                          ________________________________________
                          ________________________________________
                          ________________________________________
                          (Место нахождения представителя стороны
                            социального партнерства, заключившей
                           отраслевое (межотраслевое) соглашение,
                              заключенное на федеральном уровне
                          социального партнерства, межрегиональное
                                         соглашение)
 
                            УВЕДОМЛЕНИЕ
    о регистрации с выявлением условий отраслевого соглашения,
      ухудшающих положение работников по сравнению с трудовым
     законодательством и иными нормативными правовыми актами,
                 содержащими нормы трудового права
 
__________________________________________________________________
__________________________________________________________________
                 (Полное наименование соглашения)
 
Федеральная служба по труду и занятости сообщает, что: ___________
__________________________________________________________________
__________________________________________________________________
                 (Полное наименование соглашения)
зарегистрировано ________________________ 20__ года.
                    (Дата регистрации)
 
Регистрационный номер: ___________________________________________
 
При   регистрации   соглашения   Федеральной   службой  по труду и
занятости   выявлены   следующие   условия,   ухудшающие положение
работников  по  сравнению  с  трудовым  законодательством  и иными
нормативными правовыми актами, содержащими нормы трудового права:
 
N п/п
     Условия соглашения, 
ухудшающие положение
работников по сравнению
с трудовым законодательством и
иными нормативными
правовыми актами,
содержащими нормы
трудового права (N пункта,
статьи, раздела в зависимости
от структуры соглашения)
Нормативный правовой акт, 
по сравнению с которым
условия соглашения
ухудшают положение
работников (N пункта,
статьи нормативного
правового акта)
1.
 
 
2.
 
 
3.
 
 
...
 
 
 
Условия соглашения, ухудшающие положение работников по сравнению с
трудовым  законодательством и иными нормативными правовыми актами,
содержащими  нормы  трудового права, недействительны и не подлежат
применению.
 
    Руководитель
 Федеральной службы
по труду и занятости
   (Уполномоченное
  должностное лицо)   ____________   _____________________________
                        (Подпись)               (ФИО)
 
 
 

Приложение N 4
к Административному регламенту
предоставления Федеральной службой
по труду и занятости государственной
услуги по уведомительной
регистрации отраслевых (межотраслевых)
соглашений, заключенных на федеральном
уровне социального партнерства,
межрегиональных соглашений,
утвержденному приказом Министерства
труда и социальной защиты
Российской Федерации
от 12 сентября 2014 г. N 636н

Форма

ЖУРНАЛ УЧЕТА ЗАПРОСОВ ЗАЯВИТЕЛЕЙ О ПРЕДОСТАВЛЕНИИ ГОСУДАРСТВЕННОЙ УСЛУГИ ПО УВЕДОМИТЕЛЬНОЙ РЕГИСТРАЦИИ ОТРАСЛЕВЫХ (МЕЖОТРАСЛЕВЫХ) СОГЛАШЕНИЙ, ЗАКЛЮЧЕННЫХ НА ФЕДЕРАЛЬНОМ УРОВНЕ СОЦИАЛЬНОГО ПАРТНЕРСТВА, МЕЖРЕГИОНАЛЬНЫХ СОГЛАШЕНИЙ

1. Порядковый номер записи
2. Дата и входящий номер запроса заявителя
3. Наименование заявителя
4. Место нахождения заявителя, контактные телефоны, адрес электронной почты (при наличии)
5. Фамилия, имя, отчество (при наличии) представителя заявителя, должность
6. Сведения о второй стороне коллективных переговоров (наименование, правовой статус, место нахождения, контактные номера телефонов, адрес электронной почты (при наличии) организации, фамилия, имя, отчество (при наличии), должность представителя организации)
7. Отметка о соответствии представленных заявителем документов, необходимых для предоставления государственной услуги, требованиям к их составу и оформлению, предусмотренным Административным регламентом, замечания (при наличии)
8. Дата регистрации и регистрационный номер соглашения
9. Дата и исходящий номер уведомления о регистрации соглашения
10. Дата и исходящий номер уведомления о регистрации соглашения с выявлением условий, ухудшающих положение работников
11. Дата и исходящий номер уведомления об отказе в регистрации соглашения

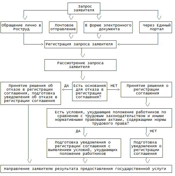
Приложение N 5
к Административному регламенту
предоставления Федеральной службой
по труду и занятости государственной
услуги по уведомительной
регистрации отраслевых (межотраслевых)
соглашений, заключенных на федеральном
уровне социального партнерства,
межрегиональных соглашений,
утвержденному приказом Министерства
труда и социальной защиты
Российской Федерации
от 12 сентября 2014 г. N 636н

БЛОК-СХЕМА ПОСЛЕДОВАТЕЛЬНОСТИ АДМИНИСТРАТИВНЫХ ПРОЦЕДУР ПРИ ПРЕДОСТАВЛЕНИИ ГОСУДАРСТВЕННОЙ УСЛУГИ ПО УВЕДОМИТЕЛЬНОЙ РЕГИСТРАЦИИ ОТРАСЛЕВЫХ (МЕЖОТРАСЛЕВЫХ) СОГЛАШЕНИЙ, ЗАКЛЮЧЕННЫХ НА ФЕДЕРАЛЬНОМ УРОВНЕ СОЦИАЛЬНОГО ПАРТНЕРСТВА, МЕЖРЕГИОНАЛЬНЫХ СОГЛАШЕНИЙ