Приказ ФСТ РФ от 31.10.2014 N 238-Т/2

"Об утверждении Методических указаний по вопросу государственного регулирования сборов и тарифов на услуги субъектов естественных монополий в аэропортах"
Редакция от 31.10.2014 — Действует с 03.02.2015

Зарегистрировано в Минюсте России 29 декабря 2014 г. N 35469


ФЕДЕРАЛЬНАЯ СЛУЖБА ПО ТАРИФАМ

ПРИКАЗ
от 31 октября 2014 г. N 238-т/2

ОБ УТВЕРЖДЕНИИ МЕТОДИЧЕСКИХ УКАЗАНИЙ ПО ВОПРОСУ ГОСУДАРСТВЕННОГО РЕГУЛИРОВАНИЯ СБОРОВ И ТАРИФОВ НА УСЛУГИ СУБЪЕКТОВ ЕСТЕСТВЕННЫХ МОНОПОЛИЙ В АЭРОПОРТАХ

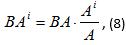
В соответствии с Федеральным законом от 17.08.1995 N 147-ФЗ "О естественных монополиях" (Собрание законодательства Российской Федерации, 1995, N 34, ст.3426; 2001, N 33 (часть 1), ст.3429; 2002, N 1 (часть 1), ст.2; 2003, N 2, ст.168; N 13, ст.1181; 2004, N 27, ст.2711; 2006, N 1, ст.10; N 19, ст.2063; 2007, N 1 (часть 1), ст.21; N 43, ст.5084; N 46, ст.5557; 2008, N 52 (часть 1), ст.6236; 2011, N 29, ст.4281; N 30 (часть 1), ст.4590, ст.4596; N 50, ст.7343; 2012, N 26, ст.3446; N 31, ст.4321; N 53 (часть 1), ст.7616), постановлением Правительства Российской Федерации от 23.04.2008 N 293 "О государственном регулировании цен (тарифов, сборов) на услуги субъектов естественных монополий в транспортных терминалах, портах, аэропортах и услуги по использованию инфраструктуры внутренних водных путей" (Собрание законодательства Российской Федерации, 2008, N 17, ст.1887; 2009, N 30, ст.3836; 2010, N 19, ст.2316; 2013, N 27, ст.3602), на основании Положения о Федеральной службе по тарифам, утвержденного постановлением Правительства Российской Федерации от 30.06.2004 N 332 (Собрание законодательства Российской Федерации, 2004, N 29, ст.3049; 2006, N 3, ст.301; N 23, ст.2522; N 48, ст.5032; N 50, ст.5354; 2007, N 16, ст.1912; N 25, ст.3039; N 32, ст.4145; 2008, N 7, ст.597; N 17, ст.1897; N 23, ст.2719; N 38, ст.4309; N 46, ст.5337; 2009, N 1, ст.142; N 3, ст.378; N 6, ст.738; N 9, ст.1119; N 18 (часть 2), ст.2249; N 33, ст.4086; 2010, N 9, ст.960; N 13, ст.1514; N 25, ст.3169; N 26, ст.3350; N 30, ст.4096; N 45, ст.5851; 2011, N 14, ст.1935; N 32, ст.4831; N 42, ст.5925; 2013, N 11, ст.1126; N 13, ст.1555; N 33, ст.4386; N 45, ст.5811, ст.5822),

приказываю:

1. Утвердить Методические указания по вопросу государственного регулирования сборов и тарифов на услуги субъектов естественных монополий в аэропортах согласно приложению к настоящему приказу.

2. Настоящий приказ вступает в силу в установленном порядке.

Руководитель
Федеральной службы по тарифам
С. НОВИКОВ

Приложение
к приказу
Федеральной службы по тарифам
от 31 октября 2014 г. N 238-т/2

МЕТОДИЧЕСКИЕ УКАЗАНИЯ
ПО ВОПРОСУ ГОСУДАРСТВЕННОГО РЕГУЛИРОВАНИЯ СБОРОВ И ТАРИФОВ НА УСЛУГИ СУБЪЕКТОВ ЕСТЕСТВЕННЫХ МОНОПОЛИЙ В АЭРОПОРТАХ

I. Общие положения

1. Настоящие Методические указания по вопросу государственного регулирования сборов и тарифов на услуги субъектов естественных монополий в аэропортах (далее - Методические указания) разработаны на основании постановления Правительства Российской Федерации от 23 апреля 2008 года N 293 "О государственном регулировании цен (тарифов, сборов) на услуги субъектов естественных монополий в транспортных терминалах, портах, аэропортах и услуги по использованию инфраструктуры внутренних водных путей" (Собрание законодательства Российской Федерации, 2008, N 17, ст. 1887; 2009, N 30, ст. 3836; 2010, N 19, ст. 2316; 2013, N 27, ст. 3602) (далее - постановление Правительства Российской Федерации от 23.04.2008 N 293).

2. Методические указания предназначены для использования Федеральной службой по тарифам и органами исполнительной власти субъектов Российской Федерации, осуществляющими государственное регулирование сборов и тарифов (далее - органы регулирования), субъектами естественных монополий, оказывающими услуги в аэропортах, включенные в перечень услуг субъектов естественных монополий в аэропортах (далее - субъекты регулирования), цены (тарифы, сборы) на которые регулируются государством.

3. Настоящие Методические указания определяют порядок расчета предельного уровня сборов и тарифов (далее - регулируемые сборы и тарифы) по видам услуг субъектов естественных монополий в аэропортах, подлежащих государственному регулированию в соответствии с их перечнем (далее - регулируемые услуги), утвержденным постановлением Правительства Российской Федерации от 23.04.2008 N 293.

4. Государственное регулирование сборов и тарифов осуществляется на основе данных раздельного учета доходов и расходов по видам деятельности субъектов регулирования. Раздельный учет доходов и расходов по видам деятельности осуществляется субъектами регулирования на основании и в соответствии с Порядком ведения раздельного учета доходов и расходов по видам деятельности, связанной с оказанием услуг субъектов естественных монополий в аэропортах, утвержденным приказом Минтранса России от 5 декабря 2011 года N 303 (зарегистрирован Минюстом России 2 февраля 2012 года, регистрационный N 23111) (далее - Порядок ведения раздельного учета).

5. Настоящие Методические указания определяют основные положения по расчету:

экономически обоснованных затрат, включающих расходы по обычным видам деятельности и прочие расходы, учитываемые при формировании регулируемых сборов и тарифов;

нормативной прибыли, определяемой исходя из стоимости основных средств и других активов, необходимых для оказания регулируемых услуг, и нормы прибыли (рентабельности) на капитал, с учетом стимулирования реализации инвестиционных программ по обновлению и развитию материально-технической базы, строительству объектов производственной инфраструктуры и внедрению новых технологий;

необходимой валовой выручки, формируемой исходя из объема экономически обоснованных затрат, нормативной прибыли, субсидий за счет бюджетных средств, а также величины ее корректировки;

предельного уровня ставок сборов и тарифов на очередной финансовый год;

предельного уровня ставок сборов и тарифов на каждый финансовый год долгосрочного периода регулирования.

6. Понятия, используемые в настоящих Методических указаниях, соответствуют определениям, данным в Федеральном законе от 17 августа 1995 года N 147-ФЗ "О естественных монополиях" (Собрание законодательства Российской Федерации, 1995, N 34, ст. 3426; 2001, N 33 (часть I), ст. 3429; 2002, N 1 (часть I), ст. 2; 2003, N 2, ст. 168; N 13, ст. 1181; 2004, N 27, ст. 2711; 2006, N 1, ст. 10; N 19, ст. 2063; 2007, N 1 (часть I), ст. 21; N 43, ст. 5084; N 46, ст. 5557; 2008, N 52 (часть I), ст. 6236; 2011, N 29, ст. 4281; N 30 (часть I), ст. 4590, ст. 4596; N 50, ст. 7343; 2012, N 26, ст. 3446; N 31, ст. 4321; N 53 (часть I), ст. 7616), Воздушном кодексе Российской Федерации от 19 марта 1997 года N 60-ФЗ (Собрание законодательства Российской Федерации, 1997, N 12, ст. 1383; 1999, N 28, ст. 3483; 2004, N 35, ст. 3607; N 45, ст. 4377; 2005, N 13, ст. 1078; 2006, N 30, ст. 3290, ст. 3291; 2007, N 1 (часть I), ст. 29; N 27, ст. 3213; N 46, ст. 5554; N 49, ст. 6075; N 50, ст. 6239, ст. 6244, ст. 6245; 2008, N 29 (часть I), ст. 3418; N 30 (часть II), ст. 3616; 2009, N 1, ст. 17; N 29, ст. 3616; 2010, N 30, ст. 4014; 2011, N 7, ст. 901; N 15, ст. 2019, ст. 2023; ст. 2024; N 30 (часть I), ст. 4590; N 48, ст. 6733; N 50, ст. 7351; 2012, N 25, ст. 3268; N 31, ст. 4318; N 53 (часть I), ст. 7585; 2013, N 23, ст. 2882; N 27, ст. 3477; 2014, N 16, ст. 1830, ст. 1836; N 30 (часть I), ст. 4254; N 42, ст. 5615) и постановлении Правительства Российской Федерации от 23.04.2008 N 293.

II. Основные положения по расчету регулируемых сборов и тарифов на услуги субъектов естественных монополий в аэропортах

7. Регулируемые сборы и тарифы на услуги субъектов естественных монополий в аэропортах рассчитываются на очередной финансовый год или на долгосрочный период регулирования, продолжительность которого определяется с учетом предложений субъекта регулирования и не превышает период, на который определяются прогнозные показатели социально-экономического развития Российской Федерации, установленные Правительством Российской Федерации, за исключением случаев, предусмотренных пунктом 8.2.2 настоящих Методических указаний.

8. В целях определения сборов и тарифов на услуги субъектов естественных монополий в аэропортах производится расчет необходимой валовой выручки, в состав которой включаются:

- экономически обоснованные затраты, связанные с осуществлением регулируемых видов деятельности;

- нормативная прибыль.

8.1. Экономически обоснованные затраты определяются с учетом индексов инфляции, индексов цен производителей на внутреннем рынке, прогнозируемого изменения объемов работ (услуг) и степени влияния изменения объемов работ (услуг) на динамику изменения расходов, условий заключенных субъектом регулирования или планируемых к заключению договоров со сторонними организациями по предоставлению услуг, необходимых для осуществления регулируемой деятельности.

8.2. Нормативная прибыль определяется исходя из стоимости основных средств и нематериальных активов по данным бухгалтерского баланса субъекта регулирования за последний отчетный год, предшествующий текущему году, с учетом нормы рентабельности по действующей базе активов, обеспечивающей получение прибыли в условиях минимального экономического риска.

8.2.1. В случае если сборы и тарифы рассчитываются на долгосрочный период регулирования, при формировании нормативной прибыли учитываются также показатели финансовой деятельности, формируемые на каждый финансовый год долгосрочного периода на основе перечня основных средств и нематериальных активов, фиксированного на конец последнего отчетного года, предшествующего текущему году.

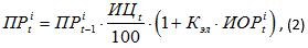
8.2.2. В случае реализации субъектом регулирования инвестиционной программы, необходимой для осуществления регулируемых услуг в соответствии с текущим состоянием материально-технической базы и перспективами развития аэропорта, необходимостью внедрения инновационных технологий, обеспечивающих повышение эффективности его деятельности, регулируемые сборы и тарифы на услуги субъектов естественных монополий в аэропортах рассчитываются на долгосрочный период продолжительностью до 5 лет. Расчет нормативной прибыли в этом случае производится с учетом планируемых на период реализации инвестиционной программы капитализированных инвестиций и нормы рентабельности на вложенный капитал, эквивалентной средневзвешенной стоимости его привлечения.

Формирование нормативной прибыли с учетом планируемых капитализированных инвестиций осуществляется при наличии прогноза объемов инвестиционной программы и объемов, введенных в рамках ее исполнения основных средств по каждому году реализации инвестиционной программы субъекта регулирования.

Расходы на реализацию субъектом регулирования инвестиционной программы принимаются с учетом оценки уполномоченного федерального органа исполнительной власти в области транспорта соответствия представленной программы направлениям развития воздушного транспорта, осуществляемой в рамках государственной политики в области гражданской авиации. Субъектом регулирования представляется обоснование необходимости реализации инвестиционной программы для осуществления регулируемых услуг с учетом текущего состояния материально-технической базы и планов развития аэропорта, целесообразности реализации инвестиционной программы в целях повышения эффективности деятельности субъекта регулирования, снижения себестоимости регулируемых услуг в результате внедрения инновационных технологий, определяются сроки окупаемости и показатели эффективности проекта. При необходимости для оценки экономической обоснованности инвестиционной программы используются заключения экспертов или органов по сертификации воздушного транспорта.

В случае применения данного подхода к расчету нормативной прибыли в целях мониторинга органом регулирования результатов ее исполнения субъект регулирования ежегодно предоставляет отчетность о финансово-экономических показателях деятельности за соответствующий отчетный период и информацию о выполнении инвестиционной программы.

9. В целях настоящих Методических указаний и с учетом требований, установленных Порядком ведения раздельного учета, расчет экономически обоснованных затрат, нормативной прибыли и необходимой валовой выручки осуществляется отдельно по видам регулируемых услуг, предусмотренных Перечнем услуг субъектов естественных монополий в аэропортах, цены (тарифы, сборы) на которые регулируются государством, утвержденным постановлением Правительства Российской Федерации от 23.04.2008 N 293.

Для расчета предельного уровня ставок сборов и тарифов по видам регулируемых услуг, по которым ставки сборов устанавливаются отдельно для российских потребителей и иностранных эксплуатантов, указанные показатели определяются также отдельно по российским потребителям и иностранным эксплуатантам.

10. Расчет предельного уровня ставок сборов и тарифов на очередной финансовый год или на каждый год долгосрочного периода регулирования (далее - прогнозируемый финансовый год) производится в текущем финансовом году t. При этом осуществляется расчет экономически обоснованных затрат, нормативной прибыли и необходимой валовой выручки субъекта регулирования на текущий и очередной финансовый год или на текущий финансовый год и на каждый прогнозируемый финансовый год. Расчеты осуществляются на базе отчетных данных субъекта регулирования за три года, предшествующие отчетному году, или с момента начала оказания регулируемых услуг субъектом регулирования, если с момента оказания регулируемых услуг субъектом регулирования прошло менее трех лет, и прогнозных данных на текущий финансовый год и на очередной финансовый год или на каждый прогнозируемый финансовый год по показателям, необходимым для выполнения расчетов в соответствии с настоящими Методическими указаниями.

Исходные данные, используемые для выполнения расчетов, и основные результаты расчетов в соответствии с настоящими Методическими указаниями отражаются согласно приложениям 1 и 2 к настоящим Методическим указаниям.

11. Сборы и тарифы на услуги субъектов естественных монополий в аэропортах, определенные на долгосрочный период регулирования, подлежат корректировке в течение данного периода в случае отклонения фактических параметров их расчета от прогнозных. Данная корректировка осуществляется с учетом уточненных параметров расчета установленных на долгосрочный период регулирования сборов и тарифов, включая:

- инфляционные показатели,

- объемы работ,

- неподконтрольные субъекту регулирования расходы, размер которых определяется условиями договоров со сторонними организациями на выполнение работ, необходимых для оказания регулируемых услуг, и нормами законодательства Российской Федерации,

- результаты исполнения инвестиционных программ.

11.1. При отклонении фактических инфляционных показателей от прогнозных, не превышающем 2 процентных пункта, корректировка сборов и тарифов с учетом данного фактора не производится.

11.2. При отклонении фактических объемов работ от прогнозных, не превышающем 5%, корректировка сборов и тарифов с учетом данного фактора не производится.

11.3. При отклонении результатов исполнения инвестиционной программы от целевых показателей, на основании которых производился расчет необходимой валовой выручки на долгосрочный период регулирования, составляющем менее 10%, корректировка индекса изменения тарифов с учетом данного фактора не производится.

В случае если указанное отклонение составляет 10% и более, производится корректировка в порядке, предусмотренном пунктом 45 настоящих Методических указаний.

11.4. В случае если при корректировке соответствующего сбора или тарифа его отклонение от установленного уровня превышает 5%, корректировка данного сбора или тарифа сверх указанного предела его изменения не осуществляется.

В случае заключения концессионного соглашения корректировка сбора или тарифа осуществляется с учетом требований Федерального закона от 21.07.2005 N 115-ФЗ "О концессионных соглашениях" (Собрание законодательства Российской Федерации, 2005, N 30 (часть II), ст. 3126; 2007, N 46, ст. 5557; N 50, ст. 6245; 2008, N 27, ст. 3126; 2009, N 29, ст. 3582; ст. 3601; 2010, N 27, ст. 3436; 2011, N 30 (часть I), ст. 4594; N 49 (часть I), ст. 7015; N 50, ст. 7359; 2012, N 18, ст. 2130; 2013, N 19, ст. 2330; N 52 (часть I), ст. 7003; 2014, N 26 (часть I), ст. 3386; N 30 (часть I), ст. 4266).

12. При определении регулируемых сборов и тарифов в целях защиты пользователей услугами субъектов естественных монополий в аэропортах от резкого роста тарифной нагрузки органом регулирования при необходимости осуществляется:

- перераспределение необходимой валовой выручки между годами в пределах одного долгосрочного периода регулирования;

- дифференциация сборов и тарифов с учетом условий оказания соответствующих услуг.

13. Сборы и тарифы на услуги субъектов естественных монополий в аэропортах устанавливаются органом регулирования на соответствующий период регулирования с учетом решений Правительства Российской Федерации по допустимому уровню индексации тарифов на услуги субъектов естественных в указанной сфере деятельности и параметров прогноза социально-экономического развития Российской Федерации.

III. Расчет размера экономически обоснованных затрат, учитываемых при формировании регулируемых сборов и тарифов на услуги субъектов естественных монополий в аэропортах

14. В состав экономически обоснованных затрат субъектов регулирования, связанных с оказанием регулируемых услуг, включаются:

а) расходы, связанные с обычными видами деятельности, за исключением суммы начисленной амортизации;

б) отчисления на амортизацию основных средств;

в) расходы, связанные с оплатой услуг, оказываемых кредитными организациями;

г) расходы, связанные с участием в совместной деятельности;

д) налоги и иные обязательные платежи и сборы, уплачиваемые в соответствии с налоговым законодательством Российской Федерации.

15. Расходы субъектов регулирования с учетом норм Положения по бухгалтерскому учету "Расходы организации" ПБУ 10/99, утвержденного приказом Минфина России от 6 мая 1999 года N 33н (зарегистрирован Минюстом России 31.05.1999, регистрационный N 1790), с изменениями и дополнениями, внесенными приказами Минфина России от 30.03.2001 N 27н (зарегистрирован Минюстом России 04.05.2001, регистрационный N 2693), от 18.09.2006 N 116н (зарегистрирован Минюстом России 24.10.2006, регистрационный N 8397), от 27.11.2006 N 156н (зарегистрирован Минюстом России 28.12.2006, регистрационный N 8698), от 25.10.2010 N 132н (зарегистрирован Минюстом России 25.11.2010, регистрационный N 19048), 08.11.2010 N 144н (зарегистрирован Минюстом России 01.12.2010, регистрационный N 19088), от 27.04.2012 N 55н (зарегистрирован Минюстом России 20.06.2012, регистрационный N 24643) (далее - ПБУ 10/99), подразделяются на расходы по обычным видам деятельности и прочие расходы.

Расходы по обычным видам деятельности группируются в соответствии с их экономическим содержанием по элементам затрат: затраты на оплату труда, отчисления на социальные нужды, материальные затраты, амортизация, прочие затраты.

16. В целях определения размера экономически обоснованного уровня затрат и в соответствии с требованиями Порядка ведения раздельного учета, в составе расходов по обычным видам деятельности субъектов регулирования, связанных с оказанием регулируемых услуг, учитываются отдельно следующие калькуляционные статьи (группы, подгруппы) расходов:

- статьи "Оплата труда всего состава" и "Отчисления на социальные нужды" включают расходы, соответствующие элементам затрат "Затраты на оплату труда" и "Отчисления на социальные нужды", предусмотренным ПБУ 10/99. Отдельно выделяются расходы на оплату труда и отчисления на социальные нужды производственного персонала и административно-управленческого персонала;

- статья "Амортизация" включает расходы, соответствующие элементу затрат "Амортизация", предусмотренному ПБУ 10/99;

- статья "Содержание наземных основных производственных фондов" (далее - ОПФ) включает расходы на содержание, эксплуатацию и техническое обслуживание собственных и арендованных зданий (помещений), сооружений, отдельно стоящих объектов, передвижных и стационарных технических средств, систем и оборудования, искусственных покрытий и земельных участков, включая оплату коммунальных услуг, других услуг сторонних организаций по содержанию, эксплуатации и техническому обслуживанию наземных ОПФ, стоимость топлива, покупной энергии, воды, горюче-смазочных материалов (далее - ГСМ), расходных материалов, запасных частей, комплектующих изделий для технического обслуживания и эксплуатации ОПФ;

- статья "Ремонт наземных ОПФ" включает расходы на оплату материалов и услуг сторонних организаций для ремонта наземных основных средств организации, и/или отчисления в ремонтный фонд организации;

- статья "Аренда и услуги сторонних организаций" включает расходы на оплату аренды государственного имущества, земельных участков, каналов связи, прочие арендные и лизинговые платежи за арендуемое (принятое в лизинг) имущество, используемое непосредственно для производства регулируемых услуг, расходы на оплату услуг подразделений Министерства внутренних дел Российской Федерации, сторонних организаций в выполнении производственных функций по обеспечению авиационной безопасности, услуг сторонних организаций по производству полетов воздушных судов для проверки, настройки светосигнального оборудования аэродромов, услуг сторонних организаций по проведению медицинского осмотра, услуг организаций Росгидромета, других организаций по предоставлению метеорологической информации, услуг сторонних организаций по телеграфной, телефонной, сотовой и прочим видам услуг связи, транспортных услуг;

- статья "Подготовка и переподготовка кадров" включает расходы на оплату услуг сторонних организаций и другие расходы, связанные с подготовкой и переподготовкой кадров в соответствии с требованиями и правилами, действующими на воздушном транспорте;

- статья "Страхование" включает затраты на страховые взносы по всем видам обязательного и добровольного страхования, при этом отдельно выделяются расходы на обязательное страхование и прочие виды страхования;

- статья "Прочие производственные расходы" включает расходы на оплату материалов и услуг сторонних организаций, связанных непосредственно с производством регулируемых услуг, не предусмотренных предыдущими статьями расходов, включая стоимость питания и обслуживания пассажиров в аэровокзалах, материалы для орнитологического обеспечения полетов, расходы, связанные с сертификацией и лицензированием субъекта регулирования, расходы на изготовление бланков документации, отчетности, расписания движения воздушных судов, приобретение сборников по аэронавигационной информации и другой производственной технологической и нормативно-методической документации, представительские расходы, расходы на рекламу;

- статья "Общехозяйственные расходы" включает расходы на командировки, расходы по охране труда, расходы на юридические, информационные, аудиторские и консультационные услуги, услуги банков, канцелярские расходы, компенсации за использование личного транспорта, налоги, сборы, платежи, отчисления в специальные внебюджетные фонды, производимые в соответствии с установленным законодательством Российской Федерации порядком, расходы от брака, недостачи (по факту).

17. В структуре экономически обоснованных затрат, относимых на i-ый вид регулируемых услуг (), выделяются расходы по обычным видам деятельности и прочие расходы:

где:

- расходы по обычным видам деятельности, включая амортизационные отчисления, сгруппированные по калькуляционным статьям (группам, подгруппам) затрат, в соответствии с пунктом 16 настоящих Методических указаний;

- прочие расходы, учитываемые в составе экономически обоснованных затрат в части расходов, определенных подпунктами "в", "г", "д" пункта 14 настоящих Методических указаний.

18. Для определения экономически обоснованных затрат субъекта регулирования на текущий финансовый год t и на очередной финансовый год t+1 или на каждый последующий год долгосрочного периода регулирования, в качестве базы для выполнения расчетов используются данные по расходам, учитываемым в составе экономически обоснованных затрат, за последний отчетный финансовый год t-1 (базовый финансовый год).

18.1. Базовый уровень расходов определяется на основании данных, предоставляемых субъектами регулирования по формам приложения 1 к Порядку ведения раздельного учета "Сводная ведомость результатов раздельного учета доходов и расходов субъектов естественных монополий в аэропортах" (далее - Сводная ведомость) и приложения 3 к Порядку ведения раздельного учета "Расходы по регулируемым и нерегулируемым услугам субъекта регулирования" (далее - расходы по регулируемым и нерегулируемым услугам). Базовый уровень расходов за последний отчетный финансовый год t-1, предшествующий текущему финансовому году t, определяется на основании данных, предусмотренных указанными формами по расходам, учитываемым в составе экономически обоснованных затрат, отдельно по каждому аэропорту, входящему в состав субъекта регулирования, по каждому виду регулируемых услуг и по нерегулируемым услугам в целом с учетом результатов анализа их обоснованности.

Анализ осуществляется органом регулирования на основе информации, которая предоставляется субъектами регулирования в соответствии с требованиями раздела IV Порядка ведения раздельного учета, за три отчетных года, предшествующих текущему, текущий год и, при необходимости, за другие отчетные периоды, предшествующие текущему финансовому году.

18.2. Анализ фактических расходов по обычным видам деятельности (), предусмотренных данными Сводной ведомости и Расходов по регулируемым и нерегулируемым услугам, производится органом регулирования по калькуляционным статьям, группам и подгруппам расходов отдельно по каждой графе, предусмотренной указанными формами, для оценки их обоснованности и экономической целесообразности.

При выявлении в ходе анализа расходов субъекта регулирования, вызванных нерациональным использованием производственных ресурсов, их использованием для иной деятельности, не связанной с производством и реализацией регулируемых услуг, для формирования базового уровня расходов (расчетной базы) по соответствующим статьям (группам, подгруппам) расходов и графам указанных форм по регулируемым и нерегулируемым услугам осуществляются корректировки отчетных данных.

18.3. Прочие расходы, не включаемые в состав расходов по обычным видам деятельности (), учитываются при расчете экономически обоснованных затрат в части расходов, связанных с оплатой услуг, оказываемых кредитными организациями, расходов, связанных с участием в совместной деятельности, налогов и иных обязательных платежей и сборов, уплачиваемых в соответствии с налоговым законодательством Российской Федерации. Для формирования базового уровня расходов (расчетной базы) субъекта регулирования, прочие расходы, предусмотренные данными Сводной ведомости и Расходов по регулируемым и нерегулируемым услугам, по результатам проведенного анализа их обоснованности, при необходимости, корректируются. По графам указанных форм прочие расходы, с учетом их корректировки, определяются исходя из их общего объема и доли расходов по обычным видам деятельности по соответствующим графам (в расчетной базе) в общем объеме расходов по обычным видам деятельности субъекта регулирования.

18.4. Полученный базовый уровень экономически обоснованных затрат (ЭОЗ) субъекта регулирования (расчетная база) по видам регулируемых услуг, нерегулируемым услугам и субъекту регулирования в целом отражается согласно приложению 1 к настоящим Методическим указаниям.

По видам регулируемых услуг, по которым в формах Сводной ведомости и Расходов по регулируемым и нерегулируемым услугам предусмотрены две отдельные графы (для разных потребителей или для субъекта регулирования и для потребителей), в приложении 1 к настоящим Методическим указаниям отражаются общие (суммарные) данные по видам услуг в целом. Общий объем экономически обоснованных затрат по i-му виду регулируемых услуг в целом (), включающих расходы по обычным видам деятельности () и прочие расходы (), в этом случае определяется построчным суммированием данных двух указанных граф, выделенных в отчетных формах по соответствующему виду регулируемых услуг.

18.5. Выявленные по данным отчетности средства по отдельным калькуляционным статьям (группам, подгруппам) расходов, использованные субъектом регулирования в течение текущего финансового года и/или предшествующего отчетного финансового года не в соответствии с прогнозом финансово-экономической деятельности субъекта регулирования, принятым органом регулирования при установлении сборов и тарифов на соответствующие периоды, учитываются по решению органа регулирования, в зависимости от их объема и обстоятельств, выявленных в ходе анализа, при установлении сборов и тарифов на очередной финансовый год и/или последующие годы периода регулирования, в качестве источника покрытия расходов в соответствующий период, путем корректировки необходимой валовой выручки в порядке, установленном пунктом 45 настоящих Методических указаний.

19. Для определения размера расходов по обычным видам деятельности субъекта регулирования, относимых на i-ый вид регулируемых услуг (), на текущий (очередной, прогнозируемый) финансовый год периода регулирования, в структуре расходов по обычным видам деятельности выделяются подконтрольные расходы

(), неподконтрольные расходы () и амортизация ().

19.1. К подконтрольным () относятся расходы, связанные с производством и реализацией регулируемых услуг, величиной и структурой которых субъект регулирования может управлять.

В состав подконтрольных расходов включаются все расходы, связанные с производством и реализацией регулируемых услуг, кроме расходов на амортизацию и неподконтрольных расходов.

Расчет размера подконтрольных расходов на текущий (очередной, прогнозируемый) финансовый год периода регулирования осуществляется на основе базового уровня данных расходов (расчетной базы) и макроэкономических показателей прогноза социально-экономического развития Российской Федерации на соответствующий год с учетом плана (прогноза) изменения объемов услуг субъекта регулирования, в соответствии с пунктом 20 настоящих Методических указаний.

19.2. К неподконтрольным () относятся расходы, связанные с производством и реализацией регулируемых услуг, изменение которых обусловлено влиянием внешних факторов, условий хозяйственной деятельности субъекта регулирования, находящихся вне сферы его контроля.

В состав неподконтрольных расходов включаются расходы субъекта регулирования, связанные с производством и реализацией регулируемых услуг, изменение которых находится вне сферы его контроля, в том числе:

расходы на оплату услуг (работ), оказываемых сторонними организациями, осуществляющими регулируемые виды услуг и/или являющимися монопольным поставщиком услуг (работ) для субъекта регулирования, включая услуги связи, услуги по обеспечению безопасности, охране имущества, медицинскому обеспечению, метеорологическому обеспечению;

расходы на аренду земельных участков и имущества, используемых для осуществления регулируемой деятельности, включая аренду федерального имущества аэродромов (аэропортов);

лизинговые платежи;

расходы по подготовке и переподготовке кадров;

расходы по обязательному страхованию;

расходы по налогам и другим обязательным платежам и сборам.

Расчет размера неподконтрольных расходов на текущий (очередной, прогнозируемый) финансовый год периода регулирования осуществляется на основе базового уровня данных расходов (расчетной базы), плана (прогноза) расходов, представленного субъектом регулирования, и результатов анализа (мониторинга соответствующих документов) обоснованности их изменения по плану (прогнозу), проведенного органом регулирования с учетом положений, установленных пунктом 21 настоящих Методических указаний.

19.3. Амортизация () на текущий (очередной, прогнозируемый) финансовый год периода регулирования определяется органом регулирования на основе данных плана (прогноза), предоставляемых субъектом регулирования, с учетом результатов анализа их обоснованности.

Величина отчислений на амортизацию основных средств и нематериальных активов определяется субъектом регулирования исходя из стоимости основных средств и нематериальных активов, сроков их полезного использования, норм амортизационных отчислений и правил их применения, в соответствии с принятым порядком начисления амортизации. На текущий (очередной, прогнозируемый) финансовый год периода регулирования амортизация определяется с использованием данных бухгалтерского учета субъекта регулирования на основе плана (прогноза) по поступлению и выбытию основных средств и нематериальных активов.

20. Размер подконтрольных расходов () на текущий (очередной, прогнозируемый) финансовый год периода регулирования рассчитывается путем их индексации отдельно по каждой статье (группе, подгруппе) затрат.

20.1. Размер подконтрольных расходов на текущий финансовый год t определяется по следующей формуле:

где:

- объем подконтрольных расходов, относимых на i-й вид регулируемых услуг, рассчитанных на текущий финансовый год t, следующий за последним отчетным годом t-1;

- объем подконтрольных расходов (базовый уровень подконтрольных расходов), относимых на i-й вид регулируемых услуг, определенный в порядке, установленном пунктом 18 настоящих Методических указаний, по данным за последний отчетный (базовый) финансовый год t-1, предшествующий текущему финансовому году t;

- прогнозное значение соответствующего индекса цен, установленного в процентах, в соответствии с прогнозом социально-экономического развития Российской Федерации на текущий финансовый год t, следующий за последним отчетным годом t-1, определяется в соответствии с подпунктом 20.4 настоящего пункта;

- коэффициент эластичности подконтрольных расходов по объему регулируемых услуг (индекс), учитывающий потенциал экономии расходов при изменении объемов услуг субъекта регулирования, определяется в соответствии с подпунктом 20.5 настоящего пункта;

- индекс изменения объемов работ (услуг) в натуральном измерении по i-му виду регулируемых услуг, планируемого на текущий финансовый год t, определяется по формуле:

где:

- объем работ (услуг) в натуральном измерении по i-му виду регулируемых услуг, планируемый на текущий финансовый год t;

- объем работ (услуг) в натуральном измерении по i-му виду регулируемых услуг, полученный за последний отчетный (базовый) финансовый год t-1, предшествующий текущему финансовому году t.

Объем работ (услуг) в натуральном измерении за отчетный (базовый) и на текущий финансовый год по видам регулируемых услуг определяется в порядке, предусмотренном пунктом 55 настоящих Методических указаний.

20.2. Расчет размера подконтрольных расходов на очередной финансовый год (t+1), следующий за текущим финансовым годом t, осуществляется в порядке, аналогичном порядку, установленному подпунктом 20.1 настоящего пункта, по формулам (2) и (3). При этом для расчета подконтрольных расходов на очередной финансовый год используются:

- расходы, определенные на текущий финансовый год t, предшествующий очередному финансовому году ();

- прогнозное значение соответствующего индекса цен, установленного в процентах, в соответствии с прогнозом социально-экономического развития Российской Федерации на очередной финансовый год t+1 ();

- индекс изменения объемов работ (услуг) в натуральном измерении по i-му виду регулируемых услуг, планируемого на очередной финансовый год t+1 к уровню текущего года t ().

20.3. Расчет размера подконтрольных расходов на каждый прогнозируемый финансовый год долгосрочного периода регулирования осуществляется в порядке, аналогичном порядку, установленному подпунктом 20.1 настоящего пункта, по формулам (2) и (3). При этом для расчета подконтрольных расходов на конкретный прогнозируемый финансовый год используются:

- расходы, определенные на финансовый год, предшествующий этому финансовому году;

- прогнозное значение соответствующего индекса цен, установленного в процентах, в соответствии с прогнозом социально-экономического развития Российской Федерации на конкретный прогнозируемый финансовый год;

- индекс изменения объемов работ (услуг) в натуральном измерении по i-му виду регулируемых услуг, планируемого на конкретный прогнозируемый финансовый год к уровню года, предшествующего этому финансовому году.

20.4. Для расчета размера подконтрольных расходов по формуле (2) индекс цен (ИЦ), предусмотренный в указанных формулах, определяется в следующем порядке.

Для расчета по статьям затрат (кроме групп, подгрупп, отдельных составляющих неподконтрольных расходов, входящих в их состав):

расходы на оплату труда,

отчисления на социальные нужды,

расходы на аренду и услуги сторонних организаций, кроме отнесенных к неподконтрольным расходам,

расходы на подготовку и переподготовку кадров, кроме отнесенных к неподконтрольным расходам,

расходы на страхование, кроме отнесенных к неподконтрольным расходам,

прочие производственные расходы, кроме отнесенных к неподконтрольным расходам,

общехозяйственные расходы, кроме отнесенных к неподконтрольным расходам,

применяется индекс потребительских цен (ИПЦ).

Для расчета по статьям затрат (кроме групп, подгрупп, отдельных составляющих неподконтрольных расходов, входящих в их состав):

расходы на содержание наземных ОПФ, кроме отнесенных к неподконтрольным расходам,

расходы на ремонт наземных ОПФ, кроме отнесенных к неподконтрольным расходам,

применяется индекс цен производителей промышленной продукции (ИЦП) для внутреннего рынка.

В случае если средняя месячная заработная плата работников производственного персонала субъекта регулирования в соответствующем регулируемом периоде ниже средней месячной заработной платы по региону его базирования, в отношении указанных расходов на оплату труда субъекта регулирования может производиться их дополнительная корректировка с учетом размера средней месячной заработной платы по соответствующему региону и в целом по отрасли, а также с учетом фактических темпов роста производительности труда производственного персонала субъекта регулирования, и индекса роста реальной заработной платы.

При расчете подконтрольных расходов по отдельным статьям и группам расходов также могут использоваться следующие индексы цен производителей, определенные в соответствии с прогнозом социально-экономического развития Российской Федерации или конкретного региона на соответствующий период:

индекс цен на производство нефтепродуктов для расходов на топливо;

индекс роста цен на электроэнергию для всех категорий потребителей, за исключением населения, для расходов на электроэнергию.

20.5. Для расчета размера подконтрольных расходов по формуле (2) коэффициент эластичности (), предусмотренный в указанных формулах, определяется в следующем порядке.

По статьям (группам, подгруппам) подконтрольных затрат, включая расходы на оплату труда и отчисления на социальные нужды производственного персонала, расходы на содержание наземных ОПФ, расходы на ремонт наземных ОПФ, коэффициент эластичности устанавливается в зависимости от изменения объемов работ (услуг) в натуральном измерении по i-му виду регулируемых услуг, определяемого по формуле (3), в следующем размере:

при увеличении объемов работ (услуг) - 0,4;

при снижении объемов работ (услуг) - 0,3.

По остальным статьям (группам, подгруппам) подконтрольных затрат, включая расходы на оплату труда и отчисления на социальные нужды административно-управленческого персонала, расходы на аренду и услуги сторонних организаций, расходы на подготовку и переподготовку кадров, расходы на страхование, прочие производственные и общехозяйственные расходы, коэффициент эластичности устанавливается в зависимости от изменения объемов работ (услуг) в натуральном измерении по i-му виду регулируемых услуг, определяемого по формуле (3), в следующем размере:

при увеличении объемов работ (услуг) - 0,1;

при снижении объемов работ (услуг) - 0,25.

21. Неподконтрольные расходы () на текущий (очередной, прогнозируемый) финансовый год периода регулирования, относимые на i-й вид регулируемых услуг, рассчитываются отдельно по каждой статье, группе, подгруппе затрат в размере, определяемом органом регулирования исходя из экономической целесообразности их включения в экономически обоснованные затраты по i-му виду услуг и изменения их уровня (размера) по плану (прогнозу) данных расходов, представленному субъектом регулирования, к уровню аналогичных расходов, определенному органом регулирования по данному виду услуг за предшествующий финансовый год.

21.1. При определении экономической обоснованности указанных расходов органом регулирования используются:

регулируемые государством цены (тарифы, сборы);

стоимость услуг (работ), выполняемых сторонними организациями на основании договоров, заключенных в результате проведения торгов, конкурсов, аукционов, иных закупочных процедур со сторонними организациями. В отсутствие указанных механизмов приобретения услуг (работ) при превышении темпов роста цен за единицу услуги (работы) над темпами роста цен производителей промышленной продукции, субъектом регулирования представляется дополнительное обоснование их роста с калькуляцией соответствующих расходов сторонней организации. При отсутствии указанного обоснования при определении расходов на текущий (очередной, прогнозируемый) финансовый год периода регулирования органом регулирования применяется индекс цен производителей промышленной продукции (ИЦП) для внутреннего рынка, установленный в процентах, определенный в соответствии с прогнозом социально-экономического развития Российской Федерации на прогнозируемый год.

21.2. Определение объема приобретения услуг (работ) сторонних организаций на текущий (очередной, прогнозируемый) финансовый год периода регулирования осуществляется органом регулирования с учетом анализа возможности производства аналогичных услуг (работ) собственными силами, включая оценку укомплектованности персоналом соответствующего уровня квалификации, материально-технического обеспечения. В случае если органом регулирования достоверно установлена возможность производства субъектом регулирования определенных услуг (работ) собственными силами, с обеспечением требуемого качества и меньшими затратами по сравнению с затратами по оплате аналогичных услуг (работ), выполняемых сторонней организацией, дополнительный прирост расходов, связанный с их осуществлением, планируемый субъектом регулирования, не учитывается на соответствующий период регулирования.

21.3. Расходы на аренду земельных участков и государственного имущества, используемых для производства регулируемых услуг, на текущий (очередной, прогнозируемый) финансовый год периода регулирования определяются на основе ожидаемого изменения арендных ставок, устанавливаемых арендодателем, в размере, принятом органом регулирования для их включения в экономически обоснованные затраты, и плана (прогноза) объемов (перечня) арендуемого имущества.

В случае превышения темпов роста арендной ставки над темпами роста индекса потребительских цен субъектом регулирования представляется экономическое обоснование изменения арендных ставок, в том числе калькуляция и обоснование изменения соответствующих расходов арендодателя и объемов (перечня) арендуемого имущества. Определение объемов арендуемого имущества осуществляется органом регулирования с учетом прогнозируемой динамики объема услуг субъекта регулирования.

22. При формировании субъектом регулирования плана (прогноза) по статьям, группам и подгруппам расходов по обычным видам деятельности в соответствии с положениями настоящих Методических указаний, размер данных расходов по видам регулируемых услуг определяется субъектом регулирования на основе плана (прогноза) их общего объема и критериев распределения, установленных субъектом регулирования в соответствии с требованием Порядка ведения раздельного учета для формирования данных Сводной ведомости за последний отчетный финансовый год, предшествующий текущему финансовому году. В случае изменения субъектом регулирования указанных критериев распределения расходов при формировании плана (прогноза) на текущий (очередной, прогнозируемый) финансовый год периода регулирования, субъектом регулирования предоставляется обоснование необходимости их изменения.

23. Прочие расходы (), не включаемые в состав расходов по обычным видам деятельности, на текущий (очередной, прогнозируемый) финансовый год периода регулирования определяются органом регулирования на основе данных плана (прогноза), представленного субъектом регулирования.

Размер прочих расходов определяется субъектом регулирования на текущий (очередной, прогнозируемый) финансовый год периода регулирования на основании отчетных данных за год, предшествующий текущему году, по прочим расходам, включаемым в состав экономически обоснованных затрат, предусмотренных Сводной ведомостью, и ожидаемой динамикой их изменения. Оценка плана (прогноза) прочих расходов субъекта регулирования производится органом регулирования на основе анализа обоснования (документов), предоставленного субъектом регулирования, прогноза изменения платы, взимаемой кредитными организациями за расчетно-кассовое обслуживание и инкассацию денежных средств, а также иных факторов, влияющих на динамику изменения прочих расходов субъекта регулирования.

По видам регулируемых услуг прочие расходы () на текущий (очередной, прогнозируемый) финансовый год периода регулирования определяются исходя из их общего объема и доли расходов по обычным видам деятельности по соответствующим видам услуг в общем объеме расходов по обычным видам деятельности субъекта регулирования, определенных на данный финансовый год.

24. При расчете размера экономически обоснованных затрат на текущий и очередной (прогнозируемый) финансовый год периода регулирования учитывается экономия расходов субъекта регулирования от реализации организационно-технических мероприятий, применения ресурсосберегающих технологий и технических средств, в размере до 1%.

25. По статье Расходы на ремонт наземных ОПФ субъект регулирования предоставляет дополнительное обоснование необходимого объема данных затрат по отдельным основным объектам. Объем подконтрольных затрат по данной статье определяется органом регулирования на основе результатов расчетов, предусмотренных пунктом 20 настоящих Методических указаний, и представленного обоснования.

26. При определении размера экономически обоснованных затрат органом регулирования учитываются предписания актов инспекционных проверок служб и аэропорта в целом органами по сертификации и лицензированию воздушного транспорта, предписания правоохранительных и контролирующих органов, требования нормативно-правовых актов в области воздушного транспорта, изменения в штатном расписании и оплате труда, а также контрольные цифры, установленные вышестоящей организацией субъектам регулирования - государственным унитарным и казенным предприятиям.

При наличии избыточных площадей и мощностей действующих основных сооружений, зданий, объектов, технических средств и систем, субъектом регулирования предоставляется план мероприятий по их консервации, ликвидации или получению дополнительных источников финансирования для их поддержания в рабочем состоянии, прилагаются документы, подтверждающие принятие субъектом регулирования своевременных и полных мер для исключения из расходов по видам регулируемых услуг необоснованных затрат.

В случае необходимости при выявлении вышеизложенных и/или других факторов, влияющих на уровень экономически обоснованных затрат, осуществляется их дополнительная корректировка по соответствующим статьям (группам, подгруппам) расходов.

27. В случае отсутствия фактических данных о расходах субъекта регулирования по отдельным видам регулируемых услуг или по субъекту регулирования в целом, а также в случае, если в текущем (очередном, прогнозируемом) периоде регулирования субъектом регулирования планируется введение в эксплуатацию новых объектов основных средств, изменение перечня осуществляемых регулируемых услуг, структурная реорганизация и/или другие изменения производственно-финансовой деятельности, оказывающие существенное воздействие на ее результаты, то размер расходов на соответствующие периоды определяется органом регулирования на основе данных плана (прогноза), предоставляемых субъектом регулирования, с учетом результатов анализа их обоснованности.

Анализ экономической обоснованности плана (прогноза) расходов субъекта регулирования осуществляется с учетом:

нормативов расхода топлива, электроэнергии, воды, материалов;

нормативов расходов на ремонт основных средств;

расчетных объемов потребления топлива, электроэнергии, материалов с учетом структуры их использования;

цен на топливо, электроэнергию, сырье и материалы, определяемых с учетом уровня регулируемых государством цен, официально опубликованных в специальных бюллетенях и справочниках фактических средних цен на топливо и сырье по биржевым сделкам;

нормативов численности работников как в целом по субъекту регулирования, так и по отдельным функциональным подразделениям;

отраслевых тарифных соглашений.

При отсутствии нормативов по отдельным группам расходов анализ экономически обоснованных затрат, представленных субъектом регулирования, осуществляется с использованием сравнительного анализа расходов сторонних субъектов регулирования, оказывающих аналогичные виды услуг и имеющих сопоставимые технико-экономические характеристики их деятельности, а также метода экспертных оценок.

28. Для субъектов регулирования, имеющих филиалы, расчет экономически обоснованных затрат по видам регулируемых услуг производится отдельно для центрального аппарата и каждого из филиалов.

При этом экономически обоснованные затраты по i-му виду регулируемых услуг, предоставляемых в конкретном аэропорте, по субъекту регулирования в целом определяются суммированием соответствующих расходов центрального аппарата и филиалов.

29. Результаты расчета экономически обоснованных затрат по видам регулируемых услуг субъекта регулирования на текущий и очередной (прогнозируемый) финансовый год периода регулирования и используемые для расчета данные по расходам, полученные за последний отчетный год, в соответствии с пунктом 18 настоящих Методических указаний (расчетная база), отражаются по соответствующим строкам таблицы N 1 и таблицы N 2 приложения 1 к настоящим Методическим указаниям.

IV. Расчет нормативной прибыли, учитываемой при формировании регулируемых сборов и тарифов на услуги субъектов естественных монополий в аэропортах

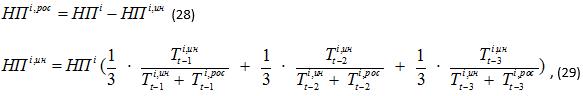
30. Нормативная прибыль, определяемая в целях настоящих Методических указаний как прибыль субъекта регулирования до налогообложения, относимая на регулируемые услуги, рассчитывается на текущий и очередной (прогнозируемый) финансовый год периода регулирования исходя из стоимости основных средств и иных активов, необходимых для выполнения соответствующих услуг, и нормы прибыли (рентабельности) на капитал, с учетом стимулирования реализации субъектом регулирования инвестиционных программ по обновлению и развитию материально-технической базы, строительству объектов производственной инфраструктуры и внедрению новых технологий.

Расчет нормативной прибыли осуществляется на основе данных бухгалтерской отчетности и Сводной ведомости субъекта регулирования за три года, предшествующие текущему финансовому году t, а также плана (прогноза) показателей бухгалтерского баланса, отчета о прибылях и убытках и других форм бухгалтерской отчетности, используемых для расчета, представленного субъектом регулирования на каждый финансовый год периода регулирования, с учетом результатов анализа его обоснованности органом регулирования. В случае отсутствия данных плана (прогноза) бухгалтерских показателей расчет нормативной прибыли на текущий и очередной (прогнозируемый) финансовый год периода регулирования производится на основании данных, имеющихся на момент формирования бухгалтерской отчетности субъекта регулирования.

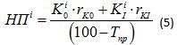
31. Нормативная прибыль, относимая на i-ый вид регулируемых услуг (), рассчитывается, за исключением случаев, предусмотренных пунктом 32 настоящих Методических указаний, по формуле:

где:

- величина базового капитала, необходимого для осуществления i-го вида регулируемых услуг, определяемая в соответствии с пунктами 33 - 35 настоящих Методических указаний;

- норма рентабельности на базовый капитал, рассчитанная в соответствии с пунктом 36 настоящих Методических указаний;

- значение налоговой ставки налога на прибыль в соответствии с налоговым законодательством Российской Федерации.

32. В случае реализации субъектом регулирования инвестиционной программы с учетом положений пункта 8 настоящих Методических указаний при наличии данных, предоставленных субъектом регулирования в соответствии с пунктом 37 настоящих Методических указаний, расчет нормативной прибыли осуществляется по следующей формуле:

где:

- величина капитализированных инвестиций, отнесенных на i-й вид регулируемых услуг, в рамках реализуемой субъектом регулирования инвестиционной программы, определяемая в соответствии с пунктом 37 настоящих Методических указаний;

- норма рентабельности на капитал, определяемая для капитализированных инвестиций в соответствии с пунктом 38 настоящих Методических указаний.

В случае если расчетные значения величины базового капитала () и/или нормы рентабельности на базовый капитал () принимают отрицательные значения указанных показателей при расчете нормативной прибыли по формуле (5) им присваивается значение 0.

33. Величина базового капитала, необходимого для осуществления i-го вида регулируемых услуг (), определяется по формуле:

где:

- размер базового капитала субъекта регулирования определяемая в соответствии с пунктом 34 настоящих Методических указаний;

- распределительный коэффициент, определяющий долю базового капитала, относимого на i-ый вид регулируемых услуг, рассчитанный в соответствии с пунктом 35 настоящих Методических указаний.

34. Размер базового капитала определяется как суммарная стоимость основных средств незавершенного строительства, нематериальных активов, а также чистого оборотного капитала, который рассчитывается как разность между стоимостью оборотных активов и величиной краткосрочных обязательств. При этом в целях настоящих Методических указаний расчет чистого оборотного капитала производится без учета в структуре краткосрочных обязательств субъекта регулирования краткосрочных заемных обязательств, доходов будущих периодов и оценочных обязательств.

34.1. По данным строк бухгалтерского баланса и пояснений к нему в соответствии с формами, утвержденными приказом Министерства финансов Российской Федерации от 02.07.2010 N 66н "О формах бухгалтерской отчетности организаций" (зарегистрирован Минюстом России 02.08.2010, регистрационный N 18023) с изменениями, внесенными приказами Министерства финансов Российской Федерации от 05.10.2011 N 124н (зарегистрирован Минюстом России 13.12.2011, регистрационный N 22599), от 17.08.2012 N 113н (зарегистрирован Минюстом России 04.10.2012, регистрационный N 25592), от 04.12.2012 N 154н (зарегистрирован Минюстом России 29.12.2012, регистрационный N 26501) (далее - приказ Министерства финансов Российской Федерации от 02.07.2010 N 66н) величина базового капитала определяется как сумма строк 1150 (основные средства), 1110 (нематериальные активы), 1200 (оборотные активы), 1510 (краткосрочные заемные обязательства), 1530 (доходы будущих периодов), 1540 (оценочные обязательства) за вычетом строки 1500 (краткосрочные обязательства).

34.2. Для субъектов регулирования, имеющих филиалы, величина чистого оборотного капитала определяется без учета расчетов с филиалами, отделениями и другими обособленными подразделениями, выделенными на отдельные балансы, по выделенному имуществу, а также расчетов по договору доверительного управления имуществом.

Расчеты по взаимному отпуску материальных ценностей, по продаже продукции, работ, услуг, по передаче расходов по общеуправленческой деятельности, по оплате труда работникам подразделений и другие формы взаиморасчетов, суммы по которым аккумулируются на субсчете 79-2 "Расчеты по текущим операциям" в соответствии с Планом счетов бухгалтерского учета финансово-хозяйственной деятельности организаций, утвержденным приказом Минфина России от 31.10.2000 N 94н <*> (не нуждается в государственной регистрации, письмо Минюста России от 09.11.2000 N 9558-ЮД), с изменениями, внесенными приказами Минфина России от 07.05.2003 N 38н (не нуждается в государственной регистрации, письмо Минюста России от 16.05.2003 N 07/4892-ЮД), от 18.09.2006 N 115н (не нуждается в государственной регистрации, письмо Минюста России от 27.10.2006 N 01/9423-СВ), от 08.11.2010 N 142н (не нуждается в государственной регистрации, письмо Минюста России от 10.12.2010 N 01/28429-ДК), учитываются при определении величины чистого оборотного капитала.

34.3. При расчете нормативной прибыли на текущий и очередной финансовый год базовый капитал определяется на основании данных бухгалтерского баланса и пояснений к нему на конец последнего отчетного года, предшествующего текущему финансовому году (базового года).

При формировании сборов и тарифов на долгосрочный период регулирования базовый капитал определяется:

- на текущий финансовый год на основании отчетных данных бухгалтерского баланса и пояснений к нему на конец последнего отчетного года, предшествующего текущему финансовому году (базового года);

- на каждый прогнозируемый финансовый год долгосрочного периода регулирования на основании прогноза соответствующих показателей бухгалтерской отчетности на конец финансового года, предшествующего году, на который осуществляется расчет. При этом прогноз остаточной стоимости основных средств и нематериальных активов определяется по перечню основных средств и нематериальных активов субъекта регулирования, зафиксированному на конец последнего отчетного года, предшествующего текущему году (базового года), с учетом снижения на сумму ежегодных амортизационных отчислений и изменений, связанных с их переоценкой.

Прогнозируемое изменение стоимости капитала, связанное с приемом на баланс новых объектов основных средств и нематериальных активов, сумм незавершенных капитальных вложений, связанных с созданием новых объектов основных средств и нематериальных активов, не учитывается при определении базового капитала на соответствующий прогнозируемый год долгосрочного периода регулирования.

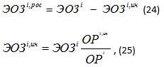
34.4. В случае если полученная в результате расчета на соответствующий финансовый год величина базового капитала субъекта регулирования равна нулю или имеет отрицательное значение, нормативная прибыль, учитываемая при определении необходимой валовой выручки на данный финансовый год, принимается равной нулю.

35. Распределительный коэффициент, определяющий долю базового капитала, относимого на i-й вид регулируемых услуг (), рассчитывается по формуле:

где:

ВА - стоимость внеоборотных активов субъекта регулирования в части основных средств и нематериальных активов;

ОА - общая стоимость оборотных активов субъекта регулирования;

- величина внеоборотных активов, необходимых для осуществления i-го вида регулируемых услуг;

- величина оборотных активов, необходимых для осуществления i-го вида регулируемых услуг.

35.1. Величина внеоборотных активов, необходимых для осуществления i-го вида регулируемых услуг (), определяется по формуле:

где:

- размер амортизационных отчислений субъекта регулирования, относимых на i-ый вид регулируемых услуг;

А - общий размер амортизационных отчислений субъекта регулирования;

35.2. Величина оборотных активов, необходимых для осуществления i-го вида регулируемых услуг (), определяется по формуле:

где:

- размер расходов по обычным видам деятельности, относимых на i-ый вид регулируемых услуг;

- совокупный объем расходов по обычным видам деятельности субъекта регулирования.

35.3. При определении нормативной прибыли на текущий (очередной, прогнозируемый) финансовый год стоимость внеоборотных (ВА) и оборотных (ОА) активов для расчета распределительного коэффициента () определяется на основании данных бухгалтерского баланса на конец последнего отчетного года, предшествующего текущему году (базового года). По данным строк бухгалтерского баланса в соответствии с формами бухгалтерской отчетности, утвержденными приказом Министерства финансов Российской Федерации от 02.07.2010 N 66н, стоимость внеоборотных активов определяется как сумма строк 1150 (основные средства) и 1110 (нематериальные активы), стоимость оборотных активов (ОА) определяется по строке 1200 (оборотные активы).

При определении нормативной прибыли на текущий (очередной, прогнозируемый) финансовый год периода регулирования расходы по обычным видам деятельности ( , ) и амортизация (А, ), определяются по плану (прогнозу) на соответствующий финансовый год, на который осуществляется расчет. При этом общий объем расходов по обычным видам деятельности и амортизации (, А), определяется по данным строк, соответственно, 5600 (расходы по обычным видам деятельности) и 5640 (амортизация) пояснений к бухгалтерскому балансу и отчету о прибылях и убытках в соответствии с формами бухгалтерской отчетности, утвержденными приказом Министерства финансов Российской Федерации от 02.07.2010 N 66н; расходы по обычным видам деятельности и амортизация, относимые на i-ый вид регулируемых услуг (,), определяются в порядке, установленном разделом III настоящих Методических указаний.

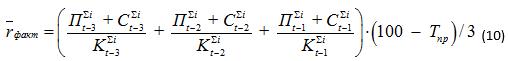
36. Норма рентабельности на базовый капитал () принимается на уровне средней нормы прибыли на капитал субъекта регулирования () по базе активов, учитываемых при расчете нормативной прибыли, сложившейся по регулируемым услугам за последние 3 финансовых года, предшествующих текущему финансовому году t, но не более безрисковой ставки доходности ().

36.1. Средняя норма прибыли на капитал определяется по формуле:

где:

- величина прибыли до налогообложения субъекта регулирования по отчету за 3 последних финансовых года, предшествующих текущему финансовому году t, в части регулируемых видов деятельности; определяется по данным Сводной ведомости как сумма финансового результата по всем видам регулируемых услуг (раздел 1, строка 100, графа 11);

- величина бюджетных субсидий, полученных субъектом регулирования в части регулируемых видов деятельности, по отчету за 3 последних финансовых года, предшествующих текущему финансовому году t, учитываемых при формировании сборов и тарифов в порядке, установленном разделами V, VI настоящих Методических указаний; определяются на основе расшифровки данных строки 5900 пояснений к бухгалтерскому балансу и отчету о прибылях и убытках в соответствии с формами бухгалтерской отчетности, утвержденными приказом Министерства финансов Российской Федерации от 02.07.2010 N 66н;

- значение налоговой ставки налога на прибыль, установленной в соответствии с налоговым законодательством Российской Федерации;

- величина капитала, необходимого для осуществления регулируемых услуг, за 3 последних финансовых года, предшествующих текущему финансовому году t, определяемая в порядке, аналогичном предусмотренному пунктами 33 - 35 настоящих Методических указаний, по данным бухгалтерских балансов на конец каждого года с учетом необходимости определения доли капитала не по отдельному i-му виду регулируемых услуг, а по всем видам регулируемых услуг суммарно.

36.2. Безрисковая ставка доходности () определяется эквивалентной среднему геометрическому значению эффективной ставки доходности по государственным облигациям, выраженным в рублях, рассчитываемой по данным котировок на ММВБ за последние 3 месяца, предшествующие моменту расчета сборов и тарифов по регулируемым видам услуг, оказываемых субъектом регулирования;

36.3. В случае отсутствия фактических данных для расчета средней нормы прибыли на капитал за последние 3 финансовых года, предшествующих текущему финансовому году t, указанный показатель определяется на основе фактических данных о величине нормы прибыли на капитал за количество полных лет, по которым эти данные доступны.

В случае если количество полных лет меньше единицы, норма рентабельности на базовый капитал принимается на уровне безрисковой ставки доходности.

37. Величина капитализированных инвестиций () учитывается при формировании нормативной прибыли, в случае реализации субъектом регулирования инвестиционной программы с учетом положений пункта 8 настоящих Методических указаний при наличии данных, предоставленных субъектом регулирования в соответствии с подпунктом 37.1 настоящего пункта, в порядке, установленном подпунктом 37.2 настоящего пункта.

37.1. При реализации субъектом регулирования инвестиционной программы соответствующие инвестиционные расходы учитываются в структуре базы капитала по мере их капитализации отдельно по каждому основному объекту (группе объектов), имеющему разные сроки ввода в эксплуатацию и/или источники финансирования. По каждому объекту (группе объектов) определяются источники финансирования соответствующих капитализированных инвестиций: собственные и заемные средства, бюджетные средства, а также средства, полученные в результате привлечения на инвестиционные цели доходов от аренды имущественного комплекса аэропорта (аэродрома), находящегося в федеральной собственности (далее - аренда имущественного комплекса аэропорта). В случае финансирования капитализированных инвестиций за счет разных источников по каждому объекту (группе объектов) определяется доля финансирования за счет собственных и заемных средств, и, отдельно, за счет бюджетных средств и доходов от аренды имущественного комплекса аэропорта.

По объектам основных средств () и нематериальных активов () субъектом регулирования предоставляются данные учета (плана, прогноза) за последний отчетный (на текущий, очередной, прогнозируемый) финансовый год периода регулирования по их первоначальной стоимости, сумме начисленной амортизации и остаточной стоимости (с учетом переоценки и за вычетом начисленной амортизации) на основе расшифровки соответствующих строк бухгалтерского баланса и пояснений к нему.

37.2. Величина капитализированных инвестиций, относимых на i-ый вид регулируемых услуг (), определяется на текущий (очередной, прогнозируемый) финансовый год периода регулирования по следующей формуле:

где:

- распределительный коэффициент, определяющий долю капитализированных инвестиций, относимых на i-ый вид регулируемых услуг, рассчитывается в порядке, установленном пунктом 35 настоящих Методических указаний;

- общий объем капитализированных инвестиций, определяемый на текущий (очередной, прогнозируемый) финансовый год периода регулирования по формуле:

где:

- остаточная стоимость основных средств (с учетом переоценки и начисленной суммы амортизации), созданных в рамках реализации инвестиционной программы в части, профинансированной за счет собственных и заемных средств (без учета финансирования за счет бюджетных средств и доходов от аренды имущественного комплекса аэропорта) по данным отчета (плана, прогноза) на конец финансового года, предшествующего году, на который осуществляется расчет;

- стоимость объектов незавершенного строительства, связанного с реализацией инвестиционной программы в части, профинансированной за счет собственных и заемных средств (без учета финансирования за счет бюджетных средств и доходов от аренды имущественного комплекса аэропорта) по данным отчета (плана, прогноза) на конец финансового года, предшествующего году, на который осуществляется расчет;

- остаточная стоимость нематериальных активов (с учетом переоценки и начисленной суммы амортизации), созданных в рамках реализации инвестиционной программы в части, профинансированной за счет собственных и заемных средств (без учета финансирования за счет бюджетных средств и доходов от аренды имущественного комплекса аэропорта) по данным отчета (плана, прогноза) на конец финансового года, предшествующего году, на который осуществляется расчет.

37.3. Величина капитализированных инвестиций определяется исходя из параметров экономически обоснованной инвестиционной программы субъекта регулирования.

Анализ экономической обоснованности инвестиционной программы производится с учетом необходимости ограничения значительного роста фондоемкости оказываемых субъектом регулирования услуг в регулируемом сегменте по результатам ее реализации.

Размер допустимых темпов роста фондоемкости регулируемых услуг определяется исходя из параметров изменения рыночной стоимости активов, используемых при оказании регулируемых услуг, в том числе с учетом инфляционных факторов, конъюнктурных изменений на рынках соответствующих производственных товаров и услуг. Анализ указанных факторов роста фондоемкости регулируемых услуг проводится органом регулирования в случае, если темпы роста фондоемкости превышают индекс цен производителей промышленной продукции за предшествующий период.

Ограничение роста фондоемкости производства регулируемых услуг не вводится при расчете нормативной прибыли субъекта регулирования на текущий (очередной, прогнозируемый) финансовый год периода регулирования в случае, если изменение стоимости внеоборотных активов, обусловившее рост фондоемкости темпами, превышающими индекс цен производителей промышленной продукции за предшествующий период, связано с модернизацией и заменой морально устаревшего и физически изношенного оборудования, реконструкцией зданий, объектов и технических средств и систем, характеризующихся высокой степенью износа.

38. Норма рентабельности на капитал, определяемая для капитализированных инвестиций (), рассчитывается как средневзвешенная стоимость капитала субъекта регулирования по следующей формуле:

где:

- стоимость использования заемных средств, определяемая в соответствии с подпунктом 38.1 настоящего пункта;

- стоимость использования собственного капитала, определяемая в соответствии с подпунктом 38.2 настоящего пункта;

- значение налоговой ставки налога на прибыль, установленной в процентах, в соответствии с законодательством Российской Федерации;

ДЗК1 - доля заемных средств в структуре капитала субъекта регулирования, расходы по обслуживанию которых уменьшают налогооблагаемую базу;

ДЗК2 - доля заемных средств в структуре капитала субъекта регулирования, расходы по обслуживанию которых не снижают налогооблагаемую базу;

ДСК - доля собственного капитала в структуре капитала субъекта регулирования.

Показатели ДЗК1, ДЗК2 и ДСК рассчитываются по формулам:

где:

- размер процентов к уплате субъекта регулирования по долгосрочным долговым обязательствам, признаваемых расходом в соответствии с налоговым законодательством Российской Федерации, по плану (прогнозу) на текущий (очередной, прогнозируемый) финансовый год периода регулирования;

- общий размер начисленных процентов по долгосрочным долговым обязательствам субъекта регулирования, по плану (прогнозу) на текущий (очередной, прогнозируемый) финансовый год периода регулирования;

ЗК - стоимость долгосрочных долговых обязательств субъекта регулирования;

СК - стоимость собственного капитала, увеличенная на размер доходов будущих периодов и оценочных обязательств.

При определении нормативной прибыли на текущий (очередной, прогнозируемый) финансовый год периода регулирования стоимость долгосрочных долговых обязательств субъекта регулирования (ЗК) и стоимость собственного капитала, увеличенная на размер доходов будущих периодов и оценочных обязательств (СК), определяются на основании данных отчета (плана, прогноза) бухгалтерского баланса на конец финансового года, предшествующего данному году. По данным строк бухгалтерского баланса в соответствии с формами бухгалтерской отчетности, утвержденными приказом Министерства финансов Российской Федерации от 02.07.2010 N 66н, стоимость долгосрочных долговых обязательств субъекта регулирования (ЗК) определяется как сумма строк 1410 (долгосрочные заемные средства), 1420 (отложенные налоговые обязательства), 1450 (прочие долгосрочные обязательства); стоимость собственного капитала, увеличенная на размер доходов будущих периодов и оценочных обязательств (СК), определяется как сумма строк 1300 (итого капитал), 1530 (доходы будущих периодов) и 1540 (оценочные обязательства).

38.1. Стоимость использования заемных средств () определяется как средневзвешенная процентная ставка по полученным займам и кредитам, включая привлеченные средства путем выпуска и продажи облигаций. Для расчета стоимости использования заемного капитала необходимо указание в пояснительной записке к бухгалтерскому балансу процентных ставок и сроков погашения по каждому кредиту и займу. В отсутствие детализированной информации о процентных ставках по кредитам и займам расчетная стоимость использования заемных средств определяется органом регулирования как предельная величина процентов, признаваемых расходом в соответствии с налоговым законодательством Российской Федерации.

В случае если субъектом регулирования привлекаются рублевые и валютные заемные средства, стоимость использования заемных средств () рассчитывается по следующей формуле:

где:

- стоимость (средневзвешенная процентная ставка) использования заемных средств, привлеченных субъектом регулирования на долгосрочной основе, номинированных в рублях;

- доля заемных средств, номинированных в рублях, в общем объеме заемных средств, привлеченных субъектом регулирования на долгосрочной основе;

- стоимость (средневзвешенная процентная ставка) использования заемных средств, привлеченных субъектом регулирования на долгосрочной основе, номинированных в иностранной валюте;

- прогнозируемое на соответствующий финансовый год периода регулирования изменение курса рубля к иностранной валюте, в которой привлекались заемные средства;

- доля заемных средств, номинированных в иностранной валюте, в общем объеме заемных средств, привлеченных субъектом регулирования на долгосрочной основе.

38.2. Стоимость использования собственного капитала () определяется по формуле:

где:

- безрисковая ставка, соответствующая среднему геометрическому значению эффективной ставки доходности по государственным облигациям, выраженным в рублях, рассчитанному по данным котировок на ММВБ за последние 3 месяца, предшествующие моменту расчета сборов и тарифов субъекта регулирования (в процентах);

ERP - премия за риск инвестирования в собственный капитал субъекта регулирования; в целях настоящих Методических указаний принимается для субъектов регулирования, являющихся коммерческими организациями любой организационно-правовой формы, за исключением государственных унитарных предприятий, в размере 3%; для субъектов регулирования, являющихся государственными унитарными предприятиями или некоммерческими организациями, принимается равной нулю.

39. В случае если расчетное значение нормативной прибыли, относимой на i-ый вид регулируемых услуг, равно нулю или имеет отрицательное значение, то органом регулирования нормативная прибыль, относимая на данный вид услуг, на соответствующий финансовый год принимается равной нулю.

40. Исходные данные, используемые для расчета нормативной прибыли по видам регулируемых услуг субъекта регулирования, и результаты расчетов представляются в соответствующих строках таблицы N 3 приложения 1 к настоящим Методическим указаниям.

Полученный в результате расчетов размер нормативной прибыли по видам регулируемых услуг субъекта регулирования отражается в соответствующих строках таблиц N 1, 2 приложения 1 к настоящим Методическим указаниям.

V. Расчет размера необходимой валовой выручки, учитываемой при формировании регулируемых сборов и тарифов на услуги субъектов естественных монополий в аэропортах

41. Необходимая валовая выручка по i-му виду регулируемых услуг субъекта регулирования на текущий (очередной, прогнозируемый) финансовый год периода регулирования () рассчитывается по формуле:

где:

- размер экономически обоснованных затрат субъекта регулирования, относимых на i-ый вид регулируемых услуг, определяемая на текущий (очередной, прогнозируемый) финансовый год периода регулирования в соответствии с разделом III настоящих Методических указаний;

- величина нормативной прибыли, относимой на i-ый вид регулируемых услуг, определяемая на текущий (очередной, прогнозируемый) финансовый год периода регулирования в соответствии с разделом IV настоящих Методических указаний;

- величина корректировки необходимой валовой выручки, учитываемой по решению органа регулирования при определении необходимой валовой выручки субъекта регулирования по i-му виду регулируемых услуг, на текущий (очередной, прогнозируемый) финансовый год периода регулирования, определяемая в порядке, установленном пунктами 45, 46 настоящих Методических указаний;

- величина субсидии, обеспечивающей частичное возмещение необходимой валовой выручки субъекта регулирования по i-му виду регулируемых услуг, на текущий (очередной, прогнозируемый) финансовый год периода регулирования за счет бюджетных средств, определяемая в порядке, установленном пунктом 47 настоящих Методических указаний.

42. По видам регулируемых услуг, по которым ставки сборов или тарифы устанавливаются отдельно для российских потребителей и иностранных эксплуатантов, необходимая валовая выручка на текущий (очередной, прогнозируемый) финансовый год периода регулирования определяется отдельно по российским потребителям и иностранным эксплуатантам () по следующим формулам:

где:

- размер экономически обоснованных затрат субъекта регулирования, относимых на i-ый вид регулируемых услуг, определенный, соответственно, по российским потребителям и иностранным эксплуатантам, в порядке, установленном пунктом 43 настоящих Методических указаний;

- величина нормативной прибыли, относимой на i-ый вид регулируемых услуг, определенная, соответственно, по российским потребителям и иностранным эксплуатантам в порядке, установленном пунктом 44 настоящих Методических указаний;

- величина корректировки необходимой валовой выручки, учитываемой по решению органа регулирования при определении необходимой валовой выручки субъекта регулирования по i-му виду регулируемых услуг, определенная, соответственно, по российским потребителям и иностранным эксплуатантам в порядке, установленном пунктами 45, 46 настоящих Методических указаний;

- величина субсидии, обеспечивающей частичное возмещение необходимой валовой выручки субъекта регулирования по i-му виду регулируемых услуг, оказываемых российским потребителям, на текущий (очередной, прогнозируемый) финансовый год периода регулирования за счет бюджетных средств, определяемая в порядке, установленном пунктом 47 настоящих Методических указаний.

43. Размер экономически обоснованных затрат субъекта регулирования, относимых на i-ый вид регулируемых услуг, определяется по российским потребителям и иностранным эксплуатантам () в следующем порядке.

43.1. По видам регулируемых услуг, по которым в форме Сводной ведомости предусмотрены две отдельные графы для российских потребителей и иностранных эксплуатантов, размер экономически обоснованных затрат по российским потребителям и иностранным эксплуатантам () определяется исходя из общего объема экономически обоснованных затрат, относимых на i-ый вид регулируемых услуг (), и доли экономически обоснованных затрат по соответствующим тарифным позициям, по формулам:

где:

- размер экономически обоснованных затрат субъекта регулирования по i-му виду регулируемых услуг, определенный на текущий (очередной, прогнозируемый) финансовый год периода регулирования в соответствии с разделом III настоящих Методических указаний;

- удельный вес экономически обоснованных затрат по иностранным эксплуатантам в общем объеме экономически обоснованных затрат, относимых на i-ый вид регулируемых услуг, определяемый по данным соответствующих граф плана (прогноза) Сводной ведомости на текущий (очередной, прогнозируемый) финансовый год периода регулирования (с учетом результатов анализа обоснованности этих данных).

43.2. По видам регулируемых услуг, по которым в форме Сводной ведомости не выделены отдельные графы для российских потребителей и иностранных эксплуатантов, размер экономически обоснованных затрат по российским потребителям и иностранным эксплуатантам () определяется исходя из удельного веса объема работ (услуг) в натуральном измерении по i-му виду регулируемых услуг соответствующих потребителей (эксплуатантов) в общем объеме работ (услуг) в натуральном измерении по данному i-му виду регулируемых услуг () по формулам:

где:

- объем работ (услуг) в натуральном измерении по i-му виду регулируемых услуг, соответственно в целом и по иностранным эксплуатантам, определяемый на текущий (очередной, прогнозируемый) финансовый год периода регулирования в порядке, предусмотренном пунктом 55 настоящих Методических указаний.

44. Величина нормативной прибыли, относимой на i-ый вид регулируемых услуг, определяется по российским потребителям и иностранным эксплуатантам ( ) в следующем порядке.

44.1. Для субъектов регулирования, не имеющих в своем составе собственного парка воздушных судов на правах собственности, на условиях аренды или лизинга или на ином законном основании (далее - собственного парка воздушных судов), величина нормативной прибыли по российским потребителям и иностранным эксплуатантам () определяется исходя из общего объема нормативной прибыли, относимой на i-ый вид регулируемых услуг (), и удельного веса доходов по обычным видам деятельности, полученных субъектом регулирования по i-му виду регулируемых услуг от соответствующих потребителей (эксплуатантов), в общем объеме доходов по обычным видам деятельности, полученных субъектом регулирования по i-му виду регулируемых услуг, сложившегося за три отчетных года, предшествующих текущему финансовому году t, по формулам:

где:

- величина нормативной прибыли по i-му виду регулируемых услуг, определенной на текущий (очередной, прогнозируемый) финансовый год периода регулирования в соответствии с разделом IV настоящих Методических указаний;

- объем доходов по обычным видам деятельности, полученный субъектом регулирования по i-му виду регулируемых услуг от иностранных эксплуатантов по отчету за 3 последних финансовых года, предшествующих текущему финансовому году t; определяется по данным Сводной ведомости за соответствующий отчетный год;

- объем доходов по обычным видам деятельности, полученный субъектом регулирования по i-му виду регулируемых услуг по отчету за 3 последних финансовых года, предшествующих текущему финансовому году t; определяется по данным Сводной ведомости за соответствующий отчетный год.

44.2. Для субъектов регулирования, имеющих в своем составе собственный парк воздушных судов, величина нормативной прибыли по российским потребителям и иностранным эксплуатантам () определяется исходя из общего объема нормативной прибыли, относимой на i-ый вид регулируемых услуг (), и соотношения действующего уровня ставок сборов (тарифов) по данному i-му виду регулируемых услуг для соответствующих потребителей (эксплуатантов), сложившегося за три отчетных года, предшествующих текущему финансовому году t, по следующим формулам:

где:

- величина нормативной прибыли по i-му виду регулируемых услуг, определенная на текущий (очередной, прогнозируемый) финансовый год периода регулирования в соответствии с разделом IV настоящих Методических указаний;

- ставки сбора (тарифы), действовавшие по i-му виду регулируемых услуг для иностранных эксплуатантов в течение 3 последних финансовых лет, предшествующих текущему финансовому году t;

- ставки сбора (тарифы), действовавшие по i-му виду регулируемых услуг для российских потребителей в течение 3 последних финансовых лет, предшествующих текущему финансовому году t.

45. Корректировка необходимой валовой выручки субъекта регулирования по i-му виду регулируемых услуг (), в том числе по российским потребителям и иностранным эксплуатантам (), осуществляется по решению органа регулирования в следующем порядке.

45.1. В случае если по данным отчетности субъекта регулирования в ходе анализа, проведенного в соответствии с пунктом 18 настоящих Методических указаний, были выявлены средства по отдельным калькуляционным статьям (группам, подгруппам) расходов, использованные субъектом регулирования в течение текущего финансового года и/или предшествующего отчетного финансового года не в соответствии с прогнозом финансово-экономической деятельности субъекта регулирования, принятым органом регулирования при установлении сборов и тарифов на соответствующие периоды, то в зависимости от их объема и обстоятельств, выявленных в ходе анализа, указанные средства могут быть исключены из полученных расчетных значений необходимой валовой выручки путем ее корректировки.

45.2. Для субъектов регулирования, имеющих в своем составе несколько аэропортов, корректировка необходимой валовой выручки может осуществляться путем ее перераспределения между аэропортами и/или видами регулируемых услуг аэропортов с учетом уровня платежеспособного спроса потребителей и/или для обеспечения функционирования запасных аэродромов. По аэропортам, имеющим в своем составе два и более аэровокзальных комплекса (пассажирских здания), корректировка необходимой валовой выручки может осуществляться путем ее перераспределения между аэровокзальными комплексами (пассажирскими зданиями) и/или видами соответствующих услуг с учетом уровня платежеспособного спроса потребителей. В указанных случаях корректировка необходимой валовой выручки субъекта регулирования по видам регулируемых услуг осуществляется без изменения ее общей величины, начисленной субъекту регулирования по результатам расчетов.

45.3. При расчете сборов и тарифов на долгосрочный период регулирования корректировка необходимой валовой выручки осуществляется в течение данного периода с учетом факторов, влияющих на величину параметров ее расчета, не зависящих от результатов хозяйственной деятельности субъекта регулирования, в том числе инфляционных факторов, изменения законодательства Российской Федерации, в соответствии с положениями пункта 11 настоящих Методических указаний.

45.4. При расчете сборов и тарифов с учетом планируемых результатов реализации инвестиционной программы субъекта регулирования корректировка необходимой валовой выручки осуществляется в течение долгосрочного периода регулирования на основании оценки отклонения фактических объемов ввода в эксплуатацию объектов основных средств в рамках реализации инвестиционной программы от прогнозных объемов ввода, учитываемых при формировании долгосрочных сборов и тарифов.

В случае если размер указанного отклонения не превышает 10%, корректировка необходимой валовой выручки не производится.

В случае если размер указанного отклонения составляет от 10 до 20%, производится корректировка величины капитализированных инвестиций, учитываемых при формировании нормативной прибыли на соответствующий финансовый год, исходя из размера указанного отклонения.

В случае если органом регулирования выявлено снижение результатов реализации инвестиционной программы за соответствующий финансовый год более чем на 20% относительно целевых показателей, на основании которых производился расчет необходимой валовой выручки на долгосрочный период регулирования, осуществляется корректировка необходимой валовой выручки на данный финансовой год путем ее перерасчета без учета нормативной прибыли.

В случае превышения результатов реализации инвестиционной программы за соответствующий финансовый год более чем на 20% относительно целевых показателей, на основании которых производился расчет необходимой валовой выручки на долгосрочный период регулирования, корректировка необходимой валовой выручки на данный финансовой год осуществляется исходя из размера отклонения, принятого на уровне 20%.

45.5. При расчете сборов и тарифов на долгосрочный период регулирования размер корректировки необходимой валовой выручки по i-му виду регулируемых услуг, проектируемой на год t+k (), определяется по следующей формуле:

где:

- величины корректировки необходимой валовой выручки по i-му виду регулируемых услуг за годы t+k-2 и t+k-1 соответственно;

- фактическое значение индекса потребительских цен, установленного в процентах, в году t+k-2;

- прогнозное значение индекса потребительских цен, установленного в процентах, на год t+k-1.

46. При расчете сборов и тарифов в целях защиты потребителей от резкого роста тарифной нагрузки по отдельным видам регулируемых услуг органом регулирования осуществляется перераспределение полученных расчетных значений необходимой валовой выручки между годами в пределах одного долгосрочного периода регулирования по соответствующему i-му виду регулируемых услуг осуществляется без изменения общего объема расчетной необходимой валовой выручки субъекта регулирования, начисленной по i-му виду регулируемых услуг за весь долгосрочный период регулирования, с учетом дисконтирования соответствующих сумм, перераспределенных между годами.

47. Величина субсидии, обеспечивающей частичное возмещение необходимой валовой выручки субъекта регулирования, относимой на i-ый вид регулируемых услуг, на текущий (очередной, прогнозируемый) финансовый год периода регулирования за счет бюджетных средств (), определяется на основе планируемых в рамках проекта федерального бюджета на соответствующий период объемов бюджетного финансирования на указанные цели. Величина субсидии, учитываемой при расчете необходимой валовой выручки, по видам регулируемых услуг определяется в соответствии с целевым назначением соответствующих конкретных субсидий или исходя из их общего объема и доли расходов по обычным видам деятельности по соответствующим видам услуг в общем объеме расходов по обычным видам деятельности субъекта регулирования.

При определении величины субсидии, учитываемой при расчете необходимой валовой выручки в соответствии с пунктами 41, 42 настоящих Методических указаний, не учитывается величина субсидии, которая определяется при расчете ставок сборов и тарифов в соответствии с пунктами 49, 50 настоящих Методических указаний.

48. Результаты расчетов размера необходимой валовой выручки по видам регулируемых услуг и нерегулируемым услугам субъекта регулирования отражаются в соответствующих строках таблиц N 1, 2 приложения 1 к настоящим Методическим указаниям.

VI. Порядок расчета ставок сборов и тарифов на услуги субъектов естественных монополий в аэропортах

49. По видам регулируемых услуг, по которым сборы и тарифы устанавливаются субъекту регулирования только для российских потребителей, расчет ставок сборов и тарифов осуществляется в целом по видам услуг.

Предельный уровень ставки сбора (тариф), определенный в целом по i-му виду регулируемых услуг (), на текущий (очередной, прогнозируемый) финансовый год периода регулирования рассчитывается по следующим формулам:

где:

- расчетный уровень ставки сбора (тарифа) субъекта регулирования, определяется в целом по i-му виду регулируемых услуг на текущий (очередной, прогнозируемый) финансовый год периода регулирования по формуле (32);

- величина корректировки расчетного уровня ставки сбора (тарифа), определяется на текущий (очередной, прогнозируемый) финансовый год периода регулирования в соответствии с пунктом 51 настоящих Методических указаний;

- величина субсидий, обеспечивающих снижение расчетного уровня ставки сбора (тарифа) по i-му виду регулируемых услуг или освобождение от его оплаты льготных категорий российских потребителей за счет бюджетных средств на текущий (очередной, прогнозируемый) финансовый год периода регулирования; определяется в соответствии с пунктом 52 настоящих Методических указаний;

- необходимая валовая выручка по i-му виду регулируемых услуг субъекта регулирования, определенная на текущий (очередной, прогнозируемый) финансовый год периода регулирования в соответствии с пунктом 41 настоящих Методических указаний;

- объем работ (услуг) в натуральном измерении по i-му виду регулируемых услуг субъекта регулирования, определяется на текущий (очередной, прогнозируемый) финансовый год периода регулирования в порядке, предусмотренном пунктом 55 настоящих Методических указаний.

50. По видам регулируемых услуг, по которым сборы и тарифы устанавливаются субъекту регулирования для российских потребителей и иностранных эксплуатантов, предельный уровень ставок сборов и тарифов по i-му виду регулируемых услуг для российских потребителей () и иностранных эксплуатантов () рассчитывается отдельно, по формулам:

где:

- расчетный уровень ставки сбора (тарифа) субъекта регулирования, определяется по i-му виду регулируемых услуг, соответственно, для российских потребителей и иностранных эксплуатантов, на текущий (очередной, прогнозируемый) финансовый год периода регулирования по формулам (34, 36);

- величина корректировки расчетного уровня ставки сбора (тарифа) по i-му виду регулируемых услуг, соответственно, для российских потребителей и иностранных эксплуатантов, на текущий (очередной, прогнозируемый) финансовый год периода регулирования, определяется в соответствии с пунктом 51 настоящих Методических указаний;

- величина субсидий, обеспечивающих снижение расчетного уровня ставки сбора (тарифа) по i-му виду регулируемых услуг или освобождение от его оплаты льготных категорий российских потребителей за счет бюджетных средств на текущий (очередной, прогнозируемый) финансовый год периода регулирования; определяется в соответствии с пунктом 52 настоящих Методических указаний;

- необходимая валовая выручка по i-му виду регулируемых услуг субъекта регулирования, соответственно, по российским потребителям и иностранным эксплуатантам, определенная на текущий (очередной, прогнозируемый) финансовый год периода регулирования в соответствии с пунктом 42 настоящих Методических указаний;

- объем работ (услуг) в натуральном измерении по i-му виду регулируемых услуг субъекта регулирования, соответственно, для российских потребителей и иностранных эксплуатантов, определяется на текущий (очередной, прогнозируемый) финансовый год периода регулирования в порядке, предусмотренном пунктом 55 настоящих Методических указаний.

51. При расчете сборов и тарифов на долгосрочный период регулирования для определения предельного уровня ставки сбора (тарифа) на текущий (очередной, прогнозируемый) финансовый год периода регулирования органом регулирования при необходимости учитывается корректировка расчетного уровня ставки сбора (тарифа) по i-му виду регулируемых услуг () или отдельно для российских потребителей и иностранных эксплуатантов () в соответствии с положениями пункта 11 настоящих Методических указаний.

Величина корректировки расчетного уровня ставки сбора (тарифа) определяется с учетом корректировки необходимой валовой выручки, реализованной органом регулирования в соответствии с пунктами 41, 42 настоящих Методических указаний.

52. При расчете предельного уровня ставок сборов и тарифов учитывается величина субсидий, обеспечивающих снижение их расчетного уровня для российских потребителей, или освобождение от их оплаты льготных категорий российских потребителей за счет бюджетных средств (), на текущий (очередной, прогнозируемый) финансовый год периода регулирования в рамках планируемых на соответствующий финансовый год объемов бюджетного финансирования на указанные цели.

53. В случае если с учетом решений Правительства Российской Федерации по допустимому уровню индексации тарифов на услуги субъектов естественных монополий органом регулирования по соответствующим видам регулируемых услуг устанавливаются тарифы и сборы, которые не позволяют в полной мере компенсировать экономически обоснованные затраты субъекта регулирования, связанные с оказанием данных услуг, органом регулирования реализуются меры по поэтапному доведению тарифов и сборов до уровня, обеспечивающего полное покрытие экономически обоснованных затрат, в том числе с учетом выделяемых на указанные цели бюджетных субсидий.

54. В случае если субъектом регулирования при оказании регулируемых услуг используется имущество аэропортов (аэродромов), переданное субъекту регулирования в концессию, при определении ставок сборов и тарифов на данные услуги органом регулирования учитываются расходы, связанные с выполнением субъектом регулирования условий концессионного соглашения, в том числе выплаты концессионных платежей.

55. Для расчета регулируемых сборов и тарифов субъектами регулирования предоставляются данные по объемам работ (услуг) в натуральном измерении по регулируемым видам услуг в соответствии с таблицами N 1 - 12 приложения 2 к настоящим Методическим указаниям.

Для расчета регулируемых сборов и тарифов используется данные, предусмотренные таблицами N 6 и N 12 (с учетом оценки их достоверности), сформированные на основе данных таблиц N 1 - 5, 7 - 11.

Объемы работ (услуг) в натуральном измерении по регулируемым услугам, используемые для расчета ставок сборов и тарифов, определяются приведенные, с учетом коэффициентов и льгот, предусмотренных формами таблиц приложения 2 к настоящим Методическим указаниям.

56. Предельные максимальные ставки сборов по услуге обеспечение стоянки воздушных судов, устанавливаемые на одни сутки стоянки в процентах от сбора за взлет-посадку, определяются в процентах после выполнения вышеизложенных расчетов в полном объеме, путем их деления на соответствующую ставку сбора за взлет-посадку и умножения на 100%.

Предельные максимальные ставки сборов по услуге обеспечение стоянки воздушных судов, устанавливаемые на один час стоянки в процентах от сбора за взлет-посадку, определяются в процентах после выполнения вышеизложенных расчетов в полном объеме, путем их деления на соответствующую ставку сбора за взлет-посадку, умножения на 100% и деления на 24 ч./сутки.

57. Результаты расчетов ставок сборов и тарифов субъекта регулирования по видам регулируемых услуг и потребителям (эксплуатантам), экономические показатели, используемые для их расчета, а также объемы работ (услуг) в натуральном измерении по видам регулируемых услуг и потребителям (эксплуатантам) субъекта регулирования, полученные по данным приложения 2 к настоящим Методическим указаниям, отражаются в соответствующих строках таблиц N 1, 2 приложения 1 к настоящим Методическим указаниям.

Приложение 1
к Методическим указаниям

Таблица N 1 Приложения 1

Результаты расчета экономических показателей по регулируемой услуге _____________________

аэропорт _____ аэровокзал _____ субъект регулирования _____

Номер строки Наименование показателя Единица измерения Базовый год (год) расчетная база показатели Период регулирования
текущий год (год) очередной год (год)
показатели индекс к расчетной базе (5 : 4) показатели индекс к предыдущему году (7 : 5) индекс к расчетной базе (7 : 4)
1 2 3 4 5 6 7 8 9
1 Объем работ (услуг) в натуральном измерении, всего (1.1 + 1.2)
1.1. российские потребители, всего (1.1.1 + 1.1.2)
1.1.1. обслуживание собственных воздушных судов
1.1.2. сторонние российские потребители
1.2. иностранные эксплуатанты
2 Расходы по обычным видам деятельности, всего
2.1. Оплата труда всего состава, всего
2.1.1. производственный персонал
2.1.2. административно-управленческий персонал
2.2. Отчисления на социальные нужды, всего
2.2.1. производственный персонал
2.2.2. административно-управленческий персонал
2.3. Амортизация
2.4. Содержание наземных ОПФ, всего
2.4.1. электрическая энергия
2.4.2. тепловая энергия и водообеспечение
2.4.3. техническое обслуживание и эксплуатация оборудования
2.4.4. техническое обслуживание и эксплуатация спецавтотранспорта
2.4.5. прочие затраты
2.5. Ремонт наземных ОПФ
2.6. Аренда и услуги сторонних организаций, всего
2.6.1. аренда государственного имущества
2.6.2. аренда земельных участков
2.6.3. аренда каналов связи и услуги связи
2.6.4. прочие аренда и лизинг
2.6.5. обеспечение авиабезопасности
2.6.6. облеты ССО
2.6.7. метеообеспечение
2.6.8. прочие услуги
2.7. Подготовка и переподготовка кадров
2.8. Страхование, всего
2.8.1. обязательное страхование
2.8.2. прочие виды страхования
2.9. Прочие производственные расходы
2.10. Общехозяйственные расходы, всего
2.10.1. налоги, сборы, платежи
2.10.2. прочие общехозяйственные расходы
3 Себестоимость единицы работ (услуг) (2 : 1)
4 Прочие расходы, всего
4.1. расходы по оплате услуг кредитных организаций
4.2. расходы по участию в совместной деятельности
4.3. налоги и иные обязательные платежи и сборы
5 Прочие расходы на единицу работ (услуг) (4 : 1)
6 Экономически обоснованные затраты, всего (2 + 4) (6.1 + 6.2)
6.1. российские потребители, всего (6.1.1 + 6.1.2)
6.1.1. обслуживание собственных воздушных судов (6.1 - 6.1.2)
6.1.2. сторонние российские потребители (6.1 : 1.1 x 1.1.2)
6.2. иностранные эксплуатанты
7 Экономически обоснованные затраты на единицу работ (услуг) (6 : 1)
8 Нормативная прибыль, всего (8.1 + 8.2) X X X
8.1. российские потребители X X X
8.2. иностранные эксплуатанты X X X
9 Нормативная прибыль на единицу работ (услуг) (8 : 1) X X X
10 Необходимая валовая выручка расчетная (6 + 8) X X X
10.1. российские потребители X X X
10.2. иностранные эксплуатанты X X X
11 Необходимая валовая выручка на единицу работ (услуг) (10 : 1) X X X
12 Корректировка необходимой валовой выручки расчетной X X X
12.1. российские потребители X X X
12.2. иностранные эксплуатанты X X X
13 Субсидии по возмещению необходимой валовой выручки (доходов) X X X
14 Необходимая валовая выручка итого (10 + 12 - 13) X X X
14.1. российские потребители (10.1 + 12.1 - 13) X X X
14.2. иностранные эксплуатанты (10.2 + 12.2) X X X
15 Расчетная ставка сбора (тариф) по услуге (14 : 1) X X X
15.1. корректировка расчетной ставки сбора (тарифа) по услуге X X X
15.2. субсидии по ставке сбора (тарифу) по услуге X X X
15.3. предельный уровень ставки сбора (тарифа) по услуге (15 + 15.1 - 15.2) X X X
16 Ставка сбора (тариф) для российских потребителей к установлению X X X
16.1. действующий уровень X X X
16.2. расчетный уровень (14.1 : 1.1) X X X
16.3. индекс изменения расчетного уровня к действующему (16.2 : 16.1) X X X
16.4. корректировка расчетного уровня X X X
16.5. субсидии по снижению ставки сбора (тарифа), всего (16.5.1 - 1 + 16.5.2) X X X
16.5.1. субсидии, устанавливаемые по ставке сбора (тарифу) X X X
16.5.2. субсидии по российским потребителям, освобожденным от платы X X X
16.6. предельный уровень (16.2 + 16.4 - 16.5) X X X
16.7. индекс изменения предельного уровня к действующему (16.6 : 16.1) X X X
17 Ставка сбора (тариф) для иностранных эксплуатантов к установлению X X X
17.1. действующий уровень X X X
17.2. расчетный уровень (14.2 : 1.2) X X X
17.3. индекс изменения расчетного уровня к действующему (17.2 : 17.1) X X X
17.4. корректировка расчетного уровня X X X
17.5. предельный уровень (17.2 + 17.4) X X X
17.6. индекс изменения предельного уровня к действующему (17.5 : 17.1) X X X
18 Доходы с учетом сроков введения нового уровня, всего (18.1 + 18.2)
18.1. сторонние российские потребители
18.2. иностранные эксплуатанты
19 Удельный вес доходов в общих доходах по регулируемым услугам
20 Прибыль (убыток) до налогообложения (18 - 6.1.2 - 6.2)
сторонние российские потребители (18.1 - 6.1.2)
иностранные эксплуатанты (18.2 - 6.2)
21 Рентабельность (убыточность) (20 : (6.1.2 + 6.2) x 100%)
22 Субсидии, всего (22.1 + 22.2)
22.1. субсидии по возмещению необходимой валовой выручки (доходов)
22.2. субсидии по снижению ставки сбора (тарифа), всего (22.2.1 + 22.2.2)
22.2.1. сумма субсидий, устанавливаемых по ставке сбора (тарифу)
22.2.2. сумма субсидий по российским потребителям, освобожденным от платы
22.2.3. объем работ (услуг) в натуральном измерении по российским потребителям, освобожденным от платы
23 Финансовый результат с учетом субсидий (20 + 22)

Примечание:

В таблице N 1 приложения 1 к Методическим указаниям отражаются результаты расчетов, выполненных в соответствии с настоящими Методическими указаниями, по конкретному виду регулируемых услуг, и исходные данные, используемые для расчетов.

Указанная таблица N 1 формируется отдельно по каждому виду регулируемых услуг каждого аэропорта, входящего в состав субъекта регулирования. В заголовке таблицы N 1 указываются наименование вида услуг, наименование аэровокзального комплекса (пассажирского здания) или прочерк, наименования аэропорта и субъекта регулирования.

По графам форм таблицы N 1 указываются базовый год (последний отчетный год, предшествующий текущему году), текущий год и очередной год периода регулирования. В графе 4 "Базовый год" построчно указываются данные, полученные на основе отчетных данных субъекта регулирования за указанный год, в порядке, предусмотренном пунктом 18 настоящих Методических указаний (расчетная база). В графах 5 "текущий год" и 6 "очередной год" указываются данные, полученные на основе данных плана (прогноза) субъекта регулирования или результаты расчетов, выполненных в порядке, установленном настоящими Методическими указаниями.

При расчете сборов и тарифов на долгосрочный период регулирования в таблице N 1 вводятся дополнительные графы для представления данных по каждому финансовому году долгосрочного периода регулирования и индексов изменения показателей к уровню предыдущего года.

При необходимости использования отчетных данных за два и более финансовых года, предшествующих текущему году, в таблице N 1 вводятся дополнительные графы в аналогичном порядке.

Таблица N 2 Приложения 1

Результаты расчета экономических показателей ______________

аэропорт _________ субъект регулирования __________________

Номер строки Наименование показателя Единица измерения Базовый год (год) расчетная база показатели Период регулирования
текущий год (год) очередной год (год)
показатели индекс к расчетной базе (5 : 4) показатели индекс к предыдущему году (7 : 5) индекс к расчетной базе (7 : 4)
1 2 3 4 5 6 7 8 9
1 Расходы по обычным видам деятельности, всего (2 + 3)
2 Всего расходы по статьям затрат
2.1. Оплата труда всего состава, всего
2.1.1. производственный персонал
2.1.2. административно-управленческий персонал
2.2. Отчисления на социальные нужды, всего
2.2.1. производственный персонал
2.2.2. административно-управленческий персонал
2.3. Амортизация
2.4. Содержание наземных ОПФ, всего
2.4.1. электрическая энергия
2.4.2. тепловая энергия и водообеспечение
2.4.3. техническое обслуживание и эксплуатация оборудования
2.4.4. техническое обслуживание и эксплуатация спецавтотранспорта
2.4.5. прочие затраты
2.5. Ремонт наземных ОПФ
2.6. Аренда и услуги сторонних организаций, всего
2.6.1. аренда государственного имущества
2.6.2. аренда земельных участков
2.6.3. аренда каналов связи и услуги связи
2.6.4. прочие аренда и лизинг
2.6.5. обеспечение авиабезопасности
2.6.6. облеты ССО
2.6.7. метеообеспечение
2.6.8. прочие услуги
2.7. Подготовка и переподготовка кадров
2.8. Страхование, всего
2.8.1. обязательное страхование
2.8.2. прочие виды страхования
2.9. Прочие производственные расходы
2.10. Общехозяйственные расходы, всего
2.10.1. налоги, сборы, платежи
2.10.2. прочие общехозяйственные расходы

Таблица N 2 Приложения 1

1 2 3 4 5 6 7 8 9
2.11. Основные материалы на эксплуатацию, техническое обслуживание и ремонт самолетов, вертолетов и авиадвигателей (СВАД), всего
2.11.1. авиаГСМ
2.11.2. материалы на техническое обслуживание и ремонт
2.11.3. бортовое питание
2.12. Прочие расходы на эксплуатацию, техническое обслуживание и ремонт СВАД
3 Покупная стоимость реализованных товаров, всего
3.1. авиаГСМ
3.2. материалы на техническое обслуживание и ремонт
3.3. бортовое и общественное питание
3.4. прочее
4 Прочие расходы, всего
4.1. расходы по оплате услуг кредитных организаций
4.2. расходы по участию в совместной деятельности
4.3. налоги и иные обязательные платежи и сборы
4.4. проценты к уплате по долговым обязательствам
4.5. курсовые разницы
4.6. прочие
5 Итого расходы (1 + 4) (5.1 + 5.2)
5.1. регулируемые услуги, всего (5.1.1 + 5.1.2)
5.1.1. российские потребители, всего (5.1.1.1 + 5.1.1.2)
5.1.1.1. обслуживание собственных воздушных судов
5.1.1.2. сторонние российские потребители
5.1.2. иностранные эксплуатанты
5.2. нерегулируемая деятельность
6 Доходы по обычным видам деятельности (выручка), всего (6.1 + 6.2)
6.1. регулируемые услуги, всего (6.1.1 + 6.1.2)
6.1.1. сторонние российские потребители
6.1.2. иностранные эксплуатанты
6.2. нерегулируемая деятельность
7 Прочие доходы
8 Доходы, итого (6 + 7)
9 Финансовый результат (8 - 5) (9.1 + 9.2)
9.1. регулируемые услуги
9.2. нерегулируемая деятельность
10 Рентабельность (убыточность) (9 : 5 x 100%)
11 Субсидии, всего (11.1 + 11.2)
11.1. регулируемые услуги
11.2. нерегулируемая деятельность
12 Финансовый результат с учетом субсидии (9 + 11)

Примечание:

В таблице N 2 приложения 1 к Методическим указаниям отражаются результаты расчетов, выполненных в соответствии с настоящими Методическими указаниями по видам регулируемых услуг, обобщенные (полученные суммарно) по всем видам регулируемых услуг, нерегулируемой деятельности и деятельности субъекта регулирования в целом, а также исходные данные, используемые для расчетов.

Указанная таблица N 2 формируется отдельно по регулируемым услугам (суммарно по всем видам регулируемых услуг) каждого аэропорта, входящего в состав субъекта регулирования, по регулируемым услугам в целом по всем аэропортам, входящим в состав субъекта регулирования, по нерегулируемой деятельности и по субъекту регулирования в целом. В заголовке таблицы N 2 указываются слова "по регулируемым услугам", или "по нерегулируемой деятельности", или прочерк, наименование аэропорта или прочерк, наименование субъекта регулирования.

Графы и строки таблицы N 2 формируются в порядке, аналогичном установленному по таблице N 1 приложения 1 к Методическим указаниям.

Таблица N 3 Приложения 1

Исходные данные и расчет нормативной прибыли по видам регулируемых услуг

аэропорт ________ субъект регулирования _______

1. Исходные данные за три отчетных года, предшествующих текущему году, и расчет средней нормы прибыли на капитал

Единица измерения: тыс. руб.

Номер строки Наименование показателя Показатели за отчетный период
(год) (год) (год)
1 2 3 4 5
1 Расходы по обычным видам деятельности, всего (1.1 + 1.2)
1.1. расходы, кроме амортизации, всего (1.1.1 + 1.1.2 + 1.1.3)
1.1.1. регулируемые услуги данного аэропорта
1.1.2. регулируемые услуги других аэропортов
1.1.3. нерегулируемая деятельность
1.2. амортизация, всего (1.2.1 + 1.2.2 + 1.2.3)
1.2.1. регулируемые услуги данного аэропорта
1.2.2. регулируемые услуги других аэропортов
1.2.3. нерегулируемая деятельность
2 Нематериальные активы
3 Основные средства
4 Краткосрочные обязательства
5 Краткосрочные заемные обязательства
6 Доходы будущих периодов
7 Оценочные обязательства
8 Оборотные активы, всего
8.1. регулируемые услуги данного аэропорта (8 x 1.1.1 : 1.1)
8.2. регулируемые услуги других аэропортов (8 x 1.1.2 : 1.1)
8.3. нерегулируемая деятельность (8 - 8.1 - 8.2)
9 Внеоборотные активы, всего (2 + 3)
9.1. регулируемые услуги данного аэропорта (9 x 1.2.1 : 1.2)
9.2. регулируемые услуги других аэропортов (9 x 1.2.2 : 1.2)
9.3. нерегулируемая деятельность (9 - 9.1 - 9.2)
10 Доли базового капитала, всего, ед. 1 1 1
10.1. регулируемые услуги данного аэропорта (8.1 + 9.1) : (8 + 9)
10.2. регулируемые услуги других аэропортов (8.2 + 9.2) : (8 + 9)
10.3. нерегулируемая деятельность (10 - 10.1 - 10.2)
11 Величина базового капитала, всего (2 + 3 - 4 + 5 + 6 + 7 + 8)
11.1. регулируемые услуги данного аэропорта (11 x 10.1)
11.2. регулируемые услуги других аэропортов (11 x 10.2)
11.3. нерегулируемая деятельность (11 - 11.1 - 11.2)
12 Прибыль (убыток) до налогообложения, всего (12.1 + 12.2 + 12.3)
12.1. регулируемые услуги данного аэропорта
12.2. регулируемые услуги других аэропортов
12.3. нерегулируемая деятельность
13 Субсидии, всего (13.1 + 13.2 + 13.3)
13.1. регулируемые услуги данного аэропорта
13.2. регулируемые услуги других аэропортов
13.3. нерегулируемая деятельность
14 Налоговая ставка налога на прибыль, %
15 Норма прибыли данного аэропорта, % (12.1 + 13.1) : 11.1 x (100 - стр. 14)
16 Средняя норма прибыли данного аэропорта, % (стр. 15 гр. (3 + 4 + 5) : 3)

Таблица N 3 Приложения 1

2. Исходные данные на текущий (год) и очередной (год) год периода регулирования

Единица измерения: тыс. руб.

Номер строки Наименование показателя Текущий год
(год)
Очередной год
(год)
1 2 3 4
17 Расходы по обычным видам деятельности, всего (17.1 + 17.2)
17.1. расходы, кроме амортизации
17.2. амортизация
18 Налоговая ставка налога на прибыль, %
19 Безрисковая ставка доходности, %
20 Величина базового капитала, всего (20.1 + 20.2 - 20.3 + 20.4 + 20.5 + 20.6 + 20.7) (при установлении сборов и тарифов на долгосрочный период)
20.1. нематериальные активы
20.2. основные средства
20.3. краткосрочные обязательства
20.4. краткосрочные заемные обязательства
20.5. доходы будущих периодов
20.6. оценочные обязательства
20.7. оборотные активы
21 Величина капитализированных инвестиций, всего (21.1 + 21.2 + 21.3 + 21.4)
21.1. остаточная стоимость основных средств
21.2. стоимость объектов незавершенного строительства
21.3. остаточная стоимость нематериальных активов
21.4. корректировка величины капитализированных инвестиций
22 Стоимость собственного капитала, всего (22.1 + 22.2 + 22.3)
22.1. итого капитал
22.2. доходы будущих периодов
22.3. оценочные обязательства
23 Стоимость долгосрочных долговых обязательств, всего (23.1 + 23.2 + 23.3)
23.1. долгосрочные заемные средства
23.2. отложенные налоговые обязательства
23.3. прочие долгосрочные обязательства
24 Общий размер начисленных процентов по долгосрочным долговым обязательствам, %
24.1. признаваемых расходом в соответствии с законодательством
24.2. не признаваемых расходом (24 - 24.1)
25 Удельный вес в структуре капитала, всего, ед. 1 1
25.1. долгосрочных долговых обязательств, всего (25.1.1 + 25.1.2)
25.1.1. уменьшающих налогооблагаемую базу (23 : (22 + 23) x 24.1 : 24)
25.1.2. не уменьшающих налогооблагаемую базу (23 : (22 + 23) x 24.2 : 24)
25.2. собственного капитала (25 - 25.1)
26 Стоимость использования заемных средств, %
27 Стоимость использования собственного капитала, % (19 + 27.1)
27.1. премия за риск инвестирования в собственный капитал, % (3% или 0%)

Таблица N 3 Приложения 1

3. Расчет нормативной прибыли по видам регулируемых услуг на ____ (год) расчетного периода

Единица измерения: тыс. руб.

Номер строки Наименование показателя Показатели по видам регулируемых услуг на ____ (год) Всего регулируемые услуги сумма гр. 3 - 11
обеспечение взлета и посадки обеспечение авиационной безопасности предоставление аэровокзального комплекса обслуживание пассажиров обеспечение стоянки заправка авиационным топливом хранение авиационного топлива
ВВЛ <*> МВЛ <**> ВВЛ МВЛ
1 2 3 4 5 6 7 8 9 10 11 12
Расчет величины базового капитала:
28 Расходы по обычным видам деятельности, всего (29.1 + 29.2)
28.1. расходы, кроме амортизации
28.2. амортизация
29 Внеоборотные активы (стр. 9 гр. 5 x 28.2 : 17.2)
30 Оборотные активы (стр. 8 гр. 5 x 28.1 : 17.1)
31 Доли базового капитала, ед. (29 + 30) : (стр. 9 гр. 5 + стр. 8 гр. 5)
32 Величина базового капитала (стр. 11 гр. 5 или стр. 20) x стр. 31
Расчет нормативной прибыли на базовый капитал:
33 Норма рентабельности на базовый капитал, % (стр. 16 или стр. 19 или 0) X
34 Нормативная прибыль на базовый капитал
(стр. 32 x 33 : (100 - стр. 18))
Расчет нормативной прибыли, определяемой для капитализированных инвестиций:
35 Величина капитализированных инвестиций (21 x 31)
36 Норма рентабельности на капитал для капитализированных
инвестиций, % (26 x (25.1.1 x (1 - 18 : 100%) + 25.1.2) + 27 x 25.2)
X
37 Нормативная прибыль, определяемая для капитализированных
инвестиций (стр. 35 x 36 : (100 - стр. 18))
38 ИТОГО нормативная прибыль (34 + 37)

Примечание:

<*> ВВЛ - внутренние воздушные линии.

<**> МВЛ - международные воздушные линии.

В таблице N 3 приложения 1 к Методическим указаниям отражаются результаты расчетов нормативной прибыли, выполненных в соответствии с настоящими Методическими указаниями, по видам регулируемых услуг конкретного аэропорта, и исходные данные, используемые для расчетов. Данная таблица N 3 формируется отдельно по каждому аэропорту, входящему в состав субъекта регулирования.

Указанная таблица N 3 включает 3 раздела.

В 1 разделе таблицы N 3 указываются исходные данные за три отчетных года, предшествующих текущему году, и расчет средней нормы прибыли на капитал по регулируемым услугам конкретного аэропорта за отчетный период. Исходные данные по строкам 1, 12, 13 определяются по данным форм отчетности, установленных Порядком ведения раздельного учета, и форм бухгалтерской отчетности субъекта регулирования за год, указанный в соответствующей графе. Исходные данные по строкам 2 - 8 определяются по данным форм бухгалтерской отчетности субъекта регулирования на конец года, указанного в соответствующей графе. По строкам раздела 1 таблицы N 3 с наименованием "регулируемые услуги других аэропортов" по субъектам регулирования, имеющим в своем составе один аэропорт, указывается ноль.

Во 2 разделе таблицы N 3 указываются исходные данные на каждый финансовый год расчетного периода. При расчете сборов и тарифов на очередной год в разделе 2 таблицы N 3 формируются графы для представления данных отдельно на текущий год (графа 3) и на очередной год (графа 4). При расчете сборов и тарифов на долгосрочный период регулирования в заголовке раздела 2 указывается "Исходные данные на текущий (год) и долгосрочный период регулирования (годы)". При расчете сборов и тарифов на долгосрочный период в разделе 2 таблицы N 3 формируются графы для представления данных отдельно на текущий год (графа 3) и на каждый год долгосрочного периода (последующие номера граф). Строки 20, 20.1 - 20.7 заполняются только при расчете сборов и тарифов на долгосрочный период; при расчете сборов и тарифов на очередной год указанные строки не заполняются или по ним построчно указывается ноль. Строки 21 - 27 заполняются в случае, если субъектом регулирования осуществляется реализация инвестиционного проекта. По строкам 20 - 23 представляются данные на конец года, предшествующего году, указанному в соответствующей графе. По строкам 24, 26 представляются данные на год, указанный в соответствующей графе.

В 3 разделе таблицы N 3 представляются данные расчета нормативной прибыли по видам регулируемых услуг данного аэропорта на конкретный год расчетного периода. Формы раздела 3 таблицы N 3 составляются отдельно для каждого года, указанного в графах раздела 2 таблицы N 3. При наличии в данном аэропорте двух и более аэровокзальных комплексов (пассажирских зданий) в форме раздела 2 таблицы N 3 вводятся дополнительные графы под общим подзаголовком по видам услуг "предоставление аэровокзального комплекса" и "обслуживание пассажиров" и указываются наименование или номер конкретного комплекса (здания). Графа 12 раздела 3 таблицы N 3 построчно определяется суммированием данных граф 3 - 11, кроме строк, по которым в данной графе указан знак "x". Строки 28, 28.1, 28.2 заполняются по данным таблицы N 1 приложения 1 по соответствующим видам услуг.

Полученные результаты расчетов отражаются в соответствующих строках таблиц N 1, 2 приложения 1 к настоящим Методическим указаниям.

Приложение 2
к Методическим указаниям

Таблица N 1 Приложения 2

Сведения об объемах обслуживания воздушных судов на аэродроме

аэропорт ____________________ отчет (план) ____ г.

Номер строки Тип ВС Количество отбывших воздушных судов (самолето-вылеты), ед. Максимальная взлетная масса воздушного судна, тонн Максимальная взлетная масса воздушного судна с учетом ограничений, тонн
российские потребители иностранные эксплуатанты
всего (4 + 5 + 6 + 7 + 8 + 9 + 10) подлежащие оплате освобожденные от оплаты всего (12 + 13) подлежащие оплате Освобожденные от оплаты
не имеющие льгот имеющие льготы не подлежащие возмещению подлежащие возмещению ВС сторонних потребителей
собственный парк ВС <*> ВС сторонних потребителей собственный парк ВС ВС сторонних потребителей собственный парк ВС ВС сторонних потребителей
1 2 3 4 5 6 7 8 9 10 11 12 13 14 15
Итого X X

Таблица N 2 Приложения 2

Определение суммарной максимальной взлетной массы воздушных судов российских потребителей, приведенной для расчета ставок сбора за взлет-посадку

аэропорт ________________ отчет (план) ____ г.

Номер строки Тип ВС Максимальная взлетная масса воздушного судна (ВС), принятая к расчету по сбору, тонн Коэффициент, применяемый по группам ВС, ед. Коэффициент льгот, ед. (0,25) Суммарная приведенная максимальная взлетная масса ВС, пр. тонн
всего не имеющие льгот имеющие льготы
собственный парк ВС (8 + 10) ВС сторонних потребителей (9 + 11) собственный парк ВС (3 x 4 x табл. 1 гр. 4) ВС сторонних потребителей (3 x 4 x табл. 1 гр. 5) собственный парк ВС (3 x 4 x 5 x табл. 1 гр. 6) ВС сторонних потребителей (3 x 4 x 5 x табл. 1 гр. 7)
1 2 3 4 5 6 7 8 9 10 11
Итого X X X

Таблица N 3 Приложения 2

Определение суммарной максимальной взлетной массы воздушных судов российских потребителей, приведенной для расчета ставок сбора за обеспечение авиационной безопасности

аэропорт ______________ отчет (план) _____ г.

Номер строки Тип ВС Максимальная взлетная масса воздушного судна (ВС), принятая к расчету по сбору, тонн Коэффициент, применяемый по группам ВС, ед. Количество отбывших ВС (самолето-вылетов), имеющих льготы, подлежащих оплате по данному сбору, ед. Суммарная приведенная максимальная взлетная масса ВС, приведенных тонн
всего не имеющие льгот имеющие льготы
собственный парк ВС (9 + 11) ВС сторонних потребителей (10 + 12) собственный парк ВС (3 x 4 x табл. 1 гр. 4) ВС сторонних потребителей (3 x 4 x табл. 1 гр. 5) собственный парк ВС (3 x 4 x 5) ВС сторонних потребителей (3 x 4 x 6)
собственный парк ВС ВС сторонних потребителей
1 2 3 4 5 6 7 8 9 10 11 12
Итого X X

Таблица N 4 Приложения 2

Определение суммарной максимальной взлетной массы воздушных судов иностранных эксплуатантов, приведенной для расчета ставок сборов

аэропорт _____________ отчет (план) ____ г.

Номер строки Тип ВС Максимальная взлетная масса ВС, принятая к расчету по сборам, тонн Количество отбывших ВС (с-выл.), подлежащих оплате, ед. (табл. 1 гр. 12) Суммарная приведенная максимальная взлетная масса ВС, подлежащая оплате, пр. тонн (3 x 4)
1 2 3 4 5
Итого X

Таблица N 5 Приложения 2

Объемы обслуживания по услуге обеспечение стоянки воздушных судов

аэропорт ________________ отчет (план) ____ г.

Номер строки Тип ВС Время стоянки, самолето-сутки Максимальная взлетная масса ВС, принятая к расчету по сбору за взлет-посадку, тонн Коэффициент, применяемый по группам ВС, ед. Объем обслуживания по услуге обеспечение стоянки, т x с-сутки
всего (4 + 5 + 6) российские потребители иностранные эксплуатанты всего (10 + 11 + 12) российские потребители иностранные эксплуатанты (6 x 7)
собственный парк ВС ВС сторонних потребителей собственный парк ВС (4 x 7 x 8) ВС сторонних потребителей (5 x 7 x 8)
1 2 3 4 5 6 7 8 9 10 11 12
Итого X X

Таблица 6 Приложения 2

Определение суммарной максимальной взлетной массы и объемов обслуживания по услуге обеспечение стоянки воздушных судов российских потребителей, освобожденных от оплаты в соответствии с законодательством Российской Федерации, подлежащей возмещению за счет бюджетных средств

аэропорт ______________ отчет (план) ____ г.

Номер строки Тип ВС Максимальная взлетная масса ВС, принятая к расчету по сборам, тонн Количество отбывших ВС (самолето-вылетов), ед. (табл. 1 гр. 10) Коэффициент, применяемый по группам воздушных судов, ед. Суммарная приведенная максимальная взлетная масса воздушных судов, пр. тонн (3 x 4 x 5) Время стоянки, самолето-сутки Объем обслуживания по услуге обеспечение стоянки, т x с-сутки (3 x 5 x 7)
1 2 3 4 5 6 7 8
Итого X X

Таблица N 7 Приложения 2

Определение количества пассажиров, приведенного для расчета ставок сборов и тарифов

аэропорт _________ аэровокзал ________ отчет (план) ____ г.

Номер строки Наименование показателя Количество пассажиров, тыс. пассажиров Коэффициент Объем, приведенный для расчета, тыс. приведенных пассажиров
собственный парк ВС ВС сторонних потребителей собственный парк ВС (3 x 5) ВС сторонних потребителей (4 x 5)
1 2 3 4 5 6 7
1 Российские потребители, всего (2 + 16) X
2 МВЛ, всего (3 + 10 + 13) X
3 Убывающие пассажиры, всего (4 + 7) X
4 Обслуживание в обычном порядке, всего (5 + 6) X
5 12 лет и старше 1
6 От 2 до 12 лет 0,5
7 Специальное обслуживание, всего (8 + 9) X
8 12 лет и старше 1
9 От 2 до 12 лет 0,5
10 Прибывающие пассажиры, всего (11 + 12) X
11 12 лет и старше 1
12 От 2 до 12 лет 0,5
13 Транзитные (прямой транзит) пассажиры, всего (14 + 15) X
14 12 лет и старше 1
15 От 2 до 12 лет 0,5
16 ВВЛ, всего (17 + 24 + 27) X
17 Убывающие пассажиры, всего (18 + 21) X
18 Обслуживание в обычном порядке, всего (19 + 20) X
19 12 лет и старше 1
20 От 2 до 12 лет 0,5
21 Специальное обслуживание, всего (22 + 23) X
22 12 лет и старше 1
23 От 2 до 12 лет 0,5
24 Прибывающие пассажиры, всего (25 + 26) X
25 12 лет и старше 1
26 От 2 до 12 лет 0,5
27 Транзитные (прямой транзит) пассажиры, всего (28 + 29) X
28 12 лет и старше 1
29 От 2 до 12 лет 0,5
30 Вылетающие пассажиры, имеющие билет и прошедшие регистрацию (российские потребители)
31 Иностранные эксплуатанты МВЛ, всего (32 + 35 + 36) X X X
32 Убывающие пассажиры, всего (33 + 34) X X X
33 Обслуживание в обычном порядке (от 2 лет и старше) X 1 X
34 Специальное обслуживание (от 2 лет и старше) X 1 X
35 Прибывающие пассажиры (от 2 лет и старше) X 1 X
36 Транзитные (прямой транзит) пассажиры (от 2 лет и старше) X 1 X
37 Вылетающие пассажиры, имеющие билет (иностранные эксплуатанты) X 1 X
38 ВСЕГО (1 + 31) X X X

Таблица N 8 Приложения 2

Объем заправки воздушных судов авиатопливом (тонн)

аэропорт _____________ отчет (план) ____ г.

Номер строки Тип ВС Российские потребители Иностранные эксплуатанты Итого (3 + 6)
всего (4 + 5) собственный парк ВС ВС сторонних потребителей
1 2 3 4 5 6 7
Итого

Таблица N 9 Приложения 2

Объем хранения авиатоплива (тонн)

аэропорт ______________ отчет (план) ____ г.

Номер строки Дата Приход Расход Остаток
1 2 3 4 5
Остаток на начало периода
Итого

Таблица N 10 Приложения 2

Объем хранения собственного авиатоплива (тонн)

аэропорт ______________ отчет (план) ____ г.

Номер строки Дата Приход Расход Остаток
1 2 3 4 5
Остаток на начало периода
Итого

Таблица N 11 Приложения 2

Объем хранения авиатоплива потребителей (тонн)

аэропорт ______________ отчет (план) ____ г.

Номер строки Дата Приход Расход Остаток
1 2 3 4 5
Остаток на начало периода
Итого

Таблица N 12 Приложения 2

Объемы продукции в натуральном измерении, приведенные для расчета ставок сборов и тарифов

аэропорт ______________ субъект регулирования ____________

Номер строки Наименование услуг Наименование показателя Наименование потребителя (эксплуатанта) Единица измерения Базовый год (год) показатели Период регулирования
Текущий год (год) Очередной год (год)
показатели индекс к базовому году показатели индекс к предыдущему году индекс к базовому году
1 2 3 4 5 6 7 8 9
Обеспечение взлета и посадки воздушных судов
1 Суммарная приведенная максимальная взлетная масса ВС
масса ВС (1.1 + 1.2) тыс. пр. тонн взл. м. <**>
1.1. российские потребители (табл. 2 гр. 6 + 7 стр. "Итого") тыс. пр. тонн взл. м.
собственный парк ВС (табл. 2 гр. 6 стр. "Итого") тыс. пр. тонн взл. м.
ВС сторонних потребителей (табл. 2 гр. 7 стр. "Итого") тыс. пр. тонн взл. м.
1.2. иностранные эксплуатанты (табл. 4 гр. 5 стр. "Итого") тыс. пр. тонн взл. м.
Обеспечение авиационной безопасности
2 Суммарная приведенная максимальная
масса ВС (2.1 + 2.2) тыс. пр. тонн взл. м.
2.1. российские потребители (табл. 3 гр. 5 стр. "Итого") тыс. пр. тонн взл. м.
собственный парк ВС (табл. 3 гр. 6 стр. "Итого") тыс. пр. тонн взл. м.
ВС сторонних потребителей (табл. 3 гр. 7 стр. "Итого") тыс. пр. тонн взл. м.
2.2. иностранные эксплуатанты (табл. 4 гр. 5 стр. "Итого") тыс. пр. тонн взл. м.
2.3. Количество вылетающих пассажиров, имеющих билет и прошедших регистрацию (российские потребители, табл. 7 гр. 3 + 4 стр. 30) тыс. пасс.
2.4. Количество грузов и почты (российские потребители) тыс. кг
2.5. Количество вылетающих пассажиров, имеющих билет (иностранные эксплуатанты, табл. 7 гр. 4 стр. 37) тыс. пасс.
2.6. Количество грузов и почты (иностранные эксплуатанты) тыс. кг
Обеспечение стоянки воздушных судов
3 Сумма произведений приведенной максимальной взлетной массы ВС и времени стоянки по типам ВС (5.1 + 5.2) (табл. 5 гр. 9 стр. "Итого") тыс. пр. т x с-сутки <***>
3.1. российские потребители (табл. 5 гр. 10 + 11 стр. "Итого") тыс. пр. т x с-сутки
собственный парк ВС (табл. 5 гр. 10 стр. "Итого") тыс. пр. т x с-сутки
ВС сторонних потребителей (табл. 5 гр. 11 стр. "Итого") тыс. пр. т x с-сутки
3.2. иностранные эксплуатанты (табл. 5 гр. 12 стр. "Итого") тыс. пр. т x с-сутки

продолжение таблицы N 12 Приложения 2

1 2 3 4 5 6 7 8 9
Предоставление аэровокзального комплекса
4 Количество убывающих, прибывающих и транзитных
(прямой транзит) пассажиров, всего тыс. пр. пасс. <****>
в том числе по аэровокзалам:
аэровокзал ___, всего (6.1 + 6.2) (табл. 7 гр. 6 + 7 стр. 38) тыс. пр. пасс.
4.1. российские потребители (6.1.1 + 6.1.2) (табл. 7 гр. 6 + 7 стр. 1) тыс. пр. пасс.
4.1.1. МВЛ (табл. 7 гр. 6 + 7 стр. 2) тыс. пр. пасс.
собственный парк ВС (табл. 7 гр. 6 стр. 2) тыс. пр. пасс.
ВС сторонних потребителей (табл. 7 гр. 7 стр. 2) тыс. пр. пасс.
4.1.2. ВВЛ (табл. 7 гр. 6 + 7 стр. 16) тыс. пр. пасс.
собственный парк ВС (табл. 7 гр. 6 стр. 16) тыс. пр. пасс.
ВС сторонних потребителей (табл. 7 гр. 7 стр. 16) тыс. пр. пасс.
4.2. иностранные эксплуатанты МВЛ (табл. 7 гр. 7 стр. 31) тыс. пр. пасс.
Обслуживание пассажиров
5 Количество убывающих пассажиров, всего тыс. пр. пасс.
в том числе по аэровокзалам:
аэровокзал ___, всего (7.1 + 7.2) тыс. пр. пасс.
5.1. российские потребители (7.1.1 + 7.1.2) тыс. пр. пасс.
5.1.1. МВЛ (табл. 7 гр. 6 + 7 стр. 4) тыс. пр. пасс.
собственный парк ВС (табл. 7 гр. 6 стр. 4) тыс. пр. пасс.
ВС сторонних потребителей (табл. 7 гр. 7 стр. 4) тыс. пр. пасс.
5.1.2. ВВЛ (табл. 6 гр. 6 + 7 стр. 18) тыс. пр. пасс.
собственный парк ВС (табл. 7 гр. 6 стр. 18) тыс. пр. пасс.
ВС сторонних потребителей (табл. 7 гр. 7 стр. 18) тыс. пр. пасс.
5.2. иностранные эксплуатанты МВЛ (табл. 7 гр. 7 стр. 33) тыс. пр. пасс.
Обеспечение заправки воздушных судов
авиационным топливом
6. Объем заправленного авиатоплива (8.1 + 8.2) тыс. тонн
(табл. 8 гр. 7 стр. "Итого")
6.1. российские потребители (табл. 8 гр. 3 стр. "Итого") тыс. тонн
собственный парк ВС (табл. 8 гр. 4 стр. "Итого") тыс. тонн
ВС сторонних потребителей (табл. 8 гр. 5 стр. "Итого") тыс. тонн
6.2. иностранные эксплуатанты (табл. 8 гр. 6 стр. "Итого") тыс. тонн
Хранение авиационного топлива
7 Объем хранения авиатоплива (табл. 9 гр. 3 стр. "Итого") тыс. тонн
7.1. собственное (табл. 10 гр. 3 стр. "Итого") тыс. тонн
7.2. потребителей (табл. 11 гр. 3 стр. "Итого") тыс. тонн
7.3. Суммарный годовой объем суточного хранения авиатоплива (табл. 9 гр. 5 стр. "Итого") тыс. тонн
7.4. Среднее время хранения 1 тонны авиатоплива (10/9) сутки

Примечание:

<*> ВС - воздушное судно.

<**> тыс. пр. тонн взл. м. - тысяч приведенных тонн взлетной массы.

<***> тыс. пр. т x с-сутки - тысяч приведенных тонн, умноженное на самолето-сутки.

<****> тыс. пр. пасс. - тысяч приведенных пассажиров.

В таблицах N 1 - 12 приложения 2 к настоящим Методическим указаниям предоставляются данные по объемам работ (услуг) в натуральном измерении субъекта регулирования, используемые для расчета регулируемых сборов и тарифов. Таблицы N 1 - 11 составляются отдельно по каждому аэропорту, входящему в состав субъекта регулирования, и отдельно на каждый финансовый год, предусмотренный графами таблицы N 12; таблица N 7 составляется также отдельно по каждому аэровокзальному комплексу (пассажирскому зданию), входящему в состав аэропорта.

По графам форм таблицы N 12 указываются данные за базовый год (последний отчетный год, предшествующий текущему году), текущий год и очередной год периода регулирования. При расчете сборов и тарифов на долгосрочный период регулирования в таблице N 12 вводятся дополнительные графы для представления данных по каждому финансовому году периода регулирования и индексов изменения показателей к уровню предыдущего года. При необходимости использования отчетных данных за два и более финансовых года, предшествующих текущему году, в таблице N 12 вводятся дополнительные графы в аналогичном порядке.

Для расчета регулируемых сборов и тарифов используются данные, предусмотренные таблицами N 6 и N 12, сформированные на основе данных таблиц N 1 - 5, 7 - 11.

Представление данных по формам таблиц N 1 - 12 приложения 2 к настоящим Методическим указаниям осуществляется субъектами регулирования с учетом следующих требований.

В таблицах N 1 - 6 построчно указываются данные по типам (модификациям) воздушных судов с одинаковой максимальной взлетной массой. При расчете показателя суммарной максимальной взлетной массы для определения ставок сборов за взлет-посадку и за обеспечение авиационной безопасности максимальная взлетная масса воздушных судов определяется с учетом следующего ограничения: при использовании аэродромов, эксплуатирующихся с ограничениями по максимальной взлетной массе, для ВС, имеющих максимальную взлетную массу, превышающую допустимую для конкретного аэродрома, применяется взлетная масса, допустимая для взлетно-посадочной полосы аэродрома с максимальными характеристиками, опубликованная в сборниках аэронавигационной информации (в инструкции по производству полетов). Графа 15 таблицы N 1 заполняется построчно по аэродромам, эксплуатирующимся с ограничениями по максимальной взлетной массе. При заполнении данных в графе 15 таблицы N 1 для воздушных судов, имеющих максимальную взлетную массу, превышающую допустимую для аэродрома, указывается взлетная масса, допустимая для взлетно-посадочной полосы аэродрома с максимальными характеристиками. В таблицах N 2 - 6 в графах по максимальной взлетной массе воздушного судна, принятой к расчету, построчно указываются данные графы 14 или графы 15 таблицы N 1.

В таблице N 1 в графах 6, 7 построчно указывается количество отбывших воздушных судов (самолето-вылетов), имеющих льготы, установленные абзацем первым пункта 4 приложения 2 к приказу Минтранса России от 17.07.2012 N 241 "Об аэронавигационных и аэропортовых сборах, тарифах за обслуживание воздушных судов в аэропортах и воздушном пространстве Российской Федерации" (зарегистрирован Минюстом России 03.08.2012, регистрационный N 25009), с изменениями, внесенными приказами Минтранса России от 01.11.2012 N 392 "О внесении изменений в приказ Министерства транспорта Российской Федерации от 17 июля 2012 г. N 241 "Об аэронавигационных и аэропортовых сборах, тарифах за обслуживание воздушных судов в аэропортах и воздушном пространстве Российской Федерации" (зарегистрирован Минюстом России 08.11.2012, регистрационный N 25778), от 22.07.2013 N 254 "О внесении изменений в приложения N 1, 2 к приказу Министерства транспорта Российской Федерации от 17 июля 2012 г. N 241 "Об аэронавигационных и аэропортовых сборах, тарифах за обслуживание воздушных судов в аэропортах и воздушном пространстве Российской Федерации" (зарегистрирован Минюстом России 05.12.2013, регистрационный N 30546) (далее - приказ Минтранса N 241).

В таблице N 2 в графе 5 построчно указывается коэффициент льгот, установленный по сбору за взлет-посадку абзацем первым пункта 4 приложения N 2 к приказу Минтранса России от 17.07.2012 N 241, исчисленный в единицах (0,25).

В таблице N 3 в графах 5, 6 построчно указывается количество отбывших воздушных судов (самолето-вылетов), имеющих льготы, установленные абзацем первым пункта 4 приложения 2 к приказу Минтранса России от 17.07.2012 N 241, которые подлежат оплате по сбору за обеспечение авиационной безопасности в полном объеме в соответствии с абзацем вторым пункта 4 приложения N 2 к приказу Минтранса России от 17.07.2012 N 241.

В таблице N 8 построчно указываются данные по воздушным судам по их типам (модификациям).

В таблицах N 9 - 11 количество строк должно соответствовать количеству календарных дней в отчетном (плановом, прогнозном) периоде (365 или 366 строк). В таблицах N 9 - 11 данные строки "Итого" не включают данные строки "Остаток на начало периода".

При заполнении отчетных данных согласно приложению 2 субъектом регулирования должно быть обеспечено соответствие показателей аналогичным показателям ведомственных форм федерального государственного статистического наблюдения за деятельностью воздушного транспорта.