Приказ Минобрнауки РФ от 23.12.2014 N 1606

"О внесении изменений в Порядок проведения конкурса на распределение контрольных цифр приема граждан по профессиям, специальностям и направлениям подготовки для обучения по имеющим государственную аккредитацию образовательным программам среднего профессионального и высшего образования за счет бюджетных ассигнований федерального бюджета, утвержденный приказом Министерства образования и науки Российской Федерации от 15 июля 2013 г. N 560"
Редакция от 23.12.2014 — Документ утратил силу, см. «Приказ Минобрнауки РФ от 01.04.2015 N 340»

Зарегистрировано в Минюсте России 11 февраля 2015 N 35968


МИНИСТЕРСТВО ОБРАЗОВАНИЯ И НАУКИ РОССИЙСКОЙ ФЕДЕРАЦИИ

ПРИКАЗ
от 23 декабря 2014 г. N 1606

О ВНЕСЕНИИ ИЗМЕНЕНИЙ В ПОРЯДОК ПРОВЕДЕНИЯ КОНКУРСА НА РАСПРЕДЕЛЕНИЕ КОНТРОЛЬНЫХ ЦИФР ПРИЕМА ГРАЖДАН ПО ПРОФЕССИЯМ, СПЕЦИАЛЬНОСТЯМ И НАПРАВЛЕНИЯМ ПОДГОТОВКИ ДЛЯ ОБУЧЕНИЯ ПО ИМЕЮЩИМ ГОСУДАРСТВЕННУЮ АККРЕДИТАЦИЮ ОБРАЗОВАТЕЛЬНЫМ ПРОГРАММАМ СРЕДНЕГО ПРОФЕССИОНАЛЬНОГО И ВЫСШЕГО ОБРАЗОВАНИЯ ЗА СЧЕТ БЮДЖЕТНЫХ АССИГНОВАНИЙ ФЕДЕРАЛЬНОГО БЮДЖЕТА, УТВЕРЖДЕННЫЙ ПРИКАЗОМ МИНИСТЕРСТВА ОБРАЗОВАНИЯ И НАУКИ РОССИЙСКОЙ ФЕДЕРАЦИИ ОТ 15 ИЮЛЯ 2013 Г. N 560

Приказываю:

1. Утвердить прилагаемые изменения, которые вносятся в Порядок проведения конкурса на распределение контрольных цифр приема граждан по профессиям, специальностям и направлениям подготовки для обучения по имеющим государственную аккредитацию образовательным программам среднего профессионального и высшего образования за счет бюджетных ассигнований федерального бюджета, утвержденный приказом Министерства образования и науки Российской Федерации от 15 июля 2013 г. N 560 (зарегистрирован Министерством юстиции Российской Федерации 16 августа 2013 г., регистрационный N 29429).

2. Контроль за исполнением настоящего приказа возложить на заместителя Министра Климова А.А.

Министр
Д.В. ЛИВАНОВ

Приложение

УТВЕРЖДЕНЫ
приказом Министерства образования
и науки Российской Федерации
от 23 декабря 2014 г. N 1606

ИЗМЕНЕНИЯ, КОТОРЫЕ ВНОСЯТСЯ В ПОРЯДОК ПРОВЕДЕНИЯ КОНКУРСА НА РАСПРЕДЕЛЕНИЕ КОНТРОЛЬНЫХ ЦИФР ПРИЕМА ГРАЖДАН ПО ПРОФЕССИЯМ, СПЕЦИАЛЬНОСТЯМ И НАПРАВЛЕНИЯМ ПОДГОТОВКИ ДЛЯ ОБУЧЕНИЯ ПО ИМЕЮЩИМ ГОСУДАРСТВЕННУЮ АККРЕДИТАЦИЮ ОБРАЗОВАТЕЛЬНЫМ ПРОГРАММАМ СРЕДНЕГО ПРОФЕССИОНАЛЬНОГО И ВЫСШЕГО ОБРАЗОВАНИЯ ЗА СЧЕТ БЮДЖЕТНЫХ АССИГНОВАНИЙ ФЕДЕРАЛЬНОГО БЮДЖЕТА, УТВЕРЖДЕННЫЙ ПРИКАЗОМ МИНИСТЕРСТВА ОБРАЗОВАНИЯ И НАУКИ РОССИЙСКОЙ ФЕДЕРАЦИИ ОТ 15 ИЮЛЯ 2013 Г. N 560

1. В пункте 7:

слова "предусмотренных подпунктами "а", "б", "г", "д" и "к" настоящего пункта" заменить словами "предусмотренных подпунктами "а", "б", "г", "д", "к" и "р" настоящего пункта";

дополнить подпунктом "р" следующего содержания:

"р) наличие профессионально-общественной аккредитации образовательных программ по соответствующим специальностям и направлениям подготовки, срок действия которой истекает не ранее завершения учебного года, на который устанавливаются контрольные цифры приема.".

2. В пункте 8:

слова "предусмотренных подпунктами "а", "г" и "ж" настоящего пункта" заменить словами "предусмотренных подпунктами "а", "г", "ж" и "и" настоящего пункта";

дополнить подпунктом "и" следующего содержания:

"и) наличие профессионально-общественной аккредитации образовательных программ по соответствующим профессиям и специальностям, срок действия которой истекает не ранее завершения учебного года, на который устанавливаются контрольные цифры приема.".

3. В Методике проведения конкурсного отбора и критериях принятия решения об установлении контрольных цифр приема граждан по специальностям и направлениям подготовки для обучения по имеющим государственную аккредитацию образовательным программам высшего образования за счет бюджетных ассигнований федерального бюджета, являющихся приложением N 1 к указанному Порядку:

а) в абзаце восьмом пункта 8 слово "учреждения" заменить словом "организации";

б) в пункте 11:

абзац третий изложить в следующей редакции:

"

где";

после абзаца восьмого дополнить абзацем следующего содержания:

" - показатель, отражающий факт наличия профессионально-общественной аккредитации образовательных программ бакалавриата и специалитета по соответствующим специальностям и направлениям подготовки. Значение данного показателя в баллах указывается в объявлении о проведении конкурса и не должно превышать 10 баллов.";

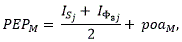
в) в пункте 12:

абзац третий изложить в следующей редакции:

"

где";

после абзаца десятого дополнить абзацем следующего содержания:

" - показатель, отражающий факт наличия профессионально-общественной аккредитации образовательных программ магистратуры по соответствующим направлениям подготовки. Значение данного показателя

в баллах указывается в объявлении о проведении конкурса и не должно превышать 10 баллов.";

г) в пункте 13:

абзац третий изложить в следующей редакции:

"

где";

после абзаца восьмого дополнить абзацем следующего содержания:

" - показатель, отражающий факт наличия профессионально-общественной аккредитации образовательных программ аспирантуры (адъюнктуры) по соответствующим направлениям подготовки. Значение данного показателя в баллах указывается в объявлении о проведении конкурса и не должно превышать 10 баллов.".

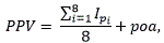
4. В пункте 3 Методики проведения конкурсного отбора и критериях принятия решения об установлении контрольных цифр приема граждан по профессиям и специальностям для обучения по имеющим государственную аккредитацию образовательным программам среднего профессионального образования за счет бюджетных ассигнований федерального бюджета, являющихся приложением N 2 к указанному Порядку:

абзац второй изложить в следующей редакции:

"

где";

после абзаца одиннадцатого дополнить абзацем следующего содержания:

"роа - показатель, отражающий факт наличия профессионально-общественной аккредитации образовательных программ среднего профессионального образования по соответствующим профессиям и специальностям. Значение данного показателя в баллах указывается в объявлении о проведении конкурса и не должно превышать 3 баллов.".