Акустика измерения шума для оценки его воздействия на человека. ГОСТ р ИСО 9612-2013

(утв. Приказом Росстандарта от 05.12.2013 N 2180-СТ)
Редакция от 05.12.2013 — Документ не действует

НАЦИОНАЛЬНЫЙ СТАНДАРТ РОССИЙСКОЙ ФЕДЕРАЦИИ

АКУСТИКА ИЗМЕРЕНИЯ ШУМА ДЛЯ ОЦЕНКИ ЕГО ВОЗДЕЙСТВИЯ НА ЧЕЛОВЕКА
Метод измерений на рабочих местах

Acoustics - Determination of occupational noise exposure - Engineering method (IDT)

ГОСТ Р ИСО 9612-2013

Дата введения - 2014-12-01

Предисловие

1 ПОДГОТОВЛЕН Автономной некоммерческой организацией "Научно-исследовательский центр контроля и диагностики технических систем" (АНО "НИЦ КД") на основе собственного аутентичного перевода на русский язык международного стандарта, указанного в пункте 4

2 ВНЕСЕН Техническим комитетом по стандартизации ТК 358 "Акустика"

3 УТВЕРЖДЕН И ВВЕДЕН В ДЕЙСТВИЕ Приказом Федерального агентства по техническому регулированию и метрологии от 5 декабря 2013 г. N 2180-ст

4 Настоящий стандарт является идентичным по отношению к международному стандарту ИСО 9612:2009 "Акустика. Оценка воздействия производственного шума. Технический метод" (ISO 9612:2009 "Acoustics - Determination of occupational noise exposure - Engineering method"). Наименование настоящего стандарта изменено относительно наименования указанного международного стандарта для приведения в соответствие с ГОСТ Р 1.5 (пункт 3.5).

При применении настоящего стандарта рекомендуется использовать вместо ссылочных международных стандартов соответствующие им национальные и межгосударственный стандарты, сведения о которых приведены в дополнительном приложении ДА

5 ВВЕДЕН ВПЕРВЫЕ

Правила применения настоящего стандарта установлены в ГОСТ Р 1.0-2012 (раздел 8). Информация об изменениях к настоящему стандарту публикуется в ежегодном (по состоянию на 1 января текущего года) информационном указателе "Национальные стандарты", а официальный текст изменений и поправок-в ежемесячном указателе "Национальные стандарты". В случае пересмотра (замены) или отмены настоящего стандарта соответствующее уведомление будет опубликовано в ближайшем выпуске ежемесячного информационного указателя "Национальные стандарты". Соответствующая информация, уведомление и тексты размещаются также в информационной системе общего пользования - на официальном сайте Федерального агентства по техническому регулированию и метрологии в сети Интернет (gost.ru)

Настоящий стандарт не может быть полностью или частично воспроизведен, тиражирован и распространен в качестве официального издания без разрешения Федерального агентства по техническому регулированию и метрологии

Введение

Настоящий стандарт устанавливает метод измерения шума, негативно воздействующего на работника на его рабочем месте. Данный метод включает в себя следующие основные этапы: анализ рабочей ситуации, выбор стратегии измерения, проведение измерения, выявление возможных ошибок и оценка неопределенности измерения, расчеты и представление результатов измерения. Настоящий стандарт устанавливает три стратегии измерения в зависимости от базового элемента измерения: рабочая операция, трудовая функция, рабочий день. В нем приведено руководство по выбору стратегии измерения в зависимости от конкретной рабочей ситуации и цели измерения, получению значений измеряемого параметра шума и его неопределенности.

Метод, установленный настоящим стандартом, распространяется на измерения шума с использованием шумомеров или персональных дозиметров шума. Метод обеспечивает разумный компромисс между затратами на проведение измерений и их точностью.

1 Область применения

Настоящий стандарт устанавливает метод измерения шума, воздействующего на работника на его рабочем месте, и расчета основной нормируемой характеристики шумового воздействия - эквивалентного уровня звука за 8-часовой рабочий день 1) 2) 3). Настоящий стандарт устанавливает три основные стратегии измерения шума на рабочем месте, однако для конкретных рабочих мест может оказаться более предпочтительным выбрать иную обоснованную стратегию, в том числе, являющуюся комбинацией двух или трех основных.

1) Настоящий стандарт распространяется на все рабочие места. Вместе с тем специфика воздействия шума на работников отдельных профессий или на определенных рабочих местах может быть отражена в других соответствующих национальных стандартах и нормативных документах. В этом случае эти стандарты (нормативные документы) применяют совместно с настоящим стандартом.

2) Помимо основной нормируемой величины для описания шумового воздействия могут использоваться и другие параметры, например (см. 3. 4.). В частности, полезно измерять и регистрировать результаты измерений эквивалентного уровня звукового давления в октавных полосах частот в диапазоне октавных полос со среднегеометрическими частотами от 31,5 до 8000 Гц, проведенных в тех же условиях, что и при измерениях , с использованием шумомеров с октавными фильтрами, удовлетворяющими требованиям МЭК 61260:1995 "Электроакустика. Фильтры полосовые октавные и на доли октавы" (ГОСТ Р 8.714-2010 "Государственная система обеспечения единства измерений. Фильтры полосовые октавные и на доли октавы. Технические требования и методы испытаний"). При этом следует иметь в виду, что измерения таких дополнительных параметров сопровождаются, как правило, неопределенностью много большей, чем при измерениях , поэтому в целях описания шума на рабочем месте они могут играть только вспомогательную роль (если иное не установлено в стандартах на измерения шума для рабочих мест конкретного вида).

3) Ранее в национальных стандартах использовался термин "уровень 8-часового воздействия шума".

2 Нормативные ссылки

В настоящем стандарте использованы нормативные ссылки на следующие стандарты:

ИСО 1999 Акустика. Оценка воздействия производственного шума и вызываемого им ухудшения слуха (ISO 1999, Acoustics - Determination of occupational noise exposure and estimation of noise-induced hearing impairment)

Руководство ИСО/МЭК 98-3 Неопределенность измерения. Часть 3. Руководство по выражению неопределенности измерения [ISO/IEC Guide 98-3, Uncertainty of measurement - Part 3: Guide to the expression of uncertainty in measurement (GUM: 1995)]

МЭК 60942:2003 Электроакустика. Калибраторы акустические (IEC 60942:2003, Electroacoustics - Sound calibrators)

МЭК 61252 Электроакустика. Требования к персональным дозиметрам шума (IEC 61252, Electroacoustics - Specifications for personal sound exposure meters)

МЭК 61672-1 Электроакустика. Шумомеры. Часть 1. Технические требования (IEC 61672-1, Electroacoustics - Sound level meters - Part 1: Specifications)

3 Термины и определения

В настоящем стандарте применены следующие термины с соответствующими определениями.

3.1 эквивалентный уровень звука 1) (А-weighted equivalent continuous sound pressure level) : Выраженные в децибелах, дБ 2), десять десятичных логарифмов отношения усредненного на заданном временном интервале Т (с началом , и окончанием ) квадрата корректированного по частотной характеристике А звукового давления к квадрату опорного звукового давления ( = 20 мкПа) по формуле

1) В ГОСТ 17187-2010 "Шумомеры. Часть 1. Технические требования" данную величину называют "средний по времени уровень звука" и "эквивалентный непрерывный уровень звука".

2) Ранее в национальных стандартах по акустике в качестве единицы измерения данной величины указывали дБА

Примечание - Определение термина модифицировано по отношению к [9].

3.2 эквивалентный уровень звука за 8-часовой рабочий день (daily noise exposure level) :

Выражаемая в децибелах, дБ, величина, определяемая по формуле

где - эквивалентный уровень звука, определенный в соответствии с настоящим стандартом для номинального рабочего дня, характеризующегося временным интервалом , дБ;

- эффективная длительность номинального рабочего дня (т.е. период времени, в течение которого наблюдается воздействие шума, существенного и представительного для данного рабочего места), ч;

- базовая длительность рабочего дня ( = 8 ч).

Примечание 1 Если эффективная длительность рабочего дня совпадает с базовой (т.е. равна 8 ч), то =

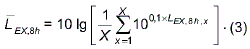
Примечание 2 - При необходимости определить усредненный за Х рабочих дней эквивалентный уровень звука за 8-часовой рабочий день, в децибелах, его можно рассчитать по формуле

Значение X выбирают, исходя из цели измерений. Например, при X- 5 получают усредненный на интервале одной рабочей недели эквивалентный уровень звука за 8-часовой рабочий день.

Примечание 3 - Определение этого термина отличается от приведенного в [9].

3.3 номинальный (рабочий) день (nominal day): Рабочий день, выбранный для оценки шумового воздействия.

Примечание 1 - Номинальный день определяют на основе анализа производимых работ в зависимости от цели измерений. Например, это может быть типичный (представительный) с точки зрения шумового воздействия на работника день из заданного количества рабочих дней или день, в который воздействие шума максимально (см. также 7.3).

Примечание 2 - При оценке воздействия шума на рабочем месте базовым интервалом времени обычно является одна рабочая смена. Однако возможны ситуации, когда необходимо оценить воздействие на более длительном интервале времени, например за неделю и более.

3.4 корректированный по С пиковый уровень звука (С-weighted peak sound pressure level) : Выраженные в децибелах, дБ, десять десятичных логарифмов отношения квадрата пикового звукового давления, корректированного по частотной характеристике на заданном интервале времени к квадрату опорного звукового давления ( = 20 мкПа) по формуле

3.5 (рабочая) операция (task): Четко выделяемая часть действий работника в течение рабочей смены.

Примечание - На рисунке 1 показаны рабочие операции в иерархии производства предприятия.

3.6 трудовая функция (job): Поставленный в соответствие конкретному работнику элемент производственного процесса, который включает в себя все рабочие операции, выполняемые работником в течение рабочего дня или рабочей смены.

Примечание 1 - Трудовую функцию чаще всего идентифицируют профессией работника, иногда для определенности указывая дополнительные атрибуты (например "сварщик, технологическая линия А").

Примечание 2 - На рисунке 1 показаны трудовые функций в иерархии производства предприятия.

Трудовая функция 1 - монтажник строительных лесов; Трудовая функция 2 - сварщик; Трудовая функция 3 - маляр; Трудовая функция 4 - кладовщик; Операция 1 - планирование работ; Операция 2 - зачистка; Операция 3 - сварка

Рисунок 1 - Пример трудовых функций и рабочих операций в иерархии производства

4 Обозначения

В настоящем стандарте применены следующие обозначения.

Обозначение Величина Единица измерения
с коэффициент чувствительности для входной величины -
коэффициент чувствительности для входной величины, характеризующей изменчивость шумового воздействия на рабочем месте -
коэффициент чувствительности для входной величины, характеризующей изменчивость уровня шума при выполнении m-й операции -
коэффициент чувствительности для входной величины, характеризующей изменчивость продолжительности выполнения m-й операции дБ x
коэффициент чувствительности для входной величины, характеризующей инструментальную неопределенность -
коэффициент чувствительности для входной величины, связанной с местом установки микрофона -
i номер выборочного измерения шума для рабочей операции -
I число измерений шума для рабочей операции -
j номер выборочного измерения продолжительности выполнения рабочей операции -
J число измерений продолжительности выполнения рабочей операции -
k коэффициент охвата, определяемый заданным уровнем доверия -
коэффициент преобразования для расчета стандартной неопределенности измерения по диапазону возможных изменений величины (см. примечание 2 к С.3.3 в приложении С) -
эквивалентный уровень звука за 8-часовой рабочий день дБ
эквивалентный уровень звука за 8-часовой рабочий день, усредненный по нескольким рабочим дням дБ
вклад m-й операции в эквивалентный уровень звука за 8-часовой рабочий день дБ
оценка эквивалентного уровня звука при выполнении m-й операции дБ
эквивалентный уровень звука на периоде Т дБ
эквивалентный уровень звука при выполнении m-й операции дБ
эквивалентный уровень звука при выполнении m-й операции, усредненный по результатам нескольких выборочных измерений дБ
эквивалентный уровень звукового давления для n-го выборочного измерения при выполнении заданной трудовой функции дБ
эквивалентный уровень звукового давления для эффективной длительности рабочего дня дБ
пиковый С-корректированный уровень звука дБ
m номер рабочей операции -
M общее число рабочих операций -
n номер выборочного измерения при выполнении заданной трудовой функции -
N общее число выборочных измерений при выполнении заданной трудовой функции -
число работников в группе равного шумового воздействия -
опорное звуковое давление ( = 2 x Па) Па
звуковое давление, корректированное по частотной характеристике А Па
пиковое звуковое давление, корректированное по частотной характеристике С Па
отклонение результата измерений, обусловленное применяемым средством измерений дБ
отклонение результата измерений, связанное с выбором места установки микрофона и направления его измерительной оси дБ
t длительность измерений (см. рисунок 2) ч
T интервал времени, по которому проводят усреднение ч
базовая длительность рабочего дня ( = 8 ч) ч
эффективная длительность рабочего дня ч
продолжительность m-й рабочей операции ч
j-я выборочная продолжительность m-й рабочей операции ч
длительность n-го выборочного измерения при выполнении заданной трудовой функции ч
U расширенная неопределенность измерения дБ
u суммарная стандартная неопределенность измерения дБ
стандартная неопределенность измерения i-й входной величины дБ
стандартная неопределенность измерения, связанная с усредненным эквивалентным уровнем звука дБ
стандартная неопределенность измерения, связанная с изменчивостью эквивалентного уровня звука дБ
стандартная неопределенность измерения эквивалентного уровня звука при выполнении m-й рабочей операции дБ
стандартная неопределенность измерения продолжительности выполнении m-й рабочей операции ч
стандартная неопределенность инструментальной составляющей неопределенности измерения шума дБ
стандартная неопределенность инструментальной составляющей неопределенности измерения шума при выполнении m-й рабочей операции дБ
стандартная неопределенность фактора, описывающего место установки микрофона дБ
x номер рабочего дня -
X число рабочих дней -

5 Средства измерений

5.1 Шумомеры и персональные дозиметры шума

Измерения шума на рабочем месте выполняют с помощью интегрирующих-усредняющих шумомеров или персональных дозиметров шума.

Шумомер вместе с микрофоном и соединительными кабелями должен удовлетворять требованиям к средствам измерений класса 1 или 2 по МЭК61672-1. Шумомеры класса 1 предпочтительны.

Персональный дозиметр шума вместе с микрофоном и соединительным кабелем должен удовлетворять требованиям МЭК 61252. Если измерения проводят в условиях очень низких температур или в шуме доминируют высокочастотные составляющие, то персональный дозиметр шума должен удовлетворять требованиям к шумомерам класса 1 по МЭК 61672-1 (см. примечание 2).

Примечание 1 - Для средств измерений класса 1 по МЭК 61672-1 установлен диапазон допустимых температур от минус 10 °С до плюс 50 °С, в то время как для шумомеров класса 2 по МЭК 61672-1 и персональных дозиметров шума по МЭК 61252 метрологические характеристики определены для температур окружающего воздуха от 0 °С до плюс 40 °С. Чтобы обеспечить необходимую точность измерений в условиях, когда температура воздуха находится вне пределов указанного диапазона, следует использовать средства измерений, для которых такая возможность указана изготовителем, или же воспользоваться шумомерами класса 1 по МЭК 61672-1.

Примечание 2 - От выбора средства измерений зависит неопределенность измерения.

Примечание 3 - МЭК 61252 предусматривает широкие пределы допуска для частотной характеристики прибора на частотах свыше 4000 Гц, что может привести к ошибочным результатам измерений при наличии в измеряемом шуме высокочастотных составляющих, подобных создаваемым воздушным соплом. Чтобы уменьшить инструментальную составляющую неопределенности при измерениях такого шума, может оказаться необходимым использовать средство измерений, для которого изготовитель указал более узкий диапазон допуска на высоких частотах, или же воспользоваться шумомерами класса 1 по МЭК 61672-1.

Нижняя граница диапазона измерений персонального дозиметра шума может быть высока. Следует убедиться, что это не оказывает влияния на результат измерения.

5.2 Акустический калибратор

Акустический калибратор должен удовлетворять требованиям к средствам измерений класса 1 по МЭК 60942. Допускается использовать калибраторы класса 2 по МЭК 60942, если такая возможность предусмотрена изготовителем шумомера или дозиметра. При этом применяемый калибратор должен соответствовать типу, указанному производителем шумомера или дозиметра.

5.3 Подтверждение метрологических характеристик

Для обеспечения прослеживаемости результатов измерений к национальным эталонам следует регулярно проводить поверку акустического калибратора и подтверждать соответствие средств измерений шума требованиям МЭК61672-1, МЭК 61252 и других соответствующих стандартов силами специализированной лаборатории. Применяемые средства измерений должны иметь действующие свидетельства о поверке.

Срок действия свидетельства о поверке и наименование выдавшей его лаборатории следует указывать в протоколе измерений.

6 Этапы организации работ по измерению шума на рабочем месте

6.1 Этап 1. Анализ рабочей обстановки

Анализ рабочей обстановки (см. раздел 7) должен предоставить информацию о характере работы и рабочем месте, достаточную для выбора стратегии и планирования измерения.

6.2 Этап 2. Выбор стратегии измерения

Применяют три основных стратегии измерения, различающихся базовым элементом измерения, которым может быть либо рабочая операция, либо трудовая функция, либо рабочий день (см. раздел 8). В ряде ситуаций целесообразно совмещать две или все три указанные стратегии в соответствии с В.6 (приложение В).

6.3 Этап 3. Проведение измерений

Основной измеряемой величиной является . При необходимости проводят также измерения . Измерение проводят в соответствии с выбранной стратегией (см. разделы 9,10 и 11) и разделом 12.

6.4 Этап 4. Проверка на ошибки и анализ источников неопределенности измерения

Должна быть проведена оценка источников возможных ошибок и неопределенности измерения (см. разделы 13 и 14).

6.5 Этап 5. Вычисления и представление результата измерения

В зависимости от выбранной стратегии измерения рассчитывают значение (см. разделы 9, 10,11) и соответствующую ему неопределенность измерения (см. приложение С), которые в совокупности составляют результат измерения.

Представление результата измерения - в соответствии с разделом 15. В приложениях D, Е и F приведены примеры измерений с использованием стратегий на основе рабочей операции, трудовой функции и рабочего дня соответственно.

7 Анализ рабочей обстановки

7.1 Общие положения

Анализ рабочей обстановки является неотъемлемой частью любых измерений производственного шума. В ходе его проведения:

a) описывают деятельность предприятия и работы, выполняемые работниками, воздействие шума на которых предполагается оценивать;

b) выделяют (при необходимости) группы работников, подвергающихся приблизительно одинаковому воздействию шума (см. 7.2);

c) определяют номинальный день для каждого работника или группы;

d) идентифицируют (при необходимости) рабочие операции, выполняемые работником сданной трудовой функцией;

e) идентифицируют все потенциальные существенные источники шума и условия их появления;

f) выбирают стратегию измерения;

g) вырабатывают план измерения.

При анализе рабочей обстановки выделяют такие элементы как производимая продукция, технологические процессы, организация работ, работники и их деятельность.

Независимо от того, какая стратегия будет выбрана (на основе рабочей операции, трудовой функции или рабочего дня), важно идентифицировать все, что может оказать существенное влияние на результат измерения эквивалентного уровня звука за 8-часовой рабочий день, и учесть это при планировании измерения (пример типового контрольного перечня вопросов приведен в приложении А).

Примечание - Порядок проведения анализа рабочей обстановки может быть разным в зависимости от конкретной ситуации. Поскольку все пункты анализа тесно связаны между собой, сложные измерительные ситуации могут потребовать после получения сведений по какому-либо пункту перечня вернуться к уже рассмотренному пункту для уточнения собранной информации или сбора новых данных.

7.2 Определение групп равного шумового воздействия

Программа измерений может быть сокращена, если есть возможность выделить группы работников, выполняющих схожую работу и подвергающихся, как можно ожидать, приблизительно одинаковому воздействию производственного шума в течение рабочего дня (группы равного шумового воздействия).

Группы равного шумового воздействия могут быть сформированы разными способами, например на основании таких признаков, как профессия работников, их функциональные обязанности, занимаемая должность, место выполнения работ. Другой способ формирования групп основан на анализе производительности труда работника и технологических процессов, в которых он участвует. При формировании групп равного шумового воздействия следует обращать внимание на мнения работников и руководителей низшего звена (производственного участка). Для вынесения окончательного решения о составе группы могут быть использованы результаты измерений (см. 10.4).

7.3 Определение номинального дня

Для определения номинального дня, включающего как периоды работы, так и перерывы между ними, проводят консультации с работниками, воздействие шума на которых оценивают, и управляющим персоналом. Необходимо провести анализ рабочей обстановки, чтобы выявить все факторы, которые могут оказать влияние на результат измерения шума на рабочем месте работника (см. приложение А). В ходе анализа выявляют:

a) выполняемые рабочие операции (их содержание и длительность) и вариативность в выполнении этих операций;

b) основные источники шума, воздействующего на работника, и производственные участки с повышенным уровнем шума;

c) типичную структуру рабочего дня работника (число и время дня выполнения рабочих операций разного вида, с разными инструментами, материалами и пр.) и события, приводящие к существенному изменению уровня шума;

d) число и длительность перерывов, совещаний и т. п. и необходимость включения их в номинальный день.

Измерения должны быть спланированы таким образом, чтобы охватить все значительные события, связанные с создаваемым шумом. Необходимо зафиксировать время начала каждого из них, его природу, длительность и частоту повторения в течение рабочего дня. Пример перечня вопросов, задаваемых для определения значительных событий, связанных с возникновением шума, при анализе рабочей обстановки приведен в приложении А.

В ряде случаев характер деятельности работника и связанное с этим воздействие шума значительно изменяются день ото дня (например, если работник постоянно меняет место и вид работы), и, соответственно, будут значительно изменяться величины, характеризующие это воздействие. Тогда номинальный день может быть определен по анализу рабочей обстановки за несколько дней, например за неделю (см. также примечания к 3.2 и 3.3).

Любые сведения, характеризующие воздействие шума на работника, должны быть идентифицированы, оценены количественно и зарегистрированы. Примерами таких показателей могут быть обрабатываемая деталь или материал, их характеристики, настройки рабочего инструмента, скорость работы машины, число занятых рабочих и пр.

Если целью измерения является оценка долговременного риска ухудшения слуха работника, то номинальный день должен быть представительным для расчета среднего значения измеряемой величины на рассматриваемом интервале времени (см. ИСО 1999).

8 Выбор стратегии измерения

8.1 Общие положения

Выбор стратегии измерения зависит от ряда факторов, таких как цель измерения; сложность рабочей обстановки с точки зрения оценки шумового воздействия; число работающих, для которых оценивают воздействие шума; эффективная длительность рабочего дня; время дня, в течение которого можно проводить измерения и анализ; объем необходимой для анализа информации.

8.2 Стратегии измерения

Настоящий стандарт устанавливает три стратегии измерения шума на рабочем месте:

a) на основе рабочей операции, когда проведенный анализ работ, выполняемых в течение дня данным работником, позволяет разбить их на ряд представительных рабочих операций, для каждой из которых потом выполняют несколько измерений (см. раздел 9);

B) на основе трудовой функции, когда выборочные измерения проводят в процессе выполнения данной рабочей функции (см. раздел 10);

c) на основе рабочего дня, когда значение измеряемой величины получают непрерывным измерением шума на рабочем месте в течение всего рабочего дня (см. раздел 11).

Подробное руководство по выбору стратегии измерения приведено в приложении В.

9 Стратегия измерения на основе рабочей операции

9.1 Представление номинального дня как совокупности рабочих операций

Для работников или групп равного шумового воздействия, для которых проводят измерения, номинальный день может быть разбит на отдельные рабочие операции и перерывы между ними. Рабочая операция должна быть определена таким образом, чтобы при ее многократных повторениях характеризующее ее значение изменялось не очень значительно. Необходимо убедиться, что все значимые источники шума во время выполнения операции учтены должным образом. Чем выше уровень шума во время операции, тем важнее точно определить ее продолжительность.

Идентификация источников шума и операций, при которых наблюдаются максимальные пиковые значения, необходима для правильного определения как , так и .

9.2 Продолжительность рабочей операции

Для определения продолжительности рабочей операции используют:

a) беседы с работниками и руководителем низшего звена;

b) наблюдения и измерения продолжительности выполнения операции во время измерений шума;

c) сбор информации о длительности действия типичных источников шума (технологических процессов; работающих машин; действиях, совершаемых на рабочем месте и вблизи него).

Допускается рассматривать продолжительность рабочей операции как переменную величину и определять ее возможные вариации. Для этого либо наблюдают несколько раз выполнение данной операции и регистрируют ее продолжительность при каждом наблюдении, либо просят нескольких работников и руководителя низшего звена дать оценку диапазона возможных значений продолжительности данной операции.

Если получены J наблюдений продолжительности операции , то вычисляют среднее арифметическое значение по формуле

Сумма продолжительностей операций в течение номинального дня равна эффективной длительности рабочего дня. Таким образом,

где - средняя продолжительность m-й рабочей операции;

m - номер рабочей операции;

М - число рабочих операций, выполняемых в течение номинального дня.

Примечание - Измерения на основе рабочей операции можно сочетать с измерениями на основе рабочего дня, чтобы убедиться, что все существенные источники шума приняты во внимание.

9.3 Измерение

Для каждой рабочей операции измеряют величину (см. раздел 12), характеризующую воздействие шума на работника во время этой операции. При измерении необходимо учитывать изменения уровня шума в пределах каждой операции во времени, в пространстве и в разных условиях работы.

Следует убедиться, что шумовая обстановка во время измерения является представительной для данной рабочей операции. Во время измерения следует, по возможности, контролировать действия работника. Если в выполняемой работником операции или в шумовой обстановке будут замечены какие-то отклонения, то их следует зафиксировать и указать в протоколе измерений.

Если контролировать действия работника, не создавая ему помех в работе, затруднительно, то возможные отклонения следует оценить иным способом, например, спросив об этом самого работника или по записям в журнале работ.

Длительность каждого измерения должна быть достаточной для надежной оценки эквивалентного уровня звука при выполнении данной операции. Если продолжительность операции менее 5 мин, то длительность измерения выбирают равной продолжительности операции. Допускается уменьшить время измерения, если установлено, что значение измеряемой величины остается стабильным или вклад данной операции в результат измерения шума на рабочем месте незначителен (см. рисунок 2, операция 1).

Если изменения уровня шума при выполнении операции близки к периодическим, то каждое измерение должно включать в себя не менее трех периодов. Если при этом длительность измерения шума окажется менее 5 мин, то его следует увеличить до не менее 5 мин. При этом она должна быть кратна периоду изменения уровня шума (см. рисунок 2, операция 2).

Если шум во время выполнения операции непостоянный, то длительность каждого измерения шума должна быть достаточна, чтобы получить результат измерения представительный для данной операции (см. рисунок 2, операция 3).

Для каждой операции необходимо выполнить не менее трех измерений. Чтобы оценить возможные изменения в уровне шума, рекомендуется проводить измерения в различные фазы выполнения операции или для разных работников данной группы.

Если результаты трех измерений будут различаться на 3 дБ и более, то следует выполнить одно из следующих действий:

a) выполнить еще не менее трех измерений для данной операции;

b) разбить операцию на более мелкие части и повторить процедуру по 9.2 и 9.3;

c) повторить процедуру по 9.3, увеличив длительность каждого измерения.

Примечание - Дополнительные измерения не сокращают диапазон возможных значений измеряемой величины, но могут уменьшить соответствующую составляющую неопределенности измерения.

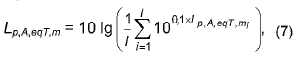
По I измерениям шума во время выполнения m-й рабочей операции рассчитывают эквивалентный уровень звука , дБ, по формуле

где - эквивалентный уровень звука при выполнении m-й операции на периоде i-го измерения;

i - номер выборочного измерения шума m-й операции;

I - число измерений при выполнении m-й операции.

Расчет неопределенности величины - в соответствии с разделом С.2 (приложение С).

L - уровень шума как функция времени; - продолжительность рабочей операции 1; - продолжительность рабочей операции 2; - продолжительность рабочей операции 3; t - время; - длительность измерения шума операции 1 (почти постоянный шум); - длительность измерения шума операции 2 (почти периодический шум); - длительность измерения шума операции 3 (непостоянный шум)

Рисунок 2 - Пример трех интервалов с разной шумовой обстановкой и периодами измерения шума для каждого из них

9.4 Расчет вклада каждой операции в эквивалентный уровень звука за 8-часовой рабочий день

Данный этап обработки результатов измерений не является обязательным. Его выполняют только в случае, если необходимо оценить относительный вклад каждой операции в общую оценку шума на рабочем месте. В противном случае следует сразу перейти к расчету эквивалентного уровня звука за 8-часовой рабочий день по 9.5.

Вклад m-й операции в эквивалентный уровень звука за 8-часовой рабочий день 26, дБ, рассчитывают по формуле

где - эквивалентный уровень звука на периоде выполнения m-й операции, рассчитываемым по формуле (7);

- средняя продолжительность m-й операции, рассчитываемая по формуле (5);

- базовая длительность рабочего дня, равная 8 ч.

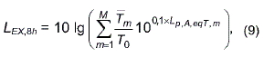
9.5 Расчет эквивалентного уровня звука за 8-часовой рабочий день

Эквивалентный уровень звука за 8-часовой рабочий день может быть рассчитан одним из двух способов [см. формулы (9) и (10)].

Если известны эквивалентные уровни звука при выполнении рабочих операций и средние продолжительности каждой операции, рассчитанные по формулам (7) и (5) соответственно, то эквивалентный уровень звука за 8-часовой рабочий день , дБ, может быть вычислен по формуле

где - эквивалентный уровень звука при выполнении m-й операции;

- средняя продолжительность m-й операции, рассчитываемая по формуле (5), ч;

- базовая длительность рабочего дня, равная 8 ч;

m - номер рабочей операции;

М - число рабочих операций, дающих вклад в эквивалентный уровень звука за 8-часовой рабочий день.

Если известны вклады каждой операции в эквивалентный уровень звука за 8-часовой рабочий день, рассчитанные в соответствии с 9.4 и формулой (8), то эквивалентный уровень звука за 8-часовой рабочий день , дБ, может быть вычислен по формуле

где - вклад m-й операции в эквивалентный уровень звука за 8-часовой рабочий день;

m - номер рабочей операции;

М - число рабочих операций, дающих вклад в уровень звука за 8-часовой рабочий день.

10 Стратегия измерения на основе трудовой функции

10.1 Общие положения

Принцип данной стратегии измерения заключается в формировании случайной выборки результатов измерений в ходе выполнения работ, определенных при анализе рабочей обстановки.

10.2 Составление плана измерений

План измерений составляют следующим образом. После идентификации работ, для которых должен быть получен эквивалентный уровень звукового давления за 8-часовой рабочий день, формируют группы равного шумового воздействия (см. 7.2). Для каждой из таких групп:

a) по таблице 1 определяют минимальную суммарную длительность измерения в зависимости от числа работников в группе равного шумового воздействия;

b) определяют число/выборочных измерений (5) и длительность этих измерений Т таким образом, чтобы сумма длительностей измерений была не менее той, что определена на этапе а);

c) планируют проведение выборочных измерений так, чтобы они были случайным образом распределены среди работников группы и по всему рабочему дню.

Примечание - Анализ рабочей обстановки, экспертные суждения и практический опыт могут позволить уменьшить число выборочных измерений при условии, что они охватят все характерные источники шумового воздействия. С увеличением числа выборочных измерений уменьшается неопределенность измерения.

Таблица 1 - Зависимость минимальной суммарной длительности выборочных измерений от числа работников в группе равного шумового воздействия

Число работников в группе Минимальная суммарная длительность распределенных по
Менее 5 5
От 5 до 15 включительно 5 + ( - 5) х 0,5
От 15 до 40 включительно 10 + ( - 15) х 0,25
Более 40 17*
* Допускается разбить группу на две или более подгрупп, чтобы уменьшить суммарную длительность измерений для каждой группы.

Пример - Необходимо составить план измерений для группы равного шумового воздействия из шести работников. Последовательное выполнение этапов планирования дало следующие результаты:

1) минимальная суммарная длительность измерений для данной группы равна 5,5 ч (по таблице 1);

2) число измерений было выбрано равным 10, тогда длительность каждого измерения составила 33 мин;

3) из шести работников группы были случайным образом выбраны трое, среди которых случайным образом были распределены измерения по этапам 4) и 5);

4) первое выборочное измерение было начато с началом рабочего дня, а последнее закончено с окончанием рабочего дня, поскольку анализ рабочей обстановки выявил, что в эти периоды наблюдается значительное воздействие шума на работников;

5) восемь других выборочных измерений были равномерно распределены по оставшейся части рабочего дня.

10.3 Измерения

Измерения проводят в соответствии с разделом 12.

10.4 Определение эквивалентного уровня звука за 8-часовой рабочий день для работников группы равного шумового воздействия

Вычисляют эквивалентный уровень звука , дБ, для эффективной длительности рабочего дня по формуле

где - эквивалентный уровень звука п-го выборочного измерения длительностью Т;

n - номер выборочного измерения;

N - число выборочных измерений.

Эквивалентный уровень звука за 8-часовой рабочий день , дБ, для работников группы равного шумового воздействия рассчитывают по формуле

где - эквивалентный уровень звука , дБ, для эффективной длительности рабочего дня;

- эффективная длительность рабочего дня, ч;

- базовая длительность рабочего дня, равная 8 ч.

Неопределенность измерения рассчитывают в соответствии с разделом С.3 (приложение С).

Если составляющая стандартной неопределенности , обусловленная случайной выборкой измерений согласно таблице С.4 (приложение С), превысит 3,5 дБ, то следует рассмотреть две возможности ее уменьшения: изменить число работников группы равного шумового воздействия или увеличить число выборочных измерений N.

11 Стратегия измерения на основе рабочего дня

11.1 Общие положения

Измерения на основе рабочего дня позволяют учесть все события, связанные с шумовым воздействием на работника, включая периоды относительной тишины. Такие измерения, требуют больших затрат времени и их целесообразно проводить с использованием персональных дозиметров шума (или аналогичных средств измерений).

При использовании данной стратегии следует убедиться, что выбранный для измерений день представителен с точки зрения шумовой обстановки для данного работника.

Проведение измерения в течение всего рабочего дня может оказаться невозможным по практическим соображениям. В таком случае измерения должны охватить максимально большую часть рабочего дня, включая все значительные периоды шумового воздействия.

Примечание - Поскольку при данной стратегии учитывается воздействие всех источников шума, действующих в день измерения, существует повышенный риск включить в их число и "ложные" источники (см. раздел 13). Этот риск можно уменьшить за счет тщательного контроля действий работника во время измерения, проведения выборочных измерений в разные моменты рабочего дня и/или опроса работника после завершения рабочей смены о выполненных им операциях и местах выполнения работ.

11.2 Контроль действий работника и проводимых измерений

Во время измерения работник должен находиться под контролем. Если это невозможно, то достоверность результатов измерений можно проверить одним из следующих способов:

а) опросом работников и руководителей низшего звена;

b) выборочными измерениями и сравнением их результатов с данными измерений персональным дозиметром шума;

c) оценкой воздействия шума на некоторых из обследуемых работников, проведя измерения на основе рабочей операции (см. раздел 9);

d) исследованием с участием работника и оператора (лица, проводившего измерения) записи данных в персональном дозиметре шума по окончании рабочей смены, чтобы по ним идентифицировать различные операции, выполненные работником, и события, связанные с повышенным шумовым воздействием. Чтобы иметь возможность реализовать данный способ контроля, настоятельно рекомендуется вести запись данных в память персонального дозиметра шума.

11.3 Измерения

Измерения проводят в соответствии с разделом 12. Вначале проводят три измерения величины характеризующей шумовое воздействие на работника, в течение полного рабочего дня.

Если результаты трех измерений отличаются менее чем на 3 дБ, то вычисляют эквивалентный уровень звука для номинального дня усреднением этих результатов с использованием формулы (11) (где под n понимается номер дня, в котором проводились измерения, а N равно трем).

Если результаты трех измерений отличаются на 3 дБ и более, то проводят еще не менее двух измерений (за полный рабочий день) и вычисляют эквивалентный уровень звука для номинального дня усреднением по пяти измерениям.

11.4 Расчет эквивалентного уровня звука за 8-часовой рабочий день

Эквивалентный уровень звука за 8-часовой рабочий день , дБ, вычисляют по формуле

где - эквивалентный уровень звука , дБ, полученный в соответствии с 11.3;

- эффективная длительность рабочего дня, ч;

- базовая длительность рабочего дня, равная 8 ч.

Неопределенность измерения рассчитывают в соответствии с разделом С.4 (приложение С).

12 Измерения

12.1 Выбор средства измерений

Измерения выполняют с использованием средств измерений следующих типов (см. также 5.1):

a) персональный дозиметр шума, который находится у работника при измерении шума на его рабочем месте;

b) интегрирующий-усредняющий шумомер, который оператор устанавливает в определенных точках или удерживает в руках, перемещаясь вслед за работником.

Персональные дозиметры шума могут быть использованы для любых видов измерений в любой рабочей обстановке. Если необходимо проводить долговременные измерения на рабочем месте работника, который в течение рабочего дня перемещается с места на место, выполняет сложные или плохо формализуемые рабочие задания или большое число разных операций, то использование персонального дозиметра шума является предпочтительным. Если же работник в течение рабочего дня находится преимущественно на одном и том же месте, выполняя при этом одну или несколько рабочих операций, то в этом случае удобно использовать шумомер, установленный в фиксированном положении или удерживаемый руками оператора.

12.2 Проверка работоспособности средства измерений на месте

Проверку работоспособности средства измерений на месте его применения проводят в отношении всей измерительной цепи, включая микрофон. Данная процедура предназначена для подтверждения достоверности полученных результатов измерений и отличается от калибровки в лабораторных условиях. При проведении проверки работоспособности акустический калибратор, удовлетворяющий требованиям к приборам класса 1 по МЭК 60942:2003, последовательно соединяют с каждым микрофоном и записывают значение уровня звука на одной или нескольких частотах калибратора в пределах диапазона частот измерений. Эту операцию выполняют в условиях малошумного помещения.

Проверку работоспособности на месте проводят перед каждой серией измерений и в начале каждой дневной серии измерений. В конце каждой серии измерений и после окончания дневной серии измерений проверку работоспособности выполняют снова. Если уровень звукового давления на какой-либо частоте калибратора в конце серии измерений отличается от полученного в начале серии измерений более чем на 0,5 дБ, то результаты измерений в данной серии считают недостоверными.

12.3 Измерения персональным дозиметром шума

Микрофон персонального дозиметра шума закрепляют на плече работника на высоте приблизительно 0,04 м над ним и на расстоянии не менее 0,1 м от входного отверстия наружного слухового прохода со стороны уха, где шум максимален. Микрофон и соединительный кабель фиксируют таким образом, чтобы движения работника и его одежда не искажали результаты измерений.

Выбранный способ крепления не должен мешать работнику выполнять его функции и не должен создавать для него дополнительных производственных рисков. Кроме того, он не должен способствовать появлению ложных источников шума (см. также 13.2).

Примечание 1 - При использовании приборов, переносимых работником, или в других ситуациях, когда микрофон расположен очень близко к телу работника, на результат измерений влияют экранирующие и отражающие свойства тела. Особенно сильно это проявляется на высоких частотах и для источников шума малых размеров, расположенных близко к уху. В таких случаях рекомендуется провести измерения, устанавливая микрофоны по обе стороны головы, чтобы оценить воздействие шума для того уха, для которого оно больше.

Примечание 2 - Преимуществами использования персональных дозиметров шума является то, что оператор не должен во время измерений следовать за работником, а также возможность проводить измерения для нескольких работников сразу.

Обследуемый работник должен быть проинформирован о цели измерений. Он должен быть предупрежден о необходимости носить установленный прибор в течение измерений и выполнять при этом свои функции обычным образом.

После проверки работоспособности персонального дозиметра шума выполняют операции сброса его показаний и повторного пуска в соответствии с инструкцией изготовителя. Прикрепляют дозиметр шума к обследуемому работнику, следя, чтобы при этом не производились дополнительные шумы, регистрируемые прибором. Фиксируют время начала измерения. По завершении измерения персональный дозиметр шума останавливают в соответствии с инструкцией изготовителя и снимают его с работника. Фиксируют время окончания измерения.

Все выделяющиеся пики в записи прибора, которые входе наблюдений не были соотнесены с соответствующими изменениями шумовой обстановки, должны быть проанализированы, и результаты анализа должны быть указаны в протоколе измерений.

12.4 Измерения интегрирующим-усредняющим шумомером

Результат измерения интегрирующим-усредняющим шумомером должен быть представительным для шумового воздействия на ухо работника. Если звуковое поле на рабочем месте работника однородно, то вопрос выбора точки измерений не так важен, как в случае поля с сильной неравномерностью.

Предпочтительным является проведение измерений в отсутствие обследуемого работника на рабочем месте. Микрофон располагают в точке, где должна находиться голова работника при обычном способе выполнения работ, в центральной плоскости головы на линии между глазами, так чтобы его измерительная ось совпадала с направлением взгляда работника. При этом следует учитывать, что работник при выполнении рабочих операций может принимать разные позы с разным расположением и ориентацией головы. Усредненная характеристика шумового воздействия на работника может быть получена перемещением точки измерения в пределах рабочего места, например, при движении микрофона с постоянной скоростью по траектории в виде лежащей цифры восемь (знака бесконечности).

Если в отсутствие работника результаты измерения на рабочем месте нельзя считать представительными, то измерения проводят во время выполнения работником своих функций, размещая микрофон на расстоянии от 0,1 до 0,4 м от входного отверстия наружного слухового прохода со стороны уха, где шум максимален.

Если характер деятельности работника или особенности его рабочего места не позволяют соблюсти условие расположения микрофона в пределах 0,4 м от уха работника, то рекомендуется оценку шумового воздействия выполнять с помощью средства измерений, переносимого работником.

Если работник находится на очень близком расстоянии от источника шума, то это требует тщательного исследования звукового поля вокруг работника. При этом в протоколе измерений должно быть точно указано место расположения микрофона и направление его измерительной оси.

Если определить типичное положение головы работника во время его работы невозможно, то микрофон устанавливают следующим образом (см. [2] - [6]):

а) для стоящего работника - на высоте (1,55 ± 0,08) м над уровнем поверхности, на которой стоит работник;

b) для сидящего работника - в центральной плоскости сиденья на высоте (0,80 ± 0,05) м над его поверхностью при установке сиденья посредине диапазонов перемещения по вертикали и горизонтали.

Если работник при выполнении рабочего задания совершает перемещения относительно звукоизлучающей машины, то результаты измерений с помощью стационарно установленного микрофона могут дать завышенную или, наоборот, заниженную оценку шумового воздействия даже в том случае, когда рабочее место работника хорошо определено и неизменно в пространстве. В таких случаях рекомендуется проводить измерения с использованием персонального дозиметра шума.

Если работник находится поблизости от источника шума, то даже незначительные изменения в положении микрофона могут привести к значительным изменениям результата измерений. При наличии в шуме отчетливо выраженных тональных составляющих возможно образование стоячих волн. Чтобы определить вариации уровня звукового давления микрофон устанавливают в разных точках в пределах рабочего места. Эти вариации интерпретируют как изменения уровня звукового давления со временем и соответствующим образом усредняют. При сканировании микрофона в пределах рабочего места работника разрешение по времени должно быть выбрано достаточно малым, чтобы обеспечить точное измерение зависимости уровня звукового давления от времени L(t). Для последующего расчета составляющей неопределенности измерения, связанной с неравномерностью звукового поля, полученную функцию L(t) разбивают на три, а лучше шесть временных интервалов равной длительности. Уменьшить данную составляющую можно проведением дополнительных измерений с помощью средства измерений с фиксированным положением относительно работника по 12.3.

Если работник надевает головной телефон (например, секретари, телефонисты, летчики, авиадиспетчеры) или шлем (например, летчики или мотоциклисты), то измерение шума на их рабочих местах требует применения специальных методов. При источниках шума, расположенных близко к уху, измерения могут быть проведены непосредственно в ушном канале в соответствии с [7] или [8].

13 Источники неопределенности измерения

13.1 Общие положения

Все источники, дающие существенный вклад в общую неопределенность измерения, должны быть идентифицированы и проанализированы с целью выработки возможных мер по уменьшению их влияния. Неопределенности могут быть связаны как с возможными разного рода отклонениями в процессе измерения (от установленной процедуры для оператора, от номинальных метрологических характеристик для средства измерений), таки с изменчивостью шумовой обстановки на месте измерения.

Основными источниками неопределенности при оценке воздействия шума на рабочем месте являются:

a) изменения рабочих заданий работника в разные дни, разные условия выполнения рабочих операций, процедура формирования выборки и т. п.;

b) средства измерений и их калибровка;

c) размещение микрофона;

d) ложные источники, не связанные с шумовой обстановкой на рабочем месте, такие как ветер, потоки воздуха, механические удары по микрофону, трение микрофона об одежду работника;

e) недостаточно точные анализ рабочей обстановки и определение номинального рабочего дня;

f) нетипичные источники шума для шумовой обстановки на рабочем месте, такие как речь, музыка (по радио), звуковые сигналы предупреждения или тревоги, нетипичные изменения в рабочей обстановке во время измерения.

Значимость факторов, указанных в перечислении а), зависит от сложности рабочей обстановки с точки зрения шумового воздействия. Их влияние увеличивается в случаях, когда рабочее место и шум на рабочем месте являются непостоянными. Фактор, указанный в перечислении b), зависит от классов применяемых средства измерений и калибратора. Влияние факторов, указанных в перечислениях с) - е), можно уменьшить за счет правильной организации измерения в соответствии с настоящим стандартом. Что касается фактора, указанного в перечислении f), то необходимость учета нетипичных источников шума должна быть определена на этапе анализа рабочей обстановки.

Вклад разных источников неопределенности должен рассматриваться в ходе анализа рабочей обстановки и измерений. Если выясняется, что для ряда источников этот вклад очень велик, то результаты проведенных измерений считают недействительными или, при наличии такой возможности, вводят в них соответствующие поправки.

Измеренный эквивалентный уровень звука за 8-часовой рабочий день и соответствующая неопределенность измерения зависят от метода измерения. Если измерения выполнены с использованием персонального дозиметра шума, то результат измерения будет завышен за счет речи работника, радиопередач и т. п. При использовании портативного шумомера такие источники можно устранить за счет пауз в измерении. В свою очередь результат измерения с установкой микрофона в фиксированных точках может быть занижен ввиду недостаточного учета вклада от источников шума, близких к уху работника, например от ручного инструмента.

13.2 Влияние механических ударов по микрофону

Необходимо исключить ошибки измерения, связанные с механическими ударами по микрофону или его ветрозащитному экрану. Особенно важно контролировать этот эффект в случаях применения персональных дозиметров шума. Прикосновение к микрофону (его соединительным устройствам), трение о микрофон или иной вид контакта с другими объектами способны вызвать всплески в регистрируемом уровне звукового давления.

Возможные ошибки такого рода выявляют сравнением сигнала, зарегистрированного средством измерений (где это возможно), со сделанными вручную записями наблюдений за изменением шумовой обстановки, которые велись во время измерения. При обнаружении в сигнале пиков неясной природы следует оценить их влияние на результат измерений и при необходимости повторить измерения. Если средство измерений не имеет или не позволяет использовать режим автоматической записи сигнала во время измерения, то ошибки выявляют по неожиданно большому значению окончательного результата измерения. В этом случае измерение также должно быть проведено заново.

13.3 Влияние ветра (воздушных потоков)

Не рекомендуется проводить измерения шума в условиях высокой скорости воздушного потока. Если избежать таких измерений невозможно, то следует принять меры к исключению вклада шума, индуцированного потоком. Вклад такого шума можно оценить, проводя измерения в аналогичной рабочей обстановке, где сильные потоки воздуха отсутствуют, или, наоборот, проводя измерения в условиях потока при отсутствии производственного шума.

Для уменьшения влияния шума, индуцированного потоком воздуха, измерения проводят микрофоном с ветрозащитным экраном. Для персональных дозиметров шума такой экран обычно имеет ограниченные размеры. Контролировать влияние шума, индуцированного потоком воздуха, позволяет применение портативного шумомера с ветрозащитным экраном больших размеров.

Для устранения влияния шума, индуцированного потоком, диаметр ветрозащитного экрана на микрофоне портативного шумомера, должен быть не менее 60 мм.

Примечание - Влияние потока воздуха зависит от скорости потока и размера ветрозащитного экрана. Так при уровне звука 80 дБ при условии использования ветрозащитного экрана диаметром 60 мм влияние воздушного потока будет незначительным, если его скорость не превышает 10 м/с.

13.4 Идентификация источников шума

Следует определить необходимость влияния того или иного источника шума при оценке воздействия шума на рабочем месте. Такие источники, как речь, радио, сигналы тревоги и предупреждения могут быть учтены в общем шумовом воздействии, если анализ рабочей обстановки показал, что они являются частью обычных рабочих условий для данного работника. Однако если оператор имеет основания считать, что данные шумовые воздействия являются нетипичными для обследуемого рабочего места, то он может исключить соответствующие данные из записи шума, указав это в протоколе измерений.

Если во время проведения измерений наблюдаются какие-либо нетипичные изменения в рабочей обстановке, то следует оценить их влияние на результат измерения. Если влияние значительно, то необходимо провести новые измерения.

14 Расчет неопределенности измерения и представление результата измерения

Составляющие неопределенности измерения характеристик шума на рабочем месте определяют в соответствии с приложением С.

Окончательный результат измерения должен включать в себя полученное значение измеряемой величины и параметры неопределенности измерения. Такими параметрами являются стандартная (суммарная) или расширенная неопределенность и значение коэффициента охвата для уровня доверия 95%.

15 Протокол измерений

Протокол измерений шума на рабочем месте, выполненных в соответствии с настоящим стандартом, должен включать в себя следующую информацию:

a) сведения общего характера, в том числе:

1) наименование заказчика;

2) идентификаторы обследуемых рабочих мест работников или групп работников (имена работников или их табельные номера);

3) наименование организации, проводившей измерения, и имя оператора;

4) цель проведения измерений;

5) выбранная стратегия проведения измерений со ссылкой на настоящий стандарт;

b) анализ рабочей обстановки, в том числе:

1) результаты анализа действий работника;

2) размер и состав групп равного шумового воздействия (при наличии);

3) описание рабочей обстановки в течение рабочих дней, включенных в анализ, включая операции, из которых состоит рабочий день (при выборе стратегии измерения на основе рабочих операций);

4) использованная стратегия (или стратегии) измерений с указанием статистических методов обработки данных;

c) средства измерений, в том числе:

1) класс средства измерений и его идентифицирующие данные (изготовитель, модель, заводской номер);

2) конфигурация измерительной системы (использованные ветровые экраны, соединительные кабели ит. п.);

3) данные последних поверок;

4) результаты проверок работоспособности, выполненных до и после каждой серии измерений;

d) условия измерений, в том числе:

1) идентификационные данные обследуемого работника (работников);

2) дата и время проведения измерений;

3) средства измерений, использованные при каждом измерении (если они проводились с разными средствами измерений);

4) описание работ, выполненных работником во время проведения измерений, включая их длительность и, при их наблюдении, продолжительность циклов событий, вызывающих изменение шумовой обстановки в течение рабочего дня;

5) запись любых отклонений от нормальных условий работ или в действиях работника во время проведения измерений;

6) производственные показатели для работ, выполненных обследуемым работником (при необходимости);

7) описание источников шума, дающих существенный вклад в шумовую обстановку на рабочем месте;

8) описание всех нетипичных источников шума с указанием, включены ли они в расчет измеряемой величины;

9) описание всех событий, которые могли оказать влияние на результат измерений (потоки воздуха, удары по микрофону, импульсы шума и т. п.);

10) информация о метеорологических условиях (ветер, дождь, температура воздуха);

11) положение микрофона (микрофонов) и направление его измерительной оси;

12) число измерений в каждой точке измерений;

13) длительность каждого измерения;

14) продолжительность каждой операции в номинальный рабочий день и соответствующая неопределенность измерения (при выборе стратегии измерения на основе рабочей операции);

15) результаты каждого измерения и, при необходимости, максимальное наблюдаемое значение ;

е) результаты измерений и выводы, в том числе:

1) эквивалентные уровни звука с частотной коррекцией A и, при необходимости, пиковые уровни звука с частотной коррекцией С для каждой рабочей операции или трудовой функции;

2) значения для каждой операции (при необходимости);

3) эквивалентный уровень звука за 8-часовой рабочий день для рабочего дня (дней) и (при необходимости) максимальное по всем операциям значение пикового уровня звука с частотной коррекцией С, округленные с точностью до одного знака после запятой;

4) параметры неопределенности измерения, соответствующей , для номинального рабочего дня (дней), округленные с точностью до одного знака после запятой (эквивалентный уровень звука за 8-часовой рабочий день и параметры неопределенности указывают по отдельности).

Приложение А
(справочное)

ПРИМЕР ОПРОСНОГО ЛИСТА ДЛЯ ВЫЯВЛЕНИЯ СОБЫТИЙ, СУЩЕСТВЕННО ВЛИЯЮЩИХ НА ШУМОВУЮ ОБСТАНОВКУ НА РАБОЧЕМ МЕСТЕ

Имеют ли место в условиях работы: Да Нет
- применение струй сжатого воздуха [ ] [ ]
- выпуск сжатого воздуха (пара) [ ] [ ]
- удары молота или другого инструмента [ ] [ ]
- резкие ударные импульсы [ ] [ ]
- кратковременное (нерегулярное) применение сильно шумящих машин или инструмента [ ] [ ]
- прохождение шумных транспортных средств [ ] [ ]
Бывают ли особо шумные работы (события) в отдельные моменты рабочего дня: [ ] [ ]
- в начале смены [ ] [ ]
- в конце смены [ ] [ ]
- в процессе регулировок оборудования, подачи питания [ ] [ ]
- во время пуска или остановки технологического процесса [ ] [ ]
- в процессе уборки [ ] [ ]
- в другие моменты [ ] [ ]

Имеют ли место работы, связанные с производством шума поблизости от обследуемого рабочего места (на других рабочих местах):

- тип работ  
- рабочие места, подвергающиеся воздействию шума  

Приложение В
(рекомендуемое)

РУКОВОДСТВО ПО ВЫБОРУ СТРАТЕГИИ ИЗМЕРЕНИЯ

В.1 Общие положения

В настоящем приложении описаны основные стратегии измерения и дано руководство по выбору подходящей стратегии для конкретной ситуации (см. раздел 8).

В.2 Стратегия измерения на основе рабочей операции

Основными вопросами в рамках данной стратегии являются описание рабочих операций, связанных со значительным шумовым воздействием на работника, и сокращение длительности измерений при соблюдении установленных требований к неопределенности измерения. Стратегия измерения на основе рабочей операции наиболее эффективна в ситуациях, когда действия работника могут быть четко разделены на отдельные, легко описываемые операции, для каждой из которых характерны свои шумовые условия и выполнены соответствующие измерения. При этом, однако, следует убедиться, что при измерениях не будут пропущены никакие значимые с точки зрения воздействия шума на работника события, что требует предварительного анализа возможности появления таких событий в течение рабочего дня.

Чтобы выделить все существенные рабочие операции, необходимо провести детальный анализ рабочей обстановки. Неопределенность измерения при данной стратегии оценивают в ходе самих измерений. Это позволяет уменьшить число измерений при выполнении операций, для которых не наблюдается значительных вариаций уровня шума.

Измерения, выполняемые в рамках данной стратегии, позволяют получить информацию о вкладе разных операций в шумовое воздействие за смену. Это важно, если целью измерений является определение приоритетов при разработке программ снижения шума на производстве. Это также дает возможность проводить расчеты для рабочих дней, отличных от номинального, на основе знания о том, как по этим дням распределены рабочие операции и какова их продолжительность. Данные обстоятельства позволяют существенно сократить затраты на измерения.

Затраты на измерения с использованием данной стратегии могут быть также значительно сокращены в случае, когда есть возможность составить большие группы из обследуемых работников, выполняющих схожие функции и подвергающихся воздействию схожего шума. При этом облегчается управление измерениями.

Вместе с тем в случае сложной рабочей обстановки ее анализ при использовании стратегии измерения на основе рабочей операции может потребовать повышенных затрат времени.

В.3 Стратегия измерения на основе трудовой функции

Стратегию измерения на основе трудовой функции применяют, когда сложно описать характерный рабочий день для данного работника и выделить отдельные выполняемые им рабочие операции или когда по каким-то причинам нет возможности провести детальный анализ рабочей обстановки. Данную стратегию не рекомендуется применять в случае, когда рабочий день работника состоит из небольшого числа сопровождающихся сильным шумом операций.

Данная стратегия сокращает время анализа рабочей обстановки. Однако при определении функций, для которых выполняют измерения, необходимо убедиться, что эти функции представительны с точки зрения воздействия шума на работника. Данная стратегия измерения требует относительно больших затрат времени, но при этом обеспечивает меньшую неопределенность измерения.

Подобно стратегии на основе рабочей операции, необходимо убедиться в том, что во время измерений

действовали все значимые источники шума. Поскольку стратегия измерения на основе трудовой функции не рассматривает операции, выполняемые работником в течение рабочего дня, она не дает возможность оценить по отдельности вклады рабочих операций в шумовое воздействие за день.

В случае простой рабочей обстановки применение данной стратегии потребует более продолжительных измерений по сравнению со стратегией на основе рабочей операции.

В.4 Различия и сходство между стратегиями на основе рабочей операции и на основе трудовой функции

В.4.1 Общие положения

Указанные стратегии не исключают друг друга. Обе они основаны на выборочных измерениях. Во многих случаях при данной рабочей ситуации с равным успехом и одинаковым качеством результатов может быть применена как одна, таки другая стратегии. Основные различия между стратегиями описаны в В.4.2 - В.4.4.

В.4.2 Группы равного шумового воздействия

Группы равного шумового воздействия могут быть сформированы по-разному в зависимости от выбранной стратегии измерения. Поскольку трудовая функция включает в себя группу заданий, выполняемых одним работником, стратегия измерения на основе трудовой функции не требует, чтобы вся деятельность работника в течение рабочего дня была разбита на отдельные рабочие операции. Следовательно, формирование групп равного шумового воздействия потребует меньше затрат времени, чем в случае стратегии измерения на основе рабочей операции. Кроме того, последняя требует лучшего знания рабочей обстановки, чтобы выделить и описать все операции, влияющие на шум, указав их продолжительность.

В.4.3 Планы измерений

План измерений обычно легче применить в случае стратегии на основе трудовой функции, поскольку она не требует выделения каждой рабочей операции, для которой необходимо провести измерения в течение рабочего дня.

В.4.4 Длительность измерений

Стратегия измерения на основе трудовой функции требует больше затрат времени на проведение измерений.

В.5 Стратегия измерения на основе рабочего дня

Данная стратегия, как и стратегия измерения на основе трудовой функции, наиболее пригодна, когда сложно описать рабочий день работника и выделить рабочие операции. Данная стратегия предъявляет еще меньше требований к анализу рабочей обстановки. С другой стороны, для простой рабочей обстановки данная стратегия требует проведения более длительных измерений, чем любая другая.

Данную стратегию обычно применяют, когда характер шумового воздействия на работника неизвестен, непредсказуем или сложен, но возможно ее использование и в случаях, особенно когда нет возможности провести подробный анализ рабочей обстановки.

Данная стратегия позволяет также проверить, все ли значимые шумовые события дали вклад в результат измерения. При такой проверке определение эквивалентного уровня звука за 8-часовой рабочий день не требует никаких дополнительных расчетов.

Если применяемое средство измерений может вести запись измеряемого шумового сигнала, то это позволяет получить информацию о флуктуациях уровня шума в течение рабочего дня и определить вклад в шумовое воздействие разных операций. Кроме того, это дает возможность исключить из результата измерений вклад нетипичных источников шума. Поэтому при выборе данной стратегии настоятельно рекомендуется использовать средства измерений с устройствами записи сигнала.

Измерения большой длительности, как правило, выполняют с использованием персональных дозиметров шума или аналогичных приборов, которые работник носит на себе. При этом существует большая вероятность того, что в сигнале шума будут присутствовать ложные составляющие, не связанные с типичным шумовым воздействием на работника, например, вследствие ударов по микрофону (случайных или умышленных), или преднамеренно создаваемый шум, например, вследствие громких возгласов коллег по работе или с работой в максимально шумной манере. По этой причине настоятельно рекомендуется, чтобы измерение осуществлялось под непосредственным контролем оператора. При невозможности организовать такой контроль следует принять другие эффективные меры по идентификации и учету ложных сигналов. Установлено, что при неконтролируемых измерениях тенденция к появлению ложных сигналов усиливается. В этом случае лучшим решением может быть выполнение измерений в течение нескольких дней, чтобы уменьшить влияние новизны восприятия работником процедуры измерений.

В.6 Совмещение стратегий

Возможны ситуации, когда необходимо или желательно использовать более одной стратегии измерения. Например, если номинальный день включает в себя сложную картину действий работника, то расчеты с использованием стратегии измерения на основе рабочей операции могут быть проверены и подтверждены стратегией измерения на основе рабочего дня для нескольких работников.

Возможны ситуации, когда во время измерений некоторые рабочие операции не выполняются, хотя и включены в номинальный день. В этом случае необходимо провести дополнительные измерения для таких операций.

Другой пример связан с ситуацией, когда в ходе рабочего дня характер работ, выполняемых работником, изменяется. В этом случае может потребоваться, например, использование стратегии измерения на основе трудовой функции в первой половине рабочего дня и на основе рабочей операции в ее второй половине.

В.7 Выбор стратегии измерения для разных характеров работ

Таблица В.1 представляет собой руководство по выбору подходящей стратегии измерения в зависимости от характера выполняемых работ.

Таблица В.1 - Зависимость минимальной суммарной длительности выборочных измерений от числа работников В группе равного шумового воздействия

Характер выполняемых работ Стратегия измерения на основе
рабочей операции трудовой функции рабочего дня
Фиксированное рабочее место, простая или единичная операция - -
Фиксированное рабочее место, сложные или множественные операции
Нестационарное рабочее место, известная структура дня, небольшое число операций
Нестационарное рабочее место, известная структура дня, большое число операций или сложная структура дня
Нестационарное рабочее место, неизвестная структура дня -
Фиксированное или нестационарное рабочее место, множественные операции неизвестной продолжительности -
Фиксированное или нестационарное рабочее место, неопределенные операции -
Возможная стратегия.
* Рекомендуемая стратегия.

Приложение С
(обязательное)

ОЦЕНКА НЕОПРЕДЕЛЕННОСТИ ИЗМЕРЕНИЯ

С.1 Общие положения

В настоящем приложении установлен метод определения стандартной и расширенной неопределенностей эквивалентного уровня звука за 8-часовой рабочий день или эквивалентного уровня звука .

Данный метод соответствует Руководству ИСО/МЭК 98.3. Для расчета неопределенности измерения могут быть использованы таблицы, приведенные в настоящем стандарте.

Строгое соблюдение требований настоящего стандарта, в частности, относящихся к исключению ложных составляющих при измерении характеристик шумового воздействия (см. раздел 13), дает основание полагать, что систематические эффекты не будут оказывать существенного влияния на результат измерения.

Рассматриваемые в настоящем приложении источники неопределенности приведены в таблице С.1.

Таблица С.1 - Источники неопределенности, учитываемые при расчете параметров неопределенности эквивалентного уровня звука за 8-часовой рабочий день

Источник неопределенности Стратегия измерения Подстрочный индекс (a) Раздел
Выборка для рабочей операции На основе рабочей операции С.2
Оценка длительности операции На основе рабочей операции 1b С.2
Выборка для трудовой функции На основе трудовой функции 1 С.З
Средства измерений Все стратегии 2 С.5
Положение микрофона Все стратегии 3 С.6
Примечание - В таблицу включены составляющие неопределенности, указанные в перечислениях a), b) и c) 13.1. Предполагается, что при проведении измерений в соответствии с настоящим стандартом вклад составляющих, указанных в перечислениях d), e) и f) 13.1, незначителен или учтен в расчетах по выборке.
(а) Используемый в обозначениях составляющих неопределенности и их коэффициентов чувствительности.

В таблице С.1 не учтена составляющая неопределенности, связанная с выбором рабочего дня, поскольку зачастую для ее определения требуется проведение измерений большого объема за длительный период времени. Однако соблюдение требований настоящего стандарта, в первую очередь, в отношении анализа рабочей обстановки позволяет уменьшить вклад данной составляющей.

Если из анализа рабочей обстановки следует, что существует источник неопределенности, не рассматриваемый в настоящем приложении, но дающий существенный вклад в суммарную стандартную неопределенность, то этот вклад следует оценить дополнительно, добавив соответствующую строку в таблицы С.2 и С.З.

Примечание 1 - Неопределенность измерения не рассматривается ввиду недостаточности данных, на основе которых могли бы быть сформулированы соответствующие рекомендации. В большинстве ситуаций можно ожидать, что неопределенность измерения будет выше, чем для .

Вклады в суммарную стандартную неопределенность u для эквивалентного уровня звука за 8-часовой рабочий день зависят от стандартных неопределенностей входных величин и их коэффициентов чувствительности .

Коэффициент чувствительности показывает, как изменяется измеряемая величина с изменением соответствующей входной величины. Математически он равен частной производной функции измеряемой величины [см. формулы (с.2) или (С.8) и Руководство ИСО/МЭК 98-3] по входной величине. При известных и суммарную стандартную неопределенность и рассчитывают по формуле

Расширенную стандартную неопределенность рассчитывают по формуле U = ku, где k - коэффициент охвата для данного уровня доверия, а интервал охвата - по формуле + U. В большинстве случаев принимают (если нет достаточно веских оснований для другого решения), что случайная величина, характеризующая неопределенность измерения как субъективное представление о возможности измеряемой величины принимать то или иное значение, имеет нормальное распределение. Тогда при уровне доверия 95 % значение коэффициента охвата k принимают равным двум.

В отдельных случаях, если нормативным документом, устанавливающим правила оценки воздействия шума на рабочем месте, предписано использовать односторонний интервал охвата для сравнения границы этого интервала с некоторым предельно допустимым значением, в качестве коэффициента охвата k для уровня доверия 95 % берут значение k = 1,65. Тогда граница (верхняя) интервала охвата будет определена как + U.

Допускается для расчета неопределенности измерения использовать другие методы, чем установленный в настоящем приложении, например, на основе научных суждений (экспертных оценок возможных значений неопределенностей) или численного моделирования с использованием метода Монте-Карло 1)).

1) См, например, ГОСТ Р 54500.3.1-2011 "Неопределенность измерения. Часть 3. Руководство по выражению неопределенности измерения. Дополнение 1. Трансформирование распределений с использованием метода Монте-Карло".

Такие методы должны соответствовать Руководству ИСО/МЭК 98-3. При этом необходимо показать, что получаемые оценки неопределенности измерения не являются заниженными. Метод расчета неопределенности измерения указывают в протоколе измерений.

Примечание 2 - Статистические основы метода, изложенного в настоящем приложении, приведены в [14].

С.2 Определение суммарной стандартной неопределенности для стратегии измерения на основе рабочей операции

С.2.1 Функциональная зависимость для стратегии измерения на основе рабочей операции

Формула для расчета эквивалентного уровня звука за 8-часовой рабочий день , дБ, используемая для стратегии измерения на основе рабочей операции, имеет вид

где - средняя продолжительность m-й операции, ч;

- базовая длительность рабочего дня, равная 8 ч;

m - номер рабочей операции;

M - число рабочих операций;

- оценка эквивалентного уровня звука [см. формулу (7)] при выполнении m-й операции;

где - отклонение результата измерений, обусловленное применяемым средством измерений;

- отклонение результата измерений, связанное с выбором места установки микрофона и направления его измерительной оси.

Примечание - Если отклонениями и можно пренебречь, то и формула (С.2) совпадает с формулой (9).

С.2.2 Вычисление суммарной стандартной неопределенности и В предположении, что входные величины, влияющие на эквивалентный уровень звука за 8-часовой рабочий день , некоррелированны, суммарную стандартную неопределенность u() рассчитывают в соответствии с Руководством ИСО/МЭК 98-3 на основе стандартных неопределенностей входных величин по формуле

где - стандартная неопределенность измерения эквивалентного уровня звука при выполнении m-й рабочей операции (см. С.2.3);

- стандартная неопределенность измерения продолжительности выполнения m-й рабочей операции (см. С.2.3);

- стандартная неопределенность инструментальной составляющей неопределенности измерения шума при выполнении m-й рабочей операции;

- стандартная неопределенность фактора, описывающего место установки микрофона;

и - коэффициенты чувствительности для соответствующих входных величин, действующих во время выполнения m-й операции;

m - номер рабочей операции;

М - число рабочих операций.

Примечание 1 - Вследствие линейности зависимости для 27 (см. С.2.1) коэффициенты чувствительности, связанные с неопределенностью средства измерений, , и положения микрофона, , совпадают и равны т. е. = = . Поэтому в формуле (С.3) они заменены на .

Примечание 2 - Инструментальная составляющая неопределенности предполагает возможный разброс результатов измерений при использовании разных средств измерений и, кроме того, включает в себя влияние нелинейности амплитудной характеристики средства измерений и частотной характеристики микрофона, влияние отклонения функции частотной коррекции от номинальной при разном входном звуковом сигнале, различия в углах падения звуковой волны.

Соответствующий бюджет неопределенности приведен в таблице С.2.

Таблица С.2 - Бюджет неопределенности для стратегии измерения на основе рабочей операции

Величина Полученное значение величины Стандартная неопределенность Распределение Коэффициент чувствительности Вклад в общую неопределенность дБ
Среднее (по энергии) результатов измерений для m-й операции для каждой m-й операции, определяемая по формуле (С.6) Нормальное для каждой m-й операции, определяемый по формуле (С.4) для каждой m-й операции
для m-й операции для каждой m-й операции, определяемая по формуле (С.7) Нормальное для каждой m-й операции, определяемый по формуле (С.5) для каждой m-й операции
0 (см. таблицу С.5) Нормальное 72 =
0 (см. раздел С.6) Нормальное 73 =
а) Ожидается, что значение может находиться в диапазоне от минус 1,0дБ до 0,5 дБ. Для простоты принято, что среднее значение = 0. Это учтено в .

С.2.3 Расчет вкладов в неопределенность измерения

Для стратегии измерения на основе рабочей операции значения коэффициентов чувствительности рассчитывают по формулам:

Стандартную неопределенность , характеризующую непостоянство шума при выполнении m-й операции, рассчитывают по формуле

где эквивалентный уровень звука при выполнении m-й операции, усредненный по результатам / выборочных измерений, т.е. = ;

i - номер выборочного измерения;

I - число выборочных измерений.

Стандартную неопределенность , характеризующую непостоянство продолжительности m-й операции, рассчитывают на основе независимых наблюдений (измерений) времени ее выполнения по формуле

где j - номер наблюдения продолжительности выполнения m-й операции;

J - общее число таких наблюдений.

Примечание - Если в результате анализа рабочей обстановки установлен диапазон возможных значений продолжительности выполнения m-й операции от до , то в качестве стандартной неопределенности можно принять = 0,5( - ).

С.3 Определение суммарной стандартной неопределенности для стратегии измерения на основе трудовой функции

С.3.1 Функциональная зависимость для стратегии измерения на основе трудовой функции

Формула расчета эквивалентного уровня звука за 8-часовой рабочий день , дБ, используемая для стратегии измерения на основе трудовой функции, имеет вид

где - эффективная длительность рабочего дня, ч;

- базовая длительность рабочего дня, равное 8 ч;

n - порядковый номер выборочного измерения;

N - число выборочных измерений.

- оценка эквивалентного уровня звука для n-го выборочного измерения , = + + , где - отклонение результата измерений, обусловленное применяемым средством измерений; - отклонение результата измерений, связанное с выбором места установки микрофона и направления его измерительной оси.

Примечание - Если отклонениями и можно пренебречь, то и формула (С.8) дает те же результаты, что формулы (11) и (12).

С.3.2 Вычисление суммарной стандартной неопределенности u

В предположении, что входные величины, влияющие на эквивалентный уровень звука за 8-часовой рабочий день , некоррелированны, суммарную стандартную неопределенность u() рассчитывают в соответствии с Руководством ИСО/МЭК 98-3 на основе коэффициентов чувствительности и стандартных неопределенностей входных величин (см. таблицу С.3) по формуле

Примечание - Инструментальная составляющая неопределенности предполагает возможный разброс результатов измерений при использовании разных средств измерений и, кроме того, включает в себя влияние нелинейности амплитудной характеристики средства измерений и частотной характеристики микрофона, влияние отклонения функции частотной коррекции от номинальной при разном входном звуковом сигнале, различия в углах падения звуковой волны.

С.3.3 Расчет вкладов в неопределенность измерения

Для стратегии измерения на основе трудовой функции вклад , определяемый по выборочным измерениям шума при выполнении работниками данной функции, находят по таблице С.4 в зависимости от числа выборочных измерений N и стандартной неопределенности измерения . Коэффициенты чувствительности и , определяющие влияние на неопределенность измерения средства измерения и выбора точки измерения (расположения микрофона), соответственно, определяют по формулам:

Таблица С.3 - Бюджет неопределенности для стратегии измерения на основе трудовой функции

Величина Полученное значение величины Стандартная неопределенность Распределение Коэффициент чувствительности Вклад в общую неопределенность дБ
Среднее (по энергии) результатов измерений определяемая по формуле (С.12) Нормальное (см. таблицу С.4)
0 (см. таблицу С.5) Нормальное = 1
0 (см. раздел С.6) Нормальное = 1
а) Ожидается, что значение может находиться в диапазоне от минус 1,0 дБ до 0,5 дБ. Для простоты принято, что среднее значение = 0. Это учтено в .

Вклад в суммарную стандартную неопределенность u фактора, характеризующего шумовую обстановку на рабочих местах, определяют по таблице С.4 на основе усреднения (по энергии) выборочных значений и оценивания стандартной неопределенности .

Таблица С.4 - Вклад в суммарную стандартную неопределенность, определяемый по выборке объема N значений для стратегий измерений на основе трудовой функции и рабочего дня

N Вклад для значений стандартной неопределенности величины , дБ
0,5 1 1,5 2 2,5 3 3,5 4 4,5 5 5,5 6
3 0,6 1,6 3,1 5,2 8,0 11,5 15,7 20,6 26,1 32,2 39,0 46,5
4 0,4 0,9 1,6 2,5 3,6 5,0 6,7 8,6 10,9 13,4 16,1 19,2
5 0,3 0,7 1,2 1,7 2,4 3,3 4,4 5,6 6,9 8,5 10,2 12,1
6 0,3 0,6 0,9 1,4 1,9 2,6 3,3 4,2 5,2 6,3 7,6 8,9
7 0,2 0,5 0,8 1,2 1,6 2,2 2,8 3,5 4,3 5,1 6,1 7,2
8 0,2 0,5 0,7 1,1 1,4 1,9 2,4 3,0 3,6 4,4 5,2 6,1
9 0,2 0,4 0,7 1,0 1,3 1,7 2,1 2,6 3,2 3,9 4,6 5,4
10 0,2 0,4 0,6 0,9 1,2 1,5 1,9 2,4 2,9 3,5 4,1 4,8
12 0,2 0,3 0,5 0,8 1,0 1,3 1,7 2,0 2,5 2,9 3,5 4,0
14 0,1 0,3 0,5 0,7 0,9 1,2 1,5 1,8 2,2 2,6 3,0 3,5
16 0,1 0,3 0,5 0,6 0,8 1,1 1,3 1,6 2,0 2,3 2,7 3,2
18 0,1 0,3 0,4 0,6 0,8 1,0 1,2 1,5 1,8 2,1 2,5 2,9
20 0,1 0,3 0,4 0,5 0,7 0,9 1,1 1,4 1,7 2,0 2,3 2,6
25 0,1 0,2 0,3 0,5 0,6 0,8 1,0 1,2 1,4 1,7 2,0 2,3
30 0,1 0,2 0,3 0,4 0,6 0,7 0,9 1,1 1,3 1,5 1,7 2,0

Стандартную неопределенность рассчитывают по формуле

где - эквивалентный уровень звукового давления для n-го выборочного измерения при выполнении заданной трудовой функции;

- среднее арифметическое по результатам N измерений эквивалентного уровня звука, т.е. =

n - номер выборочного измерения при выполнении заданной трудовой функции;

N - число выборочных измерений при выполнении заданной трудовой функции.

Если полученное по таблице С.4 значение 3,5 дБ (в таблице такие значения выделены полужирным шрифтом), то рекомендуется пересмотреть план измерений или скорректировать его таким образом, чтобы уменьшить значение (см. 10.4).

Примечание 1 - Строки таблицы для значений N = 3 и N = 4 используют только при выборе стратегии измерения на основе рабочего дня (см. раздел С.4).

Примечание 2 - При необходимости оценить достаточность запланированного объема измерений можно использовать приближенное значение , дБ, стандартной неопределенности , рассчитываемое для диапазона изменений от до по формуле

где

С.4 Расчет суммарной стандартной неопределенности для стратегии измерения на основе рабочего дня

Процедура расчета неопределенности измерения для стратегии на основе рабочего дня такая же, как для стратегии на основе трудовой функции. Таким образом, для вычислений суммарной стандартной неопределенности следует использовать бюджет неопределенности по таблице С.3, формулу (С.9) и таблицу С.4 для определения и получить значения и согласно разделам С.5 и С.6 соответственно.

С.5 Инструментальная неопределенность

Стандартную неопределенность (или для стратегии измерения на основе рабочей операции), обусловленную применяемым средством измерений, определяют в соответствии с таблицей С.5

Таблица С. 5 - Стандартная неопределенность

Применяемое средство измерений (), ДБ
Шумомер класса 1 по МЭК 61672 0,7
Персональный дозиметр шума по МЭК 61252 1,5
Шумомер класса 2 по МЭК 61672 1,5

Примечание 1 - Значения, приведенные в таблице С.5, следует применять только к измерениям эквивалентного уровня звука . Инструментальная неопределенность при измерениях может быть значительно выше.

Примечание 2 - Значение стандартной неопределенности (или ), приведенное в таблице С.5, получено по экспериментальным данным. Исследования показывают, что оно представительно для большинства практических измерительных задач.

Инструментальная неопределенность зависит от измеряемого шума и условий окружающей среды. Ее нельзя оценить непосредственно по значениям границ допуска, установленным стандартами МЭК 61672-1 и МЭК61252 с учетом расширенной неопределенности измерения. Если рассчитывать инструментальную неопределенность по допускам, установленным в указанных международных стандартах, то это даст значения больше тех, что приведены в таблице С.5.

С.6 Стандартная неопределенность , обусловленная выбором места установки микрофона

Стандартную неопределенность , связанную с выбором положения микрофона, принимают равной 1 дБ.

Примечание - Указанное значение получено по экспериментальным данным. Если работник носит микрофон на себе или если микрофон расположен близко к телу работника, то указанная составляющая неопределенности обусловлена экранирующим и отражающим эффектами тела. Если измерения проводят при отсутствии работника на рабочем месте, то данная составляющая неопределенности обусловлена тем, что выбранная точка измерения не точно соответствует положению головы работника при выполнении им рабочего задания (см. также 12.3 и 12.4).

Приложение D
(справочное)

ПРИМЕР РАСЧЕТА ЭКВИВАЛЕНТНОГО УРОВНЯ ЗВУКА ЗА 8-ЧАСОВОЙ РАБОЧИЙ ДЕНЬ ПРИ ИСПОЛЬЗОВАНИИ СТРАТЕГИИ ИЗМЕРЕНИЯ НА ОСНОВЕ РАБОЧЕЙ ОПЕРАЦИИ

D.1 Этап 1. Анализ рабочей обстановки

В примере рассматривается оценка шума на рабочем месте сварщика механической мастерской с использованием стратегии измерения на основе рабочей операции. Рабочий день сварщика включает в себя:

a) планирование работ (в малошумных условиях);

b) два периода резки, зачистки и сварки стальных листов;

c) обеденный перерыв (в данном случае обеденный перерыв рассматривается как составная часть рабочего дня);

d) планирование работ (в малошумных условиях);

e) два периода резки, зачистки и сварки стальных листов.

Все сварщики механической мастерской выполняют одну и ту же работу, поэтому их можно объединить в группу равного шумового воздействия.

Согласно информации, полученной от мастера участка, выполняемые сварщиком функции можно разделить на три рабочие операции: сварка, резка и зачистка и работу в малошумных условиях (перерывы и планирование работ).

Со слов сварщиков они тратят от 1 до 2 ч в день на операции резки и зачистки и от 4 до 6 ч в день на сварку. Остальную часть рабочего дня составляют перерывы и планирование работ. На основе этих данных значения стандартных неопределенностей продолжительностей операций приняты: 0,5 ч для резки и зачистки и 1 ч для сварки.

По собранным в ходе анализа рабочей обстановки сведениям определен номинальный день, как показано в таблице D.1.

D.2 Этап 2. Выбор стратегии измерения

Поскольку число операций, выполняемых сварщиком, ограничено, и каждая из них хорошо определена, рассматриваемая ситуация наилучшим образом подходит для выбора стратегии измерения на основе рабочей операции.

Таблица D.1 - Номинальный день сварщика

Рабочая операция Продолжительность, ч
Планирование работ, перерывы (малошумные условия) 1,5
Резка и зачистка 1,5
Сварка 5
Всего 8
Примечание - За продолжительность каждой операции принято среднее значение диапазона, указанного сварщиком и мастером участка.

D.3 Этап 3. Проведение измерений

Вклад шумового воздействия во время планирования работ и перерывов, в шумовое воздействие за день несущественно, поэтому для них достаточно выполнить несколько контрольных выборочных измерений и убедиться, что наблюдаемый уровень звука действительно пренебрежимо мал с точки зрения его учета в общем воздействии шума. В данном примере полученный (с запасом) эквивалентный уровень звука на периоде планирования работ (и перерывов) равен 70 дБ.

Поскольку оценка шумового воздействия от операций зачистки и сварки существенно зависит от положения уха работника по отношению к применяемому инструменту, измерения были проведены с применением персонального дозиметра шума.

Интервал измерений должен охватывать не менее трех рабочих циклов. Обследование рабочего места показало, что длительность измерения шума при выполнении операции зачистки должна быть не менее 7 мин, а для операции сварки - не менее 4 мин. Однако согласно 9.3 длительность измерения должна быть не менее 5 мин для каждой операции. Поэтому для операции сварки длительность измерений принята равной 5 мин.

В результате измерений были получены следующие значения.

Для планирования работ и перерывов: < 70 дБ.

Для сварки: = 80,1 дБ; = 82,2 дБ; = 79,6 дБ.

Для зачистки (резки): = 86,5 дБ; = 92,4 дБ; = 89,3 дБ.

Поскольку разброс значений, полученных при измерении во время зачистки и резки, превысил 3 дБ, для данной операции были выполнены три дополнительных измерения со следующими результатами:

= 93,2 дБ; = 87,8 дБ; = 86,2 дБ.

D.4 Этап 4. Проверка на ошибки

Наблюдения, проведенные во время измерений, показали отсутствие источников существенных рисков, которые могли бы привести к недостоверным результатам измерений.

D.5 Этап 5. Вычисления и представление результата измерения

D.5.1 Расчет эквивалентного уровня звука за 8-часовой рабочий день

Для каждой рабочей операции рассчитаны эквивалентные уровни звука по формуле (7). Так, для операции сварки расчет дал следующее значение

Аналогично для операции резки и зачистки было получено = 90,1 дБ.

Для периода планирования работ и перерывов изначально было определено, что = 70 дБ.

Вклад каждой операции в эквивалентный уровень звука за 8-часовой рабочий день был рассчитан по формуле (8), что дало следующие результаты:

а) для операции планирования работ и перерывов в работе

b) для операции сварки

с) для операции резки и зачистки

Эквивалентный уровень звука за 8-часовой рабочий день рассчитан по формуле (10)

D.5.2 Расчет суммарной стандартной неопределенности

Стандартная неопределенность , определяемая по выборочным измерениям в процессе сварки, рассчитана по формуле (С.6)

Аналогично получено значение стандартной неопределенности для операции резки и зачистки = 1,2 дБ. Стандартная неопределенность, соответствующая периоду планирования работ и перерывов, может быть принята равной нулю, поскольку данная операция не дает вклад в суммарную стандартную неопределенность u.

В измерениях был использован персональный дозиметр шума по МЭК 61252. Следовательно, инструментальная составляющая стандартной неопределенности , взятая из таблицы С.5, равна 1,5 дБ.

В соответствии с разделом С.6 стандартная неопределенность , обусловленная расположением микрофона, равна 1,0 дБ.

Коэффициенты чувствительности для всех трех входных величин (вариация уровня шума во время выполнения операции, средство измерений, положение микрофона) рассчитывают по формуле (С.4). Получены следующие значения коэффициентов чувствительности для разных операций.

Для планирования работ и перерывов:

Для сварки:

Для резки и зачистки:

Стандартная неопределенность эквивалентного уровня звука за 8-часовой рабочий день, обусловленная только неопределенностью измерения шума, может быть рассчитана по формуле (С.З), в которой опускают выражение в последних круглых скобках

Если дополнительно принять во внимание составляющую неопределенности, связанную с оценкой продолжительности каждой операции, то применение формулы (С.7) дает следующую оценку стандартной неопределенности для времени сварки:

Соответствующий коэффициент чувствительности рассчитывают по формуле (С.5). Для операции сварки он равен

Стандартная неопределенность , связанная с операцией резки и зачистки, будет равна 0,5 ч, а соответствующий коэффициент чувствительности - = 2,1 ( * ч).

Тогда применение формулы (С.3) для расчета суммарной стандартной неопределенности дает результат:

D.5.3 Заключение

Полученный эквивалентный уровень звука за 8-часовой рабочий день на рабочем месте сварщика механической мастерской равен 84,3 дБ со стандартной неопределенностью, равной 1,63 дБ без учета неопределенности измерения продолжительности выполнения рабочих операций и 1,95 дБ с учетом этого.

Приложение Е
(справочное)

ПРИМЕР РАСЧЕТА ЭКВИВАЛЕНТНОГО УРОВНЯ ЗВУКА ЗА 8-ЧАСОВОЙ РАБОЧИЙ ДЕНЬ ПРИ ИСПОЛЬЗОВАНИИ СТРАТЕГИИ ИЗМЕРЕНИЯ НА ОСНОВЕ ТРУДОВОЙ ФУНКЦИИ

Е.1 Общие положения

В примере рассматривается оценка шума на рабочем месте работника на поточной линии с использованием стратегии измерения на основе трудовой функции. На производстве имеется несколько автоматизированных линий без существенных отличий в условиях работы занятых на них работников.

Е.2 Этап 1. Анализ рабочей обстановки

Работники на поточной линии выполняют схожие функции: пуск линии, контроль ее работы и устранение неполадок. Эти функции включают в себя разные операции (например, загрузка сырья, наблюдение за производством, удаление готовой продукции, регулировка режима работы линии), однако в процессе анализа рабочей обстановки между этими операциями не было выявлено никакого различия с точки зрения воздействующего шума (от операции к операции шумовая обстановка оставалась для работников практически неизменной), и, кроме того, затруднение представляло определение продолжительности каждой операции. Восемнадцать работников, работающих в схожей шумовой обстановке, составили группу равного шумового воздействия. Эффективная длительность рабочего дня для этой группы была определена равной 7,5 ч.

Е.З Этап 2. Выбор стратегии измерения

Анализ работы группы показал отсутствие необходимости детального описания выполняемых ими рабочих операций. Как следствие, была принята стратегия измерения на основе трудовой функции.

Е.4 Этап 3. Проведение измерений

При выборе плана измерений во внимание были приняты следующие обстоятельства:

- общее время измерений для группы согласно таблице 1 должно быть не менее 10,75 ч;

- в указанный период времени должно быть выполнено не менее пяти выборочных измерений равной длительности.

Исходя из этого, было принято решение проводить шесть выборочных измерений длительностью два часа каждое.

При распределении шести измерений между членами группы на временном интервале выполнения работ было учтено, что:

a) измерения могут проводиться одновременно с использованием двух персональных дозиметров шума;

b) члены группы работали в две смены от 05:00 до 13:00 и от 13:00 до 21:00.

Из членов группы случайным образом были отобраны шесть работников. Измерения были запланированы следующим образом:

- день 1, утренняя смена, два работника, время измерений с 10:00 до 12:00 и с 10:30 до 12:30;

- день 2, утренняя смена, два работника, время измерений с 8:00 до 10:00 и с 8:30 до 10:30;

- день 2, вечерняя смена, два работника, время измерений с 14:00 до 16:00 и с 18:00 до 20:00.

Указанные измерения дали следующие значения , дБ:

88,1; 86,1; 89,7; 86,5; 91,1; 86,7.

Полученное по результатам шести измерений значение оказалось равным 137 дБ.

Е.5 Этап 4. Проверка на ошибки

Потенциальных источников ошибок выявлено не было.

Е.6 Этап 5. Вычисления и представление результата измерения

Е.6.1 Расчет эквивалентного уровня звука за 8-часовой рабочий день

Расчет по формуле (11) дал следующее значение

Принятое в качестве стандартной неопределенности выборочное стандартное отклонение по результатам повторных измерений составило 2,0 дБ [см. формулу (С.12) (приложение С)].

Вклад данного источника неопределенности в суммарную стандартную неопределенность определен по таблице С.4 для значений N = 6 и = 2,0 дБ: = 1,4 дБ.

Коэффициенты чувствительности для других источников неопределенности = = 1.

Для инструментальной составляющей неопределенности значение было взято из таблицы С.5: = 1,5 дБ (для персонального дозиметра шума).

Стандартная неопределенность, связанная с положением микрофона, согласно разделу С.6 была взята равной = 1,0 дБ.

По формуле (С.9) была рассчитана суммарная стандартная неопределенность

Е.6.2 Окончательный результат

Для данных значений эффективной длительности рабочего дня = 7,5 ч и эквивалентного уровня звука = 88,4 дБ эквивалентный уровень звука за 8-часовой рабочий день для группы равного шумового воздействия рассчитан по формуле (13)

Стандартная неопределенность и () = 2,3 дБ.

Е.6.3 Заключение

Эквивалентный уровень звука за 8-часовой рабочий день для группы равного шумового воздействия равен 88,1 дБ со стандартной неопределенностью измерений 2,3 дБ.

Приложение F
(справочное)

ПРИМЕР РАСЧЕТА ЭКВИВАЛЕНТНОГО УРОВНЯ ЗВУКА ЗА 8-ЧАСОВОЙ РАБОЧИЙ ДЕНЬ ПРИ ИСПОЛЬЗОВАНИИ СТРАТЕГИИ ИЗМЕРЕНИЯ НА ОСНОВЕ РАБОЧЕГО ДНЯ

F.1 Общие положения

В примере рассматривается использование стратегии измерения на основе рабочего дня (см. раздел 11) для определения эквивалентного уровня звука за 8-часовой рабочий день на рабочем месте водителя вилочного авто-погрузчика предприятия, занимающегося изготовлением и хранением проволочных канатов.

F.2 Этап 1. Анализ рабочей обстановки

Рабочие функции водителя вилочного автопогрузчика включают в себя транспортировку материалов-полуфабрикатов и готовой продукции на участках производства, хранения и отгрузки. В большой степени работа, выполняемая работником, зависит от заданий, которые ему дает мастер. Передвижения автопогрузчика осуществляются при разной нагрузке (полной, частичной, без груза) и по разным поверхностям. Большую часть времени водитель проводит в кабине автопогрузчика, но периодически покидает ее для получения инструкций от мастера и обсуждения производственных вопросов с другими работниками. Автопогрузчик имеет систему звукового оповещения о движении задним ходом, применение которой является обязательным.

На производстве занято три водителя вилочных автопогрузчиков, рабочая смена которых длится 10 ч, включая три перерыва по 20,45 и 20 мин. Два коротких перерыва могут быть использованы водителем в любое удобное для него время и в любом месте в пределах производственной зоны. Большой перерыв является обеденным, и водитель проводит его в столовой предприятия. Эффективная длительность рабочего дня составляет, таким образом, 9,25 ч.

Описание рабочей обстановки было составлено по наблюдениям и беседам с водителями и их мастерами. Принято решение, что три водителя вилочных автопогрузчиков составляют группу равного шумового воздействия (см. 7.2).

F.3 Этап 2. Выбор стратегии измерения

Поскольку картина рабочего дня водителя вилочного автопогрузчика является относительно сложной и малопредсказуемой, наиболее подходящей была признана стратегия измерения на основе рабочего дня.

F.4 Этап 3. Проведение измерений

F.4.1 План измерений

Вначале для каждого из водителей были проведены измерения в течение полного рабочего дня.

Измерения проводились с помощью калиброванного персонального дозиметра шума, в начале рабочей смены прикрепляемого к плечу водителей. Водители были проинструктированы о проводимых измерениях и предупреждены о необходимости выполнять работу обычным образом, не допуская прикосновений и иных воздействий на микрофон и дозиметр, и избегая ведения во время рабочего дня разговоров, не вызванных производственной необходимостью.

Во время двух коротких перерывов персональные дозиметры шума оставались на работниках и продолжали работать в установленном режиме. Воздействие шума во время обеденного перерыва было признано не относящимся к оценке шума на рабочем месте водителя, поэтому в начале обеденного перерыва оператор останавливал запись сигнала, переводя работу персонального дозиметра шума в режим паузы.

В конце рабочей смены оператор снимал персональный дозиметр шума с работника и вновь выполнял процедуру калибровки.

Поскольку установка и снятие персонального дозиметра шума в начале и в конце смены, а также проведение инструктажа работника требовали определенного времени, время, отведенное на измерения, было несколько меньшим, чем эффективная длительность рабочего дня. Тем не менее, длительность измерений была достаточной, чтобы охватить все события, значимые с точки зрения шумового воздействия на работника.

После первых трех измерений выяснилось, что расхождение в результатах составляет более 3 дБ. В связи с этим были проведены три дополнительных измерения, вновь в течение полного рабочего дня каждое, с использованием вышеописанной процедуры. Таким образом, общее число измерений было равно шести.

F.4.2 Наблюдение за действиями работников и контроль измерений

Чтобы оценить источники неопределенности, которые могли повлиять на результаты измерений, оператор периодически наблюдал за поведением каждого водителя и делал соответствующие записи.

Кроме того, в конце рабочей смены после снятия с работника персонального дозиметра шума оператор опрашивал работника с целью установить, в какой степени рабочий день можно было считать представительным, и выявить, выполнялись ли работником в течение рабочего дня какие-либо нетипичные задания и не случилось ли каких-либо происшествий, которые могли бы повлиять на полученный результат.

F.5 Этап 4. Проверка на ошибки

Потенциальных источников ошибок выявлено не было.

F.6 Этап 5. Вычисления и представление результата измерения

F.6.1 Результаты измерений

Результаты шести измерений показаны в таблице F.1.

Таблица F.1 - Результаты измерений

Водитель/День Эквивалентный уровень звука, дБ Длительность измерения t
1/1 88,0 8 ч 15 мин
2/1 91,8 8 ч 10 мин
3/1 87,6 8 ч 15 мин
1/2 90,4 8 ч 00 мин
2/2 89,0 8 ч 05 мин
3/2 88,4 8 ч 10 мин

Эквивалентный уровень звука при эффективной длительности рабочего дня 9,25 ч для группы равного шумового воздействия, составленной из водителей вилочных автопогрузчиков, рассчитан по формуле (11) усреднением по шести результатам измерений (см. таблицу F.1), что дало = 89,5 дБ.

Расчет эквивалентного уровня звука за 8-часовой рабочий день по формуле (13) дал

F.6.3 Расчет неопределенности измерения

Расширенная неопределенность U для стратегии измерения на основе рабочего дня было определена в соответствии с разделом С.3 (приложение С) следующим образом.

По формуле (С.12) определена стандартная неопределенность для

Определение по таблице С.4 вклада данной неопределенности при N = 6 и = 1,65 дБ дало = 1,0 дБ.

Для инструментальной составляющей неопределенности значение было взято из таблицы С.5: = 1,5 дБ (для персонального дозиметра шума).

Стандартная неопределенность, связанная с положением микрофона, согласно разделу С.6 была взята равной = 1,0 дБ.

Соответствующие коэффициенты чувствительности согласно таблице С.3 = = 1.

По формуле (С.9) была рассчитана суммарная стандартная неопределенность

F.6.4 Заключение

Три водителя вилочных автопогрузчиков на своем рабочем месте подвергаются шумовому воздействию с эквивалентным уровнем звука за 8-часовой рабочий день 90,1 дБ со стандартной неопределенностью 2,06 дБ.

Приложение ДА
(справочное)

СВЕДЕНИЯ О СООТВЕТСТВИИ ССЫЛОЧНЫХ МЕЖДУНАРОДНЫХ СТАНДАРТОВ НАЦИОНАЛЬНЫМ СТАНДАРТАМ РОССИЙСКОЙ ФЕДЕРАЦИИ И ДЕЙСТВУЮЩЕМУ В ЭТОМ КАЧЕСТВЕ МЕЖГОСУДАРСТВЕННОМУ СТАНДАРТУ

Таблица ДА.1

Обозначение ссылочного международного стандарта Степень соответствия Обозначение и наименование межгосударственного стандарта
ИСО 1999 - *
Руководство ИСО/МЭК 98-3 IDT ГОСТ Р 54500.3-2011 "Неопределенность измерения. Часть 3. Руководство по выражению неопределенности измерения"
МЭК 60942:2003 IDT ГОСТ Р МЭК 60942-2009 "Калибраторы акустические. Технические требования и требования к испытаниям"
МЭК 61252   *
МЭК 61672-1 MOD ГОСТ 17187-2010 "Шумомеры. Часть 1. Технические требования"
* Соответствующий национальный стандарт отсутствует. До его утверждения рекомендуется использовать перевод на русский язык данного международного стандарта. Перевод данного международного стандарта находится в Федеральном информационном фонде технических регламентов и стандартов.
Примечание - В настоящей таблице использованы следующие условные обозначения степени соответствия стандарта:
- IDT - идентичные стандарты;
- MOD - модифицированные стандарты.

Библиография

[1] ISO 4869-2, Acoustics - Hearing protectors - Part 2: Estimation of effective А-weighted sound pressure levels when hearing protectors are worn

[2] ISO 11200, Acoustics - Noise emitted by machinery and equipment - Guidelines for the use of basic standards for the determination of emission sound pressure levels at a work station and at other specified positions

[3] ISO 11201, Acoustics - Noise emitted by machinery and equipment - Measurement of emission sound pressure levels at a work station and at other specified positions in an essentially free field over a reflecting plane with negligible environmental corrections

[4] ISO 11202, Acoustics - Noise emitted by machinery and equipment - Measurement of emission sound pressure levels at a workstation and at other specified positions applying approximate environmental corrections

[5] ISO 11203, Acoustics - Noise emitted by machinery and equipment - Determination of emission sound pressure levels at a work station and at other specified positions from the sound power level

[6] ISO 11205, Acoustics - Noise emitted by machinery and equipment - Engineering method for the determination of emission sound pressure levels in situ at the work station and at other specified positions using sound intensity

[7] ISO 11904-1, Acoustics - Determination of sound immission from sound sources placed close to the ear- Part 1: Technique using a microphone in a real ear (MIRE technique)

[8] ISO 11904-2, Acoustics - Determination of sound immission from sound sources placed close to the ear- Part 2: Technique using a manikin

[9] ISO/TR 25417:2007, Acoustics - Definitions of basic quantities and terms

[10] EN 458:2004, Hearing protectors - Recommendations for selection, use, care and maintenance - Guidance document

[11] GRZEBYK, М., THIERY, L. Confidence intervals for the mean of sound exposure levels. Am. Indust. Hyg. Assoc. J. 2003, 64, pp. 640-645

[12] THIERY, L., OGNEDAL, T. Note about the statistical background of the methods used in ISO/DIS 9612 to estimate the uncertainty of occupational noise exposure measurements. Acta Acust. Acust. 2008, 94, pp. 331-334

УДК 534.322.3.08:658.382.3:006.354 ОКС 13.140 Т58 Ключевые слова: шум, рабочее место, измерения, стратегия измерения, эквивалентный уровень звука за 8-часовой рабочий день

www.gostinfo.ruinfo@gostinfo.ru