Приказ Ростехнадзора от 08.10.2014 N 453

"Об утверждении Административного регламента предоставления Федеральной службой по экологическому, технологическому и атомному надзору государственной услуги по лицензированию деятельности в области использования атомной энергии"
Редакция от 08.10.2014 — Не действует Перейти в действующую
Показать изменения

Зарегистрировано в Минюсте России 20 марта 2015 г. N 36496


ФЕДЕРАЛЬНАЯ СЛУЖБА ПО ЭКОЛОГИЧЕСКОМУ, ТЕХНОЛОГИЧЕСКОМУ И АТОМНОМУ НАДЗОРУ

ПРИКАЗ
от 8 октября 2014 г. N 453

ОБ УТВЕРЖДЕНИИ АДМИНИСТРАТИВНОГО РЕГЛАМЕНТА ПРЕДОСТАВЛЕНИЯ ФЕДЕРАЛЬНОЙ СЛУЖБОЙ ПО ЭКОЛОГИЧЕСКОМУ, ТЕХНОЛОГИЧЕСКОМУ И АТОМНОМУ НАДЗОРУ ГОСУДАРСТВЕННОЙ УСЛУГИ ПО ЛИЦЕНЗИРОВАНИЮ ДЕЯТЕЛЬНОСТИ В ОБЛАСТИ ИСПОЛЬЗОВАНИЯ АТОМНОЙ ЭНЕРГИИ

В соответствии с постановлением Правительства Российской Федерации от 16 мая 2011 г. N 373 "О разработке и утверждении административных регламентов исполнения государственных функций и административных регламентов предоставления государственных услуг" (Собрание законодательства Российской Федерации, 2011, N 22, ст. 3169; N 35, ст. 5092; 2012, N 28, ст. 3908; N 36, ст. 4903; N 50, ст. 7070; N 52, ст. 7507; 2014, N 5, ст. 506) приказываю:

Утвердить прилагаемый Административный регламент предоставления Федеральной службой по экологическому, технологическому и атомному надзору государственной услуги по лицензированию деятельности в области использования атомной энергии.

Врио руководителя
А.В. ФЕРАПОНТОВ

УТВЕРЖДЕН
приказом Федеральной службы по экологическому,
технологическому и атомному надзору
от 8 октября 2014 г. N 453

АДМИНИСТРАТИВНЫЙ РЕГЛАМЕНТ
ПРЕДОСТАВЛЕНИЯ ФЕДЕРАЛЬНОЙ СЛУЖБОЙ ПО ЭКОЛОГИЧЕСКОМУ, ТЕХНОЛОГИЧЕСКОМУ И АТОМНОМУ НАДЗОРУ ГОСУДАРСТВЕННОЙ УСЛУГИ ПО ЛИЦЕНЗИРОВАНИЮ ДЕЯТЕЛЬНОСТИ В ОБЛАСТИ ИСПОЛЬЗОВАНИЯ АТОМНОЙ ЭНЕРГИИ

I. Общие положения

Предмет регулирования регламента

1. Административный регламент предоставления Федеральной службой по экологическому, технологическому и атомному надзору государственной услуги по лицензированию деятельности в области использования атомной энергии (далее - Регламент) определяет порядок, сроки и последовательность административных процедур (действий) Федеральной службы по экологическому, технологическому и атомному надзору и территориальных органов Ростехнадзора, порядок взаимодействия между структурными подразделениями центрального аппарата и территориальных органов Ростехнадзора, их должностными лицами, взаимодействия Ростехнадзора и его территориальных органов с соискателями лицензии/лицензиатами, иными органами государственной власти и организациями при предоставлении государственной услуги по лицензированию деятельности в области использования атомной энергии.

2. Предметом регулирования Регламента являются отношения, возникающие между Ростехнадзором и юридическими лицами при предоставлении лицензий с установлением сроков и условий их действия, при переоформлении лицензий, внесении изменений в условия действия лицензий, возобновлении, прекращении действия, предоставлении дубликатов лицензий.

Круг заявителей

3. Заявителями являются эксплуатирующие организации <1>, а также организации, выполняющие работы и предоставляющие услуги в области использования атомной энергии, обратившиеся в Ростехнадзор с заявлением о предоставлении лицензии (соискатели лицензии) и эксплуатирующие организации, а также организации, выполняющие работы и предоставляющие услуги в области использования атомной энергии, имеющие лицензию (лицензиаты).

<1> Статья 34 Федерального закона от 21 ноября 1995 г. N 170-ФЗ "Об использовании атомной энергии" (Собрание законодательства Российской Федерации, 1995, N 48, ст. 4552; 1997, N 7, ст. 808; 2001, N 29, ст. 2949; 2002, N 1, ст. 2; 2002, N 13, ст. 1180; 2003, N 46, ст. 4436; 2004, N 35, ст. 3607; 2006, N 32, ст. 5498; 2007, N 7, ст. 834; N 49, ст. 6079; 2008, N 29, ст. 3418; N 30, ст. 3616; 2009, N 1, ст. 17; N 52, ст. 6450; 2011, N 29, ст. 4281, N 30, ст. 4590, ст. 4596, N 45, ст. 6333, N 48, ст. 6732, N 49, ст. 7025; 2012, N 26, ст. 3446; 2013, N 27, ст. 3451)

Требования к порядку информирования о предоставлении государственной услуги

4. Информирование о порядке предоставления государственной услуги осуществляется:

непосредственно в помещениях структурного подразделения Ростехнадзора, ответственного за работу с соискателями лицензии/лицензиатами;

посредством средств телефонной связи и электронного информирования;

посредством Федеральной государственной информационной системы "Единый портал государственных и муниципальных услуг (функций)" (далее - ЕПГУ);

посредством размещения в информационно-телекоммуникационных сетях общего пользования, в том числе на официальном сайте Ростехнадзора в информационно-телекоммуникационной сети "Интернет";

посредством публикации в средствах массовой информации, изданиях информационных материалов (брошюр, буклетов).

5. На официальном сайте Ростехнадзора, на ЕПГУ, на информационных стендах в помещениях Ростехнадзора и его территориальных органов размещаются:

текст Регламента с приложениями;

перечень документов, представляемых соискателем лицензии для предоставления лицензии с установлением срока и условий ее действия, лицензиатом для переоформления лицензии, возобновления, прекращения действия лицензии, внесения изменений в условия действия лицензии, предоставления дубликата лицензии;

график (режим) работы с соискателями лицензии/лицензиатами; банковские реквизиты для уплаты государственной пошлины. Информационные стенды оборудуются при входе в здания Ростехнадзора по адресам 105066, Москва, ул. А. Лукьянова, д. 4, стр. 1 и 109147, Москва, ул. Таганская, д. 34, стр. 1.

6. В рамках предоставления государственной услуги должностные лица центрального аппарата и (или) территориального органа Ростехнадзора рассматривают обращения по вопросам:

разъяснения прав и обязанностей должностных лиц, ответственных за предоставление государственной услуги;

разъяснения прав и обязанностей соискателей лицензии/лицензиатов; порядка и сроков проведения лицензирования деятельности в области использования атомной энергии;

порядка обжалования действий (бездействия) и решений должностных лиц центрального аппарата или территориального органа Ростехнадзора, принятых в ходе предоставления государственной услуги.

7. Адреса центрального аппарата Ростехнадзора:

105066, Москва, ул. Александра Лукьянова, д. 4, стр. 1;

109147, Москва, ул. Таганская, д. 34, стр. 1.

Адрес официального сайта Ростехнадзора в информационно-телекоммуникационной сети "Интернет": www.gosnadzor.ru.

Адрес электронной почты rostehnadzor@gosnadzor.ru.

Информация о месте нахождения, контактных телефонах, официальных сайтах, адресах электронной почты территориальных органов Ростехнадзора приведена в приложении N 1 к Регламенту.

8. График (режим) работы центрального аппарата Ростехнадзора:

понедельник, вторник, среда и четверг - с 9 часов 00 минут до 18 часов 00 минут;

пятница - с 9 часов 00 минут до 16 часов 45 минут.

Графики работы территориальных органов Ростехнадзора приведены в приложении N 1 к Регламенту.

Телефон справочной службы Ростехнадзора: (499) 532-13-29.

Справочные телефоны структурных подразделений территориальных органов Ростехнадзора, ответственных за работу с соискателями лицензии/лицензиатами, указаны на официальных сайтах территориальных органов Ростехнадзора, приведенных в приложении N 1 к Регламенту.

II. Стандарт предоставления государственной услуги

Наименование государственной услуги

9. Государственная услуга по лицензированию деятельности в области использования атомной энергии.

Наименование федерального органа исполнительной власти, предоставляющего государственную услугу

10. Федеральный орган исполнительной власти, предоставляющий государственную услугу - Федеральная служба по экологическому, технологическому и атомному надзору. Разграничение полномочий при предоставлении государственной услуги между центральным аппаратом Ростехнадзора и его территориальными органами приведено в приложении N 2 к Регламенту.

Координирующие и ответственные подразделения Ростехнадзора или его территориальных органов при предоставлении государственной услуги назначаются приказом руководителя Ростехнадзора или приказами руководителей территориальных органов Ростехнадзора.

11. Территориальные органы Ростехнадзора предоставляют государственную услугу по лицензированию деятельности в области использования атомной энергии в пределах предоставленных им полномочий на территориях субъектов Российской Федерации. Юридические лица, зарегистрированные в соответствующем субъекте Российской Федерации, подают заявления о предоставлении лицензий на осуществление видов деятельности, лицензирование которых в соответствии с разграничением полномочий отнесено к полномочиям территориальных органов, в соответствующий территориальный орган. Перечень субъектов Российской Федерации, на территории которых территориальные органы Ростехнадзора предоставляют государственную услугу по лицензированию деятельности в области использования атомной энергии приведен в приложении N 1 к Регламенту.

Запрещается требовать от соискателя лицензии/лицензиата осуществления действий, в том числе согласований, необходимых для получения государственной услуги и связанных с обращением в иные государственные органы и организации, за исключением получения услуг, включенных в перечень услуг, которые являются необходимыми и обязательными для предоставления государственных услуг, утвержденный постановлением Правительства Российской Федерации от 6 мая 2011 г. N 352 "Об утверждении перечня услуг, которые являются необходимыми и обязательными для предоставления федеральными органами исполнительной власти государственных услуг и предоставляются организациями, участвующими в предоставлении государственных услуг, и определение размера платы за их оказание" (Собрание законодательства Российской Федерации, 2011, N 20, ст. 2829; 2012, N 14, ст. 1655, N 36, ст. 4922; 2013, N 33, ст. 4382; N 49, ст. 6421, N 52, ст. 7207; 2014, N 21, ст. 2712).

Описание результата предоставления государственной услуги

12. Результатами предоставления государственной услуги по лицензированию деятельности в области использования атомной энергии являются:

1) предоставление лицензии соискателю лицензии с установлением срока и условий ее действия;

2) отказ в предоставлении лицензии соискателю лицензии;

3) внесение изменений в условия действия лицензии (далее - УДЛ);

4) отказ во внесении изменений в УДЛ;

5) прекращение действия лицензии;

6) переоформление лицензии;

7) отказ в переоформлении лицензии;

8) возобновление действия лицензии;

9) отказ в возобновлении действия лицензии;

10) предоставление лицензиату дубликата лицензии.

Срок предоставления государственной услуги

13. Срок предоставления государственной услуги по лицензированию деятельности в области использования атомной энергии без учета сроков организации и проведения экспертизы представленных соискателем лицензии/лицензиатом документов, обосновывающих обеспечение ядерной и радиационной безопасности ядерных установок, радиационных источников, пунктов хранения ядерных материалов, радиоактивных веществ, хранилищ радиоактивных отходов и (или) заявленной деятельности, а также при условии своевременного представления федеральными органами исполнительной власти документов, запрошенных Ростехнадзором в рамках предоставления государственной услуги, не должен превышать 95 рабочих дней.

14. Сроки выполнения отдельных административных процедур при предоставлении государственной услуги:

а) выполнение административной процедуры по рассмотрению заявления о предоставлении лицензии, включая предварительную проверку перечня прилагаемых к заявлению документов и соблюдения установленных законодательством Российской Федерации правил их оформления - в течение 15 рабочих дней со дня его регистрации;

б) выполнение административной процедуры по рассмотрению документов, представленных для получения лицензии - в течение 30 рабочих дней без учета времени, необходимого для выбора соискателем лицензии экспертной организации, а также без учета сроков проведения экспертизы безопасности (экспертизы обоснования безопасности) объекта использования атомной энергии и (или) лицензируемого вида деятельности;

в) выполнение административной процедуры по принятию решения о выдаче или об отказе в выдаче лицензии - в течение 30 рабочих дней со дня завершения экспертизы безопасности (экспертизы обоснования безопасности) объекта использования атомной энергии и (или) лицензируемого вида деятельности;

г) выполнение административной процедуры по предоставлению лицензии с установлением срока и условий ее действия - в течение 20 рабочих дней со дня принятия решения о предоставлении лицензии;

д) если заявление соискателя лицензии касается предоставления совмещенной лицензии, то продолжительность процедуры рассмотрения документов увеличивается прямо пропорционально количеству видов деятельности и объектов.

Перечень нормативных правовых актов, регулирующих отношения, возникающие в связи с предоставлением государственной услуги, с указанием их реквизитов и источников официального опубликования

15. Предоставление государственной услуги осуществляется в соответствии со следующими нормативными правовыми актами:

Конвенцией о ядерной безопасности от 17 июня 1994 г., подписанной в городе Вена 21 сентября 1994 года (постановление Правительства Российской Федерации от 20 сентября 1994 г. N 1069 "О подписании Конвенции о ядерной безопасности" (Собрание законодательства Российской Федерации, 1994, N 22, ст. 2510), принятой постановлением Правительства Российской Федерации от 3 апреля 1996 г. N 377 "О принятии Конвенции о ядерной безопасности" (Собрание законодательства Российской Федерации, 1996, N 15, ст. 1622) (Бюллетень международных договоров, 2007, N 9);

Объединенной конвенцией о безопасности обращения с отработавшим топливом и о безопасности обращения с радиоактивными отходами от 5 сентября 1997 г. (подписанной от имени Российской Федерации в городе Вена 27 января 1999 года, ратифицированной Федеральным законом от 4 ноября 2005 г. N 139-ФЗ "О ратификации Объединенной конвенции о безопасности обращения с отработавшим топливом и о безопасности обращения с радиоактивными отходами". Собрание законодательства Российской Федерации, 2005, N 45, ст. 4587; 2006, N 18, ст.1908);

Федеральным законом от 22 июля 2008 г. N 130-ФЗ "О принятии Поправки к Конвенции о физической защите ядерного материала" (Собрание законодательства Российской Федерации, 2008, N 30, ст. 3586);

Гражданским кодексом Российской Федерации (часть первая) от 30 ноября 1994 г. N 51-ФЗ (Собрание законодательства Российской Федерации, 1994, N 32, ст. 3301; 1996, N 9, ст. 773; N 34, ст. 4026; 1999, N 28, ст. 3471; 2001, N 17, ст. 1644; N 21, ст. 2063; 2002, N 12, ст. 1093; N 48, ст. 4737,ст. 4746; 2003, N 2, ст. 167; N 52, ст. 5034; 2004, N 27, ст. 2711; N 31, ст. 3233; 2005, N 1, ст. 18, ст. 39, ст. 43; N 27, ст. 2722, N 30, ст. 3120; 2006, N 2, ст. 171; N з, ст. 282; N 23, ст. 2380; N 27, ст. 2881; N 31, ст. 3437; N 45, ст. 4627; N 50, ст. 5279; N 52, ст. 5497, ст. 5498; 2007, N 1, ст. 21; N 7, ст. 834, N 27,ст. 3213; N 31, ст. 3993; N 41, ст. 4845; N 49, ст. 6079; N 50, ст. 6246; 2008, N 17, ст. 1756; N 20, ст. 2253; N 29, ст. 3418; N 30, ст. 3597; N > 30, ст. 3616, ст. 3617; 2009, N 1, ст. 14, ст. 19, ст. 20, ст. 23; N 7, ст. 775; N 26, ст. 3130; N 29, ст. 3582, ст. 3618; N 52, ст. 6428; 2010, N 19, ст. 2291; N 31, ст. 4163; 2011, N 7, ст. 901; N 15, ст. 2038; N 49, ст. 7041; N 50, ст. 7335, ст. 7347; 2012, N 29, ст. 4167; N 50, ст. 6954, ст. 6963; N 53, ст. 7607, ст. 7627; 2013, N 7, ст. 609, N 19, ст. 2327, N 26, ст. 3207, N 27, ст. 3434 N 27, ст. 3459 N 30, ст. 4078, N 44, ст. 5641, N 51, ст. 6687; 2014, N 11, ст. 1100, N 19, ст. 2304, ст. 2334);

Налоговым кодексом Российской Федерации от 5 августа 2000 г. N 117-ФЗ (часть вторая) (Собрание законодательства Российской Федерации, 2000, N 32, ст. 3341, 2001, N 1, ст. 18; N 23, ст. 2289; N 33, ст. 3413, ст. 3421, ст. 3429; N 49, ст. 4554, ст. 4564; N 53, ст. 5015, ст. 5023; 2002, N 1, ст. 4; N 22, ст. 2026; N 30, ст. 3021, ст. 3027; N 52, ст. 5132, ст. 5138; 2003, N 1, ст. 2, ст. 5, ст. 6, ст. 8; N 19, ст. 1749; N 21, ст. 1958; N 23, ст. 2174; N 26, ст. 2567; N 27, ст. 2700; N 28, ст. 2874, ст. 2879, ст. 2886; N 46, ст. 4435, ст. 4443, ст. 4444; N 50, ст. 4849; N 52, ст. 5030, ст. 5038; 2004, N 15, ст. 1342; N 27, ст. 2711, ст. 2713, ст. 2715; N 30, ст. 3083, ст. 3084, ст. 3088; N 31, ст. 3219, ст. 3220, ст. 3222, ст. 3231; N 34, ст. 3517, ст. 3518, ст. 3520, ст. 3522, ст. 3523, ст. 3524, ст. 3525, ст. 3527; N 35, ст. 3607; N 41, ст. 3994; N 45, ст. 4377; N 49, ст. 4840; 2005, N 1, ст. 9, ст. 29, ст. 30, ст. 34, ст. 38; N 21, ст. 1918; N 23, ст. 2201; N 24, ст. 2312; N 25, ст. 2427, ст. 2428, ст. 2429; N 27, ст. 2707, ст. 2710, ст. 2717; N 30, ст. 3101, ст. 3104, ст. 3112, ст. 3117, ст. 3118, ст. 3128, ст. 3129, ст. 3130; N 43, ст. 4350; N 50, ст. 5246; N 52, ст. 5581; 2006, N 1, ст. 12, ст. 16; N 3, ст. 280; N 10, ст. 1065; N 12, ст. 1233; N 23, ст. 2380, ст. 2382; N 27, ст. 2881; N 30, ст. 3295; N 31, ст. 3433, ст. 3436, ст. 3443, ст. 3450, ст. 3452; N 43, ст. 4412; N 45, ст. 4627, ст. 4628, ст. 4629, ст. 4630; N 47, ст. 4819; N 50, ст. 5279, ст. 5286, ст. 5498; 2007, N 1, ст. 7, ст. 20, ст. 31, ст. 39; N 13, ст.1465; N 21, ст. 2461, ст. 2462, ст. 2463; N 22, ст. 2563, ст. 2564, ст. 2565; N 23, ст.2691; N 31, ст. 3991, ст. 3995, ст. 4013; N 45, ст. 5416, ст. 5417, ст. 5432; N 46, ст. 5553, ст. 5554, ст. 5557; N 49, ст. 6045, ст. 6046, ст. 6071; N 50, ст. 6237, ст. 6245, ст. 6246; 2008, N 18, ст. 1942; N 26, ст. 3022; N 27, ст. 3126; N 30, ст. 3577, ст. 3591, ст. 3598, ст. 3611, ст. 3614, ст. 3616; N 42, ст. 4697; N 48, ст. 5500, ст. 5503, ст. 5504, ст. 5519; N 49, ст. 5723, ст. 5749; N 52, ст. 6218, ст. 6219, ст. 6227, ст. 6236, ст. 6237; 2009; N 1, ст. 13, ст. 19, ст. 21, ст. 22, ст. 31; N 11, ст. 1265; N 18, ст. 2147; N 23, ст. 2772, ст. 2775; N 26 ст. 3123; N 29, ст. 3582, ст. 3598, ст. 3602, ст. 3625, ст. 3638, ст. 3639, ст. 3641, ст. 3642; N 30, ст. 3735, ст. 3739; N 39, ст. 3574; N 44, ст. 5171; N 45, ст. 5271, N 48, ст. 5711, ст. 5725, ст. 5726, ст. 5731, ст. 5732, ст. 5733, ст. 5734, ст. 5737; N 49, ст. 5409; N 51, ст. 6153, ст. 6155; N 52, ст. 6444, ст. 6450, ст. 6455; 2010, N 15, ст. 1737, ст. 1746, N 18, ст. 2145; N 19, ст. 2291; N 21, ст. 2524; N 23, ст. 2797; N 25, ст. 3070, N 28, ст. 3553; N 31, ст. 4176, ст. 4186, ст. 4198; N 32, ст. 4298; N 40, ст. 4969; N 45, ст. 5750, ст. 5756; N 46, ст. 5918, N 47, ст. 6034; N 48, ст. 6247, ст. 6248, ст. 6249, ст. 6250, ст. 6251; 2011, N 1, ст. 7, ст. 9, ст. 21, ст. 31; N 11, ст. 1492, N 17, ст. 2311, ст. 2318; N 23, ст. 3262, ст. 3264, ст. 3265; N 24, ст. 2357; N 26,ст. 3652; N 27, ст. 3881; N 29, ст. 4291; N 30, ст. 4563, ст. 4566, ст. 4575, ст. 4583, ст. 4587, ст. 4593, ст. 4596, ст. 4597, ст. 4606; N 45, ст. 6335; N 47, ст. 6610, ст. 6611; N 48, ст. 6729, ст. 6731; N 49, ст. 7014, ст. 7016, ст. 7037, ст. 7043, ст. 7070; N 50, ст. 7349, ст. 7359; 2012, N 10, ст. 1164, N 14, ст. 1545, N 18, ст. 2128, N 19, ст. 2281, N 24, ст. 3066, N 25, ст. 3268, N 26, ст. 3447, N 27, ст. 3587, ст. 3588, N 29, ст. 3980, N 31, ст. 4319, ст. 4322, ст. 4334, N 41, ст. 5526, ст. 5527, N 49, ст. 6747, ст. 6748, ст. 6749, ст. 6750, ст. 6751, N 50, ст. 6958, ст. 6968, N 53, ст. 7578, N 53, ст. 7584, N 53, ст. 7596, N 53, ст. 7603, ст. 7604, ст. 7607, ст. 7619; 2013, N 9, ст. 874, 2013, N 14, ст. 1647, N 19, ст. 2321, N 23, ст. 2866, N 23, ст. 2888, N 23, ст. 2889, N 26, ст. 3207, N 27, ст. 3444, N 30, ст. 4031, N 30, ст. 4045, N 30, ст. 4046, N 30, ст. 4047, ст. 4048, ст. 4049, ст. 4081, N 30, ст. 4084, N 40, ст. 5033, N 40, ст. 5037, N 40, ст. 5038, ст. 5039, N 44, ст. 5640, N 44, ст. 5645, N 44, ст. 5646, N 48, ст. 6165, N 49, ст. 6335, N 51, ст. 6699, N 52, ст. 6981, N 52, ст. 6985; 2014, N 14, ст. 1544, N 16, ст. 1835, N 16, ст. 1838, N 19, ст. 2314, N 23, ст. 2936, ст. 2938, N 26, ст. 3372, ст. 3373, ст. 3393, ст. 3404, N 30, ст. 4222, ст. 4240, ст. 4245) (далее - Налоговый кодекс Российской Федерации);

Кодексом Российской Федерации об административных правонарушениях от 30 декабря 2001 г. N 195-ФЗ (Собрание законодательства Российской Федерации, 2002, N 1, ст. 1; N 18, ст. 1721; N 30, ст. 3029; N 44, ст. 4295, ст. 4298; 2003, N 1, ст. 2; N 27, ст. 2700, ст. 2708, ст. 2717; N 46, ст. 4434, ст. 4440; N 50, ст. 4847, ст. 4855; N 52, ст. 5037; 2004, N 19, ст. 1838; N 30, ст. 3095; N 31, ст. 3229; N 34, ст. 3529, ст. 3533; N 44, ст. 4266; 2005, N 1, ст. 9, ст. 13, ст. 37, ст. 40, ст. 45; N 10, ст. 762, ст. 763; N 13, ст. 1077, ст. 1079; N 17, ст. 1484; N 19, ст.1752; N 25, ст. 2431; N 27, ст. 2719, ст. 2721; N 30, ст. 3104, ст. 3124, ст. 3131; N 40, ст. 3986; N 50, ст. 5247; N 52, ст. 5574, ст. 5596; 2006, N 1, ст. 4, ст. 10; N 2, ст. 172, ст. 175; N 6, ст. 636; N 10, ст. 1067; N 12, ст. 1234; N 17, ст. 1776; N 18, ст. 1907; N 19, ст. 2066; N 23, ст. 2380, ст. 2385; N 28, ст. 2975; N 30, ст. 3287; N 31, ст. 3420, ст. 3432, ст. 3433, ст. 3438, ст. 3452; N 43, ст. 4412; N 45, ст. 4633, ст. 4634, ст. 4641; N 50, ст. 5279, ст. 5281; N 52, ст. 5498; 2007, N 1, ст. 21, ст. 25 ст. 29, ст. 33; N 7, ст. 840; N 15 ст. 1743; N 16, ст. 1824, ст. 1825; N 17, ст. 1930; N 20, ст. 2367; N 21, ст. 2456; N 26, ст. 3089; N 30, ст. 3755; N 31, ст. 4001, ст. 4007, ст. 4008, ст. 4009, ст. 4015, N 41, ст. 4845; N 43, ст. 5084; N 46, ст. 5553; N 49, ст. 6034, ст. 6065; N 50, ст. 6246; 2008, N 10, ст. 896; N 18, ст. 1941; N 20, ст. 2251, ст. 2259; N 29, ст. 3418; N 30, ст. 3582, ст. 3601, ст. 3604; N 45, ст. 5143; N 49, ст. 5738, ст. 5745, ст. 5748; N 52, ст. 6227, ст. 6235, ст. 6236, ст. 6248; 2009, N 1, ст. 17; N 7, ст. 771, ст. 777; N 19, ст. 2276; N 23, ст. 2759, ст. 2767, ст. 2776; N 26, ст. 3120, ст. 3122, ст. 3131, ст. 3132; N 29, ст. 3597, ст. 3599, ст. 3635, ст. 3642; N 30, ст. 3735, ст. 3739; N 45, ст. 5265, ст. 5267; N 48, ст. 5711, ст. 5724, ст. 5755; N 52, ст. 6406, ст. 6412; 2010, N 1, ст. 1; N 11, ст. 1169, ст. 1176; N 15, ст. 1743, ст. 1751; N 18, ст. 2145; N 19, ст. 2291; N 21, ст. 2524, ст. 2525, ст. 2526, ст. 2530; N 23, ст. 2790; N 25, ст. 3070; N 27, ст. 3416, ст. 3429; N 28, ст. 3553; N 30, ст. 4000, ст. 4002, ст. 4005, ст. 4006, ст. 4007; N 29, ст. 3983; N 31, ст. 4155, ст. 4158, ст. 4164, ст. 4191, ст. 4192, ст. 4193, ст. 4195, ст. 4198, ст. 4206, ст. 4207, ст. 4208; N 32, ст. 4298; N 41, ст. 5192, ст. 5193; N 46, ст. 5918; N 49, ст. 6409; N 50, ст. 6605; N 52, ст. 6984, ст. 6995, ст. 6996; 2011, N 1, ст. 10, ст. 23, ст. 29, ст. 33, ст. 47, ст. 54; N 7, ст. 901, ст. 905; N 15, ст. 2039, ст. 2041; N 17, ст. 2310, ст. 2312; N 19, ст. 2714, ст. 2715, ст. 2769; N 23, ст. 3260, ст. 3267; N 27, ст. 3873, ст. 3881; N 29, ст. 4284, ст. 4289, ст. 4290, ст. 4291, ст. 4298; N 30, ст. 4573, ст. 4574, ст. 4584, ст. 4585, ст. 4590, ст. 4591, ст. 4598, ст. 4600, ст. 4601, ст. 4605; N 45, ст. 6325, ст. 6326, ст. 6334; N 46, ст. 6406; N 47, ст. 6601, ст. 6602; N 48, ст. 6728, ст. 6730, ст. 6732; N 49, ст. 7025, ст. 7042, ст. 7056, ст. 7061; N 50, ст. 7342, ст. 7345, ст. 7346, ст. 7351, ст. 7352, ст. 7355, ст. 7362, ст. 7366; 2012, N 6, ст. 621; N 10, ст. 1166; N 15, ст. 1723, ст. 1724; N 18, ст. 2126, ст. 2128; N 19, ст. 2278, ст. 2281; N 24, ст. 3068, ст. 3069, ст. 3082; N 25, ст. 3268; N 29, ст. 3996; N 31, ст. 4320, ст. 4322, ст. 4329, ст. 4330, N 41, ст. 5523; N 47, ст. 6402, ст. 6403, ст. 6404, ст. 6405; N 49, ст. 6752, ст. 6757; N 50, ст. 6967; N 53, ст. 7577, ст. 7580, ст. 7602, ст. 7639, ст. 7640, ст. 7641, ст. 7643; 2013, N 4, ст. 304, N 8, ст. 717, ст. 718, ст. 719, ст. 720; N 14, ст. 1641, ст. 1642, ст. 1651, ст. 1657, ст. 1658, ст. 1666; N 19, ст. 2307, ст. 2318, ст. 2325; N 23, ст. 2871, ст. 2875; N 26, ст. 3207, ст. 3208, ст. 3209; N 27, ст. 3442, ст. 3454, ст. 3458, ст. 3465, ст. 3469, ст. 3470, ст. 3477, ст. 3478; N 30, ст. 4025, ст. 4026, ст. 4027, ст. 4028, ст. 4029, ст. 4031, ст. 4030, ст. 4032, ст. 4033, ст. 4034, ст. 4035, ст. 4036, ст. 4040, ст. 4044, ст.4059, ст. 4078, ст. 4081, ст. 4082; N 31, ст. 4191; N 40, ст. 5032; N 43, ст. 5443, ст. 5444, ст. 5445, ст. 5446, ст. 5452; N 44, ст. 5624, ст. 5633, ст. 5643, ст. 5644; N 48, ст. 6158, ст. 6159, ст. 6161, ст. 6163, ст. 6164, ст. 6165; N 49, ст. 6327, ст. 6341, ст. 6342, ст. 6343, ст. 6344, ст. 6345; N 51, ст. 6683, ст. 6685, ст. 6695, ст. 6696; N 52, ст. 6948, ст. 6961, ст. 6981, ст. 6994, ст. 6995 ст. 6999, ст. 7002, ст. 7010; 2014, N 6, ст. 557, ст. 558, ст. 559, ст. 566; N 10, ст. 1087; N 11, ст. 1092, ст. 1096, ст. 1097, ст. 1098; N 14, ст. 1553, ст. 1561, ст. 1562; N 16, ст. 1834, ст. 1921; N 19, ст. 2302, ст. 2306, ст. 2310, ст. 2317, ст. 2324, ст. 2325, ст. 2326, ст. 2327, ст. 2330, ст. 2333, ст. 2335; N 23, ст. 2927, ст. 2928; N 26, ст. 3366, ст. 3368, ст. 3377, ст. 3379; N 30, ст. 4211, ст. 4214, ст. 4218, ст. 4224, ст. 4228, ст. 4233, ст. 4244, ст. 4248, ст. 4259, ст. 4264, ст. 4278) (далее - КоАП);

Федеральным законом от 21 ноября 1995 г. N 170-ФЗ "Об использовании атомной энергии" (Собрание законодательства Российской Федерации, 1995, N 48, ст. 4552; 1997, N 7, ст. 808; 2001, N 29, ст. 2949; 2002, N 1, ст. 2; 2002, N 13, ст. 1180; 2003, N 46, ст. 4436; 2004, N 35, ст. 3607; 2006, N 32, ст. 5498; 2007, N 7, ст. 834; N 49, ст. 6079; 2008, N 29, ст. 3418; N 30, ст. 3616; 2009, N 1, Ст. 17; N 52, ст. 6450; 2011, N 29, ст. 4281, N 30, ст. 4590, ст. 4596, N 45, ст. 6333, N 48, ст. 6732, N 49, ст. 7025; 2012, N 26, ст. 3446; 2013, N 27, ст. 3451) (далее - Федеральный закон "Об использовании атомной энергии");

Федеральным законом от 11 июля 2011 г. N 190-ФЗ "Об обращении с радиоактивными отходами и о внесении изменений в отдельные законодательные акты Российской Федерации" (Собрание законодательства Российской Федерации, 2011, N 29, ст. 4281; 2013, N 27, ст. 3480) (далее - Федеральный закон "Об обращении с радиоактивными отходами и о внесении изменений в отдельные законодательные акты Российской Федерации");

Федеральным законом от 26 декабря 2008 г. N 294-ФЗ "О защите прав юридических лиц и индивидуальных предпринимателей при осуществлении государственного контроля (надзора) и муниципального контроля" (Собрание законодательства Российской Федерации, 2008, N 52, ст. 6249; 2009, N 18, ст. 2140; N 29, ст. 3601; N 48, ст. 5711; N 52, ст. 6441; 2010, N 17, ст. 1988; N 18, ст. 2142; N 31, ст. 4160, ст. 4193, ст. 4196; N 32, ст. 4298; 2011, N 1, ст. 20; N 7, ст. 905; N 17, ст. 2310; N 23, ст. 3263; N 27, ст. 3880; N 30, ст. 4590; N 48, ст. 6728; 2012, N 19, ст. 2281; N 26, ст. 3446; N 31, ст. 4320, ст. 4322; N 47, ст. 6402; 2013, N 9, ст. 874) (далее - Федеральный закон "О защите прав юридических лиц и индивидуальных предпринимателей при осуществлении государственного контроля (надзора) и муниципального контроля");

Федеральным законом от 2 октября 2007 г. N 229-ФЗ "Об исполнительном производстве" (Собрание законодательства Российской Федерации, 2007, N 41, ст. 4849; 2008, N 20, ст. 2251; 2009, N 1, ст. 14; N 23, ст. 2761; N 29, ст. 3642; N 39, ст. 4539, ст. 4540; N 51, ст. 6162; 2010, N 31, ст. 4182; 2011, N 7, ст. 905; N 17, ст. 2312; N 27, ст. 3873; N 29, ст. 4287; N 30, ст. 4573, ст. 4574; N 48, ст. 6728; N 49, ст. 7014, ст. 7041, ст. 7061, ст. 7067; N 50, ст. 7343, ст. 7347, ст. 7352, ст. 7357; 2012, N 31, ст. 4322, ст. 4333; 2013, N 14, ст. 1641, ст. 1657, N 30, ст. 4039, N 51, ст. 6678, N 51, ст. 6699, N 52, ст. 6948, N 52, ст. 7006; 2014, N 11, ст. 1099, N 19, ст. 2331);

Федеральным законом от 27 июля 2010 г. N 210-ФЗ "Об организации предоставления государственных и муниципальных услуг" (Собрание законодательства Российской Федерации, 2010, N 31, ст. 4179; 2011, N 15, ст. 2038; N 27, ст. 3873, ст. 3880; N 29, ст.4291; N 30, ст. 4587; N 49, ст. 7061; 2012, N 31, ст. 4322; 2013, N 14, ст. 1651; N 27, ст. 3477, ст. 3480; N 30, ст. 4084, N 51, ст. 6679, N 52, ст. 6961, N 52, ст. 7009; 2014, N 26, ст. 3366, N 30, ст. 4264);

Федеральным законом от 30 марта 1999 г. N 52-ФЗ "О санитарно-эпидемиологическом благополучии населения" (Собрание законодательства Российской Федерации, 1999, N 14, ст. 1650; 2002, N 1, ст. 2; 2003, N 2, ст. 167; N 27, ст. 2700; 2004, N 35, ст. 3607; 2005, N 19, ст. 1752; 2006, N 1, ст. 10; N 52, ст. 5498; 2007, N 1, ст. 21, ст. 29; N 27, ст. 3213; N 46, ст. 5554; N 49, ст. 6070; 2008, N 29, ст. 3418, N 30, ст. 3616; 2009, N 1, ст. 17; 2010, N 40, ст. 4969; 2011, N 1, ст. 6; N 30, ст. 4563, ст. 4590, ст. 4591, ст. 4596; N 50, ст. 7359; 2012, N 24, ст. 3069; N 26, ст. 3446; 2013, N 27, ст. 3477; N 30, ст. 4079; N 48, ст. 6165) с изменениями, внесенными федеральными законами от 12 июня 2008 г. N 88-ФЗ (Собрание законодательства Российской Федерации, 2008, N 24, ст. 2801), от 27 октября 2008 г. N 178-ФЗ (Собрание законодательства Российской Федерации, 2008, N 44, ст. 4984), от 22 декабря 2008 г. N 268-ФЗ (Собрание законодательства Российской Федерации, 2008, N 52, ст. 6223);

постановлением Правительства Российской Федерации от 29 марта 2013 г. N 280 "О лицензировании деятельности в области использования атомной энергии" (Собрание законодательства Российской Федерации, 2013, N 14, ст. 1700) (далее - Положение о лицензировании);

постановлением Правительства Российской Федерации от 15 октября 2012 г. N 1044 "О федеральном государственном надзоре в области использования атомной энергии" (Собрание законодательства Российской Федерации, 2012, N 43, ст. 5878);

постановлением Правительства Российской Федерации от 16 августа 2012 г. N 840 "О порядке подачи и рассмотрении жалоб на решения и действия (бездействие) федеральных органов исполнительной власти и их должностных лиц, федеральных государственных служащих, должностных лиц государственных внебюджетных фондов Российской Федерации" (Собрание законодательства Российской Федерации, 2012, N 35, ст. 4829);

постановлением Правительства Российской Федерации от 3 июля 2006 г. N 412 "О федеральных органах исполнительной власти, осуществляющих государственное управление использованием атомной энергии и государственное регулирование безопасности при использовании атомной энергии" (Собрание законодательства Российской федерации, 2006, N 28, ст. 3079; 2007, N 12, ст. 1424; 2008, N 47, ст. 5481; 2009, N 12, ст. 1429; 2010, N 38, ст. 4825; 2011, N 9, ст. 1246; 2012, N 37, ст. 5002);

постановлением Правительства Российской Федерации от 30 июля 2004 г. N 401 "О Федеральной службе по экологическому, технологическому и атомному надзору" (Собрание законодательства Российской Федерации, 2004, N 32, ст. 3348; 2006, N 5, ст. 544; N 23, ст. 2527; N 52, ст. 5587; 2008, N 22, ст. 2581; N 46, ст. 5337; 2009, N 6, ст. 738; N 33, ст. 4081; N 49, ст. 5976; 2010, N 9, ст. 960; N 26, ст. 3350; N 38, ст. 4835; 2011, N 6, ст. 888; N 14, ст. 1935; N 41, ст. 5750; N 50, ст. 7385; 2012, N 29, ст. 4123; N 42, ст. 5726; 2013, N 12, ст. 1343; N 45, ст. 5822, 2014, N 2, ст. 108, N 35, ст. 4773);

постановлением Правительства Российской Федерации от 16 мая 2011 г. N 373 "О разработке и утверждении административных регламентов исполнения государственных функций и административных регламентов предоставления государственных услуг" (Собрание законодательства Российской Федерации, 2011, N 22, ст. 3169; N 35, ст. 5092; 2012, N 28, ст. 3908; N 36, ст. 4903; N 50, ст. 7070; N 52, ст. 7507; 2014, N 5, ст. 506);

постановлением Правительства Российской Федерации от 6 мая 2011 г. N 352 "Об утверждении Перечня услуг, которые являются необходимыми и обязательными для предоставления федеральными органами исполнительной власти государственных услуг и предоставляются организациями, участвующими в предоставлении государственных услуг, и определении размера платы за их оказание (Собрание законодательства Российской Федерации, 2011, N 20, ст. 2829; 2012, N 14, ст. 1655; N 36, ст. 4922; 2013, N 33, ст. 4382; N 52, ст. 7207);

постановлением Правительства Российской Федерации от 11 июня 1996 г. N 698 "Об утверждении Положения о порядке проведения государственной экологической экспертизы" (Собрание законодательства Российской Федерации, 1996, N 40, ст. 4648);

постановлением Правительства Российской Федерации от 23 апреля 2012 г. N 373 "Об утверждении Положения о режиме постоянного государственного надзора на объектах использования атомной энергии" (Собрание законодательства Российской Федерации, 2012, N 18, ст. 2233);

Порядком ведения Единого государственного реестра юридических лиц и предоставления содержащихся в нем сведений и документов, утвержденным приказом Министерства финансов Российской Федерации от 23 ноября 2011 г. N 158н (зарегистрирован Министерством юстиции Российской Федерации 5 апреля 2012 г., регистрационный N 23734; Российская газета, 2012, N 95);

приказом Федеральной службы по экологическому, технологическому и атомному надзору от 24 марта 2014 г. N 114 "Об утверждении Методики определения размера платы за оказание услуги по проведению экспертизы безопасности (экспертизы обоснования безопасности) объектов использования атомной энергии и (или) видов деятельности в области использования атомной энергии и предельных размеров платы за проведение экспертизы одного тематического вопроса, включенного в задание на экспертизу безопасности (экспертизу обоснования безопасности) объектов использования атомной энергии и (или) видов деятельности в области использования атомной энергии" (справочно: зарегистрирован Министерством юстиции Российской Федерации 15 октября 2014 г., регистрационный N 34319);

приказом Федеральной службы по экологическому, технологическому и атомному надзору от 7 июня 2013 г. N 248 "Об утверждении Административного регламента по исполнению Федеральной службой по экологическому, технологическому и атомному надзору государственной функции по федеральному государственному надзору в области использования атомной энергии" (зарегистрирован Министерством юстиции Российской Федерации 25 июля 2013 г., регистрационный N 29174; Российская газета, 2013, N 175);

приказом Федеральной службы по экологическому, технологическому и атомному надзору от 21 апреля 2014 г. N 160 "Об утверждении Положения о порядке проведения экспертизы безопасности (экспертизы обоснования безопасности) объектов использования атомной энергии и (или) видов деятельности в области использования атомной энергии" (зарегистрирован Министерством юстиции Российской Федерации 23 июля 2014 г., регистрационный N 33238; Российская газета, 2014, N 184).

Исчерпывающий перечень документов, необходимых в соответствии с нормативными правовыми актами для предоставления государственной услуги и услуг, которые являются необходимыми и обязательными для предоставления государственной услуги, подлежащих представлению соискателем лицензии/лицензиатом, способы их получения соискателем лицензии/лицензиатом, в том числе в электронной форме

16. Для получения лицензии соискатель лицензии представляет в центральный аппарат Ростехнадзора или в его территориальный орган заявление о предоставлении лицензии, подписанное руководителем постоянно действующего исполнительного органа юридического лица или иным лицом, имеющим право действовать от имени этого юридического лица, и заверенное печатью юридического лица, в котором указывает:

1) полное и сокращенное (если имеется) наименование юридического лица, его местонахождение, номер телефона и адрес электронной почты (если имеется) юридического лица;

2) лицензируемый вид деятельности, который соискатель лицензии намерен осуществлять, адрес и наименование объекта использования атомной энергии, на котором или в отношении которого планируется осуществлять деятельность, а также срок действия лицензии;

3) по собственной инициативе:

основной государственный регистрационный номер;

идентификационный номер налогоплательщика, данные документа о постановке соискателя лицензии на учет в налоговом органе;

наименование и адрес налогового органа, в котором соискатель лицензии состоит на учете;

сведения об уплате государственной пошлины.

17. К заявлению о предоставлении лицензии прилагаются:

1) копии учредительных документов юридического лица, заверенные в нотариальном порядке;

2) 3 комплекта документов, обосновывающих обеспечение безопасности ядерной установки, радиационного источника, пункта хранения и (или) лицензируемого вида деятельности, соответствующей потенциальной опасности объектов использования атомной энергии и видов деятельности в области использования атомной энергии (далее - комплект документов). Требования к составу комплекта вышеуказанных документов приведены в приложении N 3 и приложении N 4 к Регламенту. Допускается представление одного комплекта документов на бумажном носителе и 2-х комплектов документов на электронном носителе (по одному комплекту документов на каждом электронном носителе). Сведения, содержащие государственную тайну, представляются в установленном законодательством Российской Федерации порядке, требования к оформлению документов на электронном носителе приведены в приложении N 6 к Регламенту, при этом соискатель лицензии обеспечивает соответствие содержания комплекта документов на бумажном носителе содержанию комплектов документов на электронном носителе;

3) опись прилагаемых документов.

18. В случае если соискателем лицензии является эксплуатирующая организация, кроме документов, указанных в пункте 17 Регламента, также представляются:

1) сведения о признании соответствующим органом управления использованием атомной энергии соискателя лицензии пригодным эксплуатировать ядерную установку, радиационный источник или пункт хранения и осуществлять собственными силами или с привлечением других организаций деятельность по размещению, проектированию, сооружению, эксплуатации и выводу из эксплуатации ядерной установки, радиационного источника или пункта хранения, а также деятельность по обращению с ядерными материалами и радиоактивными веществами;

2) копия документа, подтверждающего наличие у соискателя лицензии на праве собственности или на ином законном основании ядерных материалов, ядерных установок, радиационных источников, пунктов хранения, радиоактивных веществ и радиоактивных отходов;

3) сведения об утверждении положительного заключения государственной экологической экспертизы в соответствии с постановлением Правительства Российской Федерации от 11 июня 1996 г. N 698 "Об утверждении Положения о порядке проведения государственной экологической экспертизы" (представляются соискателем лицензии по собственной инициативе);

4) сведения о получении решения о размещении, сооружении ядерных установок, радиационных источников или пунктов хранения при осуществлении лицензируемого вида деятельности в отношении указанных объектов (в отдельных случаях - решения о досрочном выводе из эксплуатации данных объектов) (представляются соискателем лицензии по собственной инициативе);

5) сведения о получении санитарно-эпидемиологического заключения в отношении деятельности в области обращения с ядерными материалами и радиоактивными веществами (санитарно-эпидемиологическое заключение представляются соискателем лицензии по собственной инициативе);

6) документы, подтверждающие наличие у соискателя лицензии предусмотренного законодательством Российской Федерации финансового обеспечения гражданско-правовой ответственности за убытки и вред, причиненные радиационным воздействием;

7) документ, подтверждающий возможность передачи на захоронение образующихся или находящихся на временном хранении радиоактивных отходов (в случае их образования при осуществлении лицензируемого вида деятельности);

8) отчет о наличии противопожарной защиты объекта использования атомной энергии при его эксплуатации - для атомных станций и иных объектов, определенных федеральными нормами и правилами в области использования атомной энергии;

9) документы, подтверждающие наличие у соискателя лицензии источников финансирования работ по выводу из эксплуатации ядерных установок, радиационных источников или пунктов хранения, включая средства резерва, предназначенного для финансирования расходов по обеспечению вывода из эксплуатации ядерных установок, радиационных источников, пунктов хранения ядерных материалов и радиоактивных веществ, хранилищ радиоактивных отходов и проведения научно- исследовательских и опытно-конструкторских работ по обоснованию и повышению безопасности этих объектов.

19. Для внесения изменений в УДЛ лицензиат представляет в центральный аппарат Ростехнадзора или в его территориальный орган заявление по форме согласно приложению N 13 к Регламенту с изложением изменения и 3-х комплектов документов, обосновывающих обеспечение безопасности ядерной установки, радиационного источника, пункта хранения и (или) лицензируемого вида деятельности в связи с планируемым изменением. Допускается представление одного комплекта документов на бумажном носителе и 2-х комплектов документов на 2-х электронных носителях (по одному комплекту документов на каждом электронном носителе).

Для переоформления лицензии лицензиат представляет в центральный аппарат Ростехнадзора или в его территориальный орган заявление о переоформлении лицензии по форме согласно приложению N 16 к Регламенту с приложением измененных документов из состава документов, ранее представлявшихся для получения лицензии.

Для прекращения действия лицензии лицензиат представляет в центральный аппарат Ростехнадзора или в его территориальный орган заявление о прекращении действия лицензии по форме согласно приложению N 17 к Регламенту с приложением к заявлению документов, обосновывающих безопасное прекращение деятельности лицензиата (требования к составу документов, обосновывающих безопасное прекращение осуществления лицензиатом лицензируемого вида деятельности, приведены в приложении N 7 к Регламенту).

Для возобновления действия лицензии лицензиат представляет в центральный аппарат Ростехнадзора или в его территориальный орган заявление о возобновлении действия лицензии по форме согласно приложению N 19 к Регламенту.

Для предоставления дубликата лицензии лицензиат представляет в центральный аппарат Ростехнадзора или в его территориальный орган заявление о выдаче дубликата лицензии по форме согласно приложению N 21 к Регламенту. В случае порчи лицензии к заявлению прилагается испорченный бланк лицензии.

20. В соответствии с требованиями пункта 46 Положения о лицензировании лицензиат представляет в Ростехнадзор документы, содержащие результаты периодической оценки безопасности ядерной установки, пункта хранения и обосновывающие безопасность их эксплуатации не позднее, чем за 12 месяцев до истечения 10 лет со дня начала их эксплуатации или со дня окончания последней периодической оценки безопасности.

Исчерпывающий перечень документов, необходимых в соответствии с нормативными правовыми актами для предоставления государственной услуги, которые находятся в распоряжении государственных органов, органов местного самоуправления и иных органов, участвующих в предоставлении государственных услуг, и которые соискатель лицензии/лицензиат вправе представить, а также способы их получения соискателем лицензии/лицензиатом, в том числе в электронной форме

21. Документы, сведения о которых представлены в Ростехнадзор и которые находятся в распоряжении федеральных органов исполнительной власти, органов, осуществляющих управление использованием атомной энергии, органов государственной власти субъектов Российской Федерации и органов местного самоуправления, запрашиваются Ростехнадзором у них в рамках межведомственного информационного взаимодействия.

22. Ростехнадзор не вправе требовать от соискателя лицензии/лицензиата представления сведений и документов, не предусмотренных пунктами 16-20 Регламента (за исключением требований о представлении документов, на которые даны ссылки в документах, прилагаемых к заявлению о предоставлении лицензии или к заявлению об изменении УДЛ, если такие документы не являются общедоступными и ранее не представлялись в Ростехнадзор), а также:

представления документов и информации или осуществления действий, представление или осуществление которых не предусмотрено нормативными правовыми актами, регулирующими отношения, возникающие в связи с предоставлением государственной услуги;

представления документов и информации, в том числе об оплате государственной пошлины, взимаемой за предоставление государственной услуги, которые находятся в распоряжении органов, предоставляющих государственные услуги, иных государственных органов, органов местного самоуправления и организаций в соответствии с нормативными правовыми актами Российской Федерации.

Исчерпывающий перечень оснований для отказа в приеме документов, необходимых для предоставления государственной услуги

23. Основанием для отказа в приеме документов является отсутствие описи документов, приложенных к заявлению о предоставлении лицензии, или отсутствие любого из документов, указанных в описи.

Исчерпывающий перечень оснований для приостановления или отказа в предоставлении государственной услуги

24. Основанием для приостановления предоставления государственной услуги является письменное обращение соискателя лицензии/лицензиата о приостановлении предоставления государственной услуги.

25. Основанием для отказа в предоставлении государственной услуги является:

1) представление неполного комплекта документов, необходимых в соответствии с настоящим Регламентом, и непредставление недостающих документов в течение 15 рабочих дней со дня регистрации заявления о предоставлении лицензии;

2) представление заявления или документов, необходимых в соответствии с настоящим Регламентом, оформленных с нарушением требований законодательства Российской Федерации и Регламента, и неустранение указанных нарушений в течение 15 рабочих дней со дня регистрации заявления о предоставлении лицензии;

3) предоставление заявления и (или) документов, необходимых для получения лицензии, содержащих недостоверную или искаженную информацию;

4) отзыв соискателем лицензии/лицензиатом заявления о предоставлении лицензии.

Перечень услуг, которые являются необходимыми и обязательными для предоставления государственной услуги, в том числе сведения о документе (документах), выдаваемом (выдаваемых) организациями, участвующими в предоставлении государственной услуги

26. Необходимой и обязательной услугой для предоставления Ростехнадзором государственной услуги по лицензированию деятельности в области использования атомной энергии является экспертиза безопасности (экспертиза обоснования безопасности) объекта использования атомной энергии и (или) лицензируемого вида деятельности в области использования атомной энергии.

Порядок, размер и основания взимания государственной пошлины или иной платы, взимаемой за предоставление государственной услуги

27. За предоставление лицензии, переоформление лицензии, выдачу дубликата лицензии уплачивается государственная пошлина в порядке и размерах, установленных законодательством Российской Федерации о налогах и сборах. Статьей 333.33 главы 25.3 Налогового кодекса Российской Федерации установлены следующие размеры государственной пошлины:

предоставление лицензии на размещение, сооружение, эксплуатацию и вывод из эксплуатации ядерных установок - 35 000 рублей;

предоставление лицензии на размещение, сооружение, эксплуатацию и вывод из эксплуатации радиационного источника, на обращение с ядерными материалами и радиоактивными веществами, в том числе при разведке и добыче урановых руд, при производстве, использовании, переработке, транспортировании и хранении ядерных материалов и радиоактивных веществ, на обращение с радиоактивными отходами при их хранении, переработке, транспортировании и захоронении, на конструирование и изготовление оборудования для ядерных установок, радиационных источников, пунктов хранения ядерных материалов и радиоактивных веществ, хранилищ радиоактивных отходов - 16 000 рублей;

предоставление лицензии на размещение, сооружение, эксплуатацию и вывод из эксплуатации пунктов хранения ядерных материалов и радиоактивных веществ, хранилищ радиоактивных отходов, на закрытие пунктов захоронения радиоактивных отходов, на проектирование и конструирование ядерных установок, радиационных источников, пунктов хранения ядерных материалов и радиоактивных веществ, хранилищ радиоактивных отходов - 25 000 рублей;

предоставление лицензии на использование ядерных материалов и (или) радиоактивных веществ при проведении научно-исследовательских и опытно-конструкторских работ, на проведение экспертизы безопасности (экспертизы обоснования безопасности) объектов использования атомной энергии и (или) видов деятельности в области использования атомной энергии - 8 000 рублей;

переоформление лицензии -1 600 рублей; выдача дубликата лицензии - 350 рублей.

Порядок, размер и основания взимания платы за предоставление услуг, которые являются необходимыми и обязательными для предоставления государственной услуги, включая информацию о методике расчета такой платы

28. Порядок, размер и основания взимания платы за предоставление услуги по проведению экспертизы безопасности (экспертизы обоснования безопасности), включая информацию о расчете размера такой платы, установлены приказом Ростехнадзора от 24 марта 2014 г. N 114 "Об утверждении Методики определения размера платы за оказание услуги по проведению экспертизы безопасности (экспертизы обоснования безопасности) объектов использования атомной энергии и (или) видов деятельности в области использования атомной энергии и предельных размеров платы за проведение экспертизы одного тематического вопроса, включенного в задание на экспертизу безопасности (экспертизу обоснования безопасности) объектов использования атомной энергии и (или) видов деятельности в области использования атомной энергии" (зарегистрирован Министерством юстиции Российской Федерации 15 октября 2014 г., регистрационный N 34319).

Максимальный срок ожидания в очереди при подаче заявления о предоставлении государственной услуги и при получении результата предоставления государственной услуги

29. Максимальный срок ожидания в очереди при подаче заявления о предоставлении государственной услуги и получении результата предоставления государственной услуги составляет 15 минут.

Срок и порядок регистрации заявления соискателя лицензии/лицензиата о предоставлении государственной услуги, в том числе в электронной форме

30. Регистрация заявлений о предоставлении государственной услуги, направленных соискателем лицензии/лицензиатом в лицензирующий орган заказным почтовым отправлением или представленных непосредственно в ходе приема, осуществляется должностным лицом структурного подразделения центрального аппарата Ростехнадзора или территориального органа Ростехнадзора, ответственного за работу с входящей корреспонденцией, в порядке, установленном Ростехнадзором. Срок регистрации заявления о предоставлении государственной услуги и прилагаемого к нему комплекта документов - в день обращения.

Требования к помещениям, в которых предоставляется государственная услуга, к месту ожидания и приема соискателей лицензии/лицензиатов, размещению и оформлению визуальной, текстовой и мультимедийной информации о порядке предоставления таких услуг

31. Помещение для приема соискателей лицензии/лицензиатов снабжается табличками с указанием фамилии, имени, отчества (если имеется) должностного лица, ответственного за работу с соискателями лицензии/лицензиатами, а также оснащается телефоном, факсом, компьютером с возможностью вывода документов на печать и выхода в информационно-телекоммуникационную сеть "Интернет", копировальным аппаратом.

Вход и передвижение по помещению не должны вызывать затруднения у лиц с ограниченными возможностями.

32. Для ожидания приема соискателям лицензии/лицензиатам (их представителям) отводятся места, оборудованные стульями, кресельными секциями или скамьями, столами (стойками) для возможности оформления документов. На столах (стойках) находятся писчая бумага и канцелярские принадлежности (шариковые ручки).

33. Рабочие места должностных лиц структурных подразделений центрального аппарата и территориальных органов Ростехнадзора, ответственных за работу с соискателями лицензии/лицензиатами, оборудуются компьютерами и оргтехникой. Структурным подразделениям центрального аппарата и территориальных органов Ростехнадзора, ответственным за работу с соискателями лицензии/лицензиатами, обеспечивается доступ к информационно-телекоммуникационной сети "Интернет", выделяется бумага, расходные материалы и канцелярские товары в количестве, достаточном для предоставления государственной услуги.

Показатели доступности и качества предоставления государственной услуги, в том числе количество взаимодействий соискателя лицензии/лицензиата с должностными лицами при предоставлении государственной услуги и их продолжительность, возможность получения государственной услуги в многофункциональном центре предоставления государственных и муниципальных услуг, возможность получения информации о ходе предоставления государственной услуги, в том числе с использованием информационно-коммуникационных технологий

34. Основными показателями доступности и качества государственной услуги являются:

1) количество жалоб от соискателей лицензии/лицензиатов о нарушениях сроков предоставления государственной услуги, предусмотренных настоящим Регламентом, а также количество судебных исков по обжалованию решений Ростехнадзора или территориального органа Ростехнадзора, принимаемых при предоставлении государственной услуги;

2) обеспечение возможности для соискателя лицензии/лицензиата направлять обращения с использованием официального сайта Ростехнадзора и официальных сайтов территориальных органов Ростехнадзора в информационно-телекоммуникационной сети "Интернет";

3) направление ответа на обращение по электронной почте в случае направления его соискателем лицензии/лицензиатом в центральный аппарат Ростехнадзора и территориальные органы Ростехнадзора в форме электронного документа.

35. Количество взаимодействий определяется необходимостью обмена информацией соискателя лицензии/лицензиата с должностными лицами центрального аппарата или территориального органа Ростехнадзора, в должностные обязанности которых входит обеспечение лицензирования в области использования атомной энергии.

Иные требования, в том числе учитывающие особенности предоставления государственной услуги в многофункциональных центрах предоставления государственных и муниципальных услуг и особенности предоставления государственной услуги в электронной форме

36. Предоставление государственной услуги в многофункциональном центре предоставления государственных и муниципальных услуг не предусмотрено.

III. Состав, последовательность и сроки выполнения административных процедур, требования к порядку их выполнения

Исчерпывающий перечень и последовательность административных процедур

37. Лицензирование деятельности в области использования атомной энергии включает в себя следующие административные процедуры:

37.1. предоставление лицензии с установлением срока и условий ее действия:

1) рассмотрение заявления о предоставлении лицензии, включая предварительную проверку перечня прилагаемых к заявлению документов и соблюдения установленных законодательством Российской Федерации правил их оформления;

2) принятие решения о рассмотрении документов, представленных для получения лицензии, или об отказе в рассмотрении этих документов;

3) рассмотрение документов, представленных для получения лицензии, включая проверку достоверности сведений, содержащихся в указанных документах;

4) принятие решения о выдаче или об отказе в выдаче лицензии;

5) предоставление лицензии, включающей в себя перечень условий ее действия;

37.2. переоформление лицензии:

1) рассмотрение заявления о переоформлении лицензии, включая предварительную проверку перечня прилагаемых к заявлению документов и соблюдения установленных законодательством Российской Федерации правил их оформления;

2) принятие решения о рассмотрении документов, представленных для переоформления лицензии, или об отказе в рассмотрении этих документов;

3) рассмотрение документов, представленных для переоформления лицензии, включая проверку достоверности сведений, содержащихся в указанных документах;

4) принятие решения о переоформлении или об отказе в переоформлении лицензии;

5) предоставление переоформленной лицензии;

37.3. прекращение действия лицензии:

1) рассмотрение заявления о прекращении осуществления лицензируемого вида деятельности;

2) принятие решения о прекращении действия лицензии на основании результатов проверки достоверности сведений, содержащихся в документах, обосновывающих безопасное прекращение деятельности лицензиата;

37.4. возобновление действия лицензии:

1) рассмотрение заявления о возобновлении действия лицензии;

2) организация проверки достоверности сведений об изменении обстоятельств (устранении нарушений), повлекших приостановление действия лицензии;

3) принятие решения о возобновлении действия лицензии или об отказе в возобновлении действия лицензии;

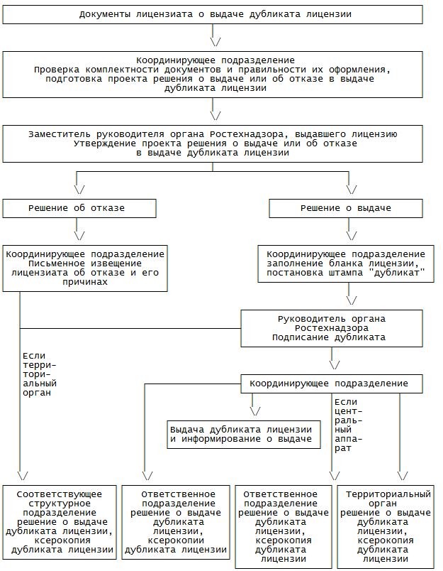
37.5. предоставление дубликата лицензии:

1) рассмотрение заявления о выдаче дубликата лицензии;

2) оформление дубликата лицензии;

3) предоставление дубликата лицензии;

37.6. внесение изменения в УДЛ по заявлению лицензиата в связи с необходимостью изменения включенных в УДЛ документов, обосновывающих обеспечение безопасности объектов использования атомной энергии и (или) лицензируемого вида деятельности, или в связи с исключением выполненных пунктов УДЛ:

1) рассмотрение и регистрация заявления о внесении изменения в УДЛ;

2) рассмотрение документов, представленных для внесения изменения в УДЛ, включая проверку достоверности сведений, содержащихся в указанных документах;

3) принятие решения о внесении изменения в УДЛ или об отказе во внесении изменения в УДЛ;

4) предоставление изменения УДЛ;

37.7. внесение изменения в УДЛ по результатам периодической оценки безопасности ядерной установки, пункта хранения (далее - ПОБ):

1) рассмотрение заявления о внесении изменения в УДЛ по результатам ПОБ;

2) принятие решения о рассмотрении документов (содержащих результаты ПОБ), представленных для внесения изменения в УДЛ, или решения об отказе в рассмотрении этих документов;

3) рассмотрение документов (содержащих результаты ПОБ), представленных для внесения изменения в УДЛ, включая проверку достоверности сведений, содержащихся в представленных документах;

4) принятие решения о внесении изменения в УДЛ или об отказе во внесении изменения в УДЛ по результатам ПОБ;

5) предоставление изменения УДЛ по результатам ПОБ.

38. Блок-схема предоставления государственной услуги приведена в приложении N 9 к Регламенту.

Предоставление лицензии с установлением срока и условий ее действия

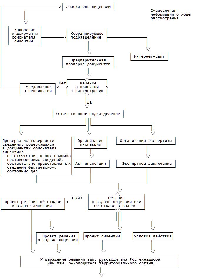
Рассмотрение заявления о предоставлении лицензии, включая предварительную проверку перечня прилагаемых к заявлению документов и соблюдения установленных законодательством Российской Федерации правил их оформления

39. Основанием для начала административной процедуры по рассмотрению заявления о предоставлении лицензии, включая предварительную проверку перечня прилагаемых к заявлению документов и соблюдения установленных законодательством Российской Федерации правил их оформления (далее - предварительная проверка документов) является поступление в координирующее подразделение заявления вместе с прилагаемыми документами.

40. Заявление о предоставлении лицензии и документы, предусмотренные пунктами 16 - 18 Регламента, представляются соискателем лицензии в Ростехнадзор непосредственно или направляются заказным почтовым отправлением с уведомлением о вручении.

41. Соискатель лицензии вправе по собственной инициативе вместо сведений, указанных в подпунктах 1 - 5 пункта 18 Регламента, представить копии соответствующих документов. Кроме того, по собственной инициативе соискатель лицензии вправе представить копию документа, подтверждающего уплату государственной пошлины за предоставление лицензии.

42. Документы, сведения о которых представлены в Ростехнадзор, а также документы, сведения о которых могут быть представлены соискателем лицензии по собственной инициативе, но не представлены соискателем лицензии, запрашиваются координирующим подразделением Ростехнадзора у соответствующих федеральных органов исполнительной власти, органов, осуществляющих государственное управление использованием атомной энергией, исполнительных органов государственной власти субъектов Российской Федерации и органов местного самоуправления в рамках межведомственного информационного взаимодействия.

43. По заявлению соискателя лицензии может выдаваться совмещенная лицензия на право осуществления нескольких видов деятельности в отношении одного или нескольких объектов использования атомной энергии.

44. Для получения совмещенной лицензии соискатель такой лицензии представляет в Ростехнадзор или его территориальные органы в соответствии с пунктами 16 - 18 Регламента заявление о предоставлении лицензии и соответствующие документы применительно к каждому виду деятельности и объектам, на которых или в отношении которых соискатель лицензии планирует осуществлять виды деятельности по совмещенной лицензии.

45. Должностным лицом, ответственным за рассмотрение заявления и предварительную проверку документов, является начальник координирующего подразделения или лицо, исполняющее его обязанности.

46. Начальник координирующего подразделения (или лицо, исполняющее его обязанности) назначает исполнителей для рассмотрения заявления и предварительной проверки документов.

47. Заявлению присваивается регистрационный номер в день его поступления в координирующее подразделение в соответствии с установленным в Ростехнадзоре порядком.

Исполнители рассматривают заявление о предоставлении лицензии, включая предварительную проверку документов. При этом продолжительность рассмотрения заявления о предоставлении лицензии, включая предварительную проверку документов, не должна превышать 15 рабочих дней со дня его регистрации. При проведении предварительной проверки документов устанавливается соответствие перечня представленных документов требованиям пунктов 16 - 18 Регламента. В течение указанного срока соискатель лицензии обязан представить недостающие документы или устранить нарушения, допущенные при оформлении заявления о предоставлении лицензии и прилагаемых к заявлению документов.

Принятие решения о рассмотрении документов, представленных для получения лицензии, или об отказе в рассмотрении этих документов

48. Основанием для начала административной процедуры по принятию решения о рассмотрении документов, представленных для получения лицензии, или об отказе в рассмотрении этих документов, является завершение рассмотрения заявления о предоставлении лицензии, включая предварительную проверку перечня прилагаемых к заявлению документов и соблюдения установленных правил их оформления. По результатам предварительной проверки документов принимается решение о рассмотрении документов, представленных для получения лицензии, или об отказе в рассмотрении этих документов, если соискателем лицензии по истечении 15 рабочих дней не представлены заявление о предоставлении лицензии, оформленное надлежащим образом, или документы в полном объеме либо если не устранено несоответствие документов, представленных на электронном носителе, документам на бумажном носителе.

По истечении 15 рабочих дней с момента регистрации заявления соискатель лицензии обязан представить недостающие документы и (или) устранить нарушения, допущенные при оформлении заявления о предоставлении лицензии и прилагаемых к заявлению документов.

49. Основаниями для принятия решения об отказе в рассмотрении документов соискателя лицензии являются выявленные по результатам предварительной проверки документов нарушения соискателем лицензии требований пунктов 16 - 18 Регламента.

50. Критериями принятия решения об отказе в рассмотрении документов соискателя лицензии являются:

1) отсутствие одного или более документов из числа указанных в пунктах 16 - 18 Регламента;

2) представление соискателем лицензии комплектов документов, обосновывающих обеспечение безопасности ядерной установки, радиационного источника, пункта хранения и (или) заявленной деятельности, в количестве менее трех (один из них на бумажном носителе) или оформленных с нарушением требований к оформлению документов, представленных на электронном носителе, приведенных в приложении N 6 к Регламенту (в случае представления двух комплектов документов на двух электронных носителях);

3) наличие одного и более документов (из числа предусмотренных подпунктом 2 пункта 17 Регламента), представленных для получения лицензии без подписи руководителя постоянно действующего исполнительного органа юридического лица или иного лица, имеющего право действовать от имени этого юридического лица;

4) отсутствие в заявлении о предоставлении лицензии информации по одной или более позициям из перечисленных ниже:

полного наименования юридического лица;

адреса местонахождения юридического лица;

заявленного вида деятельности и объекта, на котором или в отношении которого планируется осуществлять заявленный вид деятельности;

адреса объекта использования атомной энергии, на котором или в отношении которого планируется осуществлять заявленный вид деятельности;

заявленного срока действия лицензии;

5) несоответствие заявленного вида деятельности видам деятельности, указанным в статье 26 Федерального закона "Об использовании атомной энергии";

6) несоответствие объекта применения заявленного вида деятельности объектам, указанным в статье 3 Федерального закона "Об использовании атомной энергии";

7) непредставление заверенных в установленном порядке копий учредительных документов;

8) непредставление копии документа, подтверждающего наличие у соискателя лицензии ядерных материалов, ядерных установок, пунктов хранения, радиационных источников и радиоактивных веществ, находящихся у него на правах собственности или на ином законном основании, в соответствии с положениями статьи 5 Федерального закона "Об использовании атомной энергии";

9) несоответствие сведений, содержащихся в представленных заявлении и документах, сведениям о соискателе лицензии, содержащимся в едином государственном реестре юридических лиц.

51. Результатом административной процедуры по рассмотрению заявления и предварительной проверке документов является утвержденное решение о принятии к рассмотрению документов, представленных для получения лицензии, или решение об отказе в рассмотрении этих документов.

Решение утверждается начальником координирующего подразделения центрального аппарата Ростехнадзора (или лицом, исполняющим его обязанности), а в территориальном органе - должностным лицом, уполномоченным руководителем территориального органа Ростехнадзора.

52. Результат административной процедуры по рассмотрению заявления и предварительной проверке документов фиксируется в координирующем подразделении путем регистрации утвержденного решения о принятии к рассмотрению (либо решения об отказе в рассмотрении) документов, представленных для получения лицензии.

В случае если принято решение об отказе в рассмотрении документов, заявление о предоставлении лицензии и прилагаемые к нему документы хранятся в Ростехнадзоре в течение одного года и до истечения указанного срока могут быть возвращены соискателю лицензии на основании его письменного обращения.

53. После утверждения решения о принятии к рассмотрению документов, представленных для получения лицензии, ответственное должностное лицо координирующего подразделения в течение 3 рабочих дней с даты утверждения решения подготавливает письмо:

в ответственное подразделение (с указанием регистрационного номера, присвоенного заявлению);

соискателю лицензии (с уведомлением о принятом решении и об ответственном подразделении, в которое передаются документы соискателя лицензии для рассмотрения, а при отказе в рассмотрении документов, представленных для получения лицензии, в уведомлении указывается обоснованная причина отказа).

Письмо подписывается начальником координирующего подразделения (или лицом, исполняющим его обязанности) и вместе с документами соискателя лицензии (за исключением документа, подтверждающего уплату государственной пошлины за предоставление лицензии, в случае представления такого документа) направляется в ответственное подразделение.

В случае предоставления государственной услуги по лицензированию соответствующим территориальным органом письмо с уведомлением соискателя лицензии о принятом решении подписывает руководитель территориального органа (или уполномоченное им должностное лицо).

54. Координирующее подразделение обеспечивает хранение:

решения о принятии к рассмотрению документов соискателя лицензии, представленных для получения лицензии, копии заявления, а также документа, подтверждающего уплату государственной пошлины за предоставление лицензии (в случае представления такого документа в Ростехнадзор, а в случае непредставления такого документа - соответствующей информации о его непредставлении) - в случае предоставления лицензии указанные документы хранятся в течение одного года после окончания срока действия лицензии;

решения об отказе в рассмотрении документов соискателя лицензии, подлинник заявления, документа, подтверждающего уплату государственной пошлины за предоставление лицензии (в случае представления такого документа в Ростехнадзор), копии письменного уведомления, направленного соискателю лицензии, и прилагаемые к заявлению документы соискателя лицензии - в течение 1 года после утверждения такого решения.

55. Форма заявления о предоставлении лицензии приведена в приложении N 8 к Регламенту.

Рассмотрение документов, представленных для получения лицензии, включая проверку достоверности сведений, содержащихся в указанных документах

56. Основанием для начала административной процедуры по рассмотрению документов, представленных для получения лицензии, является поступление в ответственное подразделение заявления и прилагаемых к нему документов соискателя лицензии с сопроводительным письмом из координирующего подразделения.

По инициативе соискателя лицензии рассмотрение документов, представленных для получения лицензии, может быть приостановлено на срок, указанный в письменном обращении соискателя лицензии, или прекращено при отзыве соискателем лицензии заявления о предоставлении лицензии.

57. Должностным лицом, ответственным за рассмотрение документов, представленных для получения лицензии, является начальник ответственного подразделения (или лицо, исполняющее его обязанности), который назначает исполнителей для рассмотрения указанных документов.

58. При рассмотрении документов, представленных для получения лицензии, устанавливаются:

1) соответствие проектных, конструкторских и технологических решений законодательству Российской Федерации в области использования атомной энергии, требованиям федеральных норм и правил в области использования атомной энергии, а также соответствие установленным требованиям условий для безопасного обращения с радиоактивными отходами при осуществлении лицензируемого вида деятельности;

2) полнота мер технического и организационного характера по обеспечению безопасности при осуществлении лицензируемого вида деятельности;

3) соответствие требованиям по обеспечению безопасности условий хранения и организации учета и контроля ядерных материалов, радиоактивных веществ и радиоактивных отходов, физической защиты ядерной установки, радиационного источника, пункта хранения ядерных материалов и радиоактивных веществ и хранилища радиоактивных отходов, планов мероприятий по защите работников объекта использования атомной энергии и населения в случае возникновения аварии и готовности к выполнению мероприятий, а также системы обеспечения качества и необходимой инженерно-технической поддержки лицензируемого вида деятельности;

4) способность соискателя лицензии обеспечить условия безопасного осуществления лицензируемого вида деятельности, безопасность объекта использования атомной энергии и проводимых работ, а также качество выполняемых работ и предоставляемых услуг, отвечающих федеральным нормам и правилам в области использования атомной энергии;

5) наличие и готовность соответствующих сил и средств для ликвидации чрезвычайных ситуаций при возникновении ядерной и радиационной аварии на объекте использования атомной энергии;

6) способность соискателя лицензии обеспечить условия безопасного прекращения лицензируемого вида деятельности и вывод объекта использования атомной энергии из эксплуатации, а также наличие соответствующих проектных материалов.

59. В процессе рассмотрения комплекта документов, обосновывающих обеспечение безопасности объекта использования атомной энергии и (или) лицензируемого вида деятельности, Ростехнадзор проводит проверку достоверности сведений, содержащихся в указанных документах, путем:

организации проведения экспертизы безопасности (экспертизы обоснования безопасности) объекта использования атомной энергии и (или) лицензируемого вида деятельности;

проверки (инспекции) соискателя лицензии и объекта, на котором или в отношении которого соискателем лицензии планируется осуществлять лицензируемый вид деятельности.

60. Проверка (инспекция) проводится в порядке, установленном Положением о федеральном государственном надзоре в области использования атомной энергии, утвержденным постановлением Правительства Российской Федерации от 15 октября 2012 г. N 1044 "О федеральном государственном надзоре в области использования атомной энергии" (Собрание законодательства Российской Федерации, 2012, N 43, ст. 5878) и Административным регламентом по исполнению Федеральной службой по экологическому, технологическому и атомному надзору государственной функции по федеральному государственному надзору в области использования атомной энергии, утвержденным приказом Федеральной службы по экологическому, технологическому и атомному надзору от 7 июня 2013 г. N 248 (зарегистрирован Министерством юстиции Российской Федерации 25 июля 2013 г., регистрационный N 29174; Российская газета, 2013, N 175). Проверка (инспекция) проводится с целью установления соответствия сведений, указанных соискателем лицензии, в документах, представленных для получения лицензии, реальному состоянию объекта, установления фактического состояния объекта.

61. Проверка (инспекция) не проводится в случаях:

1) если лицензиат ранее имел лицензию на заявленный вид деятельности и если в период действия лицензии не было выявлено нарушений условий ее действия;

2) если при первичном обращении проверка (инспекция) была проведена без замечаний, а соискатель лицензии, получивший отказ по результатам экспертизы безопасности (экспертизы обоснования безопасности), повторно обратился с заявлением о предоставлении лицензии;

3) если сведения о лицензиате изменились (при реорганизации юридического лица (лицензиата) в форме преобразования, изменении его местонахождения или наименования), а вид деятельности или объект, на котором или в отношении которого осуществляется деятельность, не изменился.

Во всех остальных случаях проведение проверки (инспекции) обязательно.

62. Проверка (инспекция) соискателя лицензии проводится по программе, утвержденной начальником ответственного подразделения:

1) центрального аппарата Ростехнадзора, в случае предоставления государственной услуги центральным аппаратом Ростехнадзора;

2) территориального органа Ростехнадзора, в случае предоставления государственной услуги территориальным органом Ростехнадзора.

63. Проверка (инспекция) проводится ответственным подразделением соответствующего территориального органа Ростехнадзора.

64. В случае предоставления государственной услуги центральным аппаратом Ростехнадзора и, если соискатель лицензии ранее имел лицензию, ответственное подразделение центрального аппарата Ростехнадзора направляет уведомление в территориальный орган, осуществлявший государственный надзор и контроль за соблюдением условий действия ранее действовавшей лицензии, о поступлении заявления о предоставлении лицензии с просьбой сообщить о нарушениях условий действия ранее действовавшей лицензии и при наличии нарушений представить предложения по программе проверки (инспекции), составе комиссии и сроках проведения проверки (инспекции), при этом:

1) ответственное подразделение соответствующего территориального органа Ростехнадзора подготавливает во взаимодействии с ответственным подразделением центрального аппарата Ростехнадзора и направляет за подписью руководителя территориального органа Ростехнадзора (или лица, исполняющего его обязанности) в ответственное подразделение центрального аппарата Ростехнадзора предложения по программе проверки (инспекции), срокам ее проведения, а также предложения по составу комиссии;

2) ответственное подразделение центрального аппарата Ростехнадзора разрабатывает программу проверки (инспекции), подготавливает проект поручения соответствующему территориальному органу Ростехнадзора о проведении проверки (инспекции), содержащего состав комиссии и сроки проведения проверки (инспекции), с учетом предложений ответственного подразделения соответствующего территориального органа Ростехнадзора;

3) программа проверки (инспекции) утверждается начальником ответственного подразделения (или лицом, исполняющим его обязанности) центрального аппарата Ростехнадзора;

4) поручение соответствующему территориальному органу Ростехнадзора о проведении проверки (инспекции) утверждается заместителем руководителя Ростехнадзора, организующего и координирующего деятельность ответственного подразделения центрального аппарата Ростехнадзора (далее - заместитель руководителя Ростехнадзора);

5) ответственное подразделение центрального аппарата Ростехнадзора направляет в соответствующий территориальный орган поручение о проведении проверки (инспекции) с комплектом обосновывающих документов и программу проверки (инспекции);

6) ответственное подразделение соответствующего территориального органа Ростехнадзора уведомляет соискателя лицензии о проведении проверки (инспекции) не позднее, чем за 5 дней до ее начала, и направляет ему за подписью руководителя территориального органа Ростехнадзора (или лица, исполняющего его обязанности) утвержденную программу проверки (инспекции) и копию распоряжения о проведении проверки.

65. В случае предоставления государственной услуги территориальным органом Ростехнадзора ответственное подразделение территориального органа Ростехнадзора:

1) разрабатывает проект программы и устанавливает сроки проведения проверки (инспекции) соискателя лицензии;

2) формирует во взаимодействии со структурными подразделениями территориального органа Ростехнадзора состав комиссии;

3) уведомляет соискателя лицензии о проведении проверки (инспекции) не позднее, чем за 5 дней до ее начала, и направляет ему за подписью руководителя территориального органа Ростехнадзора (или уполномоченного им должностного лица) утвержденную начальником ответственного подразделения (или лицом, исполняющим его обязанности) программу проверки (инспекции) и копию распоряжения о проведении проверки (инспекции).

66. Исходя из специфики лицензируемого вида деятельности, в состав комиссии могут включаться:

1) представители центрального аппарата Ростехнадзора;

2) представители территориального органа Ростехнадзора.

В случае предоставления государственной услуги территориальным органом Ростехнадзора комиссия и ее председатель назначаются распоряжением руководителя территориального органа.

В случае предоставления государственной услуги центральным аппаратом Ростехнадзора распоряжение руководителя территориального органа издается на основании поручения заместителя руководителя Ростехнадзора.

67. В соответствии с частью восьмой статьи 25 Федерального закона "Об использовании атомной энергии" органы государственного регулирования безопасности в пределах своей компетенции обладают полномочиями организовывать проведение экспертиз безопасности (экспертиз обоснования безопасности) объектов использования атомной энергии и (или) видов деятельности в области использования атомной энергии посредством выдачи заданий на их проведение и принятия заключений указанных экспертиз по результатам их рассмотрения.

68. В соответствии с частью десятой статьи 26 Федерального закона "Об использовании атомной энергии" при принятии решения о выдаче разрешения (лицензии) на право ведения работ в области использования атомной энергии или об изменении условий действия разрешения (лицензии) проводится экспертиза безопасности (экспертиза обоснования безопасности) объектов использования атомной энергии и (или) видов деятельности в области использования атомной энергии.

При принятии решения о выдаче совмещенной лицензии экспертиза безопасности (экспертиза обоснования безопасности) проводится отдельно для каждого заявленного вида деятельности в области использования атомной энергии и каждого объекта использования атомной энергии. Для организаций, выполняющих работы и предоставляющих услуги для эксплуатирующих организаций экспертиза безопасности (экспертиза обоснования безопасности) проводится отдельно для каждого заявленного вида деятельности в области использования атомной энергии.

В соответствии с частью двенадцатой статьи 26 Федерального закона "Об использовании атомной энергии" экспертиза проводится в порядке, установленном Положением о порядке проведения экспертизы безопасности (экспертизы обоснования безопасности) объектов использования атомной энергии и (или) видов деятельности в области использования атомной энергии.

69. Экспертиза безопасности (экспертиза обоснования безопасности) объектов использования атомной энергии и (или) видов деятельности в области использования атомной энергии проводится согласно заданию на проведение экспертизы, утвержденному:

начальником ответственного подразделения (или лицом, исполняющим его обязанности) - в случае предоставления государственной услуги центральным аппаратом Ростехнадзора;

руководителем территориального органа - в случае предоставления государственной услуги соответствующим территориальным органом Ростехнадзора.

В задании на проведение экспертизы безопасности (экспертизы обоснования безопасности) объекта использования атомной энергии и (или) лицензируемого вида деятельности конкретизируются вопросы, предусмотренные пунктом 58 Регламента.

70. Разработка и утверждение задания на проведение экспертизы безопасности (экспертизы обоснования безопасности) осуществляются ответственным подразделением в течение 30 рабочих дней после поступления документов соискателя лицензии в ответственное подразделение.

Задание на проведение экспертизы безопасности (экспертизы обоснования безопасности) включает в себя тематические вопросы экспертизы, требования к экспертному заключению и его представлению в Ростехнадзор, а также перечень документов, подлежащих экспертизе, и срок ее проведения.

Количество включенных в задание на проведение экспертизы безопасности (экспертизы обоснования безопасности) конкретных тематических вопросов варьируется в зависимости от вида деятельности, потенциальной опасности объекта использования атомной энергии. Количество вопросов должно быть минимальным, но достаточным для проведения обоснованной и всесторонней экспертизы безопасности (экспертизы обоснования безопасности). Вопросы должны охватывать:

оценку достаточности нормативной правовой и нормативно-технической базы, принятой соискателем лицензии (лицензиатом) при обосновании безопасности осуществления заявленного вида (видов) деятельности;

оценку обоснования безопасности объекта (объектов) и сведений о его (их) фактическом состоянии и (или) деятельности соискателя лицензии (лицензиата);

оценку условий осуществления заявленной деятельности в части наличия, подготовки и допуска персонала, функционирования необходимой системы менеджмента качества.

71. В задании на проведение экспертизы безопасности (экспертизы обоснования безопасности) устанавливаются сроки проведения экспертизы в зависимости от объема документов, представленных для получения лицензии, предусмотренных подпунктом 2 пункта 17 Регламента, исходя из потенциальной ядерной и радиационной опасности объекта применения заявленного вида деятельности.

72, Задание на проведение экспертизы безопасности (экспертизы обоснования безопасности), а также комплект документов соискателя лицензии (на бумажном носителе либо в электронном виде), обосновывающих обеспечение безопасности объектов использования атомной энергии и (или) заявленной деятельности, направляется ответственным подразделением в выбранную соискателем лицензии экспертную организацию (для объектов использования атомной энергии, в отношении которых установлен режим постоянного государственного надзора и (или) видов деятельности в области использования атомной энергии, осуществляемых на таких объектах или в отношении таких объектов эксплуатирующими организациями, экспертизу безопасности (экспертизу обоснования безопасности) проводят организации научно- технической поддержки Ростехнадзора).

73. После получения экспертного заключения, утвержденного экспертной организацией, ответственное подразделение в срок не более 20 рабочих дней со дня получения экспертного заключения оценивает его на соответствие требованиям задания на проведение экспертизы безопасности (экспертизы обоснования безопасности) и письменно уведомляет экспертную организацию о принятии (или непринятии) экспертного заключения.

74. При оценке соответствия экспертного заключения требованиям задания на проведение экспертизы безопасности (экспертизы обоснования безопасности) ответственное подразделение проверяет наличие заключений и однозначных обоснованных выводов по каждому тематическому вопросу экспертизы безопасности (экспертизы обоснования безопасности), поставленному в указанном задании.

75. В случае непринятия экспертного заключения, как не соответствующего требованиям пункта 73 Регламента, ответственное подразделение возвращает экспертное заключение на доработку в экспертную организацию с изложением в сопроводительном письме несоответствий.

76. Экспертиза безопасности (экспертиза обоснования безопасности) считается завершенной после установления Ростехнадзором, что безопасность объекта использования атомной энергии и (или) лицензируемого вида деятельности в области использования атомной энергии обеспечена.

77. Датой завершения экспертизы безопасности (экспертизы обоснования безопасности) является дата письменного уведомления Ростехнадзором экспертной организации о принятии экспертного заключения.

78. Результатом административной процедуры по рассмотрению документов, представленных для получения лицензии, является завершение проверки (инспекции) с оформлением акта проверки (инспекции) (в случае, если проверка (инспекция) проводилась) и завершение экспертизы с принятием экспертного заключения.

79. Результаты административной процедуры по рассмотрению документов, представленных для получения лицензии, фиксируются:

путем регистрации акта проверки (инспекции) соответствующим территориальным органом (в случае если проверка (инспекция) проводилась);

путем письменного уведомления ответственным подразделением экспертной организации о принятии экспертного заключения.

Принятие решения о выдаче или об отказе в выдаче лицензии

80. Основанием для начала административной процедуры по принятию решения о выдаче или об отказе в выдаче лицензии, является принятие ответственным подразделением экспертного заключения и поступление в ответственное подразделение акта проверки (инспекции) (в случае если таковая проводилась).

81. Должностным лицом, ответственным за принятие решения о выдаче или об отказе в выдаче лицензии, является:

заместитель руководителя Ростехнадзора, организующий и координирующий деятельность ответственного подразделения центрального аппарата Ростехнадзора - в случае предоставления государственной услуги центральным аппаратом Ростехнадзора;

заместитель руководителя территориального органа Ростехнадзора - в случае предоставления государственной услуги соответствующим территориальным органом Ростехнадзора.

82. Должностным лицом, ответственным за подготовку проекта решения о выдаче или об отказе в выдаче лицензии, является начальник ответственного подразделения (или лицо, исполняющее его обязанности), который назначает исполнителей для подготовки проекта указанного решения.

Решение о выдаче или об отказе в выдаче лицензии принимается в течение 30 рабочих дней со дня завершения экспертизы безопасности (экспертизы обоснования безопасности) объекта использования атомной энергии и (или) лицензируемого вида деятельности.

В решение о выдаче или об отказе в выдаче лицензии включаются сведения о результатах и реквизитах акта проверки (инспекции) (в случае ее проведения), результаты и реквизиты экспертного заключения.

83. Проект решения о выдаче или об отказе в выдаче лицензии оформляется в двух экземплярах, один из которых должен быть завизирован исполнителями на последнем листе, и подписывается начальником ответственного подразделения (или лицом, исполняющим его обязанности).

Форма решения о выдаче или об отказе в выдаче лицензии приведена в приложении N 10 к Регламенту.

84. При подготовке проекта решения о выдаче лицензии ответственное подразделение подготавливает:

1) проект лицензии, который оформляется в одном экземпляре и визируется исполнителями и начальником ответственного подразделения (или лицом, исполняющим его обязанности);

2) условия действия лицензии, которые оформляются в двух экземплярах и подписываются начальником ответственного подразделения (или лицом, исполняющим его обязанности), один экземпляр условий действия лицензии визируется исполнителями на последнем листе.

85. В проект лицензии включаются следующие сведения:

а) наименование лицензирующего органа;

б) полное и сокращенное (если имеется) наименование юридического лица (лицензиата), его местонахождение;

в) идентификационный номер налогоплательщика;

г) лицензируемый вид деятельности (лицензируемые виды деятельности - в случае предоставления совмещенной лицензии);

д) срок действия лицензии;

е) объект(ы), на котором(ых) или в отношении которого(ых) осуществляется деятельность;

ж) основной государственный регистрационный номер юридического лица;

з) номер и дата заявления о предоставлении лицензии;

и) номер и дата решения о предоставлении лицензии;

к) регистрационный номер лицензии.

86. В условия действия лицензии включаются положения, соблюдение которых необходимо для обеспечения безопасности объекта использования атомной энергии и проводимых работ.

Условия действия лицензии формируются исходя из результатов экспертизы безопасности (экспертизы обоснования безопасности) объекта использования атомной энергии и (или) лицензируемого вида деятельности, реализации предложенных соискателем лицензии (лицензиатом) организационно-технических мер по компенсации дефицитов безопасности, выявленных в результате экспертизы безопасности (экспертизы обоснования безопасности) объекта использования атомной энергии и (или) лицензируемого вида деятельности на объекте или в отношении указанного объекта, а также исходя из текущего технического состояния элементов объекта использования атомной энергии.

87. Содержание условий действия лицензии может дополняться и изменяться при:

1) выявлении неизвестных ранее обстоятельств, связанных с безопасностью объекта и (или) лицензируемого вида деятельности;

2) при вступлении в силу новых нормативных правовых актов, в том числе федеральных норм и правил в области использования атомной энергии;

3) при обращении лицензиата с заявлением об изменении условий действия лицензии с предоставлением обоснования безопасности заявленных изменений.

88. Для утверждения решения о выдаче лицензии ответственным подразделением подготавливаются следующие документы:

1) проект решения о выдаче лицензии (в двух экземплярах);

2) проект лицензии (в одном экземпляре);

3) условия действия лицензии (в двух экземплярах);

4) экспертное заключение экспертной организации;

5) акт проверки (инспекции) (в случае если проверка (инспекция) проводилась).

89. Для утверждения решения об отказе в выдаче лицензии ответственным подразделением подготавливаются следующие документы:

1) проект решения об отказе в выдаче лицензии (в двух экземплярах);

2) экспертное заключение экспертной организации;

3) акт проверки (инспекции) (в случае если проверка (инспекция) проводилась).

90. Проект решения о выдаче или об отказе в выдаче лицензии представляется на утверждение:

заместителю руководителя Ростехнадзора - в случае предоставления государственной услуги центральным аппаратом Ростехнадзора;

заместителю руководителя территориального органа Ростехнадзора или лицу, исполняющему его обязанности - в случае предоставления государственной услуги соответствующим территориальным органом Ростехнадзора.

91. В соответствии с требованиями пункта 24 Положения о лицензировании в предоставлении лицензии может быть отказано по следующим основаниям:

1) в заявлении о предоставлении лицензии и (или) документах, представленных для получения лицензии, имеется недостоверная или искаженная информация;

2) экспертное заключение содержит выводы о том, что безопасность объекта использования атомной энергии и (или) лицензируемого вида деятельности не обеспечена и (или) что документы, представленные соискателем лицензии для получения лицензии и обосновывающие безопасность объекта использования атомной энергии и (или) лицензируемого вида деятельности, не соответствуют законодательству Российской Федерации, требованиям федеральных норм и правил в области использования атомной энергии;

3) результаты проведенной проверки (инспекции) свидетельствуют о том, что:

фактическое состояние объекта использования атомной энергии, его элементов и систем или условия осуществления лицензируемого вида деятельности не соответствует требованиям федеральных норм и правил в области использования атомной энергии;

выявлены факты, подтверждающие отсутствие у соискателя лицензии возможности осуществлять лицензируемый вид деятельности с соблюдением установленных требований по обеспечению безопасности объекта использования атомной энергии и проводимых работ, а также обеспечивать качество выполняемых работ и предоставляемых услуг, отвечающих федеральным нормам и правилам в области использования атомной энергии.

92. Критериями принятия решения об отказе в выдаче лицензии являются установление одного и более фактов:

1) наличия недостоверных или искаженных, взаимопротиворечащих сведений в документах, представленных для получения лицензии, несоответствие заявленной деятельности и средств ее осуществления законодательству Российской Федерации;

2) наличия в документах, представленных для получения лицензии, значимой некорректности или грубой ошибки, допущенных соискателем лицензии при обосновании обеспечения безопасности ядерной установки, радиационного источника, пункта хранения и (или) заявленной деятельности (в частности, некорректный выбор исходных данных, граничных условий, условий испытаний; применение не верифицированных и не аттестованных по установленным процедурам программных средств; некорректный выбор условий, среды, параметров испытаний; ошибочное применение расчетных формул);

3) наличия в представленном соискателем лицензии обосновании безопасности заявленной деятельности несоответствия требованиям безопасности (принципам, пределам, условиям, критериям безопасности), установленным федеральными нормами и правилами в области использования атомной энергии.

93. Результатом административной процедуры по принятию решения о выдаче или об отказе в выдаче лицензии является утвержденное решение о выдаче или об отказе в выдаче лицензии.

94. В случае принятия решения о выдаче лицензии в течение трех рабочих дней со дня утверждения решения о выдаче лицензии ответственное подразделение:

1) письменно уведомляет соискателя лицензии о принятом решении о выдаче лицензии. В уведомлении о принятом решении о выдаче лицензии указывается телефон координирующего подразделения и порядок получения лицензии;

2) направляет в координирующее подразделение (с сопроводительной служебной запиской):

утвержденное решение о выдаче лицензии (в двух экземплярах);

проект лицензии;

условия действия лицензии (в двух экземплярах).

Ответственное подразделение передает в координирующее подразделение электронные копии указанных документов.

95. В случае принятия решения об отказе в выдаче лицензии в течение трех рабочих дней со дня утверждения решения об отказе в выдаче лицензии ответственное подразделение:

1) письменно уведомляет соискателя лицензии о принятом решении об отказе в выдаче лицензии (при этом, в уведомлении указывается обоснованная причина отказа в соответствии с основаниями, изложенными в пункте 24 Положения о лицензировании);

2) направляет в координирующее подразделение утвержденный визовый экземпляр решения об отказе в выдаче лицензии с сопроводительным письмом (одновременно ответственное подразделение передает в координирующее подразделение электронную копию указанного документа).

96. В ответственном подразделении хранятся: решение о выдаче лицензии - в течение срока действия лицензии, а также 1 года после окончания срока действия лицензии; решение об отказе в выдаче лицензии - в течение 1 года после его принятия.

97. Результаты административной процедуры по принятию решения о выдаче или об отказе в выдаче лицензии фиксируются путем регистрации утвержденного решения о выдаче или об отказе в выдаче лицензии в координирующем подразделении.

Предоставление лицензии, включающей в себя перечень условий ее действия

98. Основанием для начала административной процедуры по предоставлению лицензии, включающей в себя перечень условий ее действия, включая ее регистрацию и оформление, является поступление в координирующее подразделение (с сопроводительной служебной запиской из ответственного подразделения) оформленных в установленном порядке следующих документов:

1) утвержденного решения о выдаче лицензии (в двух экземплярах);

2) проекта лицензии;

3) условий действия лицензии (в двух экземплярах).

99. Должностным лицом, ответственным за организацию работ по предоставлению лицензии, включающей в себя условия ее действия, включая ее оформление и регистрацию, является начальник координирующего подразделения (или лицо, исполняющее его обязанности), который назначает исполнителей для данной административной процедуры.

100. Назначенные исполнители обеспечивают выполнение следующих административных действий:

1) присвоение утвержденному решению о выдаче лицензии и лицензии регистрационного номера;

2) оформление лицензии на бланке строгой отчетности установленного образца (имеющем учетную серию и номер) и копии лицензии (копия лицензии визируется исполнителями).

101. Визирование копии лицензии осуществляется:

начальником координирующего подразделения (или лицом, исполняющим его обязанности);

начальником ответственного подразделения (или лицом, исполняющим его обязанности);

заместителем руководителя Ростехнадзора - в случае предоставления государственной услуги центральным аппаратом Ростехнадзора;

заместителем руководителя территориального органа - в случае предоставления государственной услуги соответствующим территориальным органом Ростехнадзора.

102. Подписание лицензии и визового экземпляра ее копии осуществляется:

руководителем Ростехнадзора - в случае предоставления государственной услуги центральным аппаратом Ростехнадзора;

руководителем территориального органа - в случае предоставления государственной услуги соответствующим территориальным органом Ростехнадзора.

При передаче лицензии и визового экземпляра ее копии на подпись к ним прилагаются условия действия лицензии и утвержденное решение о выдаче лицензии.

103. Заверение подписанных лицензии и ее копии осуществляется:

гербовой печатью Ростехнадзора - в случае предоставления государственной услуги центральным аппаратом Ростехнадзора;

гербовой печатью территориального органа Ростехнадзора - в случае предоставления государственной услуги соответствующим территориальным органом Ростехнадзора.

Проставление печати на лицензии и ее копии осуществляется работником структурного подразделения, которому передана гербовая печать на ответственное хранение.

104. Координирующее подразделение обеспечивает согласование с соискателем лицензии времени и места предоставления лицензии.

После получения уведомления о принятии решения о выдаче лицензии соискатель лицензии уточняет по телефону у работника координирующего подразделения, ответственного за оформление и предоставление лицензии, состояние готовности лицензии, дату и время ее получения.

Дата и время получения лицензии должны быть установлены таким образом, чтобы исключить ожидание представителей соискателя лицензии и образование очереди. Продолжительность выдачи лицензии не должна превышать 15 минут.

105. В соответствии с требованиями пункта 25 Положения о лицензировании лицензия, включающая в себя условия ее действия, оформляется Ростехнадзором и выдается соискателю лицензии в течение 20 рабочих дней со дня принятия решения о выдаче лицензии.

106. Результаты административной процедуры, предусмотренной пунктами 98 - 105 Регламента, фиксируются координирующим подразделением путем регистрации в реестре лицензий и оформления лицензии с установленными условиями ее действия (присвоение лицензии регистрационного номера, оформление лицензии на бланке строгой отчетности установленного образца, подписание лицензии и ее копии и заверение лицензии и ее копии гербовой печатью).

107. Лицензия предоставляется на срок, устанавливаемый исходя из срока, в течение которого безопасность деятельности и объекта, на котором или в отношении которого планируется осуществлять лицензируемый вид деятельности, обоснована соискателем лицензии и подтверждена результатом экспертизы безопасности (экспертизы обоснования безопасности).

Лицензия предоставляется на срок не более 10 лет в отношении видов деятельности, осуществление которых не предусматривает проведения ядерно и радиационно опасных работ.

108. Лицензия (с приложением условий ее действия) выдается координирующим подразделением представителю соискателя лицензии под роспись при предоставлении им документа, подтверждающего право представителя соискателя на получение лицензии.

109. В случае предоставления государственной услуги центральным аппаратом Ростехнадзора лицензия с условиями ее действия выдается координирующим подразделением представителю соискателя лицензии с сопроводительным письмом, подписанным начальником координирующего подразделения.

После выдачи лицензии координирующее подразделение направляет с сопроводительным письмом:

1) экземпляр решения о выдаче лицензии, ксерокопию лицензии с условиями действия лицензии - в ответственное подразделение;

2) копию лицензии с условиями действия лицензии - в территориальный орган Ростехнадзора (по месту регистрации соискателя лицензии) для организации государственного надзора и контроля за соблюдением условий действия лицензии.

110. В случае предоставления государственной услуги территориальным органом Ростехнадзора лицензия с условиями ее действия выдается координирующим подразделением представителю соискателя с сопроводительным письмом, подписанным руководителем территориального органа (или уполномоченным им должностным лицом).

После выдачи лицензии ксерокопия лицензии с условиями действия лицензии направляется:

координирующим подразделением - в ответственное подразделение;

руководителем территориального органа (или уполномоченным им должностным лицом) - в соответствующее структурное подразделение территориального органа для организации государственного надзора и контроля за соблюдением условий действия лицензии.

111. Предоставление лицензии в электронной форме не осуществляется.

112. Форма бланка лицензии приведена в приложении N 11 к Регламенту, форма условий действия лицензии приведена в приложении N 12 к Регламенту.

Переоформление лицензии

Рассмотрение заявления о переоформлении лицензии, включая предварительную проверку перечня прилагаемых к заявлению документов и соблюдения установленных законодательством Российской Федерации правил их оформления

113. Основанием для начала административной процедуры по рассмотрению заявления о переоформлении лицензии, включая предварительную проверку перечня прилагаемых к заявлению документов и соблюдения установленных законодательством Российской Федерации правил их оформления является поступление в координирующее подразделение заявления о переоформлении лицензии вместе с прилагаемыми документами.

114. Заявление о переоформлении лицензии должно быть подано в Ростехнадзор в случаях реорганизации юридического лица (лицензиата) в форме преобразования, при изменении его местонахождения или наименования в течение 15 рабочих дней со дня оформления в надлежащем порядке соответственно реорганизации, изменения местонахождения или наименования, если иное не установлено законодательством Российской Федерации.

Заявление подается юридическим лицом (лицензиатом) или его правопреемником.

В заявлении должна быть приведена информация о произошедших изменениях с приложением измененных документов из состава документов, ранее представлявшихся для получения лицензии.

115. Переоформление лицензии при реорганизации юридического лица (лицензиата) в форме преобразования, изменении его местонахождения или наименования производится в порядке, установленном для получения лицензии с учетом следующих условий, установленных в пунктах 42, 43 Положения о лицензировании:

1) экспертиза безопасности (экспертиза обоснования безопасности) не проводится, если документы, представлявшиеся для получения лицензии, и вид деятельности, предусмотренный лицензией, не изменились (за исключением реорганизации, изменения местонахождения или наименования юридического лица (лицензиата));

2) проверка (инспекция) не проводится, если при проведении проверок (инспекций) лицензиата до реорганизации, изменения местонахождения или наименования юридического лица (лицензиата) не были выявлены случаи нарушения им УДЛ;

3) в случае если экспертиза безопасности (экспертиза обоснования безопасности) и проверка (инспекция) по основаниям, указанным в пункте 42 Положения о лицензировании, не проводятся, переоформление лицензии осуществляется в течение 15 рабочих дней;

4) до переоформления лицензии или принятия Ростехнадзором мотивированного решения об отказе в переоформлении ранее выданной лицензии лицензиат (его правопреемник) осуществляет деятельность на основании ранее выданной лицензии;

5) письменное уведомление об отказе в переоформлении ранее выданной лицензии в течение 3 рабочих дней со дня принятия решения об отказе в переоформлении лицензии доводится до лицензиата (его правопреемника) с указанием причин, по которым было отказано в переоформлении лицензии;

6) в случае переоформления лицензии ранее выданная лицензия подлежит возврату в Ростехнадзор при получении переоформленной лицензии. Переоформленная лицензия выдается с тем же сроком действия, что и ранее выданная лицензия. При этом действие ранее выданной лицензии прекращается с даты начала действия переоформленной лицензии;

7) в случае если лицензиатом в отношении переоформления лицензии выступает национальный оператор по обращению с радиоактивными отходами согласно части второй статьи 41 Федерального закона "Об обращении с радиоактивными отходами и о внесении изменений в отдельные законодательные акты Российской Федерации", переоформление лицензии осуществляется в порядке, предусмотренном настоящим Регламентом для получения лицензии. При этом документы, предусмотренные подпунктами 3, 5, 7 - 9 пункта 18 Регламента, не представляются.

116. Рассмотрение заявления о переоформлении лицензии, включая предварительную проверку перечня прилагаемых к заявлению документов и соблюдения установленных законодательством Российской Федерации правил их оформления, производится в соответствии с пунктами 45 - 47 Регламента.

Принятие решения о рассмотрении документов, представленных для переоформления лицензии, или об отказе в рассмотрении этих документов

117. Основанием для начала административной процедуры по принятию решения о рассмотрении документов, представленных для переоформления лицензии, или об отказе в рассмотрении этих документов является завершение рассмотрения заявления о переоформлении лицензии, включая предварительную проверку перечня прилагаемых к заявлению документов и соблюдения установленных законодательством Российской Федерации правил их оформления.

Принятие решения о рассмотрении документов, представленных для переоформления лицензии, или об отказе в рассмотрении этих документов производится в соответствии с пунктами 51 - 54 Регламента.

Рассмотрение документов, представленных для переоформления лицензии, включая проверку достоверности сведений, содержащихся в указанных документах

118. Основанием для начала административной процедуры по рассмотрению документов, представленных для переоформления лицензии, включая проверку достоверности сведений, содержащихся в указанных документах, является принятие решения о рассмотрении документов, представленных для переоформления лицензии.

Рассмотрение документов, представленных для переоформления лицензии, включая проверку достоверности сведений, содержащихся в указанных документах, производится в соответствии с пунктами 57 - 79 Регламента с учетом пункта 115 Регламента.

119. Проверка (инспекция) лицензиата и объекта, на котором или в отношении которого соискателем лицензии планируется осуществлять лицензируемый вид деятельности, проводится в соответствии с пунктами 60 - 66 Регламента. По основаниям, указанным в пункте 115 Регламента проверка (инспекция) не проводится.

120. Организация проведения экспертизы безопасности (экспертизы обоснования безопасности) объекта использования атомной энергии и (или) лицензируемого вида деятельности производится в соответствии с пунктами 67 - 77 Регламента. По основаниям, указанным в пункте 115 Регламента экспертиза безопасности (экспертиза обоснования безопасности) не проводится.

Принятие решения о переоформлении или об отказе в переоформлении лицензии

121. Основанием для начала административной процедуры по принятию решения о переоформлении или об отказе в переоформлении лицензии является завершение рассмотрения документов, представленных для переоформления лицензии.

Принятие решения о переоформлении или об отказе в переоформлении лицензии производится в соответствии с пунктами 81 - 97 Регламента.

Предоставление переоформленной лицензии

122. Основанием для начала административной процедуры по предоставлению переоформленной лицензии является принятие решения о переоформлении или об отказе в переоформлении.

Предоставление переоформленной лицензии производится в соответствии с пунктами 99 - 106,108 - 111 Регламента.

123. Форма заявления о переоформлении лицензии приведена в приложении N 16 к Регламенту.

Прекращение действия лицензии

Рассмотрение заявления о прекращении осуществления лицензируемого вида деятельности

124. Основанием для начала административной процедуры по рассмотрению заявления о прекращении осуществления лицензируемого вида деятельности является представление лицензиатом в Ростехнадзор заявления о прекращении действия лицензии с приложением к заявлению документов, обосновывающих безопасное прекращение деятельности лицензиата (требования к составу документов, обосновывающих безопасное прекращение осуществления лицензиатом лицензируемого вида деятельности, приведены в приложении N 7 к Регламенту).

125. Должностным лицом, ответственным за рассмотрение заявления о прекращении осуществления лицензируемого вида деятельности, является начальник координирующего подразделения (или лицо, исполняющее его обязанности).

126. Начальник координирующего подразделения (или лицо, исполняющее его обязанности) назначает исполнителей для рассмотрения заявления о прекращении осуществления лицензируемого вида деятельности.

127. Исполнители присваивают заявлению регистрационный номер в соответствии с установленным в Ростехнадзоре порядком и в течение трех рабочих дней с момента поступления в координирующее подразделение заявления о прекращении осуществления лицензируемого вида деятельности направляют в ответственное подразделение заявление о прекращении осуществления лицензируемого вида деятельности (с указанием регистрационного номера, присвоенного заявлению) с приложением к заявлению документов, обосновывающих безопасное прекращение деятельности лицензиата, с сопроводительной служебной запиской, подписанной начальником координирующего подразделения (или лицом, исполняющим его обязанности).

Принятие решения о прекращении действия лицензии на основании результатов проверки достоверности сведений, содержащихся в документах, обосновывающих безопасное прекращение деятельности лицензиата

128. Основанием для начала административной процедуры по принятию решения о прекращении действия лицензии является завершение проверки достоверности сведений, содержащихся в документах, обосновывающих безопасное прекращение деятельности лицензиата. Решение о прекращении действия лицензии принимается Ростехнадзором на основании результатов проверки достоверности сведений, содержащихся в документах, обосновывающих безопасное прекращение деятельности лицензиата, приложенных к заявлению о прекращении действия лицензии, путем проведения проверки (инспекции).

Проверка (инспекция) организуется ответственным подразделением в соответствии с пунктами 60 - 66 Регламента.

129. Основанием для прекращения действия лицензии является:

1) представление лицензиатом заявления о прекращении осуществления лицензируемого вида деятельности с приложением документов, обосновывающих безопасное прекращение такой деятельности;

2) прекращение юридического лица (лицензиата) в соответствии с законодательством Российской Федерации (за исключением реорганизации в форме преобразования), если иное не установлено федеральным законом.

130. Должностным лицом, ответственным за подготовку проекта решения о прекращении осуществления лицензируемого вида деятельности является начальник ответственного подразделения.

131. В течение 7 рабочих дней с момента получения результатов проверки достоверности сведений, содержащихся в документах, обосновывающих безопасное прекращение деятельности лицензиата (включая получение акта проверки (инспекции)), ответственное подразделение подготавливает проект решения о прекращении действия лицензии.

В проекте решения указываются обоснованная причина и дата, с которой действие лицензии прекращается. Проект решения, подписанный начальником ответственного подразделения, направляется в координирующее подразделение для представления на утверждение руководителю Ростехнадзора или руководителю территориального органа Ростехнадзора (в случае предоставления государственной услуги по лицензированию территориальным органом Ростехнадзора).

Информация о принятом решении доводится до сведения соответствующего территориального органа.

132. Результатом административной процедуры по прекращению действия лицензии является утвержденное решение о прекращении действия лицензии.

Результат административной процедуры фиксируется координирующим подразделением путем присвоения решению о прекращении действия лицензии регистрационного номера.

133. Форма заявления о прекращении действия лицензии приведена в приложении N 17 к Регламенту.

134. Форма решения о прекращении действия лицензии приведена в приложении N 18 к Регламенту.

Возобновление действия лицензии

Рассмотрение заявления о возобновлении действия лицензии

135. Основанием для начала административной процедуры по рассмотрению заявления о возобновлении действия лицензии является поступление в координирующее подразделение заявления лицензиата о возобновлении действия лицензии, содержащего сведения об изменении обстоятельств (устранении нарушений), повлекших приостановление <2> действия лицензии по основаниям, установленным в пунктах 33, 34 Положения о лицензировании.

<2> В соответствии с Административным регламентом по исполнению Федеральной службой по экологическому, технологическому и атомному надзору государственной функции по федеральному государственному надзору в области использования атомной энергии", утвержденным приказом Ростехнадзора от 7 июня 2013 г. N 248 (зарегистрирован Министерством юстиции Российской Федерации 25 июля 2013 г., регистрационный N 29174; Российская газета, 2013, N 175)

136. Должностным лицом, ответственным за рассмотрение заявления о возобновлении действия лицензии, является начальник координирующего подразделения или лицо, исполняющее его обязанности.

137. Начальник координирующего подразделения (или лицо, исполняющее его обязанности) назначает исполнителей для рассмотрения заявления о возобновлении действия лицензии.

138. Исполнители присваивают заявлению регистрационный номер в соответствии с установленным в Ростехнадзоре порядком и в течение трех рабочих дней с момента поступления в координирующее подразделение заявления о возобновлении действия лицензии направляют в ответственное подразделение заявление о возобновлении действия лицензии (с указанием регистрационного номера, присвоенного заявлению) с сопроводительным письмом, подписанным начальником координирующего подразделения (или лицом, исполняющим его обязанности).

139. Основанием для возобновлении действия лицензии являются результаты проверки (инспекции) лицензиата при осуществлении федерального государственного надзора в области использования атомной энергии, подтверждающие изменение обстоятельств (устранение нарушений), повлекших приостановление действия лицензии по основаниям, установленным в пунктах 33, 34 Положения о лицензировании.

Организация проверки достоверности сведений об изменении обстоятельств (устранении нарушений), повлекших приостановление действия лицензии

140. Основанием для начала административной процедуры по организации проверки достоверности сведений об изменении обстоятельств (устранении нарушений), повлекших приостановление действия лицензии, является завершение рассмотрения заявления о возобновлении действия лицензии. Должностным лицом, ответственным за организацию проверки достоверности сведений об изменении обстоятельств (устранении нарушений), повлекших приостановление действия лицензии по основаниям, установленным в пунктах 33, 34 Положения о лицензировании, и подготовку проекта решения о возобновлении действия лицензии является начальник ответственного подразделения.

В течение 15 рабочих дней с момента поступления в ответственное подразделение заявления о возобновлении действия лицензии ответственное подразделение:

организует проверку достоверности сведений об изменении обстоятельств (устранении нарушений), повлекших приостановление действия лицензии по основаниям, установленным в пункте 33 Положения о лицензировании, путем проверки (инспекции) лицензиата в соответствии с пунктами 60 - 66 Регламента;

подготавливает проект решения о возобновлении действия лицензии.

141. Результатом административной процедуры по проверке достоверности сведений об изменении обстоятельств (устранении нарушений), повлекших приостановление действия лицензии по основаниям, установленным в пунктах 33, 34 Положения о лицензировании, является завершение проверки (инспекции) лицензиата и оформление акта проверки (инспекции).

Результаты административной процедуры фиксируются путем регистрации акта проверки (инспекции) соответствующим территориальным органом.

Принятие решения о возобновлении действия лицензии или об отказе в возобновлении действия лицензии

142. Основанием для начала административной процедуры по принятию решения о возобновлении действия лицензии или об отказе в возобновлении действия лицензии является завершение проверки достоверности сведений об изменении обстоятельств (устранение нарушений), повлекших приостановление действия лицензии. В проекте решения о возобновлении действия лицензии указываются реквизиты акта проверки (инспекции) лицензиата, а также результаты проверки (инспекции), подтверждающие изменение обстоятельств (устранении нарушений), повлекших приостановление действия лицензии по основаниям, установленным в пунктах 33, 34 Положения о лицензировании, и дата, с которой действие лицензии возобновляется.

143. Проект решения о возобновлении действия лицензии оформляется в двух экземплярах, один из которых на последнем листе визируется исполнителями, начальником ответственного подразделения, подписывается заместителем руководителя Ростехнадзора (или заместителем руководителя соответствующего территориального органа Ростехнадзора) и с сопроводительной служебной запиской представляется в координирующее подразделение для последующего утверждения:

в центральном аппарате Ростехнадзора - руководителем Ростехнадзора;

в территориальном органе - руководителем территориального органа.

Одновременно ответственное подразделение передает в координирующее подразделение электронную копию указанного документа.

144. Координирующее подразделение обеспечивает утверждение решения о возобновлении действия лицензии:

в центральном аппарате - руководителем Ростехнадзора;

в территориальном органе - руководителем соответствующего территориального органа, а также заверение утвержденного решения о возобновлении действия лицензии гербовой печатью Ростехнадзора или соответствующего территориального органа.

145. Координирующее подразделение присваивает регистрационный номер утвержденному решению о возобновлении действия лицензии.

Лицензия считается возобновленной после принятия Ростехнадзором указанного решения, о чем в течение 3 рабочих дней со дня его принятия координирующее подразделение информирует лицензиата и органы, которым направлялась информация о приостановлении действия лицензии.

Одновременно координирующее подразделение направляет ксерокопию указанного решения:

в случае предоставления государственной услуги по лицензированию центральным аппаратом Ростехнадзора:

в ответственное подразделение центрального аппарата Ростехнадзора; в соответствующий территориальный орган Ростехнадзора; в случае предоставления государственной услуги по лицензированию территориальным органом Ростехнадзора:

в соответствующее структурное подразделение территориального органа Ростехнадзора.

146. Форма заявления о возобновлении действия лицензии приведена в приложении N 19 к настоящему Регламенту.

147. Форма решения о возобновлении действия лицензии приведена в приложении N 20 к Регламенту.

Предоставление дубликата лицензии

Рассмотрение заявления о выдаче дубликата лицензии

148. Основанием для начала административной процедуры по рассмотрению заявления о выдаче дубликата лицензии является поступление в координирующее подразделение заявления лицензиата о выдаче дубликата лицензии в связи с:

утратой лицензии;

порчей лицензии.

149. Заявление о выдаче дубликата лицензии лицензиат обязан представить в течение 5 рабочих дней со дня утраты лицензии или ее порчи.

150. Лицензиат вправе указать в заявлении о выдаче дубликата лицензии сведения об уплате государственной пошлины за предоставление такого дубликата. В случае порчи лицензии к заявлению о выдаче дубликата лицензии прилагается испорченный бланк лицензии.

151. Должностным лицом, ответственным за рассмотрение заявления о выдаче дубликата лицензии, является начальник координирующего подразделения (или лицо, исполняющее его обязанности).

152. Начальник координирующего подразделения (или лицо, исполняющее его обязанности) назначает исполнителей для рассмотрения заявления о выдаче дубликата лицензии.

Оформление дубликата лицензии

153. Основанием для начала административной процедуры по оформлению дубликата лицензии является завершение рассмотрения заявления о выдаче дубликата лицензии. Назначенные исполнители присваивают заявлению регистрационный номер в соответствии с установленным в Ростехнадзоре порядком и обеспечивают выполнение следующих административных действий:

оформление дубликата лицензии с указанием реквизитов утраченной лицензии на бланке лицензии и с пометкой "дубликат"; подписание дубликата лицензии:

руководителем Ростехнадзора - в случае предоставления государственной услуги по лицензированию центральным аппаратом Ростехнадзора;

руководителем территориального органа - в случае предоставления государственной услуги по лицензированию соответствующим территориальным органом Ростехнадзора;

заверение подписанного дубликата лицензии:

гербовой печатью Ростехнадзора - в случае предоставления государственной услуги по лицензированию центральным аппаратом Ростехнадзора;

гербовой печатью территориального органа Ростехнадзора - в случае предоставления государственной услуги по лицензированию соответствующим территориальным органом Ростехнадзора (проставление печати на лицензии и ее копии осуществляется работником структурного подразделения, которому передана гербовая печать на ответственное хранение);

согласование с лицензиатом времени и места выдачи дубликата лицензии.

154. Административные действия, указанные в пункте 153 настоящего Регламента, выполняются в течение 3 рабочих дней со дня получения заявления о выдаче дубликата лицензии.

Предоставление дубликата лицензии

155. Основанием для начала административной процедуры по предоставлению дубликата лицензии является завершение оформления дубликата лицензии. Дубликат лицензии выдается представителю лицензиата под роспись после представления документа, подтверждающего его право на получение дубликата лицензии.

156. Форма заявления о выдаче дубликата лицензии приведена в приложении N 21 к Регламенту.

Внесение изменения в УДЛ по заявлению лицензиата в связи с необходимостью изменения включенных в УДЛ документов, обосновывающих обеспечение безопасности объектов использования атомной энергии и (или) лицензируемого вида деятельности, или в связи с исключением выполненных пунктов УДЛ

Рассмотрение и регистрация заявления о внесении изменения в УДЛ

157. Основанием для начала административной процедуры по рассмотрению и регистрации заявления о внесении изменения в УДЛ в связи с необходимостью изменения включенных в УДЛ документов, обосновывающих обеспечение безопасности объектов использования атомной энергии и (или) лицензируемого вида деятельности, или в связи с исключением выполненных пунктов УДЛ, является поступление в координирующее подразделение заявления от лицензиата вместе с прилагаемыми документами.

158. Для внесения изменения в УДЛ лицензиат представляет в Ростехнадзор:

заявление о внесении изменения в УДЛ с изложением изменения;

3 комплекта документов, обосновывающих обеспечение безопасности ядерной установки, радиационного источника, пункта хранения и (или) лицензируемого вида деятельности в связи с планируемым изменением.

Допускается представление одного комплекта документов на бумажном носителе и 2-х комплектов документов на 2-х электронных носителях (по одному комплекту документов на каждом электронном носителе). Требования к оформлению комплектов документов в случае представления их на электронном носителе установлены в приложении N 6 к настоящему Регламенту. При этом лицензиат обеспечивает соответствие содержания комплекта документов на бумажном носителе содержанию комплектов документов на электронном носителе.

159. Координирующее подразделение в течение трех рабочих дней с момента поступления заявления о внесении изменения в УДЛ присваивает ему регистрационный номер в соответствии с установленным в Ростехнадзоре порядком и направляет его вместе с прилагаемыми документами в ответственное подразделение (с указанием регистрационного номера, присвоенного заявлению) с сопроводительной служебной запиской, подписанной начальником координирующего подразделения (или лицом, исполняющим его обязанности).

160. Форма заявления лицензиата о внесении изменения в УДЛ приведена в приложении N 13 к Регламенту.

Рассмотрение документов, представленных для внесения изменения в УДЛ, включая проверку достоверности сведений, содержащихся в представленных документах

161. Основанием для начала административной процедуры по рассмотрению документов, представленных для внесения изменения в УДЛ, включая проверку достоверности сведений, содержащихся в представленных документах, является поступление в ответственное подразделение заявления вместе с прилагаемыми документами.

162. Должностным лицом, ответственным за рассмотрение документов, представленных для внесения изменения в УДЛ, является начальник ответственного подразделения (или лицо, исполняющее его обязанности), который назначает исполнителей для рассмотрения указанных документов.

163. Порядок рассмотрения документов, представленных для внесения изменения в УДЛ, включая проверку достоверности сведений, содержащихся в указанных документах, аналогичен порядку рассмотрения документов, представленных для получения лицензии и осуществляется в соответствии с пунктами 57 - 79 Регламента.

164. По инициативе лицензиата рассмотрение документов, представленных для внесения изменения в УДЛ, может быть приостановлено на срок, указанный в письменном обращении лицензиата, или прекращено при отзыве лицензиатом заявления о внесении изменения в УДЛ.

Принятие решения о внесении изменения в УДЛ или об отказе во внесении изменения в УДЛ

165. Основанием для начала административной процедуры по принятию решения о внесении изменения в УДЛ или об отказе во внесении изменения в УДЛ является поступление в ответственное подразделение оформленных в установленном порядке экспертного заключения и акта проверки (инспекции) (в случае если проверка (инспекция) проводилась).

166. Должностным лицом, ответственным за принятие решения о внесении изменения в УДЛ или об отказе во внесении изменения в УДЛ, является:

заместитель руководителя Ростехнадзора - в случае предоставления государственной услуги центральным аппаратом Ростехнадзора;

заместитель руководителя территориального органа - в случае предоставления государственной услуги соответствующим территориальным органом.

167. Должностным лицом, ответственным за подготовку проекта решения о внесении изменения в УДЛ или об отказе во внесении изменения в УДЛ, является начальник ответственного подразделения (или лицо, исполняющее его обязанности), который назначает исполнителей для подготовки проекта указанного решения.

Решение о внесении изменения в УДЛ или об отказе во внесении изменения в УДЛ принимается в течение 30 рабочих дней со дня завершения экспертизы безопасности (экспертизы обоснования безопасности) объекта использования атомной энергии и (или) лицензируемого вида деятельности с учетом вносимых изменений.

В решение включаются сведения о результатах и реквизитах акта проверки (инспекции) (в случае если проверка (инспекция) проводилась), о результатах и реквизитах экспертного заключения.

168. Проект решения о внесении изменения в УДЛ или об отказе во внесении изменения в УДЛ оформляется в двух экземплярах, один из которых должен быть завизирован исполнителями на последнем листе, и подписывается начальником ответственного подразделения (или лицом, исполняющим его обязанности).

169. При подготовке проекта решения о внесении изменения в УДЛ ответственное подразделение подготавливает изменение УДЛ, которое оформляется в двух экземплярах и подписывается начальником ответственного подразделения (или лицом, исполняющим его обязанности), один экземпляр изменения УДЛ визируется исполнителями на последнем листе.

170. Решение о внесении изменения в УДЛ или об отказе во внесении изменения в УДЛ утверждается:

заместителем руководителя Ростехнадзора - в случае предоставления государственной услуги центральным аппаратом Ростехнадзора;

заместителем руководителя территориального органа или лицом, исполняющим его обязанности - в случае предоставления государственной услуги соответствующим территориальным органом Ростехнадзора.

171. Для утверждения решения о внесении изменения в УДЛ ответственным подразделением подготавливаются следующие документы:

1) проект решения о внесении изменения в УДЛ (в двух экземплярах);

2) проект изменения УДЛ (в двух экземплярах).

Указанные документы представляются на рассмотрение:

заместителю руководителя Ростехнадзора - в случае предоставления государственной услуги центральным аппаратом Ростехнадзора;

заместителю руководителя территориального органа или лицом, исполняющим его обязанности - в случае предоставления государственной услуги соответствующим территориальным органом Ростехнадзора.

172. Для утверждения решения об отказе во внесении изменения в УДЛ ответственным подразделением подготавливается проект решения об отказе во внесении изменения в УДЛ (в двух экземплярах).

Указанный документ представляется на утверждение:

заместителю руководителя Ростехнадзора - в случае предоставления государственной услуги центральным аппаратом Ростехнадзора;

заместителю руководителя территориального органа или лицом, исполняющим его обязанности - в случае предоставления государственной услуги соответствующим территориальным органом Ростехнадзора.

173. Решение об отказе во внесении изменения в УДЛ принимается по основаниям и критериям, установленным в пунктах 91 и 92 настоящего Регламента.

174. Результатом административной процедуры по принятию решения о внесении изменения в УДЛ или об отказе во внесении изменения в УДЛ является утвержденное решение о внесении изменения в УДЛ или об отказе во внесении изменения в УДЛ.

175. Передача результата административной процедуры по принятию решения о внесении изменения в УДЛ или об отказе во внесении изменения в УДЛ.

1) В случае принятия решения о внесении изменения в УДЛ ответственное подразделение в течение 3 рабочих дней со дня утверждения решения о внесении изменения в УДЛ:

а) письменно уведомляет лицензиата о принятом решении;

б) направляет в координирующее подразделение (с сопроводительной служебной запиской):

утвержденное решение о внесении изменения в УДЛ (в двух экземплярах);

изменение УДЛ, подписанное начальником ответственного подразделения (в двух экземплярах).

Одновременно ответственное подразделение передает в координирующее подразделение электронные копии указанных документов.

2) В случае принятия решения об отказе во внесении изменения в УДЛ ответственное подразделение в течение 3 рабочих дней со дня утверждения решения об отказе во внесении изменения в УДЛ:

а) письменно уведомляет лицензиата о принятом решении об отказе во внесении изменения в УДЛ (при этом указывается обоснованная причина отказа в соответствии с пунктом 24 Положения о лицензировании);

б) направляет в координирующее подразделение утвержденный визовый экземпляр решения об отказе во внесении изменения в УДЛ с сопроводительной служебной запиской (одновременно ответственное подразделение передает в координирующее подразделение электронную копию указанного документа).

В ответственном подразделении хранятся: решение о внесении изменения в УДЛ - в течение срока действия лицензии и одного года после окончания срока действия лицензии; решение об отказе во внесении изменения в УДЛ - в течение 1 года после его принятия.

176. Результаты административной процедуры по принятию решения о внесении в УДЛ или об отказе во внесении изменения в УДЛ фиксируются путем регистрации утвержденного решения о внесении или об отказе во внесении изменения в УДЛ в координирующем подразделении.

177. Форма решения о внесении изменения в УДЛ приведена в приложении N 14 к Регламенту.

Предоставление изменения УДЛ

178. Основанием для начала административной процедуры по предоставлению изменения УДЛ является поступление в координирующее подразделение (с сопроводительной служебной запиской из ответственного подразделения) оформленных в установленном порядке следующих документов:

1) утвержденного решения о внесении изменения в УДЛ (в двух экземплярах);

2) изменения УДЛ, подписанного начальником ответственного подразделения (в двух экземплярах).

179. Изменение УДЛ оформляется Ростехнадзором и выдается лицензиату в течение 20 рабочих дней со дня утверждения решения о внесении изменения в УДЛ.

180. Должностным лицом, ответственным за организацию работ по предоставлению изменения УДЛ, включая его регистрацию и оформление, является начальник координирующего подразделения (или лицо, исполняющее его обязанности), который назначает исполнителей для выполнения данной административной процедуры.

181. Назначенные исполнители обеспечивают выполнение следующих административных действий.

1) Присвоение утвержденному решению и изменению УДЛ регистрационного номера.

2) Утверждение изменения УДЛ, подписанного начальником ответственного подразделения:

руководителем Ростехнадзора - в случае предоставления государственной услуги центральным аппаратом Ростехнадзора;

руководителем территориального органа - в случае предоставления государственной услуги соответствующим территориальным органом.

При передаче на утверждение изменения УДЛ к нему прикладывается утвержденное решение о внесении изменения в УДЛ.

3) Заверение подписанного изменения УДЛ:

гербовой печатью Ростехнадзора - в случае предоставления государственной услуги центральным аппаратом Ростехнадзора;

гербовой печатью территориального органа - в случае предоставления государственной услуги соответствующим территориальным органом.

Проставление печати на изменении УДЛ осуществляется работником структурного подразделения, которому передана гербовая печать на ответственное хранение.

182. Координирующее подразделение обеспечивает согласование с лицензиатом времени и места выдачи изменения УДЛ.

После получения уведомления о принятии решения о внесении изменения в УДЛ лицензиат уточняет по телефону у работника координирующего подразделения, ответственного за оформление и предоставление изменения УДЛ, состояние готовности изменения УДЛ, дату и время его получения.

Время получения изменения УДЛ должно быть установлено таким образом, чтобы исключить ожидание представителей лицензиатов и образование очереди. Продолжительность предоставления изменения УДЛ не должна превышать 15 минут.

183. Результаты административной процедуры, предусмотренной пунктами 178 - 182 Регламента, фиксируются путем регистрации утвержденного изменения УДЛ в координирующем подразделении в установленном порядке.

184. Изменение УДЛ выдается координирующим подразделением представителю лицензиата под роспись при предоставлении им документа, подтверждающего право представителя лицензиата на получение изменения УДЛ.

185. В случае предоставления государственной услуги центральным аппаратом Ростехнадзора изменение УДЛ выдается координирующим подразделением представителю лицензиата с сопроводительным письмом, подписанным начальником координирующего подразделения.

После выдачи изменения УДЛ координирующее подразделение одновременно направляет с сопроводительным письмом:

экземпляр решения о внесении изменения в УДЛ, ксерокопию изменения УДЛ - в ответственное подразделение;

ксерокопию изменения УДЛ - в территориальный орган (по месту регистрации лицензиата) для учета при проведении государственного надзора и контроля за соблюдением условий действия лицензии.

186. В случае предоставления государственной услуги территориальным органом изменение УДЛ выдается координирующим подразделением представителю лицензиата с сопроводительным письмом, подписанным руководителем территориального органа (или уполномоченным им должностным лицом).

После предоставления изменения УДЛ ксерокопия изменения УДЛ направляется:

координирующим подразделением - в ответственное подразделение;

руководителем территориального органа (или уполномоченным им должностным лицом) - в соответствующее структурное подразделение территориального органа для учета при проведении государственного надзора и контроля за соблюдением условий действия лицензии.

187. Предоставление изменения УДЛ в электронной форме не осуществляется.

188. В координирующем подразделении в течение срока действия лицензии, а также в течение 1 года после истечения срока действия лицензии хранятся:

1) утвержденный визовый экземпляр решения о внесении изменения в УДЛ;

2) визовый экземпляр изменения УДЛ;

3) документ, подтверждающий право представителя лицензиата на получение изменения УДЛ.

189. В ответственном подразделении в течение срока действия лицензии, а также в течение 1 года после истечения срока действия лицензии хранятся:

1) экземпляр решения о внесении изменения в УДЛ;

2) ксерокопия изменения УДЛ;

3) заявление о внесении изменения в УДЛ вместе с документами, представленными лицензиатом для внесения изменения в УДЛ;

4) экспертное заключение;

5) акт проверки (инспекции) (если проверка (инспекция) проводилась).

190. Форма изменения УДЛ приведена в приложении N 15 к Регламенту.

Внесение изменения в УДЛ по результатам ПОБ

Рассмотрение заявления о внесении изменения в УДЛ по результатам ПОБ

191. Основанием для начала административной процедуры по рассмотрению заявления о внесении изменения в УДЛ по результатам ПОБ является поступление в координирующее подразделение заявления вместе с прилагаемыми документами.

В соответствии с пунктом 30 Положения о лицензировании для внесения изменения в УДЛ лицензиат представляет в Ростехнадзор:

1) заявление о внесении изменения в УДЛ;

2) 3 комплекта документов, содержащих результаты ПОБ и обосновывающих безопасность эксплуатации ядерной установки, пункта хранения.

Допускается представление одного комплекта документов на бумажном носителе и 2-х комплектов документов на электронных носителях (по одному комплекту документов на каждом электронном носителе). Требования к оформлению комплектов документов в случае представления их на электронном носителе установлены в приложении N 6 к Регламенту. При этом лицензиат обеспечивает соответствие содержания комплекта документов на бумажном носителе содержанию комплектов документов на электронном носителе.

192. В координирующем подразделении осуществляется рассмотрение заявления об изменении УДЛ с прилагаемыми документами, содержащими результаты ПОБ, с выполнением предварительной проверки перечня этих документов и соблюдения установленных правил их оформления.

193. При выполнении предварительной проверки перечня документов, содержащих результаты ПОБ, и соблюдения установленных правил их оформления устанавливается соответствие перечня представленных документов требованиям к составу документов, содержащих результаты ПОБ, установленным в приложении N 5 к Регламенту.

194. Должностным лицом, ответственным за рассмотрение заявления о внесении изменения в УДЛ и документов, представленных для внесения изменения в УДЛ (содержащих результаты ПОБ), включая предварительную проверку перечня прилагаемых к заявлению документов, содержащих результаты ПОБ, и соблюдения установленных правил их оформления является начальник координирующего подразделения (или лицо, исполняющее его обязанности).

195. Начальник координирующего подразделения (или лицо, исполняющее его обязанности) назначает исполнителей для рассмотрения заявления и предварительной проверки заявления о внесении изменения в УДЛ и документов, содержащих результаты ПОБ, представленных для внесения изменения в УДЛ.

196. В день поступления в координирующее подразделение заявлению присваивается регистрационный номер в соответствии с установленным в Ростехнадзоре порядком.

Исполнители проводят рассмотрение заявления об изменении УДЛ, включая предварительную проверку перечня прилагаемых к заявлению документов (содержащих результаты ПОБ), и соблюдения установленных правил их оформления. Продолжительность рассмотрения заявления об изменении УДЛ, включая предварительную проверку перечня прилагаемых к заявлению документов (содержащих результаты ПОБ), и соблюдения установленных законодательством Российской Федерации правил их оформления, не должна превышать 15 рабочих дней со дня его регистрации.

В течение указанного срока лицензиат обязан представить недостающие документы или устранить нарушения, допущенные при оформлении заявления об изменении УДЛ и прилагаемых к заявлению документов, содержащих результаты ПОБ.

Принятие решения о рассмотрении документов (содержащих результаты ПОБ), представленных для внесения изменения в УДЛ, или решения об отказе в рассмотрении этих документов

197. Основанием для начала административной процедуры по принятию решения о рассмотрении документов (содержащих результаты ПОБ), представленных для внесения изменения в УДЛ, или решения об отказе в рассмотрении этих документов является завершение рассмотрения заявления о внесении изменения в УДЛ по результатам ПОБ, включая предварительную проверку перечня прилагаемых к заявлению документов (содержащих результаты ПОБ) и соблюдения установленных правил их оформления. Основаниями для принятия решения об отказе в рассмотрении документов, представленных для внесения изменения в УДЛ и содержащих результаты ПОБ, являются:

1) выявленные по результатам предварительной проверки перечня документов нарушения требований к составу документов, содержащих результаты ПОБ, установленных в приложении N 5 к Регламенту;

2) выявленные нарушения требований к оформлению документов на электронном носителе (при наличии таковых), установленных в приложении N 6 к Регламенту;

3) несоответствие содержания документов, представленных на электронном носителе (при наличии таковых), содержанию документов на бумажном носителе.

198. Критериями принятия решения об отказе в рассмотрении прилагаемых к заявлению документов (содержащих результаты ПОБ), являются:

1) отсутствие одного или более документов, из числа требуемых в приложении N 5 к Регламенту

2) представление лицензиатом комплектов документов, содержащих результаты ПОБ, в количестве, менее предусмотренных подпунктом 2 пункта 192 Регламента;

3) наличие одного и более документов (из числа предусмотренных приложением N 5 к Регламенту), представленных для внесения изменения в УДЛ, не заверенных подписью руководителя постоянно действующего исполнительного органа юридического лица или иного лица, имеющего право действовать от имени этого юридического лица;

4) наличие одного и более документов на электронном носителе (при наличии таковых), оформленных с нарушением требований, установленных в приложении N 6 к Регламенту;

5) наличие одного и более документов, представленных на электронном носителе (при наличии таковых), содержание которых не соответствует содержанию документов на бумажном носителе.

199. Результатом административной процедуры по принятию решения о рассмотрении документов (содержащих результаты ПОБ), представленных для внесения изменения в УДЛ, или решения об отказе в рассмотрении этих документов, является утвержденное решение о принятии к рассмотрению документов, представленных для внесения изменения в УДЛ и содержащих результаты ПОБ (или об отказе в рассмотрении этих документов, если лицензиатом по истечении 15 рабочих дней со дня регистрации заявления не представлены недостающие документы или не устранены нарушения, допущенные при оформлении заявления об изменении УДЛ и прилагаемых к заявлению документов, содержащих результаты ПОБ). В центральном аппарате Ростехнадзора решение утверждается начальником координирующего подразделения центрального аппарата (или лицом, исполняющим его обязанности), а в территориальном органе - начальником координирующего подразделения территориального органа или должностным лицом, уполномоченным руководителем территориального органа.

200. Результат административной процедуры по принятию решения о рассмотрении документов (содержащих результаты ПОБ), представленных для внесения изменения в УДЛ, или решения об отказе в рассмотрении этих документов, фиксируется путем регистрации координирующим подразделением утвержденного решения о принятии к рассмотрению (либо решения об отказе в рассмотрении) указанных документов.

201. Форма заявления о внесении изменения в УДЛ приведена в приложении N 13 к Регламенту.

202. В случае утверждения решения об отказе в рассмотрении документов, представленных для внесения изменения в УДЛ и содержащих результаты ПОБ, координирующее подразделение в течение 3 рабочих дней с даты утверждения решения письменно уведомляет о принятом решении:

1) лицензиата (с указанием обоснованной причины отказа);

2) ответственное подразделение.

Письма подписываются начальником координирующего подразделения (или лицом, исполняющим его обязанности).

В случае предоставления государственной услуги по лицензированию соответствующим территориальным органом письма подписываются руководителем территориального органа (или уполномоченным им должностным лицом).

203. В случае утверждения решения о принятии к рассмотрению документов, представленных для внесения изменения в УДЛ и содержащих результаты ПОБ, координирующее подразделение в течение 3 рабочих дней с даты утверждения решения:

а) письменно уведомляет лицензиата о принятом решении;

б) направляет заявление и прилагаемые к нему документы с сопроводительной служебной запиской в ответственное подразделение.

Письма (служебные записки) подписываются начальником координирующего подразделения (или лицом, исполняющим его обязанности).

В случае предоставления государственной услуги по лицензированию соответствующим территориальным органом письма подписываются руководителем территориального органа (или уполномоченным им должностным лицом).

Рассмотрение документов (содержащих результаты ПОБ), представленных для внесения изменения в УДЛ, включая проверку достоверности сведений, содержащихся в представленных документах

204. Основанием для начала административной процедуры по рассмотрению документов (содержащих результаты ПОБ), представленных для внесения изменения в УДЛ, включая проверку достоверности сведений, содержащихся в представленных документах, является поступление в ответственное подразделение заявления вместе с прилагаемыми документами.

205. По инициативе лицензиата рассмотрение документов (содержащих результаты ПОБ), представленных для внесения изменения в УДЛ, может быть приостановлено на срок, указанный в письменном обращении лицензиата, или прекращено при отзыве лицензиатом заявления о внесении изменения в УДЛ.

206. Дальнейшие административные действия выполняются в соответствии с пунктами 162 - 164 Регламента.

Принятие решения о внесении изменения в УДЛ или об отказе во внесении изменения в УДЛ по результатам ПОБ

207. Основанием для начала административной процедуры по принятию решения о внесении изменения в УДЛ или об отказе во внесении изменения в УДЛ по результатам ПОБ является поступление в ответственное подразделение оформленных в установленном порядке экспертного заключения и акта проверки (инспекции) (в случае если проверка (инспекция) проводилась).

208. Дальнейшие административные действия выполняются в соответствии с пунктами 166 - 176 Регламента.

Предоставление изменения УДЛ по результатам ПОБ

209. Основанием для начала административной процедуры по предоставлению изменения УДЛ по результатам ПОБ является поступление в координирующее подразделение (с сопроводительной служебной запиской из ответственного подразделения) оформленных в установленном порядке следующих документов:

утвержденного решения о внесении изменения в УДЛ (в двух экземплярах);

изменения УДЛ, подписанного начальником ответственного подразделения (в двух экземплярах).

210. Дальнейшие административные действия выполняются в соответствии с пунктами 179 - 189 Регламента.

IV. Формы контроля за исполнением Регламента

Порядок осуществления текущего контроля за соблюдением и исполнением ответственными должностными лицами положений Регламента и иных нормативных правовых актов, устанавливающих требования к предоставлению государственной услуги, а также принятия ими решений

211. Текущий контроль в координирующем и ответственных подразделениях за соблюдением и исполнением положений Регламента и иных нормативных правовых актов, устанавливающих требования к предоставлению государственной услуги, осуществляется начальниками (заместителями начальников) соответствующих подразделений Ростехнадзора.

212. Текущий контроль осуществляется путем проведения начальниками (заместителями начальников) координирующего и ответственных подразделений Ростехнадзора проверок соблюдения и исполнения должностными лицами положений Регламента и иных нормативных правовых актов, устанавливающих требования к предоставлению государственной услуги.

Порядок и периодичность осуществления плановых и внеплановых проверок полноты и качества предоставления государственной услуги, в том числе порядок и формы контроля за полнотой и качеством предоставления государственной услуги

213. Контроль за полнотой и качеством предоставления государственной услуги осуществляется в формах:

проведения проверок в соответствии с приказами (распоряжениями) руководителя Ростехнадзора;

рассмотрения обращений (жалоб) на действия (бездействие) должностных лиц координирующего и ответственных структурных подразделений Ростехнадзора.

214. Проверки могут быть плановыми и внеплановыми. Периодичность осуществления плановых проверок устанавливается Ростехнадзором. При проверке могут рассматриваться все вопросы, связанные с предоставлением государственной услуги (комплексные проверки), или отдельный вопрос, связанный с предоставлением государственной услуги (тематические проверки). Проверка проводится по конкретному обращению (жалобе) соискателя лицензии/лицензиата.

215. Внеплановые проверки проводятся в связи с проверкой устранения ранее выявленных нарушений настоящего Регламента, а также в случае получения обращений (жалоб) соискателя лицензии/лицензиата на действия (бездействие) должностных лиц Ростехнадзора.

Ответственность должностных лиц Ростехнадзора за решения и действия (бездействие), принимаемые (осуществляемые) ими в ходе предоставления государственной услуги

216. По результатам проведенных проверок, в случае выявления нарушений соблюдения положений Регламента, виновные должностные лица Ростехнадзора несут персональную ответственность за решения и действия (бездействие), принимаемые в ходе предоставления государственной услуги.

Персональная ответственность должностных лиц Ростехнадзора закрепляется в должностных регламентах в соответствии с требованиями законодательства Российской Федерации.

Положения, характеризующие требования к порядку и формам контроля за предоставлением государственной услуги, в том числе со стороны граждан, их объединений и организаций

217. Контроль за предоставлением государственной услуги, в том числе со стороны граждан, их объединений и организаций осуществляется посредством открытости деятельности Ростехнадзора при предоставлении государственной услуги, получения полной, актуальной и достоверной информации о порядке предоставления государственной услуги и возможности досудебного рассмотрения обращений (жалоб) в процессе получения государственной услуги.

V. Досудебный (внесудебный) порядок обжалования решений и действий (бездействия) Ростехнадзора, а также его должностных лиц

218. Соискатель лицензии/лицензиат имеет право на обжалование действий и (или) бездействия должностных лиц Ростехнадзора в досудебном (внесудебном) порядке.

219. Соискатель лицензии/лицензиат может обратиться с жалобой по основаниям и в порядке статей 11.1 и 11.2 Федерального закона "Об организации предоставления государственных и муниципальных услуг", в том числе в случаях:

нарушения срока регистрации запроса соискателя лицензии/лицензиата о предоставлении государственной услуги;

нарушения срока предоставления государственной услуги;

требования у соискателя лицензии/лицензиата документов, не предусмотренных нормативными правовыми актами Российской Федерации для предоставления государственной услуги;

отказа в приеме документов, предоставление которых предусмотрено нормативными правовыми актами Российской Федерации для предоставления государственной услуги, у заявителя;

отказа в предоставлении государственной услуги, если основания отказа не предусмотрены федеральными законами и принятыми в соответствии с ними иными нормативными правовыми актами Российской Федерации;

требования с соискателя лицензии/лицензиата при предоставлении государственной услуги платы, не предусмотренной нормативными правовыми актами Российской Федерации;

отказа Ростехнадзора, должностного лица Ростехнадзора в исправлении допущенных опечаток и ошибок в выданных в результате предоставления государственной услуги документах либо нарушение установленного срока таких исправлений.

220. Жалоба подается в письменной форме на бумажном носителе, либо в электронной форме в Ростехнадзор. Жалобы на решения, принятые заместителем Ростехнадзора, рассматриваются непосредственно руководителем Ростехнадзора.

221. Жалоба может быть направлена по почте, с использованием информационно-телекоммуникационной сети "Интернет", официального сайта Ростехнадзора - органа, предоставляющего государственную услугу, ЕГПУ, а также может быть принята при личном приеме соискателя лицензии/лицензиата.

222. Жалоба должна содержать:

наименование органа, предоставляющего государственную услугу, должностного лица органа, предоставляющего государственную услугу, либо государственного служащего, решения и действия (бездействие) которых обжалуются;

наименование, сведения о месте нахождения соискателя лицензии/лицензиата, а также номер (номера) контактного телефона, адрес (адреса) электронной почты (при наличии) и почтовый адрес, по которым должен быть направлен ответ;

сведения об обжалуемых решениях и действиях (бездействии) органа, предоставляющего государственную услугу, должностного лица органа, предоставляющего государственную услугу, либо государственного служащего;

доводы, на основании которых соискатель лицензии/лицензиат не согласен с решением и действием (бездействием) органа, предоставляющего государственную услугу, должностного лица органа, предоставляющего государственную услугу, либо государственного служащего. Соискателем лицензии/лицензиатом могут быть представлены документы (при наличии), подтверждающие доводы соискателя лицензии/лицензиата, либо их копии.

223. При подаче жалобы в электронном виде документы, указанные выше, могут быть представлены в форме электронных документов, подписанных электронной подписью, вид которой предусмотрен законодательством Российской Федерации, при этом документ, удостоверяющий личность соискателя лицензии/лицензиата, не требуется.

224. Жалоба, поступившая в Ростехнадзор, подлежит рассмотрению должностным лицом, наделенным полномочиями по рассмотрению жалоб, в течение пятнадцати рабочих дней со дня ее регистрации, а в случае обжалования отказа органа, предоставляющего государственную услугу, должностного лица органа, предоставляющего государственную услугу, в приеме документов у соискателя лицензии/лицензиата либо в исправлении допущенных опечаток и ошибок или в случае обжалования нарушения установленного срока таких исправлений - в течение пяти рабочих дней со дня ее регистрации.

225. По результатам рассмотрения жалобы должностным лицом Ростехнадзора, наделенным полномочиями по рассмотрению жалоб, принимается одно из следующих решений:

удовлетворить жалобу, в том числе в форме отмены принятого решения, исправления допущенных опечаток и ошибок в выданных лицензиях;

отказать в удовлетворении жалобы.

226. Не позднее дня, следующего за днем принятия решения, указанного в предыдущем пункте, соискателю лицензии/лицензиату в письменной форме и по желанию соискателя лицензии/лицензиата в электронной форме направляется мотивированный ответ о результатах рассмотрения жалобы.

227. В ответе по результатам рассмотрения жалобы указываются:

а) наименование органа, предоставляющего государственную услугу, рассмотревшего жалобу, должность, фамилия, имя, отчество (при наличии) его должностного лица, принявшего решение по жалобе;

б) номер, дата, место принятия решения, включая сведения о должностном лице, решение или действие (бездействие) которого обжалуется;

в) наименование соискателя лицензии/лицензиата;

г) основания для принятия решения по жалобе;

д) принятое по жалобе решение;

е) в случае, если жалоба признана обоснованной, - сроки устранения выявленных нарушений, в том числе срок предоставления результата государственной услуги;

ж) сведения о порядке обжалования принятого по жалобе решения.

228. Ответ по результатам рассмотрения жалобы подписывается уполномоченным на рассмотрение жалобы должностным лицом органа, предоставляющего государственные услуги.

229. Ростехнадзор отказывает в удовлетворении жалобы в следующих случаях:

а) наличие вступившего в законную силу решения суда, арбитражного суда по жалобе о том же предмете и по тем же основаниям;

б) подача жалобы лицом, полномочия которого не подтверждены в порядке, установленном законодательством Российской Федерации;

в) наличие решения по жалобе, принятого ранее в соответствии с требованиями Правил подачи и рассмотрения жалоб на решения и действия (бездействие) федеральных органов исполнительной власти и их должностных лиц, федеральных государственных служащих, должностных лиц государственных внебюджетных фондов Российской Федерации, утвержденных постановлением Правительства Российской Федерации от 16 августа 2012 г. N 840 (Собрание законодательства Российской Федерации, 2012, N 35, ст. 4829), в отношении того же соискателя лицензии и по тому же предмету жалобы.

230. Ростехнадзор вправе оставить жалобу без ответа в следующих случаях:

а) наличие в жалобе нецензурных либо оскорбительных выражений, угроз жизни, здоровью и имуществу должностного лица, а также членов его семьи;

б) отсутствие возможности прочитать какую-либо часть текста жалобы, фамилию, имя, отчество (при наличии) и (или) почтовый адрес соискателя лицензии/лицензиата, указанные в жалобе.

231. Нарушение должностным лицом, наделенным полномочиями по рассмотрению жалоб на нарушение порядка предоставления государственной услуги, порядка или сроков рассмотрения жалобы либо незаконный отказ или уклонение указанного должностного лица от принятия ее к рассмотрению влечет ответственность, установленную законодательством Российской Федерации.

232. Соискатель лицензии/лицензиат вправе обжаловать решения, принятые при предоставлении государственной услуги, действия и (или) бездействие должностных лиц центрального аппарата Ростехнадзора и его территориального органа в судебном порядке в соответствии с гражданским процессуальным законодательством Российской Федерации.

Приложение N 1
к Административному регламенту
исполнения Федеральной службой
по экологическому, технологическому
и атомному надзору государственной
услуги по лицензированию деятельности
в области использования
атомной энергии, утвержденному
приказом Федеральной службы
по экологическому, технологическому
и атомному надзору
от 8 октября 2014 г. N 453

ПЕРЕЧЕНЬ
СУБЪЕКТОВ РОССИЙСКОЙ ФЕДЕРАЦИИ, НА ТЕРРИТОРИИ КОТОРЫХ ТЕРРИТОРИАЛЬНЫЕ ОРГАНЫ РОСТЕХНАДЗОРА ПРЕДОСТАВЛЯЮТ ГОСУДАРСТВЕННУЮ УСЛУГУ ПО ЛИЦЕНЗИРОВАНИЮ ДЕЯТЕЛЬНОСТИ В ОБЛАСТИ ИСПОЛЬЗОВАНИЯ АТОМНОЙ ЭНЕРГИИ

Наименование территориального органа Ростехнадзора Реквизиты территориального органа Ростехнадзора Субъекты Российской Федерации, на территории которых территориальные органы Ростехнадзора предоставляют государственную услугу по лицензированию деятельности в области использования атомной энергии
Волжское межрегиональное территориальное управление по надзору за ядерной и радиационной безопасностью Адрес: 413864,
г. Балаково Саратовской обл., ул. 30 лет Победы, 57а.
Почтовый адрес: 413864, Балаково-24, а/я-19.
График работы (время местное):
понедельник - четверг с 8.00 до 17.00,
перерыв: с 12.00 до 12.45 пятница с 8.00 до 16.00.
Факс: (8453) 33-75-84.
Официальный сайт: http://vol-nrs.gosnadzor.ru
e-mail: vol-nrs@gosnadzor.ru
Телефон координирующего подразделения:
(8453) 33-75-86.
Республика Башкортостан, Республика Марий Эл, Республика Мордовия, Республика Татарстан, Удмуртская республика, Чувашская республика,
Нижегородская область (за исключением юридических лиц, осуществляющих деятельность на территории ЗАТО г. Сарова), Кировская область, Оренбургская область, Пензенская область,
Пермский край, Самарская область, Саратовская область, Ульяновская область, Тверская область (только в отношении юридических лиц, осуществляющих деятельность на территории Калининской АЭС и Тверской АЭС)
Межрегиональное территориальное управление по надзору за ядерной и радиационной безопасностью Сибири и Дальнего Востока Адрес: 630075,
г. Новосибирск, а/я-74, ул. Богдана Хмельницкого, 2.
График работы (время местное): с 8.30 до 17.30;
в предвыходные и предпраздничные дни с 08.30 до 16.30, перерыв на обед с 12.00 до 12.48.
Факс: (383) 276-44-19.
Официальный сайт: http://sib-nrs.gosnadzor.ru
e-mail: sdv-nrs@gosnadzor.ru
Телефон координирующего подразделения: технический отдел - (383) 276-44-23.
Зам. руководителя Управления -
(383) 276-05-16.
Республики Бурятия, Тыва, Хакасия, Алтай, Саха (Якутия),
Алтайский край, Забайкальский край, Красноярский край, Приморский край, Хабаровский край, Камчатский край, Иркутская область, Кемеровская область, Омская область, Новосибирская область, Томская область, Амурская область, Магаданская область, Сахалинская область, Еврейская автономная область, Чукотский автономный округ (за исключением надзора за безопасностью Билибинской АЭС)
Донское межрегиональное территориальное управление по надзору за ядерной и радиационной безопасностью Адрес: 396072,
Воронежская обл.,
г. Нововоронеж, ул. Южное шоссе, 1.
График работы (время местное):
понедельник - четверг:
с 8.00 до 16.30, пятница:
с 8.00 до 15.30;
перерыв с 12.00 до 12.30.
Факс: (47364) 2-07-57.
Официальный сайт: http://don-nrs.gosnadzor.ru
e-mail: don-nrs@gosnadzor.ru
Телефон координирующего подразделения:
(47364) 2-08-93.
Республика Адыгея, Республика Дагестан, Республика Калмыкия, Республика Северная Осетия - Алания, Республика Ингушетия, Кабардино-Балкарская республика, Карачаево-Черкесская республика, Чеченская Республика, Краснодарский край, Ставропольский край, Астраханская область, Волгоградская область, Воронежская область, Ростовская область, Мурманская область (только в отношении юридических лиц, осуществляющих деятельность на территории Кольской АЭС), Костромская область (только в отношении юридических лиц, осуществляющих деятельность на территории Центральной АЭС).
Северо-Европейское межрегиональное территориальное управление по надзору за ядерной и радиационной безопасностью Адрес: 197101,
г. Санкт-Петербург, ул. Малая Монетная, 2а.
График работы (время местное):
понедельник - четверг с 8.30 до 17.15, пятница с 8.30 до 16.00,
перерыв: с 12.00 до 12.45
Факс: (812) 346-03-51
Официальный сайт: http://se-nrs.gosnadzor.ru
e-mail: se-nrs@gosnadzor.ru
Телефон координирующего подразделения:
(812) 234-69-94.
Республика Карелия, Республика Коми, Архангельская область, Вологодская область, Калининградская область, Курская область (только в отношении юридических лиц, осуществляющих деятельность на территории Курской АЭС), Ленинградская область, Мурманская область (за исключением юридических лиц, осуществляющих деятельность на территории Кольской АЭС), Новгородская область, Псковская область, Смоленская область (только в отношении юридических лиц, осуществляющих деятельность на территории Смоленской АЭС), г. Санкт-Петербург, Ненецкий автономный округ
Уральское межрегиональное территориальное управление по надзору за ядерной и радиационной безопасностью Адрес: 620062,
г. Екатеринбург, пр. Ленина, 60-А.
График работы (время местное):
понедельник - четверг с 9.00 до 16.30, пятница с 9.00 до 15.30,
перерыв с 12.30 до 13.00.
Факс: (343) 262-32-66.
Официальный сайт: http://ural-nrs.gosnadzor.ru
e-mail: ural-nrs@gosnadzor.ru
Телефон координирующего подразделения-отдела лицензирования:
(343) 262-55-05.
Свердловская область, Курганская область, Тюменская область, Челябинская область, Ханты-Мансийский автономный округ - Югра, Ямало-Ненецкий автономный округ
Центральное межрегиональное территориальное управление по надзору за ядерной и радиационной безопасностью Адрес: 115409,
г. Москва, ул. Кошкина, 4.
График работы (время местное):
понедельник - четверг с 9.00 до 18.00, пятница с 9.00 до 16.30,
перерыв с 12.00 до 12.45.
Факс: (495) 324-30-95.
Официальный сайт: http://cntr-nrs.gosnadzor.ru
e-mail: cntr-nrs@gosnadzor.ru
Телефон координирующего подразделения:
(495) 324-74-24.
Белгородская область, Брянская область, Владимирская область, Ивановская область, Калужская область, Костромская область (за исключением юридических лиц, осуществляющих деятельность на территории Центральной АЭС), Курская область (за исключением юридических лиц, осуществляющих деятельность на территории Курской АЭС), Липецкая область, г. Москва, Московская область, Орловская область, Рязанская область, Смоленская область (за исключением юридических лиц, осуществляющих деятельность на территории Смоленской АЭС), Тамбовская область, Тверская область (за исключением юридических лиц, осуществляющих деятельность на территории Калининской АЭС и Тверской АЭС), Тульская область, Ярославская область, Нижегородская область (только в отношении юридических лиц, осуществляющих деятельность на территории ЗАТО г. Сарова), Чукотский автономный округ (только в отношении юридических лиц, осуществляющих деятельность на территории Билибинской АЭС)

Приложение N 2
к Административному регламенту
исполнения Федеральной службой
по экологическому, технологическому
и атомному надзору государственной
услуги по лицензированию деятельности
в области использования
атомной энергии, утвержденному
приказом Федеральной службы
по экологическому, технологическому
и атомному надзору
от 8 октября 2014 г. N 453

РАЗГРАНИЧЕНИЕ ПОЛНОМОЧИЙ ПРИ ПРЕДОСТАВЛЕНИИ ГОСУДАРСТВЕННОЙ УСЛУГИ ПО ЛИЦЕНЗИРОВАНИЮ В ОБЛАСТИ ИСПОЛЬЗОВАНИЯ АТОМНОЙ ЭНЕРГИИ МЕЖДУ ЦЕНТРАЛЬНЫМ АППАРАТОМ РОСТЕХНАДЗОРА И ЕГО ТЕРРИТОРИАЛЬНЫМИ ОРГАНАМИ

Использованные сокращения:

ЯУ - ядерная установка
РИ - радиационный источник
ПХ - пункт хранения
ЯМ - ядерные материалы
РВ - радиоактивные вещества
РАО - радиоактивные отходы
ПЗРО - пункт закрытия радиоактивных отходов
Лицензируемые виды деятельности Категория объекта Объекты ИАЭ, на которых или в отношении которых осуществляются лицензируемые виды деятельности Компетенция центрального аппарата Ростехнадзора Компетенция межрегиональных территориальных управлений Ростехнадзора
Размещение ЯУ атомные станции (блоки атомных станций) Выдача лицензий на вид деятельности эксплуатирующим организациям Выдача лицензий на вид деятельности организациям, выполняющим работы и предоставляющим услуги эксплуатирующим организациям <9>
сооружения и комплексы с промышленными ядерными реакторами
сооружения и комплексы с экспериментальными ядерными реакторами, включая стенды-прототипы ядерных реакторов судов
сооружения и комплексы с исследовательскими ядерными реакторами критическими ядерными стендами;
сооружения и комплексы с подкритическими ядерными стендами - Выдача лицензий на вид деятельности
сооружения, комплексы, установки с ядерными материалами, предназначенные для производства, переработки, использования, транспортирования ядерного топлива и ядерных материалов (включая добычу урановых руд, гидрометаллургическую переработку, аффинаж, сублиматное производство, металлургическое производство, разделение изотопов урана, радиохимическую переработку ядерного топлива) Выдача лицензий на вид деятельности эксплуатирующим организациям Выдача лицензий на виды деятельности организациям, выполняющим работы и предоставляющим услуги эксплуатирующим организациям
РИ комплексы и установки, в которых содержатся радиоактивные вещества, расположенных на территории ядерной установки и не предусмотренные в проекте ядерной установки Выдача лицензий на вид деятельности эксплуатирующим организациям Выдача лицензий на вид деятельности организациям, выполняющим работы и предоставляющим услуги эксплуатирующим организациям
комплексы, в которых содержатся радиоактивные вещества, расположенные вне территории ядерной установки - Выдача лицензий на вид деятельности
ПХ стационарные объекты и сооружения, предназначенные для хранения ядерных материалов и радиоактивных отходов, содержащих ядерные материалы Выдача лицензий на вид деятельности эксплуатирующим организациям Выдача лицензий на вид деятельности организациям, выполняющим работы и предоставляющим услуги эксплуатирующим организациям
стационарные объекты и сооружения, имеющие межрегиональное значение, предназначенные для хранения радиоактивных веществ и радиоактивных отходов
сооружения, имеющие региональное значение, предназначенные для хранения радиоактивных веществ и радиоактивных отходов, не предусмотренные проектом радиационного источника - Выдача лицензий на вид деятельности
стационарные объекты и сооружения, предназначенные для захоронения радиоактивных отходов Выдача лицензий на вид деятельности эксплуатирующим организациям Выдача лицензий на вид деятельности организациям, выполняющим работы и предоставляющим услуги эксплуатирующим организациям
Сооружение ЯУ атомные станции (блоки атомных станций) Выдача лицензий на вид деятельности эксплуатирующим организациям Выдача лицензий на вид деятельности организациям, выполняющим работы и предоставляющим услуги эксплуатирующим организациям
сооружения и комплексы с промышленными ядерными реакторами
сооружения и комплексы с экспериментальными ядерными реакторами, включая стенды-прототипы ядерных реакторов судов
сооружения и комплексы с исследовательскими ядерными реакторами критическими ядерными стендами;
сооружения и комплексы с подкритическими ядерными стендами - Выдача лицензий на вид деятельности
сооружения, комплексы, установки с ядерными материалами, предназначенные для производства, переработки, использования, транспортирования ядерного топлива и ядерных материалов (включая добычу урановых руд, гидрометаллургическую переработку, аффинаж, сублиматное производство, металлургическое производство, разделение изотопов урана, радиохимическую переработку ядерного топлива) Выдача лицензий на вид деятельности эксплуатирующим организациям Выдача лицензий на вид деятельности организациям, выполняющим работы и предоставляющим услуги эксплуатирующим организациям
суда и другие плавсредства с ядерными реакторами, суда атомно-технологического обслуживания, содержащие ядерные материалы, другие транспортные и транспортабельные средства с ядерными реакторами Выдача лицензий на вид деятельности -
РИ комплексы и установки, в которых содержатся радиоактивные вещества, расположенные на территории ядерной установки и не предусмотренные в проекте ядерной установки Выдача лицензий на вид деятельности эксплуатирующим организациям Выдача лицензий на вид деятельности организациям, выполняющим работы и предоставляющим услуги эксплуатирующим организациям
комплексы, в которых содержатся радиоактивные вещества, расположенные вне территории ядерной установки - Выдача лицензий на вид деятельности
установки, аппараты, оборудование и изделия, в которых содержатся радиоактивные вещества
суда атомно-технологического обслуживания, не содержащие ядерные материалы - Выдача лицензий на вид деятельности
ПХ стационарные объекты и сооружения, предназначенные для хранения ядерных материалов и радиоактивных отходов, содержащих ядерные материалы Выдача лицензий на вид деятельности эксплуатирующим организациям Выдача лицензий на вид деятельности организациям, выполняющим работы и предоставляющим услуги эксплуатирующим организациям
стационарные объекты и сооружения, имеющие межрегиональное значение, предназначенные для хранения радиоактивных веществ и радиоактивных отходов
сооружения, имеющие региональное значение, предназначенные для хранения радиоактивных веществ и радиоактивных отходов - Выдача лицензий на вид деятельности
стационарные объекты и сооружения, предназначенные для захоронения радиоактивных отходов Выдача лицензий на вид деятельности эксплуатирующим организациям Выдача лицензий на вид деятельности организациям, выполняющим работы и предоставляющим услуги эксплуатирующим организациям
Эксплуатация ЯУ атомные станции (блоки атомных станций) Выдача лицензий на вид деятельности эксплуатирующим организациям Выдача лицензий на вид деятельности организациям, выполняющим работы и предоставляющим услуги эксплуатирующим организациям
сооружения и комплексы с промышленными ядерными реакторами
сооружения и комплексы с экспериментальными ядерными реакторами, включая стенды-прототипы ядерных реакторов судов
сооружения и комплексы с исследовательскими ядерными реакторами критическими ядерными стендами;
сооружения и комплексы с подкритическими ядерными стендами - Выдача лицензий на вид деятельности
сооружения, комплексы, установки с ядерными материалами, предназначенные для производства, переработки, использования, транспортирования ядерного топлива и ядерных материалов (включая добычу урановых руд, гидрометаллургическую переработку, аффинаж, сублиматное производство, металлургическое производство, разделение изотопов урана, радиохимическую переработку ядерного топлива) Выдача лицензий на вид деятельности эксплуатирующим организациям Выдача лицензий на вид деятельности организациям, выполняющим работы и предоставляющим услуги эксплуатирующим организациям
суда и другие плавсредства с ядерными реакторами, суда атомно-технологического обслуживания, содержащие ядерные материалы, другие транспортные и транспортабельные средства с ядерными реакторами Выдача лицензий на вид деятельности -
РИ <7> комплексы и установки, в которых содержатся радиоактивные вещества, расположенные на территории ядерной установки и не предусмотренные в проекте ядерной установки Выдача лицензий на вид деятельности эксплуатирующим организациям Выдача лицензий на вид деятельности организациям, выполняющим работы и предоставляющим услуги эксплуатирующим организациям
комплексы, в которых содержатся радиоактивные вещества, расположенные вне территории ядерной установки - Выдача лицензий на вид деятельности
установки, аппараты, оборудование и изделия, в которых содержатся радиоактивные вещества
суда атомно-технологического обслуживания, не содержащие ядерные материалы, суда и другие плавсредства с ядерными реакторами, переведенные в категорию РИ
ПХ стационарные объекты и сооружения, предназначенные для хранения ядерных материалов и радиоактивных отходов, содержащих ядерные материалы Выдача лицензий на вид деятельности эксплуатирующим организациям Выдача лицензий на вид деятельности организациям, выполняющим работы и предоставляющим услуги эксплуатирующим организациям
стационарные объекты и сооружения, имеющие межрегиональное значение, предназначенные для хранения радиоактивных веществ и радиоактивных отходов
сооружения, имеющие региональное значение, предназначенные для хранения радиоактивных веществ и радиоактивных отходов - Выдача лицензий на вид деятельности
стационарные объекты и сооружения, предназначенные для захоронения радиоактивных отходов Выдача лицензий на вид деятельности эксплуатирующим организациям -
Вывод из эксплуатации ЯУ атомные станции (блоки атомных станций) Выдача лицензий на вид деятельности эксплуатирующим организациям Выдача лицензий на вид деятельности организациям, выполняющим работы и предоставляющим услуги эксплуатирующим организациям
сооружения и комплексы с промышленными ядерными реакторами
сооружения и комплексы с экспериментальными ядерными реакторами, включая стенды-прототипы ядерных реакторов судов
сооружения и комплексы с исследовательскими ядерными реакторами критическими ядерными стендами;
сооружения и комплексов с подкритическими ядерными стендами - Выдача лицензий на вид деятельности
сооружения, комплексы, установки с ядерными материалами, предназначенные для производства, переработки, использования, транспортирования ядерного топлива и ядерных материалов (включая добычу урановых руд, гидрометаллургическую переработку, аффинаж, сублиматное производство, металлургическое производство, разделение изотопов урана, радиохимическую переработку ядерного топлива) Выдача лицензий на вид деятельности эксплуатирующим организациям Выдача лицензий на вид деятельности организациям, выполняющим работы и предоставляющим услуги эксплуатирующим организациям
суда и другие плавсредства с ядерными реакторами, суда атомно-технологического обслуживания, содержащие ядерные материалы, другие транспортные и транспортабельные средства с ядерными реакторами Выдача лицензий на вид деятельности -
РИ комплексы и установки, в которых содержатся радиоактивные вещества, расположенные на территории ядерной установки и не предусмотренные в проекте ядерной установки Выдача лицензий на вид деятельности эксплуатирующим организациям Выдача лицензий на вид деятельности организациям, выполняющим работы и предоставляющим услуги эксплуатирующим организациям
комплексы, в которых содержатся радиоактивные вещества, расположенные вне территории ядерной установки - Выдача лицензий на вид деятельности
установки, аппараты, оборудование и изделия, в которых содержатся радиоактивные вещества
суда атомно-технологического обслуживания, не содержащие ядерные материалы, суда и другие плавсредства с ядерными реакторами, переведенные в категорию РИ
ПХ стационарные объекты и сооружения, предназначенные для хранения ядерных материалов и радиоактивных отходов, содержащих ядерные материалы Выдача лицензий на вид деятельности эксплуатирующим организациям Выдача лицензий на вид деятельности организациям, выполняющим работы и предоставляющим услуги эксплуатирующим организациям
стационарные объекты и сооружения, имеющие межрегиональное значение, предназначенные для хранения радиоактивных веществ и радиоактивных отходов
сооружения, имеющие региональное значение, предназначенные для хранения радиоактивных веществ и радиоактивных отходов - Выдача лицензий на вид деятельности
Закрытие пунктов ПЗРО пункты захоронения радиоактивных отходов. Выдача лицензий на вид деятельности -
Обращение с ядерными материалами, в том числе при разведке и добыче урановых руд, при производстве, использовании, переработке, транспортировании и хранении ядерных материалов ЯМ материалы, содержащие или способные воспроизвести делящиеся (расщепляющиеся) ядерные вещества Выдача лицензий на вид деятельности -
Обращение с радиоактивными веществами, в том числе при разведке и добыче урановых руд, при производстве, использовании, переработке, транспортировании и хранении радиоактивных веществ РВ не относящиеся к ядерным материалам вещества, испускающее ионизирующие излучение Выдача лицензий на вид деятельности эксплуатирующим организациям Выдача лицензий на вид деятельности организациям, выполняющим работы и предоставляющим услуги эксплуатирующим организациям
Обращение с радиоактивными отходами при их хранении, переработке, транспортировании и захоронении РАО ядерные материалы и радиоактивные вещества, дальнейшее использование которых не предусматривается Выдача лицензий на вид деятельности эксплуатирующим организациям Выдача лицензий на вид деятельности организациям, выполняющим работы и предоставляющим услуги эксплуатирующим организациям
Проектирование и конструирование ЯУ, РИ, ПХ объекты ядерного топливного цикла, суда и другие плавсредства с ядерными реакторами, суда атомно-технологического обслуживания, другие транспортные и транспортабельные средства с ядерными реакторами, радиационно опасные объекты (кроме блоков атомных станций и исследовательских ядерных установок) Выдача лицензий на вид деятельности
Проектирование и конструирование ЯУ, РИ, ПХ - ядерные установки;
- радиационные источники;
- пункты хранения ядерных материалов и радиоактивных веществ;
- хранилища радиоактивных отходов
Выдача лицензий на вид деятельности (только организациям, указанным в пунктах 2 и 5 Примечаний к настоящей таблице, а также организациям, осуществляющим проектирование и конструирования систем контроля и управления и надежного электроснабжения ядерных установок (блоков атомных станций) Выдача лицензий на вид деятельности (кроме организаций, указанных в пунктах 2 и 5 Примечаний к настоящей таблице, а также организаций, осуществляющих проектирование и конструирование систем контроля и управления и надежного электроснабжения ядерных установок (блоков атомных станций)
Конструирование оборудования ЯУ, РИ, ПХ - ядерные установки;
- радиационные источники;
- пункты хранения ядерных материалов и радиоактивных веществ;
- хранилища радиоактивных отходов
Выдача лицензий на вид деятельности с учетом примечаний 1, 3 к настоящей таблице
Изготовление оборудования ЯУ, РИ, ПХ - ядерные установки;
- радиационные источники;
- пункты хранения ядерных материалов и радиоактивных веществ;
- хранилища радиоактивных отходов
Выдача лицензий на вид деятельности с учетом примечаний 1, 4 к настоящей таблице
Использование ядерных материалов при проведении научно-исследовательских и опытно-конструкторских работ ЯМ ядерные установки Выдача лицензий на вид деятельности -
Использование радиоактивных веществ при проведении научно-исследовательских и опытно-конструкторских работ РВ ядерные установки Выдача лицензий на вид деятельности (для атомных станций) Выдача лицензий на вид деятельности (кроме атомных станций)
Проведение экспертизы безопасности (экспертизы обоснования безопасности) объектов использования атомной энергии ЯУ, РИ, ПХ - ядерные установки;
- радиационные источники;
- пункты хранения ядерных материалов и радиоактивных веществ;
- хранилища радиоактивных отходов
Выдача лицензий на вид деятельности -
Проведение экспертизы безопасности (экспертизы обоснования безопасности) видов деятельности в области использования атомной энергии ЯУ, РИ, ПХ - ядерные установки;
- радиационные источники;
- пункты хранения ядерных материалов и радиоактивных веществ;
- ядерные материалы;
- радиоактивные вещества;
- радиоактивные отходы;
- хранилища радиоактивных отходов
Выдача лицензий на вид деятельности -

Примечания.

1. К компетенции центрального аппарата Ростехнадзора относится выдача лицензий на:
конструирование и изготовление тепловыделяющих сборок, тепловыделяющих элементов, поглощающих элементов, стержней систем управления и защиты ядерных реакторов, других элементов активной зоны ядерных реакторов и транспортно-упаковочных комплектов для ядерных материалов и радиоактивных отходов, содержащих ядерные материалы.
2. К компетенции центрального аппарата Ростехнадзора относится выдача лицензий на проектирование и конструирование ядерных установок (блоков атомных станций), радиационных источников, пунктов хранения ядерных материалов и радиоактивных веществ, хранилищ радиоактивных отходов следующим организациям:
АО "АЭП", г. Москва;
АО "НИАЭП", г. Нижний Новгород;
АО "НИКИЭТ им Н.А. Доллежаля", г. Москва;
АО "ОКБМ Африкантов", г. Нижний Новгород;
АО "АТОМПРОЕКТ" (ведущее предприятие Госкорпорации "Росатом", объединяющее
АО "Восточно-Европейский головной научно-исследовательский и проектный институт энергетических технологий" и АО Санкт-Петербургский "Атомэнергопроект"), г. Санкт-Петербург;
АО ОКБ "Гидропресс", г. Подольск Московской области;
ФГБУ "НИЦ "Курчатовский институт", г. Москва;
АО "ВНИИАЭС", г. Москва
3. К компетенции центрального аппарата Ростехнадзора относится выдача лицензий на конструирование оборудования для ядерных установок (блоков атомных станций), радиационных источников, пунктов хранения ядерных материалов и радиоактивных веществ, хранилищ радиоактивных отходов следующим организациям:
АО "ВНИИКП", г. Москва;
ЗАО "Диаконт", г. Санкт-Петербург;
АО "Корпорация "ВНИИЭМ", г. Москва;
АО "Силовые машины", г. Санкт-Петербург;
АО "ОКБМ Африкантов", г. Нижний Новгород;
АО ОКБ "Гидропресс", г. Подольск Московской области;
ФГУП "НИИИС им. Ю.Е. Седакова", г. Нижний Новгород;
АО "НИАЭП", г. Нижний Новгород;
4. К компетенции центрального аппарата Ростехнадзора относится выдача лицензий на изготовление оборудования для ядерных установок, радиационных источников, пунктов хранения ядерных материалов и радиоактивных веществ, хранилищ радиоактивных отходов предприятиям-изготовителям (за исключением судов и других плавсредств с ядерными реакторами, судов атомно-технологического обслуживания, других транспортных и транспортабельных средств с ядерными реакторами):
АО "Ижорские заводы", г. Колпино Ленинградской области;
АО "Машиностроительный завод ЗиО-Подольск", г. Подольск Московской области;
АО НПО "Сатурн", г. Рыбинск Ярославской области;
АО "СвердНИИХИММАШ", г. Екатеринбург;
АО "Нижегородский машиностроительный завод", г. Нижний Новгород;
АО ОКБ "Гидропресс", г. Подольск Московской области;
АО "ОКБМ Африкантов", г. Нижний Новгород;
АО "Силовые машины", г. Санкт-Петербург;
ЗАО "Диаконт", г. Санкт-Петербург;
АО "Корпорация "ВНИИЭМ", г. Москва;
ЗАО "СНИИП-СИСТЕМАТОМ", г. Москва;
ФГУП "НИИИС им. Ю.Е. Седакова", г. Нижний Новгород;
ЗАО "АЭМ-технологии", г. Санкт-Петербург.
5. К компетенции центрального аппарата Ростехнадзора относится выдача лицензий следующим организациям:
ФГУП "РАДОН", г. Москва;
ФГУТТ "РосРАО", г. Москва;
ФГУП "НО РАО", г. Москва.
6. Выдача лицензий на деятельность по обращению с РАО при их хранении, переработке, транспортировании и захоронении применительно к стационарным объектам и сооружениям, имеющим межрегиональное значение и предназначенным для хранения РВ и РАО, осуществляется центральным аппаратом Ростехнадзора.
7. Деятельность с использованием закрытых радиационных источников, содержащих в своем составе только радионуклидные источники (в том числе отработавшие) четвертой и пятой категорий радиационной опасности в соответствии с нормами и правилами в области использования атомной энергии, не подлежит лицензированию.
8. Разграничение полномочий между центральным аппаратом Ростехнадзора и его территориальными органами при исполнении государственной услуги по лицензированию деятельности в области использования атомной энергии может меняться приказом Ростехнадзора, при этом рассмотрение документов на получение лицензии, направленных юридическим лицом в соответствующий территориальный орган Ростехнадзора до изменения указанных выше полномочий разграничения, должно быть завершено в установленном порядке.
9 Выполняемые работы и предоставляемые услуги в области использования атомной энергии - работы (услуги), процессы выполнения (предоставления) которых связаны с обеспечением безопасности, и (или) качество и результат выполнения (предоставления) которых могут оказать влияние на состояние безопасности объекта использования атомной энергии, на котором и (или) в отношении которого такие работы (услуги) выполняются (предоставляются).

Приложение N 3
к Административному регламенту
исполнения Федеральной службой
по экологическому, технологическому
и атомному надзору государственной
услуги по лицензированию деятельности
в области использования
атомной энергии, утвержденному
приказом Федеральной службы
по экологическому, технологическому
и атомному надзору
от 8 октября 2014 г. N 453

ТРЕБОВАНИЯ
К СОСТАВУ КОМПЛЕКТА ДОКУМЕНТОВ, ОБОСНОВЫВАЮЩИХ ОБЕСПЕЧЕНИЕ ЯДЕРНОЙ И РАДИАЦИОННОЙ БЕЗОПАСНОСТИ ЯДЕРНОЙ УСТАНОВКИ, РАДИАЦИОННОГО ИСТОЧНИКА, ПУНКТА ХРАНЕНИЯ И (ИЛИ) ЗАЯВЛЕННОЙ ДЕЯТЕЛЬНОСТИ, ОПРЕДЕЛЕННЫЕ ФЕДЕРАЛЬНОЙ СЛУЖБОЙ ПО ЭКОЛОГИЧЕСКОМУ, ТЕХНОЛОГИЧЕСКОМУ И АТОМНОМУ НАДЗОРУ В СООТВЕТСТВИИ С ПОДПУНКТОМ "Б" ПУНКТА 10 ПОЛОЖЕНИЯ О ЛИЦЕНЗИРОВАНИИ ДЕЯТЕЛЬНОСТИ В ОБЛАСТИ ИСПОЛЬЗОВАНИЯ АТОМНОЙ ЭНЕРГИИ

1. Требования к составу комплекта документов, обосновывающих обеспечение ядерной и радиационной безопасности ядерной установки, радиационного источника, пункта хранения ядерных материалов, хранилища радиоактивных отходов (для блока атомной станции)

1.1. Требования к составу комплекта документов, обосновывающих обеспечение ядерной и радиационной безопасности при размещении ядерной установки, радиационного источника, пункта хранения ядерных материалов, хранилища радиоактивных отходов (для блока атомной станции).

1.1.1. Материалы технико-экономического обоснования в части обоснования размещения объекта.

1.1.2. Отчет по обоснованию безопасности (в объеме, содержащем все требуемые действующей нормативной документацией обоснования выбранной площадки с освещением связанных с безопасностью аспектов, общее описание объекта использования атомной энергии и его безопасности для окружающей среды и населения, включая предварительный анализ физической защиты), выполненный в соответствии с действующими нормативными документами. <1>

<1> Отчет по обоснованию безопасности пунктов хранения ядерных материалов (хранилищ ядерного топлива), хранилищ радиоактивных отходов и радиационных источников выполняется на основе действующих требований к содержанию отчетов по обоснованию безопасности АС с соответствующими типами реакторов.

1.1.3. Общая программа обеспечения качества.

1.1.4. Программа обеспечения качества при выборе площадки размещения объекта.

1.2. Требования к составу комплекта документов, обосновывающих обеспечение ядерной и радиационной безопасности при сооружении ядерной установки (блока атомной станции).

1.2.1. Предварительный отчет по обоснованию безопасности атомной станции (ПООБ АС).

1.2.2. Общая программа обеспечения качества - ПОКАС(О).

1.2.3. Программа обеспечения качества при сооружении (ПОКАС(С)). <1>

<1> ПОКАС(С) может быть представлена после подачи заявления о предоставлении лицензии на сооружение блока АС, при этом соискатель лицензии должен указать срок представления ПОКАС(С).

1.2.4. Проектные документы (включая проекты реакторной установки (РУ), систем, важных для безопасности, а также физической защиты), отчеты по анализу уязвимости объекта и оценке эффективности системы физической защиты объекта, отчеты по научно-исследовательским и опытно-конструкторским работам и отчеты по испытаниям, на которые имеется ссылка в ПООБ АС. <1>

<1> Представляются по запросу Ростехнадзора после подачи заявления о предоставлении лицензии на сооружение блока АС.

1.2.5. Вероятностный анализ безопасности (ВАБ) первого уровня энергоблока АЭС.

1.2.6. Программы ввода блока АС в эксплуатацию и предпусковых наладочных работ (документы могут быть представлены соискателем лицензии после подачи заявления о выдаче лицензии на эксплуатацию блока АС. В заявлении должен быть указан срок представления документов с учетом времени, необходимого для рассмотрения данных документов Ростехнадзором).

1.3. Требования к составу комплекта документов, обосновывающих обеспечение ядерной и радиационной безопасности при сооружении ядерной установки (блока АС, разработанного на основе базового проекта блока АС).

1.3.1. ПООБ АС. <1>

<1> ПООБ АС должен включать обоснование безопасности блока АС в объеме неизменяемой части ПООБ АС, разработанного на основе базового проекта, и обоснование безопасности блока АС, учитывающее особенности конкретной площадки.

В качестве неизменяемой части ПООБ АС должны использоваться разделы ПООБ АС, разработанного на основе базового проекта, по которому принято решение, оформленное соответствующим постановлением Ростехнадзора.

1.3.2. ПОКАС(О).

1.3.3. ПОКАС(С). <1>

<1> ПОКАС(С) может быть представлена после подачи заявления о предоставлении лицензии на сооружение блока АС, при этом соискатель лицензии должен указать срок представления ПОКАС(С).

1.3.4. Проектные документы (проекты реакторной установки, систем, важных для безопасности, а также физической защиты), отчеты по анализу уязвимости объекта и оценке эффективности системы физической защиты объекта, отчеты по научно-исследовательским и опытно-конструкторским работам и отчеты по испытаниям, на которые имеются ссылки в ПООБ АС. <1>

<1> Представляются по запросу Ростехнадзора после подачи заявления о предоставлении лицензии на сооружение блока АС.

1.3.5. ВАБ первого уровня блока АС.

1.3.6. Программы ввода блока АС в эксплуатацию и предпусковых наладочных работ (документы могут быть представлены соискателем лицензии после подачи заявления о выдаче лицензии на эксплуатацию блока АС. В заявлении должен быть указан срок представления документов с учетом времени, необходимого для рассмотрения данных документов Ростехнадзором).

1.4. Требования к составу комплекта документов, обосновывающих обеспечение ядерной и радиационной безопасности при сооружении ядерной установки (блока АС, строительство которого не завершено на момент введения Регламента).

1.4.1. ПООБ АС.

1.4.2. ВАБ первого уровня блока АС.

1.4.3. ПОКАС(О).

1.4.4. ПОКАС(С). <1>

<1> ПОКАС(С) может быть представлена после подачи заявления о предоставлении лицензии на сооружение блока АС, при этом соискатель лицензии должен указать срок представления ПОКАС(С).

1.4.5. Заключения эксплуатирующей организации о результатах обследования строительных конструкций, установленного оборудования и трубопроводов, выполненных монтажных работ, а также сведения об организациях, проводивших обследования этого оборудования.

1.4.6. Заключения эксплуатирующей организации о состоянии оборудования систем безопасности и систем, важных для безопасности, находящегося на хранении у эксплуатирующей организации, а также сведения об организациях, проводивших обследования этого оборудования.

1.4.7. Результаты наблюдения за зданиями и сооружениями, относящимися к I и II категориям по влиянию на безопасность, за все время наблюдений (например, осадки, крены).

1.4.8. Сводки результатов замеров уровня грунтовых вод (за все время наблюдений до момента представления заявки включительно).

1.4.9. Анализ соответствия смонтированного и находящегося на хранении оборудования, приборов и прочих изделий требованиям действующих нормативных документов по безопасности. <1>

<1> Требования данного пункта относятся к оборудованию, приборам и прочим изделиям систем, важных для безопасности.

1.4.10. Справка о соответствии инженерно-технических средств физической защиты проектной документации.

1.5. Требования к составу комплекта документов, обосновывающих обеспечение ядерной и радиационной безопасности при сооружении пункта хранения ядерных материалов (хранилища ядерного топлива).

1.5.1. Обоснование безопасности хранилища ядерного топлива.

1.5.2. Общая программа обеспечения качества - ПОК(О).

1.5.3. Программа обеспечения качества при сооружении хранилища ядерного топлива - ПОК(С). <1>

<1> ПОК(С) может быть представлена после подачи заявления о предоставлении лицензии на сооружение объекта, при этом соискатель лицензии должен указать срок представления ПОК(С).

1.5.4. Проектные документы (включая проекты систем, важных для безопасности и физической защиты), отчеты по научно-исследовательским и опытно-конструкторским работам и отчеты по испытаниям, на которые имеется ссылка в обосновании ядерной и радиационной безопасности хранилища ядерного топлива. <1>

<1> Представляются по запросу Ростехнадзора после подачи заявления о предоставлении лицензии на сооружение объекта.

1.6. Требования к составу комплекта документов, обосновывающих обеспечение радиационной безопасности при сооружении хранилища радиоактивных отходов.

1.6.1. Обоснование безопасности хранилища радиоактивных отходов.

1.6.2. Общая программа обеспечения качества - ПОК(О).

1.6.3. Программа обеспечения качества при сооружении хранилища радиоактивных отходов - ПОК(С). <1>

<1> ПОК(С) может быть представлена после подачи заявления о предоставлении лицензии на сооружение хранилища радиоактивных отходов, при этом соискатель лицензии должен указать срок представления ПОК(С).

1.6.4. Проектные документы (включая проекты, систем, важных для безопасности, а также физической защиты), отчеты по анализу уязвимости объекта и оценке эффективности системы физической защиты объекта, отчеты по научно-исследовательским и опытно-конструкторским работам, на которые имеется ссылка в Обосновании безопасности хранилища радиоактивных отходов. <1>

<1> Представляются по запросу Ростехнадзора после подачи заявления о предоставлении лицензии на сооружение хранилища радиоактивных отходов.

1.7. Требования к составу комплекта документов, обосновывающих обеспечение радиационной безопасности при сооружении радиационного источника <1>.

<1> Комплексы и установки, расположенные на территории атомных станций и не предусмотренные в первоначальном проекте атомных станций.

1.7.1. Обоснование безопасности радиационного источника.

1.7.2. Общая программа обеспечения качества - ПОК(О).

1.7.3. Программа обеспечения качества при сооружении радиационного источника - ПОК(С). <1>

<1> ПОК(С) может быть представлена после подачи заявления о предоставлении лицензии на сооружение радиационного источника, при этом соискатель лицензии должен указать срок представления ПОК(С).

1.7.4. Проектные документы (включая проекты систем, важных для безопасности, а также физической защиты), отчеты по анализу уязвимости объекта и оценке эффективности системы физической защиты объекта, отчеты по научно-исследовательским и опытно-конструкторским работам, на которые имеется ссылка в обосновании безопасности радиационного источника. <1>

<1> Представляются по запросу Ростехнадзора после подачи заявления о предоставлении лицензии на сооружение радиационного источника.

1.8. Требования к составу комплекта документов, обосновывающих обеспечение ядерной и радиационной безопасности при эксплуатации ядерной установки (блока АС, вводимого после сооружения).

1.8.1. Окончательный отчет (предварительная редакция) по обоснованию безопасности блока АС.

1.8.2. Отчеты по результатам физического и энергетического пусков, опытно-промышленной эксплуатации блока АС. <1>

1.8.3. Окончательный отчет (окончательная редакция) по обоснованию безопасности блока АС, откорректированный с учетом результатов физического и энергетического пусков и опытно-промышленной эксплуатации. <1>

1.8.4. Программа обеспечения качества при эксплуатации - ПОКАС(Э).

1.8.5. Технологический регламент эксплуатации блока АС.

1.8.6. ВАБ блока АС первого уровня, уточненный по результатам ввода в эксплуатацию. <1>

<1> Документы могут быть представлены соискателем после подачи заявления о предоставлении лицензии на эксплуатацию блока АС. В заявлении должен быть указан срок представления документов с учетом времени, необходимого для рассмотрения данных документов Ростехнадзором.

1.8.7. ВАБ второго уровня блока АС.

1.8.8. Паспорт на реакторную установку блока АС.

1.8.9. Инструкция по ликвидации аварий на блоке АС.

1.8.10. Руководство по управлению запроектными авариями на блоке АС.

1.8.11. План мероприятий по защите персонала в случае аварии на АС.

1.8.12. Информация о подборе, подготовке, поддержании квалификации и допуске к самостоятельной работе работников блока АС.

1.8.13. Справка о выполнении условий действия лицензии на сооружение блока АС.

1.8.14. Программа обеспечения качества при вводе АС в эксплуатацию ПОКАС(ВЭ).

1.8.15. Типовые программы (регламенты) предэксплуатационного и эксплуатационного контроля состояния основного металла и сварных соединений оборудования и трубопроводов систем, важных для безопасности.

1.8.16. Инструкции, программы и графики технического обслуживания, ремонта, испытаний и проверок систем, важных для безопасности. <1>

<1> Представляются по запросу Ростехнадзора после подачи заявления о предоставлении лицензии на эксплуатацию блока АС.

1.8.17. Программа ввода блока АС в эксплуатацию.

1.8.18. Программы предпусковых наладочных работ.

1.8.19. Программа физического пуска блока АС.

1.8.20. Методики проведения экспериментов в процессе физического пуска.

1.8.21. Программа энергетического пуска блока АС.

1.8.22. Программа опытно-промышленной эксплуатации блока АС.

1.8.23. Инструкция по обеспечению ядерной безопасности при хранении, транспортировании и перегрузке ядерного топлива.

1.8.24. Мероприятия, компенсирующие отступления от требований норм и правил в области использования атомной энергии.

1.8.25. Программа работ по устранению отступлений от норм и правил в области использования атомной энергии.

1.8.26. Справка по обеспечению учета и контроля (в соответствии с разделами 1 и 3 Приложения N 4).

1.8.27. Справка по обеспечению физической защиты (в соответствии с разделами 2 и 4 Приложения N 4).

1.8.28. Результаты наблюдения за зданиями и сооружениями, относящимися к I и II категориям по влиянию на безопасность, за все время наблюдений (например, осадки, крены).

1.8.29. Регламенты эксплуатации систем обращения с радиоактивными отходами. <1>

<1> Представляются по запросу Ростехнадзора после подачи заявления о предоставлении лицензии на эксплуатацию объекта.

1.9. Требования к составу комплекта документов, обосновывающих обеспечение ядерной и радиационной безопасности при эксплуатации пункта хранения ядерных материалов (хранилища ядерного топлива, вводимого после сооружения).

1.9.1. Обоснование безопасности хранилища ядерного топлива.

1.9.2. Программа обеспечения качества при эксплуатации хранилища ядерного топлива.

1.9.3. Информация о подборе, подготовке, поддержании квалификации и допуске к самостоятельной работе работников хранилища ядерного топлива.

1.9.4. Справка о выполнении условий действия лицензии на сооружение хранилища ядерного топлива.

1.9.5. Инструкция по ликвидации аварий в хранилище ядерного топлива.

1.9.6. Руководство по управлению запроектными авариями в хранилище ядерного топлива.

1.9.7. План мероприятий по защите персонала в случае аварии на АС.

1.9.8. Инструкция по обеспечению ядерной безопасности при хранении, транспортировании и перегрузке ядерного топлива.

1.9.9. Справка по обеспечению учета и контроля (в соответствии с разделом 3 Приложения N 4).

1.9.10. Справка по обеспечению физической защиты (в соответствии с разделом 2 Приложения N 4).

1.9.11. Программа ввода хранилища ядерного топлива в эксплуатацию.

1.9.12. Результаты наблюдения за зданиями и сооружениями, относящимися к I и II категориям по влиянию на безопасность, за все время наблюдений (осадки, крены).

1.9.13. Регламент эксплуатации хранилища ядерного топлива.

1.10. Требования к составу комплекта документов, обосновывающих обеспечение радиационной безопасности при эксплуатации хранилища радиоактивных отходов (вводимого после сооружения).

1.10.1. Обоснование безопасности хранилища радиоактивных отходов.

1.10.2. Программа обеспечения качества при эксплуатации хранилища радиоактивных отходов.

1.10.3. Информация о подборе, подготовке, поддержании квалификации и допуске к самостоятельной работе работников хранилища радиоактивных отходов.

1.10.4. Справка о выполнении условий действия лицензии на сооружение хранилища радиоактивных отходов.

1.10.5. Справка по обеспечению учета и контроля (в соответствии с разделом 3 Приложения N 4).

1.10.6. Инструкции по эксплуатации основных технологических систем хранилища радиоактивных отходов. <1>

<1> Представляются по запросу Ростехнадзора после подачи заявления о предоставлении лицензии на эксплуатацию хранилища радиоактивных отходов.

1.10.7. Инструкция по ликвидации аварий в хранилище радиоактивных отходов.

1.10.8. Руководство по управлению запроектными авариями в хранилище радиоактивных отходов.

1.10.9. План мероприятий по защите персонала в случае аварии на АС.

1.10.10. Справка по обеспечению физической защиты (в соответствии с разделом 4 Приложения N 4).

1.10.11. Программа ввода хранилища в эксплуатацию.

1.10.12. Результаты наблюдения за зданиями и сооружениями, относящимися к I и II категориям по влиянию на безопасность, за все время наблюдений (например, осадки, крены).

1.10.13. Регламент эксплуатации хранилища радиоактивных отходов.

1.11. Требования к составу комплекта документов, обосновывающих обеспечение радиационной безопасности при эксплуатации радиационного источника (вводимого после сооружения) <1>.

<1> Комплексы и установки, расположенные на территории атомных станций и не предусмотренные в первоначальном проекте атомных станций.

1.11.1. Обоснование безопасности радиационного источника.

1.11.2. Материалы технического проекта радиационного источника. <1>

<1> Представляются по запросу Ростехнадзора после подачи заявления о выдаче лицензии на эксплуатацию радиационного источника.

1.11.3. Инструкция по эксплуатации радиационного источника.

1.11.4. Инструкция по ликвидации аварий на радиационном источнике.

1.11.5. Руководство по управлению запроектными авариями на радиационном источнике.

1.11.6. План мероприятий по защите персонала в случае аварии на АС.

1.11.7. Справка по обеспечению учета и контроля (в соответствии с разделом 3 Приложения N 4).

1.11.8. Информация о подборе, подготовке, поддержании квалификации и допуске к самостоятельной работе работников, принимающих участие в эксплуатации радиационного источника.

1.11.9. Справка о выполнении условий действия лицензии на сооружение радиационного источника.

1.11.10. Справка по обеспечению физической защиты (в соответствии с разделом 4 Приложения N 4).

1.11.11. Результаты наблюдения за зданиями и сооружениями, относящимися к I и II категориям по влиянию на безопасность, за все время наблюдений (например, осадки, крены).

1.12. Требования к составу комплекта документов, обосновывающих обеспечение ядерной и радиационной безопасности при эксплуатации ядерной установки (действующего блока АС).

1.12.1. Окончательный отчет по обоснованию безопасности или документы, заменяющие его (Техническое обоснование безопасности блока АС и Техническое обоснование безопасности РУ, Отчет по углубленной оценке безопасности) <1>.

<1> При эксплуатации сверх назначенного срока службы представляется откорректированный в соответствии с фактическим состоянием блока АС окончательный отчет по обоснованию безопасности или подготовленный новый документ по обоснованию безопасности эксплуатации блока АС в дополнительный период эксплуатации.

1.12.2. Технологический регламент эксплуатации блока АС.

1.12.3. ВАБ первого уровня.

1.12.4. ВАБ второго уровня.

1.12.5. Паспорт на реакторную установку блока АС.

1.12.6. Инструкция по ликвидации аварий на блоке АС.

1.12.7. Руководство по управлению запроектными авариями на блоке АС.

1.12.8. План мероприятий по защите персонала в случае аварии на АС.

1.12.9. Программа обеспечения качества при эксплуатации блока АС.

1.12.10. Мероприятия, компенсирующие отступления от требований норм и правил в области использования атомной энергии.

1.12.11. Программа работ по устранению отступлений от требований норм и правил в области использования атомной энергии.

1.12.12. Информация о подборе, подготовке, поддержании квалификации и допуске к самостоятельной работе работников блока АС.

1.12.13. Результаты наблюдения за зданиями и сооружениями, относящимися к I и II категориям по влиянию на безопасность, за все время наблюдений (например, осадки, крены).

1.12.14. Инструкция по обеспечению ядерной безопасности при хранении, транспортировании и перегрузке ядерного топлива.

1.12.15. Инструкции, программы и графики технического обслуживания, ремонта, испытаний и проверок систем, важных для безопасности. <1>

<1> Представляются по запросу Ростехнадзора после подачи заявления о предоставлении лицензии на эксплуатацию блока АС.

1.12.16. Типовые программы (регламенты) эксплуатационного контроля состояния основного металла и сварных соединений оборудования и трубопроводов систем, важных для безопасности.

1.12.17. Справка по обеспечению учета и контроля (в соответствии с разделами 1 и 3 Приложения N 4).

1.12.18. Справка по обеспечению физической защиты (в соответствии с разделами 2 и 4 Приложения N 4).

1.12.19. Регламенты эксплуатации систем обращения с радиоактивными отходами. <1>

<1> При эксплуатации сверх назначенного срока службы представляется откорректированный в соответствии с фактическим состоянием блока АС окончательный отчет по обоснованию безопасности или подготовленный новый документ по обоснованию безопасности эксплуатации блока АС в дополнительный период эксплуатации.

1.12.20. Программа подготовки блока АС к продлению срока эксплуатации и справка о ходе ее выполнения (представляется при подаче заявления о выдаче лицензии на эксплуатацию действующего блока АС в период дополнительного срока).

1.12.21. Отчет о результатах комплексного обследования блока АС (представляется при подаче заявления о выдаче лицензии на эксплуатацию действующего блока АС в период дополнительного срока).

1.12.22. Регламент контроля технического состояния элементов АС, откорректированный с учетом факторов старения (представляется при подаче заявления о выдаче лицензии на эксплуатацию действующего блока АС в период дополнительного срока). <1>

<1> Допускается представлять Регламент после установления нового срока службы блока АС.

1.13. Требования к составу комплекта документов, обосновывающих обеспечение ядерной и радиационной безопасности при эксплуатации пункта хранения ядерных материалов (действующего хранилища ядерного топлива).

1.13.1. Обоснование безопасности хранилища ядерного топлива <1>.

<1> При эксплуатации сверх назначенного срока службы представляется откорректированное в соответствии с фактическим состоянием ПХ ЯМ техническое обоснование безопасности или подготовленный новый документ по обоснованию безопасности эксплуатации ПХ ЯМ в дополнительный период эксплуатации.

1.13.2. Инструкция по ликвидации аварий в хранилище ядерного топлива.

1.13.3. Руководство по управлению запроектными авариями в хранилище ядерного топлива.

1.13.4. План мероприятий по защите персонала в случае аварии на АС.

1.13.5. Мероприятия, компенсирующие отступления от требований норм и правил в области использования атомной энергии.

1.13.6. Программа работ по устранению отступлений от требований норм и правил в области использования атомной энергии.

1.13.7. Инструкции по эксплуатации основных технологических систем хранилища ядерного топлива. <1>

<1> Представляются по запросу Ростехнадзора после подачи заявления о предоставлении лицензии на эксплуатацию хранилища ядерного топлива.

1.13.8. Инструкция по обеспечению ядерной безопасности при хранении, транспортировании и перегрузке ядерного топлива.

1.13.9. Программа обеспечения качества при эксплуатации хранилища ядерного топлива - ПОК(Э).

1.13.10. Результаты наблюдения за зданиями, относящимися к I и II категориям по влиянию на безопасность, и сооружениями за все время наблюдений (например, осадки, крены),

1.13.11. Информация о подборе, подготовке, поддержании квалификации и допуске к самостоятельной работе работников хранилища ядерного топлива.

1.13.12. Справка по обеспечению учета и контроля (в соответствии с разделом 1 Приложения N 4).

1.13.13. Справка по обеспечению физической защиты (в соответствии с разделом 2 Приложения N 4).

1.13.14. Регламент эксплуатации хранилища ядерного топлива.

1.13.15. Программа подготовки пункта хранения ядерных материалов к продлению срока эксплуатации и справка о ходе ее выполнения (представляется при подаче заявления о выдаче лицензии на эксплуатацию действующего ПХ ЯМ в период дополнительного срока).

1.13.16. Отчет о результатах комплексного обследования систем и элементов ПХ ЯМ (представляется при подаче заявления о выдаче лицензии на эксплуатацию действующего ПХ ЯМ в период дополнительного срока).

1.14. Требования к составу комплекта документов, обосновывающих обеспечение радиационной безопасности при эксплуатации действующего хранилища радиоактивных отходов.

1.14.1. Обоснование безопасности хранилища радиоактивных отходов.

1.14.2. Инструкция по ликвидации аварий в хранилище радиоактивных отходов.

1.14.3. Руководство по управлению запроектными авариями в хранилище радиоактивных отходов.

1.14.4. План мероприятий по защите персонала в случае аварии на АС.

1.14.5. Мероприятия, компенсирующие отступления от требований норм и правил в области использования атомной энергии.

1.14.6. Программа работ по устранению отступлений от требований норм и правил в области использования атомной энергии.

1.14.7. Инструкции по эксплуатации основных технологических систем хранилища радиоактивных отходов. <1>

<1> Представляются по запросу Ростехнадзора после подачи заявления о предоставлении лицензии на эксплуатацию хранилища радиоактивных отходов.

1.14.8. Программа обеспечения качества при эксплуатации хранилища радиоактивных отходов.

1.14.9. Результаты наблюдения за зданиями и сооружениями, относящимися к I и II категориям по влиянию на безопасность, за все время наблюдений (например, осадки, крены).

1.14.10. Информация о подборе, подготовке, поддержании квалификации и допуске к самостоятельной работе работников хранилища радиоактивных отходов.

1.14.11. Справка по обеспечению физической защиты хранилища радиоактивных отходов (в соответствии с разделом 4 Приложения N 4).

1.14.12. Справка по обеспечению учета и контроля радиоактивных веществ и радиоактивных отходов (в соответствии с разделом 3 Приложения N 4).

1.14.13. Регламент по эксплуатации хранилища радиоактивных отходов.

1.15. Требования к составу комплекта документов, обосновывающих обеспечение радиационной безопасности при эксплуатации действующего радиационного источника <1>.

<1> Комплексы и установки, расположенные на территории атомных станций и не предусмотренные в первоначальном проекте атомных станций.

1.15.1. Обоснование безопасности радиационного источника.

1.15.2. Технический проект радиационного источника. <1>

<1> Представляются по запросу Ростехнадзора после подачи заявления о предоставлении лицензии на эксплуатацию радиационного источника.

1.15.3. Регламент по эксплуатации радиационного источника.

1.15.4. Инструкция по ликвидации аварий на радиационном источнике.

1.15.5. Руководство по управлению запроектными авариями на радиационном источнике.

1.15.6. План мероприятий по защите персонала в случае аварии на АС.

1.15.7. Мероприятия, компенсирующие отступления от требований норм и правил в области использования атомной энергии.

1.15.8. Программа работ по устранению отступлений от требований норм и правил в области использования атомной энергии.

1.15.9. Программа обеспечения качества при эксплуатации радиационного источника.

1.15.10. Справка по обеспечению учета и контроля радиоактивных веществ и радиоактивных отходов (в соответствии с разделом 3 Приложения N 4).

1.15.11. Информация о подборе, подготовке, поддержании квалификации и допуске к самостоятельной работе работников, принимающих участие в эксплуатации радиационного источника.

1.15.12. Справка по обеспечению физической защиты радиационного источника (в соответствии разделом 4 Приложения N 4).

1.15.13. Результаты наблюдения за зданиями и сооружениями, относящимися к I и II категориям по влиянию на безопасность, за все время наблюдений (например, осадки, крены).

1.16. Требования к составу комплекта документов, обосновывающих обеспечение ядерной и радиационной безопасности при эксплуатации ядерной установки (блока АС, остановленного для вывода из эксплуатации).

1.16.1. Обоснование ядерной и радиационной безопасности эксплуатации блока АС, остановленного для вывода из эксплуатации. <1>

<1> Вместо обоснования может быть представлено откорректированное действующее Техническое обоснование безопасности АС.

1.16.2. Технологический регламент эксплуатации блока АС.

1.16.3. Инструкция по ликвидации аварий на блоке АС.

1.16.4. Программа обеспечения качества при эксплуатации.

1.16.5. План мероприятий по защите персонала в случае аварии на АС.

1.16.6. Информация о подборе, подготовке, поддержании квалификации и допуске к самостоятельной работе работников блока АС.

1.16.7. Приказ эксплуатирующей организации об остановке блока АС для вывода из эксплуатации.

1.16.8. Результаты наблюдения за зданиями и сооружениями, относящимися к I и II категориям по влиянию на безопасность, за все время наблюдений (например, осадки, крены).

1.16.9. Справка по обеспечению учета и контроля (в соответствии с разделами 1 и 3 Приложения N 4).

1.16.10. Справка по обеспечению физической защиты (в соответствии с разделами 2 и 4 Приложения N 4).

1.16.11. Инструкция по обеспечению ядерной безопасности при хранении, транспортировании и перегрузке ядерного топлива.

1.16.12. Отчет по результатам комплексного обследования текущего состояния остановленного блока на момент, предшествующий подаче заявления о выдаче лицензии на эксплуатацию.

1.16.13. Заключение эксплуатирующей организации по результатам комплексного обследования текущего состояния остановленного блока на момент, предшествующий подаче заявления о выдаче лицензии на эксплуатацию.

1.16.14. План мероприятий по устранению недостатков, выявленных в результате комплексного обследования текущего состояния остановленного блока.

1.16.15. План-график работ по разработке проекта вывода блока АС из эксплуатации и отчета по обоснованию безопасности при выводе блока АС из эксплуатации.

1.16.16. Программа вывода блока АС из эксплуатации.

1.16.17. Регламенты эксплуатации систем обращения с радиоактивными отходами. <1>

<1> Материалы представляются по запросу Ростехнадзора после подачи заявления на получение лицензии на эксплуатацию ядерной установки (блока АС, остановленного для вывода из эксплуатации).

1.17. Требования к составу комплекта документов, обосновывающих обеспечение ядерной и радиационной безопасности при выводе из эксплуатации ядерной установки (блока АС).

1.17.1. Отчет по обоснованию безопасности при выводе из эксплуатации блока АС.

1.17.2. Отчет о результатах комплексного обследования блока АС.

1.17.3. Программа вывода блока АС из эксплуатации.

1.17.4. Программа и график работ по демонтажу оборудования и систем блока АС.

1.17.5. Программа обеспечения качества при выводе из эксплуатации - ПОКАС(ВиЭ).

1.17.6. Инструкция по ликвидации аварий на блоке АС при выводе из эксплуатации.

1.17.7. План мероприятий по защите персонала в случае аварий на АС.

1.17.8. Инструкции по эксплуатации оборудования и систем, учитывающие этапы демонтажа оборудования и систем по программе демонтажа. <1>

<1> Материалы представляются по запросу Ростехнадзора после подачи заявления на получение лицензии на вывод из эксплуатации блока АС.

1.17.9. Справка по обеспечению учета и контроля радиоактивных отходов, образующихся при выводе из эксплуатации блока АС (в соответствии с разделами 1 и 3 Приложения N 4).

1.17.10. Справка по обеспечении физической защиты при выводе из эксплуатации блока АС (в соответствии с разделами 2 и 4 Приложения N 4).

1.17.11. Документ, подтверждающий отсутствие на блоке АС ядерных материалов с указанием времени вывоза ядерных материалов.

1.17.12. Проект вывода блока АС из эксплуатации.

1.17.13. Результаты наблюдения за зданиями и сооружениями, относящимися к I и II категориям по влиянию на безопасность, за все время наблюдений (например, осадки, крены).

1.17.14. Регламенты эксплуатации систем обращения с радиоактивными отходами. <1>

<1> Вместо обоснования может быть представлено откорректированное действующее Техническое обоснование безопасности АС.

1.17.15. Информация о подборе, подготовке, поддержании квалификации и допуске к самостоятельной работе работников блока АС.

1.18. Требования к составу комплекта документов, обосновывающих обеспечение ядерной и радиационной безопасности при обращении с ядерными материалами при их транспортировании и хранении.

1.18.1. Обоснование безопасности при обращении с ядерными материалами при их транспортировании и хранении.

1.18.2. Программа обеспечения качества при транспортировании и хранении ядерных материалов.

1.18.3. Акты приемки в эксплуатацию транспортных упаковочных комплектов, транспортных средств и хранилищ ядерных материалов.

1.18.4. Информация о подборе, подготовке, поддержании квалификации и допуске к самостоятельной работе работников, участвующих в операциях по обращению с ядерными материалами.

1.18.5. Инструкция по обеспечению ядерной безопасности при хранении, транспортировании и перегрузке ядерного топлива.

1.18.6. Инструкция по ликвидации аварий при транспортировании и хранении ядерных материалов.

1.18.7. Руководство по управлению запроектными авариями с ядерными материалами при их транспортировании и хранении.

1.18.8. План мероприятий по защите персонала на АС.

1.18.9. Инструкции по эксплуатации транспортных упаковочных комплектов, транспортных средств и хранилищ, предназначенных для транспортирования и хранения ядерных материалов. <1>.

<1> Материалы представляются по запросу Ростехнадзора после подачи заявления на получение лицензии на обращение с ядерными материалами при их транспортировании и хранении.

1.18.10. Справка по обеспечению учета и контроля ядерных материалов в хранилище (в соответствии с разделом 1 Приложения N 4).

1.18.11. Справка по обеспечению физической защиты (в соответствии с разделом 2 Приложения N 4) в части обращения с ядерными материалами при их транспортировании и хранении.

1.18.12. Справка по обеспечению учета и контроля радиоактивных веществ и радиоактивных отходов при их наличии (в соответствии с разделом 3 Приложения N 4).

1.19. Требования к составу комплекта документов, обосновывающих обеспечение радиационной безопасности обращения с радиоактивными отходами при их хранении, переработке и транспортировании.

1.19.1. Обоснование безопасности обращения с радиоактивными отходами при их хранении, переработке и транспортировании.

1.19.2. Программы обеспечения качества при обращении с радиоактивными отходами при их хранении, переработке и транспортировании.

1.19.3. Информация о подборе, подготовке, поддержании квалификации и допуске к самостоятельной работе работников, участвующих в операциях по обращению с радиоактивными отходами.

1.19.4. Инструкция по ликвидации аварий при хранении, переработке и транспортировании радиоактивных отходов.

1.19.5. План мероприятий по защите персонала в случае аварии на АС.

1.19.6. Справка по обеспечению учета и контроля (в соответствии с разделом 3 Приложения N 4) в части обращения с радиоактивными отходами при их хранении, переработке и транспортировании.

1.19.7. Справка по обеспечению физической защиты (в соответствии с разделом 4 Приложения N 4).

1.19.8. Регламент обращения с радиоактивными отходами при их хранении, переработке и транспортировании.

1.20. Требования к составу комплекта документов, обосновывающих обеспечение радиационной безопасности обращения с радиоактивными веществами при их производстве, переработке, транспортировании и хранении.

1.20.1. Обоснование безопасности при обращении с радиоактивными веществами при их производстве, переработке, транспортировании и хранении.

1.20.2. Программа обеспечения качества при производстве, переработке, транспортировании и хранении радиоактивных веществ.

1.20.3. Информация о подборе, подготовке, поддержании квалификации и допуске к самостоятельной работе работников, участвующих в операциях по обращению с радиоактивными веществами.

1.20.4. Инструкция по ликвидации аварий при обращении с радиоактивными веществами при их производстве, переработке, транспортировании и хранении.

1.20.5. План мероприятий по защите персонала в случае аварии на АС.

1.20.6. Справка по обеспечению учета и контроля (в соответствии с разделом 3 Приложения N 4).

1.20.7. Справка по обеспечению физической защиты (в соответствии с разделом 4 Приложения N 4).

1.21. Требования к составу комплекта документов для получения лицензии на использование ядерных материалов и радиоактивных веществ при проведении научно-исследовательских и опытно-конструкторских работ на ядерной установке (блоке АС).

1.21.1. Материалы, содержащие описание предлагаемых научно-исследовательских и опытно-конструкторских работ (НИР и ОКР), с указанием места (блок АС, пункт хранения ядерных материалов (хранилище ядерного топлива), защитная камера, хранилище радиоактивных отходов и др.) и причины их проведения.

1.21.2. Обоснование ядерной и радиационной безопасности при проведении НИР и ОКР, выполненное в соответствии с требованиями действующих нормативных документов.

1.21.3. Комплект документов по изменению проектной, конструкторской, технологической и эксплуатационной документации в связи с использованием ядерных материалов и радиоактивных веществ при проведении научно-исследовательских и опытно-конструкторских работ на АС.

1.21.4. Справка по обеспечению учета и контроля ядерных материалов и радиоактивных веществ (в соответствии с разделами 1 и/или 3 Приложения N 4).

1.21.5. Справка по обеспечению физической защиты (в соответствии с разделами 2 и/или 4 Приложения N 4).

2. Требования к составу комплекта документов, обосновывающих обеспечение ядерной и радиационной безопасности исследовательской ядерной установки (исследовательского ядерного реактора, критического ядерного и подкритического ядерного стенда).

2.1. Требования к составу комплекта документов, обосновывающих обеспечение ядерной и радиационной безопасности при размещении ядерной установки (исследовательского ядерного реактора, критического ядерного и подкритического ядерного стенда).

2.1.1. Копии решений Правительства Российской Федерации о сооружении и месте размещения исследовательской ядерной установки (далее - ИЯУ) (в соответствии со статьей 28 Федерального закона "Об использовании атомной энергии").

2.1.2. Обоснование инвестиций.

2.1.3. Предварительный отчет по обоснованию безопасности ИЯУ, содержащий все требуемые нормативными документами обоснования выбранной площадки с освещением связанных с безопасностью аспектов, в том числе по вопросам, относящимся к физической защите, концептуальное описание ИЯУ и его безопасности для окружающей среды и населения, включая предварительный анализ безопасности.

2.1.4. Общая программа обеспечения качества.

2.1.5. Программа обеспечения качества при размещении ИЯУ.

2.1.6. Список организаций, выполняющих работы и предоставляющих услуги эксплуатирующей организации, с указанием содержания работ (услуг) и наличия соответствующих лицензий.

2.1.7. Результаты радиационного обследования территории размещения ИЯУ.

2.2. Требования к составу комплекта документов, обосновывающих обеспечение ядерной и радиационной безопасности при сооружении исследовательской ядерной установки (исследовательского ядерного реактора, критического ядерного и подкритического ядерного стенда).

2.2.1. Копии решений Правительства Российской Федерации о сооружении и месте размещения ИЯУ (в соответствии со статьей 28 Федерального закона "Об использовании атомной энергии").

2.2.2. Технико-экономическое обоснование размещения ИЯУ.

2.2.3. Промежуточный отчет по обоснованию безопасности ИЯУ.

2.2.4. Проектные документы (включая проекты систем, важных для безопасности и физической защиты), отчеты по научно-исследовательским и опытно-конструкторским работам и отчеты по испытаниям, на которые имеются ссылки в промежуточном отчете по обоснованию безопасности (объем представляемой информации согласовывается с Ростехнадзором).

2.2.5. Справка о соответствии проекта ИЯУ требованиям нормативных документов в части обеспечения физической защиты ИЯУ, ядерных материалов, радиоактивных веществ, радиоактивных отходов.

2.2.6. Общая программа обеспечения качества.

2.2.7. Программа обеспечения качества при сооружении ИЯУ.

2.2.8. Список проектной и конструкторской документации, разработанной для сооружения ИЯУ.

2.2.9. Справка об организации строительно-монтажных и пуско-наладочных работ при сооружении ИЯУ.

2.2.10. Справка об организации контроля металла оборудования и трубопроводов ИЯУ при сооружении ИЯУ (только для исследовательских ядерных реакторов).

2.2.11. Справка о результатах обследования состояния строительных конструкций, контроля металла установленного оборудования и трубопроводов, а также состояния оборудования, находящегося на хранении (на этапе продолжения сооружения только для исследовательских ядерных реакторов).

2.2.12. Список организаций, выполняющих работы и предоставляющих услуги при сооружении ИЯУ, с указанием содержания работ (услуг) и наличия соответствующих лицензий.

2.3. Требования к составу комплекта документов, обосновывающих обеспечение ядерной и радиационной безопасности при эксплуатации исследовательской ядерной установки (исследовательского ядерного реактора, критического ядерного и подкритического ядерного стенда).

2.3.1. Копия акта приемки ИЯУ в эксплуатацию.

2.3.2. Отчет по обоснованию безопасности при эксплуатации ИЯУ.

2.3.3. Общая программа обеспечения качества.

2.3.4. Программа обеспечения качества при эксплуатации ИЯУ.

2.3.5. Паспорт ИЯУ.

2.3.6. Программа экспериментальных работ.

2.3.7. Список экспериментальных устройств и их характеристики.

2.3.8. Справка об использовании ЯМ.

2.3.9. Список документов, включающий инструкции, внутренние организационно-распорядительные и иные документы эксплуатирующей организации, а также документы других организаций, действие которых распространяется на ИЯУ и является обязательным.

2.3.10. Технологический регламент эксплуатации ИЯУ (только для исследовательских ядерных реакторов).

2.3.11. Руководство или инструкция по эксплуатации ИЯУ.

2.3.12. Программы предэксплуатационного и эксплуатационного контроля состояния основного металла и сварных соединений оборудования и трубопроводов систем, важных для безопасности.

2.3.13. Список ядерно и радиационно опасных работ и организационно-технических мероприятий по обеспечению их безопасности.

2.3.14. Справка об организации технического освидетельствования и испытаний систем и элементов ИЯУ, важных для безопасности (включая сосуды, трубопроводы, специальные краны и т.д.).

2.3.15. Справка о наличии на ИЯУ отступлений от требований нормативных документов, мероприятиях по их устранению и мерах, компенсирующих отступления.

2.3.16. Справка об организации работ по учету и расследованию нарушений на ИЯУ.

2.3.17. Документ о состоянии строительных конструкций и сооружений ИЯУ (акт последнего перед подачей заявления обследования).

2.3.18. Справка по обеспечению учета и контроля ядерных материалов, радиоактивных веществ, радиоактивных отходов (в соответствии с разделами 1 и 3 Приложения N 4).

2.3.19. Справка по обеспечению физической защиты ИЯУ, ядерных материалов, радиоактивных веществ, радиоактивных отходов (в соответствии с разделами 2 и 4 Приложения N 4).

2.3.20. Справка об укомплектованности кадрами, составе и квалификации персонала, планах подготовки и переподготовки работников ИЯУ, наличии разрешений, выданных Ростехнадзором работникам ИЯУ на право ведения работ в области использования атомной энергии.

2.3.21. Документы, устанавливающие обязанности и границы ответственности за состояние безопасности:

руководящего персонала;

персонала, ведущего технологический процесс на ИЯУ.

2.3.22. Инструкция по действиям персонала при возникновении и ликвидации аварии на ИЯУ.

2.3.23. План мероприятий по защите персонала ИЯУ в случае аварии.

2.3.24. Годовой отчет по оценке текущего состояния ядерной и радиационной безопасности при эксплуатации ИЯУ (последний перед подачей заявления на выдачу лицензии).

2.3.25. Список организаций, выполняющих работы и предоставляющих услуги для лицензиата при эксплуатации ИЯУ, с указанием содержания работ (услуг) и наличия соответствующих лицензий.

2.3.26. Справка о структуре и составе служб ядерной и радиационной безопасности.

2.3.27. Справка об установленной категории радиационной опасности площадки эксплуатирующей организации.

2.3.28. Справка о регистрации оборудования и трубопроводов.

2.3.29. Справка об организации работ по продлению назначенного срока эксплуатации систем и элементов ИЯУ в соответствии с требованиями нормативных документов (данные о состоянии систем и элементов ИЯУ, важных для безопасности, с указанием назначенного срока их эксплуатации).

2.4. Требования к составу комплекта документов, обосновывающих обеспечение ядерной и радиационной безопасности при выводе из эксплуатации исследовательской ядерной установки (исследовательского ядерного реактора, критического ядерного и подкритического ядерного стенда).

2.4.1. Копия решения федерального органа исполнительной власти, осуществляющего управление использованием атомной энергии, о выводе ИЯУ из эксплуатации.

2.4.2. Принципиальная программа вывода ИЯУ из эксплуатации.

2.4.3. Отчет по обоснованию безопасности вывода из эксплуатации ИЯУ.

2.4.4. Общая программа обеспечения качества.

2.4.5. Программа обеспечения качества при выводе из эксплуатации ИЯУ.

2.4.6. Отчет с результатами комплексного инженерного и радиационного обследования оборудования и помещений, выводимых из эксплуатации.

2.4.7. Материалы проекта вывода ИЯУ из эксплуатации (в согласованном с Ростехнадзором объеме).

2.4.8. Список проектной, конструкторской, эксплуатационной и технологической документации, включающий инструкции, внутренние организационно-распорядительные и иные документы эксплуатирующей организации (включая специально разработанные для вывода из эксплуатации ИЯУ), обязательные для использования при выводе ИЯУ из эксплуатации.

2.4.9. План мероприятий по защите персонала ИЯУ в случае аварии.

2.4.10. Акт инвентаризации оборудования и помещений ИЯУ, подлежащих выводу из эксплуатации.

2.4.11. Справка об укомплектованности кадрами, о составе и квалификации персонала и наличии разрешений, выданных Ростехнадзором работникам ИЯУ на проведение работ в области использования атомной энергии.

2.4.12. Документ, подтверждающий отсутствие на ИЯУ ядерных материалов с указанием даты их вывоза.

2.4.13. Справка по обеспечению учета и контроля (в соответствии с разделами 1 и 3 Приложения N 4).

2.4.14. Справка по обеспечению физической защиты (в соответствии с разделами 2 и 4 Приложения N 4).

2.4.15. Список организаций, выполняющих работы и предоставляющих услуги эксплуатирующей организации при выводе из эксплуатации ИЯУ, с указанием работ и вида услуг и наличия соответствующих лицензий.

2.4.16. Сведения по продлению назначенного срока эксплуатации инженерных систем, важных для безопасности и сохраняемых в работе при выводе ИЯУ из эксплуатации, срок службы которых превышает установленный проектом.

2.4.17. Годовой отчет по оценке текущего состояния безопасности при выводе из эксплуатации ИЯУ (последний перед подачей заявления на выдачу лицензии).

3. Требования к составу комплекта документов, обосновывающих обеспечение ядерной и радиационной безопасности объектов ядерного топливного цикла, включая предназначенные для научных исследований, транспортирования ядерных материалов и радиоактивных веществ.

3.1. Требования к составу комплекта документов, обосновывающих обеспечение ядерной и радиационной безопасности при размещении ядерных установок, пунктов хранения ядерных материалов и радиоактивных веществ, хранилищ радиоактивных отходов (объектов ядерного топливного цикла).

3.1.1. Предварительный отчет по обоснованию безопасности (в объеме, содержащем все требуемые действующей нормативной документацией обоснования выбранной площадки с освещением связанных с безопасностью аспектов, общее описание объекта использования атомной энергии и его безопасности для окружающей среды и населения, включая предварительный анализ безопасности и физической защиты), выполненный в соответствии с действующими нормативными документами.

3.1.2. Программа обеспечения качества при выборе площадки размещения объекта.

3.2. Требования к составу комплекта документов, обосновывающих обеспечение ядерной и радиационной безопасности при сооружении ядерных установок, пунктов хранения ядерных материалов и радиоактивных веществ, хранилищ радиоактивных отходов (объектов ядерного топливного цикла).

3.2.1. Предварительный отчет по обоснованию безопасности.

3.2.2. Программа обеспечения качества при сооружении объекта.

3.2.3. Проектные документы (включая проекты систем, важных для безопасности, а также физической защиты), отчеты по анализу уязвимости объекта и оценке эффективности системы физической защиты объекта, отчеты по научно-исследовательским и опытно-конструкторским работам и отчеты по испытаниям, на которые имеется ссылка в отчете по обоснованию безопасности.

3.2.4. Справка о соответствии проекта требованиям нормативных документов в части обеспечения физической защиты.

3.2.5. Перечень организаций, выполняющих работы и предоставляющих услуги соискателю лицензии (лицензиату) с указанием содержания этих работ (услуг).

3.2.6. Для объектов, сооружение которых не завершено, а срок действия лицензии на сооружение объекта истек, дополнительно представляются:

3.2.6.1. Заключения эксплуатирующей организации о результатах обследования строительных конструкций, установленного оборудования и трубопроводов, выполненных монтажных работ, а также сведения об организациях, проводивших обследования этого оборудования.

3.2.6.2. Заключения эксплуатирующей организации о состоянии оборудования систем безопасности и систем, важных для безопасности, находящегося на хранении у эксплуатирующей организации, а также сведения об организациях, проводивших обследования этого оборудования.

3.2.6.3. Сводки результатов замеров уровня грунтовых вод (за все время наблюдений до момента представления заявки включительно).

3.2.6.4. Анализ соответствия смонтированного и находящегося на хранении оборудования, приборов и прочих изделий, важных для безопасности, требованиям действующих нормативных документов.

3.3. Требования к составу комплекта документов, обосновывающих обеспечение ядерной и радиационной безопасности при эксплуатации пункта хранения ядерных материалов (хранилища ядерного топлива), хранилища радиоактивных отходов (объекта топливного цикла).

3.3.1. Отчет по обоснованию безопасности (ООБ).

3.3.2. Программа обеспечения качества при эксплуатации хранилища.

3.3.3. Информация о подборе, подготовке, поддержании квалификации и допуске к самостоятельной работе работников хранилища <1>.

<1> В случае наличия в ООБ соответствующего раздела материалы представляются по запросу Ростехнадзора после подачи заявления о предоставлении лицензии.

3.3.4. Справка о выполнении условий действия лицензии на сооружение хранилища (для хранилищ, вводимых после сооружения).

3.3.5. Инструкция по ликвидации аварий в хранилище.

3.3.6. Руководство по управлению запроектными авариями в хранилище.

3.3.7. План мероприятий по защите персонала в случае аварии на объекте.

3.3.8. Инструкция по обеспечению ядерной безопасности при хранении, транспортировании и перегрузке ядерного топлива.

3.3.9. Справка по обеспечению учета и контроля (в соответствии с разделами 1 и/или 3 Приложения N 4) в части, касающейся ядерных материалов и (или) радиоактивных отходов.

3.3.10. Справка по обеспечению физической защиты (в соответствии с разделами 2 и/или 4 Приложения N 4) в части, касающейся пункта хранения ядерных материалов и (или) хранилища радиоактивных отходов.

3.3.11. Программа ввода хранилища в эксплуатацию (для хранилищ, вводимых после сооружения).

3.3.12. Мероприятия, компенсирующие отступления от требований норм и правил в области использования атомной энергии (для действующих хранилищ).

3.3.13. Программа работ по устранению отступлений от требований норм и правил в области использования атомной энергии (для действующих хранилищ).

3.3.14. Инструкции по эксплуатации основных технологических систем хранилища ядерного топлива.

3.4. Требования к составу комплекта документов, обосновывающих обеспечение ядерной и радиационной безопасности при эксплуатации сооружений, комплексов, установок с ядерными материалами, предназначенных для производства, переработки, использования, транспортирования ядерного топлива и ядерных материалов (включая добычу урановых руд, гидрометаллургическую переработку, аффинаж, сублиматное производство, металлургическое производство, разделение изотопов урана, радиохимическую переработку ядерного топлива).

3.4.1. Отчет по обоснованию безопасности.

3.4.2. Отчет по результатам ввода в эксплуатацию объекта (для объектов, вводимых после сооружения).

3.4.3. Технический проект объекта (представляется в согласованном с Ростехнадзором объеме) <1>.

<1> В случае наличия в ООБ соответствующего раздела материалы представляются по запросу Ростехнадзора после подачи заявления о предоставлении лицензии.

3.4.4. Инструкция по ликвидации последствий аварий на объекте.

3.4.5. Руководство по управлению запроектными авариями.

3.4.6. План мероприятий по защите персонала в случае аварии на объекте.

3.4.7. Информация о подборе, подготовке, поддержании квалификации, допуске к самостоятельной работе работников объекта и наличии разрешений Ростехнадзора на право ведения работ в области использования атомной энергии.

3.4.8. Программа обеспечения качества при вводе объекта в эксплуатацию (для объектов, вводимых после сооружения).

3.4.9. Программа обеспечения качества при эксплуатации.

3.4.10. Перечень технологических регламентов.

3.4.11. Перечни инструкций, программ и графиков технического обслуживания, ремонта, испытаний и проверок систем, важных для безопасности.

3.4.12. Программа ввода объекта в эксплуатацию (для объектов, вводимых после сооружения).

3.4.13. Программа предпусковых наладочных работ (для объектов, вводимых после сооружения).

3.4.14. Программа опытно-промышленной эксплуатации (для объектов, вводимых после сооружения).

3.4.15. Мероприятия, компенсирующие отступления от требований норм и правил по ядерной и радиационной безопасности.

3.4.16. Программа работ по устранению отступлений от требований норм и правил по ядерной и радиационной безопасности.

3.4.17. Справка по обеспечению учета и контроля (в соответствии с разделами 1 и/или 3 Приложения N 4).

3.4.18. Справка по обеспечению физической защиты ядерной установки (в соответствии с разделами 2 и/или 4 Приложения N 4).

3.4.19. Сведения о наличии санитарно-эпидемиологического заключения о соответствии условий проведения работ с РВ на объектах требованиям санитарных правил.

3.4.20. Сведения о наличии документа, устанавливающего нормативы (лимиты - в случае установления лимитов) допустимых выбросов и сбросов РВ.

3.4.21. Сведения о наличии разрешений на выбросы и сбросы РВ.

3.4.22. План снижения выбросов и сбросов РВ.

3.4.23. Перечень организаций, выполняющих работы и предоставляющих услуги лицензиату с указанием содержания этих работ (услуг).

3.5. Требования к составу комплекта документов, обосновывающих обеспечение ядерной и радиационной безопасности при эксплуатации промышленного реактора.

3.5.1. Отчет по обоснованию безопасности.

3.5.2. Общая программа обеспечения качества ПОК (О).

3.5.3. Программа обеспечения качества при эксплуатации ПОК (Э).

3.5.4. Справка по обеспечению физической защиты (в соответствии с разделами 2 и/или 4 Приложения N 4).

3.5.5. Справка по обеспечению учета и контроля (в соответствии с разделами 1 и/или 3 Приложения N 4).

3.5.6. Перечень организаций, выполняющих работы и предоставляющих услуги с указанием содержания этих работ.

3.5.7. Технологический регламент эксплуатации реактора.

3.5.8. Паспорт на реакторную установку.

3.5.9. Инструкция (план) по ликвидации последствий аварий.

3.5.10. Руководство по управлению запроектными авариями.

3.5.11. План мероприятий по защите персонала в случае аварии на реакторе.

3.5.12. Анализ соответствия состояния реактора требованиям действующих норм и правил по безопасности атомных станций.

3.5.13. Мероприятия, компенсирующие отступления от требований норм и правил по ядерной и радиационной безопасности.

3.5.14. Графики работ по техническому перевооружению и модернизации реактора на текущий период.

3.5.15. Справка о выполненных модернизациях за прошедший период.

3.5.16. Программа работ по устранению отступлений от требований норм и правил по ядерной, радиационной и технической безопасности.

3.5.17. Справка о выполнении за прошедший период программы работ по устранению отступлений от требований норм и правил по ядерной, радиационной и технической безопасности.

3.5.18. Информация об аттестации в установленном порядке персонала реактора за предыдущий период и наличии у работников разрешений Ростехнадзора.

3.5.19. Справка о выполнении условий действия лицензии на эксплуатацию реактора за предыдущий период.

3.5.20. Оценка основных показателей состояния безопасности реактора:

а) состояния металлоконструкций реактора с точки зрения прочности и консервативный прогноз их остаточного ресурса;

б) состояния и условий эксплуатации графитовой кладки, в том числе величины искривления колонн графитовой кладки, консервативный прогноз ее остаточного ресурса (для уран-графитовых реакторов);

в) состояния трубопроводов первого контура с точки зрения прочности и консервативный прогноз их остаточного ресурса.

3.5.21. Инструкции, программы и графики технического обслуживания, ремонта, испытаний и проверок систем, важных для безопасности.

3.5.22. Перечень инструкций по обеспечению ядерной безопасности при хранении, транспортировании и перегрузке ядерного топлива.

3.5.23. Сведения о наличии санитарно-эпидемиологического заключения о соответствии порядка, условий и способов сбора, использования, обезвреживания, транспортирования, хранения и захоронения РАО требованиям санитарных правил.

3.5.24. Сведения о наличии документа, устанавливающего нормативы (лимиты - в случае установления лимитов) допустимых выбросов и сбросов РВ.

3.5.25. Сведения о наличии разрешений на выбросы и сбросы РВ.

3.5.26. План снижения выбросов и сбросов РВ.

3.6. Требования к составу комплекта документов, обосновывающих обеспечение ядерной и радиационной безопасности при выводе из эксплуатации ядерных установок, радиационных источников и пунктов хранения ядерных материалов и радиоактивных веществ, хранилищ радиоактивных отходов (объектов топливного цикла).

3.6.1. Отчет по обоснованию безопасности при выводе из эксплуатации объекта.

3.6.2. Отчет о результатах комплексного обследования объекта.

3.6.3. Программа вывода объекта из эксплуатации.

3.6.4. Программа и график работ по демонтажу оборудования и систем объекта.

3.6.5. Программа обеспечения качества при выводе из эксплуатации - ПОК (ВвЭ).

3.6.6. Инструкция по ликвидации аварий на объекте при выводе из эксплуатации.

3.6.7. План мероприятий по защите персонала в случае аварий на объекте.

3.6.8. Инструкции по эксплуатации оборудования и систем, учитывающие этапы демонтажа оборудования и систем по программе демонтажа <1>.

<1> В случае наличия в ООБ соответствующего раздела материалы представляются по запросу Ростехнадзора после подачи заявления о предоставлении лицензии.

3.6.9. Справка по обеспечению учета и контроля (в соответствии с разделами 1 и/или 3 Приложения N 4).

3.6.10. Справка по обеспечению физической защиты (в соответствии с разделами 2 и/или 4 Приложения N 4).

3.6.11. Документ, подтверждающий отсутствие на объекте ядерных материалов с указанием времени вывоза ядерных материалов (для ядерных установок и пунктов хранения ядерных материалов).

3.6.12. Проект вывода объекта из эксплуатации.

3.7. Требования к составу комплекта документов, обосновывающих обеспечение ядерной и радиационной безопасности при обращении с ядерными материалами и радиоактивными веществами, в том числе при разведке и добыче урановых руд, при производстве, использовании, переработке и хранении ядерных материалов и радиоактивных веществ.

3.7.1. Отчет по обоснованию безопасности при обращении с ядерными материалами и радиоактивными веществами.

3.7.2. Программа обеспечения качества при обращении с ядерными материалами и радиоактивными веществами - ПОК(Э).

3.7.3. Информация о подборе, подготовке, поддержании квалификации и допуске к самостоятельной работе работников, участвующих в операциях по обращению с ядерными материалами и радиоактивными веществами.

3.7.4. Инструкция по обеспечению ядерной безопасности при обращении с ядерными материалами.

3.7.5. Инструкция по ликвидации аварий при обращении с ядерными материалами и радиоактивными веществами.

3.7.6. Руководство по управлению запроектными авариями при обращении с ядерными материалами и радиоактивными веществами. <1>

<1> В случае наличия в ООБ соответствующего раздела документы представляются по запросу Ростехнадзора после подачи заявления о предоставлении лицензии.

3.7.7. План мероприятий по защите персонала на объекте.

3.7.8. Справка по обеспечению учета и контроля (в соответствии с разделами 1 и/или 3 Приложения N 4) в части, касающейся обращения с ядерными материалами и (или) радиоактивными веществами.

3.7.9. Справка по обеспечению физической защиты (в соответствии с разделами 2 и/или 4 Приложения N 4) в части, касающейся обращения с ядерными материалами и (или) радиоактивными веществами.

3.7.10. При изготовлении ядерного топлива (твэлов и ТВС) предоставляются также следующие документы:

3.7.10.1. Перечень предполагаемого организацией - соискателем лицензии к изготовлению ядерного топлива (ЯТ), в котором должны быть приведены наименование типа топлива, назначение, класс безопасности.

3.7.10.2. Перечень документов, определяющих требования к качеству и надежности ЯТ (федеральных норм и правил, руководств по безопасности, нормативных правовых и правовых актов Ростехнадзора, национальных стандартов, стандартов организаций, а также документов организации - соискателя лицензии), требования которых должны соблюдаться при изготовлении ЯТ. Сведения об укомплектованности организации-соискателя документами и системе их учета и внесения в них изменений.

3.7.10.3. Сведения о структурных подразделениях организации - соискателя лицензии, осуществляющих деятельность по изготовлению ЯТ, включая сведения о наличии положений о структурных подразделениях и должностных инструкций специалистов.

3.7.10.4. Описание действующей в организации - соискателе лицензии системы менеджмента качества при осуществлении заявленной деятельности.

3.7.10.5. Перечень программ обеспечения качества при изготовлении ЯТ. Программы должны представляться по запросу Ростехнадзора.

3.7.10.6. Сведения о разработке планов качества при изготовлении ядерного топлива (для организаций, имевших лицензии ранее).

3.7.10.7. Сведения о ранее выполненных организацией - соискателем лицензии работах, характеризующих ее опыт изготовления ЯТ.

3.7.10.8. Сведения о порядке учета, обращения, хранения конструкторской и технологической документации, внесения в нее изменений, обеспечения рабочих мест.

3.7.10.9. Сведения о порядке разработки, внесения изменений, учета, обращения, хранения технологической документации на изготовление и контроль ЯТ, ее внедрения и обеспечения рабочих мест.

3.7.10.10. Сведения о порядке постановки ЯТ на производство.

3.7.10.11. Сведения о метрологическом обеспечении производства.

3.7.10.12. Сведения об укомплектованности организации - соискателя лицензии технологическим оборудованием, испытательными средствами, оснасткой и приспособлениями, лабораторными приборами и мерительным инструментом.

3.7.10.13. Сведения о системе выбора поставщиков, оценки соответствия закупок, об организации входного контроля, идентификации, хранении и запуске в производство материалов и комплектующих изделий.

3.7.10.14. Сведения об организации неразрушающего и разрушающего контроля.

3.7.10.15. Сведения о порядке проведения проверок испытательного оборудования, порядке проведения испытаний ЯТ, порядке взаимодействия со сторонними испытательными лабораториями (при их привлечении).

3.7.10.16. Сведения о порядке учета и анализа претензий к качеству ЯТ, проведения мероприятий по устранению выявленных дефектов при изготовлении, использовании, а также принятия мер по предупреждению их появления в дальнейшем.

3.7.10.17. Номенклатура отчетной и учетной документации, порядок ее оформления и хранения.

3.8. Требования к составу комплекта документов, обосновывающих обеспечение ядерной и радиационной безопасности при обращении с радиоактивными отходами при их хранении, переработке и транспортировании.

3.8.1. Отчет по обоснованию безопасности обращения с радиоактивными отходами при их хранении, переработке и транспортировании.

3.8.2. Программы обеспечения качества при обращении с радиоактивными отходами при их хранении, переработке и транспортировании.

3.8.3. Информация о подборе, подготовке, поддержании квалификации и допуске к самостоятельной работе работников, участвующих в операциях по обращению с радиоактивными отходами.

3.8.4. Инструкция по ликвидации аварий при обращении с радиоактивными отходами <1>.

<1> В случае наличия в ООБ соответствующего раздела материалы представляются по запросу Ростехнадзора после подачи заявления о предоставлении лицензии.

3.8.5. План мероприятий по защите персонала в случае аварии на объекте.

3.8.6. Справка по обеспечению учета и контроля (в соответствии с разделом 3 Приложения N 4).

3.8.7. Справка по обеспечению физической защиты при обращении с радиоактивными отходами (в соответствии с разделом 4 Приложения N 4).

3.9. Требования к составу комплекта документов, обосновывающих обеспечение ядерной и радиационной безопасности при использовании ядерных материалов и (или) радиоактивных веществ при проведении научно-исследовательских и опытно-конструкторских работ.

3.9.1. Материалы, содержащие описание предлагаемых научно-исследовательских и опытно-конструкторских работ (НИР и ОКР), с указанием места (ядерная установка, пункт хранения ядерных материалов (хранилище ядерного топлива), защитная камера, хранилище радиоактивных отходов) и причины их проведения.

3.9.2. Отчет по обоснованию безопасности при проведении НИР и ОКР.

3.9.3. Комплект документов по изменению проектной, конструкторской, технологической и эксплуатационной документации в связи с использованием ядерных материалов и радиоактивных веществ при проведении НИР и ОКР на объекте (в случае осуществления изменений):

3.9.3.1. Инструкция по ликвидации аварий при обращении с ядерными материалами и радиоактивными веществами.

3.9.3.2. План мероприятий по защите персонала в случае аварии на объекте.

3.9.3.3. Информация о подборе, подготовке, поддержании квалификации, допуске к самостоятельной работе работников объекта и наличии разрешений Ростехнадзора на право работ в области использования атомной энергии.

3.9.3.4. Программа обеспечения качества.

3.9.3.5. Перечень технологических регламентов.

3.9.3.6. Перечень инструкций, программ и графиков технического обслуживания, ремонта, испытаний и проверок систем, важных для безопасности.

3.9.3.7. Перечень мероприятий, компенсирующих отступления от нормативных требований по ядерной и радиационной безопасности.

3.9.3.8. Программа работ по устранению отступлений от нормативных требований по ядерной и радиационной безопасности и по обращению с радиоактивными отходами.

3.9.3.9. Справка по обеспечению учета и контроля (в соответствии с разделами 1 и/или 3 Приложения N 4) в части, касающейся использования ядерных материалов и (или) радиоактивных веществ.

3.9.3.10. Справка по обеспечению физической защиты (в соответствии с разделами 2 и/или 4 Приложения N 4).

3.10. Требования к составу комплекта документов, обосновывающих обеспечение ядерной и радиационной безопасности при обращении с ядерными материалами или радиоактивными веществами, или радиоактивными отходами при их транспортировании.

3.10.1. Отчет по обоснованию безопасности.

3.10.2. Перечень ЯМ, РВ и РАО, подлежащих перевозке.

3.10.3. Перечень документов по предупреждению и ликвидации аварий в местах выполнения погрузочно-разгрузочных работ и при перевозке.

3.10.4. Программа обеспечения качества.

3.10.5. Программа радиационной защиты.

3.10.6. Перечень используемой соискателем лицензии нормативной документации, регулирующей перевозки ЯМ, РВ и РАО.

3.10.7. Программы обучения работников (персонала) (при транспортировании воздушным транспортом документ не предоставляется).

3.10.8. Сведения о наличии санитарно-эпидемиологического заключения на специальные транспортные средства (при транспортировании воздушным транспортом документ не предоставляется).

3.10.9. Сведения о наличии санитарно-эпидемиологического заключения о соответствии порядка, условий и способов транспортирования РАО требованиям санитарных правил (при транспортировании воздушным транспортом документ не предоставляется).

3.10.10. При транспортировании ЯМ, ВР или РАО воздушным транспортом представляются также следующие документы:

3.10.10.1. Справка, подтверждающая прохождение персоналом обучения по вопросам перевозки опасных грузов.

3.10.10.2. Справка, подтверждающая возможность обслуживания и ремонта воздушных судов.

3.10.10.3. Сведения о наличии сертификата на воздушное судно.

3.10.10.4. Сведения о наличии свидетельства о регистрации воздушного судна.

3.11. Требования к составу комплекта документов, обосновывающих обеспечение ядерной и радиационной безопасности при закрытии пункта захоронения радиоактивных отходов (ПЗРО).

3.11.1. Отчет по обоснованию безопасности, содержащий:

а) сведения о сооружениях (помещениях) ПЗРО, включающие следующую информацию о каждом сооружении (помещении):

описание проводимых в сооружении (помещении) радиационно опасных работ (процессов, технологий) при закрытии ПЗРО с указанием класса работ;

фактические данные об активности, радиоизотопном составе, агрегатном состоянии радиоактивных отходов в сооружении (помещении) на момент начала закрытия;

б) описание технических решений и средств, используемых для обеспечения ядерной и радиационной безопасности ПЗРО и заявленной деятельности;

в) сведения об организации радиационного контроля, структуре и составе службы радиационной безопасности;

г) радиоактивных отходов, образующихся при проектной радиационной аварии;

д) сведения об обеспечении физической защиты ПЗРО и радиоактивных отходов;

е) сведения о наличии материально-технических средств, предназначенных для использования в случае радиационной аварии, и обоснование их достаточности;

ж) сведения о порядке обучения, проверке знаний норм и правил по ядерной и радиационной безопасности, аттестации, инструктажа и допуска работников к проведению радиационно опасных работ;

з) перечень нормативных документов, устанавливающих требования к обеспечению ядерной и радиационной безопасности и физической защите ПЗРО, а также сведения о наличии указанных документов в организации-заявителе;

и) анализ ядерной и радиационной безопасности ПЗРО на всех этапах закрытия;

к) обоснование периода потенциальной опасности захораниваемых радиоактивных отходов и срока периодического радиационного контроля.

3.11.2. Программа работ по закрытию ПЗРО.

3.11.3. Перечень проектной конструкторской эксплуатационной и технологической документации, разработанной для закрытия ПЗРО (представляется по запросу Ростехнадзора).

3.11.4. Копии инструкций по ядерной и радиационной безопасности.

3.11.5. Копия инструкции по предупреждению аварии и пожара и ликвидации их последствий.

3.11.6. Критерии принятия решений при возникновении радиационной аварии (могут содержаться в инструкции по предупреждению аварии и пожара и ликвидации их последствий).

3.11.7. Копия плана мероприятий по защите работников и населения от радиационной аварии и ее последствий.

3.11.8. Программа обеспечения качества при закрытии ПЗРО.

3.11.9. Перечень организаций, осуществляющих инженерно-техническую поддержку закрытия ПЗРО, а также выполняющих работы и предоставляющих услуги в области использования атомной энергии, с указанием содержания работ (услуг).

4. Требования к составу комплекта документов, обосновывающих обеспечение ядерной и радиационной безопасности ядерных установок - судов и других плавучих, транспортных и транспортабельных средств с ядерными реакторами; судов атомно-технологического обслуживания, предназначенных для хранения и транспортирования ядерных материалов, радиационных источников - судов с ядерными реакторами, переведенными в категорию радиационных источников; судов атомно-технологического обслуживания, предназначенных для хранения и транспортирования радиоактивных веществ и радиоактивных отходов, и пунктов хранения (береговых хранилищ) ядерных материалов, радиоактивных веществ и радиоактивных отходов.

4.1. Требования к составу комплекта документов, обосновывающих обеспечение ядерной и радиационной безопасности при сооружении (строительстве) ядерных установок - судов и других плавучих, транспортных и транспортабельных средств с ядерными реакторами; судов атомно-технологического обслуживания, предназначенных для хранения и транспортирования ядерных материалов, и радиационных источников - судов атомно-технологического обслуживания, предназначенных для хранения и транспортирования радиоактивных веществ и радиоактивных отходов.

4.1.1. Отчет по обоснованию безопасности.

4.1.2. Описание комплекса работ по обращению с радиоактивными отходами на всех этапах сооружения (строительства) и ввода в эксплуатацию.

4.1.3. Описание комплекса работ по эксплуатации и хранению радиационных источников, используемых в технологическом процессе сооружения (строительства).

4.1.4. Анализ проектных и запроектных аварий в условиях сооружения (строительства) и ввода в эксплуатацию ядерной установки и меры, исключающие возможность их возникновения.

4.1.5. Описание структуры и состава служб ядерной и радиационной безопасности.

4.1.6. Справка о документах, устанавливающих общие и специальные требования к обеспечению ядерной и радиационной безопасности производств (технологий) и изделий.

4.1.7. Описание системы комплектования, подготовки и переподготовки, допуска к самостоятельной работе работников соискателя лицензии, осуществляющих сооружение (строительство) и ввод в эксплуатацию ядерной установки (радиационного источника) и обеспечение ядерной и радиационной безопасности.

4.1.8. Сведения о подготовке руководящего персонала, подготовке, составе, квалификации и аттестации персонала, ведущего технологический процесс, осуществляющего ведомственный контроль ядерной и радиационной безопасности и обеспечивающего учет и контроль ядерных материалов и радиоактивных отходов, а также их физическую защиту.

4.1.9. Сведения о разрешенных уровнях сбросов и выбросов радионуклидов в окружающую природную среду.

4.1.10. Инструкция по предупреждению ядерной и радиационной аварии, пожара и ликвидации их последствий.

4.1.11. Сведения о вводе в эксплуатацию пунктов хранения ядерных материалов и хранилищ радиоактивных отходов.

4.1.12. Справка о сертификатах на оборудование, изделия и технологии для ядерных установок, радиационных источников и пунктов хранения.

4.1.13. Справка об организациях, выполняющих работы и предоставляющих услуги при сооружении (строительстве) и вводе в эксплуатацию.

4.1.14. Справка о ядерно-опасных работах и организационно-технических мероприятиях по их выполнению.

4.1.15. Справка о нормативно-технической и распорядительной документации по обеспечению ядерной и радиационной безопасности при проведении работ на различных этапах сооружения (строительства), а также по безопасному обращению с ядерными материалами и радиоактивными отходами.

4.1.16. План ликвидации последствий ядерной и (или) радиационной аварии, защите персонала и населения в случае ядерной и радиационной аварии.

4.1.17. Инструкция по обеспечению ядерной и радиационной безопасности.

4.1.18. Сведения о лицах, ответственных за обеспечение ядерной и радиационной безопасности на этапе сооружения (строительства) и ввода в эксплуатацию.

4.1.19. Справка по обеспечению учета и контроля ядерных материалов и радиоактивных отходов (в соответствии с разделами 1 и/или 3 Приложения N 4).

4.1.20. Справка по обеспечению физической защиты объектов использования атомной энергии (в соответствии с разделами 2 и/или 4 Приложения N 4).

4.1.21. Копии инструкций по учету и контролю ядерных материалов, действующих у соискателя лицензии.

4.1.22. Справка о проектной, конструкторской, эксплуатационной и технологической документации для сооружения (строительства) и ввода в эксплуатацию.

4.1.23. Описание комплексной системы управления качеством продукции.

4.1.24. Описание системы управления проектной, конструкторской, ремонтной и эксплуатационной документацией.

4.1.25. Справка о структуре лабораторий, обеспечивающих проведение анализа качества теплоносителя контуров и газа высокого давления, а также средств по оценке радиационной обстановки у соискателя лицензии и на прилегающих территориях.

4.2. Требования к составу комплекта документов, обосновывающих обеспечение ядерной и радиационной безопасности при эксплуатации ядерных установок - судов и других плавучих, транспортных и транспортабельных средств с ядерными реакторами; судов атомно-технологического обслуживания, предназначенных для хранения и транспортирования ядерных материалов, радиационных источников - судов с ядерными реакторами, переведенными в категорию радиационных источников; судов атомно-технологического обслуживания, предназначенных для хранения и транспортирования радиоактивных веществ и радиоактивных отходов, и наземных стендов-прототипов с экспериментальными транспортными ядерными реакторами.

4.2.1. Отчет по обоснованию безопасности.

4.2.2. Список ядерно и радиационно опасных объектов, на которых и (или) в отношении которых должна проводиться заявленная деятельность.

4.2.3. Описание основных технических решений, систем и средств, обеспечивающих ядерную и радиационную безопасность.

4.2.4. Описание структуры и состава служб ядерной и радиационной безопасности.

4.2.5. Справка о документах, устанавливающих общие и специальные требования к обеспечению ядерной и радиационной безопасности при эксплуатации, выполнении работ и предоставлении услуг.

4.2.6. Сведения о подготовке руководящего персонала, подготовке, составе, квалификации и аттестации работников, ведущих технологический процесс, осуществляющих ведомственный контроль ядерной и радиационной безопасности, обеспечивающих учет и контроль ядерных материалов, радиоактивных веществ и радиоактивных отходов, а также их физическую защиту.

4.2.7. Справка о регистрации оборудования и трубопроводов ядерной установки.

4.2.8. Сведения о разрешенных уровнях сбросов и выбросов радионуклидов в окружающую среду.

4.2.9. Справка об организационно-распорядительной документации по обеспечению ядерной и радиационной безопасности.

4.2.10. Инструкция по предупреждению ядерной и (или) радиационной аварии, пожара и ликвидации их последствий.

4.2.11. Руководство (инструкция) по управлению запроектными авариями при эксплуатации ядерной установки.

4.2.12. Справка об организациях, выполняющих работы и предоставляющих услуги при эксплуатации ядерных установок и радиационных источников, с указанием вида работ (услуг) и сведений о наличии у организаций соответствующих лицензий Ростехнадзора.

4.2.13. Справка о нормативно-технических и нормативных правовых и правовых актах по организации и обеспечению хранения, учета и контроля ядерных материалов, радиоактивных веществ и радиоактивных отходов.

4.2.14. Справка о нормативно-технических и нормативных правовых актах по организации и обеспечению физической защиты объектов использования атомной энергии.

4.2.15. Анализ соответствия ядерной установки и радиационного источника требованиям действующих нормативно-технических документов по ядерной и (или) радиационной безопасности и перечень отступлений от требований действующих нормативно-технических документов.

4.2.16. План мероприятий, компенсирующих отступления от требований действующих нормативно-технических документов по ядерной и радиационной безопасности, с анализом их необходимости и достаточности.

4.2.17. Справка о результатах последних технических освидетельствований оборудования и трубопроводов ядерной установки.

4.2.18. Акт приемки ядерной установки, радиационного источника в эксплуатацию или его копия.

4.2.19. Справка по ядерно и радиационно опасным работам и организационно-техническим мероприятиям по их выполнению.

4.2.20. Сведения о последней (за отчетный период) физической инвентаризации ядерных материалов (при их наличии).

4.2.21. Справка о классификации и освидетельствовании судна федеральным автономным учреждением "Российский морской регистр судоходства", осуществляющим деятельность на основании Устава, утвержденного распоряжением Министерства транспорта Российской Федерации от 3 марта 2014 г. N МС-16-р (зарегистрирован Министерством юстиции Российской Федерации 25 августа 2014 г., регистрационный N 33791; Бюллетень нормативных актов федеральной исполнительной власти, 2014, N 47).

4.2.22. Справка по обеспечению учета и контроля ядерных материалов и радиоактивных отходов (в соответствии с разделами 1 и/или 3 Приложения N 4).

4.2.23. Справка по обеспечению физической защиты объектов использования атомной энергии (в соответствии с разделами 2 и/или 4 Приложения N 4).

4.2.24. Копии инструкций по учету и контролю ядерных материалов (при их наличии).

4.2.25. Анализ соответствия требованиям правил и норм по ядерной и радиационной безопасности хранилищ ядерного топлива.

4.2.26. Сведения о наличии условий для хранения и переработки жидких и твердых радиоактивных отходов.

4.2.27. План ликвидации последствий в случае ядерной и (или) радиационной аварии, защите персонала и населения.

4.2.28. Инструкция по обеспечению ядерной и радиационной безопасности.

4.2.29. Инструкция по обращению с радиоактивными отходами.

4.2.30. Программа обеспечения качества при эксплуатации.

4.2.31. Структурная схема подразделений, проводящих радиохимические, радиометрические или физико-химические измерения, а также описание технических средств контроля радиационной обстановки на рабочих местах и в помещениях судна, стенда-прототипа, на территории соискателя лицензии.

4.2.32. Описание системы комплектования, подготовки и переподготовки, допуска к самостоятельной работе работников соискателя лицензии, осуществляющих эксплуатацию ядерной установки или радиационного источника и обеспечение ядерной и радиационной безопасности.

4.2.33. Список ответственных за обеспечение ядерной и радиационной безопасности при эксплуатации ядерной установки, за учет и контроль ядерных материалов, радиоактивных веществ, радиоактивных отходов и радиационных источников, за обеспечение физической защиты объектов использования атомной энергии.

4.2.34. Справка о наличии разрешений, выданных работникам на право ведения работ в области использования атомной энергии.

4.2.35. Справка о выполнении условий действия лицензии за предыдущий период.

4.3. Требования к составу комплекта документов, обосновывающих обеспечение ядерной и радиационной безопасности при выводе из эксплуатации ядерных установок - судов и других плавучих, транспортных и транспортабельных средств с ядерными реакторами; судов атомно-технологического обслуживания, предназначенных для хранения и транспортирования ядерных материалов, радиационных источников - судов с ядерными реакторами, переведенными в категорию радиационных источников; судов атомно-технологического обслуживания, предназначенных для хранения и транспортирования радиоактивных веществ и радиоактивных отходов, и наземных стендов-прототипов с экспериментальными транспортными ядерными реакторами.

4.3.1. Программа вывода из эксплуатации.

4.3.2. Отчет по обоснованию безопасности.

4.3.3. Программа обеспечения качества при выводе из эксплуатации.

4.3.4. План мероприятий по защите персонала в случае аварии в процессе вывода из эксплуатации.

4.3.5. Акт инвентаризации оборудования и помещений, подлежащих выводу из эксплуатации (разделке и утилизации).

4.3.6. Акт радиационного обследования оборудования и помещений, подлежащих выводу из эксплуатации (разделке и утилизации).

4.3.7. Список организаций, выполняющих работы и предоставляющих услуги по выводу из эксплуатации, и сведения о наличии у них соответствующих лицензий Ростехнадзора.

4.3.8. Копия распорядительного документа соответствующего ведомства с указанием конечного состояния выводимой из эксплуатации ядерной установки (радиационного источника).

4.3.9. Справка по обеспечению физической защиты объектов использования атомной энергии (в соответствии с разделами 2 и/или 4 Приложения N 4).

4.3.10. Справка по обеспечению учета и контроля ядерных материалов и радиоактивных отходов (в соответствии с разделами 1 и/или 3 Приложения N 4).

4.4. Требования к составу комплекта документов, обосновывающих обеспечение ядерной и радиационной безопасности при эксплуатации и выводе из эксплуатации пунктов хранения (береговых хранилищ) ядерных материалов и радиоактивных веществ, хранилищ радиоактивных отходов.

4.4.1. Отчет по обоснованию безопасности.

4.4.2. Справка о федеральных нормах и правилах в области использования атомной энергии, других нормативных документов по безопасности пунктов хранения, требования которых должны выполняться при их эксплуатации и выводе из эксплуатации, а также сведения о наличии у соискателя лицензии указанных документов.

4.4.3. Справка о проектной, конструкторской, эксплуатационной и технологической документации по эксплуатации и выводу из эксплуатации пунктов хранения.

4.4.4. Программа обеспечения качества.

4.4.5. Справка о порядке обучения, проверки знаний норм и правил ядерной и радиационной безопасности, аттестации, инструктажа и допуска работников к проведению ядерно и радиационно опасных работ.

4.4.6. Структурная схема служб контроля ядерной и радиационной безопасности.

4.4.7. Сведения о системе обращения с ядерными материалами, радиоактивными веществами и радиоактивными отходами.

4.4.8. Справка по обеспечению учета и контроля ядерных материалов и радиоактивных отходов (радиоактивных веществ и радиоактивных отходов) (в соответствии с разделами 1 и/или 3 Приложения N 4).

4.4.9. Справка по обеспечению физической защиты объектов использования атомной энергии (в соответствии с разделами 2 и/или 4 Приложения N 4).

4.4.10. Инструкция по действиям работников при аварии в процессе эксплуатации и вывода из эксплуатации пунктов хранения.

4.4.11. Копия организационно-распорядительного документа соответствующего ведомства с указанием конечного состояния выводимого из эксплуатации пункта хранения.

4.4.12. Программа вывода пункта хранения из эксплуатации.

4.4.13. Акты инвентаризации и радиационного обследования оборудования и помещений пункта хранения, подлежащих выводу из эксплуатации.

4.4.14. Список организаций, выполняющих работы и предоставляющих услуги с указанием содержания этих работ (услуг) и наличия у них соответствующих лицензий Ростехнадзора.

4.5. Требования к составу комплекта документов, обосновывающих обеспечение ядерной и радиационной безопасности при обращении с ядерными материалами и радиоактивными веществами при их использовании, транспортировании и хранении.

4.5.1. Список объектов, на которых и (или) в отношении которых должна проводиться заявленная деятельность, с пояснительной запиской об уровне безопасности производственных комплексов, технологических участков, цехов, пунктов хранения ядерных материалов и радиоактивных веществ, хранилищ радиоактивных отходов.

4.5.2. Отчет по обоснованию безопасности.

4.5.3. Справка о федеральных нормах и правилах в области использования атомной энергии, других нормативно-технических документов по безопасности, требования которых должны выполняться при обращении с ядерными материалами и радиоактивными веществами, и о наличии указанных документов у соискателя лицензии.

4.5.4. Справка о проектной, конструкторской, эксплуатационной и технологической документации по обращению с ядерными материалами и радиоактивными веществами.

4.5.5. Программа обеспечения качества.

4.5.6. Справка о порядке обучения, проверки знаний норм и правил ядерной и радиационной безопасности, аттестации, инструктажа и допуска работников к проведению ядерно и радиационно опасных работ.

4.5.7. Структурная схема служб контроля ядерной и радиационной безопасности.

4.5.8. Справка по обеспечению учета и контроля ядерных материалов и радиоактивных отходов (в соответствии с разделами 1 и/или 3 Приложения N 4).

4.5.9. Справка по обеспечению физической защиты объектов использования атомной энергии (в соответствии с разделами 2 и/или 4 Приложения N 4).

4.5.10. Инструкция по действиям работников по сигналу "Радиационная опасность" в процессе обращения с ядерными материалами и радиоактивными веществами.

4.5.11. Список организаций, выполняющих работы и предоставляющих услуги, с указанием содержания этих работ (услуг) и наличия у организаций соответствующих лицензий Ростехнадзора.

4.5.12. Копия документа, устанавливающего нормативы (лимиты - в случае их установления) допустимых выбросов и сбросов радиоактивных веществ.

4.5.13. Копии разрешений уполномоченных органов в области охраны окружающей среды на выбросы и сбросы радиоактивных веществ.

4.5.14. План мероприятий по снижению выбросов и сбросов радиоактивных веществ.

4.6. Требования к составу комплекта документов, обосновывающих обеспечение радиационной безопасности при обращении с радиоактивными отходами при их хранении, переработке, транспортировании и захоронении.

4.6.1. Список объектов, на которых и (или) в отношении которых должна проводиться заявленная деятельность, с приложением копий актов приема их в эксплуатацию и описаний уровня безопасности производственных комплексов, технологических участков, цехов и хранилищ радиоактивных отходов.

4.6.2. Отчет по обоснованию безопасности.

4.6.3. Справка о федеральных нормах и правилах в области использования атомной энергии, нормативно-техническим документам по обращению с радиоактивными отходами, требования которых должны выполняться при обращении с радиоактивными отходами, и о наличии указанных документов у соискателя лицензии.

4.6.4. Справка о проектной, конструкторской, эксплуатационной и технологической документации по обращению с радиоактивными отходами.

4.6.5. Программа обеспечения качества при обращении с радиоактивными отходами.

4.6.6. План мероприятий, компенсирующих отступления от требований нормативных документов по радиационной безопасности при обращении с радиоактивными отходами с анализом их необходимости и достаточности.

4.6.7. Справка о порядке обучения, проверки знаний норм и правил радиационной безопасности, аттестации, инструктажа и допуска работников к радиационно опасным работам.

4.6.8. Структурная схема службы контроля радиационной безопасности.

4.6.9. Справка по обеспечению учета и контроля радиоактивных отходов (в соответствии с разделом 3 Приложения N 4).

4.6.10. Копия санитарно-эпидемиологического заключения о соответствии порядка, условий и способов сбора, транспортирования, хранения и захоронения радиоактивных отходов требованиям санитарных правил.

4.6.11. Справка по обеспечению физической защиты хранилищ радиоактивных отходов (в соответствии с разделом 4 Приложения N 4).

4.6.12. Инструкция по действиям работников по сигналу "Радиационная опасность" в процессе обращения с радиоактивными отходами.

4.6.13. Список организаций, выполняющих работы и предоставляющих услуги по осуществлению заявленной деятельности с указанием содержания этих работ (услуг) и наличия у организаций соответствующих лицензий Ростехнадзора.

5. Требования к составу комплекта документов, обосновывающих обеспечение радиационной безопасности радиационного источника, пункта хранения радиоактивных веществ, хранилища радиоактивных отходов.

5.1. Требования к составу комплекта документов, обосновывающих обеспечение радиационной безопасности при размещении радиационного источника, пункта хранения радиоактивных веществ, хранилища радиоактивных отходов.

5.1.1. Материалы технико-экономического обоснования в части обоснования размещения объекта использования атомной энергии.

5.1.2. Отчет по обоснованию безопасности объекта использования атомной энергии при его размещении (в объеме, содержащем все требуемые действующей нормативной документацией обоснования выбранной площадки с освещением связанных с безопасностью аспектов, общее описание объекта использования атомной энергии и его безопасности для окружающей среды и населения, включая предварительный анализ безопасности и физической защиты), выполненный в соответствии с действующими нормативными документами.

5.1.3. Описание действующей в организации - соискателе лицензии системы менеджмента качества при осуществлении заявленной деятельности.

5.1.4. Программа обеспечения качества при размещении объекта использования атомной энергии.

5.2. Требования к составу комплекта документов, обосновывающих обеспечение радиационной безопасности при сооружении радиационного источника, пункта хранения радиоактивных веществ, хранилища радиоактивных отходов.

5.2.1. Отчет по обоснованию безопасности объекта использования атомной энергии при его сооружении.

5.2.2. Справка о проектной, конструкторской, эксплуатационной и технологической документации, разработанной для сооружения объекта использования атомной энергии и его физической защите. Отчеты по анализу уязвимости объекта и оценке эффективности системы физической защиты объекта. (Проектные документы (включая проекты систем, важных для безопасности и физической защиты) представляются по запросу Ростехнадзора).

5.2.3. Описание действующей в организации - соискателе лицензии системы менеджмента качества при осуществлении заявленной деятельности.

5.2.4. Программа обеспечения качества при сооружении объекта использования атомной энергии.

5.2.5. Сведения об организациях, осуществляющих инженерно-техническую поддержку заявляемой деятельности, а также выполняющих работы и предоставляющих услуги в области использования атомной энергии при осуществлении этой деятельности, с указанием содержания работ (услуг).

5.3. Требования к составу комплекта документов, обосновывающих обеспечение радиационной безопасности при эксплуатации радиационного источника, пункта хранения радиоактивных веществ, хранилища радиоактивных отходов, осуществлении деятельности по обращению с радиоактивными веществами и радиоактивными отходами, использованию радиоактивных веществ при проведении научно-исследовательских и опытно-конструкторских работ.

5.3.1. Отчет по обоснованию безопасности объекта использования атомной энергии при его эксплуатации или заявляемого вида деятельности.

5.3.2. Регламент по эксплуатации объекта использования атомной энергии.

5.3.3. Инструкция(и) по радиационной безопасности.

5.3.4. Сведения о порядке подбора, обучения, проверки знаний норм и правил по радиационной безопасности, аттестации, инструктажа и допуска работников к проведению радиационно опасных работ.

5.3.5. Инструкция по предупреждению аварии и пожара и ликвидации их последствий.

5.3.6. Сведения о критериях для принятия решений при возникновении радиационной аварии (могут включаться в инструкции по предупреждению аварии и пожара и ликвидации их последствий).

5.3.7. План мероприятий по защите работников (персонала) и населения от радиационной аварии и ее последствий.

5.3.8. Описание структуры и состава службы радиационной безопасности.

5.3.9. Справка о документах, определяющих порядок проведения радиационно опасных работ, в том числе технологических регламентах и инструкциях, инструкциях по эксплуатации, обслуживанию и ремонту (документы представляются по требованию Ростехнадзора).

5.3.10. Перечень документов, определяющих требования к обеспечению безопасности объекта использования атомной энергии и заявляемого вида деятельности (федеральных норм и правил, других нормативных правовых актов Ростехнадзора, национальных стандартов, стандартов организаций, а также документов организации - соискателя лицензии). Сведения об укомплектованности организации-соискателя документами и системе их учета и внесения в них изменений.

5.3.11. Справка по обеспечению учета и контроля радиоактивных веществ и радиоактивных отходов (в соответствии с разделом 3 Приложения N 4).

5.3.12. Справка по обеспечению физической защиты (в соответствии с разделом 4 Приложения N 4).

5.3.13. Описание действующей в организации - соискателе лицензии системы менеджмента качества при осуществлении заявленной деятельности.

5.3.14. Программа обеспечения качества при осуществлении заявляемой деятельности.

5.3.15. Сведения об организациях, осуществляющих инженерно-техническую поддержку заявляемой деятельности, а также выполняющих работы и предоставляющих услуги в области использования атомной энергии при осуществлении этой деятельности, с указанием содержания работ (услуг).

5.3.16. Справка о сертификатах на применяемое оборудование, изделия и технологии для радиационных источников и пунктов хранения радиоактивных веществ, хранилищ радиоактивных отходов.

5.3.17. Инструкция о порядке действий при дорожно-транспортных происшествиях (представляется только для получения лицензии на обращение с радиоактивными веществами и (или) радиоактивными отходами при их транспортировании).

5.4. Требования к составу комплекта документов, обосновывающих обеспечение радиационной безопасности при выводе из эксплуатации радиационного источника, пункта хранения радиоактивных веществ, хранилища радиоактивных отходов.

5.4.1. Отчет по обоснованию безопасности объекта использования атомной энергии при его выводе из эксплуатации.

5.4.2. Программа работ по выводу из эксплуатации объекта использования атомной энергии.

5.4.3. Справка о проектной, конструкторской, эксплуатационной и технологической документации, разработанной для вывода из эксплуатации объекта использования атомной энергии (документация представляется по требованию Ростехнадзора).

5.4.4. Инструкция(и) по радиационной безопасности при выводе из эксплуатации объекта использования атомной энергии.

5.4.5. Инструкция по предупреждению аварии и пожара и ликвидации их последствий при выводе из эксплуатации объекта использования атомной энергии.

5.4.6. Сведения о критериях принятия решений при возникновении радиационной аварии (могут включаться в инструкции по предупреждению аварии и пожара и ликвидации их последствий при выводе из эксплуатации объекта использования атомной энергии).

5.4.7. План мероприятий по защите работников (персонала) и населения от радиационной аварии и ее последствий при выводе из эксплуатации объекта использования атомной энергии.

5.4.8. Описание действующей в организации - соискателе лицензии системы менеджмента качества при осуществлении заявленной деятельности.

5.4.9. Программа обеспечения качества при выводе из эксплуатации объекта использования атомной энергии.

5.4.10. Сведения об организациях, осуществляющих инженерно-техническую поддержку заявляемой деятельности, а также выполняющих работы и предоставляющих услуги в области использования атомной энергии при осуществлении этой деятельности, с указанием содержания работ (услуг).

5.4.11. Справка по обеспечению учета и контроля радиоактивных веществ и радиоактивных отходов (в соответствии с разделом 3 Приложения N 4).

5.4.12. Справка по обеспечению физической защиты (в соответствии с разделом 4 Приложения N 4).

5.4.13. Справка о сертификатах на применяемое оборудование, изделия и технологии.

5.5. Требования к составу комплекта документов, обосновывающих обеспечение радиационной безопасности при закрытии пункта захоронения радиоактивных отходов (ПЗРО).

5.5.1. Отчет по обоснованию безопасности, содержащий в том числе:

а) сведения о сооружениях (помещениях) ПЗРО, включающие следующую информацию о каждом сооружении (помещении):

описание проводимых в сооружении (помещении) радиационно опасных работ (процессов, технологий) при закрытии ПЗРО с указанием класса работ;

фактические данные об активности, радиоизотопном составе, агрегатном состоянии радиоактивных отходов в сооружении (помещении) на момент начала закрытия;

б) описание технических решений и средств, используемых для обеспечения радиационной безопасности ПЗРО и заявленной деятельности;

в) сведения об организации радиационного контроля, структуре и составе службы радиационной безопасности;

г) сведения о радиоактивных отходах, образующихся при проектной радиационной аварии;

д) сведения об обеспечении физической защиты ПЗРО и радиоактивных отходов;

е) сведения о наличии материально-технических средств, предназначенных для использования в случае радиационной аварии, и обоснование их достаточности;

ж) сведения о порядке обучения, проверки знаний норм и правил по радиационной безопасности, аттестации, инструктажа и допуска работников к проведению радиационноопасных работ;

з) перечень нормативных документов, устанавливающих требования к обеспечению радиационной безопасности и физической защите ПЗРО, а также сведения о наличии указанных документов в организации-заявителе;

и) анализ радиационной безопасности ПЗРО на всех этапах закрытия;

к) обоснование периода потенциальной опасности захораниваемых радиоактивных отходов и срока периодического радиационного контроля.

5.5.2. Программа работ по закрытию ПЗРО.

5.5.3. Перечень проектной конструкторской эксплуатационной и технологической документации, разработанной для закрытия ПЗРО (документация представляется по запросу Ростехнадзора).

5.5.4. Инструкция(и) по радиационной безопасности.

5.5.5. Инструкции по предупреждению аварии и пожара и ликвидации их последствий.

5.5.6. Критерии принятия решений при возникновении радиационной аварии (могут содержаться в инструкции по предупреждению аварии и пожара и ликвидации их последствий).

5.5.7. План мероприятий по защите работников и населения от радиационной аварии и ее последствий.

5.5.8. Программа обеспечения качества при закрытии ПЗРО.

5.5.9. Перечень организаций, осуществляющих инженерно-техническую поддержку закрытия ПЗРО, а также выполняющих работы и предоставляющих услуги в области использования атомной энергии, с указанием содержания работ (услуг).

6. Требования к составу комплекта документов для получения лицензии на проектирование и конструирование ядерных установок (включая блоки АС), радиационных источников, пунктов хранения ядерных материалов (хранилищ ядерного топлива), радиоактивных веществ и хранилищ радиоактивных отходов.

6.1. Справка о ранее выполненных организацией работах, характеризующих ее опыт в проведении проектных и конструкторских работ по объектам и производствам или в других областях техники.

6.2. Справка об укомплектованности организации квалифицированными работниками.

6.3. Перечень (или перечни) нормативной документации по безопасности, требованиям которой должна соответствовать разрабатываемая проектная и конструкторская документация.

6.4. Справка об укомплектованности организации нормативной документацией, требования которой должны учитываться при проведении проектных и конструкторских работ, предполагаемых для выполнения.

6.5. Справка о проведенной в организации проверке знаний требований правил, норм и инструкций, связанных с обеспечением ядерной и радиационной безопасности, у работников организации, занятых проектными и конструкторскими работами.

6.6. Справка об организации службы нормоконтроля.

6.7. Справка об организации подразделений, ведущих авторское сопровождение проектно-конструкторских разработок на объектах при строительстве (включая изготовление оборудования, монтаж), вводе в эксплуатацию, эксплуатации (включая ремонт) и выводе из эксплуатации (при наличии).

6.8. Справка о техническом и программном оснащении организации, позволяющем надлежащим образом выполнить запланированный объем проектных и конструкторских работ и провести необходимые расчетные и экспериментальные обоснования.

6.9. Справка об организации разработки, утверждения, введения в действие, внесения изменений в проектную и конструкторскую документацию на всех этапах разработки и контроля ее качества, включая информацию о системе учетной и отчетной документации.

6.10. Справка об организации и ведении контроля за деятельностью организации по проектированию и конструированию со стороны эксплуатирующей организации, владельца объекта или заказчика.

6.11. Справка о системе обмена информацией с организациями, использующими проектно-конструкторскую документацию соискателя лицензии, включая способы выявления, учета, анализа недостатков этой документации при изготовлении оборудования, строительстве, монтаже, при вводе в эксплуатацию и эксплуатации (включая ремонт) объектов, а также принятия мер по их устранению.

6.12. Сведения, подтверждающие наличие в организации условий, исключающих несанкционированное распространение проектной документации, связанной с ядерной технологией и физической защитой.

6.13. Программы обеспечения качества при проектировании и конструировании ядерных установок, радиационных источников и пунктов хранения ядерных материалов (хранилищ ядерного топлива) и хранилищ радиоактивных отходов.

6.14. Копия документа, подтверждающего, что организация рекомендована органом управления использованием атомной энергии в качестве ответственной за разработку проекта ядерной установки или пункта хранения. <1>

<1> Документы представляются для вновь разрабатываемых ядерных установок или пунктов хранения.

6.15. Копия решения органа управления использованием атомной энергии о назначении руководителя организации, ответственной за разработку проекта ядерной установки или пункта хранения.

6.16. Сведения о намерении организации в отношении работ в области физической защиты.

7. Требования к составу комплекта документов, обосновывающих способность осуществлять заявленную деятельность по конструированию оборудования для ядерных установок, радиационных источников и пунктов хранения ядерных материалов и радиоактивных веществ, хранилищ радиоактивных отходов.

7.1. Перечень оборудования, конструирование которого предполагает осуществлять организация - соискатель лицензии, в котором должны быть приведены наименование оборудования, назначение, класс безопасности.

7.2. Перечень нормативных документов, определяющих требования к качеству и надежности оборудования (федеральных законов, федеральных норм и правил в области использования атомной энергии, нормативных правовых актов Ростехнадзора, национальных стандартов и стандартов организаций, строительных правил и норм, нормативных документов организации - соискателя лицензии и других нормативных документов в области использования атомной энергии), требования которых должны выполняться при конструировании оборудования. Сведения об укомплектованности организации - соискателя лицензии учтенными и актуализированными на момент представления заявления указанными нормативными документами и о системе их учета и внесения в них изменений.

7.3. Документы, содержащие сведения о структурных подразделениях организации - соискателя лицензии, осуществляющих деятельность по конструированию оборудования, включая сведения о наличии положений о структурных подразделениях и должностных регламентов (инструкций) специалистов.

7.4. Описание действующей в организации - соискателе лицензии системы менеджмента качества при осуществлении заявленной деятельности.

7.5. Перечень программ обеспечения качества при конструировании оборудования. Программы должны представляться по запросу Ростехнадзора.

7.6. Сведения о ранее выполненных организацией - соискателем лицензии работах, характеризующих ее опыт конструирования аналогичного оборудования.

7.7. Сведения об укомплектованности организации квалифицированными работниками, участвующими в конструировании оборудования и контроле конструкторской документации, уровне их образования и квалификации.

7.8. Сведения о порядке проверки знаний у руководителей и специалистов, занимающихся конструированием оборудования, требований норм и правил, устанавливающих требования к оборудованию, соблюдении сроков проверки знаний, наличии документов, подтверждающих проведение проверки знаний. Если заявление о выдаче лицензии представляется впервые и такая проверка не проводилась, то представляются необходимые организационно-распорядительные документы по ее проведению до начала выполнения конструкторских работ.

7.9. Сведения об организации разработки конструкторской документации, ее утверждении, введении в действие, внесении изменений, включая информацию о порядке проведения анализа конструкторской документации на соответствие требованиям норм и правил.

7.10. Сведения о принятом в организации порядке учета и хранения конструкторской документации.

7.11. Сведения об организации нормоконтроля конструкторской документации.

7.12. Сведения об организации метрологической экспертизы конструкторской документации.

7.13. Сведения о наличии экспериментальной базы и опытного производства, испытательных полигонов и стендов для проверки и отработки конструкторских решений.

7.14. Сведения об организации авторского сопровождения конструкторских разработок при изготовлении оборудования, его эксплуатации и выводе из эксплуатации на объектах использования атомной энергии.

7.15. Сведения о техническом и программном оснащении, позволяющем выполнять запланированный объем конструкторских работ и проводить необходимые расчетные и экспериментальные обоснования, сведения об аттестации программных средств.

7.16. Сведения об организации системы обмена информацией с предприятиями, использующими разрабатываемую конструкторскую документацию, о способах выявления, учета, анализа недостатков этой документации, а также принятия мер по их устранению.

7.17. Сведения о количестве и характере рекламаций на разработанное оборудование от эксплуатирующих организаций и потребителей (кроме организаций, ранее не имевших лицензий).

7.18. Сведения о возможности применения ядерных материалов и радиоактивных веществ при проведении научно-исследовательских и опытно-конструкторских работ (если предполагается проведение таких работ), включая сведения о наличии необходимых лицензий.

7.19. Сведения о наличии условий, исключающих несанкционированное распространение ядерных технологий, оборудования и материалов, в случае, если оборудование, которое организация - соискатель лицензии предполагает конструировать, включено в Список ядерных материалов, оборудования, специальных неядерных материалов и соответствующих технологий, подпадающих под экспортный контроль. <1>

<1> Утвержден Указом Президента Российской Федерации от 14 февраля 1996 г. N 202 (Собрание законодательства Российской Федерации, 1996, N 8, ст. 742).

7.20. Номенклатура отчетной и учетной документации, порядок ее оформления и хранения.

8. Требования к составу комплекта документов, обосновывающих способность осуществлять заявленную деятельность по изготовлению оборудования для ядерных установок, радиационных источников и пунктов хранения ядерных материалов и радиоактивных веществ, хранилищ радиоактивных отходов. <1>

<1> В случае использования при изготовлении оборудования ядерных материалов и (или) радиоактивных веществ следует дополнительно получить право (лицензию) на обращение с ядерными материалами и (или) радиоактивными веществами соответственно, для чего представить комплект документов по пункту 3.7.

8.1. Перечень оборудования, важного для безопасности, изготовление которого предполагает осуществлять организация - соискатель лицензии, в котором должны быть приведены наименование оборудования, назначение, класс безопасности.

8.2. Перечень нормативных документов, определяющих требования к качеству и надежности оборудования (федеральных норм и правил в области использования атомной энергии, нормативных правовых актов Ростехнадзора, национальных стандартов, стандартов организаций, а также документов организации - соискателя лицензии), требования которых будут соблюдаться при изготовлении оборудования. Сведения об укомплектованности организации - соискателя лицензии учтенными и актуализированными на момент подачи заявления документами и системе их учета и внесения в них изменений.

8.3. Документы, содержащие сведения о структурных подразделениях организации - соискателя лицензии, осуществляющих деятельность по изготовлению оборудования, включая сведения о наличии положений о структурных подразделениях и должностных инструкций специалистов.

8.4. Описание действующей в организации - соискателе лицензии системы менеджмента качества при осуществлении заявленной деятельности.

8.5. Перечень программ обеспечения качества при изготовлении оборудования. Программы должны представляться по запросу Ростехнадзора.

8.6. Сведения о разработке планов качества при изготовлении оборудования (для организаций, имевших лицензии ранее).

8.7. Сведения о ранее выполненных организацией - соискателем лицензии работах, характеризующих ее опыт изготовления аналогичного оборудования.

8.8. Сведения о порядке учета, обращения, хранения конструкторской документации, внесения в нее изменений, обеспечения рабочих мест.

8.9. Сведения о порядке разработки, внесения изменений, учета, обращения, хранения технологической документации на изготовление и контроль оборудования, ее внедрения и обеспечения рабочих мест.

8.10. Сведения о порядке постановки оборудования на производство.

8.11. Сведения о метрологическом обеспечении производства.

8.12. Сведения об укомплектованности технологическим оборудованием, испытательными средствами, оснасткой и приспособлениями, лабораторными приборами и мерительным инструментом.

8.13. Сведения о системе выбора поставщиков, оценки соответствия закупок, об организации входного контроля, идентификации, хранении и запуске в производство материалов и комплектующих изделий.

8.14. Сведения об организации разрушающего и неразрушающего контроля.

8.15. Сведения о порядке проведения проверок испытательного оборудования, порядке проведения испытаний оборудования, порядке взаимодействия со сторонними испытательными лабораториями (при их привлечении).

8.16. Сведения о порядке учета и анализа претензий к качеству оборудования, проведения мероприятий по устранению выявленных дефектов при изготовлении, эксплуатации, а также принятия мер по предупреждению их появления в дальнейшем.

8.17. Сведения об укомплектованности организации квалифицированными работниками, участвующими в изготовлении оборудования, уровне их образования и квалификации.

8.18. Сведения о порядке обучения и аттестации сварщиков и контролеров неразрушающих методов контроля, ведения документации по учету их работы, личных клейм; соблюдении сроков периодических аттестаций и проверки знаний (если такая проверка не проводилась, то представляются организационно-распорядительные документы по ее проведению до начала выполнения работ по изготовлению оборудования).

8.19. Сведения о порядке проверки знаний у руководителей и специалистов, занимающихся изготовлением оборудования, требований норм и правил, устанавливающих требования к оборудованию, соблюдении сроков проверки знаний, наличии документов, подтверждающих проведение проверки знаний. Если такая проверка не проводилась, то представляются необходимые организационно-распорядительные документы по ее проведению до начала работ по изготовлению.

8.20. Сведения о порядке проведения и формах оценок соответствия изготавливаемого оборудования требованиям норм и правил, конструкторской и технологической документации.

8.21. Сведения о возможности применения ядерных материалов и радиоактивных веществ при изготовлении оборудования, включая сведения о наличии необходимых лицензий, сведения о мерах обеспечения ядерной и радиационной безопасности.

8.22. Сведения о наличии условий, исключающих несанкционированное распространение ядерных технологий, оборудования и материалов, в случае если оборудование, которое организация - соискатель лицензии предполагает изготавливать, включено в Список ядерных материалов, оборудования, специальных неядерных материалов и соответствующих технологий, подпадающих под экспортный контроль. <1>

<1> Утвержден Указом Президента Российской Федерации от 14 февраля 1996 г. N 202 (Собрание законодательства Российской Федерации, 1996, N 8, ст. 742).

8.23. Сведения об организации и проведении работ по сертификации оборудования, включенного в "Единый перечень продукции, подлежащей обязательной сертификации", утвержденный постановлением Правительства Российской Федерации от 1 декабря 2009 г. N 982 (в редакции постановления Правительства Российской Федерации от 26 июля 2010 г. N 548) и дополнения к нему.

8.24. Сведения об организации контроля за выполнением условий действия лицензий для организаций, имевших лицензию ранее.

8.25. Номенклатура отчетной и учетной документации, порядок ее оформления и хранения.

9. Требования к составу комплекта документов, обосновывающих способность осуществлять заявленную деятельность по проведению экспертизы безопасности (экспертизы обоснования безопасности) объектов использования атомной энергии и (или) видов деятельности в области использования атомной энергии.

9.1. Описание структуры организации - соискателя лицензии.

9.2. Обоснование научно-технической способности организации - соискателя лицензии проводить экспертизу, включающее:

9.3. Справка о штатных технических специалистах организации - соискателя лицензии в заявленной области экспертизы.

9.4. Справка о наличии в организации - соискателе лицензии штатных технических экспертов высшего квалификационного уровня в заявленной области экспертизы документов и сведения об их аттестации.

9.5. Справка о сторонних технических специалистах, участие которых предполагается в заявленной области экспертизы.

9.6. Перечень экспертных заключений или иных научных работ, выполненных организацией - соискателем лицензии в заявленной области экспертизы за последние три года. Копии заключений представляются дополнительно по запросу Ростехнадзора.

9.7. Перечень программных средств и руководящих технических материалов (научно-технических руководств, методик, указаний, инструкций), предполагаемых организацией - соискателем лицензии к применению в заявленной области экспертизы. Копии руководящих технических материалов представляются дополнительно по запросу Ростехнадзора.

9.8. Обоснование организационно-технической способности организации - соискателя лицензии проводить экспертизу, включающее:

9.8.1. Справку о наличии инфраструктуры, необходимой для организации и проведения экспертизы (помещения, средства связи, оргтехника и т.п.).

9.8.2. Справку о наличии, состоянии и использовании фонда нормативных документов, действующих в заявленной области использования атомной энергии (включая перечень нормативных документов, имеющихся у организации - соискателя лицензии).

9.8.3. Справку о наличии условий для доступа к актуальной научно-технической информации (технические библиотеки, подписка на научно-техническую периодику, участие в конференциях и т.п.).

9.9. Описание порядка организации проведения экспертизы и системы менеджмента качества, предусмотренной в организации - соискателе лицензии при осуществлении деятельности по экспертизе, включающее:

9.9.1. Порядок организации проведения экспертизы, основанный на применении в системе менеджмента качества процессного и системного подходов, предусматривающих управление деятельностью организации - соискателя лицензии и соответствующими ресурсами как совокупностью взаимосвязанных процессов.

9.9.2. Перечень документов системы качества экспертизы, действующих в организации - соискателе лицензии. Документы системы качества представляются дополнительно по запросу Ростехнадзора.

9.9.3. Руководство по менеджменту качества экспертизы, предусмотренное в организации - соискателе лицензии при осуществлении деятельности по экспертизе.

9.10. Декларация организации - соискателя лицензии о ее независимости при осуществлении деятельности по экспертизе.

9.11. Справка об обеспечении надлежащих условий для работы с документами, составляющими государственную или иную охраняемую законом тайну (при соответствующей необходимости).

9.12. Сведения о намерении организации в отношении работ в области физической защиты.

10. Требования к составу комплекта документов, необходимых для получения лицензии на виды деятельности в области использования атомной энергии в части выполнения работ и оказания услуг эксплуатирующим организациям.

10.1. Отчет по обоснованию безопасности заявленной деятельности с описанием выполняемых работ и (или) предоставляемых услуг по заявляемой деятельности, с выделением ядерно и радиационно опасных работ (с приведением перечня объектов, систем и оборудования, на которых будут выполняться работы и предоставляться услуги).

10.2. Программы обеспечения качества при выполнении работ и предоставлении услуг по заявляемой деятельности.

10.3. Информация о ранее выполненных работах и (или) услугах по заявляемой деятельности.

10.4. Информация о системе подбора, подготовки, поддержания квалификации и допуска к самостоятельной работе работников, принимающих участие в заявляемой деятельности.

10.5. Справка о технической оснащенности организации (наличие соответствующих технологий, оборудования, оснастки, приборов, методик, документации и т.д.), позволяющей выполнять работы и осуществлять контроль выполняемых работ в таком объеме и такого качества, которые отвечают нормам и правилам в области использования атомной энергии.

Приложение N 4
к Административному регламенту
исполнения Федеральной службой
по экологическому, технологическому
и атомному надзору государственной
услуги по лицензированию деятельности
в области использования
атомной энергии, утвержденному
приказом Федеральной службы
по экологическому, технологическому
и атомному надзору
от 8 октября 2014 г. N 453

ТРЕБОВАНИЯ
К СОДЕРЖАНИЮ СПРАВОК ПО ОБЕСПЕЧЕНИЮ УЧЕТА И КОНТРОЛЯ ЯДЕРНЫХ МАТЕРИАЛОВ, РАДИОАКТИВНЫХ ВЕЩЕСТВ И РАДИОАКТИВНЫХ ОТХОДОВ, А ТАКЖЕ СПРАВОК ПО ОБЕСПЕЧЕНИЮ ФИЗИЧЕСКОЙ ЗАЩИТЫ ОБЪЕКТОВ ИСПОЛЬЗОВАНИЯ АТОМНОЙ ЭНЕРГИИ

1. Требования к содержанию справки по обеспечению учета и контроля ядерных материалов (ЯМ).

1.1. Сведения об организации проверки знаний, планах подготовки и переподготовки работников, осуществляющих учет и контроль ЯМ, наличии разрешений Ростехнадзора на право ведения работ в области использования атомной энергии у персонала (работников), осуществляющих учет и контроль ЯМ.

1.2. Копии положения (инструкции) об учете и контроле ЯМ, инструкций по учету и контролю ЯМ для каждой зоны баланса материалов (ЗБМ), акта о проведении последней на дату подачи заявления физической инвентаризации ЯМ по ЗБМ. При наличии отдельных документов по описанию структуры ЗБМ, применению средств контроля доступа (в том числе программы применения пломбировочных устройств), проведению физических инвентаризаций - копии указанных документов.

1.3. Перечень действующих у соискателя лицензии нормативных документов по обеспечению учета и контроля ЯМ.

2. Требования к содержанию справки по обеспечению физической защиты ядерных материалов, ядерных установок и пунктов хранения ядерных материалов.

2.1. Сведения об организации проверки знаний, планах подготовки и переподготовки работников, осуществляющих физическую защиту, наличии разрешений Ростехнадзора на право ведения работ в области использования атомной энергии у персонала (работников), осуществляющих физическую защиту.

2.2. Сведения о соответствии проекта системы физической защиты требованиям законодательства Российской Федерации, федеральных норм и правил, ведомственных нормативных правовых актов по физической защите (с указанием их названия) и о сертификации технических средств, используемых в системе физической защиты.

2.3. Копия документа, содержащего описание проектной угрозы.

2.4. Копия документа, содержащего результаты анализа уязвимости, оценки эффективности системы физической защиты и минимально допустимые значения показателя эффективности системы физической защиты.

2.5. Копия документа, содержащего результаты оценки последствий аварий, возникновение которых связано с гипотетической диверсией.

2.6. Копия плана физической защиты ядерного объекта.

2.7. Сведения об обеспечении физической защиты при транспортировании ядерных материалов за пределами ядерного объекта.

2.8. Сведения об организации охраны объекта и принятых мерах по предотвращению несанкционированных действий в отношении объекта.

2.9. Сведения о наличии паспорта антитеррористической защищенности ядерно-опасного объекта и документов по антитеррористической защищенности ядерных установок, радиационных источников, ядерных материалов и радиоактивных веществ и пунктов хранения.

2.10. Сведения об акте Межведомственной комиссии по организации охраны объекта в случае охраны объекта внутренними войсками МВД России (акте ведомственной комиссии при охране объекта силами ведомственной охраны).

2.11. Сведения о категории ядерных материалов, сведения, подтверждающие соответствие эффективности системы физической защиты установленным требованиям.

2.12. Перечень действующих у соискателя лицензии нормативных документов по обеспечению физической защиты.

3. Требования к содержанию справки по обеспечению учета и контроля радиоактивных веществ (РВ) и радиоактивных отходов (РАО).

3.1. Сведения по организации проверки знаний, планах подготовки и переподготовки работников, осуществляющих учет и контроль РВ и РАО, наличии разрешений Ростехнадзора на право ведения работ в области использования атомной энергии у персонала (работников), осуществляющих учет и контроль РВ и РАО.

3.2. Копии инструкции по учету и контролю РВ и РАО организации, копии инструкций по учету и контролю РВ и РАО подразделений, обращающихся с РВ и РАО и акта о проведении последней на дату подачи заявления физической инвентаризации РВ и РАО.

3.3. Перечень действующих у соискателя лицензии нормативных документов по обеспечению учета и контроля РВ и РАО.

4. Требования к содержанию справки по обеспечению физической защиты радиоактивных веществ, радиационных источников, пунктов хранения радиоактивных веществ, хранилищ радиоактивных отходов.

4.1. Сведения об организации проверки знаний, планах подготовки и переподготовки работников, осуществляющих физическую защиту, наличии разрешений Ростехнадзора на право ведения работ в области использования атомной энергии у персонала (работников), осуществляющих физическую защиту.

4.2. Копия документа, устанавливающего проектную угрозу.

4.3. Копия документа, содержащего результаты анализа уязвимости радиационного объекта.

4.4. Копия документа, устанавливающего категорию радиационного объекта по потенциальной радиационной опасности, базирующейся на оценке последствий аварий, возникновение которых связано с реализацией проектной угрозы.

4.5. Копия документа по установлению уровня физической защиты объекта.

4.6. Копия плана физической защиты радиационного объекта.

4.7. Сведения о соответствии физической защиты требованиям федеральных норм и правил, ведомственных нормативных правовых актов по физической защите (с указанием их названия), а также об организации охраны и принятых мерах по предотвращению несанкционированных действий с РВ и (или) РАО.

4.8. Сведения об обеспечении физической защиты при транспортировании радиоактивных веществ и радиационных источников за пределами радиационного объекта.

4.9. Перечень действующих у соискателя лицензии нормативных документов по обеспечению физической защиты РВ и (или) РАО.

Приложение N 5
к Административному регламенту
исполнения Федеральной службой
по экологическому, технологическому
и атомному надзору государственной
услуги по лицензированию деятельности
в области использования
атомной энергии, утвержденному
приказом Федеральной службы
по экологическому, технологическому
и атомному надзору
от 8 октября 2014 г. N 453

ТРЕБОВАНИЯ
К СОСТАВУ И СОДЕРЖАНИЮ КОМПЛЕКТА ДОКУМЕНТОВ, СОДЕРЖАЩИХ РЕЗУЛЬТАТЫ ПЕРИОДИЧЕСКОЙ ОЦЕНКИ БЕЗОПАСНОСТИ

1. Требования к составу и содержанию комплекта документов, содержащих результаты периодической оценки безопасности блоков атомных станций (АС) и обосновывающих безопасность их эксплуатации.

1.1. Требования к составу комплекта документов.

1.1.1. Программа выполнения периодической оценки безопасности.

1.1.2. Отчет о результатах выполнения периодической оценки безопасности.

1.1.3. Отчет по обоснованию безопасности (далее - ООБ) или отчет по углубленной оценке безопасности (далее - ОУОБ), откорректированный по результатам выполнения периодической оценки безопасности.

1.1.4. Отчет по вероятностному анализу безопасности (ВАБ) первого и второго уровней, откорректированный или разработанный по результатам периодической оценки безопасности.

1.1.5. Справка по обеспечению физической защиты.

1.2. Требования к содержанию комплекта документов.

1.2.1. Программа выполнения периодической оценки безопасности должна содержать:

а) общие цели выполнения периодической оценки безопасности;

б) перечень нормативных правовых актов, организационно-разрешительных документов, используемых при выполнении периодической оценки безопасности;

в) описание организационной структуры управления работами по периодической оценке безопасности и список ответственных лиц;

г) основные этапы работ с определением объема и планируемых сроков их выполнения;

д) перечень запланированных обследований зданий и сооружений, обследований, проверок и испытаний систем и элементов, важных для безопасности;

е) краткое описание процедур оценки остаточного ресурса элементов, важных для безопасности;

ж) перечень противоаварийных мероприятий;

з) перечень программ обеспечения качества, используемых при выполнении периодической оценки безопасности;

и) перечень программных средств, используемых при выполнении периодической оценки безопасности.

1.2.2. Отчет о результатах выполнения периодической оценки безопасности должен содержать:

а) перечень нормативных правовых актов и организационно-разрешительных документов, использованных при выполнении периодической оценки безопасности;

б) перечень проектных, конструкторских и эксплуатационных документов и справочных материалов, использованных при выполнении периодической оценки безопасности;

в) перечень зданий и сооружений, систем и элементов, важных для безопасности, для которых проводилась периодическая оценка безопасности;

г) перечень замененного оборудования и оборудования с продленным сроком эксплуатации;

д) перечень проведенных обследований и испытаний систем и элементов, важных для безопасности, с описанием их результатов;

е) описание имевших место изменений в зданиях и сооружениях с указанием актов ежегодных обследований;

ж) описание изменений, касающихся технологии эксплуатации, производства;

з) описание ремонтных работ, выполненных на объектах; описание изменений, которые произошли в части обеспечения ядерной, радиационной, промышленной и пожарной безопасности объектов;

и) перечень изменений в части системы учета и контроля ядерных материалов (ЯМ), радиоактивных веществ (РВ) и радиоактивных отходов (РАО); основные результаты периодической оценки безопасности с анализом влияния на безопасность объекта имевших место изменений;

к) перечень мероприятий, разработанных эксплуатирующей организации по обеспечению безопасности блока АС в период эксплуатации до следующей периодической оценки безопасности;

л) перечень мероприятий, компенсирующих отступления от требований норм и правил в области использования атомной энергии;

м) предложения по внесению изменений и дополнений в ООБ или ОУОБ, в отчет по ВАБ, проектную, конструкторскую и эксплуатационную документацию;

н) заключение о возможности и условиях дальнейшей безопасной эксплуатации блока АС;

о) иная дополнительная информация на усмотрение соискателя лицензии, подтверждающая результаты оценки безопасности с учетом специфики конкретного блока АС.

2. Требования к составу и содержанию комплекта документов, содержащих результаты периодической оценки безопасности пунктов хранения (ПХ) и обосновывающих безопасность их эксплуатации.

2.1. Требования к составу комплекта документов.

2.1.1. Программа выполнения периодической оценки безопасности.

2.1.2. Отчет о результатах выполнения периодической оценки безопасности.

2.1.3. Отчет по обоснованию безопасности, откорректированный по результатам выполнения периодической оценки безопасности.

2.1.4. Справка по обеспечению физической защиты.

2.2. Требования к содержанию комплекта документов.

2.2.1. Программа выполнения периодической оценки безопасности должна содержать:

а) общие цели выполнения периодической оценки безопасности;

б) перечень нормативных правовых актов и организационно-разрешительных документов, используемых при выполнении периодической оценки безопасности;

в) перечень и объем выполняемых работ;

г) основные этапы работ;

д) описание организационной структуры управления работами по периодической оценке безопасности и список ответственных лиц;

е) перечень запланированных обследований зданий и сооружений, обследований, проверок и испытаний систем и элементов, важных для безопасности;

ж) краткое описание процедур оценки остаточного ресурса систем и элементов, важных для безопасности;

з) перечень программ обеспечения качества, используемых при выполнении периодической оценки безопасности;

и) перечень программных средств, используемых при выполнении периодической оценки безопасности.

2.2.2. Отчет о результатах выполнения периодической оценки безопасности должен содержать:

а) перечень нормативных правовых актов и организационно-разрешительных документов, использованных при выполнении периодической оценки безопасности;

б) перечень проектных, конструкторских и эксплуатационных документов и справочных материалов, использованных при выполнении периодической оценки безопасности;

в) перечень зданий и сооружений, систем и элементов, важных для безопасности, для которых проводилась периодическая оценка безопасности;

г) перечень замененного оборудования и оборудования с продленным сроком эксплуатации;

д) перечень проведенных обследований и испытаний систем и элементов, важных для безопасности, с описанием их результатов;

е) описание имевших место изменений в зданиях и сооружениях с указанием актов ежегодных обследований;

ж) описание изменений, касающихся технологии эксплуатации, производства; описание ремонтных работ, выполненных на объектах; описание изменений, которые произошли в части обеспечения ядерной, радиационной, промышленной и пожарной безопасности объектов;

з) перечень изменений в части обеспечения физической защиты объекта, систем учета и контроля ЯМ, РВ и РАО;

и) основные результаты периодической оценки безопасности с анализом влияния на безопасность объекта имевших место изменений;

к) перечень мероприятий, компенсирующих отступления от требований норм и правил в области использования атомной энергии;

л) предложения по внесению изменений и дополнений в ООБ, проектную, конструкторскую и эксплуатационную документацию;

м) заключение о возможности и условиях дальнейшей безопасной эксплуатации ПХ;

н) иная дополнительная информация на усмотрение лицензиата, подтверждающая результаты оценки безопасности с учетом специфики конкретного ПХ.

3. Требования к составу и содержанию комплекта документов, содержащих результаты периодической оценки безопасности исследовательской ядерной установки (далее - ИЯУ) и обосновывающих безопасность ее эксплуатации.

3.1. Требования к составу комплекта документов.

3.1.1. Программа выполнения периодической оценки безопасности.

3.1.2. Отчет о результатах выполнения периодической оценки безопасности.

3.1.3. Отчет по обоснованию безопасности, откорректированный по результатам выполнения периодической оценки безопасности.

3.1.4. Паспорт ИЯУ.

3.1.5. Программа экспериментальных исследований (экспериментов) на ИЯУ.

3.1.6. Список ядерно и радиационно опасных работ на ИЯУ и организационно-технических мероприятий по обеспечению ее безопасности.

3.2. Требования к содержанию комплекта документов.

3.2.1. Программа выполнения периодической оценки безопасности должна содержать:

а) общие цели выполнения периодической оценки безопасности;

б) перечень нормативных правовых актов и организационно-разрешительных документов на эксплуатацию объекта и внесенных изменений, используемых при выполнении периодической оценки безопасности;

в) основные этапы работ с определением объема и планируемых сроках их выполнения;

г) описание организационной структуры управления работами по периодической оценке безопасности и список ответственных лиц;

д) перечень запланированных обследований зданий и сооружений, обследований, проверок и испытаний систем и элементов, важных для безопасности;

е) краткое описание процедур оценки остаточного ресурса систем и элементов, важных для безопасности;

ж) перечень программ обеспечения качества, используемых при выполнении периодической оценки безопасности;

з) перечень программных средств, используемых при выполнении периодической оценки безопасности.

3.2.2. Отчет о результатах выполнения периодической оценки безопасности должен содержать:

а) перечень нормативных правовых актов и организационно-разрешительных документов на эксплуатацию объекта и внесенных изменений, использованных при выполнении периодической оценки безопасности;

б) перечень проектных, конструкторских и эксплуатационных документов и справочных материалов, использованных при выполнении периодической оценки безопасности;

в) перечень зданий и сооружений, систем и элементов, важных для безопасности, для которых проводилась периодическая оценка безопасности;

г) перечень замененного оборудования и оборудования с продленным сроком эксплуатации;

д) перечень проведенных обследований и испытаний систем и элементов, важных для безопасности, с описанием их результатов;

е) описание имевших место изменений в зданиях и сооружениях с указанием актов ежегодных обследований;

ж) описание изменений, касающихся технологии эксплуатации; описание ремонтных работ, выполненных на объектах; описание изменений, которые произошли в части обеспечения ядерной, радиационной, промышленной и пожарной безопасности объектов;

з) перечень изменений в части обеспечения физической защиты объекта, систем учета и контроля ЯМ, РВ и РАО;

и) основные результаты периодической оценки безопасности с анализом влияния на безопасность объекта имевших место изменений;

к) перечень мероприятий, компенсирующих отступления от требований норм и правил в области использования атомной энергии;

л) предложения по внесению изменений и дополнений в ООБ, проектную, конструкторскую и эксплуатационную документацию;

м) заключение о возможности и условиях дальнейшей безопасной эксплуатации ИЯУ;

н) иная дополнительная информация на усмотрение лицензиата, подтверждающая результаты оценки безопасности с учетом специфики конкретной ИЯУ.

4. Требования к составу и содержанию комплекта документов, содержащих результаты периодической оценки безопасности объекта ядерного топливного цикла (сооружение, комплекс, установка для производства, использования и переработки ядерного топлива и ядерных материалов) и обосновывающих безопасность его эксплуатации.

4.1. Требования к составу комплекта документов.

4.1.1. Программа выполнения периодической оценки безопасности.

4.1.2. Отчет о результатах выполнения периодической оценки безопасности.

4.1.3. ООБ, откорректированный по результатам выполнения периодической оценки безопасности.

4.1.4. Справка по обеспечению физической защиты.

4.2. Требования к содержанию комплекта документов.

4.2.1. Программа выполнения периодической оценки безопасности должна содержать:

общие цели выполнения периодической оценки безопасности; перечень нормативных правовых актов и организационно-разрешительных документов, используемых при выполнении периодической оценки безопасности;

описание организационной структуры управления работами по периодической оценки безопасности и список ответственных лиц;

перечень основных этапов работ с определением объема и планируемых сроков их выполнения;

перечень мероприятий, направленных на снижение выбросов и сбросов РВ; перечень запланированных обследований зданий и сооружений, обследований, проверок, испытаний систем и элементов, важных для безопасности;

краткое описание процедур оценки остаточного ресурса элементов, важных для безопасности;

перечень противоаварийных мероприятий;

перечень программ обеспечения качества, используемых при выполнении периодической оценки безопасности;

перечень программных средств, используемых при выполнении периодической оценки безопасности.

4.2.2. Отчет о результатах выполнения периодической оценки безопасности должен содержать:

перечень нормативных правовых актов и организационно-разрешительных документов, использованных при выполнении периодической оценки безопасности;

перечень проектных, конструкторских, эксплуатационных документов и справочных материалов, использованных при выполнении периодической оценки безопасности;

перечень зданий и сооружений, систем и элементов, важных для безопасности, для которых проводилась периодическая оценка безопасности;

перечень замененного оборудования и оборудования с продленным сроком эксплуатации;

перечень проведенных обследований и испытаний систем и элементов, важных для безопасности, с описанием их результатов;

описание имевших место изменений в зданиях и сооружениях с указанием актов ежегодных обследований;

описание изменений, касающихся технологии эксплуатации;

описание ремонтных работ, влияющих на безопасность, выполненных на объектах;

описание изменений, которые произошли в части обеспечения безопасности объектов;

перечень изменений в части системы учета и контроля ЯМ, РВ и РАО;

основные результаты периодической оценки безопасности с анализом влияния на безопасность объекта имевших место изменений;

перечень мероприятий, разработанных эксплуатирующей организацией по обеспечению безопасности объекта ядерного топливного цикла (далее - ОЯТЦ) в период эксплуатации до следующей периодической оценки безопасности;

перечень мероприятий, компенсирующих отступления от требований норм и правил в области использования атомной энергии;

заключение о возможности и условиях дальнейшей безопасной эксплуатации ОЯТЦ;

иную дополнительную информацию (на усмотрение заявителя), подтверждающую результаты оценки безопасности с учетом специфики конкретного ОЯТЦ.

4.2.3. Результаты выполненных мероприятий по обеспечению безопасности ОЯТЦ вносятся как изменения и дополнения в ООБ, разработанный в соответствии с действующим нормативным документом, определяющим его содержание.

4.2.4. Справка по обеспечению физической защиты подготавливается в соответствии с составом и содержанием информации, представляемой при получении лицензии.

Приложение N 6
к Административному регламенту
исполнения Федеральной службой
по экологическому, технологическому
и атомному надзору государственной
услуги по лицензированию деятельности
в области использования
атомной энергии, утвержденному
приказом Федеральной службы
по экологическому, технологическому
и атомному надзору
от 8 октября 2014 г. N 453

ТРЕБОВАНИЯ К ОФОРМЛЕНИЮ ДОКУМЕНТОВ НА ЭЛЕКТРОННОМ НОСИТЕЛЕ

1. Представляемый соискателем лицензии комплект документов в электронном виде должен быть записан на машиночитаемый носитель, предназначенный для однократной записи (далее - диск), например, оптический диск CD или диск DVD.

2. Запись на диск должна быть осуществлена с использованием основной файловой системы ISO 9660 и дополнительной файловой системы Joliet или UDF версии 2.60, а затем диск должен быть финализирован.

3. Диск должен быть записан с качеством, обеспечивающим не только проверку значения хэш-функции, указанной соискателем лицензии для этого диска, но и безошибочное считывание записанных на диске документов.

4. Имена документов в электронном виде (файлов) и каталогов (папок) на диске должны соответствовать наименованиям книг и томов комплекта документов на бумажном носителе.

5. Документы должны записываться на диск в формате PDF/A (ISO 19005-1). Текст документов в указанном формате должен быть доступен для копирования в кодировках UNICODE (ISO 10646-1) или CP1251.

6. Схемы, чертежи и иные документы, которые не могут быть сохранены в указанном формате, должны быть сохранены постранично с разрешением 300 точек на дюйм в формате PNG (ISO 15948). Имена таких файлов должны содержать номер страницы.

7. Представление диска, содержащего комплект документов в электронном виде, осуществляется сопроводительным письмом, подписанным уполномоченным представителем соискателя лицензии.

8. Сопроводительное письмо должно содержать полные имена всех файлов, записанных на диск (с указанием пути к файлам), и соответствующие значения хэш-функций, полученные с использованием набора параметров CryptoProParamSet (RFC 4357). Значения хэш-функций должны быть отображены в шестнадцатеричной системе (младшие байты при записи следует указывать на первом месте).

9. Если сопроводительное письмо содержит более одного листа или имеет приложения, то все листы письма, включая приложения, должны быть пронумерованы и прошиты вместе (неразрывно скреплены). Сшивка должна быть заверена подписью уполномоченного представителя соискателя лицензии и его печатью.

10. Диск должен быть помещен в упаковку, предохраняющую его от повреждений. На диске (в зоне, предназначенной для информационных надписей) должны быть указаны наименование соискателя лицензии, дата и номер сопроводительного письма.

11. При записи на диск следует:

использовать в именах файлов символ "подчеркивание" вместо символа "пробел";

применять программные средства, которые позволяют контролировать используемую версию UDF;

использовать при отображении значений хэш-функций для цифр шестнадцатеричной системы 1010 ... 1510 заглавные буквы латинского алфавита A ... F;

использовать для набора имен файлов и значений хэш-функции моноширинный шрифт кеглем от 10 до 12 пунктов;

осуществлять контроль качества информации, записанной на диск;

применять режим записи Disc-At-Once;

не применять в именах файлов символы, отсутствующие в кодировке CP1251.

Приложение N 7
к Административному регламенту
исполнения Федеральной службой
по экологическому, технологическому
и атомному надзору государственной
услуги по лицензированию деятельности
в области использования
атомной энергии, утвержденному
приказом Федеральной службы
по экологическому, технологическому
и атомному надзору
от 8 октября 2014 г. N 453

ТРЕБОВАНИЯ
К СОСТАВУ ДОКУМЕНТОВ, ОБОСНОВЫВАЮЩИХ БЕЗОПАСНОЕ ПРЕКРАЩЕНИЕ ОСУЩЕСТВЛЕНИЯ ЛИЦЕНЗИАТОМ ЛИЦЕНЗИРУЕМОГО ВИДА ДЕЯТЕЛЬНОСТИ

1. Требования к составу комплекта документов, обосновывающих безопасное прекращение лицензируемого вида деятельности в связи с завершением работ по выводу из эксплуатации ядерных установок, радиационных источников, пунктов хранения ядерных материалов и радиоактивных веществ, хранилищ радиоактивных отходов и закрытию пунктов захоронения радиоактивных отходов.

1.1. Отчет о выполнении Программы вывода из эксплуатации объекта использования атомной энергии и (или) Программы закрытия пунктов захоронения РАО.

1.2. Отчет о результатах радиационного обследования объекта использования атомной энергии (в том числе и на площадке) по окончании работ по выводу его из эксплуатации.

1.3. Документ, подтверждающий, что конечное состояние после вывода из эксплуатации объекта использования атомной энергии (ОИАЭ), определенное в программе и проектной документации вывода из эксплуатации ОИАЭ, достигнуто.

1.4. Отчет о выполнении условий действия лицензии.

2. Требования к составу комплекта документов, обосновывающих безопасное прекращение лицензируемого вида деятельности по инициативе лицензиата.

2.1. Отчет о передаче ядерных материалов, радиоактивных веществ и радиоактивных отходов (ЯМ, РВ и РАО) (в случае если лицензируемый вид деятельности предусматривал обращение с ЯМ, РВ и РАО).

2.2. Справка о передаче ответственности за результаты работ, выполненных при осуществлении лицензированного вида деятельности, организации, назначенной органом управления использованием атомной энергии, если характер выполненных работ предусматривают такую ответственность.

2.3. Обоснование безопасного прекращения деятельности (для эксплуатирующей организации).

2.4. Иная дополнительная информация на усмотрение лицензиата, подтверждающая безопасное прекращение деятельности.

Приложение N 8
к Административному регламенту
исполнения Федеральной службой
по экологическому, технологическому
и атомному надзору государственной
услуги по лицензированию деятельности
в области использования
атомной энергии, утвержденному
приказом Федеральной службы
по экологическому, технологическому
и атомному надзору
от 8 октября 2014 г. N 453

              ФОРМА ЗАЯВЛЕНИЯ О ПРЕДОСТАВЛЕНИИ ЛИЦЕНЗИИ
 
Бланк организации             В __________________________________
соискателя лицензии               Ростехнадзор (межрегиональное
                                    территориальное управление
                                         Ростехнадзора)
 
         Заявление от "__" _____________ ____ г. N _______
                     о предоставлении лицензии
 
Юридическое лицо
 
Полное наименование ______________________________________________
Сокращенное наименование (если имеется) __________________________
Адрес местонахождения ____________________________________________
Телефон ________, адрес электронной почты (если имеется) _________
Прошу предоставить лицензию сроком на _______ лет на осуществление
следующего вида деятельности _____________________________________
Объект,   на   котором  или  в  отношении   которого   планируется
осуществлять деятельность: _______________________________________
Адрес объекта: ___________________________________________________
Дополнительные  сведения  (представляются по инициативе соискателя
лицензии).
ОГРН _____________________________________________________________
       государственный регистрационный номер записи о создании
      юридического лица, данные документа, подтверждающего факт
     внесения сведений о юридическом лице в единый государственный
                       реестр юридических лиц
ИНН ______________________________________________________________
      идентификационный номер налогоплательщика, данные документа
      о постановке соискателя лицензии на учет в налоговом органе
Наименование  и  адрес  налогового  органа,  в  котором соискатель
лицензии состоит на учете ________________________________________
Сведения об уплате государственной пошлины _______________________
                                           номер и дата платежного
                                             поручения, размер
                                                 уплаченной
                                           государственной пошлины
 
Приложение: 1. Опись документов на ____ л.
            2. Комплект документов в соответствии с описью.
 
__________________________  ___________  _________________________
 (наименование должности)    (подпись)     (расшифровка подписи)
 
М.П.
 
Примечание:   в   конкретном   заявлении  слова "Бланк организации
соискателя лицензии", а также тексты подстрочников не печатаются.
 
 
 

Приложение N 9
к Административному регламенту
исполнения Федеральной службой
по экологическому, технологическому
и атомному надзору государственной
услуги по лицензированию деятельности
в области использования
атомной энергии, утвержденному
приказом Федеральной службы
по экологическому, технологическому
и атомному надзору
от 8 октября 2014 г. N 453

БЛОК-СХЕМА ПРЕДОСТАВЛЕНИЯ ГОСУДАРСТВЕННОЙ УСЛУГИ ПО ЛИЦЕНЗИРОВАНИЮ

1. Предоставление лицензии

Продолжение приложения N 9

Продолжение приложения N 9

2. Переоформление лицензии

Продолжение приложения N 9

3. Прекращение действия лицензии

Продолжение приложения N 9

4. Возобновление действия лицензии

Продолжение приложения N 9

5. Выдача дубликата лицензии

Продолжение приложения N 9

6. Внесение изменений в условия действия лицензии

Продолжение приложения N 9

Продолжение приложения N 9

7. Внесение изменений в условия действия лицензии по результатам периодической оценки безопасности

Продолжение приложения N 9

Приложение N 10
к Административному регламенту
исполнения Федеральной службой
по экологическому, технологическому
и атомному надзору государственной
услуги по лицензированию деятельности
в области использования
атомной энергии, утвержденному
приказом Федеральной службы
по экологическому, технологическому
и атомному надзору
от 8 октября 2014 г. N 453

                        ФОРМА РЕШЕНИЯ
            О ПРЕДОСТАВЛЕНИИ ЛИЦЕНЗИИ (ИЛИ ОБ ОТКАЗЕ
                    В ПРЕДОСТАВЛЕНИИ ЛИЦЕНЗИИ)
 
Титульная часть
 
                        ФЕДЕРАЛЬНАЯ СЛУЖБА
      ПО ЭКОЛОГИЧЕСКОМУ, ТЕХНОЛОГИЧЕСКОМУ И АТОМНОМУ НАДЗОРУ
 
                                             УТВЕРЖДАЮ
                                 _________________________________
                                            (должность)
                                 _________________________________
                                  (подпись, расшифровка подписи)
                                 _________________________________
                                        (число, месяц, год)
 
            РЕШЕНИЕ N ________________________________
                       (номер решения, присваиваемый
                       координирующим подразделением)
 
о _________________________ лицензии _____________________________
   (вид решения - о выдаче               (полное наименование
    или об отказе в выдаче                 юридического лица)
          лицензии)
____________________________________ (____________________________
 согласно учредительным документам)    (сокращенное наименование
_________________) _______________________________________________
юридического лица)    (вид заявленной деятельности, на который
__________________________________________________________________
            выдается лицензия, и объект ее применения)
 
Регистрационный номер заявления,
присваиваемый: ____________________________
                (наименование структурного
               подразделения Ростехнадзора,
                   выполняющего функции
                      координирующего
                       подразделения)
 
Основная часть
1.
2.
3.
 
Начальник ____________________________ ________ __________________
          (наименование ответственного (подпись)   (расшифровка
                подразделения)                       подписи)
 
Примечание:   в   конкретном   решении   слова "Титульная часть" и
"Основная часть", а также тексты подстрочников не печатаются.
 
 
 

Приложение N 11
к Административному регламенту
исполнения Федеральной службой
по экологическому, технологическому
и атомному надзору государственной
услуги по лицензированию деятельности
в области использования
атомной энергии, утвержденному
приказом Федеральной службы
по экологическому, технологическому
и атомному надзору
от 8 октября 2014 г. N 453

                       ФОРМА БЛАНКА ЛИЦЕНЗИИ
 
                            Герб России
 
                        ФЕДЕРАЛЬНАЯ СЛУЖБА
      ПО ЭКОЛОГИЧЕСКОМУ, ТЕХНОЛОГИЧЕСКОМУ И АТОМНОМУ НАДЗОРУ
 
                             ЛИЦЕНЗИЯ
 
Регистрационный номер ________________ от "__" ___________ ____ г.
Лицензия выдана __________________________________________________
                  полное и (в случае, если имеется) сокращенное
                            наименование лицензиата
Местонахождение лицензиата: ______________________________________
                          указывается юридический адрес лицензиата
Основной государственный регистрационный
номер юридического лица (ОГРН) ___________________________________
Идентификационный номер налогоплательщика (ИНН) __________________
Лицензия дает право на ___________________________________________
                             лицензируемый вид деятельности
Объект,   на  котором  или  в  отношении  которого  осуществляется
деятельность: ____________________________________________________
__________________________________________________________________
 
Основание для выдачи лицензии: ___________________________________
                                  дата и N заявления соискателя
                               лицензии, дата и N решения о выдаче
                                           лицензии
 
Срок действия лицензии                   до "__" _________ ____ г.
 
   Лицензия действует при соблюдении условий действия лицензии,
                являющихся ее неотъемлемой частью.
 
     должность               подпись                 Ф.И.О.
уполномоченного лица   уполномоченного лица   уполномоченного лица
М.П.
 
Примечание:   в   конкретной   лицензии   тексты  подстрочников не
печатаются.
 
 
 

Приложение N 12
к Административному регламенту
исполнения Федеральной службой
по экологическому, технологическому
и атомному надзору государственной
услуги по лицензированию деятельности
в области использования
атомной энергии, утвержденному
приказом Федеральной службы
по экологическому, технологическому
и атомному надзору
от 8 октября 2014 г. N 453

                  ФОРМА УСЛОВИЙ ДЕЙСТВИЯ ЛИЦЕНЗИИ
 
                          Титульная часть
 
                        ФЕДЕРАЛЬНАЯ СЛУЖБА
      ПО ЭКОЛОГИЧЕСКОМУ, ТЕХНОЛОГИЧЕСКОМУ И АТОМНОМУ НАДЗОРУ
     _________________________________________________________
     _________________________________________________________
              (название ответственного подразделения)
 
                              УСЛОВИЯ
 
действия лицензии N ________________ от ____________, дающей право
                    (регистрационный    (дата выдачи
                     номер лицензии)      лицензии)
на ____________________________________________, выданной ________
     (вид заявленной деятельности, на который
      выдается лицензия, и категория объекта
                  ее применения)
__________________________________________________________________
  (полное наименование лицензиата (юридического лица), согласно
                    учредительным документам)
Объект, на котором проводится заявленная деятельность: ___________
__________________________________________________________________
           (объект применения заявленной деятельности)
 
Основная часть
1.
2.
3.
 
Начальник ___________________________ _________ __________________
         (наименование ответственного (подпись)    (расшифровка
                  подразделения)                     подписи)
 
Примечание:   в   конкретных   условиях   действия  лицензии слова
"Титульная часть" и "Основная часть", а также тексты подстрочников
не печатаются.
 
 
 

Приложение N 13
к Административному регламенту
исполнения Федеральной службой
по экологическому, технологическому
и атомному надзору государственной
услуги по лицензированию деятельности
в области использования
атомной энергии, утвержденному
приказом Федеральной службы
по экологическому, технологическому
и атомному надзору
от 8 октября 2014 г. N 453

                          ФОРМА ЗАЯВЛЕНИЯ
          О ВНЕСЕНИИ ИЗМЕНЕНИЯ В УСЛОВИЯ ДЕЙСТВИЯ ЛИЦЕНЗИИ
 
Бланк организации               В ________________________________
Лицензиата                         Ростехнадзор (межрегиональное
                                    территориальное управление
                                          Ростехнадзора)
 
         Заявление от "__" ____________ ____ г. N _______
         о внесении изменения в условия действия лицензии
 
Юридическое лицо
 
Полное наименование ______________________________________________
Сокращенное наименование (если имеется) __________________________
Адрес местонахождения ____________________________________________
Телефон __________, адрес электронной почты (если имеется) _______
 
Прошу внести изменение в условия действия лицензии N _____________
со сроком действия с _______ по _______, выданной на осуществление
следующего вида деятельности: ____________________________________
Объект,  на  котором  или   в   отношении   которого   планируется
осуществлять деятельность: _______________________________________
Предложения по изменению условий действия лицензии: ______________
__________________________________________________________________
__________________________________________________________________
Дополнительные сведения (представляются по инициативе лицензиата).
ОГРН _____________________________________________________________
        государственный регистрационный номер записи о создании
       юридического лица, данные документа, подтверждающего факт
     внесения сведений о юридическом лице в единый государственный
                      реестр юридических лиц
ИНН ______________________________________________________________
     идентификационный номер налогоплательщика, данные документа
     о постановке соискателя лицензии на учет в налоговом органе
 
Приложение: 1. Опись документов на ___ л.
            2. Комплект документов в соответствии с описью.
 
________________________   ___________   _________________________
 наименование должности      подпись        расшифровка подписи
 
М.П.
 
Примечание:   в   конкретном   заявлении  слова "Бланк организации
лицензиата", а также тексты подстрочников не печатаются.
 
 
 

Приложение N 14
к Административному регламенту
исполнения Федеральной службой
по экологическому, технологическому
и атомному надзору государственной
услуги по лицензированию деятельности
в области использования
атомной энергии, утвержденному
приказом Федеральной службы
по экологическому, технологическому
и атомному надзору
от 8 октября 2014 г. N 453

                          ФОРМА РЕШЕНИЯ
     О ВНЕСЕНИИ ИЛИ ОБ ОТКАЗЕ ВО ВНЕСЕНИИ ИЗМЕНЕНИЯ В УСЛОВИЯ
                         ДЕЙСТВИЯ ЛИЦЕНЗИИ
 
                          Титульная часть
 
                        ФЕДЕРАЛЬНАЯ СЛУЖБА
      ПО ЭКОЛОГИЧЕСКОМУ, ТЕХНОЛОГИЧЕСКОМУ И АТОМНОМУ НАДЗОРУ
 
                                           УТВЕРЖДАЮ
                             _____________________________________
                                          (должность)
                             _____________________________________
                             (место для подписи и ее расшифровка)
                             _____________________________________
                                      (число, месяц, год)
 
            РЕШЕНИЕ N _________________________________
                        (номер решения, присваиваемый
                        ответственным подразделением)
 
о ____________________________________ лицензии __________________
  (вид решения - о внесении изменения                (полное
  или об отказе во внесении изменения              наименование
                в УДЛ)                          юридического лица)
_______________________________________________ (_________________
(наименование лицензиата согласно учредительным    (сокращенное
                   документам)
_____________________) _____________________________________________
    наименование          (вид заявленной деятельности, на который
 юридического лица)       выдается лицензия и объект ее применения)
 
Регистрационный номер
заявления, присваиваемый: ___________________________
                          (наименование структурного
                          подразделения Ростехнадзора,
                             выполняющего функции
                                координирующего
                                 подразделения)
 
Основная часть
1.
2.
3.
 
Начальник ___________________________ _________ __________________
         (наименование ответственного (подпись)    (расшифровка
                  подразделения)                     подписи)
 
Примечание:   в   конкретном   решении   слова "Титульная часть" и
"Основная часть", а также тексты подстрочников не печатаются.
 
 
 

Приложение N 15
к Административному регламенту
исполнения Федеральной службой
по экологическому, технологическому
и атомному надзору государственной
услуги по лицензированию деятельности
в области использования
атомной энергии, утвержденному
приказом Федеральной службы
по экологическому, технологическому
и атомному надзору
от 8 октября 2014 г. N 453

               ФОРМА ИЗМЕНЕНИЯ УСЛОВИЙ ДЕЙСТВИЯ ЛИЦЕНЗИИ
 
                          Титульная часть
 
                        ФЕДЕРАЛЬНАЯ СЛУЖБА
      ПО ЭКОЛОГИЧЕСКОМУ, ТЕХНОЛОГИЧЕСКОМУ И АТОМНОМУ НАДЗОРУ
 
                                           УТВЕРЖДАЮ
                             _____________________________________
                                          (должность)
                             _____________________________________
                             (место для подписи и ее расшифровка)
                             _____________________________________
                                      (число, месяц, год)
 
           ИЗМЕНЕНИЕ N _________________________________
                        (номер изменения, присваиваемый
                         ответственным подразделением)
 
условий действия лицензии N ______________________ от ____________
                            (регистрационный номер       (число,
                                  лицензии)            месяц, год)
на ______________________________________________________________,
         (вид деятельности и объект ее применения согласно
                        выданной лицензии)
выданной _________________________________________________________
             (полное наименование юридического лица согласно
                     его учредительным документам)
(____________________________________________)
 (сокращенное наименование юридического лица).
 
Дата введения изменения: _________________________
                           (число, месяц, год)
 
Основание: заявление _____________________________________________
                     (сокращенное наименование юридического лица)
(_______________________________________________________________),
  (исходящий номер письма, с которым представлено заявление и
    документы) решение  Федеральной службы по экологическому,
                   технологическому и  атомному
надзору от ___________________________
               (число, месяц, год)
 
Содержание Изменения
 
1.  После  заголовка  "Условия  действия лицензии..." на свободном
поле сделать запись: "Действует с Изменением N ".
 
                                       Продолжение приложения N 15
 
2.   В   данном   пункте   и  последующих пунктах излагается текст
изменения.
 
Настоящее Изменение  является неотъемлемой частью условий действия
лицензии от __________________ __________________________________,
            (дата, месяц, год)  (регистрационный номер лицензии)
хранится и предъявляется вместе с ним.
 
Начальник ___________________________ _________ __________________
         (наименование ответственного (подпись)    (расшифровка
                  подразделения)                     подписи)
 
Примечание: в конкретном изменении условий действия лицензии слова
"Титульная   часть"   и   "Содержание   изменения", а также тексты
подстрочников не печатаются.
 
 
 

Приложение N 16
к Административному регламенту
исполнения Федеральной службой
по экологическому, технологическому
и атомному надзору государственной
услуги по лицензированию деятельности
в области использования
атомной энергии, утвержденному
приказом Федеральной службы
по экологическому, технологическому
и атомному надзору
от 8 октября 2014 г. N 453

             ФОРМА ЗАЯВЛЕНИЯ О ПЕРЕОФОРМЛЕНИИ ЛИЦЕНЗИИ
 
Бланк организации            В ___________________________________
лицензиата                        Ростехнадзор (межрегиональное
                                   территориальное управление
                                         Ростехнадзора)
 
           Заявление от "__" __________ ____ г. N ______
                     о переоформлении лицензии
 
Юридическое лицо
 
Полное наименование ______________________________________________
Сокращенное наименование (если имеется) __________________________
Адрес местонахождения ____________________________________________
 
Телефон _________, адрес электронной почты (если имеется) ________
Прошу переоформить лицензию N ______ со сроком действия с ________
по ______, выданную на осуществление следующего вида деятельности:
__________________________________________________________________
Объект,   на   котором   или   в   отношении  которого планируется
осуществлять деятельность: _______________________________________
Основания для переоформления: ____________________________________
информация  приводится  в  соответствии  с  пунктом 42 Положения о
лицензировании   деятельности   в   области  использования атомной
энергии,  утвержденного  постановлением  Правительства  Российской
Федерации от 29.03.2013 N 280
__________________________________________________________________
 
Дополнительные сведения (представляются по инициативе лицензиата)
ОГРН _____________________________________________________________
        государственный регистрационный номер записи о создании
       юридического лица, данные документа, подтверждающего факт
     внесения сведений о юридическом лице в единый государственный
                      реестр юридических лиц
ИНН ______________________________________________________________
     идентификационный номер налогоплательщика, данные документа
     о постановке соискателя лицензии на учет в налоговом органе
 
Наименование  и  адрес  налогового  органа,  в  котором  лицензиат
состоит на учете _________________________________________________
Сведения об уплате государственной пошлины _______________________
                                          (номер и дата платежного
                                              поручения, размер
                                                 уплаченной
                                          государственной пошлины)
 
Приложение: 1. Опись документов на ____ л.
            2. Комплект документов в соответствии с описью.
 
____________________________   ___________  ______________________
   наименование должности        подпись      расшифровка подписи
М.П.
 
Примечание:   в   конкретном   заявлении  слова "Бланк организации
лицензиата", а также тексты подстрочников не печатаются.
 
 
 

Приложение N 17
к Административному регламенту
исполнения Федеральной службой
по экологическому, технологическому
и атомному надзору государственной
услуги по лицензированию деятельности
в области использования
атомной энергии, утвержденному
приказом Федеральной службы
по экологическому, технологическому
и атомному надзору
от 8 октября 2014 г. N 453

         ФОРМА ЗАЯВЛЕНИЯ О ПРЕКРАЩЕНИИ ДЕЙСТВИЯ ЛИЦЕНЗИИ
 
Бланк организации              В _________________________________
лицензиата                         Ростехнадзор (межрегиональное
                                     территориальное управление
                                           Ростехнадзора)
 
        Заявление от "__" ______________ ____ г. N _________
                  о прекращении действия лицензии
 
Юридическое лицо
 
Полное наименование ______________________________________________
Сокращенное наименование (если имеется) __________________________
Адрес местонахождения ____________________________________________
 
Телефон _________, адрес электронной почты (если имеется) ________
Прошу прекратить действие лицензии N __________ со сроком действия
с ________ по _________, выданную на осуществление следующего вида
деятельности: ____________________________________________________
 
Объект,  на  котором  или   в   отношении   которого   планируется
прекращение действия лицензии: ___________________________________
 
Основания для прекращения действия лицензии: _____________________
информация  приводится  в  соответствии  с  пунктом 36 Положения о
лицензировании   деятельности   в   области  использования атомной
энергии,  утвержденного  постановлением  Правительства  Российской
Федерации от 29.03.2013 N 280
 
__________________________________________________________________
 
Дополнительные сведения (представляются по инициативе лицензиата).
ОГРН _____________________________________________________________
        государственный регистрационный номер записи о создании
       юридического лица, данные документа, подтверждающего факт
     внесения сведений о юридическом лице в единый государственный
                      реестр юридических лиц
ИНН ______________________________________________________________
     идентификационный номер налогоплательщика, данные документа
     о постановке соискателя лицензии на учет в налоговом органе
 
Наименование  и  адрес  налогового  органа,  в  котором  лицензиат
состоит на учете _________________________________________________
 
Приложение: 1. Опись документов на ____ л.
            2. Комплект документов в соответствии с описью.
 
________________________  ___________  ___________________________
 наименование должности     подпись        расшифровка подписи
М.П.
 
Примечание:   в   конкретном   заявлении  слова "Бланк организации
лицензиата", а также тексты подстрочников не печатаются.
 
 
 

Приложение N 18
к Административному регламенту
исполнения Федеральной службой
по экологическому, технологическому
и атомному надзору государственной
услуги по лицензированию деятельности
в области использования
атомной энергии, утвержденному
приказом Федеральной службы
по экологическому, технологическому
и атомному надзору
от 8 октября 2014 г. N 453

           ФОРМА РЕШЕНИЯ О ПРЕКРАЩЕНИИ ДЕЙСТВИЯ ЛИЦЕНЗИИ
 
                          Титульная часть
 
                        ФЕДЕРАЛЬНАЯ СЛУЖБА
      ПО ЭКОЛОГИЧЕСКОМУ, ТЕХНОЛОГИЧЕСКОМУ И АТОМНОМУ НАДЗОРУ
 
                             УТВЕРЖДАЮ
                             _____________________________________
                                          (должность)
                             _____________________________________
                             (место для подписи и ее расшифровка)
                             _____________________________________
                                      (число, месяц, год)
 
            РЕШЕНИЕ N ________________________________
                       (номер решения, присваиваемый
                       координирующим подразделением)
 
о _____________________________ лицензии _________________________
  (вид решения - о прекращении              (полное наименование
       действия лицензии)                    юридического лица)
__________________________________________________________________
    (наименование лицензиата согласно учредительным документам)
_____________ ____________________________________________________
                     (сокращенное наименование лицензиата)
__________________________________________________________________
      (вид прекращаемой деятельности и объект ее применения)
 
Основная часть
1.
2.
3.
 
Заместитель руководителя ________________  _______________________
                            (место для      (расшифровка подписи)
                             подписи)
 
Примечание:   В   конкретном   решении   слова "Титульная часть" и
"Основная часть", а также тексты подстрочников не печатаются.
 
 
 

Приложение N 19
к Административному регламенту
исполнения Федеральной службой
по экологическому, технологическому
и атомному надзору государственной
услуги по лицензированию деятельности
в области использования
атомной энергии, утвержденному
приказом Федеральной службы
по экологическому, технологическому
и атомному надзору
от 8 октября 2014 г. N 453

        ФОРМА ЗАЯВЛЕНИЯ О ВОЗОБНОВЛЕНИИ ДЕЙСТВИЯ ЛИЦЕНЗИИ
 
Бланк организации                  В _____________________________
лицензиата                           Ростехнадзор (межрегиональное
                                      территориальное управление
                                            Ростехнадзора)
 
        Заявление от "__" __________ ____ г. N ___________
                 о возобновлении действия лицензии
 
Юридическое лицо
 
Полное наименование ______________________________________________
Сокращенное наименование (если имеется) __________________________
Адрес местонахождения ____________________________________________
 
Телефон _______, адрес электронной почты (если имеется) __________
Прошу возобновить действие лицензии N _________ со сроком действия
с _______ по __________, выданную на осуществление следующего вида
деятельности: ____________________________________________________
 
Объект,   на   котором   или   в   отношении  которого планируется
возобновление действия лицензии: _________________________________
 
Основания для возобновления действия лицензии: ___________________
информация  приводится  в  соответствии  с  пунктом 40 Положения о
лицензировании   деятельности   в   области  использования атомной
энергии,  утвержденного  постановлением  Правительства  Российской
Федерации от 29.03.2013 N 280
__________________________________________________________________
Дополнительные сведения (представляются по инициативе лицензиата).
ОГРН _____________________________________________________________
        государственный регистрационный номер записи о создании
       юридического лица, данные документа, подтверждающего факт
     внесения сведений о юридическом лице в единый государственный
                      реестр юридических лиц
ИНН ______________________________________________________________
     идентификационный номер налогоплательщика, данные документа
     о постановке соискателя лицензии на учет в налоговом органе
Наименование  и  адрес  налогового  органа,  в  котором  лицензиат
состоит на учете _________________________________________________
 
Приложение: 1. Опись документов на ____ л.
            2. Комплект документов в соответствии с описью.
 
________________________  ___________  ___________________________
 наименование должности     подпись        расшифровка подписи
М.П.
 
Примечание:   в   конкретном   заявлении  слова "Бланк организации
лицензиата", а также тексты подстрочников не печатаются.
 
 
 

Приложение N 20
к Административному регламенту
исполнения Федеральной службой
по экологическому, технологическому
и атомному надзору государственной
услуги по лицензированию деятельности
в области использования
атомной энергии, утвержденному
приказом Федеральной службы
по экологическому, технологическому
и атомному надзору
от 8 октября 2014 г. N 453

          ФОРМА РЕШЕНИЯ О ВОЗОБНОВЛЕНИИ ДЕЙСТВИЯ ЛИЦЕНЗИИ
 
                          Титульная часть
 
                        ФЕДЕРАЛЬНАЯ СЛУЖБА
      ПО ЭКОЛОГИЧЕСКОМУ, ТЕХНОЛОГИЧЕСКОМУ И АТОМНОМУ НАДЗОРУ
 
                             УТВЕРЖДАЮ
                             _____________________________________
                                          (должность)
                             _____________________________________
                             (место для подписи и ее расшифровка)
                             _____________________________________
                                      (число, месяц, год)
 
            РЕШЕНИЕ N ________________________________
                       (номер решения, присваиваемый
                       координирующим подразделением)
 
о _______________________________ лицензии _______________________
  (вид решения - о возобновлении            (полное наименование
         действия лицензии)                   юридического лица)
__________________________________________________________________
    (наименование лицензиата согласно учредительным документам)
__________________ _______________________________________________
                       (сокращенное наименование лицензиата)
__________________________________________________________________
    (вид возобновляемой деятельности и объект ее применения)
 
Основная часть
1.
2.
3.
 
Заместитель руководителя ________________  _______________________
                             (место         (расшифровка подписи)
                          для подписи)
 
Примечание:   В   конкретном   решении   слова "Титульная часть" и
"Основная часть", а также тексты подстрочников не печатаются.
 
 
 

Приложение N 21
к Административному регламенту
исполнения Федеральной службой
по экологическому, технологическому
и атомному надзору государственной
услуги по лицензированию деятельности
в области использования
атомной энергии, утвержденному
приказом Федеральной службы
по экологическому, технологическому
и атомному надзору
от 8 октября 2014 г. N 453

             ФОРМА ЗАЯВЛЕНИЯ О ВЫДАЧЕ ДУБЛИКАТА ЛИЦЕНЗИИ
 
Бланк организации                 В ______________________________
лицензиата                           Ростехнадзор (межрегиональное
                                       территориальное управление
                                             Ростехнадзора)
 
          Заявление от "__" _______ ____ г. N _____________
                    о выдаче дубликата лицензии
 
Юридическое лицо
 
Полное наименование ______________________________________________
Сокращенное наименование (если имеется) __________________________
Адрес местонахождения ____________________________________________
 
Телефон ________, адрес электронной почты (если имеется) _________
Прошу выдать дубликат лицензии N ______________ со сроком действия
с ________ по _________, выданной на осуществление следующего вида
деятельности: ____________________________________________________
 
Объект,   на   котором   или   в   отношении  которого планируется
осуществлять деятельность: _______________________________________
 
Основания для выдачи: ____________________________________________
__________________________________________________________________
__________________________________________________________________
 
Дополнительные сведения (представляются по инициативе лицензиата).
ОГРН _____________________________________________________________
        государственный регистрационный номер записи о создании
       юридического лица, данные документа, подтверждающего факт
     внесения сведений о юридическом лице в единый государственный
                      реестр юридических лиц
ИНН ______________________________________________________________
     идентификационный номер налогоплательщика, данные документа
     о постановке соискателя лицензии на учет в налоговом органе
 
Сведения об уплате государственной пошлины _______________________
                                           номер и дата платежного
                                              поручения, размер
                                                  уплаченной
                                           государственной пошлины
 
Приложение:  бланк лицензии N ________ (прилагается в случае порчи
лицензии)
 
_________________________   __________   _________________________
 наименование должности      подпись        расшифровка подписи
М.П.
 
Примечание:   в   конкретном   заявлении  слова "Бланк организации
лицензиата", а также тексты подстрочников не печатаются.