Приказ Минобрнауки РФ от 15.07.2013 N 560

"Об утверждении Порядка проведения конкурса на распределение контрольных цифр приема граждан по профессиям, специальностям и направлениям подготовки для обучения по имеющим государственную аккредитацию образовательным программам среднего профессионального и высшего образования за счет бюджетных ассигнований федерального бюджета"
Редакция от 23.12.2014 — Документ утратил силу, см. «Приказ Минобрнауки РФ от 01.04.2015 N 340»
Показать изменения

Зарегистрировано в Минюсте России 16 августа 2013 г. N 29429


МИНИСТЕРСТВО ОБРАЗОВАНИЯ И НАУКИ РОССИЙСКОЙ ФЕДЕРАЦИИ

ПРИКАЗ
от 15 июля 2013 г. N 560

ОБ УТВЕРЖДЕНИИ ПОРЯДКА ПРОВЕДЕНИЯ КОНКУРСА НА РАСПРЕДЕЛЕНИЕ КОНТРОЛЬНЫХ ЦИФР ПРИЕМА ГРАЖДАН ПО ПРОФЕССИЯМ, СПЕЦИАЛЬНОСТЯМ И НАПРАВЛЕНИЯМ ПОДГОТОВКИ ДЛЯ ОБУЧЕНИЯ ПО ИМЕЮЩИМ ГОСУДАРСТВЕННУЮ АККРЕДИТАЦИЮ ОБРАЗОВАТЕЛЬНЫМ ПРОГРАММАМ СРЕДНЕГО ПРОФЕССИОНАЛЬНОГО И ВЫСШЕГО ОБРАЗОВАНИЯ ЗА СЧЕТ БЮДЖЕТНЫХ АССИГНОВАНИЙ ФЕДЕРАЛЬНОГО БЮДЖЕТА

(в ред. Приказа Минобрнауки РФ от 23.12.2014 N 1606)

В соответствии с пунктом 8 Правил установления организациям, осуществляющим образовательную деятельность, контрольных цифр приема граждан по профессиям, специальностям и направлениям подготовки для обучения по имеющим государственную аккредитацию образовательным программам среднего профессионального и высшего образования за счет бюджетных ассигнований федерального бюджета, утвержденных постановлением Правительства Российской Федерации от 17 апреля 2013 г. N 350 (Собрание законодательства Российской Федерации, 2013 , N 16, ст. 1977), приказываю:

В связи с утратой силы Постановления Правительства РФ от 17.04.2013 N 350 , следует руководствоваться принятым взамен Постановлением Правительства РФ от 27.03.2015 N 285

1. Утвердить прилагаемый Порядок проведения конкурса на распределение контрольных цифр приема граждан по профессиям, специальностям и направлениям подготовки для обучения по имеющим государственную аккредитацию образовательным программам среднего профессионального и высшего образования за счет бюджетных ассигнований федерального бюджета.

2. Признать утратившим силу приказ Министерства образования и науки Российской Федерации от 7 декабря 2012 г. N 1024 "Об утверждении Порядка проведения конкурса на установление имеющим государственную аккредитацию образовательным учреждениям среднего профессионального и высшего профессионального образования контрольных цифр приема граждан по направлениям подготовки (специальностям) для обучения за счет средств федерального бюджета по образовательным программам среднего профессионального и высшего профессионального образования в соответствии с лицензией, предоставленной образовательному учреждению" (зарегистрирован Министерством юстиции Российской Федерации 11 февраля 2013 г., регистрационный N 26961).

3. Контроль за исполнением настоящего приказа возложить на заместителя Министра Климова А.А.

Министр
Д.В. ЛИВАНОВ

УТВЕРЖДЕН
приказом Министерства образования
и науки Российской Федерации
от 15 июля 2013 г. N 560

ПОРЯДОК
ПРОВЕДЕНИЯ КОНКУРСА НА РАСПРЕДЕЛЕНИЕ КОНТРОЛЬНЫХ ЦИФР ПРИЕМА ГРАЖДАН ПО ПРОФЕССИЯМ, СПЕЦИАЛЬНОСТЯМ И НАПРАВЛЕНИЯМ ПОДГОТОВКИ ДЛЯ ОБУЧЕНИЯ ПО ИМЕЮЩИМ ГОСУДАРСТВЕННУЮ АККРЕДИТАЦИЮ ОБРАЗОВАТЕЛЬНЫМ ПРОГРАММАМ СРЕДНЕГО ПРОФЕССИОНАЛЬНОГО И ВЫСШЕГО ОБРАЗОВАНИЯ ЗА СЧЕТ БЮДЖЕТНЫХ АССИГНОВАНИЙ ФЕДЕРАЛЬНОГО БЮДЖЕТА

(в ред. Приказа Минобрнауки РФ от 23.12.2014 N 1606)

1. Настоящий Порядок определяет правила и сроки проведения конкурса на распределение организациям, осуществляющим образовательную деятельность, контрольных цифр приема граждан по профессиям, специальностям и направлениям подготовки для обучения по имеющим государственную аккредитацию образовательным программам среднего профессионального и высшего образования за счет бюджетных ассигнований федерального бюджета (далее соответственно -конкурс, образовательные организации, контрольные цифры приема).

2. Конкурс проводится Министерством образования и науки Российской Федерации путем распределения и установления контрольных цифр приема по каждой профессии, специальности и направлению подготовки с выделением очной, очно-заочной и заочной форм обучения организациям, осуществляющим образовательную деятельность по имеющим государственную аккредитацию образовательным программам среднего профессионального и высшего образования:

а) по профессиям среднего профессионального образования (для обучения по образовательным программам подготовки квалифицированных рабочих, служащих) и специальностям среднего профессионального образования (для обучения по образовательным программам подготовки специалистов среднего звена и образовательным программам среднего профессионального образования, интегрированным с основными образовательными программами основного общего и среднего общего образования) на федеральном уровне;

б) по направлениям подготовки высшего образования (для обучения по образовательным программам бакалавриата, магистратуры, подготовки научно-педагогических кадров в аспирантуре (адъюнктуре), ординатуре и ассистентуре-стажировке) и специальностям высшего образования (для обучения по образовательным программам специалитета) на уровне субъектов Российской Федерации и (или) на федеральном уровне.

Объем контрольных цифр приема по специальностям и направлениям подготовки высшего образования, распределяемых в рамках конкурса на уровне субъектов Российской Федерации и на федеральном уровне, определяется с учетом региональной и отраслевой потребности экономики в квалифицированных кадрах.

При проведении конкурса на уровне субъектов Российской Федерации и на федеральном уровне устанавливаются объемы контрольных цифр приема, распределяемых в ходе проведения конкурса для каждого субъекта Российской Федерации, и объемы контрольных цифр приема, распределяемых в ходе проведения федерального конкурса.

3. Министерство образования и науки Российской Федерации не менее чем за 30 дней до дня вскрытия конвертов с заявками публикует на своем официальном сайте в сети Интернет объявление о проведении конкурса, в котором указываются:

а) предмет проведения конкурса;

б) требования к участникам конкурса;

в) объемы контрольных цифр приема по соответствующим профессиям и специальностям среднего профессионального и (или) направлениям подготовки и специальностям высшего образования, устанавливаемых в ходе проведения конкурса;

г) минимальное количество контрольных цифр приема, которое может быть установлено по результатам конкурса образовательной организации по соответствующим профессиям, специальностям и направлениям подготовки;

д) дата и место начала подачи заявок;

е) требования к содержанию и оформлению заявки;

ж) дата и время окончания приема заявок и вскрытия конвертов с заявками;

з) процедура рассмотрения заявок; и) процедура оценки заявок;

к) дата объявления результатов конкурса.

4. Проведение конкурсного отбора осуществляется созданной Министерством образования и науки Российской Федерации конкурсной комиссией на основании заявок, поданных образовательными организациями <1>.

<1> Пункт 9 Правил установления организациям, осуществляющим образовательную деятельность, контрольных цифр приема граждан по профессиям, специальностям и направлениям подготовки для обучения по имеющим государственную аккредитацию образовательным программам среднего профессионального и высшего образования за счет бюджетных ассигнований федерального бюджета, утвержденных постановлением Правительства Российской Федерации от 17 апреля 2013 г. N 350 (Собрание законодательства Российской Федерации, 2013 , N 16, ст. 1977).

5. Заявка образовательной организации должна содержать:

а) наименование образовательной организации, сведения об организационно- правовой форме, месте нахождения и почтовом адресе;

б) предложения образовательной организации по установлению контрольных цифр приема. При подаче заявки на участие в конкурсе на распределение контрольных цифр приема по направлениям подготовки и специальностям высшего образования, проводимом на уровне субъектов Российской Федерации и на федеральном уровне, в заявке указываются предложения по установлению контрольных цифр приема отдельно по соответствующим субъектам Российской Федерации и на федеральном уровне;

в) сведения о наличии у образовательной организации лицензии на осуществление образовательной деятельности по соответствующим профессиям, специальностям и направлениям подготовки;

г) сведения о наличии у образовательной организации государственной аккредитации по образовательным программам по соответствующим профессиям, специальностям и направлениям подготовки;

д) значения показателей деятельности образовательных организаций, оцениваемых в процессе проведения конкурсного отбора.

6. Контрольные цифры приема по результатам конкурса устанавливаются образовательным организациям только по профессиям, специальностям и направлениям подготовки, указанным в приложении к лицензии на осуществление образовательной деятельности и в приложении к свидетельству о государственной аккредитации образовательной организации.

При выявлении конкурсной комиссией в заявке образовательной организации предложений по установлению контрольных цифр приема по профессиям, специальностям и направлениям подготовки, не указанным в приложении к лицензии на осуществление образовательной деятельности и (или) в приложении к свидетельству о государственной аккредитации образовательной организации, такая заявка не допускается к участию в конкурсе по соответствующим профессиям, специальностям и направлениям подготовки, и контрольные цифры приема по ним не устанавливаются.

7. Проведение конкурсного отбора по установлению контрольных цифр приема по специальностям и направлениям подготовки высшего образования осуществляется в соответствии со следующими показателями деятельности образовательных организаций за год, предшествующий году, в котором проводится конкурс (за исключением показателей, предусмотренных подпунктами "а", "б", "г", "д", "к" и "р" настоящего пункта): (в ред. Приказа Минобрнауки РФ от 23.12.2014 N 1606)

а) средний балл единого государственного экзамена (далее - ЕГЭ) студентов, принятых на обучение по очной форме обучения за счет бюджетных ассигнований федерального бюджета по образовательным программам бакалавриата и специалитета в году, предшествующем году, на который устанавливаются контрольные цифры приема, и в году, предшествующем году, в котором проводится конкурс, умноженный на количество всех студентов, принятых на обучение по очной форме обучения за счет бюджетных ассигнований федерального бюджета по каждой специальности и направлению подготовки в соответствующем году;

б) средний балл ЕГЭ студентов, принятых на обучение по очной форме обучения по договорам об образовании за счет средств физических и (или) юридических лиц по образовательным программам бакалавриата и специалитета в году, предшествующем году, на который устанавливаются контрольные цифры приема, и в году, предшествующем году, в котором проводится конкурс, умноженный на количество всех студентов, принятых на обучение по очной форме обучения по договорам об образовании за счет средств физических и (или) юридических лиц по каждой специальности и направлению подготовки в соответствующем году;

в) количество публикаций в рецензируемых научных журналах мира, индексируемых в реферативно-библиографической базе научного цитирования Web of Science в расчете на 100 научно-педагогических работников (далее - НПР), приведенных к целочисленным значениям ставок;

г) количество цитирований статей, опубликованных за 5 лет, предшествующих году, в котором проводится конкурс, в реферативно- библиографической базе научного цитирования Web of Science по соответствующей области науки в расчете на 100 НПР, приведенных к целочисленным значениям ставок;

д) количество цитирований статей, опубликованных за 5 лет, предшествующих году, в котором проводится конкурс, в библиографической базе данных научных публикаций российских ученых Российский индекс научного цитирования по соответствующей области науки в расчете на 100 НПР, приведенных к целочисленным значениям ставок;

е) расходы образовательной организации на научные и исследовательские разработки по соответствующей области науки в расчете на одного НПР, приведенного к целочисленным значениям ставок;

ж) доходы образовательной организации от выполнения научно- исследовательских и опытно-конструкторских работ в расчете на одного НПР, приведенного к целочисленным значениям ставок;

з) удельный вес контингента иностранных студентов, обучающихся по образовательным программам высшего образования;

и) доходы образовательной организации из всех источников в расчете на одного НПР, приведенного к целочисленным значениям ставок;

к) отношение количества защит диссертаций к численности выпускников аспирантуры (адъюнктуры) за два года, предшествующих году, в котором проводится конкурс;

л) отношение количества принятых в аспирантуру (адъюнктуру), ординатуру и ассистентуру-стажировку к установленным в году, предшествующем году, в котором проводится конкурс, контрольным цифрам приема;

м) отношение средней заработной платы НПР в образовательной организации к средней заработной плате по экономике соответствующего субъекта Российской Федерации;

н) общая площадь учебно-лабораторных зданий (помещений), находящихся на праве собственности и (или) в оперативном управлении, в расчете на одного студента (приведенного контингента);

о) возможность образовательной организации обеспечить подготовку кадров с высшим образованием в целях безопасности страны и для предприятий оборонно-промышленного комплекса, на территории закрытых административно-территориальных образований, а также в непосредственной географической близости к центрам производства по специальностям и направлениям подготовки;

п) удельный вес численности выпускников образовательной организации, обучавшихся по очной форме обучения, не обращавшихся в службы занятости для содействия в трудоустройстве в течение первого года после окончания обучения в образовательной организации, в общем числе выпускников, за год, предшествующий году, в котором проводится конкурс.

р) наличие профессионально-общественной аккредитации образовательных программ по соответствующим специальностям и направлениям подготовки, срок действия которой истекает не ранее завершения учебного года, на который устанавливаются контрольные цифры приема. (в ред. Приказа Минобрнауки РФ от 23.12.2014 N 1606)

8. Проведение конкурсного отбора по установлению контрольных цифр приема по профессиям и специальностям среднего профессионального образования осуществляется в соответствии со следующими показателями деятельности образовательных организаций за год, предшествующий году, в котором проводится конкурс (за исключением показателей, предусмотренных подпунктами "а", "г", "ж" и "и" настоящего пункта): (в ред. Приказа Минобрнауки РФ от 23.12.2014 N 1606)

а) продолжительность реализации в образовательной организации образовательных программ по соответствующим профессиям и специальностям (количество лет);

б) количество штатных педагогических работников, имеющих ученую степень и/или ученое звание, а также первую и высшую квалификационные категории;

в) общая площадь учебно-лабораторных зданий (помещений) и спортивных сооружений в расчете на одного студента (приведенного контингента);

г) количество студентов, ставших победителями и призерами Всероссийских олимпиад профессионального мастерства, Всероссийских и международных спортивных соревнований (для профессий и специальностей физкультурно-спортивной направленности) в течение двух лет, предшествующих году, в котором проводится конкурс;

д) количество единиц учебной и учебно-методической литературы по всем дисциплинам, междисциплинарным курсам и профессиональным модулям основной профессиональной образовательной программы в расчете на 100 студентов (приведенного контингента);

е) доля учебного оборудования для лабораторных работ и практических занятий не старше 10 лет в общем объеме такого оборудования;

ж) доля денежных средств, направленных на развитие материально- технической базы образовательной организации, обеспечивающей проведение всех видов лабораторных работ и практических занятий, в общем объеме денежных средств, полученных из всех источников в течение пяти лет, предшествующих году, в котором проводится конкурс;

з) отношение средней заработной платы педагогических работников в образовательной организации к средней заработной плате по экономике соответствующего субъекта Российской Федерации.

и) наличие профессионально-общественной аккредитации образовательных программ по соответствующим профессиям и специальностям, срок действия которой истекает не ранее завершения учебного года, на который устанавливаются контрольные цифры приема. (в ред. Приказа Минобрнауки РФ от 23.12.2014 N 1606)

9. Конкурсная комиссия принимает решение об установлении контрольных цифр приема образовательным организациям:

а) по специальностям и направлениям подготовки высшего образования в зависимости от значений показателей потенциала образовательных организаций по каждой специальности и направлению подготовки, рассчитываемых в соответствии с Методикой проведения конкурсного отбора и критериями принятия решения об установлении контрольных цифр приема граждан по специальностям и направлениям подготовки для обучения по имеющим государственную аккредитацию образовательным программам высшего образования за счет бюджетных ассигнований федерального бюджета (приложение N 1 к настоящему Порядку);

б) по профессиям и специальностям среднего профессионального образования в зависимости от значений показателей потенциала образовательных организаций по каждой профессии и специальности, рассчитываемых в соответствии с Методикой проведения конкурсного отбора и критериями принятия решения об установлении контрольных цифр приема граждан по профессиям и специальностям для обучения по имеющим государственную аккредитацию образовательным программам среднего профессионального образования за счет бюджетных ассигнований федерального бюджета (приложение N 2 к настоящему Порядку).

10. Конкурсная комиссия ведет следующие протоколы:

а) протокол вскрытия конвертов, который должен содержать сведения о месте, дате, времени проведения вскрытия конвертов с заявками и перечень образовательных организаций, подавших заявки на конкурс, о присвоении заявкам порядковых номеров в перечне образовательных организаций;

б) протокол рассмотрения заявок, который должен содержать сведения об образовательных организациях, заявки которых были рассмотрены, решение о допуске образовательных организаций к участию в конкурсе или об отказе в допуске образовательных организаций к участию в конкурсе с обоснованием такого решения;

в) протокол оценки и сопоставления заявок, который должен содержать сведения об образовательных организациях, заявки которых были допущены к участию в конкурсе, ранжированный на основании результатов оценки и сопоставления заявок список образовательных организаций по каждой профессии, специальности и направлению подготовки, сведения о принятом решении и об установлении контрольных цифр приема.

11. Конкурсная комиссия принимает решение простым большинством голосов. При равном количестве голосов голос председательствующего на заседании конкурсной комиссии является решающим. Конкурсная комиссия правомочна принимать решение при наличии на заседании не менее половины членов ее состава.

Протокол подписывается всеми присутствующими членами конкурсной комиссии.

12. В случае отказа образовательной организации от установленных ей контрольных цифр приема конкурсная комиссия в трехдневный срок с момента получения такого отказа составляет протокол об отказе от установленных контрольных цифр приема. Протокол об отказе от установленных контрольных цифр приема подписывается конкурсной комиссией.

Высвободившиеся в случае такого отказа контрольные цифры приема подлежат перераспределению между другими участниками конкурса в срок до 1 февраля года, на который устанавливаются контрольные цифры приема. Конкурсная комиссия перераспределяет высвободившиеся контрольные цифры приема между образовательными организациями, которые подали заявку на участие в конкурсе по соответствующей профессии, специальности, направлению подготовки, пропорционально значениям показателей потенциала образовательных организаций до полного удовлетворения их заявок.

В случае, когда заявки образовательных организаций на участие в конкурсе на установление контрольных цифр приема по специальностям и направлениям подготовки высшего образования, проводимом на уровне субъекта Российской Федерации, содержат предложения по установлению контрольных цифр приема в объеме, меньшем чем объем распределяемых на таком конкурсе контрольных цифр приема, не распределенные на уровне субъекта Российской Федерации контрольные цифры приема перераспределяются на федеральном уровне.

13. Контрольные цифры приема, установленные в результате проведения конкурса, утверждаются приказом Министерства образования и науки Российской Федерации в срок до 31 декабря года, предшествующего соответствующему учебному году <2>.

<2> Пункт 10 Правил установления организациям, осуществляющим образовательную деятельность, контрольных цифр приема граждан по профессиям, специальностям и направлениям подготовки для обучения по имеющим государственную аккредитацию образовательным программам среднего профессионального и высшего образования за счет бюджетных ассигнований федерального бюджета, утвержденных постановлением Правительства Российской Федерации от 17 апреля 2013 г. N 350 (Собрание законодательства Российской Федерации, 2013 , N 16, ст. 1977).

Приложение N 1
к Порядку проведения конкурса
на распределение контрольных цифр приема
граждан по профессиям, специальностям
и направлениям подготовки для обучения
по имеющим государственную аккредитацию
образовательным программам среднего
профессионального и высшего образования
за счет бюджетных ассигнований
федерального бюджета, утвержденному
приказом Министерства образования и науки
Российской Федерации
от 15 июля 2013 г. N 560

МЕТОДИКА
ПРОВЕДЕНИЯ КОНКУРСНОГО ОТБОРА И КРИТЕРИИ ПРИНЯТИЯ РЕШЕНИЯ ОБ УСТАНОВЛЕНИИ КОНТРОЛЬНЫХ ЦИФР ПРИЕМА ГРАЖДАН ПО СПЕЦИАЛЬНОСТЯМ И НАПРАВЛЕНИЯМ ПОДГОТОВКИ ДЛЯ ОБУЧЕНИЯ ПО ИМЕЮЩИМ ГОСУДАРСТВЕННУЮ АККРЕДИТАЦИЮ ОБРАЗОВАТЕЛЬНЫМ ПРОГРАММАМ ВЫСШЕГО ОБРАЗОВАНИЯ ЗА СЧЕТ БЮДЖЕТНЫХ АССИГНОВАНИЙ ФЕДЕРАЛЬНОГО БЮДЖЕТА

(в ред. Приказа Минобрнауки РФ от 23.12.2014 N 1606)

I. Общие положения

1. Контрольные цифры приема граждан по специальностям и направлениям подготовки для обучения за счет бюджетных ассигнований федерального бюджета по образовательным программам высшего образования (далее - контрольные цифры приема) в рамках каждой специальности и направления подготовки высшего образования устанавливаются образовательным организациям высшего образования (далее - образовательные организации) в объеме, не превышающем предложений по установлению контрольных цифр приема, указанных в заявке образовательной организации.

2. При установлении контрольных цифр приема в рамках конкурса, проводимого на уровне субъектов Российской Федерации, учитываются показатели деятельности образовательной организации, расположенной на территории соответствующего субъекта Российской Федерации (без учета филиалов, расположенных на территории других субъектов Российской Федерации), или филиалов образовательных организаций, расположенных на территории соответствующего субъекта Российской Федерации.

При установлении контрольных цифр приема в рамках конкурса, проводимого на федеральном уровне, показатели деятельности образовательной организации учитываются без учета его местонахождения.

3. Критерием принятия решения об установлении контрольных цифр приема по образовательным программам бакалавриата, специалитета, магистратуры, программам подготовки научно-педагогических кадров в аспирантуре (адъюнктуре) является показатель потенциала образовательной организации.

4. Принятие решения об установлении контрольных цифр приема по образовательным программам подготовки научно-педагогических кадров в ординатуре и ассистентуре-стажировке осуществляется на основе экспертных оценок в соответствии с разделом IV настоящей Методики.

5. Значение показателя потенциала образовательной организации рассчитывается по следующей формуле:

, где

PPV- показатель потенциала образовательной организации;

PEV - нормированное значение показателя эффективности деятельности образовательной организации, участвующей в конкурсе, проводимом на уровне субъектов Российской Федерации или на федеральном уровне;

Т - удельный вес численности выпускников образовательной организации, обучавшихся по очной форме обучения, не обращавшихся в службы занятости для содействия в трудоустройстве в течение первого года после окончания обучения в образовательной организации, в общем числе выпускников, за год, предшествующий году, в котором проводится конкурс.

Данный показатель используется при расчете показателя потенциала образовательной организации, участвующей в конкурсе на установление контрольных цифр приема по образовательным программам бакалавриата, специалитета и магистратуры, и рассчитывается по формуле

, где

> 0 - общее количество выпускников;

0 - количество выпускников, обратившихся в службу занятости в течение года после выпуска.

PEP - показатель эффективности реализуемых образовательной организацией образовательных программ бакалавриата и специалитета (), магистратуры () и программ подготовки научно-педагогических кадров в аспирантуре (адъюнктуре) ();

R - показатель, характеризующий возможность образовательной организации обеспечить подготовку кадров с высшим образованием в целях безопасности страны и для предприятий оборонно-промышленного комплекса, на территории закрытых административно-территориальных образований, а также в непосредственной географической близости к центрам производства по специальностям и направлениям подготовки, который рассчитывается как среднее арифметическое оценок в баллах всех членов конкурсной комиссии, присуждаемых экспертным путем этой образовательной организации по данному показателю. Максимальное значение данного показателя в баллах указывается в объявлении о проведении конкурса.

В случае применения критериев данного показателя баллы, присуждаемые заявке образовательной организации по указанному показателю, рассчитываются по формуле:

, где

- сумма баллов, присуждаемая заявке образовательной организации по указанному показателю;

- значение в баллах (среднее арифметическое оценок в баллах всех членов конкурсной комиссии), присуждаемое конкурсной комиссией заявке z-ой образовательной организации на участие в конкурсе по g-му критерию, где g - количество установленных критериев.

Данный показатель используется при установлении контрольных цифр приема по образовательным программам бакалавриата, специалитета и магистратуры при проведении конкурса на уровне субъектов Российской Федерации.

При установлении контрольных цифр приема по программам подготовки научно-педагогических кадров в аспирантуре (адъюнктуре) указанный показатель используется в ходе проведения конкурса на федеральном уровне.

Максимальное значение данного показателя в баллах указывается в объявлении о проведении конкурса.

6. Показатель эффективности деятельности образовательной организации (PEV) рассчитывается в соответствии с разделом II настоящей Методики.

7. Показатель эффективности реализуемой образовательной организацией образовательной программы (PEP) рассчитывается в соответствии с разделом III настоящей Методики.

8. Все показатели деятельности образовательной организации, показатели, характеризующие реализуемые образовательными организациями образовательные программы, нормируются в следующем порядке:

Нормировка значений по каждому показателю деятельности образовательной организации I осуществляется посредством рейтингования образовательных организаций.

Рейтинг по каждому показателю деятельности строится из уникальных значений соответствующего показателя из полного набора данных по указанному показателю для всех образовательных организаций, принимающих участие в расчете показателя потенциала образовательной организации.

Позиция образовательной организации в рейтинге / (начиная с первой) определяется в порядке убывания показателя деятельности образовательной организации содержащего только уникальные значения этого показателя.

Для каждого показателя определяется его интегральное значение как сумма значений показателей всех образовательных организаций по следующей формуле:

.

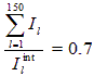
Образовательные организации в зависимости от рейтинга каждого показателя разбиваются на три группы:

первую группу составляют образовательные организации, для которых значения / меньше или равны 150. Для этих образовательных организаций распределяется 70% суммарного интегрального значения показателя пропорционально месту образовательной организации в рейтинге / по данному показателю: (в ред. Приказа Минобрнауки РФ от 23.12.2014 N 1606)

;

вторую группу составляют образовательные организации, для которых / меньше или равны 850 и больше 150. Для этих образовательных организаций распределяется 20% суммарного интегрального значения показателя пропорционально месту образовательной организации в рейтинге / по данному показателю:

;

третью группу составляют образовательные организации, для которых I больше 850. Для этих образовательных организаций распределяется 10% суммарного интегрального значения показателя пропорционально месту образовательной организации в рейтинге I по данному показателю:

.

Коэффициенты линейного преобразования выбираются из условия непрерывности полученной линии распределения.

При этом значение показателя для образовательной(-ых) организации (-ий), занимающей(-их) первую позицию в рейтинге, принимается равным 100; значение показателя для образовательной(-ых) организации(-ий), занимающей(-их) последнюю позицию в рейтинге, приравнивается к нулю.

9. Объем контрольных цифр приема по специальности или направлению подготовки для образовательной организации, участвующей в конкурсе, проводимом на уровне субъекта Российской Федерации или на федеральном уровне, рассчитывается по формуле:

, где

КЦП - объем контрольных цифр приема по специальности или направлению подготовки для образовательной организации, участвующей в конкурсе, проводимом на уровне субъекта Российской Федерации или на федеральном уровне;

Z - объем предложений по установлению контрольных цифр приема по соответствующей специальности или направлению подготовки в заявке образовательной организации;

PPV - потенциал образовательной организации по соответствующей специальности или направлению подготовки;

b - коэффициент, который определяется из условия КЦП = Q для КЦП > 0, рассчитанное значение КЦП округляется до ближайшего целого. Суммирование КЦП проводится по заявкам всех образовательных организаций, подавших заявку на участие в конкурсе по данной специальности или направлению подготовки;

Q - объем контрольных цифр приема по соответствующей специальности или направлению подготовки, распределяемый в ходе проведения конкурса.

II. Расчет нормированного значения показателя эффективности деятельности образовательной организации

10. Расчет нормированного значения показателя эффективности деятельности образовательной организации осуществляется по следующей формуле:

, где

PEV - нормированное значение показателя эффективности деятельности образовательной организации, участвующей в конкурсе, проводимом на уровне субъектов Российской Федерации или на федеральном уровне.

(i = О, Н, М, Ф, И) - нормированное значение по каждому показателю деятельности образовательной организации.

О - значение показателя образовательной организации по среднему баллу единого государственного экзамена (далее - ЕГЭ) студентов, рассчитанное по формуле:

, где

- сумма средних баллов ЕГЭ студентов, принятых на обучение по очной форме обучения за счет бюджетных ассигнований федерального бюджета по образовательным программам бакалавриата и специалитета в году, предшествующем году, в котором проводится конкурс, умноженных на количество всех студентов, принятых на обучение по очной форме обучения за счет бюджетных ассигнований федерального бюджета по образовательным программам бакалавриата и специалитета в соответствующем году;

- сумма средних баллов ЕГЭ студентов, принятых на обучение по очной форме обучения по договорам об образовании за счет средств физических и (или) юридических лиц по образовательным программ бакалавриата и специалитета

в году, предшествующем году, в котором проводится конкурс, умноженных на численность всех студентов, принятых на обучение по очной форме обучения по договорам об образовании за счет средств физических и (или) юридических лиц по образовательным программам бакалавриата и специалитета в соответствующем году;

- суммарная численность студентов, принятых на обучение по очной форме обучения за счет бюджетных ассигнований федерального бюджета по образовательным программам бакалавриата и специалитета в году, предшествующем году, в котором проводится конкурс;

- суммарная численность студентов, принятых на обучение по очной форме обучения по договорам об образовании за счет средств физических и (или) юридических лиц по образовательным программам бакалавриата и специалитета в году, предшествующем году, в котором проводится конкурс;

Н - значение показателя, характеризующее научную деятельность образовательной организации, рассчитанное по формуле:

, где

- количество публикаций в реферативно-библиографической базе научного цитирования Web of Science в расчете на 100 научно-педагогических работников (далее - НПР) <1>, приведенных к целочисленным значениям ставок, рассчитанное как отношение количества опубликованных статей в рецензируемых научных журналах мира, которые учитываются при расчете индекса цитируемости в реферативно-библиографической базе научного цитирования Web of Science, к численности НПР, приведенных к целочисленным значениям ставок, умноженное на 100;

<1> Под численностью научно-педагогических работников (НПР) здесь и далее понимают численность работников профессорско-преподавательского состава и научных работников (на 1 октября года, предшествующего году, в котором проводится конкурс), включая работающих на условиях штатного совместительства (внешних совместителей), без работающих по договорам гражданско-правового характера.

- доходы образовательной организации от выполнения научно-исследовательских и опытно-конструкторских работ в расчете на одного НПР, рассчитанные как отношение общего объема выполненных исследований и разработок к численности НПР, приведенных к целочисленным значениям ставок;

М - удельный вес контингента иностранных студентов, обучающихся по образовательным программам высшего образования в общем контингенте студентов, приведенном к очной форме обучения, рассчитанный как отношение приведенного к очной форме обучения контингента иностранных студентов, обучающихся по образовательным программам высшего образования, к общему приведенному к очной форме обучения контингенту студентов, обучающихся по образовательным программам высшего образования;

Ф - значение показателя, характеризующее финансовую деятельность образовательной организации, рассчитанное по формуле:

, где

- доходы образовательной организации из всех источников в расчете на одного НПР, рассчитанные как отношение бюджетных и внебюджетных средств, полученных образовательной организацией, к численности НПР, приведенных к целочисленным значениям ставок;

- отношение среднего заработка НПР в образовательной организации к средней заработной плате по экономике соответствующего субъекта Российской Федерации, рассчитанное как отношение фонда начисленной заработной платы НПР, деленного на среднесписочную численность НПР и количество месяцев в году, к средней заработной плате по экономике региона, выраженное в процентах. Среднесписочная численность НПР определяется путем суммирования среднесписочной численности НПР за все месяцы отчетного периода и деления полученной суммы на количество месяцев в отчетном периоде. Среднесписочная численность НПР за месяц исчисляется путем суммирования численности НПР списочного состава <2> за каждый календарный день месяца и деления полученной суммы на число календарных дней месяца;

<2> В численность НПР списочного состава включаются НПР, работавшие по трудовому договору и выполнявшие работу один день и более, как фактически работавшие, так и отсутствовавшие на работе по каким-либо причинам (находившиеся в ежегодных, дополнительных, учебных отпусках, в служебных командировках; не явившиеся на работу по болезни).

Лица, работавшие неполное рабочее время в соответствии с трудовым договором или переведенные с письменного согласия работника на работу с неполным рабочим временем, при определении среднесписочной численности учитываются пропорционально отработанному времени.

Работники, получающие в одной организации две, полторы ставки или оформленные в одной организации как внутренние совместители, учитываются в списочной численности работников как один человек.

Не включаются в списочную и среднесписочную численность работники: находящиеся в отпусках по беременности, родам и в отпусках по уходу за ребенком; принятые на работу по совместительству из других организаций.

Средняя численность внешних совместителей исчисляется пропорционально фактически отработанному времени.

И - общая площадь учебно-лабораторных зданий (помещений), находящихся на правах собственности и (или) в оперативном управлении, в расчете на одного студента (приведенного контингента), рассчитанная как отношение общей площади учебно-лабораторных зданий, находящихся на правах собственности и (или) в оперативном управлении, к численности приведенного контингента студентов, обучающихся по образовательным программам высшего образования.

III. Расчет показателя эффективности реализуемой образовательной организацией образовательной программы

11. В качестве показателя, характеризующего эффективность реализуемой образовательной организацией образовательной программы бакалавриата и специалитета, используется нормированное значение среднего балла ЕГЭ по соответствующей специальности или направлению подготовки образовательной организации, приведенное к единому виду распределения для выборки образовательных организаций, участвующих в конкурсе на уровне субъекта Российской Федерации или на федеральном уровне.

Нормировка значений среднего балла ЕГЭ по соответствующей специальности или направлению подготовки осуществляется по формуле:

, где

(в ред. Приказа Минобрнауки РФ от 23.12.2014 N 1606)

- среднее значение по выборке средних баллов ЕГЭ по соответствующей специальности или направлению подготовки для образовательных организаций, участвующих в конкурсе, проводимом на уровне субъектов Российской Федерации или на федеральном уровне, по соответствующей специальности или направлению подготовки;

х - средний балл ЕГЭ для специальности или направления подготовки образовательной организации;

- среднеквадратичное отклонение по выборке средних баллов ЕГЭ по соответствующей специальности или направлению подготовки для образовательных организаций, участвующих в конкурсе, проводимом на уровне субъектов Российской Федерации или на федеральном уровне по соответствующей специальности или направлению подготовки;

- среднеквадратичное отклонение по выборке нормированных значений показателей деятельности образовательных организаций, участвующих в конкурсе, проводимом на уровне субъектов Российской Федерации или на федеральном уровне, по соответствующей специальности или направлению подготовки.

- среднее значение по выборке нормированных значений показателей деятельности для образовательных организаций, участвующих в конкурсе, проводимом на уровне субъектов Российской Федерации или на федеральном уровне, по соответствующей специальности или направлению подготовки;

- показатель, отражающий факт наличия профессионально-общественной аккредитации образовательных программ бакалавриата и специалитета по соответствующим специальностям и направлениям подготовки. Значение данного показателя в баллах указывается в объявлении о проведении конкурса и не должно превышать 10 баллов. (в ред. Приказа Минобрнауки РФ от 23.12.2014 N 1606)

Средний балл ЕГЭ для специальности или направления подготовки образовательной организации рассчитывается по следующей формуле:

, где

- средний балл ЕГЭ к-то студента, рассчитанный как отношение суммы результатов ЕГЭ к-то студента, признаваемых как результаты вступительных испытаний по общеобразовательным предметам, соответствующим специальности или направлению подготовки, на которую осуществляется прием, к числу таких предметов в году, предшествующему году, на который устанавливаются контрольные цифры приема.

Средние баллы ЕГЭ рассчитывают исходя из данных о ЕГЭ лиц, зачисленных на обучение по очной форме обучения за счет бюджетных ассигнований федерального бюджета и по договорам об образовании за счет средств физических и (или) юридических лиц по соответствующей специальности или направлению подготовки, реализуемой образовательной организацией. Средние баллы ЕГЭ рассчитываются по специальностям и направлениям подготовки, на обучение по которым поступило не менее 10 человек. В случае если на обучение по специальности или направлению подготовки поступило менее 10 человек, средние баллы ЕГЭ рассчитываются по той укрупненной группе профессий, специальностей и направлений подготовки, в которую входит соответствующая специальность или направление подготовки. Если прием на соответствующую укрупненную группу профессий, специальностей и направлений подготовки составлял менее 10 человек, средние баллы ЕГЭ рассчитываются по образовательной организации в целом.

К расчету принимаются данные о результатах ЕГЭ лиц, зачисленных по общему конкурсу, и лиц, имеющих право на прием без вступительных испытаний.

При расчете средних баллов ЕГЭ учитывают данные о результатах ЕГЭ лиц, зачисленных на первый курс в образовательную организацию, по общеобразовательным предметам, соответствующим специальности или направлению подготовки, на которую осуществлен прием.

При зачислении в образовательную организацию лиц, имеющих право на прием без вступительных испытаний, результаты таких студентов признаются как наивысшие результаты ЕГЭ (100 баллов) по указанным общеобразовательным предметам.

При зачислении в образовательную организацию лиц, имеющих право быть приравненными к лицам, набравшим максимальное количество баллов по ЕГЭ по общеобразовательному предмету, соответствующему профилю олимпиады школьников, результаты таких студентов признаются как наивысшие результаты ЕГЭ (100 баллов) по общеобразовательному предмету, соответствующему профилю олимпиады школьников. По другим общеобразовательным предметам, соответствующим специальности и направлению подготовки, учитываются баллы ЕГЭ таких студентов в соответствии с их свидетельствами о результатах ЕГЭ.

Результаты победителей и призеров заключительного этапа всероссийской олимпиады школьников, членов сборных команд Российской Федерации, участвовавших в международных олимпиадах по общеобразовательным предметам и сформированных в соответствии с порядком, установленным федеральным органом исполнительной власти, осуществляющим функции по выработке государственной политики и нормативно-правовому регулированию в сфере образования, по специальностям и (или) направлениям подготовки, соответствующим профилю всероссийской олимпиады школьников или международной олимпиады, признаются образовательными организациями как наивысшие результаты ЕГЭ (100 баллов) по этим общеобразовательным предметам при приеме на специальности и направления подготовки, не соответствующие профилю олимпиады школьников.

К - количество студентов, принятых по результатам ЕГЭ на обучение по соответствующей специальности и направлению подготовки.

12. В качестве показателя, характеризующего эффективность реализуемой образовательной организацией образовательной программы магистратуры, используются показатели публикационной активности научно-педагогических работников образовательной организации и расходы образовательной организации на научные и исследовательские разработки по соответствующей области науки.

Показатель, характеризующий эффективность реализуемой образовательной организацией образовательной программы магистратуры, рассчитывается по следующей формуле:

, где

(в ред. Приказа Минобрнауки РФ от 23.12.2014 N 1606)

j - область науки;

- количество цитирований статей, опубликованных за 5 лет, предшествующих году, в котором проводится конкурс, в рецензируемых научных журналах мира, индексируемых в реферативно-библиографической базе данных Web of Science и Российском индексе научного цитирования (далее - РИНЦ) по соответствующей области науки в расчете на 100 НПР, приведенных к целочисленным значениям ставок, рассчитанное как отношение количества цитирований публикаций в изданиях, индексируемых в реферативно-библиографической базе научного цитирования Web of Science и РИНЦ, опубликованных за 5 лет, предшествующих году, в котором проводится конкурс, по соответствующей области науки, к численности НПР, умноженное на 100, по следующей формуле:

, где

- количество цитирований статей, опубликованных за 5 лет, предшествующих году, в котором проводится конкурс, в рецензируемых научных журналах мира, индексируемых в базе данных Web of Science отдельно по соответствующей области науки;

- количество цитирований статей, опубликованных за 5 лет, предшествующих году, в котором проводится конкурс, в рецензируемых научных журналах мира, индексируемых в базе данных РИНЦ отдельно по соответствующей области;

NPR - количество НПР;

- расходы образовательной организации на научные и исследовательские разработки по соответствующей области науки в расчете на одного НПР, рассчитанные как отношение объема расходов образовательной организации на научные и исследовательские разработки по соответствующей области науки к численности НПР, приведенных к целочисленным значениям ставок.

- показатель, отражающий факт наличия профессионально-общественной аккредитации образовательных программ магистратуры по соответствующим направлениям подготовки. Значение данного показателя в баллах указывается в объявлении о проведении конкурса и не должно превышать 10 баллов. (в ред. Приказа Минобрнауки РФ от 23.12.2014 N 1606)

13. В качестве показателя, характеризующего эффективность реализуемой образовательной организацией образовательной программы аспирантуры (адъюнктуры), используются показатели публикационной активности научно-педагогических работников образовательной организации, расходы образовательной организации на научные и исследовательские разработки по соответствующей области науки, а также показатель, характеризующий эффективность функционирования аспирантуры (адъюнктуры).

Показатель, характеризующий эффективность реализуемой образовательной организацией образовательной программы аспирантуры (адъюнктуры), рассчитывается по следующей формуле:

, где

(в ред. Приказа Минобрнауки РФ от 23.12.2014 N 1606)

показатели и рассчитываются в соответствии с расчетом показателя, характеризующего эффективность реализуемой образовательной организацией образовательной программы магистратуры;

- эффективность функционирования аспирантуры (адъюнктуры) по областям подготовки, рассчитанная по следующей формуле:

, где

- среднее количество защит диссертаций в срок за два года, предшествующих году, в котором проводится конкурс, рассчитанное как отношение количества защит в срок за два года, предшествующие году, в котором проводится конкурс, к численности выпуска аспирантов (адъюнктов) за два года, предшествующие году, в котором проводится конкурс, умноженное на 100;

- выполнение контрольных цифр приема граждан для обучения в аспирантуре (адъюнктуре), установленных в году, предшествующем году, в котором проводится конкурс, рассчитанное как отношение количества принятых в аспирантуру (адъюнктуру) к установленным в году, предшествующем году, в котором проводится конкурс, контрольным цифрам приема, умноженное на 100.

- показатель, отражающий факт наличия профессионально-общественной аккредитации образовательных программ аспирантуры (адъюнктуры) по соответствующим направлениям подготовки. Значение данного показателя в баллах указывается в объявлении о проведении конкурса и не должно превышать 10 баллов. (в ред. Приказа Минобрнауки РФ от 23.12.2014 N 1606)

IV. Методика оценки конкурсных заявок для принятия решения об установлении контрольных цифр приема по образовательным программам подготовки научно-педагогических кадров в ординатуре и ассистентуре-стажировке

14. Критерием принятия решения об установлении контрольных цифр приема по образовательным программам подготовки научно-педагогических кадров в ординатуре и ассистентуре-стажировке является экспертная оценка потенциала образовательной организации по 100-балльной шкале.

Потенциал образовательной организации рассчитывается как среднее арифметическое оценок в баллах всех членов конкурсной комиссии, присуждаемых экспертным путем i-ой образовательной организации.

Баллы, присуждаемые заявке i-ой образовательной организации, рассчитываются по формуле:

, где

- сумма баллов, присуждаемая заявке /-ой образовательной организации;

- значение в баллах (среднее арифметическое оценок в баллах всех членов конкурсной комиссии), присуждаемое конкурсной комиссией заявке /-ой образовательной организации на участие в конкурсе по g-му критерию, где g - количество установленных критериев.

Приложение N 2
к Порядку проведения конкурса
на распределение контрольных цифр приема
граждан по профессиям, специальностям
и направлениям подготовки для обучения
по имеющим государственную аккредитацию
образовательным программам среднего
профессионального и высшего образования
за счет бюджетных ассигнований федерального
бюджета, утвержденному приказом
Министерства образования и науки
Российской Федерации
от 15 июля 2013 г. N 560

МЕТОДИКА
ПРОВЕДЕНИЯ КОНКУРСНОГО ОТБОРА И КРИТЕРИИ ПРИНЯТИЯ РЕШЕНИЯ ОБ УСТАНОВЛЕНИИ КОНТРОЛЬНЫХ ЦИФР ПРИЕМА ГРАЖДАН ПО ПРОФЕССИЯМ И СПЕЦИАЛЬНОСТЯМ ДЛЯ ОБУЧЕНИЯ ПО ИМЕЮЩИМ ГОСУДАРСТВЕННУЮ АККРЕДИТАЦИЮ ОБРАЗОВАТЕЛЬНЫМ ПРОГРАММАМ СРЕДНЕГО ПРОФЕССИОНАЛЬНОГО ОБРАЗОВАНИЯ ЗА СЧЕТ БЮДЖЕТНЫХ АССИГНОВАНИЙ ФЕДЕРАЛЬНОГО БЮДЖЕТА

(в ред. Приказа Минобрнауки РФ от 23.12.2014 N 1606)

1. Контрольные цифры приема граждан по профессиям и специальностям для обучения за счет бюджетных ассигнований федерального бюджета по образовательным программам среднего профессионального образования (далее -контрольные цифры приема) в рамках каждой профессии и специальности среднего профессионального образования устанавливаются отдельно профессиональным образовательным организациям и образовательным организациям высшего образования (далее - образовательные организации) в объеме, не превышающем предложений по установлению контрольных цифр приема, указанных в заявке образовательной организации.

2. Критерием принятия решения об установлении контрольных цифр приема является показатель потенциала образовательной организации.

3. Расчет показателей потенциала образовательных организаций по соответствующей профессии и специальности рассчитывается по следующей формуле:

, где

(в ред. Приказа Минобрнауки РФ от 23.12.2014 N 1606)

- нормированное значение показателя р_i (i = ,..., );

- продолжительность реализации в образовательной организации образовательных программ по соответствующим профессиям и специальностям (количество лет);

- количество штатных педагогических работников, имеющих ученую степень и/или ученое звание, а также первую и высшую квалификационные категории;

- общая площадь учебно-лабораторных зданий (помещений) и спортивных сооружений в расчете на одного студента (приведенного контингента);

- количество студентов, ставших победителями и призерами Всероссийских олимпиад профессионального мастерства, Всероссийских и международных спортивных соревнований (для профессий и специальностей физкультурно-спортивной направленности) в течение двух лет, предшествующих году, в котором проводится конкурс;

- количество единиц учебной и учебно-методической литературы по всем дисциплинам, междисциплинарным курсам и профессиональным модулям основной профессиональной образовательной программы в расчете на 100 студентов (приведенного контингента);

- доля учебного оборудования для лабораторных работ и практических занятий не старше 10 лет в общем объеме такого оборудования;

- доля денежных средств, направленных на развитие материально-технической базы образовательной организации, обеспечивающей проведение всех видов лабораторных работ и практических занятий, в общем объеме денежных средств, полученных из всех источников в течение пяти лет, предшествующих году, в котором проводится конкурс;

- отношение средней заработной платы педагогических работников в образовательной организации к средней заработной плате по экономике соответствующего субъекта Российской Федерации.

- показатель, отражающий факт наличия профессионально-общественной аккредитации образовательных программ среднего профессионального образования по соответствующим профессиям и специальностям. Значение данного показателя в баллах указывается в объявлении о проведении конкурса и не должно превышать 3 баллов. (в ред. Приказа Минобрнауки РФ от 23.12.2014 N 1606)

Нормировка значений по каждому показателю деятельности образовательной организации (i = ,..., ) осуществляется посредством рейтингования образовательных организаций.

Рейтинг по каждому показателю деятельности образовательной организации строится из уникальных значений соответствующего показателя из полного набора данных по указанному показателю для всех образовательных организаций, принимающих участие в расчете показателя потенциала образовательной организации.

При этом значение показателя для образовательной(-ых) организации (-ий), занимающей(-их) первую позицию в рейтинге, принимается равным 100; значение показателя для образовательной(-ых) организации(-ий), занимающей(-их) последнюю позицию в рейтинге, приравнивается к нулю.