Постановление Правительства РФ от 15.05.2014 N 447

"Об утверждении Правил предоставления иных межбюджетных трансфертов из федерального бюджета бюджету Республики Крым на финансовое обеспечение дорожной деятельности на автомобильных дорогах общего пользования регионального или межмуниципального значения и автомобильных дорогах общего пользования местного значения"
Редакция от 27.07.2016 — Действует с 06.08.2016
Показать изменения

ПРАВИТЕЛЬСТВО РОССИЙСКОЙ ФЕДЕРАЦИИ

ПОСТАНОВЛЕНИЕ
от 15 мая 2014 г. N 447

ОБ УТВЕРЖДЕНИИ ПРАВИЛ ПРЕДОСТАВЛЕНИЯ ИНЫХ МЕЖБЮДЖЕТНЫХ ТРАНСФЕРТОВ ИЗ ФЕДЕРАЛЬНОГО БЮДЖЕТА БЮДЖЕТУ РЕСПУБЛИКИ КРЫМ НА ФИНАНСОВОЕ ОБЕСПЕЧЕНИЕ ДОРОЖНОЙ ДЕЯТЕЛЬНОСТИ НА АВТОМОБИЛЬНЫХ ДОРОГАХ ОБЩЕГО ПОЛЬЗОВАНИЯ РЕГИОНАЛЬНОГО ИЛИ МЕЖМУНИЦИПАЛЬНОГО ЗНАЧЕНИЯ И АВТОМОБИЛЬНЫХ ДОРОГАХ ОБЩЕГО ПОЛЬЗОВАНИЯ МЕСТНОГО ЗНАЧЕНИЯ

(в ред. Постановлений Правительства РФ от 28.05.2015 N 512, от 25.05.2016 N 464, от 27.07.2016 N 721)

Правительство Российской Федерации постановляет:

Утвердить прилагаемые Правила предоставления иных межбюджетных трансфертов из федерального бюджета бюджету Республики Крым на финансовое обеспечение дорожной деятельности на автомобильных дорогах общего пользования регионального или межмуниципального значения и автомобильных дорогах общего пользования местного значения. (в ред. Постановления Правительства РФ от 28.05.2015 N 512)

Председатель Правительства
Российской Федерации
Д.МЕДВЕДЕВ

УТВЕРЖДЕНЫ
постановлением Правительства
Российской Федерации
от 15 мая 2014 г. N 447

ПРАВИЛА ПРЕДОСТАВЛЕНИЯ ИНЫХ МЕЖБЮДЖЕТНЫХ ТРАНСФЕРТОВ ИЗ ФЕДЕРАЛЬНОГО БЮДЖЕТА БЮДЖЕТУ РЕСПУБЛИКИ КРЫМ НА ФИНАНСОВОЕ ОБЕСПЕЧЕНИЕ ДОРОЖНОЙ ДЕЯТЕЛЬНОСТИ НА АВТОМОБИЛЬНЫХ ДОРОГАХ ОБЩЕГО ПОЛЬЗОВАНИЯ РЕГИОНАЛЬНОГО ИЛИ МЕЖМУНИЦИПАЛЬНОГО ЗНАЧЕНИЯ И АВТОМОБИЛЬНЫХ ДОРОГАХ ОБЩЕГО ПОЛЬЗОВАНИЯ МЕСТНОГО ЗНАЧЕНИЯ

(в ред. Постановлений Правительства РФ от 28.05.2015 N 512, от 25.05.2016 N 464, от 27.07.2016 N 721)

1. Настоящие Правила устанавливают порядок предоставления иных межбюджетных трансфертов из федерального бюджета бюджету Республики Крым на финансовое обеспечение мероприятий по осуществлению дорожной деятельности на автомобильных дорогах общего пользования регионального или межмуниципального значения и автомобильных дорогах общего пользования местного значения (далее соответственно - мероприятия, иные межбюджетные трансферты). (в ред. Постановления Правительства РФ от 28.05.2015 N 512)

2. Иные межбюджетные трансферты могут быть предоставлены из бюджета Республики Крым местному бюджету на финансовое обеспечение мероприятий по осуществлению дорожной деятельности на автомобильных дорогах общего пользования местного значения.

3. Иные межбюджетные трансферты предоставляются бюджету Республики Крым в пределах лимитов бюджетных обязательств, утвержденных в установленном порядке Федеральному дорожному агентству на соответствующий финансовый год на цели, указанные в пункте 1 настоящих Правил. (в ред. Постановления Правительства РФ от 28.05.2015 N 512)

4. Предоставление иных межбюджетных трансфертов осуществляется на основании соглашения, заключенного между Федеральным дорожным агентством и высшим исполнительным органом государственной власти Республики Крым, о предоставлении иных межбюджетных трансфертов (далее - соглашение).

5. В соглашении предусматриваются:

а) орган исполнительной власти Республики Крым, осуществляющий функции по оказанию государственных услуг и управлению государственным имуществом в сфере дорожного хозяйства, а также уполномоченный на решение иных вопросов в сфере дорожного хозяйства, в том числе местного значения;

б) целевое назначение иных межбюджетных трансфертов;

в) размер и сроки предоставления иных межбюджетных трансфертов;

г) форма программы (плана) дорожной деятельности и иных мероприятий в сфере дорожного хозяйства Республики Крым, предусматривающей в том числе объемы работ в рамках этой дорожной деятельности, значения показателей результативности использования иных межбюджетных трансфертов (далее - показатели результативности) на период реализации программы, а также необходимость согласования этой программы высшим исполнительным органом государственной власти Республики Крым с Федеральным дорожным агентством; (в ред. Постановления Правительства РФ от 28.05.2015 N 512)

д) форма и сроки представления высшим исполнительным органом государственной власти Республики Крым заявки о перечислении иных межбюджетных трансфертов, предусматривающей указание размера средств и срока возникновения денежного обязательства Республики Крым;

е) форма и сроки представления высшим исполнительным органом государственной власти Республики Крым отчета о расходах бюджета Республики Крым на мероприятия, осуществляемые в рамках программы, указанной в подпункте "г" настоящего пункта, и отчетов об исполнении этой согласованной программы, в том числе о достижении значений показателей результативности, а также сроки представления высшим исполнительным органом государственной власти Республики Крым отчета о выполнении графиков реализации мероприятий по проектированию и (или) строительству (реконструкции) объектов капитального строительства, финансирование которых осуществляется с использованием иных межбюджетных трансфертов (далее - графики реализации мероприятий), по формам, утвержденным Министерством строительства и жилищно-коммунального хозяйства Российской Федерации; (в ред. Постановлений Правительства РФ от 28.05.2015 N 512, от 27.07.2016 N 721)

ж) обязательство высшего исполнительного органа государственной власти Республики Крым о предоставлении отчетов, указанных в подпункте "е" настоящего пункта;

з) обязательство высшего исполнительного органа государственной власти Республики Крым о заключении с органами местного самоуправления Республики Крым соглашения о предоставлении межбюджетного трансферта в случае, если иной межбюджетный трансферт используется Республикой Крым для предоставления межбюджетного трансферта местным бюджетам на финансирование мероприятий по осуществлению дорожной деятельности на автомобильных дорогах общего пользования местного значения;

и) порядок осуществления контроля за соблюдением Республикой Крым условий, установленных при предоставлении иных межбюджетных трансфертов, а также за осуществлением расходов бюджета Республики Крым на мероприятия, осуществляемые в рамках программы, указанной в подпункте "г" настоящего пункта; (в ред. Постановления Правительства РФ от 27.07.2016 N 721)

к) порядок возврата иных межбюджетных трансфертов в случае установления по итогам проверок факта нарушения целей и условий предоставления иных межбюджетных трансфертов, определенных настоящими Правилами и соглашением;

л) право Федерального дорожного агентства на проведение проверок соблюдения условий, установленных соглашением;

м) право Федерального дорожного агентства давать высшему должностному лицу Республики Крым обязательные для исполнения поручения по вопросам исполнения мероприятий в случае, когда требуется координация осуществления мероприятий всеми или несколькими субъектами Российской Федерации, а также в случае нарушения условий предоставления иных межбюджетных трансфертов;

н) право Федерального дорожного агентства вносить высшему исполнительному органу государственной власти Республики Крым предписания (представления) об устранении нарушений, выявленных при осуществлении контроля за соблюдением условий, установленных при предоставлении иных межбюджетных трансфертов, подлежащие обязательному рассмотрению в срок, не превышающий 30 дней;

о) право Федерального дорожного агентства вносить высшему должностному лицу Республики Крым представления об освобождении от занимаемой должности его заместителей и руководителей соответствующих органов исполнительной власти Республики Крым, ответственных за осуществление мероприятий, в случаях систематического неисполнения и (или) ненадлежащего их исполнения, подлежащие рассмотрению в 10-дневный срок;

п) основания и порядок отмены актов органов исполнительной власти Республики Крым по вопросам осуществления мероприятий;

р) право органов государственной власти Республики Крым дополнительно использовать собственные материальные ресурсы и финансовые средства для осуществления мероприятий в порядке, установленном законами Республики Крым;

с) ответственность сторон за нарушение условий соглашения.

т) обязательство Республики Крым утвердить по форме, утвержденной Министерством строительства и жилищно-коммунального хозяйства Российской Федерации, графики реализации мероприятий и обязательство Республики Крым по соблюдению графиков реализации мероприятий; (в ред. Постановления Правительства РФ от 28.05.2015 N 512)

у) обязательство Республики Крым установить значения показателей результативности в программе, указанной в подпункте "г" настоящего пункта, а также обязательство Республики Крым по достижению указанных значений показателей результативности; (в ред. Постановлений Правительства РФ от 28.05.2015 N 512, от 27.07.2016 N 721)

ф) последствия несоблюдения графиков реализации мероприятий. (в ред. Постановления Правительства РФ от 28.05.2015 N 512)

х) обязательство Республики Крым о направлении в 2016 году средств в объеме не менее 7300 млн. рублей, помимо иных межбюджетных трансфертов, на финансовое обеспечение мероприятий; (в ред. Постановления Правительства РФ от 27.07.2016 N 721)

ц) обязательство Республики Крым по капитальному ремонту, реконструкции, ремонту и содержанию в целях приведения в нормативное состояние до 31 декабря 2016 г. всех автомобильных дорог, капитальный ремонт, реконструкция, ремонт, содержание которых финансируется в 2016 году за счет бюджета Республики Крым с учетом иных межбюджетных трансфертов. (в ред. Постановления Правительства РФ от 27.07.2016 N 721)

6. Пункт утратил силу. (в ред. Постановления Правительства РФ от 27.07.2016 N 721)

7. Информация о размерах и сроках перечисления иных межбюджетных трансфертов учитывается Федеральным дорожным агентством при формировании прогноза кассовых выплат из федерального бюджета, необходимого для составления в установленном порядке кассового плана исполнения федерального бюджета.

8. Не использованный на 1 января текущего финансового года остаток иных межбюджетных трансфертов подлежит возврату в федеральный бюджет в соответствии с требованиями, установленными бюджетным законодательством Российской Федерации. (в ред. Постановления Правительства РФ от 28.05.2015 N 512)

В соответствии с решением Федерального дорожного агентства о наличии потребности в не использованных на 1 января текущего финансового года иных межбюджетных трансфертах средства в размере, не превышающем остатка иных межбюджетных трансфертов, могут быть возвращены в текущем финансовом году в доход бюджета Республики Крым, которому были ранее предоставлены, для финансового обеспечения расходов бюджета Республики Крым, соответствующих целям предоставления иных межбюджетных трансфертов. (в ред. Постановления Правительства РФ от 28.05.2015 N 512)

В случае если неиспользованный остаток иных межбюджетных трансфертов не перечислен в доход федерального бюджета, указанные средства подлежат взысканию в доход федерального бюджета в порядке, установленном Министерством финансов Российской Федерации.

Неиспользованные бюджетные ассигнования Федерального дорожного фонда на предоставление иных межбюджетных трансфертов направляются на финансовое обеспечение расходов бюджета Республики Крым, соответствующих целям, указанным в пункте 1 настоящих Правил, в размере, не превышающем лимитов бюджетных обязательств, доведенных до Федерального дорожного агентства в установленном порядке, в соответствии с решением Федерального дорожного агентства о наличии потребности в этих средствах. (в ред. Постановления Правительства РФ от 28.05.2015 N 512)

8.1. Показателями результативности является достижение следующих показателей программы, указанной в подпункте "г" пункта 5 настоящих Правил: (в ред. Постановления Правительства РФ от 28.05.2015 N 512)

а) протяженность вводимых в эксплуатацию после строительства и реконструкции участков автомобильных дорог общего пользования, находящихся в собственности Республики Крым (км); (в ред. Постановления Правительства РФ от 28.05.2015 N 512)

б) протяженность строящихся и реконструируемых объектов на автомобильных дорогах общего пользования (км); (в ред. Постановления Правительства РФ от 28.05.2015 N 512)

в) протяженность завершенных капитальным ремонтом участков автомобильных дорог общего пользования, находящихся в собственности Республики Крым (км); (в ред. Постановления Правительства РФ от 28.05.2015 N 512)

г) длина искусственных сооружений, на которых капитальный ремонт завершен (пог. м); (в ред. Постановления Правительства РФ от 28.05.2015 N 512)

д) протяженность завершенных ремонтом участков автомобильных дорог общего пользования, находящихся в собственности Республики Крым (км); (в ред. Постановления Правительства РФ от 28.05.2015 N 512)

е) длина искусственных сооружений, на которых ремонт завершен (пог. м); (в ред. Постановления Правительства РФ от 28.05.2015 N 512)

ж) протяженность обеспеченных круглогодичным содержанием участков автомобильных дорог общего пользования, находящихся в собственности Республики Крым (км); (в ред. Постановлений Правительства РФ от 28.05.2015 N 512, от 27.07.2016 N 721)

з) протяженность автомобильных дорог общего пользования, в отношении которых проведена диагностика в соответствии с нормативными документами Российской Федерации (км); (в ред. Постановлений Правительства РФ от 28.05.2015 N 512, от 27.07.2016 N 721)

и) площадь твердого покрытия вводимых в эксплуатацию после строительства и реконструкции участков автомобильных дорог общего пользования, находящихся в муниципальной собственности (кв. м); (в ред. Постановления Правительства РФ от 28.05.2015 N 512)

к) площадь твердого покрытия завершенных капитальным ремонтом участков автомобильных дорог общего пользования, находящихся в муниципальной собственности (кв. м); (в ред. Постановления Правительства РФ от 28.05.2015 N 512)

л) площадь твердого покрытия завершенных ремонтом участков автомобильных дорог общего пользования, находящихся в муниципальной собственности (кв. м); (в ред. Постановления Правительства РФ от 28.05.2015 N 512)

м) протяженность обеспеченных круглогодичным содержанием участков автомобильных дорог общего пользования, находящихся в муниципальной собственности (км); (в ред. Постановлений Правительства РФ от 28.05.2015 N 512, от 27.07.2016 N 721)

н) доля нормативных правовых актов, предусмотренных программой, указанной в подпункте "г" пункта 5 настоящих Правил, внесенных в установленном порядке на согласование и утверждение, в общем количестве нормативных правовых актов, предусмотренных этой программой (процентов). (в ред. Постановления Правительства РФ от 28.05.2015 N 512)

8.2. В случае если Республикой Крым по состоянию на 31 декабря текущего финансового года допущены нарушения предусмотренных соглашением обязательств, указанных в подпункте "у" пункта 5 настоящих Правил, и до первой даты представления отчетности о достижении значений показателей результативности в очередном финансовом году указанные нарушения не устранены, размер средств, подлежащий возврату из бюджета Республики Крым в федеральный бюджет (), определяется по формуле: (в ред. Постановления Правительства РФ от 28.05.2015 N 512)

(в ред. Постановления Правительства РФ от 28.05.2015 N 512)

где:

- размер иного межбюджетного трансферта, предоставленного бюджету Республики Крым; (в ред. Постановления Правительства РФ от 28.05.2015 N 512)

к - коэффициент возврата иного межбюджетного трансферта; (в ред. Постановления Правительства РФ от 28.05.2015 N 512)

m - количество показателей результативности, по которым индекс, отражающий уровень недостижения i-го показателя результативности, имеет положительное значение; (в ред. Постановления Правительства РФ от 28.05.2015 N 512)

n - общее количество показателей результативности. (в ред. Постановления Правительства РФ от 28.05.2015 N 512)

8.3. Коэффициент возврата иного межбюджетного трансферта определяется по формуле: (в ред. Постановления Правительства РФ от 28.05.2015 N 512)

(в ред. Постановления Правительства РФ от 28.05.2015 N 512)

где - индекс, отражающий уровень недостижения i-го показателя результативности. (в ред. Постановления Правительства РФ от 28.05.2015 N 512)

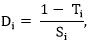
8.4. Индекс, отражающий уровень недостижения i-го показателя результативности, определяется по формуле: (в ред. Постановления Правительства РФ от 28.05.2015 N 512)

(в ред. Постановления Правительства РФ от 28.05.2015 N 512)

где:

- фактически достигнутое значение i-го показателя результативности на отчетную дату; (в ред. Постановления Правительства РФ от 28.05.2015 N 512)

- плановое значение i-го показателя результативности, установленное соглашением. (в ред. Постановления Правительства РФ от 28.05.2015 N 512)

8.5. В случае если Республикой Крым по состоянию на 31 декабря текущего финансового года допущены нарушения графика реализации мероприятий и до 1 апреля очередного финансового года указанные нарушения не устранены, размер средств, соответствующий размеру иного межбюджетного трансферта на финансирование мероприятий, предметом которых являются проектирование и (или) строительство (реконструкция) объектов капитального строительства, по которым допущены нарушения графика реализации мероприятий, подлежит возврату из бюджета Республики Крым в федеральный бюджет в полном объеме до 1 мая очередного финансового года. (в ред. Постановления Правительства РФ от 28.05.2015 N 512)

9. Ответственность за достоверность представляемых Федеральному дорожному агентству сведений возлагается на высший исполнительный орган государственной власти Республики Крым.

10. В случае нарушений целей и условий предоставления иных межбюджетных трансфертов соответствующие средства подлежат возврату в доход федерального бюджета в порядке, установленном бюджетным законодательством Российской Федерации.

11. Контроль за осуществлением расходов бюджета Республики Крым, источником финансового обеспечения которого являются иные межбюджетные трансферты, осуществляется Федеральным дорожным агентством и федеральным органом исполнительной власти, осуществляющим функции по контролю и надзору в финансово-бюджетной сфере. (в ред. Постановления Правительства РФ от 25.05.2016 N 464)

12. Высший исполнительный орган государственной власти Республики Крым ежемесячно, не позднее 10-го числа месяца, следующего за отчетным, представляет в Федеральное дорожное агентство отчеты о расходах бюджета Республики Крым на мероприятия, осуществляемые в рамках программы, указанной в подпункте "г" пункта 5 настоящих Правил, и отчетов об исполнении этой согласованной программы, в том числе о достижении значений показателей результативности, составленные по формам, указанным в подпункте "е" пункта 5 настоящих Правил, а также отчеты о выполнении графиков реализации мероприятий по формам, утвержденным Министерством строительства и жилищно-коммунального хозяйства Российской Федерации. (в ред. Постановлений Правительства РФ от 28.05.2015 N 512, от 27.07.2016 N 721)