Постановление Правительства РФ от 06.08.2014 N 773

"Об утверждении Правил предоставления субсидий из федерального бюджета бюджетам Республики Крым и г. Севастополя на реализацию мероприятий региональных программ модернизации здравоохранения Республики Крым и г. Севастополя в 2015 году"
Редакция от 25.05.2016 — Действует с 14.06.2016
Показать изменения

ПРАВИТЕЛЬСТВО РОССИЙСКОЙ ФЕДЕРАЦИИ

ПОСТАНОВЛЕНИЕ
от 6 августа 2014 г. N 773

ОБ УТВЕРЖДЕНИИ ПРАВИЛ ПРЕДОСТАВЛЕНИЯ СУБСИДИЙ ИЗ ФЕДЕРАЛЬНОГО БЮДЖЕТА БЮДЖЕТАМ РЕСПУБЛИКИ КРЫМ И Г. СЕВАСТОПОЛЯ НА РЕАЛИЗАЦИЮ МЕРОПРИЯТИЙ РЕГИОНАЛЬНЫХ ПРОГРАММ МОДЕРНИЗАЦИИ ЗДРАВООХРАНЕНИЯ РЕСПУБЛИКИ КРЫМ И Г. СЕВАСТОПОЛЯ В 2015 ГОДУ

(в ред. Постановлений Правительства РФ от 26.12.2014 N 1526, от 29.05.2015 N 518, от 25.05.2016 N 464)

В целях повышения качества и доступности медицинской помощи в Республике Крым и г. Севастополе Правительство Российской Федерации постановляет:

1. Утвердить прилагаемые Правила предоставления субсидий из федерального бюджета бюджетам Республики Крым и г. Севастополя на реализацию мероприятий региональных программ модернизации здравоохранения Республики Крым и г. Севастополя в 2015 году. (в ред. Постановлений Правительства РФ от 26.12.2014 N 1526, от 29.05.2015 N 518)

2. В соответствии с пунктом 13 части 1 статьи 23 Федерального закона "О федеральном бюджете на 2014 год и на плановый период 2015 и 2016 годов" направить в установленном порядке бюджетные ассигнования, предусмотренные Министерству финансов Российской Федерации по подразделу "Общеэкономические вопросы" раздела "Национальная экономика" классификации расходов бюджетов, в размере 1931,7 млн. рублей Министерству здравоохранения Российской Федерации на финансовое обеспечение мероприятий региональных программ модернизации здравоохранения Республики Крым и г. Севастополя.

3. Министерству здравоохранения Российской Федерации и Министерству финансов Российской Федерации при формировании проекта федерального бюджета на 2015 год предусмотреть необходимые бюджетные ассигнования Министерству здравоохранения Российской Федерации на финансовое обеспечение мероприятий региональных программ модернизации здравоохранения Республики Крым и г. Севастополя в 2015 году в размере не менее 3863,3 млн. рублей.

4. Настоящее постановление вступает в силу с даты его подписания.

Председатель Правительства
Российской Федерации
Д.МЕДВЕДЕВ

УТВЕРЖДЕНЫ
постановлением Правительства
Российской Федерации
от 6 августа 2014 г. N 773

ПРАВИЛА ПРЕДОСТАВЛЕНИЯ СУБСИДИЙ ИЗ ФЕДЕРАЛЬНОГО БЮДЖЕТА БЮДЖЕТАМ РЕСПУБЛИКИ КРЫМ И Г. СЕВАСТОПОЛЯ НА РЕАЛИЗАЦИЮ МЕРОПРИЯТИЙ РЕГИОНАЛЬНЫХ ПРОГРАММ МОДЕРНИЗАЦИИ ЗДРАВООХРАНЕНИЯ РЕСПУБЛИКИ КРЫМ И Г. СЕВАСТОПОЛЯ В 2015 ГОДУ

(в ред. Постановлений Правительства РФ от 26.12.2014 N 1526, от 29.05.2015 N 518, от 25.05.2016 N 464)

1. Настоящие Правила устанавливают условия и порядок предоставления субсидий из федерального бюджета бюджетам Республики Крым и г. Севастополя на реализацию мероприятий региональных программ модернизации здравоохранения Республики Крым и г. Севастополя в 2015 году (далее соответственно - программы, субсидии). (в ред. Постановлений Правительства РФ от 26.12.2014 N 1526, от 29.05.2015 N 518)

2. Субсидии предоставляются в пределах бюджетных ассигнований, предусмотренных в федеральном законе о федеральном бюджете на текущий финансовый год и плановый период, и лимитов бюджетных обязательств, доведенных Министерству здравоохранения Российской Федерации на цели, указанные в пункте 3 настоящих Правил. (в ред. Постановления Правительства РФ от 29.05.2015 N 518)

3. Субсидии предоставляются в целях софинансирования расходных обязательств Республики Крым и г. Севастополя, связанных с реализацией мероприятий программ, на следующие цели: (в ред. Постановления Правительства РФ от 29.05.2015 N 518)

а) укрепление материально-технической базы государственных и муниципальных организаций здравоохранения, в том числе текущий и капитальный ремонт сооружений государственных и муниципальных организаций, приобретение медицинского оборудования, включая приобретение санитарного транспорта;

б) внедрение современных информационных систем в здравоохранение, в том числе федеральной электронной регистратуры, интегрированной электронной медицинской карты, подсистем ведения специализированных регистров пациентов в медицинских организациях в целях создания единой государственной информационной системы в сфере здравоохранения, перехода на полисы обязательного медицинского страхования единого образца, оснащение медицинских организаций телемедицинским оборудованием, оснащение санитарного автотранспорта бортовой аппаратурой спутниковой навигации ГЛОНАСС на базе многофункциональных приемных устройств, внедрение унифицированного программного решения для обеспечения функции диспетчеризации санитарного автотранспорта в целях повышения доступности медицинской помощи.

4. Условиями предоставления и расходования субсидий являются: (в ред. Постановления Правительства РФ от 29.05.2015 N 518)

а) наличие утвержденной высшим исполнительным органом государственной власти субъекта Российской Федерации программы с обоснованием стоимости ее мероприятий по направлениям, предусмотренным программой, включающей паспорт системы здравоохранения субъекта Российской Федерации, перечень и стоимость мероприятий, направленных на реализацию целей, указанных в пункте 3 настоящих Правил, достижение целевых значений индикаторов и показателей реализации программы; (в ред. Постановления Правительства РФ от 29.05.2015 N 518)

б) наличие предусмотренных в бюджетах Республики Крым и г. Севастополя на текущий финансовый год бюджетных ассигнований на финансовое обеспечение программ; (в ред. Постановления Правительства РФ от 26.12.2014 N 1526)

в-д) подпункты утратили силу. (в ред. Постановления Правительства РФ от 29.05.2015 N 518)

5. Министерство здравоохранения Российской Федерации заключает с высшими исполнительными органами государственной власти Республики Крым и г. Севастополя соглашение о предоставлении субсидии по форме, утверждаемой Министерством здравоохранения Российской Федерации (далее - соглашение), которое предусматривает: (в ред. Постановления Правительства РФ от 29.05.2015 N 518)

а) размер предоставляемой субсидии, порядок, условия и сроки ее перечисления в бюджет субъекта Российской Федерации, а также объем бюджетных ассигнований бюджета субъекта Российской Федерации на реализацию соответствующих расходных обязательств; (в ред. Постановления Правительства РФ от 29.05.2015 N 518)

б) значения показателей результативности использования субсидии и обязательства субъекта Российской Федерации по их достижению; (в ред. Постановления Правительства РФ от 29.05.2015 N 518)

в) реквизиты нормативного правового акта субъекта Российской Федерации, устанавливающего расходное обязательство субъекта Российской Федерации, в целях софинансирования которого предоставляется субсидия; (в ред. Постановления Правительства РФ от 29.05.2015 N 518)

г) сроки и порядок представления в соответствии с пунктом 10 настоящих Правил отчетности об осуществлении расходов бюджета субъекта Российской Федерации, источником финансового обеспечения которых является субсидия, а также о достижении значений показателей результативности использования субсидии; (в ред. Постановления Правительства РФ от 29.05.2015 N 518)

д) порядок осуществления контроля за выполнением субъектом Российской Федерации обязательств, предусмотренных соглашением; (в ред. Постановления Правительства РФ от 29.05.2015 N 518)

е) последствия недостижения субъектом Российской Федерации установленных значений показателей результативности использования субсидии. (в ред. Постановления Правительства РФ от 29.05.2015 N 518)

5.1. Внесение в соглашение изменений, предусматривающих ухудшение значений показателей результативности использования субсидии, а также увеличение сроков реализации предусмотренных соглашением мероприятий, не допускается в течение всего периода действия соглашения, за исключением случаев, если выполнение условий предоставления субсидии оказалось невозможным вследствие обстоятельств непреодолимой силы и изменения значений целевых показателей и индикаторов программ, а также в случае существенного (более чем на 20 процентов) сокращения размера субсидии. (в ред. Постановления Правительства РФ от 29.05.2015 N 518)

5.2. Объем бюджетных ассигнований бюджета субъекта Российской Федерации на финансирование расходного обязательства субъекта Российской Федерации, софинансируемого за счет субсидии, утверждается законом субъекта Российской Федерации о бюджете субъекта Российской Федерации исходя из необходимости достижения установленных соглашением значений показателей результативности использования субсидии. (в ред. Постановления Правительства РФ от 29.05.2015 N 518)

6. Распределение (перераспределение) субсидий между бюджетами Республики Крым и г. Севастополя утверждается Правительством Российской Федерации.

Абзац 2. - Утратил силу. (в ред. Постановления Правительства РФ от 29.05.2015 N 518)

7. В случае направления в письменной форме обращения высшего исполнительного органа государственной власти субъекта Российской Федерации об отсутствии потребности в субсидии средства могут быть перераспределены другому бюджету субъекта Российской Федерации, входящего в состав Крымского федерального округа, в соответствии с пунктом 7.2 настоящих Правил. (в ред. Постановления Правительства РФ от 29.05.2015 N 518)

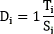
7.1. Размер субсидии, предоставляемой субъекту Российской Федерации, входящему в состав Крымского федерального округа (), и предусмотренной в текущем финансовом году на реализацию мероприятий программы, определяется по формуле: (в ред. Постановления Правительства РФ от 29.05.2015 N 518)

, (в ред. Постановления Правительства РФ от 29.05.2015 N 518)

где:

- объем бюджетных ассигнований федерального бюджета бюджетам Республики Крым и г. Севастополя на софинансирование расходных обязательств субъектов Российской Федерации, входящих в состав Крымского федерального округа, на реализацию мероприятий программ в текущем финансовом году; (в ред. Постановления Правительства РФ от 29.05.2015 N 518)

- численность населения субъекта Российской Федерации, входящего в состав Крымского федерального округа; (в ред. Постановления Правительства РФ от 29.05.2015 N 518)

- уровень расчетной бюджетной обеспеченности i-го субъекта Российской Федерации на очередной финансовый год, рассчитанный в соответствии с методикой распределения дотаций на выравнивание бюджетной обеспеченности субъектов Российской Федерации, утвержденной постановлением Правительства Российской Федерации от 22 ноября 2004 г. N 670 "О распределении дотаций на выравнивание бюджетной обеспеченности субъектов Российской Федерации"; (в ред. Постановления Правительства РФ от 29.05.2015 N 518)

n - количество субъектов Российской Федерации, входящих в состав Крымского федерального округа. (в ред. Постановления Правительства РФ от 29.05.2015 N 518)

7.2. Размер субсидии, предоставляемой бюджету i-го субъекта Российской Федерации в результате перераспределения субсидии между бюджетами субъектов Российской Федерации () в соответствии с пунктом 7 настоящих Правил, определяется по формуле: (в ред. Постановления Правительства РФ от 29.05.2015 N 518)

, (в ред. Постановления Правительства РФ от 29.05.2015 N 518)

где:

- высвобождаемый размер субсидии; (в ред. Постановления Правительства РФ от 29.05.2015 N 518)

- размер бюджетных ассигнований, предусмотренных в бюджете i-го субъекта Российской Федерации сверх установленного уровня софинансирования; (в ред. Постановления Правительства РФ от 29.05.2015 N 518)

- общий размер бюджетных ассигнований, предусмотренных в бюджете субъекта Российской Федерации сверх установленного уровня софинансирования. (в ред. Постановления Правительства РФ от 29.05.2015 N 518)

8. Для оценки эффективности использования субсидии применяются следующие показатели: (в ред. Постановления Правительства РФ от 29.05.2015 N 518)

а) младенческая смертность (на 1000 родившихся живыми);

б) доля выездов бригад скорой медицинской помощи со временем доезда до больного менее 20 минут в общем количестве выездов (процентов);

в) доля введенного в эксплуатацию медицинского оборудования в общем количестве запланированного к эксплуатации медицинского оборудования (процентов);

г) доля медицинских организаций, оснащенных медицинским оборудованием в рамках программы, в общем количестве медицинских организаций, запланированных к оснащению медицинским оборудованием (процентов);

д) фондовооруженность (тыс. рублей на 1 врача).

9. Оценка эффективности расходов бюджетов Республики Крым и г. Севастополя, источником финансового обеспечения которых являются субсидии, осуществляется Министерством здравоохранения Российской Федерации на основании значений показателей результативности использования субсидий, предусмотренных пунктом 8 настоящих Правил.

9.1. В случае если субъектом Российской Федерации по состоянию на 31 декабря года предоставления субсидии не достигнуты значения показателей результативности использования субсидии, предусмотренных соглашением в соответствии с подпунктом "б" пункта 5 настоящих Правил, и в срок до первой даты представления отчетности о достижении значений показателей результативности использования субсидии в соответствии с соглашением в году, следующем за годом предоставления субсидии, указанные нарушения не устранены, размер средств, подлежащий возврату из бюджета субъекта Российской Федерации в федеральный бюджет до 1 июня года, следующего за годом предоставления субсидии (), определяется по формуле: (в ред. Постановления Правительства РФ от 29.05.2015 N 518)

,

(в ред. Постановления Правительства РФ от 29.05.2015 N 518)

где:

- размер субсидии, предоставленной бюджету субъекта Российской Федерации; (в ред. Постановления Правительства РФ от 29.05.2015 N 518)

к - коэффициент возврата субсидии; (в ред. Постановления Правительства РФ от 29.05.2015 N 518)

m - количество показателей результативности использования субсидии, по которым индекс, отражающий уровень недостижения i-го показателя результативности использования субсидии, имеет положительное значение; (в ред. Постановления Правительства РФ от 29.05.2015 N 518)

n - общее количество показателей результативности использования субсидии. (в ред. Постановления Правительства РФ от 29.05.2015 N 518)

9.2. Коэффициент возврата субсидии определяется по формуле: (в ред. Постановления Правительства РФ от 29.05.2015 N 518)

, (в ред. Постановления Правительства РФ от 29.05.2015 N 518)

где

- индекс, отражающий уровень недостижения i-го показателя результативности использования субсидии. (в ред. Постановления Правительства РФ от 29.05.2015 N 518)

9.3. Индекс, отражающий уровень недостижения i-го показателя результативности использования субсидии, для показателей результативности использования субсидии, по которым большее значение фактически достигнутого значения отражает большую эффективность использования субсидии, определяется по формуле: (в ред. Постановления Правительства РФ от 29.05.2015 N 518)

,

(в ред. Постановления Правительства РФ от 29.05.2015 N 518)

где:

- фактически достигнутое значение i-го показателя результативности использования субсидии на отчетную дату; (в ред. Постановления Правительства РФ от 29.05.2015 N 518)

- плановое значение i-го показателя результативности использования субсидии, установленное соглашением. (в ред. Постановления Правительства РФ от 29.05.2015 N 518)

9.4. Индекс, отражающий уровень недостижения i-го показателя результативности использования субсидии, для показателей результативности использования субсидии, по которым большее значение фактически достигнутого значения отражает меньшую эффективность использования субсидии, определяется по формуле: (в ред. Постановления Правительства РФ от 29.05.2015 N 518)

.

(в ред. Постановления Правительства РФ от 29.05.2015 N 518)

9.5. Основанием для освобождения субъектов Российской Федерации от применения мер ответственности, указанных в пункте 9.1 настоящих Правил, является документально подтвержденное наступление обстоятельств непреодолимой силы, препятствующих исполнению соответствующих обязательств. (в ред. Постановления Правительства РФ от 29.05.2015 N 518)

Возврат и последующее использование средств, перечисленных из бюджетов субъектов Российской Федерации в федеральный бюджет в соответствии с пунктом 9.1 настоящих Правил, осуществляются по предложению Министерства здравоохранения Российской Федерации в порядке, установленном бюджетным законодательством Российской Федерации. (в ред. Постановления Правительства РФ от 29.05.2015 N 518)

9.6. Перечисление средств субсидии в бюджет субъекта Российской Федерации осуществляется на основании заявки высшего исполнительного органа государственной власти Республики Крым и г. Севастополя о перечислении субсидии, представляемой в Министерство здравоохранения Российской Федерации по форме и в срок, которые установлены Министерством здравоохранения Российской Федерации. (в ред. Постановления Правительства РФ от 29.05.2015 N 518)

В такой заявке указываются необходимый объем средств в пределах предусмотренной субсидии, расходное обязательство, на осуществление которого она предоставляется, и срок возникновения денежного обязательства субъекта Российской Федерации в целях исполнения соответствующего расходного обязательства. (в ред. Постановления Правительства РФ от 29.05.2015 N 518)

9.7. Информация об объемах и сроках перечисления субсидий учитывается Министерством здравоохранения Российской Федерации при формировании прогноза кассовых выплат по расходам федерального бюджета, необходимого для составления в установленном порядке кассового плана исполнения федерального бюджета. (в ред. Постановления Правительства РФ от 29.05.2015 N 518)

10. Уполномоченные органы исполнительной власти Республики Крым и г. Севастополя ежеквартально, не позднее 15-го числа месяца, следующего за отчетным, представляют в Министерство здравоохранения Российской Федерации отчет о реализации мероприятий программ и об исполнении условий предоставления субсидий в порядке и по форме, которые устанавливаются Министерством здравоохранения Российской Федерации. (в ред. Постановления Правительства РФ от 29.05.2015 N 518)

11. В случае нецелевого использования субсидии и (или) нарушения субъектом Российской Федерации условий предоставления субсидии к нему применяются бюджетные меры принуждения, предусмотренные бюджетным законодательством Российской Федерации. (в ред. Постановления Правительства РФ от 29.05.2015 N 518)

Решения о приостановлении перечисления (сокращении объема) субсидии бюджету субъекта Российской Федерации не принимаются в случае, если условия предоставления субсидии были не выполнены в силу обстоятельств непреодолимой силы. (в ред. Постановления Правительства РФ от 29.05.2015 N 518)

12. Не использованный на 1 января текущего финансового года остаток субсидий подлежит возврату в федеральный бюджет органами государственной власти Республики Крым и г. Севастополя, за которыми в соответствии с законодательными и иными нормативными правовыми актами закреплены источники доходов бюджетов Республики Крым и г. Севастополя по возврату остатков субсидий, в соответствии с требованиями, установленными бюджетным законодательством Российской Федерации. (в ред. Постановлений Правительства РФ от 26.12.2014 N 1526, от 29.05.2015 N 518)

В случае если неиспользованный остаток субсидий не перечислен в доход федерального бюджета, указанный остаток подлежит взысканию в доход федерального бюджета в порядке, предусмотренном Министерством финансов Российской Федерации. (в ред. Постановления Правительства РФ от 29.05.2015 N 518)

При наличии потребности в не использованном в отчетном финансовом году остатке субсидий указанные остатки в соответствии с решением Министерства здравоохранения Российской Федерации могут быть использованы в Республике Крым и г. Севастополе в текущем финансовом году на цели, предусмотренные пунктом 3 настоящих Правил, в порядке, установленном бюджетным законодательством Российской Федерации для осуществления расходов бюджета субъекта Российской Федерации, источником финансового обеспечения которых является субсидия. (в ред. Постановлений Правительства РФ от 26.12.2014 N 1526, от 29.05.2015 N 518)

13. Пункт утратил силу. (в ред. Постановления Правительства РФ от 29.05.2015 N 518)

14. Контроль за соблюдением органами исполнительной власти Республики Крым и г. Севастополя условий предоставления субсидий осуществляется Министерством здравоохранения Российской Федерации и федеральным органом исполнительной власти, осуществляющим функции по контролю и надзору в финансово-бюджетной сфере, в соответствии с установленными полномочиями. (в ред. Постановления Правительства РФ от 25.05.2016 N 464)

Приложение
к Правилам финансового обеспечения
за счет бюджетных ассигнований
федерального бюджета мероприятий
региональных программ модернизации
здравоохранения Республики Крым
и г. Севастополя в 2014 - 2015 годах

МЕТОДИКА РАСПРЕДЕЛЕНИЯ МЕЖДУ БЮДЖЕТАМИ РЕСПУБЛИКИ КРЫМ И Г. СЕВАСТОПОЛЯ СУБСИДИЙ ИЗ ФЕДЕРАЛЬНОГО БЮДЖЕТА НА РЕАЛИЗАЦИЮ МЕРОПРИЯТИЙ РЕГИОНАЛЬНЫХ ПРОГРАММ МОДЕРНИЗАЦИИ ЗДРАВООХРАНЕНИЯ РЕСПУБЛИКИ КРЫМ И Г. СЕВАСТОПОЛЯ В 2014 - 2015 ГОДАХ - Утратила силу. (в ред. Постановления Правительства РФ от 29.05.2015 N 518)