Государственный стандарт Союза ССР. система стандартов безопасности труда. Системы вентиляционные. Методы аэродинамических испытаний. ГОСТ 12.3.018-79

(утв. Постановлением Госстандарта СССР от 05.09.79 N 3341)
Редакция от 04.09.1979 — Действует с 01.01.1981

Введен
Постановлением Государственного комитета
СССР по стандартам
от 5 сентября 1979 г. N 3341

ГОСУДАРСТВЕННЫЙ СТАНДАРТ СОЮЗА ССР

СИСТЕМА СТАНДАРТОВ БЕЗОПАСНОСТИ ТРУДА

СИСТЕМЫ ВЕНТИЛЯЦИОННЫЕ

МЕТОДЫ АЭРОДИНАМИЧЕСКИХ ИСПЫТАНИЙ

Occupational safety standards system.
Ventilation systems.
Aerodynamic test methods

ГОСТ 12.3.018-79

Группа Т58

Дата введения
1 января 1981 года

Постановлением Государственного комитета СССР по стандартам от 5 сентября 1979 г. N 3341 срок введения установлен с 01.01.81.

Настоящий стандарт распространяется на аэродинамические испытания вентиляционных систем зданий и сооружений.

Стандарт устанавливает методы измерений и обработки результатов при проведении испытаний вентиляционных систем и их элементов для определения расходов воздуха и потерь давления.

1. МЕТОД ВЫБОРА ТОЧЕК ИЗМЕРЕНИЙ

1.1. Для измерения давлений и скоростей движения воздуха в воздуховодах (каналах) должны быть выбраны участки с расположением мерных сечений на расстояниях не менее шести гидравлических диаметров , м, за местом возмущения потока (отводы, шиберы, диафрагмы и т.п.) и не менее двух гидравлических диаметров перед ним.

При отсутствии прямолинейных участков необходимой длины допускается располагать мерное сечение в месте, делящем выбранный для измерения участок в отношении 3:1 в направлении движения воздуха.

Примечание. Гидравлический диаметр определяется по формуле

,

где F, м2, и П, м, соответственно, площадь и периметр сечения.

1.2. Допускается размещать мерное сечение непосредственно в месте внезапного расширения или сужения потока. При этом размер мерного сечения принимают соответствующим наименьшему сечению канала.

1.3. Координаты точек измерений давлений и скоростей, а также количество точек определяются формой и размерами мерного сечения по черт. 1 и 2. Максимальное отклонение координат точек измерений от указанных на чертежах не должно превышать +/- 10%. Количество измерений в каждой точке должно быть не менее трех.

Координаты точек измерения давлений и скоростей в воздуховодах цилиндрического сечения

Черт. 1

Координаты точек измерения давлений и скоростей в воздуховодах прямоугольного сечения

Черт. 2

1.4. При использовании анемометров время измерения в каждой точке должно быть не менее 10 с.

2. АППАРАТУРА

2.1. Для аэродинамических испытаний вентиляционных систем должна применяться следующая аппаратура:

а) комбинированный приемник давления - для измерения динамических давлений потока при скоростях движения воздуха более 5 м/с и статических давлений в установившихся потоках (черт. 3);

Основные размеры приемной части комбинированного приемника давления

* Диаметр d не должен превышать 8% внутреннего диаметра круглого или ширины (по внутреннему обмеру) прямоугольного воздуховода.

Черт. 3

б) приемник полного давления - для измерения полных давлений потока при скоростях движения воздуха более 5 м/с (черт. 4);

Основные размеры приемной части приемника полного давления

* Диаметр d не должен превышать 8% внутреннего диаметра круглого или ширины (по внутреннему обмеру) прямоугольного воздуховода.

Черт. 4

в) дифференциальные манометры класса точности от 0,5 до 1,0 по ГОСТ 11161-84, ГОСТ 18140-84 и тягомеры по ГОСТ 2648-78 - для регистрации перепадов давлений;

г) анемометры по ГОСТ 6376-74 и термоанемометры - для измерения скоростей воздуха менее 5 м/с;

д) барометры класса точности не ниже 1,0 - для измерения давления в окружающей среде;

е) ртутные термометры класса точности не ниже 1,0 по ГОСТ 13646-68 и термопары - для измерения температуры воздуха;

ж) психрометры класса точности не ниже 1,0 и психрометрические термометры по ГОСТ 112-78 - для измерения влажности воздуха.

Примечание. При измерениях скоростей воздуха, превышающих 5 м/с в потоках, где затруднено применение приемников давления, допускается использовать анемометры по ГОСТ 6376-74 и термоанемометры.

2.2. Конструкции приборов, применяемых для измерения скоростей и давлений запыленных потоков, должны позволять их очистку от пыли в процессе эксплуатации.

2.3. Для проведения аэродинамических испытаний в пожаровзрывоопасных производствах должны применяться приборы, соответствующие категории и группе производственных помещений.

3. ПОДГОТОВКА К ИСПЫТАНИЯМ

3.1. Перед испытаниями должна быть составлена программа испытаний с указанием цели, режимов работы оборудования и условий проведения испытаний.

3.2. Вентиляционные системы и их элементы должны быть проверены и обнаруженные дефекты устранены.

3.3. Показывающие приборы (дифференциальные манометры, психрометры, барометры и др.), а также коммуникации к ним следует располагать таким образом, чтобы исключить воздействие на них потоков воздуха, вибраций, конвективного и лучистого тепла, влияющих на показания приборов.

3.4. Подготовку приборов к испытаниям необходимо проводить в соответствии с паспортами приборов и действующими инструкциями по их эксплуатации.

4. ПРОВЕДЕНИЕ ИСПЫТАНИЙ

4.1. Испытания следует проводить не ранее чем через 15 мин после пуска вентиляционного агрегата.

4.2. При испытаниях, в зависимости от программы, измеряют:

барометрическое давление окружающей воздушной среды , кПа (кгс/см2);

температуру перемещаемого воздуха по сухому и влажному термометру, соответственно, t и , °C;

температуру воздуха в рабочей зоне помещения , °C;

динамическое давление потока воздуха в точке мерного сечения , кПа (кгс/м2);

статическое давление воздуха в точке мерного сечения , кПа (кгс/м2);

полное давление воздуха в точке мерного сечения ; кПа (кгс/м2);

время перемещения анемометра по площади мерного сечения , с;

число делений счетного механизма оборотов механического анемометра за время обвода сечения n.

Примечания:

1. Измерения статического или полного давлений производят при определении давления, развиваемого вентилятором, и потерь давления в вентиляционной сети или на ее участке.

2. Значение полного (p, кПа, кгс/см2) и статического (, кПа, кгс/м2) давлений представляют собой соответствующие перепады полных и статических давлений потока с барометрическим давлением окружающей среды. Перепад считается положительным, если соответствующее значение превышает давление окружающей среды, в противном случае p и - отрицательны.

4.3. При измерении давлений и скоростей потока в воздуховодах и расположении мерного сечения на прямолинейном участке длиной не менее 8 допускается проводить измерения статического давления потока воздуха и в отдельных точках сечения полного давления комбинированным приемником давления.

4.4. Зазоры между измерительными приборами и отверстиями, через которые они вводятся в закрытые каналы, должны быть уплотнены во время испытаний, а отверстия закрыты после проведения испытаний.

5. ОБРАБОТКА РЕЗУЛЬТАТОВ ИЗМЕРЕНИЙ

5.1. На основе величин, измеренных в соответствии с программой, определяют:

относительную влажность перемещаемого воздуха , %;

плотность перемещаемого воздуха , кг/м3 (кгс · с2/м4);

скорости движения воздуха v, м/с;

расход воздуха L, м3/с;

потери полного давления в вентиляционной сети или в отдельных ее элементах р, кПа (кгс/м2);

коэффициент потерь давления вентиляционной сети или ее элемента .

5.2. Относительную влажность перемещаемого воздуха определяют по показаниям сухого и влажного термометра в соответствии с паспортом прибора.

5.3. Плотность перемещаемого воздуха определяют по формуле

,

где - статическое или полное давление потока, измеренное комбинированным приемником давления или приемником полного давления в одной из точек мерного сечения;

- коэффициент, зависящий от температуры и влажности перемещаемого воздуха. Значение определяется по табл. 1.

Таблица 1

Зависимость коэффициента от температуры и влажности перемещаемого воздуха

t°, C 10   20 30 40 50
, % 50 100 50 100 50 100 50 100 50 100
0,998 1,003 1,000 1,005 1,004 1,012 1,010 1,025 1,020 1,040

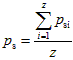
5.4. Динамическое давление , кПа (кгс/м2), средней скорости движения воздуха определяют по измеренным в z точках (черт. 1 или 2) комбинированным приемником давления величинам динамических давлений по формуле

.

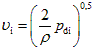
5.5. Скорость движения воздуха , м/с, в точке мерного сечения по измерениям динамического давления определяют согласно формуле

.

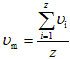
5.6. Среднюю скорость движения воздуха , м/с, в мерном сечении по измерениям динамического давления в z точках (по черт. 1 или 2) определяют по формуле

.

5.7. При измерениях анемометрами скорость движения воздуха в отдельных точках мерного сечения определяют по показаниям прибора n и графику индивидуальной тарировки прибора v(n); при этом среднюю скорость движения воздуха определяют по формуле

.

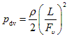
5.8. Объемный расход L, м3/с, воздуха определяют по формуле

.

5.9. Статическое давление потока в мерном сечении определяют по следующим формулам:

а) при измерениях полных и динамических давлений;

б) при измерениях статических давлений;

в) при измерениях скоростей потока и полных давлений.

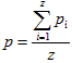
5.10. Полное давление p потока в мерном сечении рассчитывают по формулам

или .

5.11. Потери полного давления элемента сети определяют по формуле

,

где и - полные давления, определенные по п. 5.10, в мерных сечениях 1 и 2, расположенных соответственно на входе в элемент и на выходе из него.

5.12. Потери полного давления элемента сети, расположенного на входе в сеть, определяют по формуле

.

5.13. Потери полного давления элемента сети, расположенного на выходе из сети, определяют по формуле

.

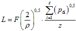
5.14. Коэффициент потерь давления элементов сети определяют по формуле

.

где - динамическое давление (по п. 5.4) в мерном сечении, выбранном в качестве характерного.

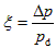
5.15. Динамическое давление , кПа (кгс/см2), вентилятора определяют по формуле

,

где - площадь выходного отверстия вентилятора.

5.16. Статическое давление , кПа (кгс/м2) вентилятора определяют по формуле

,

где и - соответственно статические давления в мерных сечениях 1 и 2 перед и за вентилятором, определенные по п. 5.9;

- динамическое давление в мерном сечении 1 на входе в вентилятор, определенное по п. 5.4.

5.17. Полное давление вентилятора , кПа (кгс/м2), равно суммарным потерям сети и определяется по формуле

.

Примечание. Безразмерные параметры, характеризующие аэродинамические свойства собственно вентилятора (его коэффициенты полного , статического и динамического давлений, а также коэффициент расхода воздуха ) определяют, если это предусмотрено программой испытаний, по формулам, приведенным в ГОСТ 10921-74.

5.18. В случаях, предусмотренных программой испытаний, производят расчет предельной погрешности определения расхода воздуха по результатам измерений. Порядок расчета при измерениях пневмометрическим насадком в сочетании с дифференциальным манометром дан в рекомендуемом Приложении 1.

6. ТРЕБОВАНИЯ БЕЗОПАСНОСТИ

6.1. При проведении аэродинамических испытаний вентиляционных систем должны соблюдаться требования безопасности согласно ГОСТ 12.4.021-75.

6.2. Проведение аэродинамических испытаний не должно ухудшать проветривание и приводить к скоплению взрывоопасной концентрации газов.

Приложение
Рекомендуемое

РАСЧЕТ ПОГРЕШНОСТЕЙ ИЗМЕРЕНИЯ РАСХОДА ВОЗДУХА КОМБИНИРОВАННЫМ ПРИЕМНИКОМ ДАВЛЕНИЯ В СОЧЕТАНИИ С ДИФФЕРЕНЦИАЛЬНЫМ МАНОМЕТРОМ

Из уравнений п. п. 4.3 - 4.8 следует:

Официальный источник электронного документа содержит неточность: имеются ввиду пункты 5.3 - 5.8.

.

При этом предельная относительная погрешность определения расхода воздуха в процентах выражается следующей формулой:

,

где - среднеквадратичная относительная погрешность, обусловленная неточностью измерений в процессе испытаний,

- предельная относительная погрешность определения расхода воздуха, связанная с неравномерностью распределения скоростей в мерном сечении; величины даны в табл. 1 настоящего Приложения.

Таблица 1

Предельная относительная погрешность , вызванная неравномерностью распределения скоростей в мерном сечении

Форма мерного сечения Число точек измерений , %, при расстоянии от места возмущения потока до мерного сечения в гидравлических диаметрах
1 2 3 5 >5
Круг 4 20 16 12 6 3
8 16 12 10 5 2
12 12 8 6 3 2
Прямоугольник 4 24 20 15 8 4
16 12 8 6 3 2

Величина представляется в виде:

,

где - среднеквадратичная погрешность определения размеров мерного сечения, зависящая от гидравлического диаметра воздуховода; при 100 мм 300 мм величина =3%, при > 300 мм =2%;

, , - среднеквадратичные погрешности измерений соответственно динамического давления потока, барометрического давления , температуры t потока, величины , , даны в табл. 2 настоящего Приложения.

Пользуясь табл. 1 и 2 и приведенными формулами, вычисляют предельную погрешность определения расхода воздуха.

Таблица 2

Среднеквадратичные погрешности , , показаний приборов

Показание прибора в долях длины шкалы , , , %, для приборов класса точности
10 0,5
1,00 +/- 0,5 +/- 0,25
0,75 +/- 0,7 +/- 0,24
0,50 +/- 1,0 +/- 0,5
0,25 +/- 2,0 +/- 1,0
0,10 +/- 5,0 +/- 2,5
0,05 +/- 10,0 +/- 5,0

Пример. Мерное сечение расположено на расстоянии 3-х диаметров за коленом воздуховода диаметром 300 мм (т.е. =3%). Измерения производят комбинированным приемником давления в 8-ми точках мерного сечения (т.е. по табл. 1 =10%). Класс точности приборов (дифманометр, барометр, термометр) - 1,0. Отсчеты по всем приборам производятся примерно в середине шкалы, т.е. по табл. 2,===1,0%. Предельная относительная погрешность измерения расхода воздуха составит:

.