Приказ ФСТ РФ от 09.07.2014 N 1142-Э

"Об утверждении Положения об определении формулы цены газа"
Редакция от 24.03.2015 — Действует с 17.05.2015
Показать изменения

Зарегистрировано в Минюсте России 21 июля 2014 г. N 33164


ФЕДЕРАЛЬНАЯ СЛУЖБА ПО ТАРИФАМ

ПРИКАЗ
от 9 июля 2014 г. N 1142-э

ОБ УТВЕРЖДЕНИИ ПОЛОЖЕНИЯ ОБ ОПРЕДЕЛЕНИИ ФОРМУЛЫ ЦЕНЫ ГАЗА

(в ред. Приказов ФСТ РФ от 22.08.2014 N 1318-э, от 24.03.2015 N 49-э/7)

В соответствии с постановлением Правительства Российской Федерации от 28 мая 2007 года N 333 "О совершенствовании государственного регулирования цен на газ" (Собрание законодательства Российской Федерации, 2007, N 23, ст. 2798; 2011, N 8, ст. 1109) приказываю:

1. Утвердить Положение об определении формулы цены газа согласно приложению к настоящему приказу.

2. Признать утратившими силу:

- пункт 1 приказа ФСТ России от 14 июля 2011 года N 165-э/2 "Об утверждении Положения об определении формулы цены газа" (зарегистрирован Минюстом России 10 августа 2011 года, регистрационный N 21593);

- приказ ФСТ России от 10 ноября 2011 года N 263-э/1 "О внесении изменений и дополнений в Положение об определении формулы цены газа, утвержденное приказом Федеральной службы по тарифам от 14 июля 2011 года N 165-э/2" (зарегистрирован Минюстом России 28 ноября 2011 года, регистрационный N 22414);

- приказ ФСТ России от 21 августа 2012 года N 203-э/4 "О внесении изменений в Положение об определении формулы цены газа, утвержденное приказом ФСТ России от 14 июля 2011 года N 165-э/2" (зарегистрирован Минюстом России 27 сентября 2012 года, регистрационный N 25554);

- приказ ФСТ России от 20 ноября 2012 года N 270-э/2 "О внесении изменений в Приложение 1 к Положению об определении формулы цены газа, утвержденному приказом Федеральной службы по тарифам от 14 июля 2011 года N 165-э/2" (зарегистрирован Минюстом России 13 декабря 2012 года, регистрационный N 26119);

- приказ ФСТ России от 21 мая 2013 года N 97-э/2 "О внесении изменений и дополнений в Положение об определении формулы цены газа, утвержденное приказом Федеральной службы по тарифам от 14 июля 2011 года N 165-э/2" (зарегистрирован Минюстом России 1 июля 2013 года, регистрационный N 28937);

- приказ ФСТ России от 6 марта 2014 года N 299-э "О внесении изменений в Положение об определении формулы цены газа, утвержденное приказом Федеральной службы по тарифам от 14 июля 2011 года N 165-э/2" (зарегистрирован Минюстом России 19 марта 2014 года, регистрационный N 31643).

3. Настоящий приказ вступает в силу в установленном порядке.

Руководитель
Федеральной службы по тарифам
С.НОВИКОВ

Приложение 1
к приказу
Федеральной службы по тарифам
от 9 июля 2014 г. N 1142-э

ПОЛОЖЕНИЕ ОБ ОПРЕДЕЛЕНИИ ФОРМУЛЫ ЦЕНЫ ГАЗА

(в ред. Приказа ФСТ РФ от 24.03.2015 N 49-э/7)

I. Общие положения

1. Положение об определении формулы цены газа (далее - Положение) разработано на основании постановления Правительства Российской Федерации от 28 мая 2007 года N 333 "О совершенствовании государственного регулирования цен на газ" (Собрание законодательства Российской Федерации, 2007, N 23, ст. 2798; 2011, N 8, ст. 1109), а также в соответствии с Основными положениями формирования и государственного регулирования цен на газ, тарифов на услуги по его транспортировке и платы за технологическое присоединение газоиспользующего оборудования к газораспределительным сетям на территории Российской Федерации, утвержденными постановлением Правительства Российской Федерации от 29 декабря 2000 года N 1021 (Собрание законодательства Российской Федерации, 2001, N 2, ст. 175; 2002, N 21, ст. 2001; 2006, N 50, ст. 5354; 2007, N 23, ст. 2798; 2008, N 50, ст. 5971; 2009, N 5, ст. 618; N 30, ст. 3842; 2010, N 49, ст. 6520; 2011, N 8, ст. 1109; N 35, ст. 5078; N 48, ст. 6943; 2012, N 6, ст. 682; N 17, ст. 1997; 2013, N 47, ст. 6104; 2014, N 2 (часть I), ст. 137; N 18, (часть IV), ст. 2185; официальный интернет-портал правовой информации http://www.pravo.gov.ru, 26.06.2014, N 0001201406250020) (далее - Основные положения).

2. Настоящее Положение определяет формулу, по которой определяется размер оптовых цен на газ (далее - цены на газ), добываемый ОАО "Газпром" и его аффилированными лицами в рамках Единой системы газоснабжения (далее - ЕСГ), поставляемый потребителям Российской Федерации (кроме населения и потребителей Российской Федерации, в отношении которых применяются принципы государственного регулирования, предусмотренные пунктами 15.1 - 15.3 Основных положений). (в ред. Приказа ФСТ РФ от 24.03.2015 N 49-э/7)

В соответствии с настоящим Положением рассчитываются цены на газ, применяемые при реализации газа поставщиками (газоснабжающими организациями) непосредственно конечным потребителям, использующим газ в качестве топлива и (или) сырья, или организациям для дальнейшей продажи конечным потребителям:

- на выходе из системы магистрального газопроводного транспорта;

- на входе в газораспределительные сети (в случае отсутствия в схеме поставки газа магистральных газопроводов);

- на входе в приемную емкость, технологически связанную с газораспределительными сетями или с сетями конечного потребителя, для последующего хранения сжиженного природного газа и его регазификации (в случае применения в процессе поставки технологий по сжижению газа).

3. Формула цены газа основывается на принципе поэтапного достижения в переходный период равной доходности поставок газа потребителям Российской Федерации и потребителям, находящимся за пределами территорий государств - участников Содружества Независимых Государств и учитывает стоимость альтернативных видов топлива.

II. Общие подходы к формированию цен на газ, определяемых по формуле цены газа

4. Дифференциация цен на газ осуществляется с учетом особенностей, приведенных в пунктах 6 - 8 настоящего Положения, по ценовым поясам, определяемых в административных границах субъектов Российской Федерации.

5. В случае если показатели средней протяженности транспортировки газа от мест добычи (производства) газа до точек выхода из системы магистральных газопроводов на территории смежных субъектов Российской Федерации, и (или) показатели их социально-экономического развития являются схожими, то на базе указанных субъектов Российской Федерации формируется один ценовой пояс.

6. При определении состава ценовых поясов ФСТ России также учитываются:

- маршрутизация потоков газа, предназначенного для потребителей, расположенных на территории субъекта Российской Федерации;

- стоимость и степень использования альтернативных видов топлива;

- наличие на территории субъекта Российской Федерации обособленных друг от друга участков системы газоснабжения.

7. Регионы, поставка газа в которые осуществляется в результате проведения работ по расширению ЕСГ и для которых регулируемые оптовые цены на газ впервые были установлены не ранее 1 января 2007 г., выделяются в отдельные ценовые пояса. При поэтапной газификации субъектов Российской Федерации в результате проведения работ по расширению ЕСГ вновь газифицированная территория на определенном этапе проведения газификации может выделяться в отдельный ценовой пояс.

8. Цены рассчитываются для следующих стандартных параметров газа:

- температура t = 20 °C;

- давление p = 760 мм рт. ст.;

- влажность = 0%;

- расчетная объемная теплота сгорания = 7900 ккал/м3 (33080 кДж/м3).

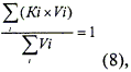
В случае отклонения фактической объемной теплоты сгорания от 7900 ккал/м3 (33080 кДж/м3) перерасчет цен на газ осуществляется по следующей формуле:

где:

- рассчитанная по формуле (2) цена для i-ого ценового пояса, руб./тыс. м3;

- фактическая объемная теплота сгорания газа, ккал/м3 (кДж/м3);

- расчетная объемная теплота сгорания газа, ккал/м3 (кДж/м3).

9. Цены рассчитываются по формуле (2) в рублях на 1000 м3 газа без учета налога на добавленную стоимость и округляются с точностью до рубля по следующему правилу: 50 и более копеек округляются в сторону увеличения, а 49 и менее копеек - в сторону уменьшения.

III. Определение цен на газ

10. Цены на газ определяются дифференцированно по ценовым поясам по следующей формуле:

где:

- средняя по ЕСГ расчетная цена на газ, обеспечивающая равную доходность поставок газа потребителям Российской Федерации и потребителям, находящимся за пределами территорий государств - участников Содружества Независимых Государств, руб./тыс. м3;

- понижающий коэффициент, обеспечивающий соответствие изменения роста цен на газ средним параметрам ежегодного изменения цен на газ, поставляемый потребителям Российской Федерации (кроме населения);

- коэффициент дифференциации, отражающий отклонение цены для i-го ценового пояса относительно средней по ЕСГ расчетной цены на газ, обеспечивающей равную доходность поставок газа потребителям Российской Федерации и потребителям, находящимся за пределами территорий государств - участников Содружества Независимых Государств, с учетом понижающего коэффициента, доли единиц.

11. Понижающий коэффициент, а также коэффициенты дифференциации устанавливаются с точностью до четвертого знака после запятой.

12. При применении понижающего коэффициента к цене равной доходности поставок газа потребителям Российской Федерации и потребителям, находящимся за пределами территорий государств - участников Содружества Независимых Государств, средневзвешенный уровень дифференцированных по ценовым поясам цен на газ не должен превышать средний уровень цен, определенных на основании устанавливаемых Правительством Российской Федерации средних параметров ежегодного изменения цен на газ <*>.

<*> Постановление Правительства Российской Федерации от 31 декабря 2010 года N 1205 "О совершенствовании государственного регулирования цен на газ" (Собрание законодательства Российской Федерации, 2011, N 8, ст. 1109; 2013, N 4, ст. 294; 2014, N 18 (часть IV), ст. 2185; официальный интернет-портал правовой информации http://www.pravo.gov.ru, 26.06.2014, N 0001201406250020).

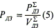
13. Средняя по ЕСГ расчетная цена на газ, обеспечивающая равную доходность поставок газа потребителям Российской Федерации и потребителям, находящимся за пределами территорий государств - участников Содружества Независимых Государств, руб./тыс. м3 (), определяется по следующей формуле:

где:

- расчетная цена реализации газа за пределы территорий государств - участников Содружества Независимых Государств, руб./тыс. м3;

- ставка экспортной таможенной пошлины на газ, %;

- величина расходов на транспортировку и хранение газа при его реализации за пределы территорий государств - участников Содружества Независимых Государств, руб./тыс. м3;

- разница между средней стоимостью транспортировки газа от мест добычи до границы Российской Федерации и средней стоимостью транспортировки газа от мест добычи до потребителей Российской Федерации, руб./тыс. м3.

14. Расчетная цена реализации газа за пределы территорий государств - участников Содружества Независимых Государств () определяется по следующей формуле:

где:

М - средняя цена на мазут с содержанием серы 1 процент; (в ред. Приказа ФСТ РФ от 24.03.2015 N 49-э/7)

G - средняя цена на газойль с содержанием серы 0,1 процента; (в ред. Приказа ФСТ РФ от 24.03.2015 N 49-э/7)

- обменный курс рубля к доллару США, установленный Банком России на последний день периода расчета среднеарифметических значений цен мазута (М) и газойля (G).

15. Величина расходов на транспортировку и хранение газа при его реализации за пределы территорий государств - участников Содружества Независимых Государств (), выраженная в рублях (на 1000 м3 газа), определяется по следующей формуле:

где:

- расходы на транспортировку и хранение газа при его реализации за пределы территорий государств - участников Содружества Независимых Государств, млн. руб.;

- объем реализации газа за пределы территорий государств - участников Содружества Независимых Государств, млн. м3.

16. Разница между средней стоимостью транспортировки газа от мест добычи до границы Российской Федерации и средней стоимостью транспортировки газа от мест добычи до потребителей Российской Федерации определяется по следующей формуле:

где:

- средняя стоимость транспортировки газа, предназначенного для потребителей, расположенных за пределами территории Российской Федерации и государств - участников соглашений о Таможенном союзе, руб./тыс. м3;

- средняя стоимость транспортировки газа, предназначенного для потребителей, расположенных в пределах территории Российской Федерации, руб./тыс. м3.

Средняя стоимость транспортировки газа определяется исходя из соответствующих значений средних расстояний по транспортировке газа, добываемого ОАО "Газпром" и его аффилированными лицами, по магистральным газопроводам по территории Российской Федерации и ставок (удельных ставок) тарифов на услуги по транспортировке газа по магистральным газопроводам, установленных ФСТ России на период расчета оптовых цен на газ.

Средние расстояния по транспортировке газа, добываемого ОАО "Газпром" и его аффилированными лицами, по магистральным газопроводам по территории Российской Федерации определяются как средневзвешенные величины расстояний, принятых ФСТ России на соответствующий год при установлении ставок за пользование магистральными газопроводами тарифов на транспортировку газа независимых производителей по системе магистральных газопроводов, входящей в ЕСГ.

17. Понижающий коэффициент () рассчитывается по следующей формуле:

где:

- средняя по ЕСГ расчетная цена на газ (кроме населения и потребителей, указанных в пункте 15.1 Основных положений) на рассматриваемый период, рассчитанная с учетом определенного Правительством Российской Федерации среднего параметра изменения цен на газ для всех категорий потребителей, кроме населения, руб./тыс. м3.

18. Коэффициент дифференциации для i-го ценового пояса на год применения цен в переходный период определяется ФСТ России с учетом:

- необходимости достижения соответствия и единства в подходах к определению цен и регулируемых тарифов на услуги по транспортировке газа и их изменению в зависимости от удаленности ценовых поясов (зон выхода) от мест добычи (производства) газа, а также необходимости формирования сходных параметров социально-экономического развития территорий, не имеющих административных границ с другими субъектами Российской Федерации и не относящихся к территориям островов Российской Федерации и наиболее близко расположенных к ним субъектов Российской Федерации;

- средних удельных затрат на добычу (производство), транспортировку и хранение газа для газоснабжения потребителей конкретного ценового пояса;

- возможного темпа изменения цен для конкретного ценового пояса в году применения цен;

- цен на альтернативные топливно-энергетические ресурсы и цен на газ независимых поставщиков в ценовом поясе.

При установлении коэффициентов дифференциации должно выполняться условие, установленное следующей формулой:

где: - объем реализации газа в i-ом ценовом поясе, млн. м3.

19. Пункт исключен. (в ред. Приказа ФСТ РФ от 24.03.2015 N 49-э/7)

19. Перечень показателей, необходимых для проведения расчета цен на газ по формуле цены газа, с указанием периодичности и источников их получения, с указанием базовых периодов за (на) который определяются значения показателей, приведены в приложениях 1 и 2 к настоящему Положению. (в ред. Приказа ФСТ РФ от 24.03.2015 N 49-э/7)

Приложение 1
к Положению
об определении формулы цены
газа, утвержденному приказом
Федеральной службы по тарифам
от 9 июля 2014 г. N 1142-э

ПОКАЗАТЕЛИ, ПРИМЕНЯЕМЫЕ ПРИ РАСЧЕТЕ ОПТОВОЙ ЦЕНЫ НА ГАЗ ПО ФОРМУЛЕ

(в ред. Приказов ФСТ РФ от 22.08.2014 N 1318-э, от 24.03.2015 N 49-э/7)

Показатели Единицы измерения Источник/метод определения показателя Период, за/на который определяется значение показателя
Средняя цена на мазут с содержанием серы 1 процент доллар США/за 1 метрическую тонну определяется как среднее арифметическое средних месячных цен на мазут <*> за девять месяцев, отсчитываемых перед двухмесячным периодом, который предшествует расчетному периоду, в течение которого оптовые цены на газ не меняются (расчетный период)
(в ред. Приказа ФСТ РФ от 24.03.2015 N 49-э/7)
Минимальная и максимальная цена на мазут за каждый день торгов соответствующего месяца доллар США/за 1 метрическую тонну по информации котировальных агентств
(в ред. Приказа ФСТ РФ от 24.03.2015 N 49-э/7)
Средняя цена на газойль с содержанием серы 0,1 процента доллар США/за 1 метрическую тонну определяется как среднее арифметическое средних месячных цен на газойль <*>
(в ред. Приказов ФСТ РФ от 22.08.2014 N 1318-э, от 24.03.2015 N 49-э/7)
Минимальная и максимальная цена на газойль за каждый день торгов соответствующего месяца доллар США/за 1 метрическую тонну по информации котировальных агентств
(в ред. Приказа ФСТ РФ от 24.03.2015 N 49-э/7)
Официальный курс рубля к доллару США рубль/доллар США установленный Банком России на последний день периода, за который определяются среднеарифметические значения цен мазута (M) и газойля (G)
Ставка экспортной таможенной пошлины на газ % утвержденная в установленном порядке действующее значение на момент установления ФСТ России размера понижающего коэффициента
величина расходов на транспортировку и хранение газа при его реализации за пределы территорий государств - участников Содружества Независимых Государств рублей/тыс. м3 определяется в соответствии с п. 15 настоящего Положения фактические данные за 4 полных квартала до месяца установления ФСТ России размера понижающего коэффициента, а если расчет размера понижающего коэффициента производится в первом месяце квартала, то фактические данные за 4 полных квартала, отсчитываемых от завершившегося квартала
расходы на транспортировку и хранение газа при его реализации за пределы территорий государств - участников Содружества Независимых Государств, осуществляемые за пределы Российской Федерации млн. рублей фактические данные фактические данные за 4 полных квартала до месяца установления ФСТ России размера понижающего коэффициента, а если расчет размера понижающего коэффициента производится в первом месяце квартала, то фактические данные за 4 полных квартала, отсчитываемых от завершившегося квартала
объем реализации газа за пределы территорий государств - участников Содружества Независимых Государств млрд. м3 фактические данные фактические данные за 4 полных квартала до месяца установления ФСТ России размера понижающего коэффициента, а если расчет размера понижающего коэффициента производится в первом месяце квартала, то фактические данные за 4 полных квартала, отсчитываемых от завершившегося квартала
понижающий коэффициент, обеспечивающий соответствие изменения роста цен на газ средним параметрам ежегодного изменения цен на газ, поставляемый потребителям Российской Федерации (кроме населения) доли единиц определяется в соответствии с п. 17 настоящего Положения на расчетный период
коэффициент дифференциации, отражающий отклонение цены для i-того ценового пояса относительно средней по ЕСГ расчетной цены на газ рублей/тыс. м3 определяется в соответствии с п. 18 настоящего Положения на расчетный период
разница между средней стоимостью транспортировки газа от мест добычи до границы Российской Федерации и средней стоимостью транспортировки газа от мест добычи до потребителей Российской Федерации определяется в соответствии с п. 16 настоящего Положения на расчетный период
(в ред. Приказа ФСТ РФ от 24.03.2015 N 49-э/7)
средние расстояния по транспортировке газа, добываемого ОАО "Газпром" и его аффилированными лицами, соответственно на экспорт и на внутренний рынок по магистральным газопроводам по территории Российской Федерации км определяются как средневзвешенные величины расстояний, принятых ФСТ России на соответствующий период регулирования при установлении ставок за пользование магистральными газопроводами тарифов на услуги по транспортировке газа по магистральным газопроводам ОАО "Газпром" для независимых организаций на расчетный период
ставки (удельные ставки) тарифов на услуги по транспортировке газа по магистральным газопроводам утвержденные ФСТ России на расчетный период

<*> Средняя месячная цена на мазут или газойль рассчитывается как среднее арифметическое значение цен на мазут или газойль за все дни торгов в соответствующем месяце, рассчитанных в свою очередь как среднее арифметическое между минимальной и максимальной ценой за каждый день торгов по котировкам BARGES FOB ARA (поставка на условиях FOB Амстердам - Роттердам - Антверпен судами вместимостью до 50000 баррелей) (в ред. Приказа ФСТ РФ от 24.03.2015 N 49-э/7)

Приложение 2
к Положению
об определении формулы цены
газа, утвержденному Приказом
Федеральной службы по тарифам
от 9 июля 2014 г. N 1142-э

ПОКАЗАТЕЛИ, ПРЕДОСТАВЛЯЕМЫЕ ОРГАНИЗАЦИЯМИ, ОСУЩЕСТВЛЯЮЩИМИ РЕГУЛИРУЕМЫЕ ВИДЫ ДЕЯТЕЛЬНОСТИ

(в ред. Приказа ФСТ РФ от 24.03.2015 N 49-э/7)

Показатели Единицы измерения Периодичность представления данных Источник получения данных Срок предоставления данных
Расходы на транспортировку и хранение газа при его реализации за пределы территорий государств - участников Содружества Независимых Государств, осуществляемые за пределами Российской Федерации млн. рублей за 4 полных квартала до месяца установления ФСТ России размера понижающего коэффициента, а если расчет размера понижающего коэффициента производится в первом месяце квартала, то фактические данные за 4 полных квартала, отсчитываемых от завершившегося квартала ОАО "Газпром" 40 дней по истечении периода, за который предоставляется информация
объем реализации газа за пределы территорий государств - участников Содружества Независимых Государств млн м3 за 4 полных квартала до месяца установления ФСТ России размера понижающего коэффициента, а если расчет размера понижающего коэффициента производится в первом месяце квартала, то фактические данные за 4 полных квартала, отсчитываемых от завершившегося квартала ОАО "Газпром" 40 дней по истечении периода, за который предоставляется информация
(в ред. Приказа ФСТ РФ от 24.03.2015 N 49-э/7)