Приказ Минсельхоза РФ от 07.05.2015 N 176

"Об утверждении Методики учета водных биологических ресурсов, о выпускаемых в водные объекты рыбохозяйственного значения"
Редакция от 07.05.2015 — Действует с 04.08.2015

Зарегистрировано в Минюсте России 22 июля 2015 г. N 38152


МИНИСТЕРСТВО СЕЛЬСКОГО ХОЗЯЙСТВА РОССИЙСКОЙ ФЕДЕРАЦИИ

ПРИКАЗ
от 7 мая 2015 г. N 176

ОБ УТВЕРЖДЕНИИ МЕТОДИКИ УЧЕТА ВОДНЫХ БИОЛОГИЧЕСКИХ РЕСУРСОВ, О ВЫПУСКАЕМЫХ В ВОДНЫЕ ОБЪЕКТЫ РЫБОХОЗЯЙСТВЕННОГО ЗНАЧЕНИЯ

В соответствии с пунктом 10 Правил организации искусственного воспроизводства водных биологических ресурсов, утвержденных постановлением Правительства Российской Федерации от 12 февраля 2014 г. N 99 (Собрание законодательства Российской Федерации, 2014, N 8, ст. 800), приказываю:

Утвердить прилагаемую Методику учета водных биологических ресурсов, выпускаемых в водные объекты рыбохозяйственного значения.

Министр
А.Н. ТКАЧЕВ

Приложение
к приказу Минсельхоза России
от 7 мая 2015 г. N 176

МЕТОДИКА УЧЕТА ВОДНЫХ БИОЛОГИЧЕСКИХ РЕСУРСОВ, ВЫПУСКАЕМЫХ В ВОДНЫЕ ОБЪЕКТЫ РЫБОХОЗЯЙСТВЕННОГО ЗНАЧЕНИЯ

I. Общие положения

1. Настоящая Методика учета водных биологических ресурсов (далее - водные биоресурсы), выпускаемых в водные объекты рыбохозяйственного значения (далее - Методика), определяет методы учета водных биоресурсов, выпускаемых в водные объекты рыбохозяйственного значения в целях осуществления искусственного воспроизводства водных биоресурсов.

2. Учет выпуска водных биоресурсов осуществляется в присутствии не менее 2 членов комиссии по учету молоди рыб (далее - комиссия) уполномоченным лицом из числа сотрудников рыбоводного хозяйства <1>.

Членами комиссии при выпуске водных биоресурсов используются технические средства фиксации, в том числе видеофиксация. Результаты указанной фиксации подлежат передаче в Федеральное агентство по рыболовству посредством почтового отправления или в форме электронного документа, подписанного усиленной квалифицированной электронной подписью.

<1> Пункт 9 статьи 2 Федерального закона от 2 июля 2013 г. N 148-ФЗ "Об аквакультуре (рыбоводстве) и о внесении изменений в отдельные законодательные акты Российской Федерации".

II. Методы учета выпускаемых водных биоресурсов и их применение

3. Учет выпускаемых водных биоресурсов производится следующими методами:

а) сплошным;

б) повременным;

в) бонитировочным;

г) расчетным.

Метод учета выпускаемых водных биоресурсов определяется территориальным управлением Росрыболовства, на территории осуществления полномочий которого осуществляется выпуск водных биоресурсов, на основании рекомендаций научно-исследовательских организаций, подведомственных Росрыболовству.

4. Результаты учета выпускаемых водных биоресурсов оформляются в виде карточек учета водных биоресурсов в письменной форме или в форме электронного документа, подписанного усиленной квалифицированной электронной подписью.

5. Средняя штучная навеска выпускаемых водных биоресурсов оформляется в виде карточки определения средней штучной навески выпускаемых водных биоресурсов, которая подписывается уполномоченным лицом рыбоводного хозяйства и присутствующими при выпуске соответствующих водных биоресурсов членами комиссии.

Карточка определения средней штучной навески выпуска водных биоресурсов должна содержать следующие сведения:

а) вид выпускаемых водных биоресурсов;

б) наименование территориального управления Росрыболовства, на территории осуществления полномочий которого осуществляется выпуск водных биоресурсов;

в) сведения о рыбоводном хозяйстве:

наименование (для юридического лица и крестьянского (фермерского) хозяйства, созданного в качестве юридического лица) или фамилия, имя, (при наличии) отчество (для индивидуального предпринимателя и крестьянского (фермерского) хозяйства, созданного без образования юридического лица);

место нахождения и адрес (для юридического лица и крестьянского (фермерского) хозяйства, созданного в качестве юридического лица) или место жительства (для индивидуального предпринимателя и крестьянского (фермерского) хозяйства, созданного без образования юридического лица);

г) наименование водного объекта рыбохозяйственного значения;

д) номер пруда, бассейна, садка, водного объекта, приспособленных для разведения и (или) содержания, выращивания водных биоресурсов (далее - выростные сооружения);

е) номер карточки учета;

ж) дата выпуска водных биоресурсов;

з) время взятия пробы;

и) данные контрольной пробы (общая масса (в граммах), количество штук в контрольной пробе, средняя штучная навеска (в граммах));

к) недостатки в работе по учету водных биоресурсов, рекомендации по их устранению.

Метод сплошного учета

6. Метод сплошного учета предусматривает определение количества выпускаемых водных биоресурсов с применением емкости с определенными характеристиками (объем, вес), с помощью которых проводится учет объема, веса и количества выпускаемых водных биоресурсов (далее - мерная емкость) (объемной или весовой) либо поштучно.

7. Применяемая мерная емкость должна быть не менее 0,2 - 0,5 литра (для измерения объема) или 0,2-0,5 килограмма (для измерения веса). При проведении учета сплошным объемным или сплошным весовым методами в первой и каждой десятой по счету емкости просчитывается количество водных биоресурсов и определяется средняя арифметическая величина количества водных биоресурсов в мерной емкости.

8. Учет водных биоресурсов сплошным методом начинается при достижении водными биоресурсами массы, при которой осуществляется их выпуск в водные объекты рыбохозяйственного значения в целях осуществления искусственного воспроизводства водных биоресурсов, указанной в планах искусственного воспроизводства водных биоресурсов (далее - нормативная навеска).

9. Сплошной метод учета имеет следующие виды:

а) сплошной поштучный метод учета - осуществляется путем прямого подсчета выпускаемых водных биоресурсов (применим к небольшим партиям водных биоресурсов размером от 15 грамм и выше).

б) сплошной объемный метод учета - осуществляется с помощью мерной емкости заданного объема, которой производится отбор проб водных биоресурсов, при этом определяется среднее количество водных биоресурсов в каждой десятой мерной емкости.

Общее количество выпускаемых водных биоресурсов определяется произведением средней арифметической величины количества водных биоресурсов в мерной емкости на количество учтенных емкостей выпускаемых водных биоресурсов.

в) сплошной весовой метод учета - водные биоресурсы помещаются без счета в установленную на весы емкость с водой, вес которой известен, производится взвешивание водных биоресурсов, после чего количество выпускаемых водных биоресурсов рассчитывается делением вычисленного веса водных биоресурсов на среднештучную массу выпускаемых водных биоресурсов.

10. Результаты учета выпускаемых водных биоресурсов сплошным методом оформляются в табличной форме в виде карточки учета водных биоресурсов, которая подписывается уполномоченным лицом рыбоводного хозяйства и присутствующими при выпуске соответствующих водных биоресурсов членами комиссии.

Карточка учета выпускаемых водных биоресурсов сплошным методом должна содержать следующие сведения:

а) вид выпускаемых водных биоресурсов;

б) наименование территориального управления Росрыболовства, на территории осуществления полномочий которого осуществляется выпуск водных биоресурсов;

в) сведения о рыбоводном хозяйстве:

наименование (для юридического лица и крестьянского (фермерского) хозяйства, созданного в качестве юридического лица) или фамилия, имя, (при наличии) отчество (для индивидуального предпринимателя и крестьянского (фермерского) хозяйства, созданного без образования юридического лица);

место нахождения и адрес (для юридического лица и крестьянского (фермерского) хозяйства, созданного в качестве юридического лица) или место жительства (для индивидуального предпринимателя и крестьянского (фермерского) хозяйства, созданного без образования юридического лица);

г) наименование водного объекта рыбохозяйственного значения;

д) номер выростного сооружения;

е) номер карточки учета;

ж) дата выпуска водных биоресурсов;

з) время выпуска;

и) количество выпущенных водных биоресурсов при поштучном и объемно-весовом способах учета;

к) количество выпущенных водных биоресурсов (в тысячах штук);

л) количество водных биоресурсов посторонних видов (при наличии такой информации);

м) недостатки в работе по учету водных биоресурсов, рекомендации по их устранению.

Повременный метод учета

11. Повременный метод учета предусматривает определение количества выпускаемых водных биоресурсов в течение всего времени спуска воды из выростного сооружения с применением приспособлений для технического обеспечения учета количества и качества (веса) выпускаемых водных биоресурсов, устанавливаемое в створе спускного канала выростного сооружения (далее - учетное устройство (ловушка)), позволяющих отбирать пробы через определенный интервал времени.

12. Периодичность взятия проб устанавливается комиссией, в зависимости от интенсивности ската водных биоресурсов из выростного сооружения, но не реже одной пробы через каждые 2 часа.

Продолжительность взятия пробы устанавливается комиссией, в зависимости от интенсивности ската водных биоресурсов, ее среднего веса и применяемого учетного устройства (ловушки), но не менее одной минуты. В период повышенной интенсивности ската водных биоресурсов допускается устанавливать продолжительность взятия пробы 30 секунд.

13. Учетное устройство (ловушку) для взятия проб следует устанавливать в водной толще, пересчитывая соотношение площади гидротехнического сооружения, предназначенного для сосредоточения и кратковременного выдерживания выращенных водных биоресурсов, к площади сечения воды поочередно в каждом из открытых пролетов шлюзов (сбросных каналов).

14. Вся проба взвешивается (при повременном весовом методе) или измеряется (при повременном объемном методе) мерной емкостью. Если она не превышает 0,5 кг, то обрабатывается вся проба, если в пробе окажется более 0,5 кг, то после взвешивания или измерения всей пробы отвешивается и обрабатывается 0,1 - 0,5 кг от этой пробы в зависимости от видового состава и морфометрических (размерно-весовых) показателей водных биоресурсов. Количество водных биоресурсов при этом не должно быть менее 100 штук.

15. Проба сортируется и пересчитывается по выпускаемым видам водных биоресурсов с определением их процентного соотношения. Затем определяется количество водных биоресурсов, скатившихся за 1 минуту, и пересчитывается на периодичность взятия проб.

16. Общее количество водных биоресурсов за сутки определяется путем сложения результатов, полученных для каждого интервала.

17. При повременном методе учета пробы берутся круглосуточно с двухчасовым интервалом с 23 часов предыдущих до 23 часов последующих суток. При работе в шлюзе неполные сутки подсчет ведется за фактическое время спуска.

18. Для определения количества водных биоресурсов, скатившихся за сутки, применяется формула:

,

где:

- количество водных биоресурсов, скатившихся за сутки;

120 - временной интервал, мин.;

- величина минутной пробы в 23 часа предыдущих суток;

- сумма минутных проб в учетные сутки за часы, указанные в индексе;

- величина минутной пробы в 23 часа последующих суток.

19. Количество водных биоресурсов, выпускаемых за весь период выпуска, определяется по формуле:

,

где:

- количество водных биоресурсов, выпускаемых за весь период выпуска;

- сумма суточных показаний.

20. Количество учтенных водных биоресурсов подсчитывается ежедневно по имеющимся часовым пробам (средняя минутная проба определяется путем интерполяции смежных проб и умножается на интервал между взятием проб, выраженный в часах).

21. Учет водных биоресурсов, чувствительных к механическим воздействиям, проводится повременным методом с часовым интервалом взятия проб (минутная экспозиция).

22. Количество водных биоресурсов, выпущенных за сутки, определяется по формуле:

,

где:

- численность водных биоресурсов, выпущенных за сутки, экз.;

60 - временной интервал, мин.;

- количество водных биоресурсов, учтенных за сутки (определяется по результатам 24 проб экспозицией 1 минута, проводимых с часовым интервалом), экз.

23. Общее количество выпущенных водных биоресурсов определяется по формуле:

,

где:

- общее количество выпущенных водных биоресурсов;

- сумма суточных показаний;

- численность водных биоресурсов, выпущенных за сутки, экз.

24. Результаты учета водных биоресурсов повременным методом учета оформляются в табличной форме в виде карточки учета водных биоресурсов, которая подписывается уполномоченным лицом рыбоводного хозяйства и присутствующими при выпуске соответствующих водных биоресурсов членами комиссии.

Карточка учета водных биоресурсов повременным методом учета должна содержать следующие сведения:

а) вид выпускаемых водных биоресурсов;

б) наименование территориального управления Росрыболовства, на территории осуществления полномочий которого осуществляется выпуск водных биоресурсов;

в) сведения о рыбоводном хозяйстве:

наименование (для юридического лица и крестьянского (фермерского) хозяйства, созданного в качестве юридического лица) или фамилия, имя, (при наличии) отчество (для индивидуального предпринимателя и крестьянского (фермерского) хозяйства, созданного без образования юридического лица);

место нахождения и адрес (для юридического лица и крестьянского (фермерского) хозяйства, созданного в качестве юридического лица) или место жительства (для индивидуального предпринимателя и крестьянского (фермерского) хозяйства, созданного без образования юридического лица);

г) наименование водного объекта рыбохозяйственного значения;

д) номер выростного сооружения;

е) номер карточки учета;

ж) дата выпуска водных биоресурсов;

з) единицы измерения;

и) виды учетных устройств;

к) площадь входного отверстия ловушки, площадь живого сечения шлюза;

л) время взятия пробы (часы);

м) величина пробы (масса/количество) в кг/штуках;

н) продолжительность взятия пробы, интервалы между взятием двух последующих проб;

о) общее количество водных биоресурсов (в тысячах штук), выпущенных за интервал (в том числе разводимых по видам);

п) коэффициент пересчета;

р) недостатки в работе по учету водных биоресурсов, рекомендации по их устранению.

Бонитировочный метод учета

25. Бонитировочный метод учета производится перед выпуском водных биоресурсов. В выростном сооружении устанавливаются зоны учета. Пробы отбираются с помощью орудий добычи (вылова) с учетом коэффициентов уловистости орудий добычи (вылова) водных биоресурсов, которые определяются в соответствии с приложениями N 1 и N 2 к Методике.

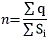
26. Добыча (вылов) водных биоресурсов из выростных сооружений с использованием сетных орудий добычи (вылова) (далее - облов) производится в зонах учета одновременно или последовательно в течение одного рабочего дня. На основе анализа отобранных проб, с учетом коэффициентов уловистости орудий добычи (вылова) водных биоресурсов рассчитывается количество водных биоресурсов в водном объекте рыбохозяйственного значения, применяя формулу:

,

где:

Р - количество водных биоресурсов на данной площади, шт.;

Si - площадь исследуемой акватории, га;

Sn - площадь участка облова орудием добычи (вылова) за одно или несколько приближений орудий добычи (вылова) с добытыми (выловленными) водными биоресурсами к пункту учета водных биоресурсов (притонение), га;

К - коэффициент уловистости орудий добычи (вылова) водных биоресурсов (0,1 - 0,3);

С - количество водных биоресурсов на площади облова, шт.

27. Площадь участка облова определяется в зависимости от способа проведения облова и размера орудия добычи (вылова).

28. Бонитировочный метод учета имеет следующие виды:

а) бонитировочный метод учета с использованием ихтиологической съемки, либо выборочного метода обследования водного объекта рыбохозяйственного значения с помощью орудий добычи (вылова) водных биоресурсов предполагает перед началом учета проведения рекогносцировочного обследования водоема с целью выделения зон, однородных по концентрации водных биоресурсов. В каждой выделенной зоне намечается не менее 20 - 30 участков облова, разметку участков по площади водоема следует осуществлять по возможности равномерно. Накануне учета на участках облова устанавливаются пронумерованные вешки. Облов в зонах учета производится несколькими бригадами, по возможности, одновременно или в очень короткие сроки (в течение 3-4 часов). Количество пойманных водных биоресурсов распределяется с помощью мерной емкости. Водные биоресурсы из каждой мерной емкости упаковываются в марлевую тару, снабжаются этикеткой и фиксируется в 4-6% растворе формалина. На этикетке указывается номер участка облова, дата и время облова, водный объект рыбохозяйственного значения, глубина в месте добычи (вылова) водных биоресурсов, улов водных биоресурсов (указывается, что зафиксирован весь улов водных биоресурсов или его часть).

На основании данных первичной обработки материалов, количество выпускаемых водных биоресурсов определяется статистическими способами.

б) бонитировочный метод учета, основанный на обловах прудов неводами и тралами с учетом коэффициента уловистости применяется при достижении молоди нормативной навески. Перед началом учета молоди намечаются границы участка облова, они распределяются равномерно по площади прудов, согласно их форме и отмечаются на дамбах вешками высотой в 1 м. Пруды должны быть наполнены водой до нормального подпорного уровня. В случае спорной ситуации по расположению участков облова, либо при отсутствии установленных вешек, участки облова намечаются комиссией с учетом формы прудов и равномерности распределения участков облова. Для пруда, независимо от его площади, определяется не менее 10 участков обловов. Обловы проводятся в светлое время суток.

29. Общее количество водных биологических ресурсов в водном объекте рыбохозяйственного значения определяется по формуле:

,

где:

- общее количество водных биоресурсов, тыс. шт.;

n - количество водных биоресурсов в единице обловленной площади, шт.;

S - площадь водного объекта, м2;

к - коэффициент уловистости орудия добычи (вылова) водных биоресурсов;

При этом n определяется как:

,

где:

q - улов водных биоресурсов за одно траление, шт.;

Si - площадь одного траления, м2.

где:

d - ширина раскрытия крыльев орудия добычи (вылова), м;

L - длина пройденного орудием добычи (вылова) пути, м.

30. Результаты учета водных биоресурсов бонитировочным методом учета оформляются в табличной форме в виде карточки учета водных биоресурсов, которая подписывается уполномоченным лицом рыбоводного хозяйства и присутствующими при выпуске водных биоресурсов членами комиссии.

Карточка учета водных биоресурсов бонитировочным методом должна содержать следующие сведения:

а) вид выпускаемых водных биоресурсов;

б) наименование территориального управления Росрыболовства, на территории осуществления полномочий которого осуществляется выпуск водных биоресурсов;

в) сведения о рыбоводном хозяйстве:

наименование (для юридического лица и крестьянского (фермерского) хозяйства, созданного в качестве юридического лица) или фамилия, имя, (при наличии) отчество (для индивидуального предпринимателя и крестьянского (фермерского) хозяйства, созданного без образования юридического лица);

место нахождения и адрес (для юридического лица и крестьянского (фермерского) хозяйства, созданного в качестве юридического лица) или место жительства (для индивидуального предпринимателя и крестьянского (фермерского) хозяйства, созданного без образования юридического лица);

г) номер выростного сооружения;

д) номер карточки учета;

е) дата выпуска водных биоресурсов;

ж) наименование водного объекта рыбохозяйственного значения и его площадь;

з) наименование показателей;

и) единицы измерения;

к) количество тралений;

л) площадь облова;

м) общее количество добытых (выловленных) водных биоресурсов (в тысячах штук, в том числе по видам водных биоресурсов);

н) коэффициент уловистости орудия добычи (вылова) водных биоресурсов;

о) общее количество водных биологических ресурсов в водном объекте рыбохозяйственного значения (в тысячах штук, в том числе по видам водных биоресурсов).

Расчетный метод учета

31. Учет молоди тихоокеанских лососей ведется расчетным методом путем вычитания отхода икры, молоди тихоокеанских лососей от количества заложенной икры.

32. При расчетном весовом методе учета количество икры в партии определяется следующим образом:

а) определение общего веса икры в партии за вычетом веса тары;

б) определение навески икры в контрольной пробе.

33. Общий вес контрольной пробы для каждой партии сбора не менее 300 грамм. Контрольная проба состоит из отдельных проб весом не менее 100 грамм, взятых из каждого инкубационного аппарата.

34. Для партий количеством до 100 тыс. шт. допускается взятие одной контрольной пробы не менее 100 грамм в целях:

а) определения количества икры в контрольной пробе поштучным просчетом;

б) определения веса одной икринки (вес контрольной пробы разделить на количество икры в пробе);

в) определения количества икры в партии делением общего веса партии икры на вес икринки.

35. При расчетном объемном методе учета количество икры в партии определяется умножением количества мерных емкостей на количество икринок в мерной емкости. Определение икринок в мерной емкости определяется поштучным просчетом.

Отход икры, молоди тихоокеанских лососей учитывается поштучным методом учета, если величина его незначительна (до 1 - 2 тыс. штук), или объемно-весовым методом. При массовой гибели молоди тихоокеанских лососей определяется отход на 1 м и делается пересчет на всю площадь, где наблюдается гибель.

36. Результаты учета молоди тихоокеанских лососей расчетным методом учета оформляются в табличной форме в виде карточки учета выпуска молоди тихоокеанских лососей, которая подписывается уполномоченным лицом рыбоводного хозяйства и присутствующими при выпуске молоди тихоокеанских лососей членами комиссии.

Карточка учета выпуска молоди тихоокеанских лососей расчетным методом должна содержать следующие сведения:

а) вид тихоокеанских лососей, молодь которых выпускается;

б) наименование территориального управления Росрыболовства, на территории осуществления полномочий которого осуществляется выпуск молоди тихоокеанских лососей;

в) сведения о рыбоводном хозяйстве:

наименование (для юридического лица и крестьянского (фермерского) хозяйства, созданного в качестве юридического лица) или фамилия, имя, (при наличии) отчество (для индивидуального предпринимателя и крестьянского (фермерского) хозяйства, созданного без образования юридического лица);

место нахождения и адрес (для юридического лица и крестьянского (фермерского) хозяйства, созданного в качестве юридического лица) или место жительства (для индивидуального предпринимателя и крестьянского (фермерского) хозяйства, созданного без образования юридического лица);

г) номер карточки учета;

д) наименование водного объекта рыбохозяйственного значения;

е) дата начала и конца выпуска молоди тихоокеанских лососей (с указанием количества суток, в течение которых производился выпуск);

ж) номер партии выпуска;

з) количество выпускаемой молоди тихоокеанских лососей (в тысячах штук);

и) средняя штучная навеска (в граммах);

к) температура воды (в выростном сооружении и водном объекте рыбохозяйственного значения);

л) ихтиопатологическое состояние молоди тихоокеанских лососей.

Приложение N 1
к Методике учета водных
биологических ресурсов, выпускаемых
в водные объекты рыбохозяйственного
значения, утвержденной приказом
Минсельхоза России
от 7 мая 2015 г. N 176

КОЭФФИЦИЕНТЫ УЛОВИСТОСТИ ОРУДИЙ ДОБЫЧИ (ВЫЛОВА) ВОДНЫХ БИОЛОГИЧЕСКИХ РЕСУРСОВ

Количество молоди, полученное при облове, экз/м2 Белуга Осетр Севрюга Стерлядь
0,1 0,18 0,14 0,15 0,11
0,2 0,19 0,14 0,17 0,12
0,3 0,19 0,14 0,19 0,12
0,4 0,2 0,14 0,22 0,13
0,5 0,21 0,15 0,24 0,14
0,6 0,22 0,16 0,25 0,14
0,7 0,23 0,17 0,26 0,15
0,8 0,23 0,18 0,27 0,16
0,9 0,24 0,19 0,28 0,16
1,0 0,25 0,20 0,29 0,17
1,1 0,26 0,21 0,30 0,18
1,2 0,26 0,21 0,31 0,19
1,3 0,27 0,23 0,31 0,19
1,4 0,28 0,24 0,32 0,20
1,5 0,29 0,24 0,33 0,20
1,6 0,30 0,25 0,34 0,21
1,7 0,30 0,26 0,34 0,21
1,8 0,31 0,26 0,35 0,22
1,9 0,32 0,27 0,35 0,23
2,0 0,33 0,27 0,36 0,24
2,1 0,33 0,28 0,36 0,25
2,2 0,34 0,29 0,37 0,25
2,3 0,35 0,29 0,37 0,26
2,4 0,36 0,30 0,38 0,26
2,5 0,37 0,30 0,38 0,27
2,6 0,37 0,31 0,39 0,27
2,7 0,38 0,31 0,39 0,28
2,8 0,39 0,32 0,40 0,28
2,9 0,40 0,32 0,40 0,29
3,0 0,41 0,33 0,40 0,31
3,1 0,41 0,33 0,41 0,31
3,2 0,42 0,34 0,41 0,32
3,3 0,43 0,34 0,42 0,32
3,4 0,44 0,35 0,42 0,33
3,5 0,44 0,35 0,42 0,34
3,6 0,45 0,35 0,43 0,35
3,7 0,46 0,36 0,43 0,35
3,8 0,47 0,36 0,43 0,36
3,9 0,48 0,37 0,44 0,37
4,0 0,48 0,37 0,44 0,38
4,1 0,50 0,37 0,44 0,38
4,2 0,50 0,38 0,44 0,38
4,3 0,51 0,38 0,45 0,39
4,4 0,51 0,39 0,45 0,40
4,5 0,52 0,39 0,45 0,41
5,0 0,58 0,41 0,47 0,45

Приложение N 2
к Методике учета водных
биологических ресурсов, выпускаемых
в водные объекты рыбохозяйственного
значения, утвержденной приказом
Минсельхоза России
от 7 мая 2015 г. N 176

ПОПРАВКА КОЭФФИЦИЕНТА УЛОВИСТОСТИ ОРУДИЙ ДОБЫЧИ (ВЫЛОВА) ВОДНЫХ БИОЛОГИЧЕСКИХ РЕСУРСОВ

N п/п Количество молоди, полученное при облове, шт/м2 Поправочный коэффициент, К
1 0,01 - 0,04 0,01
2 0,05 - 0,09 0,02
3 0,1 - 0,14 0,03
4 0,15 - 0,19 0,035
5 0,2 - 0,24 0,04
6 0,25 - 0,29 0,05
7 0,3 - 0,34 0,06
8 0,35 - 0,39 0,07
9 0,4 - 0,44 0,08
10 0,45 - 0,49 0,09
11 0,5 - 0,54 0,1
12 0,55 - 0,59 0,11
13 0,6 - 0,64 0,12
14 0,65 - 0,69 0,13
15 0,7 - 0,74 0,14
16 0,75 - 0,79 0,15
17 0,8 - 0,84 0,16
18 0,85 - 0,89 0,17
19 0,9 - 0,94 0,18
20 0,95 - 0,99 0,19
21 1,0 и более 0,2