Зерно. Методы определения зараженности вредителями. ГОСТ 13586.6-93

(утв. Постановлением Госстандарта РФ от 02.06.94 N 160)
Редакция от 02.06.1994 — Действует с 01.01.1995

Данный документ приведен с учетом Поправки, опубликованной в ИУС "Государственные стандарты", N 12, 1999, Поправки, введенной в действие с 18.06.2019.


МЕЖГОСУДАРСТВЕННЫЙ СТАНДАРТ

ЗЕРНО

МЕТОДЫ ОПРЕДЕЛЕНИЯ ЗАРАЖЕННОСТИ ВРЕДИТЕЛЯМИ

Grain. Methods for determination of infested grain

ГОСТ 13586.6-93

Дата введения 1995-01-01

Предисловие

1 РАЗРАБОТАН Госстандартом России

ВНЕСЕН Техническим секретариатом Межгосударственного Совета по стандартизации, метрологии и сертификации

2 ПРИНЯТ Межгосударственным Советом по стандартизации, метрологии и сертификации 21 октября 1993 г.

За принятие проголосовали:

Наименование государства Наименование национального органа по стандартизации
Армения Минэкономразвития Республики Армения
Киргизская Республика Киргизстандарт
Республика Молдова Молдовастандарт
Российская Федерация Госстандарт России
Республика Таджикистан Таджикгосстандарт
Туркменистан Главная государственная инспекция Туркменистана
Украина Госстандарт Украины

3 Постановлением Комитета Российской Федерации по стандартизации, метрологии и сертификации от 2 июня 1994 г. N 160 межгосударственный стандарт ГОСТ 13586.6-93 введен в действие непосредственно в качестве государственного стандарта Российской Федерации с 1 января 1995 г.

4 ВЗАМЕН ГОСТ 13586.4-83 в части определения зараженности зерна и семян бобовых культур в явной и скрытой формах

5 ПЕРЕИЗДАНИЕ

ИНФОРМАЦИОННЫЕ ДАННЫЕ

ССЫЛОЧНЫЕ НОРМАТИВНО-ТЕХНИЧЕСКИЕ ДОКУМЕНТЫ

Обозначение НТД, на который дана ссылка Номер пункта
ГОСТ 545-76 2.1
ГОСТ 2263-79 2.1
ГОСТ 4232-74 2.1
ГОСТ 9285-78 2.1
ГОСТ 12430-68 1.2.4
ГОСТ 13586.3-83 1.2.3, 1.2.4
ГОСТ 25706-83 1.3
ТУ 23.2.2068-89 1.3

Настоящий стандарт распространяется на зерновые и зернобобовые культуры, предназначенные для продовольственных, кормовых и технических целей, и устанавливает методы определения зараженности вредителями для зерновых в явной форме и зернобобовых культур в явной и скрытой формах.

Под зараженностью зерна понимают присутствие живых вредителей (насекомых и клещей) во всех стадиях развития в межзерновой массе зерна.

1 МЕТОД ОПРЕДЕЛЕНИЯ ЗАРАЖЕННОСТИ ЗЕРНА ВРЕДИТЕЛЯМИ ПУТЕМ ПРОСЕИВАНИЯ СРЕДНИХ ПРОБ

1.1 Сущность метода

Сущность метода заключается в просеивании средней пробы зерна, отобранной в соответствии с требованиями настоящего стандарта, на лабораторном рассеве VI-ЕРЗ или вручную на наборе сит, подсчете обнаруженных живых вредителей отдельно по видам и установлении суммарной плотности заражения зерна вредителями.

Основные виды вредителей зерна приведены в приложении 1.

1.2 Отбор проб

1.2.1 Отбор зерна, хранящегося насыпью на площадках и складах

В секции насыпи зерна площадью 200 м2 ГОСТ 13586.6-93 Зерно. Метод определения зараженности вредителями точечные пробы отбирают складским щупом в шести точках поверхности на расстоянии 2,5 м от границ секции, края площадки или стен склада при обязательном прохождении двух точек по гребню насыпи.

Точечные пробы зерна в каждой точке схемы отбирают с глубины 10 см и глубины от 50 до 100 см.

Объединенная проба, отобранная от каждой секции насыпи зерна, должна быть не менее 2 кг.

1.2.2 Отбор проб зерна, хранящегося в силосах элеватора

Из полностью загруженных силосов элеватора точечные пробы отбирают складским щупом из верхнего слоя: с глубины 10 см и глубины от 50 до 100 см в количестве 1 кг и из нижнего слоя: при выпуске зерна от струи перемещаемого зерна в местах перепада механическим пробоотборником или специальным ковшом по 100 г от каждой тонны первых 10 выпускаемых тонн.

Из частично загруженных силосов элеватора точечные пробы отбирают при выпуске зерна от струи перемещаемого зерна в местах перепада механическим пробоотборником или специальным ковшом по 100 г от каждой тонны первых 20 выпускаемых тонн.

Объединенная проба, отобранная от каждого силоса элеватора, должна быть не менее 2 кг.

1.2.3 Отбор проб зерна, хранящегося в мешках

Объем выборки мешков с зерном, из которых должен быть проведен отбор точечных проб на зараженность, устанавливают в соответствии с требованиями ГОСТ 13586.3 по табл.2.

Мешки из штабеля отбирают от наружных слоев; при этом в выборку должны всегда включаться четыре верхних угловых мешка, наиболее подверженные заражению вредителями.

Из каждого мешка, попавшего в выборку, точечные пробы отбирают закрытым мешочным щупом в трех доступных точках мешка.

Объединенная проба зерна, отобранная от мешков, должна быть не менее 2 кг.

1.2.4 Отбор проб зерна, транспортируемого насыпью в автомобилях, вагонах, трюмах и танках судов

Отбор точечных проб зерна на зараженность из автомобилей проводят в соответствии с требованиями ГОСТ 13586.3.

Точечные пробы зерна на зараженность из вагона при погрузке и выгрузке зерна отбирают от струи перемещаемого зерна в местах перепада механическим пробоотборником или специальным ковшом путем пересечения струи через равные промежутки времени в течение всего периода перемещения зерна. Объединенная проба должна быть не менее 2 кг.

Пробы зерна на зараженность из трюмов и танков судов при транспортировании зерна морским или речным путем отбирают по ГОСТ 12430.

1.2.5 Если масса объединенной пробы не превышает (2,0 ± 0,1) кг, то такая проба одновременно является и средней пробой.

Если масса объединенной пробы превышает (2,0 ± 0,1) кг, то проводят с помощью делителя выделение средней пробы из объединенной пробы.

1.2.6 Упаковка и маркировка средних проб зерна, отобранных для определения зараженности

Средние пробы зерна помещают в мешочки из плотной ткани, завязывающиеся шнурком, или в любую плотно закрывающуюся тару, препятствующую выползанию насекомых и клещей.

Для маркировки средних проб используют этикетки из бумаги, которые через имеющиеся в них отверстия прикрепляют к горловине мешочка. Допускается вкладывать этикетки внутрь мешочка или плотно закрывающейся тары с пробой.

На маркировке указывают, что данная средняя проба предназначена для определения зараженности зерна.

Отобранные для определения зараженности зерна средние пробы должны быть подвергнуты анализу не позднее чем через 48 ч после отбора во избежание возможной гибели вредителей.

Для транспортировки средние пробы должны быть упакованы в защитную упаковку (металлические банки с плотно закрывающимися крышками или тканевые мешочки с полиэтиленовыми вкладышами).

1.3 Аппаратура

Весы лабораторные общего назначения с допускаемой погрешностью взвешивания ± 10 г.

Лабораторный рассев VI-EP3.

Комплект лабораторных сит из решетного полотна по ТУ 23.2.2068 с круглыми отверстиями диаметром 1,5 и 2,5 мм и диаметром обечаек 30 см.

Доска анализная (с черным и белым стеклом).

Лупа зерновая по ГОСТ 25706 с кратностью увеличения 4-5 раз.

Часы песочные по НТД на 1 или 2 мин.

Термометр.

Шпатель.

Совочек.

Кисточки или щетки-сметки.

1.4 Проведение испытания

1.4.1 Просеивание средних проб на рассеве VI-EP3

1.4.1.1 Подготовку рассева VI-EP3 к работе и приведение его в рабочее состояние осуществляют в соответствии с требованиями и порядком, указанными в паспорте.

Непосредственно перед просеиванием контролируют последовательность установки по нумерации от 1 до 7 маркированных рамок и поддонов в ситовом пакете рассева VI-EP3 и положение бункера рассева, который должен быть опущен.

1.4.1.2 Среднюю пробу взвешивают и помещают в бункер рассева VI-EP3. Включают шнур питания рассева в розетку и следят за тем, чтобы на корпусе устройства загорелась красная лампочка. Устанавливают экспозицию просеивания пробы зерна, равную 180 с, на реле времени рассева. Включают кнопку “Пуск" и следят за просеиванием. По истечении установленного времени рассев автоматически отключается.

1.4.1.3 Поднимают ручку рассева (пантограф) и из ситового пакета вынимают поддон, маркированный цифрой 2.

Содержимое поддона высыпают на черное стекло анализной доски и рассматривают с помощью лупы. Обнаруженных живых клещей и подвижных мелких насекомых подсчитывают отдельно по видам. Затем собирают вместе всех неподвижных клещей и насекомых и подогревают их дыханием в течение 5 - 10 с или теплом электролампы с целью активизации. Активизированных в результате этой процедуры подвижных живых клещей и мелких насекомых также подсчитывают отдельно по видам.

Результаты обоих подсчетов суммируют отдельно по видам.

1.4.1.4 Затем вынимают поддон, маркированный цифрой 6. Содержимое поддона высыпают на белое стекло анализной доски и разбирают вручную с помощью шпателя. Подсчет обнаруженных живых подвижных насекомых и активизированных насекомых проводят согласно п.1.4.1.3.

1.4.1.5 После выполнения определения из поддона, маркированного цифрой 7, удаляют чистое зерно, очищают поддоны и ситовые рамки кисточками-сметками и формируют ситовой пакет рассева VI-EP3 для следующего определения зараженности зерна.

1.4.2 Просеивание средних проб на наборе сит вручную

1.4.2.1 Среднюю пробу взвешивают и помещают на набор сит с отверстиями диаметром 2,5 и 1,5 мм. Осуществляют просеивание пробы в течение 2 мин вручную при не менее 120 круговых движениях в минуту. Время просеивания контролируют по песочным часам.

1.4.2.2 Сход с сита с отверстиями диаметром 2,5 мм помещают на белое стекло анализной доски и разбирают вручную с помощью шпателя. Обнаруженных живых подвижных насекомых и клещей подсчитывают отдельно по видам. Затем собирают вместе всех неподвижных насекомых и клещей и подогревают их дыханием в течение 5-10 с или теплом электролампы с целью активизации. Активизированных в результате этой процедуры подвижных живых насекомых подсчитывают отдельно по видам.

1.4.2.3 Проход сита с отверстиями диаметром 2,5 мм высыпают на белое стекло анализной доски и также разбирают с помощью шпателя. Подсчет обнаруженных живых и активизированных насекомых проводят согласно п.1.4.2.2.

1.4.2.4 Затем рассыпают тонким слоем на черном стекле анализной доски проход сита с отверстиями диаметром 1,5 мм и рассматривают его с помощью лупы.

Подсчет обнаруженных и активизированных живых клещей и мелких насекомых проводят согласно п.1.4.2.2.

После выполнения определения проводят очистку сит и поддона кисточками или щетками-сметками.

1.5 Обработка результатов

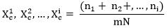
1.5.1 Среднюю плотность заражения зерна каждым видом вредителя (), выражаемую количеством экземпляров одного вида вредителей в 1 кг зерна, вычисляют по формуле

, (1)

где - количество вредителей одного вида, обнаруженное в средних пробах, экз.;

m - масса средней пробы, кг;

N - количество средних проб, отобранных от партии, шт

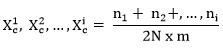
Среднюю плотность заражения зерна, хранящегося насыпью на площадках и в складах, вычисляют по формуле

, (2)

где 2 - коэффициент, учитывающий неравномерность распределения вредителей в насыпи зерна.

Среднюю плотность заражения зерна вычисляют до второго десятичного знака и округляют до первого десятичного знака следующим образом: если первая из отбрасываемых цифр (считая слева направо) меньше 5, то последняя сохраняемая цифра не меняется, если равна или более 5, то увеличивается на единицу.

1.5.2 Суммарную плотность заражения зерна вредителями (СПЗ), выражаемую количеством экземпляров всех видов вредителей с учетом вредоносности каждого вида в 1 кг зерна, вычисляют по формуле

, (3)

где - средняя плотность заражения зерна каждым видом вредителя, экз/кг;

- коэффициент вредоносности каждого вида вредителя (приведен в таблице 1).

Таблица 1

Наименование вредителя Коэффициент вредоносности
Зерновой точильщик 1,7
Амбарный долгоносик 1,5
Бабочки (гусеницы), мавританская козявка 1,1
Рисовый долгоносик 1,0
Мучные хрущаки, притворяшки, кожееды 0,4
Мукоеды, грибоеды 0,3
Блестянки, скрытники, скрытноеды 0,2
Сеноеды 0,1
Хлебные клещи 0,05

Суммарную плотность заражения вычисляют до второго десятичного знака и округляют до первого десятичного знака.

Результаты определения суммарной плотности заражения проставляют в документах о качестве с точностью до первого десятичного знака при суммарной плотности заражения менее 1 экз./кг и целого числа при суммарной плотности заражения более 1 экз./кг.

Округление полученных результатов анализа для проставления в документах о качестве зерна проводят следующим образом: если первая из отбрасываемых цифр (считая слева направо) меньше 5, то последняя сохраняемая цифра не меняется; если равна или более 5, то увеличивается на единицу.

В случае заражения зерна только одними клещами результаты определения суммарной плотности заражения в документах о качестве проставляют с прибавлением слова "(клещ)" к значению показателя суммарной плотности заражения, например СПЗ = 2 (клещ) экз./кг.

Примеры расчета суммарной плотности заражения зерна вредителями приведены в приложении 2.

1.5.3 Зараженность зерна вредителями в зависимости от значения показателя суммарной плотности заражения характеризуют пятью степенями.

Характеристика степеней зараженности зерна приведена в таблице 2.

Таблица 2

Степень зараженности Показатель суммарной плотности заражения (СПЗ), экз./кг
I До1 включ.
II Св. 1 " 3 3
III " 3 " 15 "
IV " 15 " 90 "
V " 90      

2 МЕТОД ОПРЕДЕЛЕНИЯ ЗАРАЖЕННОСТИ ЗЕРНА БОБОВЫХ КУЛЬТУР ЗЕРНОВКАМИ

2.1 Аппаратура и реактивы

Делитель.

Весы лабораторные общего назначения с допускаемой погрешностью взвешивания ± 1 г.

Доска анализная.

Скальпель или лезвие бритвы.

Сетка металлическая или капроновая.

Секундомер.

Бумага фильтровальная или бумажные фильтры.

Натр едкий технический по ГОСТ 2263 или калия гидрат окиси технический по ГОСТ 9285, раствор с массовой долей 0,5%.

Калий йодистый по ГОСТ 4232.

Йод технический по ГОСТ 545.

Раствор с массовой долей йода 1% в йодистом калии, готовят следующим образом: растворяют 10 г йодистого калия в небольшом количестве воды в мерной колбе вместимостью 500 см3; добавляют к полученному раствору 5 г кристаллического йода и доводят до полного растворения при последующем доведении объема раствора до 500 см3.

2.2 Проведение испытания

2.2.1 Из средней пробы семян бобовых, отобранной для определения зараженности в соответствии с требованиями п.1.2, выделяют вручную или с помощью делителя навески массой, грамм:

100 - для гороха, чины, нута, люпина, вики;

200 - для чечевицы, фасоли, кормовых бобов.

Из навесок удаляют сорную примесь, а оставшуюся массу семян взвешивают.

2.2.2 Семена распределяют на анализной доске и тщательно осматривают.

При осмотре из массы семян выделяют семена:

гороха, фасоли, вики, чечевицы с наличием в зерне полости с характерными округлыми отверстиями диаметром 2 - 3 мм;

гороха, фасоли, вики, чечевицы, кормовых бобов с круглыми "окошечками" (летные отверстия жуков) в виде темных пятен, представляющих собой оболочку семян, под которой находится личинка, куколка или жук зерновки;

фасоли со слабо заметными уколами, представляющими входные отверстия личинок диаметром 0,1 - 0,3 мм;

фасоли, настолько изъеденные, что у них остались только оболочки, разрушающиеся при надавливании, под которыми могут находиться 1 - 5 и более личинок, куколок или жуков фасолевой зерновки;

фасоли, на поверхности которых просматривается кладка яиц фасолевой зерновки, состоящая из нескольких удлиненно-овальных, белых блестящих яиц, особенно заметных на семенах с цветной оболочкой.

Обнаруженные в навеске семена с перечисленными признаками, кроме семян с кладками яиц, выделяют и вскрывают.

Семена с наличием живых вредителей (личинок, куколок, жуков) и семена с кладками яиц взвешивают.

2.2.3 Семена бобовых, на которых при визуальном осмотре не выявлено признаков заражения, помещают на сетку. Сетку с семенами погружают в сосуд с раствором йода в йодистом калии и выдерживают 60 - 90 с. Затем переносят сетку с семенами в сосуд с раствором щелочи на 30 с. После окончания экспозиции сетку с семенами вынимают из раствора щелочи, а семена промывают водопроводной водой для освобождения от щелочи в течение 15 - 20 с.

Вынимают семена из сетки и быстро просматривают для обнаружения входных отверстий личинок насекомых или мест проколов оболочки, которые окрашиваются в черный цвет и становятся хорошо заметными (мелкие черные пятна диаметром 1 - 2 мм). Семена с пятнами вскрывают и устанавливают наличие в них живых личинок, куколок или жуков.

Семена с живыми вредителями подсушивают на фильтровальной бумаге, а затем взвешивают.

2.3 Обработка результатов

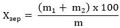
Зараженность семян бобовых зерновками () в процентах вычисляют по формуле

, (4)

где - масса зараженных семян, обнаруженных при осмотре навески, г;

- масса зараженных семян, обнаруженных после обработки семян раствором йода, г;

m - масса навески, взятой для анализа (после удаления сорной примеси).

Зараженность зернобобовых культур зерновками вычисляют до сотых долей процента.

Зараженность зернобобовых культур зерновками проставляют в документах о качестве с точностью до десятых долей процента.

Округление полученных результатов анализа проводят следующим образом: если первая из отбрасываемых цифр (считая слева направо) меньше 5, то последняя сохраняемая цифра не меняется; если равна или больше 5, то увеличивается на единицу.

ПРИЛОЖЕНИЕ 1
(справочное)

ОСНОВНЫЕ ВИДЫ ВРЕДИТЕЛЕЙ ЗЕРНА

Таблица 3

Русское название Латинское название
1 Амбарный долгоносик Sitophilus granarius L.
2 Рисовый долгоносик Sitophilus oryzae L.
3 Зерновой точильщик Rhizopertha dominica F.
4 Булавоусый хрущак Tribolium castaneum Hrbst.
5 Малый мучной хрущак Tribolium confusum Duv.
6 Хрущак гладкий Palorus subdepressus Woll.
7 Смоляно-бурый хрущак Alphotobius diaperinus Panz.
8 Малый черный хрущак Tribolium destructor Uytt.
9 Хрущак двуполосый Alphitophagus bifasciatus Say.
10 Короткоусый мукоед Laemophloeus ferrugineus St.
11 Суринамский мукоед Oryzaephilus surinamensis L.
12 Малый мукоед Laemophloeus pusillus
13 Масличная плоскотелка Ahasverus advena Waltl.
14 Бархатистый грибоед Typhea stercorea L.
15 Мавританская козявка Tenebrioides mauritanicus L.
16 Скрытники Lathridiidae
17 Притворяшки Ptinidae
18 Скрытноеды Cryptophagidae
19 Кожееды Dermestidae
20 Блестянки Nitidulidae
21 Гороховая зерновка Bruсhus pisorum L.
22 Фасолевая зерновка Acanthoscelides obtectus Say.
23 Зерновая моль Sitotroga cerealella Oliv.
24 Южная огневка Plodia interpunctella Hb.
25 Зерновая (шоколадная, какаовая) огневка Ephestia elutelia Hb.
26 Амбарная (хлебная) моль Nemapogon granellus L.
27 Мельничная огневка Ephestia
28 Мучная огневка Pyralis farinalis L.
29 Сухофруктовая огневка Ephestia cautella Wik.
30 Сеноеды Psocoptera
31 Мучной клещ Acarus siro L.
32 Удлиненный клещ Typophagus noxius A. Zach

ПРИЛОЖЕНИЕ 2
(справочное)

ПРИМЕРЫ РАСЧЕТОВ СУММАРНОЙ ПЛОТНОСТИ ЗАРАЖЕНИЯ ЗЕРНА ВРЕДИТЕЛЯМИ

1 Пример расчета суммарной плотности заражения зерна в складе

Из каждой секции склада, имеющего 6 секций, отобрано для определения зараженности по одной средней пробе массой 2 кг. Всего из склада отобрано 6 средних проб, пронумерованных цифрами 1, 2, 3, 4, 5, 6.

В средней пробе 1 обнаружен 1 экз. жука рисового долгоносика и 15 экз. хлебных клещей. В средней пробе 2 обнаружено 3 экз. жука короткоусого мукоеда и 1 экз. жука рисового долгоносика. В средней пробе 3 обнаружено 48 экз. хлебных клещей. В средней пробе 4 обнаружен 1 экз. жука рисового долгоносика. В средней пробе 5 обнаружено 2 экз. жука короткоусого мукоеда и 4 экз. гусеницы бабочки. В средней пробе 6 вредителей не обнаружено.

Рассчитывают среднюю плотность заражения зерна отдельными видами вредителей по формуле (2)

Затем рассчитывают суммарную плотность заражения зерна по формуле (3)

2 Пример расчета суммарной плотности заражения зерна в силосе элеватора

Из силоса элеватора отобрана для определения зараженности одна средняя проба зерна массой 2 кг.

В средней пробе обнаружено 3 экз. жуков зернового точильщика и 1 экз. жука булавоусого хрущака.

Рассчитывают среднюю плотность заражения зерна отдельными видами вредителей по формуле (1)

Затем рассчитывают суммарную плотность заражения зерна по формуле (3)

3 Пример расчета суммарной плотности заражения зерна в мешках

Из мешков в штабеле отобрана для определения зараженности средняя проба зерна массой 2 кг.

В средней пробе обнаружен 1 экз. жука амбарного долгоносика.

Рассчитывают среднюю плотность заражения зерна вредителем по формуле (1)

Затем рассчитывают суммарную плотность заражения зерна по формуле (3)

4 Пример расчета суммарной плотности заражения зерна в вагоне

Из вагона отобрана для определения зараженности зерна одна средняя проба зерна массой 2 кг.

В средней пробе обнаружено 18 экз. клещей.

Рассчитывают среднюю плотность заражения зерна вредителем по формуле (1)

Затем рассчитывают суммарную плотность заражения зерна по формуле (3)