Молоко и молочные продукты. Методы определения плотности. ГОСТ 3625-84

(утв. Постановлением Госстандарта СССР от 27.03.84 N 1022)
Редакция от 01.03.1989 — Документ не действует

МЕЖГОСУДАРСТВЕННЫЙ СТАНДАРТ

МОЛОКО И МОЛОЧНЫЕ ПРОДУКТЫ

Методы определения плотности

Milk and milk products. Methods for determination of density

ГОСТ 3625-84

(в ред. Изменения N 1)

Группа Н19

ОКСТУ 9209

Дата введения 1985-07-01

ИНФОРМАЦИОННЫЕ ДАННЫЕ

1. РАЗРАБОТАН И ВНЕСЕН Государственным агропромышленным комитетом СССР

РАЗРАБОТЧИКИ

Г.А.Ересько, канд. техн. наук; А.Н.Старчевой, канд. техн. наук; Н.Я.Яцюта, П.В.Лопата, А.Г.Анацкая, канд. техн. наук; М.Я.Данилов, канд. техн. наук

2. УТВЕРЖДЕН И ВВЕДЕН В ДЕЙСТВИЕ Постановлением Государственного комитета СССР по стандартам от 27.03.84 N 1022

3. ВЗАМЕН ГОСТ 3625-71

4. ССЫЛОЧНЫЕ НОРМАТИВНО-ТЕХНИЧЕСКИЕ ДОКУМЕНТЫ

Обозначение НТД, на который дана ссылка Номер пункта
ГОСТ 2652-78 3.1
ГОСТ 4204-77 3.1
ГОСТ 6709-72 2.1, 3.1
ГОСТ 10138-93 2.1, 3.1
ГОСТ 10232-77 2.1, 3.1
ГОСТ 12026-76 3.1
ГОСТ 13646-68 3.1
ГОСТ 13928-84 1.1
ГОСТ 18481-81 2.1
ГОСТ 22524-77 3.1
ГОСТ 24104-88 3.1
ГОСТ 25336-82 3.1
ГОСТ 26809-86 1.1
ГОСТ 28498-90 2.1, 3.1
ГОСТ 29169-91 3.1
ОСТ 16.0.801.397-87 3.1

5. Ограничение срока действия снято по протоколу N 4-93 Межгосударственного совета по стандартизации, метрологии и сертификации (ИУС 4-94)

6. ИЗДАНИЕ с Изменением N 1, утвержденным в марте 1989 г. (ИУС 6-89)

ВНЕСЕНА поправка, опубликованная в ИУС N 8, 2009 год

Настоящий стандарт распространяется на молоко, молочный напиток, сырые сливки и питьевые сливки, молочные и молокосодержащие продукты, жидкие кисломолочные продукты, сгущенные молочные и молокосодержащие консервы, вторичные продукты переработки молока и устанавливает ареометрический и пикнометрический методы определения плотности. (в ред. Изменения N 1).

1. МЕТОД ОТБОРА ПРОБ

1.1. Отбор проб молока и молочных продуктов и подготовка их к испытанию - по ГОСТ 26809 и ГОСТ 13928.

2. АРЕОМЕТРИЧЕСКИЙ МЕТОД ОПРЕДЕЛЕНИЯ ПЛОТНОСТИ

2. Аппаратура, материалы и реактивы

Ареометры для молока типа AM с ценой деления шкалы 0,5 кг/м3 или типа АМТ с ценой деления шкалы 1,0 кг/м3 (далее ареометры) по ГОСТ 18481 для измерения плотности молока цельного, повышенной жирности, топленого, белкового, витаминизированного, стерилизованного и обезжиренного (далее молока), сливок, пахты и сыворотки.

Ареометры общего назначения типа АОН-1 или типа АОН-2 с ценой деления 1,0 кг/м3 по ГОСТ 18481 для измерения плотности напитков с наполнителями (кофе, какао, сахар).

Цилиндры стеклянные для ареометров исполнения 1, наружным диаметром 31, 39 и 50 мм; высотой 215, 265 и 415 мм, соответственно, по ГОСТ 18481.

Термометры ртутные стеклянные лабораторные с диапазоном измерений 0 - 55 °С, ценой деления 0,5 и 1,0 °С, группы 4, типов А и Б по ГОСТ 28498.

Термометры стеклянные жидкостные (нертутные) с диапазоном измерений 0 - 30 °С, ценой деления 0,5 и 1,0 °С по ГОСТ 28498.

Секундомер механический типа СОПпр 3-го класса.

Баня водяная.

Дистиллятор.

Мешалка (см. приложение 1).

Полотенца льняные по ГОСТ 10232 или ткань по ГОСТ 10138.

Вода дистиллированная по ГОСТ 6709.

2.2. Подготовка к измерению

2.2.1. Плотность заготовляемого коровьего молока, пастеризованного (цельного, белкового, витаминизированного, обезжиренного) и стерилизованного определяют при (20±5) °С.

2.2.2. Плотность пастеризованного коровьего молока с повышенным содержанием жира, напитков с наполнителями, сливок, пахты, сыворотки, а также молока других животных определяют при (20±2) °С.

2.2.3. Плотность заготовляемого молока должна определяться не ранее, чем через 2 ч после дойки.

2.2.4. Плотность кисломолочных продуктов определяют в подготовленной смеси до сквашивания при (20±2) °С.

2.2.5. Перед определением плотности пробы с отстоявшимся слоем сливок ее нагревают до (35±5) °С, перемешивают и охлаждают до (20±2) °С.

2.2.6. Ареометры и необходимая стеклянная аппаратура должны быть тщательно вымыты моющими растворами, ополоснуты дистиллированной или кипяченой питьевой водой, а остатки влаги удалены льняной тканью или полотенцем, затем вся аппаратура должна быть выдержана на воздухе до полного высыхания.

2.2.7. При массовых анализах допускается ополаскивание цилиндра молоком, отобранным для очередного определения плотности исследуемой пробы молока.

2.2.8. После подготовки ареометра к измерениям не допускается касаться руками его рабочей части. Ареометр берут за верхнюю часть стержня, свободную от шкалы. Ареометры, термометры и мешалки, подготовленные к измерениям, хранят в цилиндрах, накрытых покровным стеклом или полиэтиленовым чехлом.

2.2.9. Пробу объемом 0,25 или 0,50 дм3 тщательно перемешивают и осторожно, во избежание образования пены, переливают по стенке в сухой цилиндр, который следует держать в слегка наклонном положении. Если на поверхности пробы в цилиндре образовалась пена, ее снимают мешалкой.

2.2.10. При возникновении разногласий в оценке качества при определении плотности молока применяют ареометрический метод, заключающийся в том, что пробу нагревают до (40±2) °С, выдерживают при этой температуре в течение (5±1) мин, затем охлаждают ее до (20±2) °С и проводят измерение плотности молока ареометрами типа AM или АМТ.

2.3. Проведение измерений

2.3.1. Цилиндр с исследуемой пробой устанавливают на ровной горизонтальной поверхности и измеряют температуру пробы . Отсчет показаний температуры проводят не ранее, чем через 2 - 4 мин после опускания термометра в пробу.

2.3.2. Сухой и чистый ареометр опускают медленно в исследуемую пробу, погружая его до тех пор, пока до предполагаемой отметки ареометрической шкалы не останется 3 - 4 мм, затем оставляют его в свободно плавающем состоянии. Ареометр не должен касаться стенок цилиндра.

2.3.3. Расположение цилиндра с пробой на горизонтальной поверхности должно быть, по отношению к источнику света, удобным для отсчета показаний по шкале плотности и шкале термометра.

2.3.4. Первый отсчет показаний плотности проводят визуально со шкалы ареометра через 3 мин после установления его в неподвижном положении. После этого ареометр осторожно приподнимают на высоту до уровня балласта в нем и снова опускают, оставляя его в свободно плавающем состоянии. После установления его в неподвижном состоянии, проводят второй отсчет показаний плотности . При отсчете показаний плотности глаз должен находиться на уровне мениска. Отсчет показаний проводят по верхнему краю мениска.

Отсчет показаний по ареометрам типов AM и АМТ проводят до половины цены наименьшего деления шкалы. В ареометрах типов АОН-1 и АОН-2 отсчет показаний проводят до цены наименьшего деления.

Затем измеряют температуру пробы.

2.3.5. Измерение температуры пробы при использовании ареометров типов AM, АМТ, АОН-1 и АОН-2 проводят с помощью ртутных и нертутных стеклянных термометров.

2.3.6. Расхождение между повторными определениями плотности (последовательно одно определение за другим в одной и той же пробе) не должно превышать 0,5 кг/м3 для ареометров типов AM и АМТ и 1,0 кг/м3 для ареометров типов АОН-1 и АОН-2.

2.3.7. При проведении массовых измерений плотности молока допускается: при измерении плотности очередной пробы молока прикасаются нижним концом ареометра, извлекаемого из молока, к внутренней поверхности цилиндра и немедленно после стекания с ареометра основной части молока погружают его в другой цилиндр с новой пробой молока, не допуская засыхания молока на поверхности ареометра. Затем повторяют измерения по пп.2.3.1 - 2.3.5.

2.4. Обработка результатов

2.4.1. За среднее значение температуры t исследуемой пробы принимают среднеарифметическое значение результатов двух показаний и .

Пример 1 вычисления дан в приложении 6.

2.4.2. За среднее значение показаний ареометра при температуре t () исследуемой пробы молока принимается среднеарифметическое значение результатов двух показаний и . Пример 2 вычисления дан в приложении 6.

2.4.3. Если проба во время определения плотности имела температуру выше или ниже 20 °С, то результаты определения плотности при температуре t должны быть приведены к 20 °С в соответствии с таблицами приложения 2 или 3.

2.4.4. По таблицам в левой крайней графе находят строку со значением , а в последующих графах таблиц - температуру t. На пересечении соответствующей строки и графы находят значение плотности молока при 20 °С, которое принимается за окончательный результат. Примеры 3, 4 и 5 приведения плотности молока к 20 °С по таблицам даны в приложении 6.

2.4.5. Если заготовляемое или обезжиренное коровье молоко имеет температуру от 10 до 15 °С, то для определения его фактической плотности к полученному по пп.2.2.1; 2.3.1 - 2.3.5; 2.4.1 и 2.4.2 значению плотности пробы этого молока добавляют поправку, найденную по таблицам приложения 4 или 5. Пример 6 нахождения поправок по таблицам приведен в приложении 6.

2.4.6. Результат определения плотности молока с учетом погрешности метода должен быть представлен в виде формулы

; P=0,99,

где - значение плотности, приведенной к 20 °С, кг/дм3, найденное по таблице приложений 2 и 3;

- погрешность определения плотности молока ареометрическим методом, не более ±0,5 кг/м3;

P - вероятность, с которой погрешность измерения находится в границах от минус до плюс .

2.4.7. Допускаемое расхождение между результатами определения плотности молока одним типом ареометров в различных условиях (в разное время, в разных местах и разными операторами) не должно превышать 0,8 кг/м3.

3. ПИКНОМЕТРИЧЕСКИЙ МЕТОД ОПРЕДЕЛЕНИЯ ПЛОТНОСТИ

Пикнометрический метод предназначен для проведения научных и экспериментальных исследований по определению плотности молока и сгущенных молочных консервов. (в ред. Изменения N 1)

3.1. Аппаратура, реактивы и материалы

Пикнометры типа ПЖ 2 вместимостью 50 см3, с горловиной диаметром 6 и 9 мм по ГОСТ 22524.

Термометры ртутные стеклянные лабораторные с диапазоном измерений 0 - 55 °С, ценой деления 0,1 °С по ГОСТ 28498.

Термометры ртутные стеклянные для точных измерений группы 1, номеров 5, 6 с ценой деления 0,01 °С по ГОСТ 13646.

Термостат типа СЖМЛ-19/2, 5-ИТ, позволяющий поддерживать температуру в диапазоне 10 - 50 °С с погрешностью регулирования температуры ±0,05 °С.

Весы лабораторные общего назначения 2 и 4-го классов точности с наибольшим пределом взвешивания 200 г по ГОСТ 24104 <*>.

<*> С 1 июля 2002 г. введен в действие ГОСТ 24104-2001.

Секундомер механический типа СОПпр 3-го класса.

Стаканы стеклянные лабораторные по ГОСТ 25336.

Воронка лабораторная В-25, 36-50 ХС по ГОСТ 25336.

Пипетка 1-2-2 по ГОСТ 29169.

Шприцы медицинские типа "Рекорд" вместимостью 20 см3.

Иглы инъекционные для шприцев типа "Рекорд" 1А1 12х120-115.

Электропечь сопротивления лабораторная по ОСТ 16.0.801.397.

Дистиллятор.

Полотенца льняные по ГОСТ 10232 или ткань по ГОСТ 10138.

Смесь хромовая (60 г двухромового калия по ГОСТ 2652. 1 дм3 дистиллированной воды по ГОСТ 6709; 1 дм3 серной кислоты по ГОСТ 4204, х.ч., плотностью 1840 кг/м3).

Вода дистиллированная по ГОСТ 6709.

Бумага фильтровальная лабораторная по ГОСТ 12026. (в ред. Изменения N 1)

3.2. Подготовка к измерению

3.2.1. Пикнометры (не менее двух) должны быть тщательно вымыты моющими растворами и промыты дистиллированной водой. После этого их высушивают в электропечи при (110±10) °С не менее 30 мин, вынимают из электропечи, выдерживают при комнатной температуре не менее 30 мин и взвешивают методом точного взвешивания.

Затем пикнометры снова помещают в электропечь и выдерживают при той же температуре не менее 15 мин, вынимают из электропечи, выдерживают в помещении не менее 30 мин и взвешивают. Разность между результатами двух взвешиваний каждого пикнометра не должна превышать 3· кг для весов 2-го класса точности и 5· кг для весов 4-го класса точности. Если указанное условие не соблюдается, то высушивание следует повторить.

За значение массы гирь, уравновешивающих каждый пустой пикнометр в воздухе, принимают среднее арифметическое результатов двух взвешиваний . (в ред. Изменения N 1)

3.2.2. Пикнометры заполняют при помощи шприца свежекипяченой и охлажденной до комнатной температуры дистиллированной водой немного выше отметки на их шейке и закрывают пробками, помещают в стакан с водой так, чтобы вода покрывала заполненную часть пикнометров, и опускают стакан в термостат. Пикнометры выдерживают в термостате при (20,00±0,05) °С в течение 30 мин. Температуру воды контролируют термометром с ценой деления 0,01 °С, опущенным в термостат.

3.2.3. Пикнометры вынимают из термостата, доводят при помощи шприца и фильтровальной бумаги уровень воды до отметки на их шейке (по верхнему краю мениска). Внутреннюю поверхность шейки пикнометров выше отметки тщательно вытирают фильтровальной бумагой, не касаясь уровня воды в пикнометрах, вытирают снаружи досуха полотенцем и оставляют в витрине весов не менее 20 мин. После этого пикнометры взвешивают. Опыт повторяют по пп.3.2.2 и 3.2.3 не менее трех раз для каждого пикнометра. За значение массы гирь, уравновешивающих каждый пикнометр с водой, принимают среднее арифметическое результатов всех взвешиваний . Значение массы гирь, уравновешивающих пустой пикнометр и пикнометр с водой, определяют повторно для каждого пикнометра после 20 определений плотности молока и сгущенных молочных консервов. (в ред. Изменения N 1)

3.2.4. Воду выливают из пикнометров и высушивают их как указано в п.3.2.1.

3.2.5. Пробу молока и сгущенных молочных консервов нагревают до (40±2) °С, выдерживают в течение (5±1) мин и охлаждают до (20±2) °С. (в ред. Изменения N 1)

3.3. Проведение измерений

3.3.1. Подготовленные к измерениям пикнометры (не менее двух) заполняют при помощи шприца предварительно тщательно перемешанной исследуемой пробой заготовляемого коровьего или обезжиренного молока немного выше отметки на их шейке и закрывают пробками. Пикнометры термостатируют и доводят уровень исследуемой пробы до отметки на их шейке как указано в пп.3.2.2 и 3.2.3. За значение массы гирь, уравновешивающих каждый пикнометр с молоком, принимают среднее арифметическое результатов двух взвешиваний .

Заполнение пикнометров исследуемой пробой сгущенных молочных консервов проводят при помощи воронки, уровень до отметки доводят пипеткой.

3.3.2. После проведения измерений из пикнометров выливают молоко, и сгущенные молочные консервы промывают, высушивают, закрывают пробкой и хранят до проведения новых измерений. (в ред. Изменения N 1)

3.4. Обработка результатов

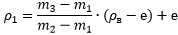
3.4.1. Плотность молока и сгущенных молочных консервов при 20 °С, кг/м3, вычисляют по формуле

,

где , , - массы гирь, уравновешивающих, соответственно, пустой пикнометр, пикнометр с водой и пикнометр с молоком, кг;

- плотность воды при 20 °С и нормальном давлении, равном, 1,01· Па ( = 998,20 кг/м3);

е - плотность воздуха при 20 °С и нормальном давлении (е = 1,2 кг/м3).

Аналогично определяют плотность той же пробы молока с помощью второго пикнометра.

Допускаемое расхождение между двумя результатами определения плотности не должно превышать по абсолютному значению 0,3 кг/м3 - для молока и 10 кг/м3 - для сгущенных молочных консервов. Если расхождения превышают допустимые, то проводят повторные контрольные измерения плотности.

За плотность молока при 20 °С принимают среднеарифметическое значение результатов двух полученных значений плотности молока и при 20 °С.

Примеры 7 и 8 вычисления даны в справочном приложении 6.

3.4.2. Результат определения плотности молока и сгущенных молочных консервов при 20 °С должен быть представлен в виде формулы

, P = 0,99 - для молока;
P = 0,95 - для сгущенных молочных консервов,

где - среднеарифметическое значение плотности при 20 °С, полученное пикнометрическим методом, кг/м3;

- погрешность определения плотности пикнометрическим методом:

±0,2 кг/м3 - для молока;

±10 кг/м3 - для сгущенных молочных консервов;

P - вероятность, с которой погрешность измерения находится в границах от минус до плюс .

3.4.1, 3.4.2. (в ред. Изменения N 1)

3.4.3. Допускаемые расхождения между результатами определения плотности молока пикнометрическим и ареометрическим методами не должны превышать значения величины 1,0 кг/м3 при 20 °С.

ПРИЛОЖЕНИЕ 1
Справочное

МЕШАЛКА

Диаметр (D) и длина (L) мешалки выбираются в соответствии с внутренними диаметрами и высотами цилиндров, применяемых при определении плотности молока;
d - диаметр от 2 до 5 мм. Материал мешалки: нержавеющая сталь, алюминий или другие металлы, покрытые антикоррозийными сплавами, разрешенными Министерством здравоохранения СССР для пищевой промышленности.

ПРИЛОЖЕНИЕ 2
Обязательное

ТАБЛИЦА ПРИВЕДЕНИЯ ПЛОТНОСТИ КОРОВЬЕГО МОЛОКА К 20 °С

Плотность молока , кг/м3 Плотность, приведенная к 20 °С, кг/м3, при температуре молока t, °С
15,0 15,5 16,0 16,5 17,0 17,5 18,0 18,5 19,0 19,5 20,0
1025,0 1023,4 1023,6 1023,7 1023,9 1024,0 1024,2 1024,4 1024,5 1024,7 1024,8 1025,0
1025,5 1023,9 1024,1 1024,2 1024,4 1024,5 1024,7 1024,9 1025,0 1025,2 1025,3 1025,5
1026,0 1024,4 1024,6 1024,7 1024,9 1025,0 1025,2 1025,4 1025,5 1025,7 1025,8 1026,0
1026,5 1024,9 1025,1 1025,2 1025,4 1025,5 1025,7 1025,9 1026,0 1026,2 1026,3 1026,5
1027,0 1025,4 1025,6 1025,7 1025,9 1026,0 1026,2 1026,4 1026,5 1026,7 1026,8 1027,0
1027,5 1025,9 1026,1 1026,2 1026,4 1026,5 1026,7 1026,9 1027,0 1027,2 1027,3 1027,5
1028,0 1026,4 1026,6 1026,7 1026,9 1027,0 1027,2 1027,4 1027,5 1027,7 1027,8 1028,0
1028,5 1026,9 1027,1 1027,2 1027,4 1027,5 1027,7 1027,9 1028,0 1028,2 1028,3 1028,5
1029,0 1027,4 1027,6 1027,7 1027,9 1028,0 1028,2 1028,4 1028,5 1028,7 1028,8 1029,0
1029,5 1027,9 1028,1 1028,2 1028,4 1028,5 1028,7 1028,9 1029,0 1029,2 1029,3 1029,5
1030,0 1028,4 1028,6 1028,7 1028,9 1029,0 1029,2 1029,4 1029,5 1029,7 1029,8 1030,0
1030,5 1028,9 1029,1 1029,2 1029,4 1029,5 1029,7 1029,9 1030,0 1030,2 1030,3 1030,5
1031,0 1029,4 1029,6 1029,7 1029,9 1030,0 1030,2 1030,4 1030,5 1030,7 1030,8 1031,0
1031,5 1029,9 1030,1 1030,2 1030,4 1030,5 1030,7 1030,9 1031,0 1031,2 1031,3 1031,5
1032,0 1030,4 1030,6 1030,7 1030,9 1031,0 1031,2 1031,4 1031,5 1031,7 1031,8 1032,0
1032,5 1030,9 1031,1 1031,2 1031,4 1031,5 1031,7 1031,9 1032,0 1032,2 1032,3 1032,5
1033,0 1031,4 1031,6 1031,7 1031,9 1032,0 1032,2 1032,4 1032,5 1032,7 1032,8 1033,0
1033,5 1031,9 1032,1 1032,2 1032,4 1032,5 1032,7 1032,9 1033,0 1033,2 1033,3 1033,5
1034,0 1032,4 1032,6 1032,7 1032,9 1033,0 1033,2 1033,4 1033,5 1033,7 1033,8 1034,0
1034,5 1032,9 1033,1 1033,2 1033,4 1033,5 1033,7 1033,9 1034,0 1034,2 1034,3 1034,5
1035,0 1033,4 1033,6 1033,7 1033,9 1034,0 1034,2 1034,4 1034,5 1034,7 1034,8 1035,0
1035,5 1033,9 1034,1 1034,2 1034,4 1034,5 1034,7 1034,9 1035,0 1035,2 1035,3 1035,5
1036,0 1034,4 1034,6 1034,7 1034,9 1035,0 1035,2 1035,4 1035,5 1035,7 1035,8 1036,0

Продолжение

Плотность молока , кг/м3 Плотность, приведенная к 20 °С, кг/м3, при температуре молока t, °С
20,5 21,0 21,5 22,0 22,5 23,0 23,5 24,0 24,5 25,0
1025,0 1025,2 1025,3 1025,5 1025,6 1025,8 1026,0 1026,1 1026,3 1026,4 1026,6
1025,5 1025,7 1025,8 1026,0 1026,1 1026,3 1026,5 1026,6 1026,8 1026,9 1027,1
1026,0 1026,2 1026,3 1026,5 1026,6 1026,8 1027,0 1027,1 1027,3 1027,4 1027,6
1026,5 1026,7 1026,8 1027,0 1027,1 1027,3 1027,5 1027,6 1027,8 1027,9 1028,1
1027,0 1027,2 1027,3 1027,5 1027,6 1027,8 1028,0 1028,1 1028,3 1028,4 1028,6
1027,5 1027,7 1027,8 1028,0 1028,1 1028,3 1028,5 1028,6 1028,8 1028,9 1029,1
1028,0 1028,2 1028,3 1028,5 1028,6 1028,8 1029,0 1029,1 1029,3 1029,4 1029,6
1028,5 1028,7 1028,8 1029,0 1029,1 1029,3 1029,5 1029,6 1029,8 1029,9 1030,1
1029,0 1029,2 1029,3 1029,5 1029,6 1029,8 1030,0 1030,1 1030,3 1030,4 1030,6
1029,5 1029,7 1029,8 1030,0 1030,1 1030,3 1030,5 1030,6 1030,8 1030,9 1031,1
1030,0 1030,2 1030,3 1030,5 1030,6 1030,8 1031,0 1031,1 1031,3 1031,4 1031,6
1030,5 1030,7 1030,8 1031,0 1031,1 1031,3 1031,5 1031,6 1031,8 1031,9 1032,1
1031,0 1031,2 1031,3 1031,5 1031,6 1031,8 1032,0 1032,1 1032,3 1032,4 1032,6
1031,5 1031,7 1031,8 1032,0 1032,1 1032,3 1032,5 1032,6 1032,8 1032,9 1033,1
1032,0 1032,2 1032,3 1032,5 1032,6 1032,8 1033,0 1033,1 1033,3 1033,4 1033,6
1032,5 1032,7 1032,8 1033,0 1033,1 1033,3 1033,5 1033,6 1033,8 1033,9 1034,1
1033,0 1033,2 1033,3 1033,5 1033,6 1033,8 1034,0 1034,1 1034,3 1034,4 1034,6
1033,5 1033,7 1033,8 1034,0 1034,1 1034,3 1034,5 1034,6 1034,8 1034,9 1035,1
1034,0 1034,2 1034,3 1034,5 1034,6 1034,8 1035,0 1035,1 1035,3 1035,4 1035,6
1034,5 1034,7 1034,8 1035,0 1035,1 1035,3 1035,5 1035,6 1035,8 1035,9 1036,1
1035,0 1035,2 1035,3 1035,5 1035,6 1035,8 1036,0 1036,1 1036,3 1036,4 1036,6
1035,5 1035,7 1035,8 1036,0 1036,1 1036,3 1036,5 1036,6 1036,8 1036,9 1037,1
1036,0 1036,2 1036,3 1036,5 1036,6 1036,8 1037,0 1037,1 1037,3 1037,4 1037,6

ПРИЛОЖЕНИЕ 3
Обязательное

ТАБЛИЦА ПРИВЕДЕНИЯ ПЛОТНОСТИ ОБЕЗЖИРЕННОГО МОЛОКА К 20 °С

Плотность молока , кг/м3 Плотность, приведенная к 20 °С, кг/м3, при температуре молока t, °С
15,0 15,5 16,0 16,5 17,0 17,5 18,0 18,5 19,0 19,5 20,0
1028,0 1026,7 1026,8 1027,0 1027,1 1027,2 1027,4 1027,5 1027,6 1027,7 1027,9 1028,0
1028,5 1027,2 1027,3 1027,5 1027,6 1027,7 1027,9 1028,0 1028,1 1028,2 1028,4 1028,5
1029,0 1027,7 1027,8 1028,0 1028,1 1028,2 1028,4 1028,5 1028,6 1028,7 1028,9 1029,0
1029,5 1028,2 1028,3 1028,5 1028,6 1028,7 1028,9 1029,0 1029,1 1029,2 1029,4 1029,5
1030,0 1028,7 1028,8 1029,0 1029,1 1029,2 1029,4 1029,5 1029,6 1029,7 1029,9 1030,0
1030,5 1029,2 1029,3 1029,5 1029,6 1029,7 1029,9 1030,0 1030,1 1030,2 1030,4 1030,5
1031,0 1029,7 1029,8 1030,0 1030,1 1030,2 1030,4 1030,5 1030,6 1030,7 1030,9 1031,0
1031,5 1030,2 1030,3 1030,5 1030,6 1030,7 1030,9 1031,0 1031,1 1031,2 1031,4 1031,5
1032,0 1030,7 1030,8 1031,0 1031,1 1031,2 1031,4 1031,5 1031,6 1031,7 1031,9 1032,0
1032,5 1031,2 1031,3 1031,5 1031,6 1031,7 1031,9 1032,0 1032,1 1032,2 1032,4 1032,5
1033,0 1031,7 1031,8 1032,0 1032,1 1032,2 1032,4 1032,5 1032,6 1032,7 1032,9 1033,0
1033,5 1032,2 1032,3 1032,5 1032,6 1032,7 1032,9 1033,0 1033,1 1033,2 1033,4 1033,5
1034,0 1032,7 1032,8 1033,0 1033,1 1033,2 1033,4 1033,5 1033,6 1033,7 1033,9 1034,0
1034,5 1033,2 1033,3 1033,5 1033,6 1033,7 1033,9 1034,0 1034,1 1034,2 1034,4 1034,5
1035,0 1033,7 1033,8 1034,0 1034,1 1034,2 1034,4 1034,5 1034,6 1034,7 1034,9 1035,0
1035,5 1034,2 1034,3 1034,5 1034,6 1034,7 1034,9 1035,0 1035,1 1035,2 1035,4 1035,5
1036,0 1034,7 1034,8 1035,0 1035,1 1035,2 1035,4 1035,5 1035,6 1035,7 1035,9 1036,0
1036,5 1035,2 1035,3 1035,5 1035,6 1035,7 1035,9 1036,0 1036,1 1036,2 1036,4 1036,5
1037,0 1035,7 1035,8 1036,0 1036,1 1036,2 1036,4 1036,5 1036,6 1036,7 1036,9 1037,0
1037,5 1036,2 1036,3 1036,5 1036,6 1036,7 1036,9 1037,0 1037,1 1037,2 1037,4 1037,5
1038,0 1036,7 1036,8 1037,0 1037,1 1037,2 1037,4 1037,5 1037,6 1037,7 1037,9 1038,0

Продолжение

Плотность молока , кг/м3 Плотность, приведенная к 20 °С, кг/м3, при температуре молока t, °С
20,5 21,0 21,5 22,0 22,5 23,0 23,5 24,0 24,5 25,0
1028,0 1028,1 1028,3 1028,4 1028,5 1028,7 1028,8 1028,9 1029,0 1029,2 1029,3
1028,5 1028,6 1028,8 1028,9 1029,0 1029,2 1029,3 1029,4 1029,5 1029,7 1029,8
1029,0 1029,1 1029,3 1029,4 1029,5 1029,7 1029,8 1029,9 1030,0 1030,2 1030,3
1029,5 1029,6 1029,8 1029,9 1030,0 1030,2 1030,3 1030,4 1030,5 1030,7 1030,8
1030,0 1030,1 1030,3 1030,4 1030,5 1030,7 1030,8 1030,9 1031,0 1031,2 1031,3
1030,5 1030,6 1030,8 1030,9 1031,0 1031,2 1031,3 1031,4 1031,5 1031,7 1031,8
1031,0 1031,1 1031,3 1031,4 1031,5 1031,7 1031,8 1031,9 1032,0 1032,2 1032,3
1031,5 1031,6 1031,8 1031,9 1032,0 1032,2 1032,3 1032,4 1032,5 1032,7 1032,8
1032,0 1032,1 1032,3 1032,4 1032,5 1032,7 1032,8 1032,9 1033,0 1033,2 1033,3
1032,5 1032,6 1032,8 1032,9 1033,0 1033,2 1033,3 1033,4 1033,5 1033,7 1033,8
1033,0 1033,1 1033,3 1033,4 1033,5 1033,7 1033,8 1033,9 1034,0 1034,2 1034,3
1033,5 1033,6 1033,8 1033,9 1034,0 1034,2 1034,3 1034,4 1034,5 1034,7 1034,8
1034,0 1034,1 1034,3 1034,4 1034,5 1034,7 1034,8 1034,9 1035,0 1035,2 1035,3
1034,5 1034,6 1034,8 1034,9 1035,0 1035,2 1035,3 1035,4 1035,5 1035,7 1035,8
1035,0 1035,1 1035,3 1035,4 1035,5 1035,7 1035,8 1035,9 1036,0 1036,2 1036,3
1035,5 1035,6 1035,8 1035,9 1036,0 1036,2 1036,3 1036,4 1036,5 1036,7 1036,8
1036,0 1036,1 1036,3 1036,4 1036,5 1036,7 1036,8 1036,9 1037,0 1037,2 1037,3
1036,5 1036,6 1036,8 1036,9 1037,0 1037,2 1037,3 1037,4 1037,5 1037,7 1037,8
1037,0 1037,1 1037,3 1037,4 1037,5 1037,7 1037,8 1037,9 1038,0 1038,2 1038,3
1037,5 1037,6 1037,8 1037,9 1038,0 1038,2 1038,3 1038,4 1038,5 1038,7 1038,8
1038,0 1038,1 1038,3 1038,4 1038,5 1038,7 1038,8 1038,9 1039,0 1039,2 1039,3

ПРИЛОЖЕНИЕ 4
Обязательное

ТАБЛИЦА ПОПРАВОК ДЛЯ ОПРЕДЕЛЕНИЯ ФАКТИЧЕСКОЙ ПЛОТНОСТИ КОРОВЬЕГО МОЛОКА В ДИАПАЗОНЕ ТЕМПЕРАТУР 10 - 15 °С

Температура молока t, °С Значение величины поправки, кг/м3, при температуре заготовляемого молока, °С
10,0 10,5 11,0 11,5 12,0 12,5 13,0 13,5 14,0 14,5
15,0 1,6 1,4 1,3 1,1 1,0 0,8 0,6 0,5 0,3 0,2
15,5 1,8 1,6 1,4 1,3 1,1 1,0 0,8 0,6 0,5 0,3
16,0 1,9 1,8 1,6 1,4 1,3 1,1 1,0 0,8 0,6 0,5
16,5 2,1 1,9 1,8 1,6 1,4 1,3 1,1 1,0 0,8 0,6
17,0 2,2 2,1 1,9 1,8 1,6 1,4 1,3 1,1 1,0 0,8
17,5 2,4 2,2 2,1 1,9 1,8 1,6 1,4 1,3 1,1 1,0
18,0 2,6 2,4 2,2 2,1 1,9 1,8 1,6 1,4 1,3 1,1
18,5 2,7 2,6 2,4 2,2 2,1 1,9 1,8 1,6 1,4 1,3
19,0 2,9 2,7 2,6 2,4 2,2 2,1 1,9 1,8 1,6 1,4
19,5 3,0 2,9 2,7 2,6 2,4 2,2 2,1 1,9 1,8 1,6
20,0 3,2 3,0 2,9 2,7 2,6 2,4 2,2 2,1 1,9 1,8
20,5 3,4 3,2 3,0 2,9 2,7 2,6 2,4 2,2 2,1 1,9
21,0 3,5 3,4 3,2 3,0 2,9 2,7 2,6 2,4 2,2 2,1
21,5 3,7 3,5 3,4 3,2 3,0 2,9 2,7 2,6 2,4 2,2
22,0 3,8 3,7 3,5 3,4 3,2 3,0 2,9 2,7 2,6 2,4
22,5 4,0 3,8 3,7 3,5 3,4 3,2 3,0 2,9 2,7 2,6
23,0 4,2 4,0 3,8 3,7 3,5 3,4 3,2 3,0 2,9 2,7
23,5 4,3 4,2 4,0 3,8 3,7 3,5 3,4 3,2 3,0 2,9
24,0 4,5 4,3 4,2 4,0 3,8 3,7 3,5 3,4 3,2 3,0
24,5 4,6 4,5 4,3 4,2 4,0 3,8 3,7 3,5 3,4 3,2
25,0 4,8 4,6 4,5 4,3 4,2 4,0 3,8 3,7 3,5 3,4

ПРИЛОЖЕНИЕ 5
Обязательное

ТАБЛИЦА ПОПРАВОК ДЛЯ ОПРЕДЕЛЕНИЯ ФАКТИЧЕСКОЙ ПЛОТНОСТИ ОБЕЗЖИРЕННОГО МОЛОКА В ДИАПАЗОНЕ ТЕМПЕРАТУР 10 - 15 °С

Температура молока t при измерении плотности, °С Значение величины поправки, кг/м3, при температуре молока, °С
10,0 10,5 11,0 11,5 12,0 12,5 13,0 13,5 14,0 14,5
15,0 1,3 1,2 1,1 1,0 0,8 0,7 0,6 0,4 0,3 0,1
15,5 1,4 1,3 1,2 1,1 1,0 0,8 0,7 0,6 0,4 0,3
16,0 1,6 1,4 1,3 1,2 1,1 1,0 0,8 0,7 0,6 0,4
16,5 1,7 1,6 1,4 1,3 1,2 1,1 1,0 0,8 0,7 0,6
17,0 1,8 1,7 1,6 1,4 1,3 1,2 1,1 1,0 0,8 0,7
17,5 2,0 1,8 1,7 1,6 1,4 1,3 1,2 1,1 1,0 0,8
18,0 2,1 2,0 1,8 1,7 1,6 1,4 1,3 1,2 1,1 1,0
18,5 2,2 2,1 2,0 1,8 1,7 1,6 1,4 1,3 1,2 1,1
19,0 2,3 2,2 2,1 2,0 1,8 1,7 1,6 1,4 1,3 1,2
19,5 2,5 2,3 2,2 2,1 2,0 1,8 1,7 1,6 1,4 1,3
20,0 2,6 2,5 2,3 2,2 2,1 2,0 1,8 1,7 1,6 1,4
20,5 2,7 2,6 2,5 2,3 2,2 2,1 2,0 1,8 1,7 1,6
21,0 2,9 2,7 2,6 2,5 2,3 2,2 2,1 2,0 1,8 1,7
21,5 3,0 2,9 2,7 2,6 2,5 2,3 2,2 2,1 2,0 1,8
22,0 3,1 3,0 2,9 2,7 2,6 2,5 2,3 2,2 2,1 2,0
22,5 3,3 3,1 3,0 2,9 2,7 2,6 2,5 2,3 2,2 2,1
23,0 3,4 3,3 3,1 3,0 2,9 2,7 2,6 2,5 2,3 2,2
23,5 3,5 3,4 3,3 3,1 3,0 2,9 2,7 2,6 2,5 2,3
24,0 3,6 3,5 3,4 3,3 3,1 3,0 2,9 2,7 2,6 2,5
24,5 3,8 3,6 3,5 3,4 3,3 3,1 3,0 2,9 2,7 2,6
25,0 3,9 3,8 3,6 3,5 3,4 3,3 3,1 3,0 2,9 2,7

ПРИЛОЖЕНИЕ 6
Справочное

Пример 1. Рассмотрим два возможных случая при измерении температуры t пробы молока.

В первом: отсчет показаний температуры составил: = 16,0 °С и = 16,5 °С. Среднеарифметическое значение температуры пробы будет равно

.

Во втором: отсчет показаний температуры составил: = 15,5 °С и = 16,0 °С. Среднеарифметическое значение температуры пробы будет равно:

.

За окончательный результат измерений в первом и во втором случаях принимается t = 16,0 °С. При этом руководствуются следующим правилом: если дробная часть среднеарифметического значения температуры равна или менее 0,25 °С, то ее не учитывают; если она равна или более 0,75 °С, то ее округляют до единицы; если она более 0,25 °С, но менее 0,75 °С, ее округляют до 0,5 °С.

Пример 2. Рассмотрим два возможных случая при измерении плотности пробы молока.

В первом: отсчет показаний плотности составил: = 1028,5 кг/м3 и = 1028,0 кг/м3. Среднеарифметическое значение плотности пробы будет равно:

кг/м3.

Во втором: отсчет показаний плотности составил: = 1028,0 кг/м3 и = 1027,5 кг/м3. Среднеарифметическое значение плотности пробы будет равно:

кг/м3.

За окончательный результат измерений в первом и во втором случаях принимается = 1028,0 кг/м3.

При этом руководствуются правилом округления численного значения , изложенным выше (см пример 1).

Пример 3. Температура коровьего молока t = 15,5 °С, = 1029,0 кг/м3. По таблице (см. приложение 2) значению плотности 1029,0 кг/м3 при температуре 15,5 °С соответствует приведенное к 20 °С значение плотности 1027,6 кг/м3.

Пример 4. Температура обезжиренного молока t = 16,0 °С, плотность = 1033,5 кг/м3. По таблице (см. приложение 3) значению плотности 1033,5 кг/м3 при температуре 16,0 °С соответствует приведенное к 20 °С значение плотности 1032,5 кг/м3.

Пример 5. Температура обезжиренного молока t = 20,0 °С, плотность = 1031,0 кг/м3. В этом случае значение плотности соответствует значению плотности, приведенному к 20 °С.

Пример 6. Температура коровьего заготовляемого молока 12,5 °С. Плотность пробы этого молока = 1029,5 кг/м3 при температуре t = 16,0 °С. В таблице поправок (см. приложение 4) находят в левой крайней графе строку со значением температуры 16,0 °С. На пересечении этой строки и графы для температуры заготовляемого молока, равной 12,5 °С, находят значение величины поправки плотности 1,1 кг/м3. Фактическая плотность молока при температуре 12,5 °С будет равна: 1029,5 кг/м3 + 1,1 кг/м3 = 1030,6 кг/м3.

Аналогичным образом находят значение величины поправки для обезжиренного молока по таблице приложения 5.

Пример 7. Среднеарифметическое значение плотности молока при 20 °С вычисляют по двум полученным значениям плотности и до шести значащих цифр, округляя полученный результат до пяти значащих цифр.

Рассмотрим два возможных случая при вычислении плотности молока при 20 °С.

В первом: значения плотности для одной и той же пробы молока составили = 1028,13 кг/м3 и = 1028,25 кг/м3. Среднеарифметическое значение = (1028,13+1028,25):2 = 1028,19 кг/м3. За плотность этой пробы молока при 20 °С принимается значение 1028,2 кг/м3.

Во втором: значения плотности для одной и той же пробы молока составили = 1027,23 кг/м3 и = 1027,05 кг/м3. Среднеарифметическое значение = (1027,23+1027,05):2 = 1027,14 кг/м3. За плотность этой пробы молока при 20 °С принимается значение 1027,1 кг/м3.

Во всех случаях при округлении вычисленных значений плотности при 20 °С руководствуются правилом: если шестая отбрасываемая цифра, считая слева направо, равна или больше 5, то последняя сохраняемая цифра увеличивается на единицу; если же шестая отбрасываемая цифра, считая слева направо, меньше 5, то последняя сохраняемая цифра не меняется.

Пример 8. Среднеарифметическое значение плотности сгущенных молочных консервов при 20 °С вычисляют по двум полученным значениям плотности и , округляя полученный результат до целого числа.

Рассмотрим два возможных случая вычисления плотности продукта при 20 °С.

В первом: значения плотности для одной и той же пробы составили = 1310 кг/м3 и = 1312 кг/м3.

Среднеарифметическое значение кг/м3. За плотность этой пробы продукта при 20 °С принимается значение 1311 кг/м3.

Во втором: значения плотности для одной и той же пробы составили = 1247 кг/м3 и = 1248 кг/м3.

Среднеарифметическое значение кг/м3. За плотность этой пробы продукта при 20 °С принимается значение 1248 кг/м3. (в ред. Изменения N 1)