Молоко и молочные продукты. Методы определения жира. ГОСТ 5867-90

(утв. Постановлением Государственного комитета СССР по управлению качеством продукции и стандартам от 26.07.90 N 2293)
Редакция от 26.07.1990 — Документ не действует

МЕЖГОСУДАРСТВЕННЫЙ СТАНДАРТ

МОЛОКО И МОЛОЧНЫЕ ПРОДУКТЫ

МЕТОДЫ ОПРЕДЕЛЕНИЯ ЖИРА

Milk and dairy products.

Method of determination of fat

ГОСТ 5867-90

МКС 67.100.10

ОКСТУ 9209

Группа Н19

Дата введения 1991-07-01

ИНФОРМАЦИОННЫЕ ДАННЫЕ

1. РАЗРАБОТАН И ВНЕСЕН Всесоюзным научно-исследовательским и конструкторским институтом молочной промышленности (ВНИКМИ), Научно-производственным объединением маслодельной и сыродельной промышленности "Углич" (НПО "Углич"), Союзным научно-исследовательским институтом приборостроения (СНИИП)

РАЗРАБОТЧИКИ

Я.И.Костин, канд. техн. наук; О.А.Гераймович, И.Р.Давыдова, канд. хим. наук; Ю.Я.Свириденко, канд. техн. наук; Ю.П.Андрианов, канд. техн. наук; Н.В.Смурыгина; А.Ю.Бер, канд. техн. наук; Л.А.Дьяченко, канд. техн. наук

2. УТВЕРЖДЕН И ВВЕДЕН В ДЕЙСТВИЕ Постановлением Государственного комитета СССР по управлению качеством продукции и стандартам от 26.07.90 N 2293

3. Стандарт соответствует СТ СЭВ 3838-82 в части определения массовой доли жира в сыре

4. ВЗАМЕН ГОСТ 5867-69, ГОСТ 6822-67 в части п.2.2

5. ССЫЛОЧНЫЕ НОРМАТИВНО-ТЕХНИЧЕСКИЕ ДОКУМЕНТЫ

Обозначение НТД, на который дана ссылка Номер раздела, пункта, подпункта
ГОСТ 1770-74 2.1; 3.1; 4.1
ГОСТ 2184-77 2.1
ГОСТ 2874-82 4.1
ГОСТ 3118-77 4.1
ГОСТ 3622-68 Разд.1
ГОСТ 3626-73 2.3.4; 2.3.5
ГОСТ 3627-81 2.3.5
ГОСТ 4204-77 2.1
ГОСТ 4220-75 3.1
ГОСТ 4328-77 3.1
ГОСТ 5541-2002 4.1
ГОСТ 5830-79 2.1
ГОСТ 6709-72 2.1; 3.1; 4.1
ГОСТ 8433-81 3.1
ГОСТ 9412-93 3.1
ГОСТ 10652-73 3.1
ГОСТ 13928-84 Разд.1
ГОСТ 14919-83 4.1
ГОСТ 18300-87 4.1
ГОСТ 18481-81 2.1
ГОСТ 22760-77 3.2.2.3; 3.2.3.1; 3.2.3.4; 3.2.4.1; 3.4.2
ГОСТ 23094-78 2.1
ГОСТ 24104-88 2.1; 3.1; 4.1
ГОСТ 25336-82 3.1; 4.1
ГОСТ 26809-86 Разд.1
ГОСТ 28498-90 2.1; 3.1; 4.1
ГОСТ 29169-91 2.1; 3.1
ГФ IX 4.1
ГОСТ 6-09-108-85 3.1
ТУ 10-11-299-86 3.1
ТУ 25-2024.019-88 2.1
ТУ 38-105-1038-88 2.1

6. Ограничение срока действия снято по протоколу N 4-93 Межгосударственного совета по стандартизации, метрологии и сертификации (ИУС 4-94)

7. ПЕРЕИЗДАНИЕ

ВНЕСЕНА поправка, опубликованная в ИУС N 8, 2009 год

Настоящий стандарт распространяется на молоко, молочный напиток, молочные и молокосодержащие продукты, кисломолочные продукты, сыр и сырные продукты, масло и масляную пасту, сливочно-растительный спред и сливочно-растительную топленую смесь, мороженое и устанавливает методы определения массовой доли жира: кислотный в молоке и молочных продуктах, турбидиметрический в сыром молоке и экстракционный в сычужных и плавленых сырах.

Стандарт не распространяется на казеин, молочные консервы и сухие молочные продукты.

1. МЕТОДЫ ОТБОРА ПРОБ

Отбор проб молока и молочных продуктов и подготовка их к анализам - по ГОСТ 13928,ГОСТ 3622 и ГОСТ 26809.

2. КИСЛОТНЫЙ МЕТОД

Метод основан на выделении жира из молока, молочного напитка, молочных и молокосодержащих продуктов, кисломолочных продуктов, сыра и сырных продуктов, масла и масляной пасты, сливочно-растительного спреда и сливочно-растительной топленой смеси, мороженого под действием концентрированной серной кислоты и изоамилового спирта с последующим центрифугированием и измерении объема выделившегося жира в градуированной части жиромера.

2.1.Аппаратура, материалы и реактивы

Жиромеры (бутирометры) стеклянные исполнения 1-6, 1-7, 1-40, 2-0,5, 2-1,0 по ГОСТ 23094 или ТУ 25-2024.019.

Пробки резиновые для жиромеров по ТУ 38-105-1058.

Пипетки 2-1-5, 3-1-5, 6-1-10, 7-1-10 и 2-1-10, 77 по ГОСТ 29169.

Груша резиновая.

Приборы (дозаторы) для отмеривания изоамилового спирта и серной кислоты вместимостью, соответственно, 1 и 10 см3 по ГОСТ 6859.

Центрифуга для измерения массовой доли жира молока и молочных продуктов по нормативно-технической документации с частотой вращения не менее и не более .

Бани водяные, обеспечивающие поддержание температуры (65 ± 2) °С и (73 ± 3) °С.

Прибор нагревательный для водяной бани.

Штатив для жиромеров.

Термометры ртутные стеклянные с диапазоном измерения от 0 до 100 °С, с ценой деления 0,5 и 1,0 °С по ГОСТ 28498.

Весы лабораторные 4-го класса точности с наибольшим пределом взвешивания 200 г по ГОСТ 24104 <*>.

<*> С 1 июля 2002 г. введен в действие ГОСТ 24104-2001 (здесь и далее).

Цилиндр 1-50, 1-100 по ГОСТ 1770.

Ареометр общего назначения с диапазоном измерения от 700 до 2000 кг/м3 по ГОСТ 18481.

Часы песочные на 5 мин или секундомер по нормативно-технической документации.

Кислота серная по ГОСТ 4204 или кислота серная техническая по ГОСТ 2184 (купоросное масло контактных и концентрационных систем).

Спирт изоамиловый по ГОСТ 5830 или спирт изоамиловый технический, сорт А.

Вода дистиллированная по ГОСТ 6709.

Допускается применение других средств измерений с метрологическими характеристиками и оборудования с техническими характеристиками не хуже, а также реактивов по качеству не ниже вышеуказанных.

2.2. Проведение измерений

2.2.1. Молоко (сырое, пастеризованное различных видов, кроме обезжиренного, стерилизованное, для детского питания и молочный напиток)

2.2.1.1. В два молочных жиромера (типов 1 - 6 или 1 - 7), стараясь не смочить горло, наливают дозатором по 10 см3 серной кислоты (плотностью от 1810 до 1820 кг/м3) и осторожно, чтобы жидкости не смешивались, добавляют пипеткой по 10,77 см3 молока, приложив кончик пипетки к горлу жиромера под углом. Уровень молока в пипетке устанавливают по нижней точке мениска.

Молоко из пипетки должно вытекать медленно. После опорожнения пипетку отнимают от горловины жиромера не ранее чем через 3 с. Выдувание молока из пипетки не допускается. Дозатором добавляют в жиромеры по 1 см3 изоамилового спирта.

Уровень смеси в жиромере устанавливают на 1 - 2 мм ниже основания горловины жиромера, для чего разрешается добавлять несколько капель дистиллированной воды.

Рекомендуется для повышения точности измерений, особенно для молока низкой плотности, применять взвешивание при дозировке пробы. В этом случае сначала взвешивают 11,00 г молока с отсчетом до 0,005 г, затем приливают серную кислоту и изоамиловый спирт.

2.2.1.2. Жиромеры закрывают сухими пробками, вводя их немного более чем наполовину в горловину жиромеров. Жиромеры встряхивают до полного растворения белковых веществ, переворачивая не менее 5 раз так, чтобы жидкости в них полностью перемешались.

Рекомендуется для обеспечения проведения измерений наносить мел на поверхность пробок для укупорки жиромеров.

2.2.1.3. Устанавливают жиромеры пробкой вниз на 5 мин в водяную баню при температуре (65 ± 2) °С.

2.2.1.4. Вынув из бани, жиромеры вставляют в стаканы центрифуги градуированной частью к центру. Жиромеры располагают симметрично, один против другого. При нечетном числе жиромеров в центрифугу помещают жиромер, наполненный водой вместо молока, серной кислотой и изоамиловым спиртом в том же соотношении, что и для анализа.

Жиромеры центрифугируют 5 мин. Каждый жиромер вынимают из центрифуги и движением резиновой пробки регулируют столбик жира так, чтобы он находился в градуированной части жиромера.

2.2.1.5. Жиромеры погружают пробками вниз на 5 мин в водяную баню при температуре (65 ± 2) °С, при этом уровень воды в бане должен быть несколько выше уровня жира в жиромере.

2.2.1.6. Жиромеры вынимают по одному из водяной бани и быстро производят отсчет жира. При отсчете жиромер держат вертикально, граница жира должна находиться на уровне глаз. Движением пробки устанавливают нижнюю границу столбика жира на нулевом или целом делении шкалы жиромера. От него отсчитывают число делений до нижней точки мениска столбика жира с точностью до наименьшего деления шкалы жиромера.

Граница раздела жира и кислоты должна быть резкой, а столбик жира прозрачным. При наличии "кольца" (пробки) буроватого или темно-желтого цвета, различных примесей в столбике жира или размытой нижней границы измерение проводят повторно.

2.2.1.7. При анализе гомогенизированного или восстановленного молока определение в нем массовой доли жира проводят в соответствии с вышеописанными требованиями, но проводят трехкратное центрифугирование и нагревание между каждым центрифугированием в водяной бане при температуре (65 ± 2) °С в течение 5 мин.

При использовании центрифуги с подогревом жиромеров допускается проведение одного центрифугирования в течение 15 мин с последующей выдержкой в водяной бане при температуре (65 ± 2) °С в течение 5 мин.

2.2.2. Кисломолочные продукты (кефир, простокваша, ряженка, ацидофилин, сметана, творог, творожные изделия и др., в том числе кисломолочные продукты для детского питания), сливки, мороженое.

Определение жира проводят в соответствии с пп.2.2.1.1 - 2.2.1.7, требованиями, указанными в табл.1, и следующими дополнительными условиями:

последовательность операций при заполнении жиромера - отвешивание продукта в жиромер с отсчетом до 0,005 г, добавление воды (при необходимости), серной кислоты и изоамилового спирта;

серную кислоту в жиромер с водой добавляют осторожно, слегка наклонив жиромер;

при определении жира в сливках, сметане, твороге, творожных изделиях и мороженом подогревание жиромеров с исследуемой смесью перед центрифугированием проводят в водяной бане при частом встряхивании до полного растворения белка;

при определении жира в сливках, сметане и молочном мороженом уровень смеси в жиромере устанавливают на 4 - 5 мм ниже основания горловины жиромера, при определении жира в сливочном мороженом и пломбире - на 6 - 10 мм.

Таблица 1

Наименование продукта Тип жиромера Объем, масса образца для анализа Объем добавленной воды, см3 Плотность серной кислоты, кг/м3 Объем серной кислоты, см3 Количество центрифугирований Сходимость,% массовой доли жира, не более
Молоко всех видов, кроме обезжиренного, и молочный напиток, негомогенизированное 1 - 6;
1 - 7
10,77 см3; 11,00 г - От 1810 до 1820 10 1 0,1
Молоко всех видов, кроме обезжиренного, и молочный напиток, гомогенизированное 1 - 6;
1 - 7
10,77 см3; 11,00 г - От 1810 до 1820 10 3 0,1
Кисломолочные продукты из негомогенизированного молока 1 - 6;
1 - 7
11,00 г - От 1810 до 1820 10 1 0,1
Кисломолочные продукты из гомогенизированного молока, в т.ч. для детского питания 1 - 6;
1 - 7
11,00 г - От 1810 до 1820 10 3 0,1
Сливки негомогенизированные и сметана из негомогенизированных сливок с массовой долей жира не более 40%; творог, творожные изделия без сахара 1 - 40 5,00 г 5 От 1810 до 1820 10 1 0,5
Сливки негомогенизированные с массовой долей жира более 40% 1 - 40 2,50 г 7,5 От 1810 до 1820 10 1 1,0
Сливки гомогенизированные и сметана из гомогенизированных сливок 1 - 40 5,00 г 5 От 1810 до 1820 10 3 0,5
Творожные продукты с сахаром 1 - 40 5,00 г 5 От 1800 до 1810 10 1 0,5
Мороженое молочное и любительских видов с массовой долей жира не более 5% из гомогенизированной смеси 1 - 6;
1 - 7
5,00 г - От 1500 до 1550 16 4 0,2
Мороженое сливочное и любительских видов с массовой долей жира от 5 до 10%, из гомогенизированной смеси 1 - 6; 1 - 7
1 - 40
5,00 г - От 1500 до 1550 16 4 0,2
0,5
Мороженое сливочное и любительских видов с массовой долей жира от 5 до 10%, из негомогенизированной смеси 1 - 6; 1 - 7
1 - 40
5,00 г - От 1500 до 1550 16 1 0,2
0,5
Мороженое пломбир и любительских видов с массовой долей жира более 10% 1 - 6; 1 - 7
1 - 40
4,00 г
5,00 г
- От 1500 до 1550 16 4 0,3
0,5
Сыры сычужные, плавленые и сырные продукты 1 - 6; 1 - 7 1,50 г - От 1500 до 1550 19 1 0,7
Масло сливочное с наполнителями и масляная паста с наполнителями 1 - 40 2,50 г - От 1500 до 1550 16 1 1,0
Масло сливочное без наполнителей (производственный метод), кроме соленого масла - - - - - - 0,3
Молоко нежирное и пахта 2 - 0,5
2 - 1,0
10,77 см3 х 2 - От 1810 до 1820 20 3 0,02
0,05
Сыворотка (после сепарирования) 2 - 0,5 10,77 см3 х 2   От 1780 до 1800 20 3 0,02

2.2.3. Сыры (сычужные и плавленые) и сырные продукты

2.2.3.1. Условия проведения измерений соответствуют требованиям табл.1.

В два жиромера отвешивают по 1,50 г сыра с отсчетом до 0,005 г, затем приливают дозатором по 10 см3 серной кислоты, доливают по (9 ± 1) см3 так, чтобы уровень жидкости был от 4 до 6 мм ниже основания горловины жиромера. Дозатором добавляют в жиромеры по 1 см3 изоамилового спирта. Жиромеры закрывают пробками и помещают в водяную баню при температуре (65 ± 2) °С. Жиромеры выдерживают в водяной бане при частом встряхивании до полного растворения белка в течение (60 ± 10) мин.

В случае неполного растворения белка в течение указанного времени допускается при повторном определении устанавливать температуру водяной бани (73±3) °С. Отсчет показаний жиромера при этом проводят после пятиминутной выдержки жиромеров в водяной бане при температуре (65 ± 2) °С.

Далее измерения проводят по пп.2.2.1.5 - 2.2.1.6.

2.2.4. Масло

2.2.4.1. Масло без наполнителей

Массовую долю жира в масле находят расчетным путем (см. п.2.3.5).

2.2.4.2. Масло с наполнителями и масляная паста с наполнителями

Условия проведения измерений соответствуют требованиям табл.1.

В два жиромера отвешивают по 2,50 г масла с отсчетом до 0,005 г, приливают дозатором по 10 см3 серной кислоты, доливают по (6 ± 1) см3 серной кислоты так, чтобы уровень жидкости был от 4 до 6 мм ниже основания горловины жиромера.

Дозатором добавляют в жиромеры по 1 см3 изоамилового спирта. Закрывают жиромеры пробками и помещают их в водяную баню при температуре (65 ± 2) °С. Жиромеры выдерживают в водяной бане при частом встряхивании до полного растворения белка. Далее измерения проводят по пп.2.2.1.5 - 2.2.1.6.

2.2.5. Молоко обезжиренное, пахта

2.2.5.1. Условия проведения измерений соответствуют требованиям табл.1.

2.2.5.2. В два жиромера, горловины которых со стороны градуированной части закрыты пробками, осторожно, стараясь не смочить горловину, отмеривают серную кислоту. Затем отмеривают исследуемый продукт в каждый жиромер при помощи пипетки вместимостью 10,77 см3 (по 2 раза), осторожно сливая его по стенке жиромеров.

2.2.5.3. Дозатором добавляют в жиромеры по 2 см3 изоамилового спирта.

2.2.5.4. Жиромеры закрывают большими пробками и встряхивают до полного растворения белковых веществ, время от времени переворачивая.

2.2.5.5. Жиромеры устанавливают большой пробкой вниз на 5 мин в водяную баню температурой (65 ± 2) °С.

2.2.5.6. Вынув из бани, жиромеры устанавливают в центрифугу градуированной частью к центру. Центрифугируют три раза по 5 мин или два раза по 10 мин. Между центрифугированием жиромеры термостатируют по 5 мин в водяной бане при температуре (65 ± 2) °С.

2.2.5.7. После первого центрифугирования, для облегчения регулирования уровня жира в жиромере, маленькую пробку слегка приоткрывают, не вынимая ее полностью. С помощью большой пробки устанавливают верхний уровень жидкости в градуированной части жиромера. Затем меньшее отверстие плотно закрывают.

Обычно после первого центрифугирования заметного отделения жира не наблюдают.

После второго центрифугирования и выдерживания в водяной бане проверяют положения уровня жидкости.

2.2.5.8. После третьего центрифугирования вынимают из жиромеров маленькие пробки, помещают на 5 мин в водяную баню при температуре (65 ± 2) °С и следят, чтобы уровень жидкости не поднимался выше делений шкалы.

2.2.5.9. Вынув жиромер из бани и, регулируя большой пробкой, устанавливают нижнюю границу жира на нулевом или ближайшем целом делении шкалы и быстро производят отсчет жира.

2.2.6. Сыворотка

2.2.6.1. Для очистки сыворотки от белковых частиц пробу нагревают до (35 ± 5) °С и фильтруют через ватный фильтр или не менее чем через три слоя марли.

2.2.6.2. В сыворотке после сепарирования измерение массовой доли жира проводят аналогично измерению массовой доли жира в нежирном молоке в соответствии с требованиями п.2.2.5 и табл.1.

2.3. Обработка результатов

2.3.1. За результат измерений принимают среднеарифметическое значение результатов двух параллельных наблюдений, расхождение между которыми (сходимость) не превышает значений, указанных в табл.1.

2.3.2. Показания жиромера при измерениях в молоке, в т.ч. нежирном; кисломолочных продуктах, в т.ч. сметане, твороге; сливках (с массовой долей жира не более 40%), сливочном мороженом, пломбире, пахте и сыворотке соответствуют массовой доле жира в этих продуктах в процентах.

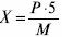
2.3.3. Массовую долю жира X, %, в молочном мороженом и сыре вычисляют по формуле

,

в сливках с массовой долей жира более 40% и в масле с наполнителями по формуле

,

где Р - результат измерений по п.2.3.1, %;

М - масса навески, г;

11 и 5 - массы навесок продуктов, которые используют для градуировки жиромеров (11 - для жиромеров 1 - 6; 1 - 7; 5 - для жиромеров 1 - 40), г.

2.3.4. Массовую долю жира в сыре и сырном продукте в пересчете на сухое вещество , %, вычисляют по формуле

,

где В - массовая доля влаги в сыре и сырном продукте, определенная в соответствии с ГОСТ 3626, %;

100 - коэффициент пересчета массовой доли жира на 100 г продукта.

2.3.5. Массовую долю жира в масле без наполнителей и , %, вычисляют по формулам:

,

,

где- массовая доля жира в масле и масляной пасте без наполнителей всех видов, кроме соленого, %;

В - массовая доля влаги в масле, определенная по разд.6 ГОСТ 3626 (производственный метод), %;

- массовая доля жира в соленом масле, %;

С - массовая доля обезжиренного сухого вещества в масле, определенная по ГОСТ 3626, %;

- массовая доля соли в масле, определенная по разд.6 ГОСТ 3627 (производственный метод), %;

100 - коэффициент пересчета массовой доли жира на 100 г продукта.

2.3.6. Пределы допускаемой погрешности результатов измерений при доверительной вероятности 0,90 соответствуют данным табл.2.

Таблица 2

Вид продукта Предел допускаемой погрешности, % массовой доли жира (±)
при измерении объема пробы пипеткой при измерении массы пробы весами Расчетный метод
Тип жиромера Тип жиромера
1 - 6 1 - 7 2 - 0,5 1 - 6 1 - 7 1 - 40
Молоко, молочные продукты без сахара 0,08 0,08 - 0,065 0,065 0,30 -
Молочные продукты с сахаром 0,09 0,09 - 0,075 0,075 0,40 -
Сыр плавленый - - - 0,83 0,83 - -
Сыр сычужный - - - 1,1 1,1 - -
Масло сливочное с наполнителями - - - - - 1,2 -
Масло сливочное без наполнителей (производственный метод), кроме соленого масла - - - - - - 1,0
Молоко нежирное - - 0,03 - - - -

3. ОПТИЧЕСКИЙ (ТУРБИДИМЕТРИЧЕСКИЙ) МЕТОД ОПРЕДЕЛЕНИЯ МАССОВОЙ ДОЛИ ЖИРА В МОЛОКЕ И МОЛОЧНОМ НАПИТКЕ

Метод основан на фотометрическом измерении степени ослабления лучистого потока светорассеяния слоем жировых шариков молока, молочного напитка.

3.1. Аппаратура, материалы и реактивы

Прибор для определения массовой доли жира ЦЖМ-1 по ТУ 10-11-299.

Весы лабораторные 4-го класса точности с наибольшим пределом взвешивания 200 г поГОСТ 24104.

Колба 1-1000-2, 2-1000-2, 1-2000-2, 2-2000-2 по ГОСТ 1770.

Воронка В-75-140 ХС, В-100-150 по ГОСТ 25336.

Цилиндр 1-100 по ГОСТ 1770.

Колба КН-1-3000-34/35ТС по ГОСТ 25336.

Пипетки 2-2-2, 3-2-2, 2-2-5, 3-2-5 по ГОСТ 29169.

Термометры ртутные стеклянные с диапазоном измерения от 0 до 100 °С, с ценой деления 1 °С по ГОСТ 28498.

Баня водяная.

Прибор нагревательный для водяной бани.

Стаканчик СВ по ГОСТ 25336.

Марля медицинская по ГОСТ 9412.

Бутыль вместимостью 10 дм3 по ОСТ 6-09-108.

Стаканчики пластмассовые с крышками.

Бумага индикаторная универсальная для измерения рН в диапазоне 9 - 10, по нормативно-технической документации.

Трилон Б по ГОСТ 10652 или по нормативно-технической документации, ч.д.а.

Натрия гидроокись по ГОСТ 4328 или по нормативно-технической документации х.ч. или ч.д.а.

Вещество вспомогательное ОП-7 по ГОСТ 8433 или эмульгатор синтанол ДС-6 по нормативно-технической документации.

Калий двухромовокислый по ГОСТ 4220, х.ч.

Пеногаситель АС-60 или пеногаситель пропинол Б-400 по нормативно-технической документации.

Вода дистиллированная по ГОСТ 6709.

Допускается применение других средств измерений с метрологическими характеристиками и оборудования с техническими характеристиками не хуже, а также реактивов по качеству не ниже вышеуказанных.

3.2. Подготовка к испытанию

3.2.1. Приготовление растворителя

3.2.1.1. Навески - 45 г трилона Б и 7,6 г гидроокиси натрия взвешивают с отсчетом до 0,1 г.

Навески или 45 г трилона Б и 7,6 г гидроокиси натрия из потребительской тары полностью переносят в колбу, растворяют в 3 дм3 дистиллированной воды, прокипяченной в течение 15 мин и охлажденной до температуры (20 ± 2) °С. Раствор в колбе тщательно перемешивают до полного растворения реактивов и выливают в бутыль вместимостью 10 дм3, которую предварительно градуируют при помощи мерной колбы и наносят метку для объема воды 10 дм3 при температуре (20 ± 2) °С.

3.2.1.2. Вспомогательное вещество ОП-7 подогревают на водяной бане при температуре от 35 до 40 °С до жидкой консистенции. При помощи пипетки 5 см3 вспомогательного вещества переносят в колбу вместимостью 3 дм3 и растворяют в 2 дм3 дистиллированной воды, прокипяченной в течение 15 мин и охлажденной до температуры (20 ± 2) °С. Раствор выливают в стеклянную бутыль вместимостью 10 дм3, в которой растворены трилон Б и гидроокись натрия.

3.2.1.3. 2 см3 пеногасителя АС-60 растворяют в 2 дм3 подогретой до температуры 70 - 80 °С дистиллированной воды, содержащей вспомогательное вещество ОП-7, и раствор выливают в ту же стеклянную бутыль вместимостью 10 дм3.

3.2.1.4. При отсутствии компонентов для приготовления раствора по пп.3.2.1.2 - 3.2.1.3 его готовят следующим образом: 3,6 г смеси эмульгатора синтанола ДС-6 и пеногасителя пропинола Б-400 из потребительской тары (синтанола ДС-6 3 г, пропинола Б-400 0,6 г) помещают в стаканчик с объемом дистиллированной воды от 25 до 30 см3, прокипяченной в течение 15 мин и охлажденной до температуры (6 ± 2) °С. Для полного растворения реактивов смесь тщательно перемешивают. Раствор из стаканчика полностью переносят в колбу вместимостью 3 дм3 и добавляют 2 дм3 дистиллированной воды, прокипяченной в течение 15 мин и охлажденной до температуры (6 ± 2) °С. Раствор перемешивают до полного растворения компонентов и выливают в бутыль вместимостью 10 дм3, в которой растворены трилон Б и гидроокись натрия.

3.2.1.5. Объем раствора в бутыли доводят до 10 дм3, охлажденной до температуры (20 ± 2) °С, прокипяченной в течение 15 мин дистиллированной водой. Универсальной индикаторной бумагой проверяют рН раствора, которая должна быть в пределах 9,5 - 10,0. Если рН раствора не входит в указанные пределы, то при приготовлении раствора допущена ошибка и следует приготовить новый раствор.

Раствор следует использовать не ранее чем через 24 ч после приготовления. Раствор хранят в темном месте в плотно закрытой бутыли не более 4 недель при температуре не выше 25 °С.

3.2.2. Требования к поверке и контролю метрологических характеристик прибора в процессе эксплуатации

3.2.2.1. Прибор после его установки и ремонта подлежит обязательной поверке.

3.2.2.2. Периодическая поверка прибора для подтверждения правильности показаний массовой доли жира на приборе проводится не менее одного раза в квартал.

3.2.2.3. Поверка прибора должна проводиться гравиметрическим методом по ГОСТ 22760 или кислотным методом, указанным в настоящем стандарте.

3.2.2.4. Прибор подлежит обязательному ежедневному контролю в процессе эксплуатации. В случае замены реактивов, обнаружения и исправления неполадок в работе прибор также подлежит обязательному контролю.

3.2.3. Градуировка прибора

3.2.3.1. Для градуировки прибора подготавливают пробы молока, молочного напитка в диапазоне значений массовой доли жира от 0 до 6,5%. Пробы готовят из одной партии сборного молока, молочного напитка. Для этого свежее молоко, молочный напиток охлаждают до температуры не выше 6 °С и выдерживают в течение 7 - 10 ч для отстоя сливок. Пробу молока, молочного напитка с низкой массовой долей жира получают посредством отбора молока, молочного напитка со дна сосуда, а с высоким - из верхнего слоя. Путем смешивания этих двух проб молока, молочного напитка в определенных пропорциях получают пробы с массовой долей жира во всем определяемом диапазоне.

В каждой пробе проводят два параллельных определения по ГОСТ 22760 или четыре параллельных определения, если в качестве контрольного используют кислотный метод, указанный в настоящем стандарте. Разница между параллельными определениями не должна быть более 0,03% при измерении жира методом по ГОСТ 22760 или 0,1% при измерении жира кислотным методом, указанным в настоящем стандарте. Вычисляют среднеарифметическое значение параллельных определений.

3.2.3.2. Для градуировки прибора готовят не менее пяти проб молока, молочного напитка с разной массовой долей жира, соответствующей диапазону измерения. В каждой пробе определяют массовую долю жира контрольными методами в соответствии с п.3.2.3.1 и на приборе. По результатам измерения этих проб настраивают прибор. Пробы нагревают в водяной бане до температуры (40 ± 2) °С, тщательно перемешивают, избегая образования пузырьков. Затем определяют массовую долю жира в пробе на приборе в пятикратной повторности. Необходимо определять массовую долю жира в градуировочных пробах в порядке постепенного возрастания жирности. Результат первого измерения отбрасывают, а среднеарифметическое определяют по оставшимся четырем измерениям.

Прибор может быть отградуирован по пробам свежего или консервированного молока, молочного напитка.

3.2.4. Поверка прибора

3.2.4.1. Для периодической поверки работы прибора пробы готовят в соответствии с п.3.2.3.1 и определяют массовую долю жира по п.3.2.3.2.

3.2.4.2. Разница между измерениями массовой доли жира в пробах, анализируемых на приборе и контрольным методом по ГОСТ 22760 должна быть не более ± 0,06%, а контрольным кислотным методом, указанным в настоящем стандарте, - не более ± 0,11%. Если при поверке разница между средними значениями массовой доли жира в пробах, измеренных на приборе и контрольными методами, будет более указанной, то проводится регулировка прибора. Затем проводят повторные определения массовой доли жира на приборе в тех пробах молока, молочного напитка, в которых определялась массовая доля жира до регулировки прибора.

3.2.5. Ежедневный контроль градуировки прибора

3.2.5.1. Для ежедневного контроля градуировки прибора приготавливают две пробы свежего натурального сборного молока, молочного напитка с низкой и высокой массовой долей жира и определяют массовую долю жира на приборе и контрольным методом по ГОСТ 22760 или кислотным методом, указанным в настоящем стандарте, в соответствии с п.3.2.3.1. Консервируют пробы двухромовокислым калием, добавляя его в таком количестве, чтобы массовая концентрация его была 1 г/дм3.

3.2.5.2. Разливают каждую пробу консервированного молока, молочного напитка (не менее 30 см3) в бюксы или пластмассовые стаканчики с крышками, или бутылочки с пробками вместимостью 50 или 100 см3. Пробы молока, молочного напитка, плотно закрытые, хранятся в течение трех суток.

3.2.6. Контроль прибора

3.2.6.1. Ежедневно перед работой проводят контроль правильности работы прибора. Нагревают в водяной бане до температуры (40 ± 2) °С по одной бюксе молока, молочного напитка с низкой и высокой массовой долей жира. Пробы тщательно перемешивают, избегая образования пузырьков. Затем определяют массовую долю жира в пробе на приборе в четырехкратной повторности.

3.2.6.2. Определяют из двух последних измерений среднеарифметическое значение массовой доли жира.

Разница в результатах анализа между контрольным и приборным методами должна соответствовать п.3.2.4.2. В случае несоответствия требованиям п.3.2.4.2 прибор настраивают при помощи регулировочных устройств.

3.2.6.3. Допускается при контроле использовать устройства для ослабления лучистого потока.

3.3. Проведение испытаний

3.3.1. Перед началом испытания прибор включают в сеть за 1 ч до работы.

3.3.2. После всасывания растворителя устанавливают на отсчетном устройстве прибора показания от 0 до 0,05%.

3.3.3. Проводят контроль правильности показаний прибора в соответствии с п.3.2.5.

3.3.4. Затем проводят контроль прибора на сходимость результатов путем четырехкратного измерения массовой доли жира в пробах молока, молочного напитка с низкой и высокой жирностью. Расхождения между тремя последними измерениями для одной пробы не должны превышать ± 0,05% жира.

3.3.5. Подготовленная для испытания нагретая до (40 ± 2) °С проба молока, молочного напитка поступает в смеситель, где смешивается с растворителем. Затем смесь гомогенизируется и подается в фотометрическую кювету. Прошедшее через слой смеси излучение фотометрируется. Отсчет массовой доли жира ведется по шкале прибора.

3.4. Обработка результатов

3.4.1. Отсчет показаний проводят по шкале или цифровому индикатору с дискретностью отсчета не более 0,01% массовой доли жира.

3.4.2. Необходимо проводить два измерения массовой доли жира в одной и той же пробе молока, молочного напитка. Если показания различаются на величину не более 0,05%, то за окончательный результат принимается среднеарифметическое значение двух измерений, округленное до 0,01%. В случае, если расхождение между показаниями более чем 0,05%, то проводится третье измерение. За окончательный результат принимается среднеарифметическое значение двух измерений, отличающихся не более чем на 0,05%. Предел допускаемого значения систематической составляющей погрешности (разность средних значений результатов измерений) турбидиметрического метода ±0,1% при =0,95 по сравнению с методом, указанным в ГОСТ 22760 для сборного натурального молока, молочного напитка. Предел допускаемого значения среднеквадратичного отклонения случайной составляющей погрешности метода при измерении одной и той же пробы сборного натурального молока, молочного напитка - 0,02% (по результатам однократных измерений).

Систематическая составляющая погрешность прибора не более:

в диапазоне (0,10 - 0,99)% ±0,06%;

в диапазоне (1,00 - 6,50)% ±0,10%.

Среднеквадратичное отклонение случайной составляющей погрешности прибора не более:

в диапазоне (0,10 - 0,99)% - 0,03%;

в диапазоне (1,00 - 6,50)% - 0,05%.

Среднеквадратичное отклонение случайной составляющей погрешности прибора при измерении одной и той же пробы сборного натурального молока, молочного напитка с массовой долей жира в диапазоне (0,10 - 6,50) % не более 0,02%.

4. ЭКСТРАКЦИОННЫЙ МЕТОД ОПРЕДЕЛЕНИЯ МАССОВОЙ ДОЛИ ЖИРА В СЫЧУЖНЫХ И ПЛАВЛЕНЫХ СЫРАХ И СЫРНЫХ ПРОДУКТАХ

Метод применяется при возникновении разногласий в оценке качества продукта.

Сущность метода заключается в обработке сыра соляной кислотой, добавлении спирта и последующей экстракции жира из кислотно-спиртовой смеси диэтиловым и петролейным эфирами, выпаривании растворителей и взвешивании остатка (принцип Шмидта-Бондзински-Рацлава).

4.1. Аппаратура, материалы и реактивы

Весы лабораторные рычажные 2-го класса точности с наибольшим пределом взвешивания 200 г по ГОСТ 24104.

Термометры ртутные стеклянные с диапазоном измерения от 0 до 100 °С с ценой деления 1 °С по ГОСТ 28498.

Центрифуга по нормативно-технической документации, обеспечивающая центробежное ускорение от 700 до 900 м/с2.

Шкаф сушильный лабораторный, обеспечивающий регулирование температуры (102 ± 2) °С, хорошо вентилируемый, или шкаф вакуум-сушильный, обеспечивающий регулирование температуры от 70 до 75 °С и давление 6650 Па.

Эксикатор по ГОСТ 25336.

Баня водяная.

Колба экстракционная, снабженная стеклянной притертой пробкой.

Допускается использование корковых пробок по ГОСТ 5541, обработанных сначала диэтиловым, затем петролейным эфирами, выдержанных в течение не менее 20 мин в воде при температуре (60 ± 2) °С и охлажденных в воде для насыщения перед использованием.

Плитка электрическая по ГОСТ 14919.

Колбы лабораторные стеклянные плоскодонные вместимостью от 150 до 250 см2 по ГОСТ 1770.

Шарики стеклянные или кусочки фарфора, или кусочки карборунда, или другой материал, улучшающий эффект кипения, обезжиренный, непористый, не крошащийся при применении.

Стаканчик для взвешивания по ГОСТ 25336 или стекло часовое.

Терка.

Ступка фарфоровая.

Пленка целлюлозная, нелакированная и растворимая в соляной кислоте, не влияющая на результаты испытания, толщиной (0,004 ± 0,001) см шириной (5,0 ± 0,1) см, длиной (7,5 ± 0,1) см.

Кислота соляная, ч.д.а., плотностью 1,125 г/см3 по ГОСТ 3118.

Спирт этиловый ректификованный технический по ГОСТ 18300.

Эфир диэтиловый по ГФ IX, без перекисей.

Эфир петролейный по нормативно-технической документации, с температурой кипения от 30 до 60 °С.

Вода питьевая по ГОСТ 2874 <*>.

<*> На территории Российской Федерации действует ГОСТ Р 51232-98.

Вода дистиллированная по ГОСТ 6709.

Допускается применение других средств измерений с метрологическими характеристиками и оборудования с техническими характеристиками не хуже, а также реактивов по качеству не ниже вышеуказанных.

4.2. Подготовка к испытанию

4.2.1. Отобранную пробу сыра измельчают, помещают в фарфоровую ступку и тщательно перемешивают.

4.2.2. Колбу высушивают в сушильном шкафу (или вакуум-сушильном) в течение (45 ± 15) мин, предварительно поместив в нее небольшое количество стеклянных шариков или кусочков фарфора, или кусочков карборунда. Затем колбу охлаждают в эксикаторе и взвешивают с отсчетом до 0,0001 г.

4.2.3. Непосредственно перед использованием готовят смешанный растворитель из равных объемов диэтилового и петролейного эфиров.

4.3. Проведение испытаний

4.3.1. Около 2 г измельченной пробы сыра помещают в бюксу или на часовое стекло, взвешивают с отсчетом до 0,0001 г и переносят в сухую плоскодонную колбу или экстракционную колбу.

Пробу сыра для испытания допускается взвешивать на целлюлозной пленке, которую затем складывают и вместе с пробой сыра помещают в колбу.

4.3.2. В колбу с испытуемой пробой наливают (9 ± 1) см3 соляной кислоты и выдерживают ее в кипящей водяной бане при постоянном встряхивании до тех пор, пока сыр полностью не растворится. После этого колбу выдерживают в кипящей водяной бане в течение 20 мин и охлаждают до температуры (20 ± 2) °С в холодной водопроводной воде.

4.3.3. Если обработку сыра соляной кислотой проводят в экстракционной колбе, то в нее наливают 10 см3 этилового спирта и осторожно тщательно перемешивают.

Если обработку сыра соляной кислотой проводили в плоскодонной колбе, то обработанную соляной кислотой пробу переносят в экстракционную колбу, ополаскивая первоначальную емкость последовательно 10 см3 этилового спирта, 25 см3 диэтилового эфира и 25 см3 петролейного эфира, собирая смывную жидкость в экстракционную колбу.

После внесения 25 см3 диэтилового эфира экстракционную колбу закрывают притертой пробкой, сильно встряхивают при постоянном переворачивании в течение 1 мин. Затем осторожно вынимают пробку и добавляют в колбу 25 см3 петролейного эфира, используя первые 5 - 10 см3 для ополаскивания пробки и внутренней стороны горловины колбы. Затем закрывают колбу притертой пробкой и встряхивают при постоянном переворачивании в течение 30 с

4.3.4. Оставляют колбу в покое до тех пор, пока верхний слой жидкости не будет чистым и четко отделенным от нижнего слоя. Если четкое разделение слоев не достигается, то жидкость центрифугируют, используя экстракционную колбу.

4.3.5. Вынимают пробку, ополаскивают ее и внутреннюю поверхность горловины колбы 5 - 10 см3 смешанного растворителя так, чтобы он стекал в колбу. После этого верхний слой осторожно переносят путем декантации или при помощи сифонной трубки в плоскодонную колбу, подготовленную по п.4.2.2.

Если верхний слой переносят путем декантации, то для улучшения разделения слоев можно внести небольшое количество воды.

Ополаскивают внешнюю и внутреннюю поверхность горловины колбы или кончик и нижнюю часть сифонной трубки 5 - 10 см3 смешанного растворителя, при этом растворитель с внешней стороны горловины экстракционной колбы должен стекать в плоскодонную колбу, а с внутренней стороны - в экстракционную колбу.

4.3.6. Проводят вторую экстракцию, повторяя описанные выше операции и добавляя при этом по 15 см3 диэтилового и петролейного эфиров.

4.3.7. Третью экстракцию выполняют так же, как и вторую, только без ополаскивания колбы. Осторожно выпаривают или постепенно отгоняют из плоскодонной колбы максимальное количество растворителей, по мере удаления диэтилового и петролейного эфиров, повышая температуру водяной бани от (30 ± 2) до (60 ± 2) °С.

4.3.8. После исчезновения запахов растворителей колбу нагревают, поместив ее на 1 ч в сушильный шкаф (или вакуум-сушильный). Затем охлаждают в эксикаторе до температуры (20 ± 2) °С и взвешивают с отсчетом до 0,0001 г.

Последующие взвешивания колбы проводят после высушивания в течение 30 - 60 мин до тех пор, пока разница в массе между последовательными взвешиваниями не будет более 0,001 г. В случае увеличения массы колбы с содержимым после повторного высушивания для расчета берут результат предыдущего взвешивания.

4.3.9. Для проверки полноты растворения экстрагированной фракции в колбу добавляют (20 ± 5) см петролейного эфира, при этом колбу постепенно нагревают до температуры не выше 60 °С при постоянном перемешивании содержимого колбы круговыми движениями до полного растворения жира.

Если экстрагированная фракция не растворяется в петролейном эфире полностью, то содержание нерастворимого осадка определяют после удаления жира теплым петролейным эфиром. Обработку эфиром повторяют не менее трех раз. Перед каждой декантацией дают осесть на дно нерастворимому остатку. После полного удаления жира колбу с нерастворимым остатком подогревают в водяной бане, постепенно повышая ее температуру от 30 до 60 °С с целью наиболее полного удаления петролейного эфира. После исчезновения запаха петролейного эфира колбу с нерастворившимся остатком сушат в сушильном шкафу (или вакуум-сушильном) в течение 1 ч, охлаждают до температуры (20 ± 2) °С и взвешивают с отсчетом до 0,0001 г.

4.3.10. Одновременно с определением массовой доли жира проводят контрольный опыт с 10 см3 дистиллированной воды.

Если масса сухого остатка в колбе после высушивания превышает 0,0005 г, то реактивы следует проверить на чистоту или заменить.

4.4. Обработка результатов

4.4.1. Массовую долю жира , %, в сычужном или плавленом сыре и сырном продукте вычисляют по формуле

,

где - масса колбы с жиром последнего взвешивания, г;

- масса пустой колбы или с сухим нерастворимым остатком, г;

- масса колбы после последнего взвешивания в контрольном опыте, г;

- масса пустой колбы или с сухим нерастворимым остатком в контрольном опыте, г;

- масса испытуемой пробы, г.

За окончательный результат испытания принимают среднеарифметическое значение результатов двух параллельных определений, расхождение между которыми не должно превышать 0,2%.

4.4.2. Предел допускаемой погрешности метода при доверительной вероятности 0,95 составляет 0,2%.