Указание ЦБ РФ от 30.06.2015 N 3707-У

"О методике оценки представителями Банка России и государственной корпорации "Агентство по страхованию вкладов" достаточности имущества банка для осуществления урегулирования его обязательств"
Редакция от 30.06.2015 — Действует с 02.09.2015

Зарегистрировано в Минюсте России 21 августа 2015 г. N 38630


ЦЕНТРАЛЬНЫЙ БАНК РОССИЙСКОЙ ФЕДЕРАЦИИ

УКАЗАНИЕ
от 30 июня 2015 г. N 3707-У

О МЕТОДИКЕ ОЦЕНКИ ПРЕДСТАВИТЕЛЯМИ БАНКА РОССИИ И ГОСУДАРСТВЕННОЙ КОРПОРАЦИИ "АГЕНТСТВО ПО СТРАХОВАНИЮ ВКЛАДОВ" ДОСТАТОЧНОСТИ ИМУЩЕСТВА БАНКА ДЛЯ ОСУЩЕСТВЛЕНИЯ УРЕГУЛИРОВАНИЯ ЕГО ОБЯЗАТЕЛЬСТВ

Настоящее Указание на основании Федерального закона от 10 июля 2002 года N 86-ФЗ "О Центральном банке Российской Федерации (Банке России)" (Собрание законодательства Российской Федерации, 2002, N 28, ст. 2790; 2003, N 2, ст. 157; N 52, ст. 5032; 2004, N 27, ст. 2711; N 31, ст. 3233; 2005, N 25, ст. 2426; N 30, ст. 3101; 2006, N 19, ст. 2061; N 25, ст. 2648; 2007, N 1, ст. 9, ст. 10; N 10, ст. 1151; N 18, ст. 2117; 2008, N 42, ст. 4696, ст. 4699; N 44, ст. 4982; N 52, ст. 6229, ст. 6231; 2009, N 1, ст. 25; N 29, ст. 3629; N 48, ст. 5731; 2010, N 45, ст. 5756; 2011, N 7, ст. 907; N 27, ст. 3873; N 43, ст. 5973; N 48, ст. 6728; 2012, N 50, ст. 6954; N 53, ст. 7591, ст. 7607; 2013, N 11, ст. 1076; N 14, ст. 1649; N 19, ст. 2329; N 27, ст. 3438, ст. 3476, ст. 3477; N 30, ст. 4084; N 49, ст. 6336; N 51, ст. 6695, ст. 6699; N 52, ст. 6975; 2014, N 19, ст. 2311, ст. 2317; N 27, ст. 3634; N 30, ст. 4219; N 45, ст. 6154; N 52, ст. 7543; 2015, N 1, ст. 4, ст. 37), статьи 189.47 Федерального закона от 26 октября 2002 года N 127-ФЗ "О несостоятельности (банкротстве)" (Собрание законодательства Российской Федерации, 2002, N 43, ст. 4190; 2004, N 35, ст. 3607; 2005, N 1, ст. 18, ст. 46; N 44, ст. 4471; 2006, N 30, ст. 3292; N 52, ст. 5497; 2007, N 7, ст. 834; N 18, ст. 2117; N 30, ст. 3754; N 41, ст. 4845; N 49, ст. 6079; 2008, N 30, ст. 3616; N 49, ст. 5748; 2009, N 1, ст. 4, ст. 14; N 18, ст. 2153; N 29, ст. 3632; N 51, ст. 6160; N 52, ст. 6450; 2010, N 17, ст. 1988; N 31, ст. 4188, ст. 4196; 2011, N 1, ст. 41; N 7, ст. 905; N 19, ст. 2708; N 27, ст. 3880; N 29, ст. 4301; N 30, ст. 4576; N 48, ст. 6728; N 49, ст. 7015, ст. 7024, ст. 7040, ст. 7061, ст. 7068; N 50, ст. 7351, ст. 7357; 2012, N 31, ст. 4333; N 53, ст. 7607, ст. 7619; 2013, N 23, ст. 2871; N 26, ст. 3207; N 27, ст. 3477, ст. 3481; N 30, ст. 4084; N 51, ст. 6699; N 52, ст. 6975, ст. 6979, ст. 6984; 2014, N 11, ст. 1095, ст. 1098; N 30, ст. 4217; N 49, ст. 6914; N 52, ст. 7543; 2015, N 1, ст. 10, ст. 35) (далее - Федеральный закон "О несостоятельности (банкротстве)") устанавливает Методику оценки представителями Банка России и государственной корпорации "Агентство по страхованию вкладов" достаточности имущества банка для осуществления урегулирования его обязательств (далее - Методика).

1. Оценка имущества (активов) и обязательств банка осуществляется согласно Методике, изложенной в приложении 1 к настоящему Указанию.

Результаты оценки имущества (активов) и обязательств банка группируются согласно приложениям 2 - 4 к настоящему Указанию.

2. Настоящее Указание в соответствии с решением Совета директоров Банка России (протокол заседания Совета директоров Банка России от 15 июня 2015 года N 18) вступает в силу со дня его официального опубликования в "Вестнике Банка России".

Председатель Центрального банка
Российской Федерации
Э.С.НАБИУЛЛИНА

Согласовано
Генеральный директор
государственной корпорации
"Агентство по страхованию вкладов"
Ю.О.ИСАЕВ

Приложение 1
к Указанию Банка России
от ____________ N ____
"О методике оценки представителями
Банка России и государственной
корпорации "Агентство по страхованию
вкладов" достаточности имущества
банка для осуществления урегулирования
его обязательств"

МЕТОДИКА ОЦЕНКИ ПРЕДСТАВИТЕЛЯМИ БАНКА РОССИИ И ГОСУДАРСТВЕННОЙ КОРПОРАЦИИ "АГЕНТСТВО ПО СТРАХОВАНИЮ ВКЛАДОВ" ДОСТАТОЧНОСТИ ИМУЩЕСТВА БАНКА ДЛЯ ОСУЩЕСТВЛЕНИЯ УРЕГУЛИРОВАНИЯ ЕГО ОБЯЗАТЕЛЬСТВ

Глава 1. Общие положения

1.1. Методика оценки представителями Банка России и государственной корпорации "Агентство по страхованию вкладов" достаточности имущества банка для осуществления урегулирования его обязательств включает подходы к оценке имущества (активов) и обязательств банка (далее - оценка) и определение стоимости имущества (активов) и обязательств банка.

1.2. Оценка проводится представителями Банка России и государственной корпорации "Агентство по страхованию вкладов".

1.3. Оценка проводится для целей анализа финансового положения банка и определения достаточности имущества банка для осуществления урегулирования его обязательств.

1.4. В ходе оценки осуществляются:

уточнение текущей стоимости имущества (активов) и признанной стоимости условных обязательств банка на сумму недоформированного резерва на возможные потери (недоначисленной переоценки) при выявлении нарушений требований законодательства Российской Федерации и (или) нормативных актов Банка России, в том числе предписаний Банка России, направленных банку;

корректировка стоимости имущества (активов) и обязательств банка, учитываемых на балансовых и внебалансовых счетах бухгалтерского учета, на основании настоящей Методики.

1.5. Оценка имущества (активов) и обязательств банка осуществляется в соответствии с настоящей Методикой по состоянию на дату оценки. Дата оценки определяется представителями Банка России и государственной корпорации "Агентство по страхованию вкладов", проводящими оценку, с учетом необходимости получения наиболее актуальной и достоверной оценки имущества (активов) и обязательств банка и согласовывается с Банком России.

1.6. Группировка имущества (активов) и обязательств банка на дату оценки согласно таблице "Стоимость имущества (активов) банка на дату оценки" (приложение 2 к настоящему Указанию), таблице "Стоимость обязательств банка на дату оценки" (приложение 3 к настоящему Указанию) и таблице "Стоимость условных обязательств банка на дату оценки" (приложение 4 к настоящему Указанию) осуществляется с учетом следующих документов.

1.6.1. Положения Банка России от 16 июля 2012 года N 385-П "О правилах ведения бухгалтерского учета в кредитных организациях, расположенных на территории Российской Федерации", зарегистрированного Министерством юстиции Российской Федерации 3 сентября 2012 года N 25350, 15 октября 2012 года N 25670, 15 октября 2013 года N 30198, 9 декабря 2013 года N 30568, 23 декабря 2013 года N 30721, 27 декабря 2013 года N 30883, 7 августа 2014 года N 33470, 2 сентября 2014 года N 33940, 28 января 2015 года N 35764, 17 июня 2015 года N 27684 ("Вестник Банка России" от 25 сентября 2012 года N 56-57, от 24 октября 2012 года N 62, от 23 октября 2013 года N 57, от 19 декабря 2013 года N 74, от 14 января 2014 года N 1, от 15 января 2014 года N 2, от 20 августа 2014 года N 74, от 12 сентября 2014 года N 82, от 4 февраля 2015 года N 9, от 25 июня 2015 года N 55) (далее - Положение Банка России N 385-П).

1.6.2. Положения Банка России от 26 марта 2004 года N 254-П "О порядке формирования кредитными организациями резервов на возможные потери по ссудам, по ссудной и приравненной к ней задолженности", зарегистрированного Министерством юстиции Российской Федерации 26 апреля 2004 года N 5774, 20 апреля 2006 года N 7728, 27 декабря 2006 года N 8676, 10 декабря 2007 года N 10660, 23 января 2008 года N 10968, 22 мая 2008 года N 11724, 22 мая 2008 года N 11730, 30 июня 2008 года N 11903, 29 января 2009 года N 13219, 20 февраля 2009 года N 13414, 21 декабря 2009 года N 15772, 24 декабря 2009 года N 15811, 7 августа 2012 года N 25204, 13 декабря 2012 года N 26113, 28 декабря 2012 года N 26407, 26 июня 2013 года N 28896, 24 сентября 2013 года N 30005, 29 ноября 2013 года N 30494, 18 июня 2014 года N 32736, 10 ноября 2014 года N 34627, 11 декабря 2014 года N 35134, 26 декабря 2014 года N 35437 ("Вестник Банка России" от 7 мая 2004 года N 28, от 4 мая 2006 года N 26, от 15 января 2007 года N 1, от 17 декабря 2007 года N 69, от 31 января 2008 года N 4, от 28 мая 2008 года N 25, от 4 июня 2008 года N 28, от 9 июля 2008 года N 36, от 4 февраля 2009 года N 7, от 4 марта 2009 года N 15, от 28 декабря 2009 года N 77, от 22 августа 2012 года N 50, от 19 декабря 2012 года N 73, от 29 декабря 2012 года N 78, от 28 июня 2013 года N 36, от 2 октября 2013 года N 54, от 30 ноября 2013 года N 69, от 9 июля 2014 года N 63, от 26 ноября 2014 года N 105, от 22 декабря 2014 года N 112, от 31 декабря 2014 года N 117-118) (далее - Положение Банка России N 254-П).

1.6.3. Положения Банка России от 20 марта 2006 года N 283-П "О порядке формирования кредитными организациями резервов на возможные потери", зарегистрированного Министерством юстиции Российской Федерации 25 апреля 2006 года N 7741, 2 июля 2007 года N 9739, 6 декабря 2007 года N 10639, 10 сентября 2008 года N 12260, 5 августа 2009 года N 14477, 17 декабря 2009 года N 15670, 24 мая 2011 года N 20837, 21 декабря 2011 года N 22714, 18 декабря 2012 года N 26162, 11 декабря 2013 года N 30582, 20 октября 2014 года N 34363 ("Вестник Банка России" от 4 мая 2006 года N 26, от 11 июля 2007 года N 39, от 17 декабря 2007 года N 69, от 17 сентября 2008 года N 49, от 12 августа 2009 года N 47, от 28 декабря 2009 года N 77, от 1 июня 2011 года N 30, от 28 декабря 2011 года N 74, от 26 декабря 2012 года N 75, от 18 декабря 2013 года N 73, от 23 октября 2014 года N 99) (далее - Положение Банка России N 283-П).

1.6.4. Отчетности банка, представляемой в Банк России в соответствии с Указанием Банка России от 12 ноября 2009 года N 2332-У "О перечне, формах и порядке составления и представления форм отчетности кредитных организаций в Центральный банк Российской Федерации", зарегистрированным Министерством юстиции Российской Федерации 16 декабря 2009 года N 15615, 18 июня 2010 года N 17590, 22 декабря 2010 года N 19313, 20 июня 2011 года N 21060, 16 декабря 2011 года N 22650, 10 июля 2012 года N 24863, 20 сентября 2012 года N 25499, 20 декабря 2012 года N 26203, 29 марта 2013 года N 27926, 14 июня 2013 года N 28809, 11 декабря 2013 года N 30579, 28 марта 2014 года N 31760, 18 июня 2014 года N 32765, 22 декабря 2014 года N 35313, 20 февраля 2015 года N 36169, 8 июня 2015 года N 37564 ("Вестник Банка России" от 25 декабря 2009 года N 75-76, от 25 июня 2010 года N 35, от 28 декабря 2010 года N 72, от 28 июня 2011 года N 34, от 23 декабря 2011 года N 73, от 19 июля 2012 года N 41, от 26 сентября 2012 года N 58, от 27 декабря 2012 года N 76, от 30 марта 2013 года N 20, от 25 июня 2013 года N 34, от 28 декабря 2013 года N 79-80, от 31 марта 2014 года N 34, от 27 июня 2014 года N 61, от 30 декабря 2014 года N 115-116, от 10 марта 2015 года N 20, от 25 июня 2015 года N 55) (далее - Указание Банка России N 2332-У), в том числе:

отчетность по форме 0409101 "Оборотная ведомость по счетам бухгалтерского учета кредитной организации";

отчетность по форме 0409115 "Информация о качестве активов кредитной организации (банковской группы)";

отчетность по форме 0409116 "Сведения о ценных бумагах, приобретенных кредитной организацией";

отчетность по форме 0409155 "Сведения об условных обязательствах кредитного характера и производных финансовых инструментах";

отчетность по форме 0409302 "Сведения о размещенных и привлеченных средствах";

отчетность по форме 0409345 "Данные о ежедневных остатках подлежащих страхованию денежных средств физических лиц, размещенных во вклады".

1.7. В соответствии с настоящей Методикой оценку необходимо осуществлять в отношении активов банка, составляющих не менее чем 70 процентов балансовой стоимости всех активов банка.

Активы, составляющие более пяти процентов величины собственных средств (капитала) банка, указанной в отчетности по форме 0409123 "Расчет собственных средств (капитала) ("Базель III")" Указания Банка России N 2332-У по состоянию на последнюю отчетную дату, предшествующую дате оценки, подлежат оценке в полном объеме (при наличии возможности). В случае если величина собственных средств (капитала) банка на указанную дату имеет отрицательное значение, то для определения данных активов используется величина собственных; средств (капитала) банка на последнюю отчетную дату, предшествующую дате оценки, когда величина собственных средств (капитала) банка имела положительное значение и нормативы достаточности собственных средств (капитала) банка соблюдались.

Подходы к определению выборки активов, которые оцениваются на портфельной основе, изложены в пункте 2.3 настоящей Методики.

Необходимость оценки обязательств (в том числе условных обязательств) банка и их выборка определяется представителями Банка России и государственной корпорации "Агентство по страхованию вкладов" в ходе проведения оценки с учетом конкретных обстоятельств и имеющейся информации о нарушениях законодательства Российской Федерации.

1.8. Для целей настоящей Методики используются следующие понятия:

балансовая стоимость имущества (актива) или обязательства банка - стоимость имущества (актива) или обязательства, отраженная на соответствующих балансовых счетах отчетности по форме 0409101 "Оборотная ведомость по счетам бухгалтерского учета кредитных организаций";

стоимость условного обязательства банка - стоимость условного обязательства, отраженная на соответствующих внебалансовых счетах отчетности по форме 0409101 "Оборотная ведомость по счетам бухгалтерского учета кредитных организаций";

текущая стоимость имущества (актива), определенная банком, - стоимость имущества (актива), рассчитанная на основании данных бухгалтерской (финансовой) отчетности банка с учетом амортизации, сформированного банком резерва на возможные потери или начисленной переоценки;

текущая стоимость условного обязательства, определенная банком, - стоимость условного обязательства, рассчитанная на основании данных бухгалтерской отчетности банка, с учетом сформированного банком резерва на возможные потери;

корректировка стоимости имущества (активов) или обязательств банка - изменение текущей стоимости имущества (активов) или стоимости условного обязательства, а также балансовой стоимости обязательства банка, осуществленное на основании настоящей Методики;

признанная стоимость условного обязательства - стоимость, определенная в ходе оценки, с учетом необходимости исполнения условного обязательства банка на основании подтверждающих документов и корректировки стоимости условного обязательства;

итоговая стоимость имущества (активов) банка - стоимость имущества (активов), определенная путем уточнения текущей стоимости имущества (актива) с учетом требований нормативных актов Банка России и корректировки стоимости имущества (активов) банка;

итоговая стоимость обязательства банка - стоимость обязательства, определенная путем корректировки балансовой стоимости обязательства банка;

итоговая стоимость условного обязательства банка - стоимость условного обязательства, определенная путем уточнения признанной стоимости условного обязательства с учетом сформированного резерва на возможные потери согласно требованиям нормативных актов Банка России.

Глава 2. Оценка имущества (активов) и обязательств банка

2.1. В целях анализа выполнения банком требований нормативных актов Банка России, проверяется соблюдение требований:

Положения Банка России N 254-П;

Положения Банка России N 283-П;

Указания Банка России от 17 ноября 2011 года N 2732-У "Об особенностях формирования кредитными организациями резерва на возможные потери по операциям с ценными бумагами, права на которые удостоверяются депозитариями", зарегистрированного Министерством юстиции Российской Федерации 12 декабря 2011 года N 22544, 1 августа 2012 года N 25070, 11 декабря 2014 года N 35134 ("Вестник Банка России" от 19 декабря 2011 года N 71, от 8 августа 2012 года N 44, от 22 декабря 2014 года N 112) (далее - Указание Банка России N 2732-У);

Указания Банка России от 22 июня 2005 года N 1584-У "О формировании и размере резерва на возможные потери под операции кредитных организаций с резидентами оффшорных зон", зарегистрированного Министерством юстиции Российской Федерации 15 июля 2005 года N 6799 ("Вестник Банка России" от 27 июля 2005 года N 38).

Анализ выполнения банком требований нормативных актов Банка России проводится, в том числе, с учетом результатов анализа последних актов проверок банка на дату оценки (в тематику которых в обязательном порядке включались вопросы оценки качества активов и обязательств банка и примененных к нему мер).

По результатам анализа делаются выводы о выполнении (невыполнении) банком требований, установленных нормативными актами Банка России.

Данные анализа по имуществу (активам) банка группируются в графы 8 и 9 таблицы "Стоимость имущества (активов) банка на дату оценки" (приложение 2 к настоящему Указанию).

В результате уточнения текущей стоимости имущества (активов), определенной банком (графа 7 таблицы "Стоимость имущества (активов) банка на дату оценки" (приложение 2 к настоящему Указанию), определяется текущая стоимость имущества (активов) с учетом требований нормативных актов Банка России.

В случае выявления нарушений банком требований нормативных актов Банка России сумма недоформированного банком резерва на возможные потери отражается в графе 10 таблицы "Стоимость имущества (активов) банка на дату оценки" (приложение 2 к настоящему Указанию).

В случае соблюдения банком требований нормативных актов Банка России значения в графе 11 будут совпадать со значениями в графе 7 таблицы "Стоимость имущества (активов) банка на дату оценки" (приложение 2 к настоящему Указанию).

Данные анализа по условным обязательствам банка группируются в графы 7 и 8 таблицы "Стоимость условных обязательств банка на дату оценки" (приложение 4 к настоящему Указанию).

В результате уточнения текущей стоимости условных обязательств, определенной банком (графа 6 таблицы "Стоимость условных обязательств банка на дату оценки" (приложение 4 к настоящему Указанию), определяется текущая стоимость условных обязательств с учетом требований нормативных актов Банка России.

В случае выявления нарушений банком требований нормативных актов Банка России сумма недоформированного банком резерва на возможные потери отражается в графе 9 таблицы "Стоимость условных обязательств банка на дату оценки" (приложение 4 к настоящему Указанию).

В случае соблюдения банком требований нормативных актов Банка России значения в графе 10 таблицы "Стоимость условных обязательств банка на дату оценки" (приложение 4 к настоящему Указанию) будут совпадать со значениями в графе 6 этой же таблицы.

2.2. Оценка имущества (активов) банка, классифицируемого (классифицируемых) на индивидуальной основе, осуществляется с учетом следующего.

2.2.1. При оценке имущества (активов) используются следующие общие подходы.

2.2.1.1. Если в результате анализа деятельности контрагента - юридического лица делается вывод об отсутствии у него реальной деятельности либо осуществлении ее в незначительных объемах в денежном выражении, не сопоставимых с размером актива (совокупности активов, предоставленных (размещенных) или эмитированных данным лицом), в том числе при несогласии с решением уполномоченного органа управления (органа) банка об осуществлении юридическим лицом реальной деятельности, принятом в соответствии с подпунктом 3.12.3 пункта 3.12 Положения Банка России N 254-П, то актив классифицируется в V категорию качества с формированием резерва в размере 100 процентов (за исключением активов, указанных в подпункте 3.12.2 пункта 3.12 Положения Банка России N 254-П).

2.2.1.2. Если установлен факт использования банком для оценки финансового положения контрагента и классификации актива в категорию качества отчетности и (или) сведений, которые являются существенно недостоверными и (или) существенно отличными от отчетности, и (или) сведений, представленных контрагентом органам государственной власти, Банку России и (или) опубликованных контрагентом, и (или) находящихся в бюро кредитных историй, то актив классифицируется в V категорию качества с формированием резерва в размере 100 процентов.

Под существенно недостоверными и (или) существенно отличными от отчетности и (или) сведений, представленных контрагентом органам государственной власти, Банку России и (или) опубликованных контрагентом, и (или) находящихся в бюро кредитных историй, понимаются отчетность и (или) сведения, использованные для оценки финансового положения контрагента и классификации актива в категорию качества, которые привели к неверному представлению о результатах его финансово-хозяйственной деятельности и о его финансовом положении и повлияли на оценку способности контрагента исполнять обязательства в установленные сроки и предусмотренном объеме.

2.2.1.3. В V категорию качества с формированием резерва в размере 100 процентов классифицируются активы:

при безосновательном отсутствии в течение трех календарных месяцев до даты оценки уплаченных контрагентом налогов, сборов и иных обязательных платежей, установленных законодательством Российской Федерации (за исключением юридических лиц, указанных в подпункте 3.12.2 пункта 3.12 Положения Банка России N 254-П);

при отсутствии контрагента по месту нахождения, установленному в учредительных документах, или по заявленному им фактическому месту нахождения (за исключением юридических лиц, указанных в подпункте 3.12.2 пункта 3.12 Положения Банка России N 254-П);

предоставленные (перечисленные) банком нерезидентам, а также ценные бумаги, эмитированные нерезидентами, при отсутствии достаточной информации для идентификации конечных бенефициаров и поручителей, а также информации об обоснованности сделок с нерезидентами, деятельность которых носит непубличный характер;

предоставленные банком ликвидированному контрагенту или эмитированные ликвидированным контрагентом;

предоставленные банком контрагенту, который признан несостоятельным (банкротом) с учетом норм Федерального закона "О несостоятельности (банкротстве)", и (или) при наличии у контрагента судебного производства по делу о признании его несостоятельным (банкротом);

исполнение обязательств по которым прекращено контрагентом после изменений в составе исполнительных органов и (или) акционеров (участников) контрагента или банка при отсутствии подтвержденной информации о перспективах исполнения обязательств;

при оформлении сделок и (или) операций, с которыми контрагентом были использованы недействительные документы, удостоверяющие его личность, либо недействительные документы, удостоверяющие личности уполномоченных лиц контрагента, либо недействительные документы выявлены на дату оценки;

при отсутствии информации, необходимой для оценки стоимости актива с приемлемым уровнем погрешности, не превышающим 20 процентов балансовой стоимости актива банка (за исключением юридических лиц, указанных в подпункте 3.12.2 пункта 3.12 Положения Банка России N 254-П);

классифицируемые банком в IV категорию качества с учетом требований нормативных актов Банка России при отсутствии в течение календарного года до даты оценки платежей по исполнению контрагентами обязательств по активам или поступлении данных платежей в размере, не превышающем величину, установленную подпунктом 3.13.3 пункта 3.13 Положения Банка России N 254-П (за исключением юридических лиц, указанных в подпункте 3.12.2 пункта 3.12 Положения Банка России N 254-П).

2.2.1.4. По активам, направленным банком на финансирование деятельности лиц (лица), находящихся (находящегося) под контролем либо значительным влиянием руководителей, акционеров (участников), членов совета директоров (наблюдательного совета) банка и (или) аффилированных с ними лиц, резерв формируется в размере до 50 процентов, но не менее размера резерва, сформированного банком. Данные активы классифицируются в V категорию качества с формированием резерва в размере 100 процентов в случае отсутствия оснований признать возможным продолжение исполнения обязательств по ним при принудительной смене руководителей и (или) акционеров (участников) банка. Контроль и значительное влияние определяются в соответствии с Международными стандартами финансовой отчетности, признанными на территории Российской Федерации.

2.2.1.5. По активам, предоставленным банком контрагенту, обороты по текущим (расчетным) счетам которого уменьшились более чем на 20 процентов за календарный месяц после изменений в составе исполнительных органов и (или) акционеров (участников) контрагента, и (или) банка, резерв формируется в размере до 50 процентов.

2.2.1.6. Если исполнение обязательств по активу перед банком зависит от исполнения обязательств перед контрагентом третьим лицом (третьими лицами), в том числе при условии, что соизмеримые по сумме средства размещены контрагентом на срок, сопоставимый со сроком предоставления актива контрагенту, и (или) по активу совершены две и более пролонгации, и (или) проводится регулярная замена на другой актив (например, межбанковский кредит, вексель, средства, размещенные на корреспондентских счетах), и (или) процентные ставки по активу существенно (более чем на 20 процентов) отличаются от среднерыночных ставок, то резерв формируется в размере до 100 процентов.

2.2.1.7. При осуществлении оценки предоставленный контрагенту актив может быть скорректирован на сумму обязательства банка перед данным контрагентом.

2.2.2. Оценка отдельных видов имущества (активов) банка, осуществляется с учетом следующего.

2.2.2.1. При оценке денежных средств и драгоценных металлов, средств на корреспондентских счетах используются следующие подходы.

2.2.2.1.1. Денежные средства и драгоценные металлы оцениваются по балансовой стоимости.

Резерв на возможные потери формируется в размере 100 процентов от суммы денежных средств и (или) других ценностей, учитываемых на соответствующих балансовых счетах, в случае отказа банка в проведении инвентаризации ценностей в ходе проведения оценки.

2.2.2.1.2. Средства на корреспондентских и других счетах в Банке России, в том числе обязательные резервы, депонируемые в Банке России, а также средства на корреспондентских и других счетах в кредитных организациях оцениваются по балансовой стоимости.

Резерв на возможные потери формируется в размере 100 процентов от суммы размещенных средств на корреспондентских счетах и других счетах в кредитных организациях при наличии оснований для отзыва у контрагента - кредитной организации лицензии на осуществление банковских операций, предусмотренных статьей 20 Федерального закона от 2 декабря 1990 года N 395-1 "О банках и банковской деятельности" (в редакции Федерального закона от 3 февраля 1996 года N 17-ФЗ) (Ведомости Съезда народных депутатов РСФСР и Верховного Совета РСФСР, 1990, N 27, ст. 357; Собрание законодательства Российской Федерации, 1996, N 6, ст. 492; 1998, N 31, ст. 3829; 1999, N 28, ст. 3459, ст. 3469; 2001, N 26, ст. 2586; N 33, ст. 3424; 2002, N 12, ст. 1093; 2003, N 27, ст. 2700; N 50, ст. 4855; N 52, ст. 5033, ст. 5037; 2004, N 27, ст. 2711; N 31, ст. 3233; 2005, N 1, ст. 18, ст. 45; N 30, ст. 3117; 2006, N 6, ст. 636; N 19, ст. 2061; N 31, ст. 3439; N 52, ст. 5497; 2007, N 1, ст. 9; N 22, ст. 2563; N 31, ст. 4011; N 41, ст. 4845; N 45, ст. 5425; N 50, ст. 6238; 2008, N 10, ст. 895; 2009, N 1, ст. 23; N 9, ст. 1043; N 18, ст. 2153; N 23, ст. 2776; N 30, ст. 3739; N 48, ст. 5731; N 52, ст. 6428; 2010, N 8, ст. 775; N 27, ст. 3432; N 30, ст. 4012; N 31, ст. 4193; N 47, ст. 6028; 2011, N 7, ст. 905; N 27, ст. 3873, ст. 3880; N 29, ст. 4291; N 48, ст. 6728, ст. 6730; N 49, ст. 7069; N 50, ст. 7351; 2012, N 27, ст. 3588; N 31, ст. 4333; N 50, ст. 6954; N 53, ст. 7605, ст. 7607; 2013, N 11, ст. 1076; N 19, ст. 2317, ст. 2329; N 26, ст. 3207; N 27, ст. 3438, ст. 3477; N 30, ст. 4048; N 40, ст. 5036; N 49, ст. 6336; N 51, ст. 6683, ст. 6699; 2014, N 6, ст. 563; N 19, ст. 2311; N 26, ст. 3379, ст. 3395; N 30, ст. 4219; N 40, ст. 5317, ст. 5320; N 45, ст. 6144, ст. 6154; N 49, ст. 6912; N 52, ст. 7543; 2015, N 1, ст. 37; N 17, ст. 2473) (далее - Федеральный закон "О банках и банковской деятельности").

2.2.2.2. Оценка ссуд, ссудной и приравненной к ней задолженности осуществляется с учетом следующих подходов.

2.2.2.2.1. Межбанковские кредиты и размещенные депозиты оцениваются по балансовой стоимости.

В V категорию качества с формированием резерва на возможные потери в размере 100 процентов от балансовой стоимости классифицируются межбанковские кредиты и депозиты, в случаях если имеются основания для отзыва у контрагента - кредитной организации лицензии на осуществление банковских операций, предусмотренные статьей 20 Федерального закона "О банках и банковской деятельности".

2.2.2.2.2. Реструктурированные ссуды и ссуды, прямо либо косвенно (через третьих лиц) предоставленные банком контрагенту и направленные на погашение долга по ранее выданным ему банком ссудам, классифицируются в зависимости от количества реструктуризаций или случаев направления на погашение ранее предоставленных ссуд, определенных с даты предоставления ссуды, с формированием следующих размеров резервов для категорий качества, но не менее размера резерва, сформированного банком:

для II категории качества:

при однократной реструктуризации (единичном случае погашения) в размере не менее 10 процентов;

при повторной реструктуризации (повторном случае погашения) в размере не менее 15 процентов;

в случае трех и более реструктуризаций (погашений) в размере не менее 20 процентов;

для III категории качества, определенной банком или в соответствии с настоящей Методикой:

при однократной реструктуризации (единичном случае погашения) в размере не менее 30 процентов;

при повторной реструктуризации (повторном случае погашения) в размере не менее 40 процентов;

в случае трех и более реструктуризаций (погашений) в размере не менее 50 процентов;

для IV категории качества, определенной банком или в соответствии с настоящей Методикой:

при однократной реструктуризации (единичном случае погашения) в размере не менее 70 процентов;

при повторной реструктуризации (повторном случае погашения) в размере не менее 80 процентов;

в случае трех и более реструктуризаций (погашений) в размере не менее 90 процентов.

В целях оценки указанных в настоящем подпункте ссуд количество реструктуризаций и случаев погашения суммируется при классификации:

ссуды, прямо либо косвенно (через третьих лиц) предоставленной банком контрагенту и направленной на погашение долга по ранее выданной ему банком ссуде, которая до погашения была реструктурирована;

реструктурированной ссуды, которая ранее была прямо либо косвенно (через третьих лиц) предоставлена банком контрагенту и направлена на погашение долга по ранее выданной ему банком ссуде.

2.2.2.2.3. Не выше чем в III категорию качества с формированием резерва до 50 процентов при наличии оснований признать наличие высокого кредитного риска у банка классифицируются:

ссуды, подпадающие под требования пункта 3.13 Положения N 254-П;

ссуды, направленные контрагентом на приобретение собственных векселей и (или) ценных бумаг банка;

ссуды, направленные на пополнение оборотных средств и (или) в соответствии с договором, на основании которого ссуда предоставлена, установлено ее использование на пополнение оборотных средств, в случае если ссуда предоставляется и (или) используется на срок (в течение срока), превышающий (превышающего) один календарный год.

2.2.2.2.4. При несогласии с решением, принятым уполномоченным органом управления (органом) банка в соответствии с пунктом 3.10 или подпунктом 3.14.3 пункта 3.14 Положения Банка России N 254-П, ссуда классифицируется в III категорию качества с формированием резерва в размере 50 процентов, если иное не установлено настоящей Методикой.

При несогласии с принятыми уполномоченным органом управления (органом) банка повторными решениями (двумя и более) о классификации ссуды в соответствии с пунктом 3.10 или подпунктом 3.14.3 пункта 3.14 Положения Банка России N 254-П актив классифицируется в V категорию качества с формированием резерва в размере 100 процентов.

2.2.2.2.5. Учтенные векселя классифицируются в V категорию качества с формированием резерва в размере 100 процентов от балансовой стоимости учтенного векселя в следующих случаях:

отсутствие (непредставление) учтенного на балансе банка векселя, в том числе находящегося в закладе либо на ответственном хранении у третьих лиц;

если в отношении векселя, отраженного на балансе банка, установлены факты отсутствия его выпуска векселедателем и (или) погашения, и (или) выкупа векселедателем;

если выявлен (выявлены) вексель (векселя) с полностью совпадающими реквизитами, в отношении которого (которых) установлены факты его (их) учета двумя и более векселедержателями.

2.2.2.3. Оценка ценных бумаг осуществляется с учетом следующих подходов.

2.2.2.3.1. Вложения в ценные бумаги оцениваются по балансовой стоимости.

Стоимость ценных бумаг корректируется в размере 100 процентов их балансовой стоимости с учетом сформированного банком резерва на возможные потери или начисленной переоценки, в случаях если:

отсутствуют документы, выданные депозитарием, подтверждающие права банка на ценные бумаги, которые находятся на хранении либо права на которые учитываются в депозитарной системе;

имеются документы, выданные депозитарием, подтверждающие отсутствие ценных бумаг на хранении либо в учете в депозитарной системе, отсутствие прав банка на ценные бумаги;

эмитентом ценной бумаги не подтверждаются обязательства по ценной бумаге и (или) ценная бумага не отражена в балансе эмитента;

отсутствуют документы, подтверждающие право собственности банка на ценные бумаги;

банком не выполнены рекомендации Банка России о переводе на хранение ценных бумаг либо учете прав на ценные бумаги в депозитарии - резиденте Российской Федерации, удовлетворяющем критериям, определенным в Указании Банка России N 2732-У.

2.2.2.3.2. По вложениям в ценные бумаги, удостоверяющие права общей долевой собственности на имущество (активы), резерв на возможные потери формируется исходя из размера резерва по соответствующему имуществу (активу), права на которое удостоверяет ценная бумага, определенного с применением подходов, предусмотренных настоящей Методикой, с учетом доли участия банка в имуществе (активах).

2.2.2.4. Требования по погашению дебиторской задолженности оцениваются по балансовой стоимости.

В V категорию качества с формированием резерва в размере 100 процентов от балансовой стоимости классифицируются:

дебиторская задолженность контрагентов, у которых отозвана лицензия на осуществление основной деятельности и (или) в отношении которых применяются процедуры, предусмотренные законодательством о несостоятельности (банкротстве);

дебиторская задолженность контрагентов, не указанных в подпункте 3.12.2 пункта 3.12 Положения Банка России N 254-П, информация о деятельности (финансовом положении) которых не может быть подтверждена документально.

Остатки на счетах учета дебиторской задолженности, возникшей вследствие уплаты банком авансовых платежей за выполнение работ либо оказание услуг, акт приема-передачи которых не подписан сторонами на дату оценки, относятся на расходы банка.

2.2.2.5. Имущество банка оценивается по балансовой стоимости.

Стоимость имущества определяется на основании корректировки балансовой стоимости исходя из анализа достоверности первичных учетных документов, в качестве которых могут выступать отчеты об оценке, выполненные независимыми оценщиками, внутренние документы об оценке или документы консультационного характера юридического или физического лица, оказывающего услуги консультационного характера (включая услуги по оценке активов) на основании договора об оказании услуг с банком, контрагентом банка, или любым другим правообладателем имущества, стоимость которого учитывается на балансе банка (внешних консультантов).

Стоимость имущества корректируется в размере 100 процентов от балансовой стоимости, в случае если выявлено отсутствие документации, подтверждающей факт совершения банком сделки по приобретению имущества, либо оформление документации таким образом, что присутствует значимый риск успешного оспаривания сделки (признание ее недействительной). Примерный перечень документации для идентификации и анализа характеристик имущества, отсутствие которой позволяет сделать вывод о недостаточном документальном подтверждении прав на имущество либо его стоимости, приведен в приложении 5 к настоящему Указанию.

Стоимость имущества корректируется в размере до 100 процентов от балансовой стоимости, в случае если выявлены факторы, не позволяющие согласиться с выводами банка о стоимости имущества. В качестве таковых, в частности, могут выступать следующие факторы:

имущество представлено правами на земельные участки, на которых предполагается реализация инвестиционного проекта строительства, с неподтвержденным комплектом разрешительной документации и технико-экономическими показателями;

имущество представлено массивами однородных объектов недвижимости, при оценке которых банком не учтен фактор масштаба. В качестве массивов могут выступать земельные участки в организованных коттеджных или дачных поселках, объекты жилой и нежилой недвижимости, схожие по основным своим ценообразующим характеристикам (в том числе текущее использование, местоположение, площадь), а также другие объекты, которые в случае реализации смогут конкурировать друг с другом, одновременно снижая стоимость;

имущество представлено объектами недвижимости, в отношении которых зарегистрированы обременения в пользу третьих лиц, препятствующие реализации прав банка, и указанные обременения не учтены банком при определении рыночной стоимости имущества;

имущество приобретено в качестве отступного по ссуде либо в результате мены или дарения, в отношении которого не была проведена оценка его рыночной стоимости;

сделка, на основании которой имущество было поставлено на баланс банка, была осуществлена с аффилированными организациями или организациями, имеющими с банком общих бенефициаров. При этом оценка рыночной стоимости имущества не производилась либо произведенная оценка дала недостоверные результаты.

Переоценка имущества в размере до 100 процентов от балансовой стоимости может быть осуществлена, в случаях когда:

представленные банком материалы содержат необходимую информацию, позволяющую установить размер завышения стоимости актива, и проводится корректировка стоимости имущества на сумму, определенную в результате анализа и проведения перерасчета стоимости, указанной в первичном учетном документе, посредством последовательной проверки использованных подходов и методов в части расчетов и проведения анализа и сопоставления указанных в документе показателей со среднерыночными показателями стоимости аналогичного имущества;

имеющейся информации недостаточно для проведения полноценной и обоснованной оценки (переоценки) актива и формирования вывода о величине текущей стоимости. В этом случае реализуются следующие процедуры:

проведение в саморегулируемых организациях оценщиков экспертизы на подтверждение стоимости имущества и получение положительного заключения (применимо, в случаях когда первичным учетным документом, послужившим основанием для отражения стоимости активов на соответствующих балансовых счетах, выступает отчет об оценке, выполненный независимым оценщиком);

проведение повторной оценки имущества с обязательным привлечением независимого оценщика, согласованного с государственной корпорацией "Агентство по страхованию вкладов", а также с обязательным проведением в саморегулируемых организациях оценщиков экспертизы на подтверждение стоимости имущества и получение положительного заключения (применимо, в случаях когда первичным учетным документом, послужившим основанием для отражения стоимости активов на соответствующих балансовых счетах, выступают отчеты об оценке, выполненные независимыми оценщиками, внутренние документы банков об оценке или документы консультационного характера внешних консультантов банков).

2.2.2.6. Оценка прочих активов осуществляется с учетом следующих подходов.

Требования по получению процентных доходов по активам оцениваются по балансовой стоимости.

По требованиям по получению процентных доходов по активам, классифицированным в I и II категории качества, резерв на возможные потери формируется исходя из расчетного резерва на возможные потери по соответствующим активам.

По требованиям по получению процентных доходов, ранее отраженных на соответствующих балансовых счетах, по активам, классифицированным в III - V категорию качества, резерв на возможные потери формируется в размере 100 процентов от суммы требований.

2.2.3. Оценка качества и стоимости обеспечения осуществляется с учетом следующих подходов.

В целях настоящей Методики не рассматриваются в качестве обеспечения I и II категории качества залоги, предметом которых являются:

собственные векселя банка, реализованные с существенным дисконтом (более двух ключевых ставок Банка России либо если дисконт по приобретенному залогодателем векселю банка - кредитора существенно (более чем на 20 процентов) превышает доходность по иным долговым ценным бумагам, выпущенным (эмитированным) банком - кредитором, при этом срок, оставшийся до погашения ценной бумаги, должен быть сопоставим со сроком векселя), а также собственные векселя банка, приобретенные залогодателем за счет привлеченных денежных средств, в том числе предоставленных банком - векселедателем (за исключением собственных векселей, находящихся в закладе у банка - кредитора);

векселя, указанные в подпункте 2.2.2.2.5 настоящего пункта;

товары в обороте при отсутствии подтвержденных доказательств наличия предмета залога и (или) при отсутствии информации, необходимой для оценки их справедливой стоимости с приемлемым уровнем погрешности (не более чем 20 процентов);

паи паевых инвестиционных фондов;

поручительства юридических лиц и физических лиц;

имущественные права (требования) на недвижимое имущество.

Обеспечение I и II категории качества также не учитывается для целей настоящей Методики, в том числе если:

отсутствуют основания полагать, что лицо, предоставившее обеспечение, не будет препятствовать реализации прав банка на обеспечение;

предмет залога отсутствует по месту нахождения, указанному в договоре залога, и (или) не представлен для оценки;

предмет залога не может быть идентифицирован и (или) реализован по частям;

имеются обстоятельства, препятствующие реализации прав, вытекающих из наличия обеспечения.

При оценке стоимости отдельных видов обеспечения, также могут быть использованы подходы к оценке его стоимости, указанные в подпункте 2.2.2 пункта 2.2 настоящей Методики.

2.3. Оценка имущества (активов) банка, классифицируемых на портфельной основе, осуществляется с учетом следующих подходов.

2.3.1. Проверка корректности расчета размера (в процентах) резерва и формирования резерва, а также оценка размера доначисления резерва по ссудам, оцениваемым на портфельной основе (далее - оценка), осуществляются в соответствии с требованиями Положения Банка России N 254-П и настоящей Методики.

2.3.2. В целях применения настоящей Методики ссуды, входящие в состав портфелей и субпортфелей однородных ссуд (далее - портфель однородных ссуд), объединяются в группы (далее - группы ссуд). Ссуды, по которым резерв создан в размере 100 процентов, не включаются в состав групп ссуд.

2.3.3. Банк предоставляет данные обо всех ссудах, входящих в каждый портфель однородных ссуд (далее - индивидуальные данные), на дату оценки.

2.3.3.1. Индивидуальные данные по каждой ссуде должны содержать следующий минимальный состав информации, актуальной на дату оценки:

идентификационный номер заемщика в информационных системах банка;

номер договора о предоставлении ссуды;

код объекта федерального значения Российской Федерации, в котором расположено осуществляющее учет ссуды структурное подразделение банка, определяемый первым уровнем классификации Общероссийского классификатора объектов административно-территориального деления (ОКАТО);

дату договора о предоставлении ссуды;

валюту ссуды;

дату выдачи денежных средств (предоставления кредита "овердрафт");

сумму предоставленной ссуды (в валюте ссуды, на дату выдачи денежных средств или предоставления кредита "овердрафт");

наименование и код кредитного продукта ссуды (по классификации банка);

наименование и условный код портфеля однородных ссуд (по классификации банка);

остаток общей (оставшейся и просроченной) суммы основного долга (в рублях);

остаток просроченной суммы основного долга (в рублях);

размер (в процентах) резерва по ссуде;

размер резерва по ссуде.

2.3.3.2. Дополнительно к индивидуальным данным банк представляет обобщенные данные о портфелях однородных ссуд банка (далее - обобщенные данные), включающие следующую информацию по каждому портфелю однородных ссуд на дату оценки:

наименование, краткое описание и условный код (по классификации банка);

вид кредитования в соответствии с главой 5 Положения Банка России N 254-П (например, ипотека, автокредиты, потребительские ссуды физическим лицам, имеющим счета в данном банке, прочие потребительские ссуды, кредитные карты и другие);

дата (месяц, год) образования.

2.3.3.3. Суммы основного долга по ссудам, предоставленным в иностранной валюте, указываются в рублевом эквиваленте, определяемом по официальному курсу иностранной валюты по отношению к рублю, установленному Банком России на дату оценки.

2.3.4. Банк предоставляет индивидуальные данные и обобщенные данные в электронной форме в формате, определенном руководителем группы представителей.

2.3.5. В ходе оценки осуществляется формирование групп ссуд по результатам анализа предоставленных банком индивидуальных данных и обобщенных данных.

2.3.5.1. Ссуды объединяются в группы ссуд в разрезе видов кредитования. Количество учитываемых при оценке видов кредитования, их состав, принципы и критерии агрегирования определяются на основе предварительного обобщенного анализа информации о портфелях однородных ссуд банка с учетом требований Положения Банка России N 254-П, настоящей Методики и практических ограничений, в том числе по доступным возможностям осуществления проверки и максимально допустимому общему количеству подлежащих проверке ссуд.

2.3.5.2. Ссуды, предоставленные физическим лицам, классифицируемые на портфельной основе, объединяются в разрезе видов кредитования в следующие группы ссуд:

группа ипотечных ссуд;

группа ссуд, предоставленных на покупку автотранспортных средств;

группа ссуд, выданных физическим лицам, которые получают на свои банковские (депозитные) счета, открытые в банке, заработную плату и иные выплаты в связи с выполнением трудовых обязанностей;

группы прочих ссуд.

В зависимости от характера и масштаба деятельности проверяемого банка возможно выделение других групп ссуд, например, потребительских ссуд клиентам, не имеющим в банке депозитных счетов, кредитных карт и другого.

2.3.5.3. Ссуды, предоставленные субъектам малого и среднего предпринимательства, классифицируемые на портфельной основе, объединяются в разрезе видов кредитования в следующие группы ссуд:

группа обеспеченных ссуд;

группа прочих ссуд.

2.3.5.4. Не допускается включение в одну группу ссуд, предоставленных физическим лицам, и ссуд, предоставленных субъектам малого и среднего предпринимательства.

2.3.5.5. Общее количество групп ссуд и точные критерии разрезов по видам кредитования определяются с учетом требований подпунктов 2.3.8 и 2.3.9 настоящего пункта. Указанная информация описывается и обосновывается в результатах оценки.

2.3.6. Оценка осуществляется методом экстраполяции среднего размера (в процентах) доначисления резерва, определенного в результате проверки выбранного количества входящих в группу ссуд (далее - выборка), на всю соответствующую группу ссуд.

2.3.7. Оценка осуществляется по результатам индивидуальных проверок ссуд выборки в разрезе следующих видов нарушений требований Положения Банка России N 254-П и с учетом подходов к оценке, установленных настоящей Методикой (далее - виды нарушений):

наличие недействительного паспорта у заемщика и (или) созаемщика на дату выдачи ссуды;

нарушение требований нормативных актов Банка России по классификации реструктурированных ссуд и ссуд, указанных в пункте 3.14 Положения Банка России N 254-П, для целей формирования резервов на возможные потери;

нарушение отнесения просроченных ссуд к соответствующему портфелю (субпортфелю) однородных ссуд по продолжительности просроченных платежей.

Перечень видов нарушений в процессе оценки при необходимости может быть дополнен. Итоговый состав видов нарушений для каждой группы ссуд описывается и обосновывается в результатах оценки. При определении видов нарушений учитывается структура, состав портфелей однородных ссуд, количество ссуд в разрезе видов кредитования, минимальные объемы выборок, а также практические возможности и доступные ресурсы проверяющих.

2.3.8. Формируемая выборка ссуд должна быть репрезентативной, то есть достаточно полно и адекватно отражать структуру кредитного риска группы ссуд, из которой эта выборка осуществлялась.

2.3.8.1. Осуществляется бесповторный простой случайный отбор ссуд, допускающий для каждой из них независимую от выбора других ссуд единственную возможность попадания в выборку, из общей совокупности ссуд, входящих в группу ссуд, с использованием программного обеспечения, реализующего генерацию случайных величин.

2.3.8.2. Для формирования выборки могут применяться иные обеспечивающие ее репрезентативность методы отбора, отличные от простого случайного отбора (в том числе их комбинации).

Минимальные объемы выборок при этом определяются в соответствии со статистически обоснованными подходами выбранного метода.

2.3.8.3. Примененный метод отбора описывается и обосновывается в результатах оценки.

2.3.9. Выборка из группы ссуд определяется поэтапно путем первоначального формирования предварительной выборки и, при необходимости, ее последующего пополнения до итоговой выборки.

2.3.9.1. На первом этапе формируется единая для всех видов нарушений предварительная выборка из группы ссуд минимальным объемом не менее 100 ссуд.

Состав ссуд предварительной выборки определяется согласно подпункту 2.3.8 настоящего пункта. Отобранные в предварительную выборку ссуды проверяются в порядке, указанном в подпунктах 2.3.11 - 2.3.13 настоящего пункта, на наличие нарушений, указанных в подпункте 2.3.7 настоящего пункта, с определением размеров (в процентах) доначислений резервов в разрезе видов нарушений и фиксированием их в результатах оценки сведений, указанных в таблице 1.

Таблица 1

N п/п Номер договора ссуды Размер доначисления резерва по виду нарушения 1, % Размер доначисления резерва по виду нарушения 2, % ... Итоговый размер доначисления резерва по всем нарушениям
           

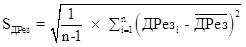
2.3.9.2. По результатам проверки ссуд предварительной выборки вычисляется стандартное отклонение среднего размера (в процентах) доначисления резерва для ссуд выборки по формуле:

,

где:

n - количество ссуд в выборке;

- стандартное отклонение среднего размера (в процентах) доначисления резерва;

- стандартное отклонение индивидуального размера (в процентах) доначисления резерва для ссуд выборки, определяемое по формуле:

,

i - порядковый номер ссуды в выборке;

- максимальный размер (в процентах) доначисления резерва по i-ой ссуде выборки по всем выявленным нарушениям;

- средний размер (в процентах) доначисления резерва по ссудам выборки, определяемый в соответствии с подпунктом 2.3.14 пункта 2.3 настоящей Методики.

Величина определяется с точностью до одного знака после запятой по правилам математического округления.

2.3.9.3. На втором этапе по величине и объему группы ссуд определяется минимальный объем выборки с использованием таблицы "Минимальное количество ссуд в выборке" (приложение 6 к настоящему Указанию). Если определенный таким образом минимальный объем выборки превышает объем предварительной выборки, то выборка увеличивается до минимального объема. В противном случае увеличения объема выборки не требуется.

Состав выборки формируется пополнением выборки предыдущего этапа, начиная с предварительной выборки, дополнительными ссудами путем их отбора из той же группы ссуд согласно подпункту 2.3.8 настоящего пункта.

2.3.9.4. Процедура уточнения минимального объема выборки, указанная в подпункте 2.3.9.3 настоящего пункта, повторяется, если по результатам очередного этапа уточнения для целей формирования выборки требуется добавление в нее более 10 ссуд. Если в соответствии с подпунктом 2.3.9.3 настоящего пункта и таблицей "Минимальное количество ссуд в выборке" (приложение 6 к настоящему Указанию) количество ссуд для добавления не превышает 10 или объем полученной выборки превысил 500, то процедура уточнения минимального объема выборки прекращается.

2.3.9.5. Результаты первоначального формирования и последующих изменений состава выборки оформляются соответствующими протоколами, включаемыми в результаты оценки, с указанием времени, места, метода, технологии, участников процедуры, а также полного состава (номеров) включаемых в выборку и (или) исключаемых из выборки ссуд и описанием причин осуществления процедуры.

2.3.10. По результатам формирования групп ссуд и выборок из групп ссуд у банка запрашиваются оригиналы досье заемщиков и иные необходимые документы по ссудам, включенным в выборки.

2.3.11. При отсутствии фактической возможности осуществления проверки конкретной входящей в выборку ссуды (например, при отсутствии или практической недоступности соответствующего досье заемщика) размер (в процентах) доначисления резерва по ней устанавливается равным разности между минимальным размером (в процентах) резерва по ссудам с просроченными платежами продолжительностью свыше 360 календарных дней и размером (в процентах) фактически сформированного резерва, но не более 100 процентов. Указанная ссуда не принимается во внимание при определении и (или) уточнении минимального объема выборки. Выборка дополняется другой ссудой из той же группы ссуд. Выбор дополняющей ссуды осуществляется в порядке, определенном подпунктом 2.3.8 настоящего пункта, с оформлением протокола и обоснованием такого решения в результатах оценки.

2.3.12. Каждая ссуда из выборки последовательно проверяется на наличие каждого вида нарушений. Оценка размера (в процентах) доначисления резерва в разрезе выявленного вида нарушения осуществляется по формуле:

,

где:

- размер (в процентах) доначисления резерва по i-ой ссуде выборки в разрезе выявленного j-го вида нарушения;

- минимальный размер (в процентах) резерва по ссуде, определяемый требованиями Положения Банка России N 254-П и (или) настоящей Методики;

- размер (в процентах) резерва по ссуде, фактически сформированный банком на дату оценки;

i - порядковый номер анализируемой ссуды в выборке;

j - порядковый номер вида нарушения.

При отсутствии по ссуде выявленного нарушения размер (в процентах) доначисления резерва в разрезе указанного вида нарушения принимается равным 0 процентов.

2.3.13. По каждой ссуде с учетом всех выявленных по ней видов нарушений расчет итогового размера (в процентах) доначисления резерва осуществляется для всех ссуд выборки по следующей формуле:

,

где:

L - количество видов нарушений, на наличие которых анализируются ссуды.

Итоговый размер (в процентах) доначисления резерва по ссуде, приводящий к доначислению резерва в размере менее 100 руб., полагается равным 0 процентов.

2.3.13.1. В ходе оценки размер (в процентах) доначисления резерва может быть скорректирован в сторону его увеличения. Соответствующее решение описывается и обосновывается в результатах оценки.

2.3.13.2. Размер (в процентах) доначисления резерва по ссуде с учетом всех выявленных по ней нарушений не должен определять итоговый резерв (в процентах) в размере более 100 процентов.

2.3.14. Средний размер (в процентах) доначисления резерва по ссудам выборки определяется по формуле:

,

где:

- остаток ссудной задолженности на дату оценки.

2.3.15. Для учета возможного разброса среднего размера (в процентах) доначисления резерва для ссуд выборки, связанного с недостаточностью ее объема, вычисленная величина корректируется по следующей формуле:

,

где:

П - поправка среднего размера (в процентах) доначисления резерва, определяемая по следующей формуле:

,

где:

- стандартное отклонение индивидуального размера (в процентах) доначисления резерва для ссуд выборки, определяемое по формуле, приведенной в подпункте 2.3.9.2 пункта 2.3 настоящей Методики;

n - количество ссуд в выборке.

2.3.16. Размер доначисления резерва группы ссуд определяется по следующей формуле:

,

где:

- скорректированный размер (в процентах) доначисления резерва группы ссуд, оцененный по его выборке в соответствии с подпунктом 2.3.15 пункта 2.3 настоящей Методики;

ГрС - совокупная сумма основного долга соответствующей группы ссуд (в рублях).

2.3.17. Совокупный размер доначисления резерва банка по портфелям однородных ссуд рассчитывается как сумма размеров доначисления резерва по всем группам ссуд.

2.4. Оценка обязательств банка проводится отдельно по обязательствам, сгруппированным на балансовых и внебалансовых счетах бухгалтерского учета.

2.4.1. Оценка обязательств банка, учитываемых на балансовых счетах бухгалтерского учета, осуществляется с учетом следующих подходов.

Стоимость обязательств банка определяется с использованием отчетности по формам 0409101 "Оборотная ведомость по счетам бухгалтерского учета кредитных организаций" и 0409345 "Данные о ежедневных остатках, подлежащих страхованию денежных средств физических лиц, размещенных во вклады".

При оценке обязательств анализируются договоры, на основании которых у банка возникают обязательства, на предмет их достоверности, сроков прекращения обязательства по договору, а также прав банка их досрочного расторжения.

При оценке обязательств в обязательном порядке проверяются средства, привлеченные во вклады физических лиц, в том числе если:

по вкладам отсутствуют договоры и другие документы, подтверждающие внесение средств;

вклады образовались путем перевода привлеченных средств юридических лиц на счета физических лиц;

вклады образовались в результате восстановления на балансе банка ранее привлеченных, но не отраженных на балансе банка вкладов;

вклады физических лиц были открыты и (или) пополнялись на основании недействительных документов, удостоверяющих личности вкладчиков.

Также при оценке обязательств в обязательном порядке проверяются обязательства банка перед Банком России, в том числе по кредитам Банка России с учетом обеспечения, а также обязательства по платежам в соответствии с законодательством Российской Федерации о налогах и сборах и страховым взносам в государственные внебюджетные фонды.

В отношении средств, привлеченных от юридических лиц (в том числе кредитных организаций), анализируется наличие в заключенных с ними договорах условий о возможности досрочного изъятия (погашения, прекращения путем зачета встречных требований) средств.

Обязательства контрагента банка могут быть скорректированы на актив, предоставленный (перечисленный) банком данному контрагенту.

При неподтверждении обязательств банка или выявлении обязательств, не учтенных банком, следует отразить корректировку в сумме выявленных расхождений.

Оценка обязательств по договорам субординированных кредитов (депозитов, займов) или в соответствии с выпусками субординированных облигационных займов (далее - субординированные инструменты капитала) проводится с учетом наличия (отсутствия) в договорах (условиях выпуска) субординированных инструментов капитала обязательных условий о прекращении требований кредиторов по субординированным инструментам капитала и (или) мене (конвертации) требований кредиторов по субординированным инструментам капитала на обыкновенные акции (доли в уставном капитале) банка, а также наличия (отсутствия) в договорах (условиях выпуска) субординированных инструментов капитала условия о праве банка - заемщика в одностороннем порядке отказаться от уплаты процентов по договору (или в соответствии с условиями выпуска), при наличии которого обязательства по уплате процентов оцениваются равными нулю.

Корректировка (с учетом необходимого для восстановления базового капитала в соответствии с требованиями Банка России объема подлежащих прекращению и (или) мене (конвертации) требований кредиторов) в размере до 100 процентов от балансовой стоимости субординированного инструмента капитала, включая начисленные проценты, а также финансовые санкции за неисполнение обязательств по субординированному инструменту капитала, применяется к субординированным инструментам капитала банка в случае наличия в договоре (условиях выпуска) субординированного инструмента капитала условия о мене (конвертации) требований кредиторов на обыкновенные акции (доли в уставном капитале) банка и (или) условия о прекращении требований кредиторов, установленных абзацами пятым - девятым подпункта 2.3.4 пункта 2 или абзацами одиннадцатым - пятнадцатым подпункта 3.1.8.1.2 пункта 3 Положения Банка России от 28 декабря 2012 года N 395-П "О методике определения величины собственных средств (капитала) кредитных организаций ("Базель III")", зарегистрированного Министерством юстиции Российской Федерации 22 февраля 2013 года N 27259, 29 ноября 2013 года N 30499, 2 октября 2014 года N 34227, 11 декабря 2014 года N 35134, 17 декабря 2014 года N 35225, 24 марта 2015 года N 36548, 5 июня 2015 года N 37549 ("Вестник Банка России" от 27 февраля 2013 года N 11, от 30 ноября 2013 года N 69, от 8 октября 2014 года N 93, от 22 декабря 2014 года N 112, от 26 декабря 2014 года N 114, от 30 марта 2015 года N 27, от 16 июня 2015 года N 52) (далее - Положение Банка России N 395-П). Данная корректировка применяется, поскольку принятие решения об оказании финансовой помощи государственной корпорацией "Агентство по страхованию вкладов" банку (утверждение Комитетом банковского надзора Банка России плана участия государственной корпорации "Агентство по страхованию вкладов" в осуществлении мер по предупреждению банкротства банка) в соответствии с требованиями, установленными абзацем шестым подпункта 2.3.4 пункта 2 или абзацем двенадцатым подпункта 3.1.8.1.2 пункта 3 Положения Банка России N 395-П, является событием, при котором осуществляется мена (конвертация) указанных субординированных инструментов капитала на обыкновенные акции (доли в уставном капитале) банка и (или) прекращаются требования кредиторов по данным субординированным инструментам капитала.

В случае наличия в договоре (условиях выпуска) субординированного инструмента капитала, соответствующего требованиям подпункта 2.3.3 пункта 2 Положения Банка России N 395-П, условия о прекращении требований кредиторов на основании статьи 189.10 Федерального закона "О несостоятельности (банкротстве)" стоимость обязательств по субординированному инструменту капитала оценивается исходя из наличия (отсутствия) оснований для осуществления мер по предупреждению банкротства банка и принимается равной:

нулю - при наличии указанных оснований;

сумме основного долга, отраженной на балансе банка, включая начисленные проценты, а также финансовые санкции за неисполнение обязательств по субординированному инструменту капитала - при отсутствии указанных оснований.

В случае отсутствия в договоре (условиях выпуска) субординированного инструмента капитала как условия о прекращении требований кредиторов по субординированным инструментам капитала, так и условия о мене (конвертации) требований кредиторов по субординированным инструментам капитала на обыкновенные акции (доли в уставном капитале) банка стоимость обязательств по субординированному инструменту капитала устанавливается в сумме основного долга, отраженной на балансе банка, включая начисленные проценты, а также финансовые санкции за неисполнение обязательств по субординированному инструменту капитала.

Корректировка отражается но соответствующей строке графы 4 таблицы "Стоимость обязательств банка на дату оценки" (приложение 3 к настоящему Указанию).

2.4.2. Оценка условных обязательств банка, учитываемых на внебалансовых счетах бухгалтерского учета, осуществляется с учетом следующих подходов.

Стоимость условных обязательств банка определяется с использованием отчетности по формам 0409101 "Оборотная ведомость по счетам бухгалтерского учета" и 0409155 "Сведения об условных обязательствах кредитного характера и производных финансовых инструментах".

При оценке условных обязательств анализируются договоры, на основании которых у банка возникают условные обязательства, на предмет их достоверности, объема обязательств, вытекающих из договоров, наличия (отсутствия) в договорах отлагательных условий, сроков прекращения обязательств по договору, а также прав банка их досрочного расторжения.

В результате оценки определяется необходимость исполнения условного обязательства банка на основании подтверждающих документов.

При выявлении условных обязательств, не учтенных банком и подлежащих исполнению, они также должны быть учтены при определении обязательств.

Корректировка отражается по соответствующей строке графы 11 таблицы "Стоимость условных обязательств банка на дату оценки" (приложение 4 к настоящему Указанию).

Глава 3. Определение стоимости имущества (активов) банка и оформление результатов оценки

3.1. Стоимость имущества (активов) банка определяется на дату оценки.

Стоимость имущества (активов) банка определяется путем уточнения текущей стоимости имущества (активов), определенной банком, с учетом требований нормативных актов Банка России и корректировки стоимости имущества (активов) банка, осуществленной на основании настоящей Методики.

Стоимость определяется в разрезе каждого вида имущества (актива) банка, указанного в таблице "Стоимость имущества (активов) банка на дату оценки" (приложение 2 к настоящему Указанию).

При применении настоящей Методики определяется отдельно величина корректировок, отражающих применение нормативных актов Банка России, указанных в пункте 2.1 настоящей Методики, а также корректировок, предусмотренных настоящей Методикой.

В случае отсутствия расхождений между оценкой стоимости имущества (активов), осуществленной банком, и оценкой, проведенной на основании настоящей Методики, стоимость имущества (активов) определяется исходя из его (их) текущей стоимости, определенной банком.

Стоимость актива банка может быть определена исходя из оценки стоимости имеющегося обеспечения, проведенной с учетом требований главы 6 Положения Банка России N 254-П и настоящей Методики. Если стоимость обеспечения, определенная с учетом требований главы 6 Положения Банка России N 254-П и настоящей Методики, превышает балансовую стоимость актива на дату оценки, то стоимость актива принимается равной его балансовой стоимости на дату оценки.

Стоимость активов, не попавших в выборку оценки и сгруппированных по строкам 1 - 6.1 таблицы "Стоимость имущества (активов) банка на дату оценки" (приложение 2 к настоящему Указанию), за исключением активов, оцениваемых на портфельной основе, определяется в разрезе установленных групп активов согласно указанной таблице путем корректировки их текущей стоимости на коэффициент обесценения, рассчитанный как среднее арифметическое значение обесценения соответствующей группы активов банка.

Стоимость активов, оцениваемых на портфельной основе, определяется согласно пункту 2.3 настоящей Методики.

Стоимость активов, в отношении которых не проводилась оценка и сгруппированных по строке 6.2 "Иные активы" таблицы "Стоимость имущества (активов) банка на дату оценки" (приложение 2 к настоящему Указанию), определяется путем корректировки их текущей стоимости на коэффициент обесценения, рассчитанный как среднее арифметическое значение обесценения активов банка, в отношении которых проводилась оценка стоимости в соответствии с настоящей Методикой, и активов, стоимость которых определена согласно абзацам седьмому и восьмому настоящего пункта.

Итоговая стоимость имущества (активов) банка определяется как сумма стоимостей всех активов банка и указывается в строке 7 графы 14 таблицы "Стоимость имущества (активов) банка на дату оценки" (приложение 2 к настоящему Указанию).

3.2. Результаты оценки имущества (активов) и обязательств группируются в таблицы "Стоимость имущества (активов) банка на дату оценки", "Стоимость обязательств банка на дату оценки" и "Стоимость условных обязательств банка на дату оценки" согласно приложениям 2 - 4 к настоящему Указанию соответственно.

Оценка достаточности имущества банка для осуществления урегулирования его обязательств производится на основании результатов оценки имущества (активов) и обязательств банка и включается в отчет, составляемый в соответствии с Указанием Банка России от 24 июня 2015 года N 3691-У "О порядке и методике проведения анализа финансового положения банка для решения вопроса о целесообразности участия государственной корпорации "Агентство по страхованию вкладов" в осуществлении мер по предупреждению банкротства или урегулировании обязательств банка", зарегистрированным Министерством юстиции Российской Федерации 21.08.2015 N 38629 ("Вестник Банка России" от ________ 2015 года N ____).

Приложение 2
к Указанию Банка России
от __________ N ____-У
"О методике оценки представителями
Банка России и государственной
корпорации "Агентство по страхованию
вкладов" достаточности имущества
банка для осуществления урегулирования
его обязательств"

СТОИМОСТЬ ИМУЩЕСТВА (АКТИВОВ) БАНКА НА ДАТУ ОЦЕНКИ

N Строки Наименование актива Балансовая стоимость имущества (актива), (тыс. руб) Размер резерва на возможные потери Переоценка стоимости имущества (актива), (тыс. руб.) Текущая стоимость имущества (актива) по оценке банка, (тыс. руб.) Текущая стоимость имущества (актива), уточненная с учетом требований нормативных актов Банка России (предварительная оценка) Корректировка стоимости имущества (актива), применяемая в соответствии с Методикой Итоговая стоимость имущества (актива), (тыс. руб.)
размер расчетного резерва, (тыс. руб.)/(%) размер сформированного резерва, (тыс. руб.)/(%) размер расчетного резерва, (тыс. руб.)/(%) размер резерва к формированию (тыс. руб.)/(%) размер недоформированного резерва (тыс. руб.)/(%) стоимость имущества (актива), (тыс. руб.) размер резерва по Методике (тыс. руб.)/(%) размер резерва к деформированию, (тыс. руб.)/(%)
1 2 3 4 5 6 7 8 9 10 11 12 13 14
1. Денежные средства и драгоценные металлы, средства на межбанковских счетах, в том числе:
1.1. Денежные средства
1.2. Драгоценные металлы
1.3. Средства на межбанковских счетах
1.3.1. Средства на корсчетах и других счетах в Банке России
1.3.2. Обязательные резервы
1.3.3. Средства на корсчетах и других счетах в кредитных организациях
1.4. Активы, не вошедшие в выборку
2. Ссуды, ссудная и приравненная к ней задолженность, в том числе:
2.1. Оценка на индивидуальной основе
2.1.1. Межбанковские кредиты
2.1.2. Кредиты, предоставленные юридическим лицам
2.1.3. Кредиты, предоставленные физическим лицам
2.1.4. Учтенные векселя
2.1.5. Прочие размещенные средства
2.1.6. Активы, не вошедшие в выборку
2.2. Оценка на портфельной основе
3. Ценные бумаги, в том числе:
3.1. Ценные бумаги оцениваемые по текущей (справедливой) стоимости
3.2. Ценные бумаги, по которым нормативными актами Банка России предусмотрено создание резервов на возможные потери:
3.2.1. Долевые ценные бумаги
3.2.2. Долговые ценные бумаги
3.2.3. Ценные бумаги, переданные в РЕПО
3.3. Ценные бумаги, не вошедшие в выборку
4. Дебиторская задолженность, в том числе:
4.1. Дебиторская задолженность, не вошедшая в выборку
5. Имущество, в том числе:
5.1. Основные средства
5.2. Нематериальные активы
5.3. Запасы
5.4. Имущество, не вошедшее в выборку
6. Прочие активы, в том числе:
6.1 Требования по получению процентов
6.2. Иные активы
7. Всего активов

Порядок заполнения таблицы "Стоимость имущества (активов) банка на дату оценки"

1. В таблице "Стоимость имущества (активов) банка на дату оценки" отражается информация о стоимости имущества (активов) банка на дату оценки, сгруппированных по строкам, в соответствии с графой 2.

2. В графе 3 по всем строкам отражается балансовая стоимость имущества (активов) банка, определенная на основании данных балансовых счетов отчетности по форме 0409101 "Оборотная ведомость по счетам бухгалтерского учета кредитной организации".

Требования к индивидуальным предпринимателям классифицируются как требования к юридическим лицам.

В графе 3 по строке 6.2 отражается общая сумма активов, не включенных в иные разделы, предусмотренные графой 2.

3. В графе 4 по всем строкам отражается размер расчетного резерва банка, определенный на основании данных отчетности по форме 0409115 "Информация о качестве активов кредитной организации (банковской группы)" и данных банка.

4. Графы 5 - 7 по всем строкам заполняются на основании отчетности по форме 0409101 "Оборотная ведомость по счетам бухгалтерского учета кредитной организации" и данных банка.

5. Графа 6 заполняется по имуществу (активам), по которым в соответствии с Положением Банка России N 385-П предусмотрена переоценка.

6. В графе 7 отражается разница (сумма) между графой 3 и графами 5 или 6 для соответствующего имущества (актива) банка.

7. В графе 8 отражается размер расчетного резерва, установленного нормативными актами Банка России.

8. В графе 9 отражается необходимый к формированию резерв с учетом требований нормативных актов Банка России, в том числе с учетом качества обеспечения.

При отсутствии нарушений банком нормативных актов Банка России размер сформированного резерва по графе 5 соответствует размеру резерва, отраженного в графе 9.

9. В графах 8 и 9 резерв отражается в процентах от ссудной задолженности и абсолютной величине в тысячах рублей.

10. В графе 10 отражается разница между графой 9 и графой 5. Графа заполняется в процентах от ссудной задолженности и тысячах рублей.

11. В графе 11 отражается разница между графой 7 и графой 10. Графа заполняется в тысячах рублей.

12. В графе 12 отражается размер резерва (в процентах и абсолютной величине в тысячах рублей), необходимый к формированию в соответствии с настоящей Методикой.

13. В графе 13 отражается размер резерва к доформированию (в процентах), определенный как разница между размером резерва, отраженного в графе 12, и размером резерва, отраженного в графе 9, а также отражается абсолютная величина резерва к доформированию (в тысячах рублей), определяемая исходя из размера резерва, необходимого к доформированию к балансовой стоимости имущества (актива) (графа 3).

14. В графе 14 отражаются итоговые стоимости в разрезе видов (имущества) активов.

Графа 14 рассчитывается как разница между графой 11 и графой 13.

В графе 14 по строке 7 отражается итоговая стоимость имущества (активов) банка.

Приложение 3
к Указанию Банка России
от __________ N ____-У
"О методике оценки представителями
Банка России и государственной
корпорации "Агентство по страхованию
вкладов" достаточности имущества
банка для осуществления урегулирования
его обязательств"

СТОИМОСТЬ ОБЯЗАТЕЛЬСТВ БАНКА НА ДАТУ ОЦЕНКИ

N строки Наименование обязательства Балансовая стоимость обязательства (тыс. руб.) Сумма корректировки обязательства, определенная в соответствии с Методикой (тыс. руб.) Итоговая стоимость обязательства (тыс. руб.)
1 2 3 4 5
1. Привлеченные средства, в том числе:
1.1. Средства Банка России
1.2. Средства кредитных организаций
1.3. Средства юридических лиц
1.4. Вклады (средства) физических лиц
1.5. Вклады (средства) индивидуальных предпринимателей
1.6. Средства бюджетов
1.7. Выпущенные долговые обязательства
1.8. Субординированные инструменты
2. Обязательства по уплате процентов
3. Средства в расчетах
4. Кредиторская задолженность
5. Прочие обязательства
6. Обязательства, не вошедшие в проверку
7. Всего обязательств

Порядок заполнения таблицы "Стоимость обязательств банка на дату оценки"

1. В таблице "Стоимость обязательств банка на дату оценки" отражается информация об обязательствах банка, учитываемых на балансовых счетах бухгалтерского учета, на дату оценки, сгруппированных по строкам, в соответствии с графой 2.

2. В графе 3 по всем строкам отражается балансовая стоимость обязательств банка, определенная на основании данных балансовых счетов отчетности по формам 0409101 "Оборотная ведомость по счетам бухгалтерского учета кредитной организации" и 0409345 "Данные о ежедневных остатках, подлежащих страхованию денежных средств физических лиц, размещенных во вклады".

3. В графе 4 по всем по строкам отражается сумма корректировки стоимости обязательств банка, определенная в соответствии с Методикой.

4. В графе 5 отражается итоговая стоимость обязательства, определенная в соответствии с Методикой.

Графа 5 рассчитывается как разница между графой 3 и графой 4 для соответствующего обязательства банка.

В графе 5 по строке 7 отражается итоговая стоимость обязательств банка.

Приложение 4
к Указанию Банка России
от __________ N ____-У
"О методике оценки представителями
Банка России и государственной
корпорации "Агентство по страхованию
вкладов" достаточности имущества
банка для осуществления урегулирования
его обязательств"

СТОИМОСТЬ УСЛОВНЫХ ОБЯЗАТЕЛЬСТВ БАНКА НА ДАТУ ОЦЕНКИ

N строки Наименование условного обязательства Стоимость обязательства, учитываемая на внебалансовом счете (тыс. руб.) Размер резервов на возможные потери Текущая стоимость обязательства по оценке банка (тыс. руб.) Текущая стоимость обязательства, уточненная с учетом требований нормативных актов Банка России (предварительная оценка) Корректировка стоимости обязательства в соответствии с Методикой (тыс. руб.) Признанная стоимость обязательства (тыс. руб.) Итоговая стоимость обязательства (тыс. руб.)
Размер расчетного резерва (тыс. руб.)/(%) Размер сформированного резерва (тыс. руб.)/(%) Размер расчетного резерва (тыс. руб.)/(%) Размер резерва к формированию (тыс. руб.)/(%) Размер недоформированного резерва (тыс. руб.)/(%) Стоимость обязательства (тыс. руб.)
1 2 3 4 5 6 7 8 9 10 11 12 13
1. Условные обязательства, в том числе:
1.1. Выданные банковские гарантии
1.1.1. Банковские гарантии, не вошедшие в выборку
1.2. Предоставленные поручительства
1.2.1. Поручительства, не вошедшие в выборку
1.3. Прочие обязательства
1.3.1. Прочие обязательства, не вошедшие в выборку
1.4. Обязательства, не вошедшие в проверку

Порядок заполнения таблицы "Стоимость условных обязательств банка на дату оценки"

1. В таблице "Стоимость условных обязательств банка на дату оценки" отражается информация о стоимости условных обязательств банка, учитываемых на внебалансовых счетах бухгалтерского учета, на дату оценки, сгруппированных по строкам, в соответствии с графой 2.

2. В графе 3 по всем строкам отражается стоимость обязательств, учитываемых на внебалансовых счетах банка, определенная на основании данных отчетности по форме 0409101 "Оборотная ведомость по счетам бухгалтерского учета кредитной организации".

По строке 1 отражается информация о стоимости всех условных обязательств банка, применяемой корректировке и размере резервов по ним на дату оценки.

По строкам 1.1 - 1.3 отражается информация об условных обязательствах, вошедших в выборку оценки.

По строкам 1.1.1, 1.2.1, 1.3.1 отражается информация об условных обязательствах, не вошедших в выборку оценки.

По строке 1.4 отражается информация об условных обязательствах, не вошедших в проверку.

3. В графе 4 отражается информация о расчетном резерве на возможные потери по всем строкам на основании отчетности по форме 0409155 "Сведения об условных обязательствах кредитного характера и производных финансовых инструментах" и данных банка.

4. В графе 5 отражается информация о сформированном резерве на возможные потери по всем строкам на основании отчетности по формам 0409101 "Оборотная ведомость по счетам бухгалтерского учета кредитной организации", 0409155 "Сведения об условных обязательствах кредитного характера и производных финансовых инструментах" и данных банка.

5. В графе 6 отражается разница между графой 3 и графой 5.

6. В графе 7 отражается размер расчетного резерва, установленного нормативными актами Банка России.

7. В графе 8 отражается необходимый к формированию резерв с учетом требований нормативных актов Банка России, в том числе с учетом обеспечения.

При отсутствии нарушений банком нормативных актов Банка России размер сформированного резерва по графе 5 соответствует размеру резерва, отраженного в графе 8.

8. В графах 7 и 8 резерв отражается в процентах и абсолютной величине в тысячах рублей.

9. В графе 9 отражается разница между графой 8 и графой 5. Графа заполняется в процентах и тысячах рублей.

10. В графе 10 отражается разница между графой 6 и графой 9. Графа заполняется в тысячах рублей.

11. В графе 11 отражается корректировка стоимости условных обязательств в соответствии с Методикой. Графа заполняется в тысячах рублей.

12. В графе 12 отражается признанная стоимость условных обязательств. Графа заполняется в тысячах рублей.

13. В графе 13 по соответствующим строкам отражаются итоговые стоимости условных обязательств, рассчитываемые как разница между графой 12 и графами 5 и 9 (в случае доформирования банком резерва на основании требований Банка России).

В графе 13 по строке 1 отражается итоговая стоимость условных обязательств банка. Графа заполняется в тысячах рублей.

Приложение 5
к Указанию Банка России
от ____________ N ____
"О методике оценки представителями
Банка России и государственной
корпорации "Агентство по страхованию
вкладов" достаточности имущества
банка для осуществления урегулирования
его обязательств"

ПРИМЕРНЫЙ ПЕРЕЧЕНЬ ДОКУМЕНТАЦИИ ДЛЯ ИДЕНТИФИКАЦИИ И АНАЛИЗА ХАРАКТЕРИСТИК ИМУЩЕСТВА

1. Земельные участки и недвижимое имущество, завершенное строительством:

свидетельства о государственной регистрации права на недвижимое имущество и земельные участки либо договор аренды земельного участка (в зависимости от вида права);

кадастровый паспорт земельного участка;

техническая документация бюро технической инвентаризации (БТИ) на недвижимое имущество (технический (кадастровый) паспорт), включая экспликацию помещений;

охранное обязательство собственника объекта культурного наследия и акт его технического состояния (если объект недвижимости является памятником архитектуры).

2. Недвижимое имущество, незавершенное строительством:

свидетельство о регистрации права собственности на объект незавершенного строительства (если была проведена регистрация);

документы, подтверждающие права на земельный участок (свидетельство о государственной регистрации права, договор аренды или соответствующие акты органов государственной власти);

акт консервации незавершенного строительством объекта (если объект находится на консервации);

постановления, распоряжения администрации, инвестиционный контракт (включая все дополнительные соглашения);

технические условия на подключение к инженерным сетям;

градостроительный план земельного участка;

заключение государственной экспертизы проекта;

разрешение на строительство (при наличии, в зависимости от стадии реализации проекта).

3. Движимое имущество:

3.1. Транспортные средства:

свидетельство о регистрации транспортного средства;

паспорт транспортного средства (ПТС).

3.2. Речные (морские) и воздушные суда, железнодорожный транспорт:

свидетельство о праве собственности на судно, договоры купли-продажи, договоры лизинга или контракт на строительство судна (в зависимости от прав на имущество);

копия свидетельства о годности к плаванию;

копии актов освидетельствования судна (ежегодных и промежуточных);

копия сертификата летной годности (удостоверения о годности к полетам);

копии ресурсных справок;

сведения для однозначной идентификации железнодорожного вагона: инвентарный номер, модель вагона, год постройки, станция приписки, регистрационный номер.

3.3. Технологическое оборудование:

копии договоров купли-продажи (контрактов) на поставку со спецификацией и всеми приложениями (дополнительными соглашениями) или копии договоров лизинга (в зависимости от прав на имущество);

копии таможенных деклараций;

копии технических паспортов.

Приложение 6
к Указанию Банка России
от __________ N ____-У
"О методике оценки представителями
Банка России и государственной
корпорации "Агентство по страхованию
вкладов" достаточности имущества
банка для осуществления урегулирования
его обязательств"

МИНИМАЛЬНОЕ КОЛИЧЕСТВО ССУД В ВЫБОРКЕ

Величина Количество ссуд в группе портфелей (шт.)
1 000 и менее 2 000 3 000 4 000 5 000 10 000 20 000 30 000 40 000 50 000 и более
0,1% и менее 0 0 0 0 0 0 0 0 0 0
0,2% 3 3 3 3 3 3 3 3 3 3
0,3% 8 8 8 8 8 8 8 8 8 8
0,4% 15 15 15 15 15 15 15 15 15 15
0,5% 23 23 23 23 23 23 23 23 23 23
0,6% 33 33 34 34 34 34 34 34 34 34
0,7% 44 45 46 46 46 46 46 46 47 47
0,8% 57 59 60 60 60 61 61 61 61 61
0,9% 72 74 75 76 76 77 77 77 77 77
1,0% 87 91 93 93 94 95 95 95 95 95
1,1% 104 109 111 112 113 114 115 115 115 115
1,2% 121 129 132 133 134 136 137 137 137 137
1,3% 139 150 153 155 157 159 161 161 161 161
1,4% 158 172 177 179 181 184 186 187 187 187
1,5% 177 195 201 205 207 211 213 214 214 215
1,6% 197 218 227 231 234 239 242 243 244 244
1,7% 217 243 254 259 262 270 273 275 275 276
1,8% 237 269 281 288 292 301 306 307 308 309
1,9% 257 295 310 319 324 335 340 342 343 344
2,0% 277 322 340 350 356 369 376 379 380 381
2,1% 297 349 371 382 390 406 414 417 419 419
2,2% 317 377 402 416 425 444 454 457 459 460
2,3% и более 336 405 434 450 461 483 495 499 500 500