Постановление Правительства РФ от 27.08.2015 N 894

"Об утверждении Правил предоставления субсидий из федерального бюджета организациям легкой промышленности на возмещение части затрат на обслуживание кредитов, привлеченных в российских кредитных организациях в 2012 - 2016 годах, на цели формирования межсезонных запасов, необходимых для производства товаров легкой промышленности, в рамках подпрограммы "Легкая промышленность и народные художественные промыслы" государственной программы Российской Федерации "Развитие промышленности и повышение ее конкурентоспособности"
Редакция от 27.08.2015 — Документ не действует
Показать изменения

ПРАВИТЕЛЬСТВО РОССИЙСКОЙ ФЕДЕРАЦИИ

ПОСТАНОВЛЕНИЕ
от 27 августа 2015 г. N 894

ОБ УТВЕРЖДЕНИИ ПРАВИЛ ПРЕДОСТАВЛЕНИЯ СУБСИДИЙ ИЗ ФЕДЕРАЛЬНОГО БЮДЖЕТА ОРГАНИЗАЦИЯМ ЛЕГКОЙ ПРОМЫШЛЕННОСТИ НА ВОЗМЕЩЕНИЕ ЧАСТИ ЗАТРАТ НА ОБСЛУЖИВАНИЕ КРЕДИТОВ, ПРИВЛЕЧЕННЫХ В РОССИЙСКИХ КРЕДИТНЫХ ОРГАНИЗАЦИЯХ В 2012 - 2016 ГОДАХ, НА ЦЕЛИ ФОРМИРОВАНИЯ МЕЖСЕЗОННЫХ ЗАПАСОВ, НЕОБХОДИМЫХ ДЛЯ ПРОИЗВОДСТВА ТОВАРОВ ЛЕГКОЙ ПРОМЫШЛЕННОСТИ, В РАМКАХ ПОДПРОГРАММЫ "ЛЕГКАЯ ПРОМЫШЛЕННОСТЬ И НАРОДНЫЕ ХУДОЖЕСТВЕННЫЕ ПРОМЫСЛЫ" ГОСУДАРСТВЕННОЙ ПРОГРАММЫ РОССИЙСКОЙ ФЕДЕРАЦИИ "РАЗВИТИЕ ПРОМЫШЛЕННОСТИ И ПОВЫШЕНИЕ ЕЕ КОНКУРЕНТОСПОСОБНОСТИ"

Правительство Российской Федерации постановляет:

Утвердить прилагаемые Правила предоставления субсидий из федерального бюджета организациям легкой промышленности на возмещение части затрат на обслуживание кредитов, привлеченных в российских кредитных организациях в 2012 - 2016 годах, на цели формирования межсезонных запасов, необходимых для производства товаров легкой промышленности, в рамках подпрограммы "Легкая промышленность и народные художественные промыслы" государственной программы Российской Федерации "Развитие промышленности и повышение ее конкурентоспособности".

Председатель Правительства
Российской Федерации
Д. МЕДВЕДЕВ

Утверждены
постановлением Правительства
Российской Федерации
от 27 августа 2015 г. N 894

ПРАВИЛА ПРЕДОСТАВЛЕНИЯ СУБСИДИЙ ИЗ ФЕДЕРАЛЬНОГО БЮДЖЕТА ОРГАНИЗАЦИЯМ ЛЕГКОЙ ПРОМЫШЛЕННОСТИ НА ВОЗМЕЩЕНИЕ ЧАСТИ ЗАТРАТ НА ОБСЛУЖИВАНИЕ КРЕДИТОВ, ПРИВЛЕЧЕННЫХ В РОССИЙСКИХ КРЕДИТНЫХ ОРГАНИЗАЦИЯХ В 2012 - 2016 ГОДАХ, НА ЦЕЛИ ФОРМИРОВАНИЯ МЕЖСЕЗОННЫХ ЗАПАСОВ, НЕОБХОДИМЫХ ДЛЯ ПРОИЗВОДСТВА ТОВАРОВ ЛЕГКОЙ ПРОМЫШЛЕННОСТИ, В РАМКАХ ПОДПРОГРАММЫ "ЛЕГКАЯ ПРОМЫШЛЕННОСТЬ И НАРОДНЫЕ ХУДОЖЕСТВЕННЫЕ ПРОМЫСЛЫ" ГОСУДАРСТВЕННОЙ ПРОГРАММЫ РОССИЙСКОЙ ФЕДЕРАЦИИ "РАЗВИТИЕ ПРОМЫШЛЕННОСТИ И ПОВЫШЕНИЕ ЕЕ КОНКУРЕНТОСПОСОБНОСТИ"

1. Настоящие Правила устанавливают порядок, цель и условия предоставления субсидий из федерального бюджета организациям легкой промышленности (далее - организация) на возмещение части затрат на обслуживание кредитов, привлеченных в российских кредитных организациях в 2012 - 2016 годах, на цели формирования межсезонных запасов, необходимых для производства товаров легкой промышленности, в рамках подпрограммы "Легкая промышленность и народные художественные промыслы" государственной программы Российской Федерации "Развитие промышленности и повышение ее конкурентоспособности" (далее - субсидия).

2. Субсидии предоставляются в целях возмещения части фактически произведенных и документально подтвержденных затрат, понесенных организациями на уплату процентов по кредитам, полученным в российских кредитных организациях на срок до 3 лет на формирование межсезонных запасов, необходимых для производства товаров легкой промышленности.

3. Субсидия предоставляется на основании договора о предоставлении субсидии, заключенного между организацией и Министерством промышленности и торговли Российской Федерации (далее - договор о предоставлении субсидии), в котором предусматриваются:

а) цели и условия предоставления субсидии, установленные настоящими Правилами;

б) сроки перечисления субсидии;

в) согласие организации на проведение Министерством промышленности и торговли Российской Федерации и Федеральной службой финансово-бюджетного надзора проверок соблюдения условий, целей и порядка предоставления субсидии;

г) обязательство организации обеспечить достижение установленного пунктом 20 настоящих Правил показателя критерия эффективности использования субсидии;

д) порядок и сроки представления отчетности об осуществлении расходов, источником финансового обеспечения которых является субсидия, по форме, установленной Министерством промышленности и торговли Российской Федерации, в том числе о достижении установленного пунктом 20 настоящих Правил показателя критерия эффективности использования субсидии;

е) перечень документов, представляемых организацией для получения субсидии;

ж) условия расторжения договора о предоставлении субсидии;

з) запрет конвертации в иностранную валюту полученных из федерального бюджета средств, за исключением операций, осуществляемых в соответствии с валютным законодательством Российской Федерации при закупке (поставке) высокотехнологичного импортного оборудования, сырья и комплектующих изделий, а также иных операций, связанных с достижением целей предоставления указанных средств, установленных нормативными правовыми актами, регулирующими порядок предоставления субсидий, бюджетных инвестиций или взносов в уставный капитал юридических лиц.

4. Для заключения договора о предоставлении субсидии организация представляет в Министерство промышленности и торговли Российской Федерации заявление о заключении договора о предоставлении субсидии (в произвольной форме), подписанное руководителем организации, с приложением к заявлению следующих документов:

а) выписка из Единого государственного реестра юридических лиц, заверенная в установленном порядке (в случае непредставления организацией такого документа Министерство промышленности и торговли Российской Федерации запрашивает его самостоятельно);

б) справка о деятельности организации и о продукции легкой промышленности, выпускаемой организацией, по форме согласно приложению N 1, подписанная руководителем организации и скрепленная печатью организации;

в) копии форм федерального статистического наблюдения П-1 "Сведения о производстве и отгрузке товаров и услуг" за год, предшествующий году получения субсидии, заверенные руководителем и главным бухгалтером организации и скрепленные печатью организации;

г) копия декларации по налогу на прибыль, представленной в налоговый орган за год, предшествующий году получения субсидии;

д) копия кредитного договора с графиком погашения кредита и уплаты процентов по нему, заверенная соответствующей кредитной организацией.

5. Министерство промышленности и торговли Российской Федерации регистрирует заявления, указанные в пункте 4 настоящих Правил, в порядке их поступления в специальном журнале N 1, который должен быть прошнурован, пронумерован и скреплен печатью Министерства промышленности и торговли Российской Федерации.

6. Министерство промышленности и торговли Российской Федерации в течение 20 календарных дней рассматривает в порядке поступления документы, предусмотренные пунктом 4 настоящих Правил, проверяет полноту и достоверность сведений, содержащихся в них, и заключает с организацией договор о предоставлении субсидии или отказывает (в письменной форме) организации в заключении договора о предоставлении субсидии в случаях:

а) если представленные организацией документы не соответствуют пунктам 1, 2 и 4 настоящих Правил;

б) если доходы организации от реализации произведенной ею продукции легкой промышленности, указанные в справке, предусмотренной подпунктом "б" пункта 4 настоящих Правил, составляют менее 50 процентов всех доходов организации, указанных в декларации по налогу на прибыль, копия которой представлена в соответствии с подпунктом "г" пункта 4 настоящих Правил.

7. Субсидия по кредиту, полученному в валюте Российской Федерации, предоставляется организации в размере 70 процентов суммы затрат организации на уплату процентов по кредиту. При этом размер субсидии не может превышать величину, рассчитанную исходя из 70 процентов ставки рефинансирования Центрального банка Российской Федерации, действующей на день уплаты процентов по кредиту.

Субсидия по кредиту, полученному в иностранной валюте, предоставляется организации в размере 70 процентов суммы затрат организации на уплату процентов по кредиту исходя из курса иностранной валюты по отношению к рублю, установленного Центральным банком Российской Федерации на день осуществления указанных затрат. При этом размер субсидии не может превышать величину, рассчитанную исходя из ставки по кредиту, полученному в иностранной валюте, в размере 8 процентов годовых.

8. Субсидия не предоставляется организации на возмещение процентов, начисленных и уплаченных:

а) по просроченной ссудной задолженности;

б) по кредиту, предоставленному при недостатке средств на корреспондентском, расчетном или текущем счетах (овердрафт).

9. Субсидия не предоставляется организации в случае получения организацией субсидии из бюджетов бюджетной системы Российской Федерации на возмещение части затрат на уплату процентов по тому же кредиту за один и тот же период на основании иных нормативных правовых актов.

10. Предоставление субсидии осуществляется ежеквартально.

11. Для получения субсидии на уплату процентов по кредиту организация с 20-го числа предпоследнего месяца квартала, но не позднее 5-го числа последнего месяца квартала, представляет в Министерство промышленности и торговли Российской Федерации заявление о предоставлении субсидии с приложением к заявлению следующих документов:

а) выписка по ссудному счету организации, подтверждающая получение кредита, а также документы, подтверждающие своевременную уплату организацией начисленных процентов за пользование кредитом и своевременное его погашение, заверенные соответствующей кредитной организацией;

б) справка о целевом использовании кредита с отметкой соответствующей кредитной организации, подтверждающая использование кредита на цели, указанные в пунктах 1 и 2 настоящих Правил, по форме согласно приложению N 2 с приложением копий платежных документов, заверенных руководителем организации;

в) копии договоров на закупку сырья, материалов, расходных материалов, комплектующих, необходимых для производства товаров легкой промышленности (со спецификациями), заверенные руководителем организации;

г) расчет размера субсидии по формам согласно приложениям N 3 или 4;

д) справка налогового органа, подтверждающая отсутствие у организации неисполненной обязанности по уплате налогов, сборов и других обязательных платежей, подлежащих уплате в бюджеты бюджетной системы Российской Федерации в соответствии с законодательством Российской Федерации, заверенная в установленном порядке (в случае непредставления организацией такого документа Министерство промышленности и торговли Российской Федерации запрашивает его самостоятельно);

е) справка, подписанная руководителем и главным бухгалтером организации и скрепленная печатью организации, с указанием реквизитов организации, а также банковских реквизитов расчетных счетов организации, на которые в случае принятия положительного решения будет перечислена субсидия;

ж) справка, подписанная руководителем и главным бухгалтером организации и скрепленная печатью организации, подтверждающая, что организация не получала субсидии из бюджетов бюджетной системы Российской Федерации на возмещение части затрат на уплату процентов по тому же кредиту за один и тот же период на основании иных нормативных правовых актов.

12. Использованием кредита в целях, соответствующих указанным в пунктах 1 и 2 настоящих Правил, признается осуществление организацией при производстве промышленной продукции, указанной в справке, предусмотренной подпунктом "б" пункта 4 настоящих Правил, расходов на приобретение сырья, материалов, расходных материалов и комплектующих изделий, необходимых для производства товаров легкой промышленности.

13. Предоставление субсидий осуществляется в пределах бюджетных ассигнований, предусмотренных сводной бюджетной росписью федерального бюджета на соответствующий финансовый год, и лимитов бюджетных обязательств, утвержденных в установленном порядке Министерству промышленности и торговли Российской Федерации на цели, указанные в пунктах 1 и 2 настоящих Правил.

14. Министерство промышленности и торговли Российской Федерации регистрирует заявления, указанные в пункте 11 настоящих Правил, в порядке их поступления в специальном журнале N 2, который должен быть прошнурован, пронумерован и скреплен печатью Министерства промышленности и торговли Российской Федерации.

15. Министерство промышленности и торговли Российской Федерации рассматривает в порядке поступления документы, указанные в пункте 11 настоящих Правил, и проверяет полноту и достоверность содержащихся в них сведений.

В случае ненадлежащего оформления документов заявление о предоставлении субсидии подлежит возврату с мотивированным отказом (в письменной форме) в течение 30 календарных дней со дня поступления в Министерство промышленности и торговли Российской Федерации.

16. Решение о предоставлении организации субсидии принимается Министерством промышленности и торговли Российской Федерации исходя из размера субсидии, рассчитанного по форме согласно приложениям N 3 или 4 к настоящим Правилам, до 20-го числа последнего месяца квартала.

17. Министерство промышленности и торговли Российской Федерации принимает решение об отказе в предоставлении субсидии в случаях:

а) несоответствия представленных документов положениям, предусмотренным пунктом 11 настоящих Правил;

б) недостатка лимита бюджетных обязательств, предусмотренных Министерству промышленности и торговли Российской Федерации на цели, указанные в пунктах 1 и 2 настоящих Правил.

18. Министерство промышленности и торговли Российской Федерации в течение 10 календарных дней со дня принятия решения уведомляет в письменной форме о принятом решении организацию, подавшую заявление о предоставлении субсидии.

19. Перечисление субсидии осуществляется в течение 5 календарных дней со дня принятия Министерством промышленности и торговли Российской Федерации решения о предоставлении субсидии в установленном порядке на расчетный счет организации, открытый в российской кредитной организации.

20. Критерием эффективности использования субсидии является объем отгруженных товаров собственного производства, составляющий не менее 107 процентов объема отгруженных товаров собственного производства за предыдущий год в фактических ценах.

21. Организация представляет не позднее 15 апреля года, следующего за отчетным финансовым годом, отчет о достижении в отчетном финансовом году показателя критерия эффективности использования субсидии по форме согласно приложению N 5 с приложением к отчету копии формы федерального статистического наблюдения П-1 "Сведения о производстве и отгрузке товаров и услуг", заверенной руководителем и главным бухгалтером организации и скрепленной печатью организации, а также копию бухгалтерской отчетности за последний отчетный период.

22. В случае недостижения в отчетном финансовом году показателя критерия эффективности использования субсидии, указанного в пункте 20 настоящих Правил, организация в текущем финансовом году уплачивает в доход федерального бюджета штрафные санкции в размере, рассчитанном согласно приложению N 6.

23. Информация о размерах и сроках перечисления субсидий учитывается Министерством промышленности и торговли Российской Федерации при формировании прогноза кассовых выплат из федерального бюджета, необходимого для составления в установленном порядке кассового плана исполнения федерального бюджета.

24. В случае установления факта нарушения условий предоставления субсидии соответствующие денежные средства подлежат возврату в доход федерального бюджета в порядке, установленном бюджетным законодательством Российской Федерации.

25. Не использованный в отчетном финансовом году остаток субсидии подлежит возврату в доход федерального бюджета в текущем финансовом году в порядке, установленном бюджетным законодательством Российской Федерации.

26. Контроль за соблюдением условий, целей и порядка предоставления субсидий осуществляется Министерством промышленности и торговли Российской Федерации и Федеральной службой финансово-бюджетного надзора.

Приложение N 1
к Правилам предоставления субсидий
из федерального бюджета организациям
легкой промышленности на возмещение
части затрат на обслуживание
кредитов, привлеченных в российских
кредитных организациях в 2012 - 2016
годах, на цели формирования межсезонных
запасов, необходимых для производства
товаров легкой промышленности,
в рамках подпрограммы "Легкая
промышленность и народные художественные
промыслы" государственной программы
Российской Федерации "Развитие
промышленности и повышение
ее конкурентоспособности"

(форма)

СПРАВКА О ДЕЯТЕЛЬНОСТИ ОРГАНИЗАЦИИ И О ПРОДУКЦИИ ЛЕГКОЙ ПРОМЫШЛЕННОСТИ, ВЫПУСКАЕМОЙ ОРГАНИЗАЦИЕЙ

Год выпуска продукции Наименование производимой продукции легкой промышленности Объем произведенной продукции легкой промышленности (штук) Объем произведенной продукции легкой промышленности (тыс. рублей) Доход от реализации произведенной продукции легкой промышленности (тыс. рублей) Валовой доход в соответствующем квартале (доходы от реализации и внереализационные доходы) (тыс. рублей)
Руководитель организации        
  (подпись)   (ф.и.о.)  
Главный бухгалтер        
  (подпись)   (ф.и.о.)  
"__" ______________ 20__ г.        
М.П.        

Приложение N 2
к Правилам предоставления субсидий
из федерального бюджета организациям
легкой промышленности на возмещение
части затрат на обслуживание
кредитов, привлеченных в российских
кредитных организациях в 2012 - 2016
годах, на цели формирования межсезонных
запасов, необходимых для производства
товаров легкой промышленности,
в рамках подпрограммы "Легкая
промышленность и народные художественные
промыслы" государственной программы
Российской Федерации "Развитие
промышленности и повышение
ее конкурентоспособности"

(форма)

СПРАВКА О ЦЕЛЕВОМ ИСПОЛЬЗОВАНИИ КРЕДИТА

Номер и дата заключения кредитного договора Сумма денежных средств, поступивших в соответствии с кредитным договором Целевое использование кредита
вид расходов сумма расходов (рублей) номер и дата платежного поручения, подтверждающего несение расходов

Использование кредита на цели, указанные в кредитном договоре N ___________ от "__" ________ 20__ г., подтверждаю.

Руководитель кредитной организации        
  (подпись)   (ф.и.о.)  
Руководитель организации        
  (подпись)   (ф.и.о.)  
Главный бухгалтер        
  (подпись)   (ф.и.о.)  
"__" ______________ 20__ г.        
М.П.        

Приложение N 3
к Правилам предоставления субсидий
из федерального бюджета организациям
легкой промышленности на возмещение
части затрат на обслуживание
кредитов, привлеченных в российских
кредитных организациях в 2012 - 2016
годах, на цели формирования межсезонных
запасов, необходимых для производства
товаров легкой промышленности,
в рамках подпрограммы "Легкая
промышленность и народные художественные
промыслы" государственной программы
Российской Федерации "Развитие
промышленности и повышение
ее конкурентоспособности"

                                                           (форма)
 
                             РАСЧЕТ
       размера субсидии организациям легкой промышленности
      на возмещение части затрат на обслуживание кредитов,
     полученных в валюте Российской Федерации, привлеченных
  в российских кредитных организациях в 2012 - 2016 годах на цели
  формирования межсезонных запасов, необходимых для производства
   товаров легкой промышленности, в рамках подпрограммы "Легкая
        промышленность и народные художественные промыслы"
         государственной программы Российской Федерации
             "Развитие промышленности и повышение
                  ее конкурентоспособности"
 
__________________________________________________________________
(полное наименование организации)
 
ИНН __________________ КПП ______________ расчетный счет _________
в ___________________________________________ БИК ________________
     (наименование кредитной организации)
корреспондентский счет ___________________________________________
код вида деятельности организации по ОКВЭД _______________________
__________________________________________________________________
(цель кредита)
по кредитному договору N ___ от "__" ____ 20__ г. в ______________
                                                    (наименование
                                                      кредитной
                                                     организации)
с "__" ____________ 20__ г. по "__" ___________ 20__ г.
 
1. Дата предоставления кредита ___________________________________
2. Срок погашения кредита по кредитному договору _________________
3. Сумма полученного кредита _____________________________________
4. Процентная ставка по кредиту __________________________________
5.  Размер  ставки  рефинансирования Центрального банка Российской
Федерации ________________________________________________________
 
Остаток ссудной 
задолженности,
исходя из
которой
начисляется
субсидия <*>
Количество дней 
пользования
кредитом в
расчетном
периоде
Размер субсидии 
Размер субсидии 
1 
2 
3 
4 
 
Размер субсидии ____________ рублей (минимальная величина из графы
3 или 4)
 
Руководитель организации _______________ ______________________
                            (подпись)          (ф.и.о.)
Главный бухгалтер _______________ ______________________
                     (подпись)           (ф.и.о.)
"__" ______________ 20__ г.
М.П.
 
Расчет подтверждается:
 
Руководитель
кредитной организации
(уполномоченное лицо) _______________ ______________________
                         (подпись)           (ф.и.о.)
Главный бухгалтер _______________ ______________________
                     (подпись)           (ф.и.о.)
"__" ______________ 20__ г.
 
М.П.
 

<*> Без учета задолженности по кредитам и процентам по ним, уплаченным с нарушением установленного графика.      

Приложение N 4
к Правилам предоставления субсидий
из федерального бюджета организациям
легкой промышленности на возмещение
части затрат на обслуживание
кредитов, привлеченных в российских
кредитных организациях в 2012 - 2016
годах, на цели формирования межсезонных
запасов, необходимых для производства
товаров легкой промышленности,
в рамках подпрограммы "Легкая
промышленность и народные художественные
промыслы" государственной программы
Российской Федерации "Развитие
промышленности и повышение
ее конкурентоспособности"

                                                           (форма)
 
                             РАСЧЕТ
        размера субсидии организациям легкой промышленности
        на возмещение части затрат на обслуживание кредитов,
     полученных в иностранной валюте, привлеченных в российских
   кредитных организациях в 2012 - 2016 годах на цели формирования
     межсезонных запасов, необходимых для производства товаров
      легкой промышленности, в рамках подпрограммы "Легкая
       промышленность и народные художественные промыслы"
        государственной программы Российской Федерации
            "Развитие промышленности и повышение
                 ее конкурентоспособности"
 
__________________________________________________________________
               (полное наименование организации)
 
ИНН __________________ КПП _____________ расчетный счет __________
в ___________________________________________ БИК ________________
     (наименование кредитной организации)
корреспондентский счет ___________________________________________
код вида деятельности организации по ОКВЭД _______________________
__________________________________________________________________
                          (цель кредита)
по кредитному договору N ___ от "__" ____ 20__ г. в ______________
                                                    (наименование
                                                      кредитной
                                                     организации)
за период с "__" ____________ 20__ г. по "__" ___________ 20__ г.
 
1. Дата предоставления кредита ___________________________________
2. Срок погашения кредита по кредитному договору _________________
3. Сумма полученного кредита в иностранной валюте ________________
4. Процентная ставка по кредиту __________________________________
5.   Предельная   ставка   по   кредиту,  используемая для расчета
максимального размера субсидии ___________________________________
6.  Курс  иностранной  валюты  по отношению к рублю, установленный
Центральным  банком  Российской Федерации на дату уплаты процентов
по кредиту _______________________________________________________
7. Дата уплаты организацией процентов по кредиту _________________
 
Остаток ссудной 
задолженности,
исходя из которой
начисляется
субсидия <*>
Количество 
дней
пользования
кредитом в
расчетном
периоде
Размер субсидии 
Размер субсидии 
1 
2 
3 
4 
 
Размер субсидии ____________ рублей (минимальная величина из графы
3 или 4)
 
Руководитель организации _______________ ______________________
                            (подпись)           (ф.и.о.)
Главный бухгалтер _______________ ______________________
                     (подпись)           (ф.и.о.)
"__" ______________ 20__ г.
М.П.
 
Расчет подтверждается:
Руководитель
кредитной организации
(уполномоченное лицо) _______________ ______________________
                         (подпись)           (ф.и.о.)
Главный бухгалтер _______________ ______________________
                     (подпись)          (ф.и.о.)
"__" ______________ 20__ г.
М.П.
 

<*> Без учета задолженности по кредитам и процентам по ним, уплаченным с нарушением установленного графика.      

Приложение N 5
к Правилам предоставления субсидий
из федерального бюджета организациям
легкой промышленности на возмещение
части затрат на обслуживание
кредитов, привлеченных в российских
кредитных организациях в 2012 - 2016
годах, на цели формирования межсезонных
запасов, необходимых для производства
товаров легкой промышленности,
в рамках подпрограммы "Легкая
промышленность и народные художественные
промыслы" государственной программы
Российской Федерации "Развитие
промышленности и повышение
ее конкурентоспособности"

(форма)

ОТЧЕТ О ДОСТИЖЕНИИ ПОКАЗАТЕЛЯ КРИТЕРИЯ ЭФФЕКТИВНОСТИ ИСПОЛЬЗОВАНИЯ СУБСИДИИ ОРГАНИЗАЦИЯМИ ЛЕГКОЙ ПРОМЫШЛЕННОСТИ НА ВОЗМЕЩЕНИЕ ЧАСТИ ЗАТРАТ НА ОБСЛУЖИВАНИЕ КРЕДИТОВ, ПРИВЛЕЧЕННЫХ В РОССИЙСКИХ КРЕДИТНЫХ ОРГАНИЗАЦИЯХ В 2012 - 2016 ГОДАХ НА ЦЕЛИ ФОРМИРОВАНИЯ МЕЖСЕЗОННЫХ ЗАПАСОВ, НЕОБХОДИМЫХ ДЛЯ ПРОИЗВОДСТВА ТОВАРОВ ЛЕГКОЙ ПРОМЫШЛЕННОСТИ, В РАМКАХ ПОДПРОГРАММЫ "ЛЕГКАЯ ПРОМЫШЛЕННОСТЬ И НАРОДНЫЕ ХУДОЖЕСТВЕННЫЕ ПРОМЫСЛЫ" ГОСУДАРСТВЕННОЙ ПРОГРАММЫ РОССИЙСКОЙ ФЕДЕРАЦИИ "РАЗВИТИЕ ПРОМЫШЛЕННОСТИ И ПОВЫШЕНИЕ ЕЕ КОНКУРЕНТОСПОСОБНОСТИ"

Год отчета Наименование продукции легкой промышленности Объем произведенной продукции легкой промышленности (штук) Объем произведенной продукции легкой промышленности (тыс. рублей) Доход от реализации произведенной продукции легкой промышленности (тыс. рублей) Валовой доход организации за год (тыс. рублей)
Руководитель организации        
  (подпись)   (ф.и.о.)  
Главный бухгалтер        
  (подпись)   (ф.и.о.)  
"__" ______________ 20__ г.        
М.П.        

Приложение N 6
к Правилам предоставления субсидий
из федерального бюджета организациям
легкой промышленности на возмещение
части затрат на обслуживание
кредитов, привлеченных в российских
кредитных организациях в 2012 - 2016
годах, на цели формирования межсезонных
запасов, необходимых для производства
товаров легкой промышленности,
в рамках подпрограммы "Легкая
промышленность и народные художественные
промыслы" государственной программы
Российской Федерации "Развитие
промышленности и повышение
ее конкурентоспособности"

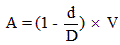
РАСЧЕТ РАЗМЕРА ШТРАФНЫХ САНКЦИЙ

Размер штрафных санкций, подлежащих уплате в федеральный бюджет в случае недостижения показателя критерия эффективности использования субсидии, определяется по формуле:

,

где:

d - достигнутое значение показателя критерия эффективности использования субсидии;

D - плановое значение показателя критерия эффективности использования субсидии, указанное в пункте 20 Правил предоставления субсидий из федерального бюджета организациям легкой промышленности на возмещение части затрат на обслуживание кредитов, привлеченных в российских кредитных организациях в 2012 - 2016 годах, на цели формирования межсезонных запасов, необходимых для производства товаров легкой промышленности, в рамках подпрограммы "Легкая промышленность и народные художественные промыслы" государственной программы Российской Федерации "Развитие промышленности и повышение ее конкурентоспособности";

V - размер средств федерального бюджета, израсходованных организацией - получателем субсидии за отчетный период.