2.6.1. Ионизирующее излучение, радиационная безопасность. Контроль радиационной обстановки. Общие требования. Методические указания. МУ 2.6.1.14-2001

(утв. Федеральным управлением "Медбиоэкстрем" при Минздраве России 26.03.2001, Минатомом 29.11.2000, Главным государственным санитарным врачом РФ 09.12.2000)
Редакция от 26.03.2001 — Документ не действует

МИНИСТЕРСТВО РОССИЙСКОЙ ФЕДЕРАЦИИ ПО АТОМНОЙ ЭНЕРГИИ

МИНИСТЕРСТВО ЗДРАВООХРАНЕНИЯ РОССИЙСКОЙ ФЕДЕРАЦИИ

ФЕДЕРАЛЬНОЕ УПРАВЛЕНИЕ МЕДИКО-БИОЛОГИЧЕСКИХ И ЭКСТРЕМАЛЬНЫХ ПРОБЛЕМ

Утверждены

Руководителем департамента безопасности
и чрезвычайных ситуаций
Минатома России
А.М.АГАПОВЫМ
29 ноября 2000 г.

Заместителем Главного государственного
санитарного врача России
по специальным вопросам
М.Б.МУРИНЫМ
9 декабря 2000 г.

Согласованы
Директором Центра
метрологии ионизирующих
излучений ГП "ВНИИФТРИ"
В.П.ЯРЫНОЙ
7 декабря 2000 г.

2.6.1. ИОНИЗИРУЮЩЕЕ ИЗЛУЧЕНИЕ, РАДИАЦИОННАЯ БЕЗОПАСНОСТЬ

КОНТРОЛЬ РАДИАЦИОННОЙ ОБСТАНОВКИ. ОБЩИЕ ТРЕБОВАНИЯ

МЕТОДИЧЕСКИЕ УКАЗАНИЯ
МУ 2.6.1.14-2001

Дата введения - с момента утверждения

Предисловие

1. Настоящие Методические указания МУ 2.6.1.14-2001 "Контроль радиационной обстановки. Общие требования" разработаны творческим коллективом под эгидой Методического совета Департамента безопасности и чрезвычайных ситуаций Министерства Российской Федерации по атомной энергии.

2. Руководитель работы: к.т.н., с.н.с. Коваленко В.В., НИЦ "СНИИП".

3. Исполнители: к.т.н., с.н.с. В.В. Коваленко, НИЦ "СНИИП";

к.т.н., с.н.с. Л.В. Артеменкова, НИЦ "СНИИП";

к.т.н., с.н.с. В.И. Лапшин, НИЦ "СНИИП";

И.П. Мысев, НИЦ "СНИИП";

к.т.н., с.н.с. В.И. Петров, НИЦ "СНИИП";

д.т.н., с.н.с. Б.В. Поленов, НИЦ "СНИИП";

к.т.н., с.н.с. В.М. Скаткин, НИЦ "СНИИП";

к.т.н., с.н.с. Ю.П. Федоровский, НИЦ "СНИИП";

Л.И. Цудечкис НИЦ "СНИИП";

к.т.н., с.н.с. Ю.В. Абрамов, ГНЦ РФ "Институт биофизики";

к.м.н., с.н.с. А.В. Симаков, ГНЦ РФ "Институт биофизики";

А.Г. Цовьянов ГНЦ РФ "Институт биофизики";

к.ф.-м.н., с.н.с. В.А. Кутьков (РНЦ КИ),

к.т.н., чл.-корр. Метрологической академии России Масляев П.Ф.,

ГНЦ РФ "ВНИИФТРИ"

Архипов В.А., ОИЯИ;

Панфилов А.П., Минатом РФ;

Баранов И.В., Минатом РФ.

4. Методические указания утверждены Федеральным управлением медико-биологических и экстремальных проблем (Федеральное Управление "Медбиоэкстрем") при Минздраве России 26 марта 2001 г.

5. Настоящие методические указания разработаны в соответствии с требованиями следующих законов Российской Федерации:

"О санитарно-эпидемиологическом благополучии населения" ФЗ-52 от 30.03.1999;

"О радиационной безопасности населения" ФЗ-3 от 09.01.1996;

"Об использовании атомной энергии" ФЗ-170 от 21.11.1995;

"Об обеспечении единства измерений" 487-1 от 27.04.1993;

В связи с утратой силы Закона РФ от 27.04.93 N 4871-I, следует руководствоваться принятым взамен Федеральным законом от 26.06.2008 N 102-ФЗ

"Об информации, информатизации и защите информации" ФЗ-24 от 20.02.1995.

В связи с утратой силы Федерального закона от 20.02.95 N 24-ФЗ, следует руководствоваться принятым взамен Федеральным законом от 27.07.2006 N 149-ФЗ

Введение

Методические указания "Ионизирующее излучение, радиационная безопасность. Контроль радиационной обстановки. Общие требования" разработаны с целью создания нормативного документа, формулирующего общие требования к аппаратуре и организации контроля радиационной обстановки на предприятиях Минатома России на основе "Норм радиационной безопасности (НРБ-99)" и "Основных санитарных правил обеспечения радиационной безопасности (ОСПОРБ-99)", а также концепций и подходов, принятых в Публикации N 60 МКРЗ 1990 года и в Международных Основных Нормах Безопасности для защиты от ионизирующих излучений и безопасности источников излучений 1996 года.

В связи с утратой силы СП 2.6.1.758-99 "Ионизирующее излучение, радиационная безопасность. Нормы радиационной безопасности (НРБ-99). санитарные правила", следует руководствоваться принятыми взамен "Санитарными Правилами и нормативами САНПИН 2.6.1.2523-09 "Нормы радиационной безопасности (НРБ-99/2009)"

В связи с утратой силы СП 2.6.1.799-99 "Основные санитарные правила обеспечения радиационной Безопасности (ОСПОРБ-99). Санитарные правила", следует руководствоваться принятыми взамен "Санитарными правилами и нормативами СП 2.6.1.2612-10 "Основные санитарные правила обеспечения радиационной безопасности (ОСПОРБ-99/2010)"

Для обеспечения единства методических подходов и полноты обеспечения радиационной безопасности рассматриваются основные требования к организации и объему контроля при нормальной и аварийной ситуации, а также технические требования к аппаратуре контроля радиационной обстановки, вопросы метрологического обеспечения измерений и требования к представлению и хранению информации о результатах контроля радиационной обстановки.

Данные методические указания разработаны в развитие и с учетом общих требований и принципов организации, планирования и проведения дозиметрического контроля, изложенных в Методических указаниях;

- "Определение индивидуальных эффективных и эквивалентных доз и организация контроля профессионального облучения в контролируемых условиях обращения с источниками излучения. Общие требования" (МУ 2.6.1.016-2000);

- "Дозиметрический контроль внешнего профессионального облучения. Общие требования" (МУ 2.6.1.25-2000).

- "Дозиметрия. Контроль внутреннего облучения профессиональных работников. Общие требования" (МУ 2.6.1.026-2000).

1. Область применения

1.1. Настоящие Методические указания (далее Методические указания или МУ) устанавливают общие требования к организации и осуществлению контроля радиационной обстановки на предприятиях, осуществляющих деятельность с использованием источников ионизирующих излучений, включая назначение, цели и задачи контроля, требования к приборному, методическому и метрологическому обеспечению, к объему и регламенту контроля и к учету результатов контроля.

1.2. Методические указания предназначены для использования при разработке методов, технических средств и регламентов радиационного контроля, при организации и проведении контроля радиационной обстановки, при обеспечении радиационной безопасности с использованием результатов контроля:

- на предприятиях (радиационных объектах), находящихся в ведении Министерства Российской Федерации по атомной энергии;

- на предприятиях (радиационных объектах), подотчетных Министерству Российской Федерации по атомной энергии, независимо от их форм собственности;

- в организациях Федерального управления медико-биологических и экстремальных проблем при Минздраве России, осуществляющих государственный надзор и регулирование в области обеспечения радиационной безопасности при использовании атомной энергии.

1.3. Методические указания распространяются на контроль в рабочих помещениях и на территории радиационно-опасных объектов, в их санитарно-защитной зоне и зоне наблюдения.

2. Нормативные ссылки

Настоящие МУ разработаны в соответствии со следующими нормативными документами и стандартами:

2.1. СП 2.6.1.758-99. Нормы радиационной безопасности. (НРБ-99). Гигиенические нормативы. М.: Центр санитарно-эпидемиологического нормирования, гигиенической сертификации и экспертизы Минздрава России, 1999.

2.2. СП 2.6.1.799-99. Основные санитарные правила обеспечения радиационной безопасности (ОСПОРБ-99). Санитарные правила. М.: Центр санитарно-эпидемиологического нормирования, гигиенической сертификации и экспертизы Минздрава России, 2000.

2.3. СП АС 88\93. Санитарные правила проектирования и эксплуатации атомных станций.

2.4. ГОСТ 29.074-91. Аппаратура контроля радиационной обстановки. Общие требования.

2.5. ГОСТ 26392-84. Безопасность ядерная. Термины и определения.

2.6. ГОСТ Р 8.565-96. Метрологическое обеспечение эксплуатации атомных станций. Основные положения.

2.7. ГОСТ 4.59-79-СПКП. Средства измерений ионизирующих излучений. Номенклатура показателей.

2.8. ГОСТ 12.1.005-88-ССБТ. Общие санитарно-гигиенические требования к воздуху рабочей зоны.

2.9. ГОСТ 17.0.0.02-79. Охрана природы. Метрологическое обеспечение контроля загрязненности атмосферы, поверхности вод и почвы. Основные положения.

2.10. ГОСТ 15484-81. Излучения ионизирующие и их измерения. Термины и определения.

2.11. ГОСТ Р 8.563-96-ГСИ. Методики выполнения измерений.

ГОСТ Р 8.563-96 отменен. Взамен него введен в действие ГОСТ Р 8.563-2009

2.12. РД 50-454-84. Методические указания. Внедрение и применение ГОСТ 8.417-81-ГСИ. Единицы измерения величин в области ионизирующих излучений.

2.13. ГОСТ 27451-87. Средства измерений ионизирующих излучений. Общие технические условия.

2.14. ГОСТ Р 22.1.01-95 БЧС. Мониторинг и прогнозирование. Основные положения.

2.15. ГОСТ Р 22.0.05-94 БЧС. Техногенные чрезвычайные ситуации. Термины и определения.

2.16. ОСТ 95 10101-84. Охрана природы. Атмосфера. Общие требования к отбору проб радиоактивных аэрозолей и паров иода из выбросов промышленных предприятий.

2.17. ОСТ 95 10123-85. Охрана природы. Атмосфера. Общие требования к отбору проб радиоактивных аэрозолей из приземного слоя.

2.18. ОСТ 95 10171-86. Охрана природы. Атмосфера. Отбор проб газоаэрозольных выбросов АЭС на содержание радионуклидов. Требования к условиям отбора проб.

2.19. ОСТ 95 10360-89. Охрана природы. Атмосфера. Методы определения объемной активности альфа-излучающих нуклидов в выбросах промышленных предприятий.

2.20. МУ 34-70-119-85. Методические указания по отбору проб радиоактивных аэрозолей на атомных станциях. Требования к проектированию.

2.21. МИ 2174-91. Аттестация алгоритмов и программ обработки данных при измерениях. Основные положения.

2.22. МИ 2453-2000 ГСИ. Методики радиационного контроля. Общие требования.

Примечание. Полный перечень нормативных документов в области метрологического обеспечения радиационного контроля приведен в п. 10.1 и в табл. 2., а стандартов, определяющих технические требования к средствам контроля радиационной обстановки - в п. 8.1 настоящих МУ.

3. Термины, определения и сокращения

3.1. Авария радиационная - потеря управления источником ионизирующего излучения, вызванная неисправностью оборудования, неправильными действиями работников (персонала), стихийными бедствиями или иными причинами, которые могли привести или привели к облучению людей выше установленных норм или радиоактивному загрязнению окружающей среды.

3.2. Авария радиационная проектная - авария, для которой проектом определены исходные и конечные состояния радиационной обстановки и предусмотрены системы безопасности.

3.3. Активность (А) - отношение числа dN спонтанных ядерных переходов из определенного ядерно-энергетического состояния радионуклида, происходящих в данном его количестве за интервал времени dt, к этому интервалу:

, (1)

Единица активности - беккерель (Бк). Использовавшаяся ранее внесистемная единица активности кюри (Ки) составляет 3,7x·Бк.

3.4. Активность удельная (объемная) - отношение активности А радионуклида в веществе к массе m (объему V) вещества:

; . (2)

Единица удельной активности - беккерель на килограмм, Бк/кг. Единица объемной активности - беккерель на метр кубический, Бк/м3 или внесистемная единица - беккерель на литр, Бк/л.

3.5. Активность минимально значимая удельная (МЗУА) - удельная активность открытого источника ионизирующего излучения в помещении или на рабочем месте, при превышении которой требуется разрешение органов Госсанэпиднадзора на использование этого источника, если при этом также превышено значение минимально значимой активности.

3.6. Активность эквивалентная равновесная объемная (ЭРОА) изотопов радона - и для любого сдвига равновесия их короткоживущих дочерних продуктов - это объемная активность изотопов радона, короткоживущие дочерние продукты которых находятся в равновесии и имеют ту же величину скрытой энергии, что и данная неравновесная система.

(3)

где:

- объемная активность и , Бк/м3;

k - коэффициент равновесия (в настоящее время принят равным 0,4), отн.ед.

3.7. Аппаратура контроля радиационной обстановки (аппаратура КРО) - совокупность технических средств, предназначенных для контроля радиационных параметров.

3.8. Величина нормируемая - нормативное значение параметра радиационной обстановки, являющееся мерой ущерба (вреда) от воздействия ионизирующего излучения на человека и его потомков.

3.9. Величина операционная - величина, однозначно определяемая через физические характеристики поля излучения в точке, максимально возможно приближенная в стандартных условиях облучения к величине, нормируемой в целях ограничения облучения, и предназначенная для консервативной оценки этой величины.

3.10. Вид технического средства КРО (вид средства КРО) - совокупность средств (образцовых, рабочих и индикаторов), предназначенных для контроля определенного радиационного параметра в пределах диапазонов, установленных в настоящем МУ.

3.11. Детектор <*> - чувствительный элемент, предназначенный для преобразования энергии ионизирующего излучения в другой вид энергии, удобный для регистрации и/или измерения одной или нескольких величин, характеризующих воздействие излучения на детектор.

3.12. Доза поглощенная (D) - значение энергии ионизирующего излучения, переданной веществу:

, (4)

где:

- средняя энергия, переданная ионизирующим излучением веществу, находящемуся в элементарном объеме, а dm - масса вещества в этом объеме. В единицах СИ поглощенная доза измеряется в джоулях, деленных на килограмм (Дж·), и имеет специальное название - грей (Гр). Использовавшаяся ранее внесистемная единица рад равна 0,01 Гр.

3.13. Доза эквивалентная () - поглощенная доза в органе или ткани, умноженная на соответствующий взвешивающий коэффициент для данного вида излучения, :

(5)

где:

- средняя поглощенная доза в органе или ткани T, а - взвешивающий коэффициент для излучения R.

При воздействии различных видов излучения с различными взвешивающими коэффициентами эквивалентная доза определяется как сумма эквивалентных доз для этих видов излучения. Единицей эквивалентной дозы является зиверт (Зв).

3.14. Доза эффективная () - величина, используемая как мера риска возникновения отдаленных последствий облучения всего тела человека и отдельных его органов и тканей с учетом их радиочувствительности. Она представляет сумму произведений эквивалентной дозы в органах и тканях , на соответствующие взвешивающие коэффициенты для данных органов или тканей:

, (6)

где - эквивалентная доза в органе ткани T, а - взвешивающий коэффициент для органа или ткани T.

Единица эффективной дозы - зиверт (Зв),

Примечание. Принятое в настоящих МУ обозначение отличается от соответствующего обозначения E в НРБ-99 в связи с тем, что в физике и технике последнее общепринятое обозначение традиционно закреплено за энергией.

3.15. Доза эквивалентная или эффективная ожидаемая при внутреннем облучении - доза за время , прошедшее после поступления радиоактивных веществ в организм:

, (7)
, (8)

где:

- момент поступления, а - мощность эффективной или эквивалентной дозы к моменту времени t в органе или ткани T. Когда не определено, то его следует принять равным 50 годам для взрослых и (70 - ) - для детей.

3.16. Доза эффективная (эквивалентная) годовая - сумма эффективной (эквивалентной) дозы внешнего облучения, полученной за календарный год, и ожидаемой эффективной (эквивалентной) дозы внутреннего облучения, обусловленной поступлением в организм радионуклидов за этот же год. Единица годовой эффективной дозы - зиверт (Зв).

3.17. Доза амбиентная (эквивалент амбиентной дозы) - эквивалент дозы, который может быть создан в шаровом фантоме МКРЕ на глубине d (мм) от поверхности по диаметру, параллельному направлению излучения, в однородном поле мононаправленного излучения. Единица амбиента эквивалента дозы - зиверт (Зв).

3.18. Дозиметр <*> (в т.ч. индивидуальный дозиметр) - прибор для измерения дозы и/или мощности дозы ионизирующего излучения и/или энергии, переносимой ионизирующим излучением или переданной им объекту (в т.ч. человеку, определенному органу или ткани человека), находящемуся в поле его действия.

3.19. Загрязнение радиоактивное - присутствие радиоактивных веществ на поверхности, внутри материала, в воздухе, в теле человека или в другом месте, в количестве, превышающем уровни, установленные НРБ-99.

3.20. Загрязнение поверхности неснимаемое (фиксированное) - радиоактивные вещества, которые не переносятся при контакте на другие предметы и не удаляются при дезактивации.

3.21. Загрязнение поверхности снимаемое (нефиксированное) - радиоактивные вещества, которые переносятся при контакте на другие предметы и удаляются при дезактивации.

3.22. Заключение санитарно-эпидемиологическое - документ, разрешающий организации в течение установленного времени проводить регламентированные работы с источниками ионизирующего излучения в конкретных помещениях, вне помещений или на транспортных средствах.

3.23. Зона наблюдения - территория за пределами санитарно-защитной зоны, на которой проводится радиационный контроль.

3.24. Зона радиационной аварии - территория, на которой установлен факт радиационной аварии.

3.25. Индикатор - техническое средство для установления наличия или приближенной оценки значения какого-либо параметра радиационной обстановки.

3.26. Источник ионизирующего излучения (ИИИ) - (в рамках данного документа - источник излучения) радиоактивное вещество или устройство, испускающее или способное испускать ионизирующее излучение, на которые распространяется действие НРБ-99 и ОСПОРБ-99.

3.27. Источник излучения техногенный - источник ионизирующего излучения, специально созданный для его полезного применения или являющийся побочным продуктом этой деятельности.

3.28. Источник радионуклидный закрытый - источник излучения, устройство которого исключает поступление содержащихся в нем радионуклидов в окружающую среду в условиях применения и износа, на которые он рассчитан.

3.29. Источник радионуклидный открытый - источник излучения, при использовании которого возможно поступление содержащихся в нем радионуклидов в окружающую среду.

3.30. Категория объекта радиационного - характеристика объекта по степени потенциальной опасности объекта для населения в условиях его нормальной эксплуатации и при возможной аварии.

3.31. Квота дозовая - часть предела дозы, установленная для ограничения облучения населения от конкретного техногенного источника излучения и пути облучения (внешнее поступление с водой, пищей и воздухом).

3.32. Контроль аварийный - радиационный контроль в случае радиационной аварии.

3.33. Контроль дозиметрический - измерение мощности дозы излучений в местах производственной деятельности человека, определение эффективных или эквивалентных, индивидуальных и коллективных доз от различных источников ионизирующего излучения для сопоставления с установленными нормативами облучения и контрольными уровнями.

3.34. Контроль радиометрический - прямое или расчетное определение содержания радионуклидов в воздухе, в воде, в пищевых продуктах, строительных материалах, в теле, отдельных тканях человека, на поверхности кожных покровов, одежды, обуви, на других поверхностях и в средах, измерение флюенса и мощности флюенса ионизирующего излучения, а также расчетное определение поступления радионуклидов в организм человека.

3.35. Контроль радиационный - получение информации о радиационной обстановке в организации, в окружающей среде и об уровнях облучения людей (включает в себя дозиметрический и радиометрический контроль).

3.36. Контроль с отбором проб - способ получения информации о контролируемом параметре, при котором в установленном порядке происходит предварительный отбор и (или) подготовка пробы (отбор жидкости в кювету, прокачивание воздуха через фильтр, выпаривание, концентрирование, радиохимическое выделение нуклида и т.п.).

3.37. Контролируемый радиационный параметр - физическая величина, характеризующая источник или поле ионизирующего излучения радиоактивного образца или взаимодействие ионизирующего излучения с веществом.

3.38. Контроль эпизодический (инспекционный) - контроль радиационного параметра с получением информации о текущем значении контролируемого параметра непосредственно в точке (месте) контроля по мере необходимости.

3.39. Контроль непрерывный - контроль радиационного параметра с получением информации о нем в любой момент или за любой промежуток времени.

3.40. Контроль периодический (контроль текущий) - контроль радиационного параметра с получением информации о нем за (или через) определенный промежуток времени.

3.41. Лицензия - разрешение на конкретный вид деятельности, которое выдается регулирующими органами на основе оценки полезности и безопасности данной деятельности, сопровождающееся предписаниями и условиями, которые должны выполняться юридическим лицом, получившим лицензию.

3.42. Место рабочее - место постоянного или временного пребывания персонала для выполнения производственных функций в условиях воздействия ионизирующего излучения в течение более половины рабочего времени или двух часов непрерывно.

3.43. Мощность дозы - доза излучения за единицу времени (секунду, минуту, час).

3.44. Облучение производственное - облучение работников от всех техногенных и природных источников ионизирующего излучения в процессе производственной деятельности.

3.45. Облучение профессиональное - облучение персонала в процессе его работы с техногенными источниками ионизирующего излучения.

3.46. Обращение с отходами радиоактивными - все виды деятельности, связанные со сбором, транспортированием, переработкой, хранением и (или) захоронением радиоактивных отходов.

3.47. Объект радиационный - организация, где осуществляется обращение с техногенными источниками ионизирующего излучения.

3.48. Органы государственного надзора за радиационной безопасностью - органы, которые уполномочены правительством Российской Федерации или ее субъектов осуществлять надзор за радиационной безопасностью.

3.49. Отходы радиоактивные - не предназначенные для дальнейшего использования вещества в любом агрегатном состоянии, в которых содержание радионуклидов превышает уровни, установленные НРБ-99 и ОСПОРБ-99.

3.50. Паспорт радиационно-гигиенический организации - документ, характеризующий состояние радиационной безопасности в организации и содержащий рекомендации по ее улучшению.

3.51. Паспорт радиационно-гигиенический территории - документ, характеризующий состояние радиационной безопасности населения территории и содержащий рекомендации по ее улучшению.

3.52. Персонал - лица, работающие с техногенными источниками излучения (группа А) или находящиеся по условиям работы в сфере их воздействия (группа Б).

3.53. Работа с источником ионизирующего излучения - все виды обращения с источником излучения на рабочем месте, включая радиационный контроль.

3.54. Работа с радиоактивными веществами - все виды обращения с радиоактивными веществами на рабочем месте, включая радиационный контроль.

3.55. Радиометр - прибор для измерения содержания радионуклидов в теле, в отдельных тканях и на поверхности кожных покровов человека, на единицу объема или поверхности различных сред (воздуха, воды, пищевых продуктов и др.); для измерения флюенса и мощности флюенса ионизирующего излучения.

3.56. Радиометр-дозиметр - прибор, предназначенный для получения комбинированной информации, соответствующей таковой от радиометра и дозиметра.

3.57. Радиационная обстановка (РО) - совокупность радиационных факторов в пространстве и во времени, способных воздействовать на функционирование (использование) объекта, вызвать облучение персонала, населения и радиоактивное загрязнение окружающей среды.

3.58. Радиационная обстановка аварийная - РОА (или аварийная радиационная обстановка - АРО) - радиационная обстановка, соответствующая радиационной аварии; для АРО характерны: повышенная радиационная опасность или/и невозможность функционирования объекта или управления этим объектом.

3.59. Радиационная обстановка нормальная - РОН (или нормальная радиационная обстановка - НРО) - радиационная обстановка, соответствующая: для радиационно-опасного объекта - протеканию технологического процесса, характеризующегося радиационными параметрами, не превышающими пределов безопасной эксплуатации объекта; для радиационно-чувствительного объекта - установленным для объекта допустимым уровням воздействия радиационных факторов на персонал, население, окружающую среду, продукцию (продукты).

3.60. Санитарно-защитная зона - территория вокруг источника ионизирующего излучения, на которой уровень облучения людей в условиях нормальной эксплуатации данного источника может превысить установленный предел дозы облучения населения.

3.61. Уровень действия (УД) - значение радиационного параметра (фактора), при действительном или предполагаемом превышении которого следует проводить мероприятия по улучшению радиационной обстановки на рабочем месте.

3.62. Уровень исследования (УИ) - такое значение радиационного параметра (фактора), полученное в течение периода контроля, при превышении которого следует провести исследование причин его увеличения и при необходимости провести мероприятия по его снижению и улучшению радиационной обстановки.

3.63. Уровень контрольный (УК) - значение контролируемой величины дозы, мощности дозы, радиоактивного загрязнения и т.д., устанавливаемое для оперативного радиационного контроля, с целью закрепления достигнутого уровня радиационной безопасности, обеспечения дальнейшего снижения облучения персонала и населения, радиоактивного загрязнения окружающей среды.

3.64. Уровень собственного фона прибора - показания прибора для измерения ионизирующего излучения в нормальных условиях эксплуатации при отсутствии источников ионизирующего излучения, в том числе природного происхождения.

3.65. Установки ядерные - сооружения с ядерными реакторами, в том числе атомные станции, транспортные средства, а также сооружения для производства, использования, переработки, транспортирования и хранения ядерного топлива и ядерных материалов.

3.66. Устройство (источник), генерирующее ионизирующее излучение - электрофизическое устройство (рентгеновский аппарат, ускоритель, генератор и т.д.), в котором ионизирующее излучение возникает за счет изменения скорости заряженных частиц, их аннигиляции или ядерных реакций.

Примечание. Термин, помеченный знаком <*>, впервые вводится в данном документе.

Сокращения:

АРО - аварийная радиационная обстановка

АСКРО - автоматизированная система контроля радиационной обстановки

АЭС - атомная электростанция

ДК - дозиметрический контроль

ДОА - допустимая объемная активность

ЕГАСКРО - единая государственная АСКРО

ЗН - зона наблюдения ИДК - индивидуальный дозиметрический контроль

ИИИ - источник ионизирующего излучения

КАТСРК - комплекс агрегатируемых технических средств радиационного контроля

КУ - контрольный уровень

МВИ - методика выполнения измерений

НРО - нормальная радиационная обстановка

ПРЛ - передвижная радиометрическая лаборатория

СЗЗ - санитарно-защитная зона

СРБ - служба радиационной безопасности

УД - уровень действия

УИ - уровень исследования

4. Цели и задачи контроля радиационной обстановки

4.1. Контроль радиационной обстановки на радиационных объектах, который должен соответствовать требованиям НРБ-99 и ОСПОРБ-99, является неотъемлемой частью системы обеспечения радиационной безопасности, направленной на охрану здоровья людей от воздействия ИИИ и, по возможности, на поддержание работы радиационного объекта и его отдельных технологических систем в рамках оптимального технологического регламента. Он предполагает радиометрический и дозиметрический контроль, осуществляемый приборами и автоматизированными системами.

Его техническая реализация в виде системы контроля радиационной обстановки является измерительно-информационной подсистемой системы обеспечения радиационной безопасности предприятия, предназначенной для поддержки принятия решений по обеспечению радиационной безопасности.

4.2. Радиационная обстановка на любом радиационном объекте определяется совокупностью контролируемых радиационных параметров, характеризующих уровень опасности их воздействия на персонал, население и окружающую среду при нормальной работе радиационного объекта и при радиационной аварии.

Контроль радиационной обстановки на радиационных объектах зависит от категории объекта, от особенностей технологических производственных процессов, от потенциальной радиационной опасности объекта. Контроль радиационной обстановки должен осуществляться за всеми радиационными параметрами, характеризующими уровни облучения персонала и населения и загрязнение окружающей среды.

Контроль радиационной обстановки должен проводиться в производственных помещениях радиационного объекта, на его территории, в санитарно-защитной зоне и зоне наблюдения.

4.3. Основные цели контроля радиационной обстановки определяются сложившейся обстановкой в зоне контроля и/или динамикой ее изменения.

4.3.1. В условиях слабого изменения контролируемых радиационных параметров в пределах нормативных уровней контроль радиационной обстановки проводится в целях:

- надзора за соблюдением норм, правил радиационной безопасности и квот при осуществлении деятельности с использованием ИИИ или технологического оборудования, содержащего радиоактивные среды и вещества;

- документальной фиксации значений контролируемых радиационных параметров в НРО;

- оперативного выявления признаков развития аварийной ситуации, в особенности - на потенциально радиационно-опасных объектах;

- оценки воздействия радиационных факторов на персонал, население и окружающую среду.

4.3.2. При относительно быстром изменении радиационной обстановки и/или формирование аварийной радиационной обстановки контроль проводится в целях:

- оперативного выявления происходящих изменений, их причин и степени их опасности;

- прогноза дальнейших изменений и возможных последствий для персонала и/или определенного контингента населения;

- определения необходимых мер по обеспечению радиационной безопасности и нормализации радиационной обстановки;

- выбора и обоснования мер по оказанию медицинской помощи.

4.3.3. После принятия мер по улучшению и нормализации радиационной обстановки контроль проводится в целях:

- оценки эффективности принятых мер и реабилитационных мероприятий;

- перехода к работе с реализацией целей по п. 4.3.1;

- прогноза негативных медико-демографических последствий и обоснования реабилитационных мероприятий;

- выявления медико-демографических последствий от радиационного воздействия.

4.4. Основные задачи контроля радиационной обстановки, обеспечивающие достижение перечисленных выше целей, следующие.

4.4.1. Контроль соответствия измеренных значений радиационных параметров установленным (заданным) значениям этих параметров (проектным, нормативным, контрольным, предшествующим уровням значений радиационных параметров).

4.4.2. Документальная фиксация АСКРО, аппаратурой или персоналом значений контролируемых радиационных параметров в НРО и, в особенности, в АРО.

4.4.3. Контроль динамики изменений радиационных параметров и, прежде всего, в случае ухудшения радиационной обстановки.

4.4.4. Оперативная сигнализация в случае превышения контролируемыми радиационными параметрами установленных пороговых значений или возникновения аварийной радиационной обстановки.

4.4.5. Идентификация причин ухудшения радиационной обстановки с выявлением конкретного оборудования, технологического процесса или других причин, вызвавших это ухудшение.

4.4.6. Выбор мероприятий по улучшению радиационной обстановки и контроль за их эффективностью.

4.4.7. Обоснование и задание временного режима работы персонала и оборудования.

4.4.8. Контроль соответствия режима работы оборудования безопасным условиям.

4.4.9. Групповой контроль индивидуальных доз.

4.4.10. Регистрация и предоставление информации для оценки дозовой нагрузки на население в НРО и АРО и для обоснования и выбора мер по оказанию необходимых защитных мер и медицинской помощи населению во время и после АРО.

4.5. Настоящий документ устанавливает требования к организации и объему контроля радиационной обстановки, номенклатуре и параметрам технических средств контроля с учетом значений контролируемых параметров при НРО и АРО.

Технические средства контроля должны обеспечивать: измерение радиационных параметров, используемых для оценки (определения) доз внешнего и внутреннего облучения персонала; отслеживание соответствия измеряемых радиационных параметров установленным значениям уровня контрольного (УК).

УК не является допустимым значением контролируемой величины. Он используется для определения необходимых действий в случае его превышения контролируемой величиной.

Технические средства контроля необходимы также для диагностики состояния технологического оборудования (контроль источника), при классификации отходов, при выборе способов дезактивации, а также при контроле или моделировании процессов транспорта радиоактивности в окружающую среду (контроль выбросов и сбросов) - с целью последующей оценки облучения населения - с установлением квот для населения в пределах от 10 до мкЗв/год - по п. п. 1 и 4 Приложения 2 ОСПОРБ-99.

4.6. Организация системы контроля радиационной обстановки должна учитывать требования НРБ-99. Согласно НРБ-99 годовая эффективная доза облучения равна сумме эффективной дозы внешнего облучения, накопленной за календарный год, и ожидаемой эффективной дозы внутреннего облучения, обусловленной поступлением в организм радионуклидов за этот же период.

Для расчета эффективных доз внутреннего облучения необходимо измерение объемной активности во вдыхаемом воздухе, удельной активности основных пищевых продуктов и питьевой воды, загрязнения поверхностей, одежды и т.д., т.е. необходимо определение так называемых операционных величин (или производных параметров).

Как следствие этого положения нормируются допустимые значения объемной и удельной активности радионуклидов в различных средах (воде, воздухе и т.п.).

Таким образом, результаты измерения операционных величин не могут быть использованы непосредственно для измерения индивидуальных доз внутреннего облучения персонала

Интерпретация полученных результатов измерения при контроле радиационной обстановки заключается в переходе от значения операционных величин к данным о поступлении и значениям эффективной дозы внутреннего и внешнего облучения, осуществляемом с использованием соответствующих моделей в рамках конкретных методик.

Поскольку нормативы производных параметров при техногенном облучении рассчитаны для однофакторного значения и каждый из них исчерпывает весь предел дозы, то их использование должно быть основано на условии непревышения единицы суммой отношений всех контролируемых величин к их допустимым значениям.

5. Организация и объем контроля радиационной обстановки

5.1. Радиационный контроль является неотъемлемой частью системы обеспечения радиационной безопасности; он включает радиометрический и дозиметрический контроль, осуществляемый приборными средствами и расчетными методами.

5.2. Контроль радиационной обстановки должен отвечать требованиям всего комплекса принципов обеспечения радиационной безопасности, изложенных в ОСПОРБ-99, а именно: обоснованию, оптимизации и нормированию.

5.3. При работе с техногенными источниками ионизирующего излучения для объекта соответствующей категории по потенциальной опасности радиационной обстановки должен быть предусмотрен конкретный объем контроля радиационной обстановки: перечень видов контроля, типов радиометрической и дозиметрической аппаратуры, точек измерения и периодичности контроля и т.д.

Контроль радиационной обстановки должен охватывать производственные помещения, территории организации в санитарно-защитной зоне и зоне наблюдения.

5.4. Общие требования к объему контроля радиационной обстановки для организации устанавливаются на этапе проектирования по согласованию с органами государственного надзора за радиационной безопасностью.

В проекте предусматривается раздел "Радиационный контроль", в котором должны быть даны характеристики объекта и характер полей ионизирующих излучений (по видам излучений, энергетическому спектру, диапазонам, измеряемым параметрам, контрольным уровням и т.д.).

В проекте также должны быть определены требования к техническим средствам контроля радиационной обстановки: перечень необходимых радиометрических и дозиметрических приборов, вспомогательного оборудования, размещение стационарных приборов автоматизированных систем и точек контроля, состав необходимых помещений, а также требования к работникам, осуществляющим радиационный контроль.

Вклад природных источников излучения в облучение персонала в производственных условиях должен контролироваться и учитываться при оценке доз в тех случаях, когда он превышает 1 мЗв в год.

5.5. В соответствии с требованиями п. 2.1.5 и приложением 2 ОСПОРБ-99 в проектной документации радиационных объектов должны быть определены квоты на облучение населения при нормальной работе объекта.

Числовые значения квот подлежат согласованию с территориальным центром Госсанэпиднадзора.

Квоты устанавливаются:

- для средней индивидуальной эффективной дозы облучения критических групп населения, проживающих в зоне наблюдения объекта;

- для всех радиационных факторов (воздушные выбросы, водные сбросы и др.), от которых облучение критической группы населения за пределами санитарно-защитной зоны радиационного объекта при его нормальной эксплуатации может превысить минимально значимое значение - 10 мкЗв/год (1% от дозового предела), установленную НРБ-99.

Значения квот используются для расчета допустимых уровней отдельных радиационных факторов (мощности дозы излучения на границе санитарно-защитной зоны, мощности выбросов и сбросов, содержания радионуклидов в объектах окружающей среды и др.).

Целью установления квот является недопущение превышения предела дозы техногенного облучения населения - 1 мЗв/год, установленного НРБ-99 для населения, подвергающегося облучению от нескольких радиационных объектов.

5.6. Определенный проектом объем радиационного контроля подлежит уточнению в процессе эксплуатации в зависимости от реально сложившейся радиационной обстановки в данной организации и на прилегающей территории, а также при изменении технологических процессов, но не реже 1 раза в 5 лет.

5.7. Организация и объем контроля радиационной обстановки на любых предприятиях, где ведутся работы с радиоактивными источниками излучений, должны соответствовать пакету документов - Регламенту (Программе) радиационного контроля.

Регламент радиационного контроля утверждается Федеральным Управлением "Медбиоэкстрем".

6. Регламент радиационного контроля

6.1. Регламент радиационного контроля (далее по тексту - Регламент) является документом, в котором должны быть приведены основные сведения для получения права на работы с ИИИ и составления отчетных документов - с одной стороны и с другой стороны - должны быть отражены основные положения, связанные с формированием и порядком работы штатных служб радиационной безопасности (СРБ) или служб радиационного и/или дозиметрического контроля.

Цель Регламента заключается в достижении приемлемой неопределенности (погрешности) определения индивидуальной дозы и уточнения ее значения путем уменьшения консерватизма дозиметрических моделей по мере приближения дозы облучения к соответствующему пределу, а также - в установлении контрольных уровней для всех показателей радиационной обстановки, для которых заданы допустимые уровни в НРБ-99.

6.2. Регламент радиационного контроля включает:

- определение контролируемых групп персонала, для членов которых необходимо проведение радиационного контроля и, в том числе, дозиметрического контроля (ДК);

- проведение ДК для контролируемых групп персонала;

- проведение группового дозиметрического контроля для персонала организации, не включенного в контролируемые группы персонала;

- анализ облучаемости персонала за контролируемые периоды и за год;

- получение данных о персонале, фактически работавшем с ИИИ;

- оптимизацию затрат на радиационный контроль;

- инструктаж персонала по использованию технических средств радиационного и, в том числе, дозиметрического контроля.

Кроме того, в этом документе могут быть отражены:

- порядок организации и проведения контроля;

- контролируемые виды и энергетические спектры излучения и используемые МВИ;

- вид контроля и контрольные уровни (КУ) радиационных параметров;

- контролируемый контингент персонала;

- периодичность контроля;

- подразделения, для которых осуществляется оперативный контроль;

- виды работ, при выполнении которых возможно получение больших доз;

- метод определения дозы;

- подготовка протокола результатов.

Для большинства конкретных производств (или отдельных участков технологической цепочки) необходимо определять и устанавливать в Регламенте обоснованный объем контроля, постоянно подтверждая и уточняя его с учетом изменяющейся радиационной обстановки. В данном документе рассматриваются лишь общие требования к составляющим Регламента, которые необходимо учитывать при его разработке и введении.

6.3. Подготовка и обоснование Регламента проводится СРБ. Наличие Регламента является необходимым условием выдачи санитарно-эпидемиологического заключения. Регламент утверждает лицо, ответственное на предприятии за проведение радиационного контроля, и согласовывает его с территориальным органом Госсанэпиднадзора.

6.4. Для целей оперативного управления источником облучения персонала администрация организации устанавливает контрольные уровни (КУ). Контрольный уровень не является допустимым значением контролируемой величины. Он используется для определения необходимых действий, когда значение контролируемой величины превышает или по прогнозу должно превысить контрольный уровень. Действия, которые будут предприняты, должны быть определены при установлении контрольных уровней и могут изменяться от простой регистрации информации, проведения исследований в целях выяснения причины наблюдаемых изменений в радиационной обстановке и оценки последствий вплоть до проведения вмешательства в процесс эксплуатации источника путем проведения мероприятий для обеспечения условий более безопасной эксплуатации источника и, как следствие, уменьшения индивидуальной годовой эффективной дозы облучения персонала и радиоактивного загрязнения объектов окружающей среды.

6.5. Порядок установления КУ определяется ОСПОРБ-99. Значения контрольных уровней устанавливаются таким образом, чтобы были гарантированы:

- непревышение основных дозовых пределов и

- планомерное снижение облучения персонала и населения, радиоактивного загрязнения окружающей среды.

При установлении контрольных уровней учитывается:

- достигнутый уровень радиационной безопасности и защиты персонала и населения;

- облучение всеми подлежащими контролю источниками;

- вариация параметров радиационной обстановки в границах, определяющих условия нормальной эксплуатации источника излучения;

- возможная погрешность методов контроля.

6.6. Для планирования и организации радиационной обстановки вводятся контрольные уровни радиационных параметров:

- уровень исследования (УИ) - такое значение радиационного параметра, полученное в течение периода контроля, при превышении которого следует провести исследование причин его увеличения и при необходимости провести мероприятия по его снижению и улучшению радиационной обстановки;

- уровень действия (УД) - такое значение радиационного параметра, при действительном или предполагаемом превышении которого следует провести мероприятия по улучшению радиационной обстановки на рабочем месте.

В зависимости от характера выполняемых работ администрация организации по согласованию с местным органом Госсанэпиднадзора может устанавливать УИ и УД для внешнего и внутреннего облучения персонала, а также для других радиационных параметров.

6.7. Общие требования и подходы к организации радиационного дозиметрического контроля (в том числе и в части Регламента) сформулированы и подробно изложены в ряде методических указаний:

МУ 2.6.1.016-2000. Определение индивидуальных эффективных и эквивалентных доз и организация контроля профессионального облучения в контролируемых условиях обращения с источниками излучения. Общие требования.

МУ 2.6.1.25-2000. Дозиметрический контроль внешнего профессионального облучения. Общие требования.

МУ 2.6.1.26-2000. Дозиметрический контроль профессионального внутреннего облучения. Общие требования.

В связи с этим Регламент (Программа) вышеназванных видов радиационного дозиметрического контроля должен осуществляться в соответствии с разделами этих МУ, рассматривающих вопросы Регламента.

7. Классификация аппаратуры контроля радиационной обстановки

7.1. Классификация по контролируемому радиационному параметру:

- контроль эквивалентной (экспозиционной) дозы или эквивалента амбиентной дозы;

- контроль мощности эквивалентной (экспозиционной) дозы или мощности эквивалента амбиентной дозы;

- контроль плотности потока ионизирующих частиц;

- контроль поверхностной активности радионуклидов;

- контроль объемной активности радиоактивного аэрозоля (паров);

- контроль объемной активности радиоактивных газов;

- контроль объемной активности радионуклидов в воздухе;

- контроль удельной активности радионуклидов в жидкостях;

- контроль удельной активности радионуклидов в твердых телах;

- контроль активности радионуклидов, содержащихся в организме, органе;

- контроль плотности радиоактивного загрязнения почвы;

- контроль энергетического распределения ионизирующего излучения (спектрометрия) - при необходимости;

- контроль двух и более параметров, обеспечиваемых средствами одной функциональной группы (комбинированные).

7.2. Классификация по виду ионизирующего излучения:

- контроль альфа-излучения;

- контроль электронного (бета-) излучения;

- контроль фотонного излучения;

- контроль нейтронного излучения;

- контроль смешанного излучения.

7.3. Классификация приборов по назначению при эксплуатации:

- средства измерения;

- индикаторы.

7.4. Классификация по временному характеру контроля:

- непрерывный оперативный контроль;

- эпизодический (инспекционный) контроль;

- периодический (текущий) контроль.

7.5. Классификация технических средств контроля по исполнению, связанному с местом размещения и способом применения при эксплуатации:

- стационарные (в том числе лабораторные);

- переносные;

- средства для индивидуального контроля;

- носимые, в т.ч. передвижные или подвижные (в т.ч. для аварийных ситуаций).

7.6. Классификация аппаратуры по методу и способу контроля параметров:

- непосредственного контроля (погружные, проточные, с измерением в геометрии Департамент безопасности и чрезвычайных ситуаций Минатома России;

- "над зеркалом", измерения в радиационных полях протяженных объемных источников);

- контроль с отбором и подготовкой проб;

- контроль с накоплением радиационного воздействия.

7.7. Стационарные средства измерения и автоматизации для непрерывного контроля радиационной обстановки подразделяются на:

- одноканальные;

- многоканальные (от 2-х и до любого числа каналов).

Допускается проектирование и производство средств измерения как средств целевого назначения для обеспечения типовых объектов и проектирование приборов контроля на основе комплекса агрегатированных технических средств радиационного контроля КАТСРК для различных объектов.

Технические средства типа КАТСРК должны позволять компоновку малоканальных и многоканальных сигнальных и информационно-измерительных систем различной конфигурации.

7.8. Система радиационного контроля объектов I и II категории по п. 3.1 ОСПОРБ-99 должна быть автоматизированной и использовать технические средства следующего назначения:

- для непрерывного (оперативного) контроля - стационарные автоматизированные технические средства;

- для эпизодического (инспекционного) и периодического (текущего) контроля - переносные и носимые, а также, в особенности, в аварийных ситуациях - передвижные или подвижные технические средства;

- для лабораторного анализа - лабораторную аппаратуру, средства отбора и подготовки проб для анализа.

Периодичность контроля должна определяться в зависимости от прогнозируемого или реально зафиксированного состояния радиационной обстановки.

7.9. Автоматизированные системы должны обеспечивать контроль, регистрацию, отображение, сбор, обработку, анализ хранения получаемой информации и выдачу отчетной информации, а также сигнализацию о превышении заданных уровней параметров, характеризующих радиационную обстановку.

7.10. В помещениях, где ведутся работы с нейтронными источниками с выходом нейтронов более нейтр./с, с делящимися материалами в количествах, при которых возможно возникновение самопроизвольной цепной реакции деления, а также на ядерных реакторах и критических сборках и при других работах I класса, где радиационная обстановка при проведении работ может существенно изменяться, необходимо устанавливать приборы радиационного контроля со звуковыми и световыми сигнализирующими устройствами, а персонал должен быть обеспечен аварийными дозиметрами.

7.11. В Табл. 1 сформулированы требования к диапазонам измеряемых радиационных параметров для НРО и АРО.

8. Общие технические требования к средствам контроля радиационной обстановки

8.1. Основные технические требования к средствам контроля радиационной обстановки содержатся в следующих основополагающих стандартах:

ГОСТ 4.59-79-СПКП. Средства измерений ионизирующих излучений. Номенклатура показателей.

ГОСТ 27451-87. Средства измерений ионизирующих излучений. Общие технические условия.

ГОСТ 29.074-91. Аппаратура контроля радиационной обстановки. Общие требования.

ГОСТ 27452-87. Аппаратура контроля радиационной безопасности на атомных станциях. Общие технические требования.

ГОСТ 26344.0-84. Аппаратура ядерного приборостроения для атомных станций. Основные положения.

ГОСТ 24525.4-80. Управление охраной окружающей среды. Основные положения-80.

ГОСТ 12.1.048-85. Контроль радиационный при захоронении радиоактивных отходов. Номенклатура контролируемых параметров.

8.2. Основные требования к относительной погрешности большинства рабочих средств измерений ионизирующего излучения сформулированы в ГОСТ 29074-91, а требования к основной погрешности даны и также в стандартах на поверочные схемы для средств измерений соответствующих величин. Предпочтение следует отдавать средствам измерений, имеющим относительную погрешность не более, чем от -30% до +50%.

В отдельных случаях могут быть приняты другие значения суммарной относительной погрешности рабочих средств измерения с учетом специфики измерения контролируемых параметров, особенностей пробоотбора, динамики изменения радиационной обстановки и т.п.

Таблица 1. Требования к контролю параметров радиационной обстановки

Вид радиационного контроля Контролируемый радиационный параметр Единица измерения системная (внесистемная) Вид ионизирующих излучений, радионуклид Диапазон контроля рабочих средств, не менее
при НРО при АРО
1 2 3 4 5 6
1. Контроль мощностей доз в рабочих помещениях, на рабочих местах и окружающей природной среде Мощность эквивалентной (экспозиционной) дозы или мощность эквивалента амбиентной дозы Зв/ч Фотоны от 4·до 4· -
Бета от 2·до 2· -
Нейтроны от 2·до 2· -
Мощность поглощенной дозы излучений Гр/ч Фотоны - от 2·до 2
Бета - от 2·до 2·
Нейтроны - от 2·до 10
2. Контроль радиоактивных аэрозолей и паров в воздухе Объемная активность радиоактивных аэрозолей и паров Бк/м3 Альфа- от 4·до 4· от 4·до 4·
Бк/м3 Бета-излучающие (долгоживущие радионуклиды стронций-90 + иттрий-90) от 4·до 4· от 4·до 4·
Бк/м3 Бета (неизвестного или частично известного состава) от 1·до 1· от 1·до 1·
Бк/м3 Бета-гамма (пары радионуклидов йода) от 2 до 2· от 2·до 2·
3. Контроль радиоактивных газов в воздухе Объемная активность радиоактивных газов Бк/м3 Альфа (радон, торон) от 20 до 2· -
Бета (инертные газы) от 2· до 3,7· от 4· до 4·
Бета (низкоэнергетические - тритий, углерод-14) от 4· до 4·
от 4· до 4·() от 4· до 4·
от 1· до 1·()
4. Контроль радиоактивного загрязнения поверхностей в рабочих помещениях Плотность потока ионизирующих частиц Альфа от 5·до 5· от 5 до 5·
Бета от 10 до 1· от 1· до 1·
5. Контроль радиоактивного загрязнения вод Объемная активность радионуклидов Бк/м3 Альфа от 0,5 до 5· от 4·до 4·
Бета (стронций-90 + иттрий-90) от 4·до 4· от 4·до 4·
Бета (тритий) от 4·до 4·
Гамма (цезий-137) от 2·до 2· от 2· до 2·
6. Контроль радиоактивного загрязнения почвы Удельная активность радионуклидов Бк/кг Альфа от 4·до 4· от 4·до 4·
Бета (стронций-90) от 4 до 4· от 4·до 4·
Гамма (цезий-137) То же То же
7. Контроль радиоактивного загрязнения в пробах окружающей среды Объемная активность радионуклидов в пробе Бк/м3 Бета (стронций-90) от 3 до 3· от 3·до 3·
Альфа (плутоний-239) 0,5 - 5·
Гамма (цезий-137,134) от 3 до 3· от 3·до 3·
8. Контроль радиоактивного загрязнения поверхностей объектов окружающей среды Плотность потока ионизирующих частиц Альфа от 1·до 1· от 1·до 1·
Бета от 1·до 1· от 1·до 1·
Поверхностная активность радионуклидов Бк/м2 Бета от 4·до 4· от 4·до 4·
Альфа от 5 до 5· от 50 до 5·
9. Контроль состава и содержания радионуклидов в пробах объектов окружающей среды Энергетическое распределение излучения Дж (МэВ) Альфа По приложению П2 НРБ-99 По приложению П2 НРБ-99
Бета
Гамма
Объемная удельная, поверхностная активности радионуклидов Бк/м3, Альфа По п. п. 5 - 8 настоящей таблицы По п. п. 5 - 8 настоящей таблицы
Бк/кг, Бета
Бк/м2 Гамма

При этом следует учитывать для каждого вида излучения и контролируемой среды требования, изложенные в стандартах, приведенных в разделах 8 и 10 настоящих МУ.

Общий подход к оцениванию результатов контроля радиационной обстановки приведен в Приложении 1.

9. Требования к аппаратуре и организации контроля радиационной обстановки в случае аварий

9.1. В проектной документации каждого радиационного объекта должны быть определены возможные аварии и причины их возникновения, а также должны быть определены рабочие зоны и территории, на которых может возникнуть опасная радиационная обстановка в случае аварии (проектной и запроектной).

9.2. Технические средства радиационного контроля должны обеспечить обнаружение радиационной аварии, а запланированные организационные мероприятия должны обеспечить срочные меры по прекращению развития аварии, поддерживая контроль над источником излучения в аварийной ситуации.

9.3. Измерительные задачи и объем контроля радиационной обстановки, а также параметры аппаратуры КРО и АСКРО, соответствующей категории данного объекта, должны выбираться из данных Табл. 1 настоящего документа для АРО.

9.4. Перечень основных технических средств, соответствующих выбранным техническим параметрам, для обнаружения и ликвидации последствий аварии:

- приборы контроля газоаэрозольных выбросов;

- приборы контроля жидких сбросов;

- автоматизированные системы контроля радиационной обстановки или единичные автоматизированные посты;

- специализированные посты и технические средства для отбора проб воды, воздуха, почвы и т.п., в т.ч. и в составе ПРЛ;

- переносные и лабораторные приборы, позволяющие измерять аварийные уровни мощности дозы излучений и аварийные уровни удельной активности альфа-излучателей, иода-131, цезия-134, 137, стронция-90 в различных пробах.

9.5. На объектах I и II категорий должны быть подвижные радиометрические лаборатории, оснащенные необходимой аппаратурой для контроля радиационной обстановки и отбора проб на территории вокруг объекта.

9.6. Аппаратура контроля радиационной обстановки должна обеспечивать возможность принятия своевременного и обоснованного решения для уменьшения последствий аварии и установления критериев для принятия неотложных мер по защите персонала, населения и объектов окружающей среды согласно Табл. 6.3, 6.4 и 6.5 НРБ-99.

9.7. Для четкой организации работ при радиационной аварии должны быть разработаны следующие документы и инструкции разного уровня, в том числе согласованные с государственными органами контроля согласно разделу 6 ОСПОРБ-99:

"План мероприятий по защите персонала и населения в случае радиационной аварии" (п. п. 6.3, 6.4 ОСПОРБ-99);

"Инструкция по действию персонала в аварийных ситуациях";

Табель оснащения техническими средствами контроля радиационной обстановки в случае аварии (номенклатура, место хранения и т.д.);

Система экстренного оповещения о возникшей аварии (план, технические средства информационного обеспечения);

План организации радиационного контроля персонала и населения;

План мероприятия по снижению облучения работников в соответствии с принципами оптимизации. При этом должны выполняться условия работы персонала при облучении, не превышающем 5 мЗв/год, а также организация службы радиационной безопасности, если облучение работников превышает 1 мЗв/год.

10. Общие требования к метрологическому обеспечению измерений параметров радиационной обстановки

10.1. Основные требования к метрологическому обеспечению контроля параметров радиационной обстановки содержатся в основополагающих стандартах:

ГОСТ 27451-87. "Средства измерений ионизирующих излучений. Общие технические условия".

ГОСТ 8.508-73. ГСИ "Метрологические характеристики средств измерений и точностные характеристики средств автоматизации ГСП".

ГОСТ 29074-91. "Аппаратура контроля радиационной обстановки. Общие требования".

ГОСТ 8.437-81. "Системы информационно-измерительные. Метрологическое обеспечение. Основные положения".

10.2. Метрологическое обеспечение выпуска и эксплуатации аппаратуры контроля радиационной обстановки базируется на поверочных схемах для средств измерения различных физических величин, нормированные значения которых приведены в НРБ-99 для нормальных и аварийных ситуаций. Перечень ГОСТов на поверочные схемы и методики поверки радиометрической аппаратуры приведен в Табл. 2.

10.3. Для контроля радиационной обстановки должны применяться средства измерений утвержденного типа (прошедшие испытания и внесенные в Государственный реестр средств измерений) и периодически поверяемые в установленном порядке.

10.4. Методики выполнения измерений при контроле радиационной обстановки должны удовлетворять требованиям ГОСТ Р 8.563-96 и МИ 2453-2000.

11. Требование к представлению, протоколированию и хранению результатов контроля радиационной обстановки

11.1. Результаты контроля радиационной обстановки должны быть запротоколированы в форме, принятой на предприятии, в одной из следующих форм регистрации:

- звуковая и световая информация и сигнализация;

- журналы;

- листинги;

- магнитные носители и др.

Объем фиксируемой и сохраняемой информации определяется следующими задачами:

- статистической отчетностью перед органами государственного контроля;

- расчетом годовых эффективных доз внутреннего облучения персонала;

- отслеживанием динамики изменения всех контролируемых радиационных параметров, характеризующих состояние радиационной обстановки;

- фиксацией контролируемых радиационных параметров, характеризующих выбросы и сбросы с целью оценки и анализа загрязнения воздушной и водной среды;

- регистрацией уровня загрязнения объектов внешней среды (при необходимости, например, после аварии).

11.2. Необходимый объем информации, определяемой требованиями статистической отчетности согласно ОСПОРБ-99, хранится в течение 50 лет. Кроме того, учитывается формирование необходимых данных, которые должны передаваться в АСКРО Министерства и ЕГАСКРО России и т.п.

11.3. Вопросы информационно-измерительного обеспечения индивидуального дозиметрического контроля должны решаться с учетом Методических указаний по внедрению автоматизированных систем индивидуальных доз облучения персонала "Общие требования к проектированию информационных систем ИДК предприятий Минатома России".

11.4. Результаты всех видов дозиметрического контроля, а также данные о суммарной дозе, накопленной персоналом за весь период профессиональной работы, должны регистрироваться и храниться в соответствии с требованиями ОСПОРБ-99.

Таблица 2. Стандарты в области метрологии ионизирующих излучений

Физические величины ГОСТ на эталоны и поверочные схемы Методы и средства поверки Методы измерений Общие технические требования
Активность, объемная и удельная активность:
нуклидов ГОСТ 8.033-96 - - ГОСТ 23923-89
газов ГОСТ 8.039-79 - ГОСТ 21496-89
аэрозолей ГОСТ 8.090-79 ГОСТ 8.527-85 ГОСТ 22251-89 ГОСТ 22251-89
жидкостей ГОСТ 8.033-96 ГОСТ 17209-89
паров иода-131 ГОСТ 8.090-79 ГОСТ 8.529-85 -
Плотность потока
гамма-квантов - - - -
альфа-частиц - ГОСТ 8.041-84 - ГОСТ 17225-85
бета-частиц - ГОСТ 8.040-84 - ГОСТ 17225-85
нейтронов ГОСТ 8.031-82 ГОСТ 8.355-79 - -
МИ 2413-99
Поток энергии тормозного излучения электронов и энергии электронов ГОСТ 8.201-76 ЖШ0.280.021МУ - -
ГОСТ 8.202-76 - - -
Экспозиционная доза и мощность экспозиционной дозы гамма- и рентгеновского излучения ГОСТ 8.034-82 ГОСТ 8.013-72 ГОСТ 17226-71 ГОСТ 17226-71
МИ 1788-87 ГОСТ 17226-73 ВД ГОСТ 17226-73 ВД
МИ 1910-88 ГОСТ 25935-83
РД 50-444-83
Поглощенная доза фотонного излучения ГОСТ 8.070-95 ГОСТ 25935-83
ГОСТ 8.203-76
Поглощенная доза и мощность поглощенной дозы бета излучения ГОСТ 8.035-82 РД 50-444-83 -
Мощность поглощенной и эквивалентной дозы нейтронного излучения ГОСТ 8.347-79 РД 50-458-84 ГОСТ 25935-83
МИ 172-78 МИ 2044-89

Индивидуальную дозу облучения регистрируют в журнале с последующим внесением в индивидуальную карточку, а также в машинный носитель для передачи данных в информационные системы предприятий и организаций с целью создания базы данных (дозиметрических регистров) и передачи в единый банк данных о дозах облучения граждан, создаваемый Минздравом России в рамках Единой государственной системы контроля и учета индивидуальных доз облучения граждан при воздействии различных ИИИ. Копия данных по облучению работника в случае его перехода в другую организацию, где проводится работа с источниками ионизирующего излучения, должна передаваться на новое место работы; оригинал должен храниться на прежнем месте работы. Данные об индивидуальных дозах у прикомандированных лиц должны сообщаться по месту их постоянной работы.

Примечание. В соответствии с Федеральным Законом "Об информации, информатизации и защите информации" N 24-ФЗ от 20.02.1995 ст. 11 информация о гражданах (персональные данные) относится к категории конфиденциальной информации.

12. Приложения

Приложение 1

ОЦЕНИВАНИЕ РЕЗУЛЬТАТОВ РАДИАЦИОННОГО КОНТРОЛЯ. ОСНОВНЫЕ ПОНЯТИЯ

1. Средство измерений (СИ) <1> - техническое средство или комплекс средств (включая встроенные и сопряженные средства обработки информации), предназначенное для измерений конкретной физической величины и имеющее нормируемые метрологические характеристики.

<1> Из настоящего рассмотрения исключен специальный вид СИ - меры (радионуклидные источники и поля излучения).

2. Показание СИ (X) - значение измеряемой величины, получаемое как непосредственный отсчет СИ (в том числе, после автоматизированной обработки с помощью сопряженного процессора) или после введения обязательных (регламентированных) поправок.

Показание СИ при многократных (n) наблюдениях в неизменных условиях определяется как среднее арифметическое значение показаний , полученных при i-м наблюдении:

. (9)

При измерениях в неизменных условиях показаниям СИ свойственен случайный разброс значений, который характеризуют средним квадратическим отклонением (СКО):

для

, (10)

для X

. (11)

При этом интервал значений, в котором с (доверительной) вероятностью P может находиться "истинное" показание СИ, оценивается как

, (12)

где разброс (неопределенность) значений вычисляется по соотношению

, (13)

где t - коэффициент Стьюдента.

Относительная неопределенность определяется как

(14)

В технических измерениях P = 0,95 и при достаточно большом числе наблюдений (n = 5 + 10) принимают = 2 для нормального закона распределения случайной величины и = 1,7 - для равномерного.

О метрологической корректности однократных наблюдений говорить затруднительно. Для СИ, в основе показаний которых лежит число зарегистрированных импульсов N, т.е. X = kN, в качестве среднеквадратического отклонения (СКО) обычно принимается . Для получения надежного результата всегда предпочтительно вместо выполнения одного наблюдения с большим N выполнять многократные наблюдения с меньшими N с последующей обработкой по вышеописанному алгоритму.

Следует иметь в виду, что неопределенность показаний СИ, обусловленная статическим характером испускания и регистрации излучения, при низких уровнях радиации, что характерно для радиационного контроля (РК), может составлять значительную долю общей неопределенности.

3. Два метрологических понятия связаны со средствами измерений и их практическим применением:

- погрешность СИ, определяется как отличие показаний СИ от истинного значения измеряемой величины;

- неопределенность измерений как характеристика точности измерений искомой величины с помощью данного СИ, определяющая разброс возможных при данном измерении значений, которые могли бы быть обоснованно приписаны измеряемой величине.

Принципиально, что первое понятие предполагает знание истинного значения величины, а второе - ориентировано на оценку истинного значения измеряемой величины.

4. Погрешность СИ - метрологическая характеристика СИ, определяемая как отличие показания СИ (X) от истинного значения () измеряемой величины, в качестве которого принимается значение величины, воспроизводимой соответствующим эталоном: абсолютная погрешность (в единицах измеряемой величины)

; (15)

относительная погрешность

. (16)

Погрешность СИ определяется как вероятностная оценка интервала возможных показаний СИ при измерении данной величины:

и - в сторону больших значений;

и - в сторону меньших значений.

Погрешность СИ обычно задается симметрично (т.е. ) для отдельных влияющих факторов или их совокупности. При наличии нескольких источников погрешностей:

, (17)

где - погрешность СИ, обусловленная i-м источником (погрешность калибровки, энергетическая зависимость чувствительности, угловая анизотропия чувствительности, чувствительность к сопутствующему излучению и др.).

Следует иметь в виду, что при определении погрешностей СИ выполняют многократные измерения с целью максимально возможно уменьшить СКО показаний СИ. Поэтому погрешность СИ трактуется как систематическая погрешность, влияние которой на результат измерения при практическом применении СИ не может быть уменьшено проведением многократных наблюдений в неизменных условиях измерений. Погрешность СИ задается как предел погрешности (при доверительной вероятности P = 0,99) или как доверительная погрешность (при P = 0,95). Для практического применения СИ при РК разницу между названными погрешностями можно считать непринципиальной (при вероятной оценке погрешности обычно предлагается равномерный закон распределения).

5. Погрешность методики выполнения измерений (). Понятие "погрешность" в трактовке, аналогичной п. 4, полностью применимо к методикам выполнения измерений (МВИ). Имеются в виду неисключенные погрешности обработки измерительной информации, погрешности пробоподготовки и др.

6. Неопределенность измерений - параметр, определяющий интервал вокруг измеренного значения величины, внутри которого с заданной вероятностью находится истинное значение измеряемой величины.

Для обозначения доверительного интервала (для P = 0,95; P = 0,99 и др.) принято использовать термин "расширенная неопределенность" в отличие от термина "неопределенность", соответствующего интервалу в одно СКО. Имея в виду использование в РК исключительно доверительной вероятности P = 0,95, для краткости допустимо применять термин неопределенность измерений без слова "расширенная".

Как и для "погрешности" применяют:

U (, ) - абсолютная неопределенность (в единицах измеряемой величины);

u (, ) - относительная неопределенность, определяемая как

, (18)

где R - измеренное значение величины.

Укрупненно основными составляющими неопределенности при РК являются:

- погрешности средств измерений (основная и доверительные);

- статистическая (случайная) неопределенность измерений;

- методическая погрешность обработки измерительной информации (погрешность МВИ);

- погрешности, вызываемые взаимодействием (возмущением) средства измерений с объектом измерений, или погрешности пробоотбора и пробоподготовки;

- неопределенность перенесения результатов измерений в точках контроля на объект в целом (представительность контроля);

- неадекватность контролируемому объекту (эффекту) измерительной модели, параметры которой принимаются в качестве измеряемых величин.

7. Результат (точечного) измерения - определенное по показанию СИ значение искомой величины в заданной контрольной точке с оценкой неопределенности измерений.

Результатом измерения является интервал значений искомой величины от до , в котором с вероятностью P = 0,95 находится истинное значение искомой величины:

, (19)

. (20)

Здесь R - измеренное (или рассчитанное по измерению) значение искомой величины, а и - абсолютные неопределенности измерений в сторону больших и меньших значений, соответственно.

В общем виде неопределенность результата измерений обусловлена:

- случайной (в основном статистической) составляющей неопределенности измерений;

- погрешностью СИ и МВИ, трактуемой как систематическая составляющая.

Оценивание результата измерений выполняется с использованием следующих соотношений:

, (21)

, (22)

, (23)

(24).

Здесь - статистическая неопределенность, рассчитываемая по соотношениям (9) - (14), а - неопределенность, обусловленная погрешностью СИ и МВИ:

, (25)

, (26)

где - доверительная погрешность применяемых СИ и МВИ.

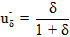
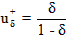
, (27)

При R < 0 (что возможно при разностных измерениях из-за статистического разброса показаний СИ) принимается R = 0. Принимается также = 0 при < 0

Следует обратить внимание, что при симметричных значениях относительной погрешности СИ , превышающей примерно 0,2, равноточным измерениям соответствуют несимметричные пределы для положительных () и отрицательных () неопределенностей.

8. Результат контроля объекта - значение контролируемого (нормируемого, регламентируемого) для объекта параметра, определяемое по результатам точечных измерений в соответствии с принятой методикой радиационного контроля (РК), с оценкой неопределенности результата контроля:

Q - значение контролируемого параметра;

- неопределенность результата контроля.

При этом

, (28)

где - неопределенность результата измерений; - неопределенность контроля, обусловленная представительностью контроля и физической неопределенностью самого объекта контроля.

9. Форма представления результатов радиационного контроля. Форма представления результатов РК регламентируется соответствующей методикой (МРК или МВИ). При этом обязательным является указание:

- измеренного (рассчитанного по измерению) значения контролируемого параметра;

- оценки (полной) абсолютной неопределенности контроля при P = 0,95;

- оценки статистической (случайной) неопределенности измерения.

Оценка статистической неопределенности важна для анализа воспроизводимости результатов РК.

Числовое значение неопределенности конечного результата РК должно содержать не более двух значащих цифр. При этом при первой значащей цифре:

- 1 или 2 должна присутствовать вторая цифра от 0 до 9;

- 3 или 4 вторая цифра должна быть 0 или 5;

- от 5 до 9 вторая цифра отсутствует.

Округление числовых значений выполняется по общепринятым правилам.

10. Критерии соответствия объекта РК нормативным требованиям.

10.1. Для определения соответствия объекта установленным для него нормативам (контрольным уровням) используются параметр соответствия (B) и неопределенность его определения (). В случае единственного параметра для РК объекта:

, (29)

, (30)

где Q - измеренное значение контролируемого параметра, - оценка неопределенности контроля, а L - значение норматива (контрольного уровня) для данного параметра.

При наличии нескольких параметров для РК объекта, нормативы для которых установлены раздельно, вывод о соответствии объекта нормативным требованиям принимается по совокупности результатов измерений всех нормируемых параметров. В этом случае:

, (31)

, (32)

где i - индекс для обозначения соответствующего параметра.

10.2. Объект признается безусловно соответствующим нормативным требованиям, если

, (33)

Здесь - задаваемый компетентным органом (правилами, указаниями, рекомендациями) параметр, характеризующий безусловно приемлемую неопределенность РК в относительных единицах. <1>

<1> Например, для контроля непревышения установленных нормативов при сертификационных испытаниях принимается = 0. При контроле индивидуальных эффективных доз внешнего облучения персонала и населения МКРЗ и МАГАТЭ рекомендовано = 0,5.

10.3. Объект нельзя признать соответствующим нормативным требованиям, если не выполняется условие (33). Однако, если при этом

, (34)

то следует иметь в виду, что при проведении более точных (с меньшей неопределенностью) измерений существует вероятность получить соотношение (33).

Примечание. Приложение 1 подготовил д.т.н., профессор Ярына В.П., Центр метрологии ионизирующих излучений ГНЦ РФ "ВНИИФТРИ".

Приложение 2

СПИСОК ИСПОЛНИТЕЛЕЙ

КОНТРОЛЬ РАДИАЦИОННОЙ ОБСТАНОВКИ. ОБЩИЕ ТРЕБОВАНИЯ

Руководитель работы  
к.т.н., с.н.с. НИЦ "СНИИП" В.В. Коваленко
Исполнители:  
НИЦ "СНИИП", к.т.н., с.н.с. Л.В. Артеменкова
НИЦ "СНИИП", к.т.н., с.н.с. В.В. Коваленко
НИЦ "СНИИП", к.т.н., с.н.с. В.И. Лапшин
НИЦ "СНИИП" И.П. Мысев
НИЦ "СНИИП", к.т.н., с.н.с. В.И. Петров
НИЦ "СНИИП", д.т.н., с.н.с. Б.В. Поленов
НИЦ "СНИИП", к.т.н., с.н.с. В.М. Скаткин
НИЦ "СНИИП", к.т.н., с.н.с. Ю.П. Федоровский
НИЦ"СНИИП" Л.И. Цудечкис
ГНЦ "Институт биофизики", к.т.н., с.н.с. Ю.В. Абрамов
ГНЦ "Институт биофизики", к.м.н., с.н.с. А.В. Симаков
ГНЦ "Институт биофизики" А.Г. Цовьянов
РНЦ КИ, к.ф.-м.н., с.н.с. В.А. Кутьков
ГП "ВНИИФТРИ" чл.-корр. Метрологической академии России, к.т.н. П.Ф. Масляев
ОИЯИ В.А. Архипов
Минатом РФ А.Л. Панфилов
Минатом РФ И.В. Баранов