Шум. транспортные потоки. Методы определения шумовой характеристики. ГОСТ 20444-2014

(утв. Приказом Росстандарта от 18.11.2014 N 1640-СТ)
Редакция от 18.11.2014 — Действует с 01.07.2015

Данный документ не поддерживается в сервисе Норматив.


Текст данного документа приведен с учетом поправки, опубликованной в "ИУС", N 6, 2022.


МЕЖГОСУДАРСТВЕННЫЙ СТАНДАРТ

ШУМ

Транспортные потоки
Методы определения шумовой характеристики

Noise. Traffic flows. Methods of noise characteristic determination

(ISO 1996-1:2003, NEQ)
(ISO 1996-2:2007, NEQ)

ГОСТ 20444-2014

Дата введения - 2015-07-01

Предисловие

Цели, основные принципы и основной порядок проведения работ по межгосударственной стандартизации установлены ГОСТ 1.0-92 "Межгосударственная система стандартизации. Основные положения" и ГОСТ 1.2-2009 "Межгосударственная система стандартизации. Стандарты межгосударственные, правила, рекомендации по межгосударственной стандартизации. Правила разработки, принятия, применения, обновления и отмены"

Сведения о стандарте

1 РАЗРАБОТАН Федеральным государственным бюджетным учреждением "Научно-исследовательский институт строительной физики Российской академии архитектуры и строительных наук" (НИИСФ РААСН)

2 ВНЕСЕН Техническим комитетом по стандартизации ТК465 "Строительство"

3 ПРИНЯТ Межгосударственным советом по стандартизации, метрологии и сертификации по переписке (протокол от 30 сентября 2014 г. N 70-П)

За принятие проголосовали:

Краткое наименование страны
по МК (ИСО 3166)004-97
Код страны
по МК (ИСО 3166) 004-97
Сокращенное наименование национального органа по стандартизации
АрменияAMМинэкономики Республики Армения
БеларусьBYГосстандарт Республики Беларусь
КиргизияKGКыргызстандарт
РоссияRUРосстандарт
УкраинаUAМинэкономразвития Украины
ТуркменияTMГлавгосслужба "Туркменстандартлары"

4 Приказом Федерального агентства по техническому регулированию и метрологии от 18 ноября 2014 г. N 1640-ст межгосударственный стандарт ГОСТ 20444-2014 введен в действие в качестве национального стандарта Российской Федерации с 1 июля 2015 г.

5 Настоящий стандарт соответствует следующим международным стандартам: ISO 1996-1:2003 Acoustics - Description, measurement and assessment of environmental noise - Part 1: Basic quantities and assessment procedures (Шум. Описание, измерение и оценка шума на местности - Часть 1: Основные величины и процедуры оценки) и ISO 1996-2:2007 Acoustics - Description, measurement and assessment of environmental noise - Part 2: Determination of environmental noise levels (Шум. Описание, измерение и оценка шума на местности - Часть 2: Определение уровней звукового давления) в части измерения шумовых характеристик различных видов транспорта.

Степень соответствия - неэквивалентная (NEQ)

6 ВЗАМЕН ГОСТ 20444-85

1 Область применения

1.1 Настоящий стандарт распространяется на определение параметров, объективно описывающих шум, возникающий при движении транспортных потоков различного вида на автомобильных дорогах и рельсовых путях.

1.2 Настоящий стандарт устанавливает методы измерения шумовой характеристики транспортных потоков на улицах, автомобильных и железных дорогах, а также на открытых линиях метрополитена.

1.4 Настоящий стандарт не распространяется на методы измерения авиационного шума.

1.5 Результаты измерений, выполненных в соответствии с настоящим стандартом, могут быть использованы при планировании мероприятий по снижению уровней транспортного шума на жилых территориях и в помещениях жилых и общественных зданий.

2 Нормативные ссылки

В настоящем стандарте использованы нормативные ссылки на следующие стандарты:

ГОСТ 12090-80 Частоты для акустических измерений. Предпочтительные ряды

ГОСТ 17187-2010 (IEC 61672-1:2002) Шумомеры. Часть 1. Технические требования

ГОСТ 31296.1-2005 (ИСО 1996-1:2003) Шум. Описание, измерение и оценка шума на местности. Часть 1. Основные величины и процедуры оценки

ГОСТ 31296.2-2006 (ИСО 1996-2:2007) Шум. Описание, измерение и оценка шума на местности. Часть 2. Определение уровней звукового давления

Примечание - При пользовании настоящим стандартом целесообразно проверить действие ссылочных стандартов в информационной системе общего пользования - на официальном сайте Федерального агентства по техническому регулированию и метрологии в сети Интернет или по ежегодному информационному указателю "Национальные стандарты", который опубликован по состоянию на 1 января текущего года, и по выпускам ежемесячного информационного указателя "Национальные стандарты" за текущий год. Если ссылочный стандарт заменен (изменен), то при пользовании настоящим стандартом следует руководствоваться заменяющим (измененным) стандартом. Если ссылочный стандарт отменен без замены, то положение, в котором дана ссылка на него, применяется в части, не затрагивающей эту ссылку.

3 Термины и определения

В настоящем стандарте применены следующие термины с соответствующими определениями:

3.1 общий шум: Шум в определенной ситуации в определенное время и в определенном месте, обычно состоящий из шума различных источников как подвижных (средства дорожного, рельсового, водного и воздушного транспорта), так и расположенных стационарно (промышленные предприятия, энергетические и прочие установки, а также инженерно-техническое и прочее оборудование в жилых и общественных зданиях).

3.2 шум известного источника: Часть общего шума, которая может быть определена и приписана конкретному источнику шума.

3.3 фоновый (остаточный) шум: Часть общего шума при отключении одного или нескольких известных источников.

3.4 точка измерения (точка наблюдения): Место, в котором измеряют шумовые характеристики транспортного потока и размещают измерительный микрофон.

3.5 временной интервал измерения: Промежуток времени, в течение которого проводят единичное (однократное) измерение уровней шума транспортного потока.

3.6 временной интервал наблюдения: Промежуток времени, в течение которого проводят серию измерений уровней шума транспортного потока. Интервал наблюдения может включать в себя несколько интервалов измерения, следующих друг за другом непрерывно или с паузами.

3.7 опорное звуковое давление : Установленное по соглашению опорное значение звукового давления в воздухе, равное 2· Па.

3.8 уровень звукового давления , дБ: Величина, равная десяти десятичным логарифмам отношения квадрата среднеквадратичного звукового давления, измеренного при стандартных временной и частотной характеристиках измерительной системы по ГОСТ 17187, к квадрату опорного звукового давления.

Примечание - Звуковое давление выражают в паскалях (Па).

3.9 эквивалентный уровень звукового давления , дБ: Величина, равная десяти десятичным логарифмам отношения квадрата среднеквадратичного звукового давления на заданном временном интервале, измеренного при стандартных временной и частотной характеристиках измерительной системы по ГОСТ 17187, к квадрату опорного звукового давления.

3.10 эквивалентный уровень звука A , дБ А: Величина, равная десяти десятичным логарифмам отношения квадрата среднеквадратичного звукового давления на заданном временном интервале, измеренного при стандартной частотной характеристике А шумомера по ГОСТ 17187, к квадрату опорного звукового давления; рассчитывается по формуле

,

где Т= - - заданный временной интервал, с;

- начало интервала, с;

- конец интервала, с;

- мгновенное корректированное по частотной характеристике А шумомера по ГОСТ 17187 звуковое давление в момент времени t, Па;

= 2· Па - опорное звуковое давление.

3.11 максимальный уровень звука A , дБА: Наибольший корректированный по А уровень звука на заданном временном интервале. На практике максимальный уровень звука А соответствует согласно ГОСТ 31296.1 уровню, превышаемому в течение 1 % времени интервала измерения.

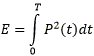
3.12 звуковое воздействие Е, ·с: Величина, определяемая по формуле

,

где - мгновенное звуковое давление, Па;

Т - заданный временной интервал или интервал, равный продолжительности звукового события, с.

3.13 опорное звуковое воздействие , ·с: Величина, равная квадрату опорного звукового давления = 2· Па, умноженному на опорный временной интервал длительностью 1 с ( = 4··с).

3.14 уровень звукового воздействия , дБ: Величина, равная десяти десятичным логарифмам отношения звукового воздействия на заданном временном интервале или на интервале, равном продолжительности звукового события, к опорному звуковому воздействию; рассчитывается по формуле

,

где Е - звуковое воздействие на временном интервале Т, ·с.

3.15 уровень звукового воздействия A , дБА: Уровень звукового воздействия, корректированный по частотной характеристике А шумомера по ГОСТ 17187.

Примечание - Уровень звукового воздействия A , измеренный на временном интервале Т, позволяет определить эквивалентный уровень звука с помощью формулы

,

где = 1 с.

4 Общие положения

4.1 Измерения в соответствии с настоящим стандартом должны проводиться для оценки фактических шумовых характеристик транспортных потоков, состоящих из легковых и грузовых автомобилей, автопоездов, автобусов, троллейбусов, трамваев, мотосредств (мотоциклов, мотороллеров, мопедов, мотовелосипедов), а также других видов автотранспортных средств на автомобильных дорогах, на улично-дорожной сети городов и других населенных пунктов, или из поездов разных видов (пассажирских, грузовых и пригородных электропоездов) на участках железных дорог, или из метро- поездов на открытых линиях метрополитена.

4.2 Шумовые характеристики транспортных потоков являются основными исходными данными для выполнения по действующим нормативно-техническим документам акустических расчетов по оценке шумового режима в помещениях жилых и общественных зданий и на территориях жилой застройки, прилегающих к улично-дорожной сети городов и других населенных пунктов, к автомобильным и железным дорогам, а также к открытым линиям метрополитена.

4.3 Основными шумовыми характеристиками транспортных потоков являются эквивалентный и максимальный уровни звука, дБД в дневное (от 7.00 до 23.00 ч) и ночное (от 23.00 до 7.00 ч) время.

4.4 Дополнительными шумовыми характеристиками транспортных потоков, определяемыми в необходимых случаях, являются эквивалентные уровни звукового давления , дБ, в октавных полосах со среднегеометрическими частотами в диапазоне от 31,5 до 8000 Гц по ГОСТ 12090.

4.5 В случае редких (эпизодических) проездов автотранспортных средств, а также при проездах отдельных трамваев, железнодорожных поездов или метропоездов на открытых линиях метрополитена дополнительной шумовой характеристикой является уровень звукового воздействия A , дБА.

4.6 Одновременно с измерением шумовых характеристик транспортного потока должны фиксироваться продолжительность каждого временного интервала измерения и длительность временного интервала наблюдения.

4.7 При измерении шумовых характеристик транспортного потока целесообразно одновременно определять его интенсивность, состав и скорость движения.

Интенсивность транспортного потока равна числу транспортных средств, проходящих через поперечное сечение дороги в обоих направлениях в единицу времени.

Состав транспортного потока определяется по относительному количеству (в процентах) отдельных групп транспорта (легковые, грузовые автомобили, автобусы, троллейбусы, трамваи, мотосредства и др.) к общему числу транспортных средств в потоке.

Состав транспортного потока за отдельные временные интервалы измерения следует определять либо на основе видеозаписи транспортного потока и ее последующей обработки в лабораторных условиях, либо путем непосредственного подсчета с помощью специальных счетчиков (контактных, магнитных, радиолокационных и др.), или визуальным подсчетом количества транспортных средств различного типа, проехавших мимо точки измерения за временной интервал измерения.

4.8 Скорость движения транспортных средств определяется либо непосредственно с помощью специального прибора-радара (измерителя скорости), имеющего погрешность стационарно ± 1,0 км/ч, в движении ± 2,0 км/ч, либо путем фиксирования времени проезда отдельными транспортными средствами (i) участка дороги произвольной длины L, задаваемой измерителем, и последующего расчета по этим данным их скорости движения .

5 Средства измерений

5.1 Измерение эквивалентного и максимального уровня звука следует проводить интегрирующими-усредняющими шумомерами, а измерение уровня звукового воздействия - интегрирующими шумомерами 1-го или 2-го класса по ГОСТ 17187. Допускается применение комбинированных измерительных систем, в том числе автоматических, соответствующих техническим требованиям к шумомерам 1-го или 2-го класса по ГОСТ 17187.

Для измерения эквивалентных уровней звукового давления в октавных полосах частот интегрирующие-усредняющие шумомеры, комбинированные измерительные системы, в том числе автоматические, должны иметь дополнительно фильтры 1-го или 2-го класса [1].

Примечание - контролирующие организации (например, органы госнадзора) могут потребовать применения шумомера (комбинированной измерительной системы) только 1-го класса.

5.2 Средства измерений, предназначенные для измерения шумовых характеристик транспортных потоков, должны иметь действующие свидетельства о поверке. Межповерочный интервал устанавливает производитель измерительной аппаратуры или ГОСТ 17187.

5.3 До и после каждой серии измерений шумовых характеристик транспортных потоков следует провести проверку калибровки средств измерения и убедиться в том, что средства измерения удовлетворяют требованиям, приведенным в руководствах по эксплуатации и в паспортах на средства измерения.

Калибровка средств измерения 1-го класса должна проводиться с помощью акустического калибратора звука 1-го класса или в случае средств измерения 2-го класса - с помощью акустического калибратора звука 1-го или 2-го класса по [2].

Если при калибровке до и после измерения показания шумомера или иного регистрирующего прибора отличаются более чем на 1 дБА, то выполненные измерения признают недействительными, проводят новую калибровку средства измерения и повторяют измерения.

5.4 Перед проведением измерений шумовых характеристик транспортных потоков следует определять метеорологические условия (скорость ветра, температуру воздуха, влажность, атмосферное давление) по официальным данным метеослужбы либо с помощью соответствующих средств измерений, имеющих действующие свидетельства о поверке и удовлетворяющих следующим требованиям:

- приборы для измерения скорости ветра (например, анемометр) должны иметь диапазон измерений не менее от 1 до 10 м/с и погрешность не более ± 0,5 м/с;

- приборы для измерения температуры воздуха (например, термометр) должны иметь погрешность не более ± 1 °;

- приборы для измерения относительной влажности воздуха (например, гигрометр) должны иметь погрешность не более ± 2 %;

- приборы для измерения атмосферного давления (например, барометр) должны иметь погрешность не более ± 2 мм рт. ст.

6 Условия измерений

6.1 Места для проведения измерений шумовых характеристик автотранспортных потоков следует выбирать на прямолинейных участках улиц и автомобильных дорог с установившейся скоростью движения автотранспортных средств и на расстоянии не менее 50 м от перекрестков, транспортных площадей и остановочных пунктов пассажирского общественного транспорта.

6.2 Измерения следует проводить на участках улиц и автомобильных дорог с чистой и сухой поверхностью проезжей части.

Примечание - В особых случаях (например, по требованию заказчика работы или при проведении специальных научных исследований) измерения могут быть проведены на участках улиц и автомобильных дорог при другом состоянии поверхности проезжей части.

6.3 Места проведения измерений шумовых характеристик потоков поездов, или метропоездов, или трамваев должны выбираться на прямых и горизонтальных участках рельсового пути без волнообразного износа рельсов. Допускается проводить измерения также на искривленных участках пути с радиусом кривизны не менее 1000 м и на участках, имеющих уклон или подъем, но не более 5 %.

6.4 Балластный слой трамвайных, или железнодорожных путей, или путей на открытых линиях метрополитена не должен быть мокрым или промерзшим.

6.5 Если не используется всепогодный микрофон, то измерения не следует проводить во время выпадения атмосферных осадков, при тумане и при скорости ветра более 5 м/с. При скорости ветра в пределах от 1 до 5 м/с необходимо применять ветрозащитное устройство, рекомендованное изготовителем прибора, надеваемое на измерительный микрофон для защиты его мембраны от ветра и предотвращения искажения измеряемых уровней звука (уровней звукового давления).

Значения других метеорологических параметров (температура воздуха, влажность, атмосферное давление) во время измерений не должны выходить за рамки предельных значений, приведенных в технической документации на соответствующую измерительную аппаратуру.

6.6 При проведении измерений шумовых характеристик транспортных потоков измерительная аппаратура не должна подвергаться воздействию вибрации, электрических и магнитных полей, радиоактивного излучения, превышающих пределы, установленные технической документацией на эту аппаратуру.

6.7 Время проведения измерений необходимо выбирать в периоды максимальной интенсивности движения транспортных потоков как в дневной, так и в ночной периоды суток.

Целесообразно измерять шумовые характеристики транспортных потоков в дневной период суток не менее трех раз: утром в интервале от 7.00 до 9.00 ч, днем в интервале от 9.00 до 19.00 ч и вечером в интервале от 19.00 до 23.00 ч.

В ночной период суток целесообразно проводить измерения шумовых характеристик транспортных потоков два раза: в интервале от 23.00 до 1.00 ч и в интервале от 1.00 до 7.00 ч.

В общем случае, исходя из поставленных задач, для измерений шумовых характеристик транспортных потоков могут быть выбраны и другие временные интервалы.

6.8 При проведении измерений шумовых характеристик главная ось измерительного микрофона должна быть направлена в сторону транспортного потока и перпендикулярно к направлению дороги. Оператор, проводящий измерения, должен находиться на расстоянии не менее 0,5 м от измерительного микрофона для предупреждения нежелательных отражений звука. Не допускается нахождение между измерительным микрофоном и транспортным потоком людей и посторонних предметов.

6.9 При проведении измерений эквивалентного и максимального уровня звука, уровня звукового воздействия А индикатор частотной характеристики следует устанавливать в положение "А", а индикатор временной характеристики - в положение "медленно" ("slow").

При проведении измерений октавных эквивалентных уровней звукового давления индикатор частотной характеристики измерительной аппаратуры следует устанавливать в положение, указанное в инструкциях к измерительной аппаратуре (например, в положение "фильтры"),

Примечание - В большинстве современных измерительных приборов реализовано одновременное измерение уровней звука и звукового давления с различными частотными и временными характеристиками, включая октавный и третьокгавный анализ.

6.10 Уровни фонового шума, т. е. уровни звука помех, создаваемых посторонними источниками шума в период измерения шумовых характеристик транспортных потоков, должны быть не менее чем на 10 дБ (дБА) ниже уровней звука при прохождении перед измерительным микрофоном транспортных средств. Уровни фона должны измеряться в паузах между проездами отдельных транспортных средств при наличии возможности.

Если разность между измеренным уровнем шума от транспортного потока и уровнем фонового шума не превышает 10 дБ (дБА), то необходимо внести коррекцию в результаты измерения в соответствии с 8.2.

7 Проведение измерений

7.1 Автотранспортные потоки

7.1.1 При проведении измерений шумовых характеристик автотранспортного потока, в состав которого могут входить легковые и грузовые автомобили, автопоезда, автобусы, троллейбусы, трамваи, мотосредства (мотоциклы, мотороллеры, мопеды, мотовелосипеды), а также другие виды транспортных средств, измерительный микрофон должен располагаться на расстоянии (7,5 ± 0,2) м от оси ближней к точке измерения полосы или пути движения транспортных средств и на высоте (1,5 ± 0,1) м от уровня покрытия проезжей части или головки рельса трамвайного пути.

7.1.2 В условиях стесненной застройки при невозможности расположения измерительного микрофона на расстоянии (7,5 ± 0,2) м от оси ближней к точке измерения полосы или пути движения транспортных средств допускается располагать измерительный микрофон на меньшем расстоянии, но не ближе 1 м от стен зданий, сплошных заборов и других сооружений или элементов рельефа, отражающих звук. При этом в протоколе измерения (см. приложение А) должно быть указано фактическое расстояние от оси ближней к точке измерения полосы или пути движения транспортных средств, на котором располагался измерительный микрофон, а также расстояние от измерительной точки до ближайшего препятствия за ней.

7.1.3 В случае расположения улицы или автомобильной дороги в выемке измерительный микрофон следует устанавливать на бровке выемки на высоте (1,5 ± 0,1) м над уровнем бровки.

7.1.4 При прохождении автомобильной дороги в тоннеле или галерее измерения шумовых характеристик не проводятся.

7.1.5 Продолжительность периода измерения шумовых характеристик автотранспортного потока, в состав которого могут входить автотранспортные средства различного вида (в частности, легковые и грузовые автомобили, общественный транспорт), зависит от интенсивности движения потока. Измерение продолжают до тех пор, пока не произойдет стабилизация показаний измерительного прибора в пределах выбранной точности измерений, которая должна быть не хуже ± 0,5 дБА но и при этом продолжительность измерения должна быть не менее 5 мин.

7.1.6 При неинтенсивном движении автотранспорта, например в ночное время при одиночных проездах автотранспортных средств, продолжительность периода измерений шумовых характеристик автотранспортного потока должна охватывать проезд двух основных групп транспорта, одна из которых включает в себя не менее 30 легковых автомобилей, а другая включает в себя грузовые автомобили, автобусы и общественный транспорт (суммарно не менее 30 транспортных средств). При этом вместо прямого измерения эквивалентного уровня звука автотранспортного потока допускается измерение уровней звукового воздействия А при проездах легковых , грузовых автомобилей, автобусов , троллейбусов и мотоциклов . Одновременно измеряются и максимальные уровни звука этих транспортных средств.

Измеренные значения уровней звукового воздействия А арифметически усредняют по видам транспорта и рассчитывают эквивалентный уровень звука автотранспортного потока за временной интервал наблюдения Т по формуле

, (1)

где , , , , - средние уровни звукового воздействия по видам транспортных средств (легковые, грузовые автомобили, автобусы, троллейбусы, мотоциклы), дБА (рассчитываются по 8.3);

, , , , - число легковых, грузовых автомобилей, автобусов, троллейбусов и мотоциклов соответственно, в потоке за временной интервал наблюдения.

Если в транспортном потоке присутствует также вид транспорта, не перечисленный в формуле (1), то в формуле (1) в квадратных скобках добавляют член ,

где - средний уровень звукового воздействия дополнительного вида транспортного средства,

- число транспортных средств дополнительного вида.

Если какой-либо вид транспорта отсутствует в потоке, то соответствующий ему член в вышеприведенной формуле принимается равным нулю.

7.1.7 Скорость движения отдельных автотранспортных средств определяют аналогично 4.8.

7.2 Потоки железнодорожного транспорта

7.2.1 При проведении измерений шумовых характеристик потока железнодорожных поездов измерительный микрофон должен располагаться на расстоянии (25 + 0,5) м от оси ближнего к точке измерения магистрального (главного) железнодорожного пути и на высоте (1,5 ± 0,1) м над уровнем головки рельса.

7.2.2 При невозможности расположения измерительного микрофона на расстоянии (25 ± 0,5) м от оси ближнего к точке измерения магистрального (главного) пути, например в условиях стесненной застройки или из-за особенностей рельефа местности, допускается располагать измерительный микрофон на меньшем расстоянии, но не ближе 1 м от стен зданий, сплошных заборов и других сооружений или элементов рельефа, отражающих звук. При этом в протоколе измерения (см. приложение А) должно быть указано фактическое расстояние от оси ближнего к точке измерения пути движения поездов, на котором располагался измерительный микрофон, а также расстояние от измерительной точки до ближайшего препятствия за ней.

7.2.3 В случае расположения железнодорожного пути в выемке измерительный микрофон следует устанавливать на бровке выемки на высоте (1,5 + 0,1) м над уровнем бровки.

7.2.4 В протокол измерений (см. приложение А) помимо шумовых характеристик потока поездов должно быть занесено расстояние от измерительной точки до оси ближайшего пути, описание места и условий измерения, а также должен быть указать тип шпал (железобетонные или деревянные) и тип пути (бесстыковой, звеньевой).

7.2.5 При прохождении железнодорожных поездов по мосту, в тоннеле или в галерее измерения шумовых характеристик не проводятся.

7.2.6 Результаты измерений, во время которых раздавались гудки локомотивов, должны быть исключены из дальнейшей обработки.

7.2.7 Временной интервал наблюдения при измерениях эквивалентного и максимального уровня звука потока железнодорожных поездов должен охватывать проезд мимо точки измерения не менее пяти поездов каждого вида (пассажирские, грузовые, пригородные электропоезда), вносящих существенный вклад в суммарную шумовую характеристику потока.

Если шум формируется поездами только одного вида, то продолжительность временного интервала наблюдения выбирается такой, чтобы за это время мимо точки измерения проследовало бы не менее 20 поездов.

Если невозможно выполнить это условие, то в протоколе измерений указывают число поездов, шум которых удалось измерить, и приводят оценку влияния числа измеренных поездов на неопределенность измерений в соответствии с разделом 9.

Предпочтительно проводить измерения в периоды наибольшей интенсивности движения поездов как в дневное, так и в ночное время.

7.2.8 В качестве максимального уровня звука потока железнодорожных поездов принимается среднемаксимальный уровень звука , дБА рассчитанный на основе зафиксированных максимальных уровней звука отдельных поездов за временной интервал наблюдения Т.

7.2.9 При малой интенсивности движения поездов или когда по определенным причинам невозможно измерить эквивалентные уровни для вышеуказанного числа поездов, измеряют с помощью интегрирующего шумомера или другой измерительной системы, удовлетворяющей требованиям ГОСТ 17187, максимальный уровень звука , дБА и уровень звукового воздействия А , дБА при проезде каждого поезда различного вида (пассажирские, грузовые, пригородные электропоезда). Для проходящего поезда шум измеряют до тех пор, пока уровень звука снизится по меньшей мере на 10 дБА относительно наибольшего мгновенного уровня звука в момент прохода поезда мимо точки измерения. Затем находят среднеарифметические значения уровней для каждого вида поезда и определяют эквивалентный уровень звука потока железнодорожных поездов по формуле

(2)

где , , - средние уровни звукового воздействия по видам поездов, дБА (рассчитываются по п.8.3);

, , - число пассажирских, грузовых и пригородных поездов за временной интервал наблюдения Т.

7.2.10 Скорость движения отдельного поезда определяют аналогично 4.8.

7.3 Потоки трамваев

7.3.1 При расположении трамвайных путей отдельно от автомобильной дороги и при условии, что шумовые характеристики трамваев в этом случае могут рассматриваться как шумовые характеристики отдельного источника, не связанного с автомобильным потоком, измерительный микрофон следует располагать на расстоянии (7,5 + 0,2) м от оси ближнего к точке измерения пути движения трамваев и на высоте (1,5 + 0,1) м над уровнем головки рельса трамвайного пути.

7.3.2 В условиях стесненной застройки при невозможности расположения измерительного микрофона на расстоянии (7,5 ± 0,2) м от оси ближнего к точке измерения пути движения трамваев допускается располагать измерительный микрофон на меньшем расстоянии, но не ближе 1 м от стен зданий, сплошных заборов и других сооружений или элементов рельефа, отражающих звук. При этом в протоколе измерения (см. приложение А) должно быть указано фактическое расстояние от оси ближнего к точке измерения пути движения трамваев, на котором располагался измерительный микрофон, а также расстояние от измерительной точки до ближайшего препятствия за ней.

7.3.3 В случае расположения трамвайных путей в выемке измерительный микрофон следует устанавливать на бровке выемки на высоте (1,5 ± 0,1) м над уровнем бровки.

7.3.4 Период измерения шумовых характеристик (эквивалентных и максимальных уровней звука) транспортного потока, в состав которого входят только трамваи, должен охватывать проезд не менее 20 трамваев в обоих направлениях (суммарно).

Кроме прямого измерения эквивалентного уровня звука потока трамваев, допускается измерение уровней звукового воздействия А при проездах отдельных трамваев . При этом одновременно измеряют также максимальные уровни звука . Для проходящего трамвая шум измеряют до тех пор, пока уровень звука снизится по меньшей мере на 10 дБА относительно наибольшего мгновенного уровня звука в момент прохода трамвая мимо точки измерения.

Измеренные значения уровней звукового воздействия суммируют, арифметически усредняют по числу трамваев за интервал наблюдения Т и рассчитывают эквивалентный уровень звука потока трамваев за время наблюдения по формуле

, дБА, (3)

где - средний уровень звукового воздействия при проезде трамвая мимо точки измерения, дБА (рассчитывают по 8.3);

- число проехавших трамваев за интервал наблюдения.

7.3.5 Скорость движения отдельного трамвая определяется аналогично 4.8.

7.4 Потоки метропоездов

7.4.1 При измерении шумовых характеристик потоков метропоездов на открытой линии метрополитена измерительный микрофон следует располагать на границе технической зоны линии метрополитена или на другом более удобном расстоянии, исключая влияние других источников шума, с занесением в протокол (см. приложение А) кроме результатов измерений также выбранного расстояния от точки измерения до оси ближайшего пути. Высота измерительной точки над уровнем места расположения микрофона должна составлять (1,5 ± 0,1) м. Полученный уровень шума должен быть пересчитан на расстояние (25 + 0,5) м от оси ближнего к точке измерения рельсового пути.

Расстояние от границы технической зоны до ближайшего пути движения метропоездов должно определяться с помощью дальномера или по ситуационному плану.

7.4.2 Период измерения шумовых характеристик (эквивалентного и максимального уровня звука) потока метропоездов на открытых линиях метрополитена должен охватывать проезд не менее 20 метропоездов в обоих направлениях суммарно.

7.4.3 При невысокой интенсивности движения метропоездов допускается вместо прямого измерения шумовых характеристик потока метропоездов проводить одновременное измерение максимальных уровней звука и уровней звукового воздействия A , при проездах отдельных метропоездов.

Шум от проходящего метропоезда измеряют до тех пор, пока уровень звука снизится на 10 дБА относительно наибольшего мгновенного уровня звука в момент прохода метропоезда мимо точки измерения.

Измеренные значения суммируют, арифметически усредняют по числу метропоездов за время наблюдения Т и рассчитывают эквивалентный уровень звука потока метропоездов за время наблюдения по формуле

, дБА, (4)

где - средний уровень звукового воздействия при проезде метропоезда на открытой линии метрополитена мимо точки измерения, дБД (рассчитывается по 8.3);

- число проехавших метропоездов за временной интервал наблюдения.

7.4.4 Скорость движения отдельного метропоезда определяется аналогично 4.8.

8 Обработка и оформление результатов измерений

8.1 Если расстояние от точки измерения до ближайшей вертикальной или наклонной поверхности (например, стена здания, забор, экран и т. п.) не превышает 2,5 м, то результаты измерений шумовой характеристики транспортного потока следует уменьшить на 3 дБ (дБД) для исключения влияния отражения звука от отражающей поверхности.

8.2 Если разность между измеренным уровнем шума от транспортного потока и уровнем фонового шума не превышает 10 дБ (дБД), то необходимо внести коррекцию в результаты измерения в соответствии с таблицей 1.

Если определение уровня фонового шума является невозможным, то поправка на влияние фонового шума не вносится.

Таблица 1 - Коррекция на влияние фонового шума

Разность соответствующих параметров измеренного шума транспортных потоков и фонового шума в месте проведения измерения
L дБ (дБА)
Коррекция , дБ (дБА)
3-3
4 - 5-2
6 - 9-1
10 и более0

8.3 При определении эквивалентных уровней звука по измерениям уровня звукового воздействия А вычисляют средние уровни звукового воздействия А для транспортных средств каждого вида, принимаемых во внимание (для автомобильных потоков - легковые, грузовые автомобили, автобусы, троллейбусы, мотоциклы; для трамвайных потоков - трамваи разных типов; для потоков железнодорожных поездов - пассажирские, грузовые поезда, пригородные электропоезда; для метрополитена - метропоезда разных типов), по формуле

, дБА (5)

где - уровень звукового воздействия А измеренный при проходе i-го транспортного средства, дБА;

- число проходов транспортного средства определенного типа, для которых выполнялись измерения.

8.4 Результаты измерения шумовой характеристики транспортного потока и данные по его составу, интенсивности и скорости движения должны быть представлены в виде протокола и входящих в него таблиц А.1, А.2, А.З, А.4 в соответствии с приложением А. В протоколе приводится также описание места измерения, расстояния и другие геометрические параметры, данные о продолжительности измерений и иные сведения.

9 Метод расчета расширенной неопределенности измерений

Неопределенность измерений уровней звука, дБА и уровней звукового давления, дБ, зависит от особенностей источника шума, продолжительности измерений, расстояния между источником шума и точкой измерения, метеорологических условий, измерительной аппаратуры и др.

Для оценки погрешности результатов измерений шумовых характеристик транспортных потоков следует определять в соответствии с ГОСТ 31296.2 и [3] расширенную неопределенность измерений.

В качестве расширенной неопределенности измерений U(N) шумовых характеристик применяют односторонний интервал охвата усредненного уровня звука, дБД (усредненного уровня звукового давления, дБ), с уровнем доверия N% и коэффициентом охвата k.

Расширенную неопределенность измерения U(N) определяют по формуле

, дБА (дБ), (6)

где k - коэффициент охвата для данного уровня доверия N,

u - стандартная неопределенность измерения, дБА (дБ).

Для целей настоящего стандарта принят односторонний интервал охвата с уровнем доверия N = 95%, что соответствует коэффициенту охвата k = 2. Это означает, что 95% полученных значений измеряемой величины или измеренных в дальнейшем значений при тех же условиях окажутся ниже верхней границы интервала охвата, равной ().

Вместо 95%-го уровня доверия допускается использовать другой уровень доверия с соответствующим коэффициентом охвата, например, при N = 90% коэффициент охвата k = 1,65; при N = 80% коэффициент охвата k = 1,3.

Расчет расширенной неопределенности измерений выполняют в следующем порядке.

По откорректированным результатам нескольких аналогичных измерений уровней звука (уровней звукового давления), выполненных в одной и той же точке измерения, одним и тем же прибором, и по одной и той же методике вычисляют среднее значение измеренных уровней звука (уровней звукового давления) по формуле

, дБА (дБ), (7)

где - значение измеренного и откорректированного уровня звука (уровня звукового давления), полученное для i-го измерения в данной точке измерения, дБА,

i = 1, 2, 3,...,n (n - общее количество измерений в данной точке).

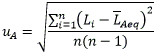
Для полученной серии измерений в данной точке измерения оценивают неопределенность по типу А, связанную с погрешностями методики измерений и влиянием факторов окружающей среды, по формуле

, дБА, (8)

Затем оценивают неопределенность по типу В, обусловленную инструментальной погрешностью (измерительные приборы, погрешность калибровки и т. п.), по формуле

, дБА, (9)

где - инструментальная погрешность измерений уровня звука (уровней звукового давления), дБА (дБ), определяется в соответствии с Руководством по эксплуатации шумомера или другого применявшегося для измерений прибора.

При отсутствии таких данных допустимо воспользоваться значением стандартной неопределенности = 0,7 дБА для шумомеров 1-го класса и = 1,5 дБА для шумомеров 2-го класса, полученным на основании проводившихся специальных экспериментальных исследований.

Расширенную неопределенность измерения U(95%) для уровня доверия 95% рассчитывают по формуле

, дБА (дБ). (10)

Верхняя граница интервала охвата составляет

, дБА (дБ). (11)

Это означает, что с вероятностью 95% в качестве шумовой характеристики транспортного потока на данном участке измерений следует принять

, дБА (дБ). (12)

Приложение А
(рекомендуемое)

ПРОТОКОЛ ИЗМЕРЕНИЯ ШУМОВОЙ ХАРАКТЕРИСТИКИ ТРАНСПОРТНОГО ПОТОКА

1 Наименование организации, проводившей измерения.

2 Дата и время проведения измерения.

3 Место проведения измерения.

4 Схематический ситуационный план участка измерений.

5 Поперечный разрез участка измерений.

6 Характеристика автомобильной дороги:

- одно или два направления движения автотранспорта;

- количество полос движения в каждую сторону, наличие трамвайных путей;

- наличие или отсутствие разделительной полосы, ее ширина;

- наличие боковых проездов, их ширина, расстояние от основной дороги.

- тип покрытия проезжей части (асфальтобетон, цементобетон или др.);

- расположение дороги - на ровной территории, в выемке, на насыпи;

- продольный уклон проезжей части.

7 Характеристика рельсовой дороги (железная дорога, трамвайный путь, линия метрополитена):

- количество главных путей;

- расположение рельсовой дороги - на ровной территории, в выемке, на насыпи;

- тип верхнего строения рельсового пути;

- тип шпал (железобетонные, деревянные) и тип пути (бесстыковой, звеньевой).

8 Средства измерений (наименование, тип, заводской номер, сведения о поверке средств измерений).

9 Методика проведения измерений (ссылка на данный стандарт) или описание отличий от стандартной методики измерений.

10 Данные о метеоусловиях при проведении измерений - скорость ветра, температура, относительная влажность воздуха, атмосферное давление.

11 Продолжительность проведения измерений.

12 Эквивалентный и максимальный уровни звука в дБА (в необходимых случаях - октавные эквивалентные уровни звукового давления, уровни звукового воздействия и другие шумовые характеристики).

13 Таблица с результатами измерения шумовых характеристик и расширенной неопределенности измерения при определении эквивалентного уровня звука автотранспортного потока и параметрами его движения (интенсивность, скорость) и состава (см. таблицу А.1).

14 Таблица с результатами измерения шумовых характеристик и расширенной неопределенности измерения при определении эквивалентного уровня звука потока трамваев (при расположении трамвайных путей на достаточном удалении от улиц с автотранспортным движением) и с параметрами его движения (интенсивность, скорость) и состава (см. таблицу А.2).

15 Таблица с результатами измерения шумовых характеристик и расширенной неопределенности измерения при определении эквивалентного уровня звука потока железнодорожных поездов и параметрами его движения (интенсивность и скорость движения по видам поездов) и состава (типы поездов - пассажирские, грузовые поезда, пригородные электропоезда) (см. таблицу А.З).

16 Таблица с результатами измерения шумовых характеристик и расширенной неопределенности измерения при определении эквивалентного уровня звука потока метропоездов на открытых линиях метрополитена и параметрами его движения (интенсивность, скорость) (см. таблицу А.4).

17 Заключение по результатам измерений.

18 Приложения (в приложениях могут быть приведены любые материалы, относящиеся к предмету исследований, необходимость которых определяется исполнителем или заказчиком).

19 Должности, фамилии, инициалы и личные подписи лиц, проводивших измерения.

Протокол должен быть подписан руководителем организации (испытательной лаборатории), выполнившей измерения.

Таблица А.1- Результаты измерений шумовых характеристик автотранспортного потока и определения расширенной неопределенности измерений эквивалентного уровня звука автотранспортного потока

Место измерения -

Дата и время измерения -

Количество автотранспортных средств по видам в потоке за временной интервал наблюдения Т= ...Шумовая характеристика потока за временной интервал наблюдения Т=...
Легковые автомобилиГрузовые автомобили, автомобили-тягачи и автопоездаАвтобусыТроллейбусыМотоциклы, мотороллеры, мопеды и мотовелосипедыДругие виды автотранспортных средств, неуказанные в столбцах 1 - 5Средняя скорость движения автотранспортного потока, км/чЭквивалентный уровень звука дБАМаксимальный уровень звука дБА
123456789
        
        

По результатам столбца 8 таблицы А.1 и в соответствии с разделом 9 рассчитывается верхняя граница интервала охвата для измеренного эквивалентного уровня звука автотранспортного потока , дБА

Таблица А.2 - Результаты измерений шумовых характеристик потока железнодорожных поездов и определения расширенной неопределенности измерений эквивалентного уровня звука потока железнодорожных поездов

Место измерения -

Дата и время измерения -

Тип поездаВремя проезда поезда мимо измерительной
точки , с
Средняя скорость движения поездаШумовая характеристика поезда за время его проезда мимо измерительной точкиШумовая характеристика потока поездов за временной интервал наблюдения Т=...
Эквивалентный уровень звука
, дБА
Максимальный уровень звука
, дБА
Эквивалентный уровень звука
, дБА
Максимальный уровень звука
, дБА
1234567
Пассажирский      
Пригородный электропоезд    
Грузовой    

По результатам столбца 6 таблицы А.2 и в соответствии с разделом 9 рассчитывается верхняя граница интервала охвата для измеренного эквивалентного уровня звука потока железнодорожных поездов , дБА

Таблица А.3 - Результаты измерений шумовых характеристик потока трамваев и определения расширенной неопределенности измерений эквивалентного уровня звука потока трамваев

Место измерения -

Дата и время измерения -

Время проезда трамвая мимо точки измерения , сСкорость движения трамваяШумовая характеристика трамвая за время его проезда мимо точки измеренияШумовая характеристика потока трамваев за временной интервал наблюдения Т=...
Эквивалентный уровень звука
, дБА
Максимальный уровень звука
дБА
Эквивалентный уровень звука
, дБА
Максимальный уровень звука
, дБА
123456
     
   
   
   

По результатам столбца 5 таблицы А.З и в соответствии с разделом 9 рассчитывается верхняя граница интервала охвата для измеренного эквивалентного уровня звука потока трамваев , дБА

Таблица А.4 - Результаты измерений шумовых характеристик потока метропоездов на открытых линиях метрополитена и определения расширенной неопределенности измерений эквивалентного уровня звука потока метропоездов

Место измерения -

Дата и время измерения -

Время проезда метропоезда мимо точки измерения , сСкорость движения метропоездаШумовая характеристика метропоезда за время его проезда мимо точки измеренияШумовая характеристика потока метропоездов за временной интервал наблюдения Т=...
Эквивалентный уровень звука
, дБА
Максимальный уровень звука
, дБА
Эквивалентный уровень звука
, дБА
Максимальный уровень звука
, дБА
123456
     
   
   
   

По результатам столбца 5 таблицы А.4 и в соответствии с разделом 9 рассчитывается верхняя граница интервала охвата для измеренного эквивалентного уровня звука потока метропоездов , дБА

Библиография

[1] IEC 61260:1995 Electroacoustics - Octave-band and fractional-octave band filtrs (МЭК 61160:1995 Электроакустика. Октавные и дробно-октавные полосовые фильтры).

[2] IEC 60942:2003 Electroacoustics - Sound calibrators (МЭК 60942:2003 Электро-акустика. Калибраторы звука).

[3] Руководство ИСО/МЭК 98-3:2008 "Неопределенность измерения. Часть 3. Руководство по выражению неопределенности измерения".

УДК 534.836.2.08:006.354 МКС 17.140.30

Ключевые слова: автомобильная дорога, трамвайный путь, железная дорога, линия метрополитена, автомобиль, троллейбус, трамвай, поезд, метропоезд, транспортный поток, шумовая характеристика, измерение, метод